Movatterモバイル変換


[0]ホーム

URL:


CN109063675B - Vehicle flow density calculation method, system, terminal and computer-readable storage medium - Google Patents

Vehicle flow density calculation method, system, terminal and computer-readable storage medium
Download PDF

Info

Publication number
CN109063675B
CN109063675BCN201810964541.4ACN201810964541ACN109063675BCN 109063675 BCN109063675 BCN 109063675BCN 201810964541 ACN201810964541 ACN 201810964541ACN 109063675 BCN109063675 BCN 109063675B
Authority
CN
China
Prior art keywords
pix
traffic density
traffic
density
rho
Prior art date
Legal status (The legal status is an assumption and is not a legal conclusion. Google has not performed a legal analysis and makes no representation as to the accuracy of the status listed.)
Active
Application number
CN201810964541.4A
Other languages
Chinese (zh)
Other versions
CN109063675A (en
Inventor
李岩山
郭天宇
吴豪明
黄晓坤
罗成华
王敏
Current Assignee (The listed assignees may be inaccurate. Google has not performed a legal analysis and makes no representation or warranty as to the accuracy of the list.)
Shenzhen University
Original Assignee
Shenzhen University
Priority date (The priority date is an assumption and is not a legal conclusion. Google has not performed a legal analysis and makes no representation as to the accuracy of the date listed.)
Filing date
Publication date
Application filed by Shenzhen UniversityfiledCriticalShenzhen University
Priority to CN201810964541.4ApriorityCriticalpatent/CN109063675B/en
Publication of CN109063675ApublicationCriticalpatent/CN109063675A/en
Application grantedgrantedCritical
Publication of CN109063675BpublicationCriticalpatent/CN109063675B/en
Activelegal-statusCriticalCurrent
Anticipated expirationlegal-statusCritical

Links

Images

Classifications

Landscapes

Abstract

Translated fromChinese

本发明适用于交通监测领域,提供了一种车流密度计算方法,包括:对检测区域采集的检测图像进行二值化处理,得到二值图像;利用像素统计方法统计所述二值图像中的运行目标,得到所述检测区域的车流密度;根据所述检测区域的车流密度,采用模糊车流密度来确定所述检测区域的车流密度状态。本发明实施例采用模糊车流密度来衡量车流密度状态,解决了现有技术中无法确定检测路段的车流密度情况的问题。

Figure 201810964541

The present invention is applicable to the field of traffic monitoring, and provides a method for calculating traffic density, comprising: performing binarization processing on a detection image collected in a detection area to obtain a binary image; and using a pixel statistics method to count operations in the binary image. The target is to obtain the traffic density of the detection area; according to the traffic density of the detection area, the fuzzy traffic density is used to determine the traffic density state of the detection area. The embodiment of the present invention adopts the fuzzy traffic density to measure the traffic density state, and solves the problem that the traffic density of the detected road section cannot be determined in the prior art.

