Movatterモバイル変換


[0]ホーム

URL:


CN108986488B - A method and device for determining a collaborative trajectory of a ramp-merge in a vehicle-to-vehicle communication environment - Google Patents

A method and device for determining a collaborative trajectory of a ramp-merge in a vehicle-to-vehicle communication environment
Download PDF

Info

Publication number
CN108986488B
CN108986488BCN201810810596.XACN201810810596ACN108986488BCN 108986488 BCN108986488 BCN 108986488BCN 201810810596 ACN201810810596 ACN 201810810596ACN 108986488 BCN108986488 BCN 108986488B
Authority
CN
China
Prior art keywords
vehicle
ramp
main road
vehicles
acceleration
Prior art date
Legal status (The legal status is an assumption and is not a legal conclusion. Google has not performed a legal analysis and makes no representation as to the accuracy of the status listed.)
Expired - Fee Related
Application number
CN201810810596.XA
Other languages
Chinese (zh)
Other versions
CN108986488A (en
Inventor
王昊
姚东成
Current Assignee (The listed assignees may be inaccurate. Google has not performed a legal analysis and makes no representation or warranty as to the accuracy of the list.)
Southeast University
Original Assignee
Nanjing Duarte Traffic Technology Co Ltd
Southeast University
Priority date (The priority date is an assumption and is not a legal conclusion. Google has not performed a legal analysis and makes no representation as to the accuracy of the date listed.)
Filing date
Publication date
Application filed by Nanjing Duarte Traffic Technology Co Ltd, Southeast UniversityfiledCriticalNanjing Duarte Traffic Technology Co Ltd
Priority to CN201810810596.XApriorityCriticalpatent/CN108986488B/en
Publication of CN108986488ApublicationCriticalpatent/CN108986488A/en
Application grantedgrantedCritical
Publication of CN108986488BpublicationCriticalpatent/CN108986488B/en
Expired - Fee Relatedlegal-statusCriticalCurrent
Anticipated expirationlegal-statusCritical

Links

Images

Classifications

Landscapes

Abstract

The invention discloses a method and equipment for determining ramp merging cooperative track in a vehicle-vehicle communication environment, wherein the method comprises the steps of traversing main road vehicles one by one, judging whether ramp vehicles can smoothly merge into a certain main road vehicle and do not cause the influence exceeding an acceptance range on the operation of the main road vehicle, searching a proper lane changing gap and calculating the corresponding operation tracks of the ramp vehicles and the main road vehicle; if the appropriate lane changing gap is not searched, stopping the ramp vehicle for waiting; and if the suitable lane changing gap is searched, the ramp vehicles and the main road vehicles after the merging point run according to the calculated track, so that the ramp vehicles merge into the main road. Compared with the prior art, the method can enable the ramp vehicles to smoothly converge into the main road and enable the main road traffic flow to be influenced as little as possible by calculating the coordinated and matched motion track of the ramp automatic vehicles and the main road automatic vehicles, and achieves the local dynamic optimal effect.