Figure 201810964541

Description

Traffic density calculation method, system, terminal and computer readable storage medium
Technical Field
The invention belongs to the field of traffic monitoring, and particularly relates to a traffic flow density calculation method, a traffic flow density calculation system, a traffic flow density calculation terminal and a computer-readable storage medium.
Background
In recent years, the development of traffic monitoring video technology and the vigorous practical demand thereof attract a great number of researchers at home and abroad to carry out deep research on traffic anomaly detection and related algorithms in videos.
Nilakorn Seenouvong et al propose a vehicle counting algorithm based on computer vision, the counting accuracy is high, and the accuracy of vehicle flow monitoring is improved; Nowosielski.A and the like provide a new vehicle track pattern recognition algorithm based on a Camshift algorithm, and can accurately analyze and recognize illegal parking, illegal turning and other behaviors of a vehicle; Daw-Tung Lin et al propose a Superpixel tracking algorithm and a vehicle trajectory analysis technology, and apply to traffic monitoring at crossroads; sang Hai-feng et al propose a system for determining whether a vehicle is traveling in the wrong direction or speeding by detecting and tracking the trajectory of the vehicle; li et al adopt a method of extracting characteristic points to detect and analyze traffic anomalies, and the accuracy is improved; hanlin Tan proposes an anomaly detection algorithm based on a sparse optical flow method, and can detect traffic anomalies such as retrograde and crossroad traffic and the like; li Ning et al propose an algorithm for analyzing abnormal conditions by integrating various traffic information, thereby improving the applicability of system analysis; ahmed Tageldin et al propose a method for judging traffic conditions by the distance between targets on a road within a specific time, and thus the problem of collision between pedestrians and vehicles in a highly congested traffic state is solved; yangxicaong et al establish a fuzzy logic-based highway traffic incident detection model by fusing fuzzy logic and an improved incremental comparison algorithm, and the model performs incident analysis by extracting vehicle speed and traffic flow information, but the premise of the model detection has certain limitation due to very complex traffic conditions. Siyuan Liu et al propose to extract the track data of urban taxis by using a GPS and analyze the moving speed of the taxis to detect the urban road congestion.
However, although the accuracy of abnormality detection by GPS positioning is high, the detection cost is greatly increased, and the practicability is insufficient. In the prior art, the track of the running target is in a changing state at any moment and has no fixed movement time, so that the traffic flow density condition of the detected road section cannot be determined.
Disclosure of Invention
The invention aims to solve the technical problem that a traffic flow density calculation method, a system, a terminal and a computer readable storage medium are provided, and aims to solve the problem that in the prior art, the traffic flow density condition of a detected road section cannot be determined because the track of an operation target is in a changing state at any moment and does not have fixed movement time.
The invention is realized in this way, and a traffic flow density calculation method includes:
carrying out binarization processing on a detection image acquired in a detection area to obtain a binary image;
counting the running target in the binary image by using a pixel counting method to obtain the traffic density of the detection area;
and determining the traffic density state of the detection area by adopting fuzzy traffic density according to the traffic density of the detection area.
Further, the binarizing the detection image acquired from the detection area to obtain a binary image includes:
acquiring a detection image of the detection area;
performing mixed Gaussian background modeling on the foreground image of the detection image to obtain a modeling image;
and carrying out binarization processing on the modeling image to obtain the binary image.
Further, the acquiring a detection image of the detection area includes:
determining a trapezoidal area for detection according to the shape of the lane, and taking the trapezoidal area as the detection area;
and acquiring a detection video of the detection area, and acquiring each frame of detection image in the detection video.
Further, the counting the running target in the binary image by using a pixel counting method to obtain the traffic flow density of the detection area includes:
any pixel point P in binary image of detection regioniHas a pixel value of XiXi0 or Xi1, the pixel value X of the pixel region composing the operation targeti1, the total pixel value of the binary image of the detection area is SpixThe density of the traffic is rhopixAnd then:
Figure GDA0002583127630000031
further, the determining the traffic density state of the detection area by using the fuzzy traffic density according to the traffic density of the detection area includes:
determining the traffic density state by adopting fuzzy traffic density according to the traffic density of the detection area by utilizing a Gaussian distribution model and a 3 sigma principle;
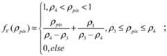
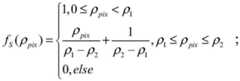
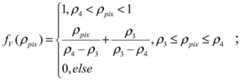
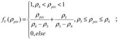
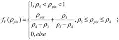
respectively using S, U and V to represent the rare and normal states of traffic densityDensity of traffic flow, and the density of traffic flowpixThe fuzzy is { S, U, V }, and the traffic flow density rhopixThe membership function of (a) includes:
Figure GDA0002583127630000032
Figure GDA0002583127630000033
Figure GDA0002583127630000034
by rho1、ρ2Denotes the critical value between S and U, p3、ρ4Represents a critical value between U and V;
if fSpix) The greater the traffic density ρpixThe greater the degree of S, when rhopix∈(0,ρ1) While, determining the traffic density ρpixIs S; when rhopix∈(ρ12) While, determining the traffic density ρpixBetween S and U;
if fUpix) The greater the traffic density ρpixThe greater the degree of U, when rhopix∈(ρ12) While, determining the traffic density ρpixBetween S and U; when rhopix∈(ρ23) While, determining the traffic density ρpixIs U; when rhopix∈(ρ34) While, determining the traffic density ρpixBetween U and V;
if fVpix) The greater the traffic density ρpixThe greater the degree of V, when rhopix∈(ρ34) While, determining the traffic density ρpixBetween U and V; when rhopix∈(ρ41) determining the traffic density ρpixIs V.
An embodiment of the present invention further provides a traffic density calculation system, including:
the processing unit is used for carrying out binarization processing on the detection image acquired by the detection area to obtain a binary image;
the statistical unit is used for counting the running target in the binary image by using a pixel statistical method to obtain the traffic density of the detection area;
and the determining unit is used for determining the traffic density state of the detection area by adopting fuzzy traffic density according to the traffic density of the detection area.
Further, the statistical unit is specifically configured to:
any pixel point P in binary image of detection regioniHas a pixel value of XiXi0 or Xi1, the pixel value X of the pixel region composing the operation targeti1, the total pixel value of the binary image of the detection area is SpixThe density of the traffic is rhopixAnd then:
Figure GDA0002583127630000041
further, the determining unit is specifically configured to:
determining the traffic density state by adopting fuzzy traffic density according to the traffic density of the detection area by utilizing a Gaussian distribution model and a 3 sigma principle;
respectively using S, U and V to represent three states of dilute, normal and dense traffic density states, and using traffic density rhopixThe fuzzy is { S, U, V }, and the traffic flow density rhopixThe membership function of (a) includes:
Figure GDA0002583127630000051
Figure GDA0002583127630000052
Figure GDA0002583127630000053
by rho1、ρ2Denotes the critical value between S and U, p3、ρ4Represents a critical value between U and V;
if fSpix) The greater the traffic density ρpixThe greater the degree of S, when rhopix∈(0,ρ1) While, determining the traffic density ρpixIs S; when rhopix∈(ρ12) While, determining the traffic density ρpixBetween S and U;