Description

Method and equipment for determining ramp merging cooperative track in vehicle-vehicle communication environment
Technical Field
The invention belongs to the field of ramp afflux control in traffic signal control, and particularly relates to a method and equipment for determining a ramp afflux cooperative track in a vehicle-vehicle communication environment.
Background
With the great investment of the infrastructure of the traffic of various big cities, the enthusiasm of the construction of express ways is increased day by day. The expressway is used as a framework of an urban road system, bears main traffic flow of a city, can effectively relieve urban traffic jam, improves the running efficiency and the service level of an urban road network, and has the characteristics of smoothness, quickness, comfort and convenience. However, with the increasing and rapid increase of urban traffic, urban expressways lose their quick and efficient functions, and the processing is not good, but rather, the expressways become congestion nodes in urban traffic systems. How to adopt an effective control method to improve the use efficiency of an expressway system, strengthen the traffic control of the expressway system and recover the due functions of the expressway system becomes important for solving the traffic problems in cities.
If the geometric design of the expressway is reasonable, the acceleration lanes near the entrance ramp can generally ensure that vehicles driving into the acceleration lanes can safely merge into the main line traffic flow, but cannot ensure that the driving vehicles do not generate extrusion or retardation on the main line traffic flow in the process of merging into the main line. If some form of "merge control" can be taken, then "squeeze" or drag can be reduced, avoiding situations where the main line vehicle is forced to change lanes.
Under the traditional scene, the ramp vehicle judges the main road traffic flow through the driver, and searches for a proper gap to insert the main road traffic flow. However, the observation range, the calculation capability and the judgment accuracy of people are limited, and the situation that vehicles on a ramp cannot converge into a main road or forcibly converge into the main road to cause traffic jam of the main road often occurs.
With the development of artificial intelligence and car networking, car-car cooperative systems enter the field of vision of people. The vehicle-vehicle cooperation system is a system which acquires vehicle information based on technologies such as wireless communication, sensing detection and the like, performs information interaction and sharing, realizes intelligent cooperation and cooperation between vehicles, and achieves the aims of optimizing and utilizing system resources, improving road traffic safety and relieving traffic jam.
However, most of the existing researches provide safety early warning and lane change prompt for vehicles in a confluence area, the research on the cooperative control method of the automatic driving vehicles in the communication environment of the vehicles and the vehicles in the opposite directions is less, and even if the control method is provided, the accurate running tracks of vehicles merged into the ramp and main road traffic flow cannot be quantitatively provided.
Disclosure of Invention
The purpose of the invention is as follows: with the development of the automatic driving automobile and the car networking, the invention aims to provide a method and equipment for determining a ramp merging cooperative track in a car-to-car communication environment.
The technical scheme is as follows: in order to achieve the purpose, the invention adopts the following technical scheme:
a method for determining a ramp merging cooperative track in a vehicle-vehicle communication environment comprises the following steps:
(1) sequentially numbering vehicles on the upstream of the merging point of the ramp on the main road in the sequence from the downstream to the upstream, sequentially traversing from a second vehicle, and searching for a proper lane changing gap; the method for judging whether the insertion position exists between each vehicle and the front vehicle comprises the following steps:
(1.1) setting CiAnd Ci-1One more V is arranged in the middleiVirtual vehicle C traveling at speeduCalculating C using IDM following modeliAcceleration a ofiAnd virtual vehicle CuAcceleration a ofu(ii) a Wherein i is the serial number of the vehicles on the main road;
(1.2) if aiAnd auIf the current vehicle is not smaller than the set threshold value, continuing to execute the step (1.3), otherwise, judging that the current vehicle does not have an insertion position, and judging the next vehicle;
(1.3) judging the ramp vehicle C0Whether the speed can be changed in a coordinated manner with a rear vehicle at an insertion position or not is achieved, the purpose of smoothly merging into a main road is achieved, and the specific method is as follows:
straightening a ramp to be parallel to a main line, and establishing a planar two-dimensional coordinate system, wherein the horizontal axis is a time axis t, and the vertical axis is a distance axis y;
is provided with C0Accelerated at constant acceleration to obtain C0Is of0(t) setting a virtual vehicle CuIs always located at CiAnd Ci-1In the middle of the center, a virtual vehicle C is obtaineduIs ofu(t);