if fUpix) The greater the traffic density ρpixThe greater the degree of U, when rhopix∈(ρ12) While, determining the traffic density ρpixBetween S and U; when rhopix∈(ρ23) While, determining the traffic density ρpixIs U; when rhopix∈(ρ34) While, determining the traffic density ρpixBetween U and V;
if fVpix) The greater the traffic density ρpixThe greater the degree of V, when rhopix∈(ρ34) While, determining the traffic density ρpixBetween U and V; when rhopix∈(ρ41) determining the traffic density ρpixIs V.
The embodiment of the present invention further provides a terminal, which includes a memory, a processor, and a computer program stored in the memory and running on the processor, and when the processor executes the computer program, the steps in the traffic density calculation method are implemented as described above.
The embodiment of the invention also provides a readable storage medium, on which a computer program is stored, and when the computer program is executed by a processor, the computer program realizes the steps in the traffic flow density calculation method.
Compared with the prior art, the invention has the beneficial effects that: the embodiment of the invention obtains a binary image by carrying out binarization processing on a detection image collected by a detection area, obtains the traffic density of the detection area by utilizing a pixel statistical method to count the running target in the binary image, and determines the traffic density state of the detection area by adopting fuzzy traffic density according to the traffic density of the detection area. The embodiment of the invention measures the traffic density state by adopting the fuzzy traffic density, and solves the problem that the traffic density condition of the detected road section cannot be determined in the prior art.
Drawings
Fig. 1 is a flowchart of a traffic density calculation method according to an embodiment of the present invention;
FIG. 2 is a schematic view of a traffic scene image of a detection area according to an embodiment of the present invention;
FIG. 3 is a membership function of fuzzy traffic flow according to an embodiment of the present invention;
fig. 4 is a schematic structural diagram of a traffic density calculation system according to an embodiment of the present invention.
Detailed Description
In order to make the objects, technical solutions and advantages of the present invention more apparent, the present invention is described in further detail below with reference to the accompanying drawings and embodiments. It should be understood that the specific embodiments described herein are merely illustrative of the invention and are not intended to limit the invention.
Fig. 1 shows a traffic density calculation method provided in an embodiment of the present invention, including:
s101, carrying out binarization processing on a detection image acquired by a detection area to obtain a binary image;
s102, counting the running target in the binary image by using a pixel counting method to obtain the traffic density of the detection area;
s103, determining the traffic density state of the detection area by adopting fuzzy traffic density according to the traffic density of the detection area.
The following examples of the invention are further illustrated:
in order to reduce the influence of the areas on traffic information parameters and improve the real-time performance, a trapezoidal area is defined in the traffic scene according to the shape of a lane for detection operation, the detection area is marked as S, for example, a shadow area in fig. 2 is a detection area S, and the upper left corner of the traffic scene is set as a coordinate origin O.
a) The pixel statistics-based traffic density detection algorithm comprises the following steps:
in order to obtain the traffic flow density, the embodiment of the invention provides a traffic flow density detection algorithm based on pixel statistics, and the traffic flow density detection algorithm carries out binarization processing on a foreground image modeled by adopting a mixed Gaussian background to obtain a binary image. Specifically, the foreground image is an image of a vehicle, a person and the like in a detection image, the background image is a static background in the detection image, binarization processing is performed on the foreground after background modeling is performed to obtain a gray level image only paying attention to the vehicle and the pedestrian, the gray level image is a binary image, and any pixel point P in the binary image of the detection areaiHas a pixel value of XiXi0 or Xi1. Pixel value X of pixel region constituting an operation targeti1. Setting the total pixel value of the binary image of the detection area as spixThe density of the traffic is rhopixThen, the traffic density ρ is obtained by the following equationpix