Calculating parabola y0(t) and line yu(t) whether the intersection point at the time of tangency satisfies three constraint conditions: acceleration limit of 0-amLane change position limit L1≤yu(t)≤L2And main road vehicle deceleration degree limit dminD is not less than 1; wherein a ismFor maximum acceleration, [ L ]1,L2]Y-axis range for lane-changing position, d is main road vehicle speed reduction factor, dminIs a set reduction coefficient threshold value;
if satisfied, it indicates C0At CiThe previous insertion does not cause obvious influence on the main road, the step (3) is carried out, otherwise, the current vehicle is considered to have no insertion position, and the judgment of the next vehicle is carried out;
(2) if the vehicle cannot search a proper insertion position after traversing is finished, C0Stopping at the entrance of the ramp for waiting;
(3)C0stably accelerating to dXV with acceleration ai,CiDecelerating to d × Vi,C0Keeping vehicle speed dXViAnd smoothly merge into the main road.
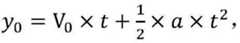
Preferably, in the step (1.3), C is set to 0 in the two-dimensional coordinate system when t is the current time point0The position point is y is equal to 0, and the ramp vehicle C0Run of (2)
Figure BDA0001739043080000031
Virtual vehicle CuRun of (2)
Figure BDA0001739043080000032
Figure BDA0001739043080000033
Wherein, bmFor the main road vehicle CiAllowable deceleration of, SiFor the main road vehicle CiThe distance between the car heads.
Preferably, in step (1.3), the intersection point is obtained by solving the following equation:
yu(t)=y0(t)
Figure BDA0001739043080000034
the equation is developed and solved specifically
Figure BDA0001739043080000035
Converting the three constraints into constraints with t and delta t as variables, and searching whether a feasible solution exists in a plane rectangular coordinate system with delta t as a horizontal axis and t as a vertical axis.
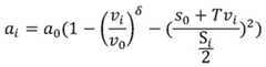
Preferably, step (1.1) is CiAnd CuAcceleration a ofiAnd auThe calculation formula is as follows:
Figure BDA0001739043080000036
Figure BDA0001739043080000037
wherein v is0Ideal driving speed, s0For a stationary safety distance, T a safety time interval, a starting acceleration, b a comfort deceleration, δ>0 is an acceleration index, viIs the speed of the ith vehicle, SiThe head distance of the ith vehicle.
The invention discloses computer equipment in another aspect, which comprises a memory, a processor and a computer program stored on the memory and capable of running on the processor, wherein the computer program realizes the ramp merging collaborative trajectory determination method when being loaded to the processor.
Has the advantages that: the ramp vehicle exceeds the constraints of the observation range, the calculation capability and the judgment accuracy of human drivers under the vehicle-vehicle communication condition. According to the convergence control strategy of the invention, the ramp vehicles and the main road traffic flow run according to the accurately calculated track, thereby reducing the occurrence of 'extrusion' or retardation, avoiding the situation that the main line vehicle is forced to change lanes, realizing that the main road traffic flow is interfered as low as possible while the ramp vehicles converge into the main road, and achieving the local dynamic optimal effect.
Drawings
Fig. 1 is a schematic diagram of ramp geometry, vehicle coordinates, and distance.
Fig. 2 is a schematic diagram of the coordinate movement of the virtual vehicle and the ramp merging vehicle.
Detailed Description
The invention is further described with reference to the following figures and specific embodiments.
The embodiment of the invention discloses a method for determining a ramp merging collaborative track in a vehicle-vehicle communication environment. The method comprises the steps of traversing main road vehicles one by one, judging whether ramp vehicles can smoothly converge into a certain main road vehicle and do not influence the operation of the main road vehicle by more than 10%, searching a proper lane change gap and calculating the corresponding running tracks of the ramp vehicles and the main road vehicle; if the appropriate lane changing gap is not searched, stopping the ramp vehicle for waiting; and if the suitable lane changing gap is searched, the ramp vehicles and the main road vehicles after the merging point run according to the calculated track, so that the ramp vehicles merge into the main road.
As shown in FIG. 1, let us assume that a fully-automatically driven vehicle (numbered C) is on the current ramp0) Has a velocity of V0The shortest distance from the allowable lane change zone is L1The length of the permitted lane change zone is L0The farthest distance from the allowable lane-changing area is L2=L1+L0(ii) a The fully-automatic driving vehicles on the main road at the upstream of the junction point of the ramp are sequentially numbered as C from downstream to upstream1、C2……Cn。CnThe farthest vehicle within H meters from the ramp merging area (empirical value of H is 500), C0And C1、C2……CnAnd automatically establishing communication connection.
The method for determining the ramp merging collaborative track in the embodiment of the invention specifically comprises the following steps:
1) from C2Start, traverse C2、C3……CnAnd repeatedly executing the steps 11) to 19) to search for a proper lane change gap. Namely, traversing the vehicles in the main road fleet, searching for a proper inserted vehicle, and mainly executing two layers of judgment conditions: the first layer is used for judging whether the size of the gap is sufficient or not; and if the second layer meets the first layer, judging whether the ramp vehicle can change speed in a coordinated manner with the rear vehicle in the insertion position, thereby achieving the purpose of smoothly converging into the main road.
11) Marking the number of the currently traversed vehicle as Ci(i is more than or equal to 2 and less than or equal to n) which is connected with the front vehicle Ci-1Head interval of SiAt a current vehicle speed ViWith a minimum distance Y from the zone of permitted lane changei
12) The following scenario judgment is carried out:
121) if CiAnd Ci-1Suddenly increase one more V in the middleiVirtual vehicle C traveling at speeduCalculating CiAcceleration a ofiAnd virtual vehicle CuAcceleration a ofu
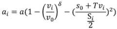
This step uses the IDM following model to calculate CiAnd CuAcceleration a ofiAnd au
Figure BDA0001739043080000051
Figure BDA0001739043080000052
Wherein v is0Ideal driving speed (default 35m/s), s0A static safety distance (default 10m), T a safety time interval (default 2s), a breakaway acceleration (default 2 m/s)2) B is comfort deceleration (default 1 m/s)2),δ>0 is the acceleration index (default 2), viIs the speed of the ith vehicle, SiThe head distance of the ith vehicle.
122) If aiAnd auAre not less than-1 m/s2If yes, the step 13) is continuously executed, otherwise, the loop is ended, the next loop is entered, and the vehicle C is traversedi+1
13) Let virtual vehicle CuRetention and CiRunning at the same speed, virtual vehicle CuIs always located at CiFront stage
Figure BDA0001739043080000053
At least one of (1) and (b);
14) straightening a ramp to be parallel to a main line, establishing a planar two-dimensional coordinate system, wherein the horizontal axis is a time axis t, the current time is t-0, and the vertical axis is a distance axis y, C0The position point is y which is 0; the following coordinates were determined:
141) calculating y-axis range [ L ] of lane-changing position1,L2];
142) Virtual vehicle C when t is calculated to be 0uY coordinate of
Figure BDA0001739043080000054
15) Is provided with C0The current vehicle speed is V0At the mostA large acceleration of am,C0Accelerated at constant acceleration to obtain C0Run of (2)
Figure BDA0001739043080000055
0≤a≤am
16) Vehicle C with main roadiCoordination C0The maximum influence degree of the main road vehicle is 10 percent, and the speed is reduced to 0.9V at the minimumi(ii) a The speed reduction coefficient is d, and d is more than or equal to 0.9 and less than or equal to 1. Main road vehicle CiIs bm(ii) a Calculating a virtual vehicle trajectory:
161) calculate from ViDecelerating to d × ViRequired time of
Figure BDA0001739043080000056
162) Calculating the time C of decelerationiDistance of advance
Figure BDA0001739043080000057
163) If the virtual vehicle will always be at CiFront stage
Figure BDA0001739043080000058
Get a virtual vehicle CuRun of (2)
Figure BDA0001739043080000059
17) Solving the following equation:
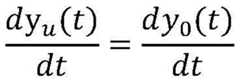
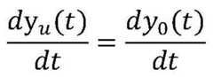
yu(t)=y0(t)
Figure BDA0001739043080000061
18) judging whether the solved solution meets three constraint conditions:
acceleration limit of 0-am
Lane change position limit L1≤yu(t)≤L2
The deceleration degree of the vehicle on the main road is limited, and d is more than or equal to 0.9 and less than or equal to 1;
19) if the calculated t, a and d satisfy the constraint conditions, then C is indicated0At CiThe previous insertion does not cause obvious influence on the main path, and the loop is skipped to enter the step 3); otherwise, entering the next cycle;
2) if the vehicle is traversed and the proper inserting position cannot be searched, C0Stopping at the entrance of the ramp for waiting;
3)C0stably accelerating to dXV with acceleration ai,CiDecelerating to d × Vi,C0Keeping vehicle speed dXViAnd smoothly merge into the main road.
When the second layer condition is determined, the essence is to calculate the parabola y0And a straight line yuWhether the intersection point at the time of tangency satisfies three constraint conditions: acceleration limit, lane change position limit, and main road vehicle deceleration degree limit.
yu(t)=y0(t)
Figure BDA0001739043080000062
The equation is developed and solved specifically
Figure BDA0001739043080000063
Constrain three
0.9≤d≤1
0≤a≤am
L1≤yu(t)≤L2
Is arranged into
Figure BDA0001739043080000064
Figure BDA0001739043080000065
Figure BDA0001739043080000066
Figure BDA0001739043080000071
That is, according to the relationship between t and Δ t, whether a feasible solution exists is found in a rectangular plane coordinate system with Δ t as the horizontal axis and t as the vertical axis.
If a feasible solution exists, illustrate C0At CiBefore insertion does not cause obvious influence on main path, end traversal, C0And CiProgress is planned until confluence, see fig. 2. Otherwise, entering the next judgment cycle.
Based on the same technical concept, the embodiment of the invention discloses a computer device, which comprises a memory, a processor and a computer program stored on the memory and capable of running on the processor, wherein the computer program is loaded to the processor to realize the ramp merging collaborative trajectory determination method described in the embodiment.