Figure GDA0002583127630000071
b) Density of fuzzy traffic
Based on the above, the traffic density ρ of the kth unit time period can be obtained from the equation (1)pix. The embodiment of the invention utilizes a Gaussian distribution model and a 3 sigma principle, adopts fuzzy traffic flow density to measure the traffic flow density state, respectively uses S, U and V to represent the sparse state, the normal state and the dense state of the traffic density state, and uses the traffic flow density rho to measure the traffic flow density statepixThe ambiguity is { S, U, V }. Membership function of (2) - (4), fuzzy traffic flow densityThe graph of membership functions for degrees is shown in figure 3.
Figure GDA0002583127630000072
Figure GDA0002583127630000081
Figure GDA0002583127630000082
Let ρ be1、ρ2Is a critical value between S (lean) and U (normal), p3、ρ4Is a critical value between U (normal) and V (dense). As can be seen from equation (2) and fig. 3: f. ofSThe greater the traffic density ρpixThe greater the degree of belonging to S. When rhopix∈(0,ρ1) Time, traffic density ρpixIs S (dilute); when rhopix∈(ρ12) Time, traffic density ρpixBetween S (lean) and U (normal).
As can be seen from equation (3) and fig. 3: f. ofUThe greater the traffic density ρpixThe greater the degree of belonging to U. When rhopix∈(ρ12) Time, traffic density ρpixBetween S (dilute) and U (normal); when rhopix∈(ρ23) Time, traffic density ρpixIs U (normal); when rhopix∈(ρ34) Time, traffic density ρpixBetween U (normal) and V (dense).
As can be seen from equation (4) and fig. 3: f. ofVThe greater the traffic density ρpixThe greater the degree of belonging to V. When rhopix∈(ρ34) Time, traffic density ρpixBetween U (normal) and V (dense); when rhopix∈(ρ41) determining the traffic density ρpixIs V (secret).
Fig. 4 shows a traffic density calculation system provided in an embodiment of the present invention, including:
aprocessing unit 401, configured to perform binarization processing on a detection image acquired in a detection area to obtain a binary image;
acounting unit 402, configured to count the running target in the binary image by using a pixel counting method, so as to obtain a traffic density of the detection area;
a determiningunit 403, configured to determine a traffic density state of the detection area by using the fuzzy traffic density according to the traffic density of the detection area.
Further, theprocessing unit 401 is specifically configured to:
acquiring a detection image of the detection area;
performing mixed Gaussian background modeling on the foreground image of the detection image to obtain a modeling image;
and carrying out binarization processing on the modeling image to obtain the binary image.
Further, theprocessing unit 401 is further configured to:
determining a trapezoidal area for detection according to the shape of the lane, and taking the trapezoidal area as the detection area;
and acquiring a detection video of the detection area, and acquiring each frame of detection image in the detection video.
Further, thestatistical unit 402 is specifically configured to:
any pixel point P in binary image of detection regioniHas a pixel value of XiXi0 or Xi1, the pixel value X of the pixel region composing the operation targeti1, the total pixel value of the binary image of the detection area is SpixThe density of the traffic is rhopixAnd then:
Figure GDA0002583127630000091
further, the determiningunit 403 is specifically configured to:
determining the traffic density state by adopting fuzzy traffic density according to the traffic density of the detection area by utilizing a Gaussian distribution model and a 3 sigma principle;
respectively using S, U and V to represent three states of dilute, normal and dense traffic density states, and using traffic density rhopixThe fuzzy is { S, U, V }, and the traffic flow density rhopixThe membership function of (a) includes:
Figure GDA0002583127630000092
Figure GDA0002583127630000101
Figure GDA0002583127630000102
by rho1、ρ2Denotes the critical value between S and U, p3、ρ4Represents a critical value between U and V;
if fSpix) The greater the traffic density ρpixThe greater the degree of S, when rhopix∈(0,ρ1) While, determining the traffic density ρpixIs S; when rhopix∈(ρ12) While, determining the traffic density ρpixBetween S and U;
if fUpix) The greater the traffic density ρpixThe greater the degree of U, when rhopix∈(ρ12) While, determining the traffic density ρpixBetween S and U; when rhopix∈(ρ23) While, determining the traffic density ρpixIs U; when rhopix∈(ρ34) While, determining the traffic density ρpixBetween U and V;
if fVpix) The greater the traffic density ρpixThe greater the degree of V, when rhopix∈(ρ34) Determining the vehicleFlow density ρpixBetween U and V; when rhopix∈(ρ41) determining the traffic density ρpixIs V.
In the several embodiments provided in the present application, it should be understood that the disclosed method and apparatus may be implemented in other ways. For example, the above-described apparatus embodiments are merely illustrative, and for example, the division of the modules is only one logical division, and other divisions may be realized in practice, for example, a plurality of modules or components may be combined or integrated into another apparatus, or some features may be omitted, or not executed. In addition, the shown or discussed mutual coupling or direct coupling or communication connection may be an indirect coupling or communication connection through some interfaces, devices or modules, and may be in an electrical, mechanical or other form.
The modules described as separate parts may or may not be physically separate, and parts displayed as modules may or may not be physical modules, may be located in one place, or may be distributed on a plurality of network modules. Some or all of the modules may be selected according to actual needs to achieve the purpose of the solution of the present embodiment.
In addition, functional modules in the embodiments of the present invention may be integrated into one processing module, or each of the modules may exist alone physically, or two or more modules are integrated into one module. The integrated module can be realized in a hardware mode, and can also be realized in a software functional module mode.
The integrated module, if implemented in the form of a software functional module and sold or used as a stand-alone product, may be stored in a computer readable storage medium. Based on such understanding, the technical solution of the present invention may be embodied in the form of a software product, which is stored in a storage medium and includes instructions for causing a computer device (which may be a personal computer, a server, or a network device) to execute all or part of the steps of the method according to the embodiments of the present invention. And the aforementioned storage medium includes: a U-disk, a removable hard disk, a Read-Only Memory (ROM), a Random Access Memory (RAM), a magnetic disk or an optical disk, and other various media capable of storing program codes.
It should be noted that, for the sake of simplicity, the above-mentioned method embodiments are described as a series of acts or combinations, but those skilled in the art should understand that the present invention is not limited by the described order of acts, as some steps may be performed in other orders or simultaneously according to the present invention. Further, those skilled in the art will appreciate that the embodiments described in the specification are presently preferred and that no acts or modules are necessarily required of the invention.
In the above embodiments, the descriptions of the respective embodiments have respective emphasis, and for parts that are not described in detail in a certain embodiment, reference may be made to related descriptions of other embodiments.
In view of the above description of the method and system for calculating traffic density provided by the present invention, those skilled in the art will recognize that there may be variations in the embodiments and applications of the method and system according to the concepts of the present invention.

Claims (6)

1. A traffic density calculation method is characterized by comprising the following steps:
carrying out binarization processing on a detection image acquired in a detection area to obtain a binary image;
counting the running target in the binary image by using a pixel counting method to obtain the traffic flow density of the detection area, wherein,
any pixel point P in binary image of detection regioniHas a pixel value of Xi,Xi0 or Xi1, the pixel value X of the pixel region composing the operation targeti1, binary value of the detection regionTotal pixel value of image is SpixThe density of the traffic is rhopixAnd then:
Figure FDA0002913938670000011
determining the traffic flow density state of the detection area by using a Gaussian distribution model and a 3 sigma principle and adopting fuzzy traffic flow density according to the traffic flow density of the detection area;
respectively representing the states of rareness, normality and density of the traffic density by using S, U and V, and blurring the traffic density into { S, U and V };
will flow density rhopixThe fuzzy is { S, U, V }, and the traffic flow density rhopixThe membership function of (a) includes:
Figure FDA0002913938670000012
Figure FDA0002913938670000013
Figure FDA0002913938670000021
by rho1、ρ2Denotes the critical value between S and U, p3、ρ4Represents a critical value between U and V;
if fSpix) The greater the traffic density ρpixThe greater the degree of S, when rhopix∈(0,ρ1) While, determining the traffic density ρpixIs S; when rhopix∈(ρ12) While, determining the traffic density ρpixBetween S and U;
if fUpix) The greater the traffic density ρpixThe greater the degree of U, when rhopix∈(ρ12) While, determining the traffic density ρpixBetween S and U; when rhopix∈(ρ23) While, determining the traffic density ρpixIs U; when rhopix∈(ρ34) While, determining the traffic density ρpixBetween U and V;
if fVpix) The greater the traffic density ρpixThe greater the degree of V, when rhopix∈(ρ34) While, determining the traffic density ρpixBetween U and V; when rhopix∈(ρ41) determining the traffic density ρpixIs V.
2. The traffic flow density calculation method according to claim 1, wherein the binarizing processing a detection image acquired by the detection area to obtain a binary image includes:
acquiring a detection image of the detection area;
performing mixed Gaussian background modeling on the foreground image of the detection image to obtain a modeling image;
and carrying out binarization processing on the modeling image to obtain the binary image.
3. The traffic density calculation method according to claim 2, wherein the acquiring of the detection image of the detection area includes:
determining a trapezoidal area for detection according to the shape of the lane, and taking the trapezoidal area as the detection area;
and acquiring a detection video of the detection area, and acquiring each frame of detection image in the detection video.
4. A traffic density calculation system, comprising:
the processing unit is used for carrying out binarization processing on the detection image acquired by the detection area to obtain a binary image;
the statistical unit is used for counting the running target in the binary image by using a pixel statistical method to obtain the traffic density of the detection area;
any pixel point P in binary image of detection regioniHas a pixel value of Xi,Xi0 or Xi1, the pixel value X of the pixel region composing the operation targeti1, the total pixel value of the binary image of the detection area is SpixThe density of the traffic is rhopixAnd then:
Figure FDA0002913938670000031
the determining unit is used for determining the traffic density state by adopting fuzzy traffic density according to the traffic density of the detection area by utilizing a Gaussian distribution model and a 3 sigma principle;
respectively using S, U and V to represent three states of dilute, normal and dense traffic density states, and using traffic density rhopixAmbiguity is { S, U, V };
the traffic density ρpixThe membership function of (a) includes:
Figure FDA0002913938670000032
Figure FDA0002913938670000033
Figure FDA0002913938670000034
by rho1、ρ2Denotes the critical value between S and U, p3、ρ4Represents a critical value between U and V;
if fSpix) The greater the traffic density ρpixThe greater the degree of S, when rhopix∈(0,ρ1) While, determining the traffic density ρpixIs S; when rhopix∈(ρ12) While, determining the traffic density ρpixBetween S and U;
if fUpix) The greater the traffic density ρpixThe greater the degree of U, when rhopix∈(ρ12) While, determining the traffic density ρpixBetween S and U; when rhopix∈(ρ23) While, determining the traffic density ρpixIs U; when rhopix∈(ρ34) While, determining the traffic density ρpixBetween U and V;
if fVpix) The greater the traffic density ρpixThe greater the degree of V, when rhopix∈(ρ34) While, determining the traffic density ρpixBetween U and V; when rhopix∈(ρ41) determining the traffic density ρpixIs V.
5. A terminal comprising a memory, a processor and a computer program stored on the memory and running on the processor, wherein the processor implements the steps of the traffic density calculation method according to any one of claims 1 to 3 when executing the computer program.
6. A readable storage medium on which a computer program is stored, the computer program, when being executed by a processor, implementing the steps of the traffic density calculating method according to any one of claims 1 to 3.
CN201810964541.4A2018-08-232018-08-23 Vehicle flow density calculation method, system, terminal and computer-readable storage mediumActiveCN109063675B (en)

Priority Applications (1)

Application NumberPriority DateFiling DateTitle
CN201810964541.4ACN109063675B (en)2018-08-232018-08-23 Vehicle flow density calculation method, system, terminal and computer-readable storage medium

Applications Claiming Priority (1)

Application NumberPriority DateFiling DateTitle
CN201810964541.4ACN109063675B (en)2018-08-232018-08-23 Vehicle flow density calculation method, system, terminal and computer-readable storage medium

Publications (2)

Publication NumberPublication Date
CN109063675A CN109063675A (en)2018-12-21
CN109063675Btrue CN109063675B (en)2021-05-28

Family

ID=64755788

Family Applications (1)

Application NumberTitlePriority DateFiling Date
CN201810964541.4AActiveCN109063675B (en)2018-08-232018-08-23 Vehicle flow density calculation method, system, terminal and computer-readable storage medium

Country Status (1)

CountryLink
CN (1)CN109063675B (en)

Families Citing this family (1)

* Cited by examiner, † Cited by third party
Publication numberPriority datePublication dateAssigneeTitle
CN114241752A (en)*2021-12-012022-03-25湖南湘江智芯云途科技有限公司Method, device and equipment for prompting field end congestion and computer readable storage medium

Citations (5)

* Cited by examiner, † Cited by third party
Publication numberPriority datePublication dateAssigneeTitle
US20080310677A1 (en)*2007-06-182008-12-18Weismuller Thomas PObject detection system and method incorporating background clutter removal
US20100008596A1 (en)*2008-07-142010-01-14Toru KawabeResolution Conversion Method
CN101777263A (en)*2010-02-082010-07-14长安大学Traffic vehicle flow detection method based on video
CN104820995A (en)*2015-04-212015-08-05重庆大学Large public place-oriented people stream density monitoring and early warning method
CN107103292A (en)*2017-04-122017-08-29湖南源信光电科技股份有限公司A kind of statistical method of traffic flow tracked based on moving vehicle

Patent Citations (5)

* Cited by examiner, † Cited by third party
Publication numberPriority datePublication dateAssigneeTitle
US20080310677A1 (en)*2007-06-182008-12-18Weismuller Thomas PObject detection system and method incorporating background clutter removal
US20100008596A1 (en)*2008-07-142010-01-14Toru KawabeResolution Conversion Method
CN101777263A (en)*2010-02-082010-07-14长安大学Traffic vehicle flow detection method based on video
CN104820995A (en)*2015-04-212015-08-05重庆大学Large public place-oriented people stream density monitoring and early warning method
CN107103292A (en)*2017-04-122017-08-29湖南源信光电科技股份有限公司A kind of statistical method of traffic flow tracked based on moving vehicle

Also Published As

Publication numberPublication date
CN109063675A (en)2018-12-21

Similar Documents

PublicationPublication DateTitle
Zhang et al.A traffic surveillance system for obtaining comprehensive information of the passing vehicles based on instance segmentation
Zhang et al.Real-time traffic analysis using deep learning techniques and UAV based video
US12148219B2 (en)Method, apparatus, and computing device for lane recognition
CN113516853B (en)Multi-lane traffic flow detection method for complex monitoring scene
Luo et al.Multiple lane detection via combining complementary structural constraints
CN108052859A (en)A kind of anomaly detection method, system and device based on cluster Optical-flow Feature
Liu et al.Extending the detection range for low-channel roadside LiDAR by static background construction
Lee et al.Available parking slot recognition based on slot context analysis
Piao et al.Robust hypothesis generation method using binary blob analysis for multi‐lane detection
EP2813973B1 (en)Method and system for processing video image
CN109101939A (en)Determination method, system, terminal and the readable storage medium storing program for executing of state of motion of vehicle
CN111353342B (en)Shoulder recognition model training method and device, and people counting method and device
Azimjonov et al.A vision-based real-time traffic flow monitoring system for road intersections
Dey et al.Turning video into traffic data–an application to urban intersection analysis using transfer learning
Jiao et al.Traffic behavior recognition from traffic videos under occlusion condition: a Kalman filter approach
Zhang et al.Counting vehicles in urban traffic scenes using foreground time‐spatial images
Phan et al.Occlusion vehicle detection algorithm in crowded scene for traffic surveillance system
Xiong et al.Fast and robust approaches for lane detection using multi‐camera fusion in complex scenes
CN105761507A (en)Vehicle counting method based on three-dimensional trajectory clustering
CN105631900B (en)A kind of wireless vehicle tracking and device
Zhang et al.Three-Dimensional Object Detection and High-Resolution Traffic Parameter Extraction Using Low-Resolution LiDAR Data
CN109063675B (en) Vehicle flow density calculation method, system, terminal and computer-readable storage medium
CN113538968B (en)Method and apparatus for outputting information
CN114926789A (en)Real-time traffic data acquisition method, system, equipment and storage medium for highway
Bhaskar et al.Enhanced and effective parallel optical flow method for vehicle detection and tracking

Legal Events

DateCodeTitleDescription
PB01Publication
PB01Publication
SE01Entry into force of request for substantive examination
SE01Entry into force of request for substantive examination
GR01Patent grant
GR01Patent grant

[8]ページ先頭

©2009-2025 Movatter.jp