Claims (5)

Translated fromChinese
1.一种车车通信环境下匝道汇入协同轨迹确定方法,其特征在于,包括以下步骤:1. A method for determining a collaborative trajectory of ramp-in under a vehicle-to-vehicle communication environment, is characterized in that, comprises the following steps:(1)将主路上匝道汇入点上游的车辆以从下游到上游的顺序依次编号,从第二辆车开始依次遍历,搜索合适的换道间隙;其中判断每辆车与前车之间的是否存在插入位置的方法包括:(1) Number the vehicles upstream of the entry point of the ramp on the main road in order from downstream to upstream, traverse from the second vehicle in sequence, and search for a suitable lane-changing gap; in which, determine the distance between each vehicle and the preceding vehicle. The methods for the presence or absence of the caret position include:(1.1)设Ci与Ci-1正中间多出一辆以速度Vi行驶的虚拟车辆Cu,使用IDM跟驰模型计算Ci的加速度ai与虚拟车辆Cu的加速度au;其中i为主路上车辆编号;(1.1) set a virtual vehicle Cu running at the speed Vi in the middle of Ci and Ci-1 , and use the IDM car following model to calculate the acceleration ai of Ci and the acceleration au of the virtual vehicle C u; where i is the vehicle number on the main road;(1.2)若ai与au均不小于设定的阈值,则继续执行步骤(1.3),否则认为当前车辆不存在插入位置,进行下一辆车的判断;(1.2) If both ai and au are not less than the set threshold, then continue to perform step (1.3), otherwise it is considered that the current vehicle does not have an insertion position, and the next vehicle is judged;(1.3)判断匝道车辆C0是否能够通过与插入位置的后车进行协同变化速度的方式,达到顺利汇入主路的目的,具体方法为:(1.3) Determine whether the ramp vehicle C0 can successfully merge into the main road by changing the speed in coordination with the rear vehicle at the insertion position. The specific method is as follows:将匝道拉直与主线平行,建立平面二维坐标系,横轴为时间轴t,纵轴为距离轴y;Straighten the ramp to be parallel to the main line, and establish a plane two-dimensional coordinate system, the horizontal axis is the time axis t, and the vertical axis is the distance axis y;设C0以恒定加速度加速,得到C0的运行轨迹y0(t),设虚拟车辆Cu一直位于Ci与Ci-1正中间,得到虚拟车辆Cu的运行轨迹yu(t);Assume that C0 accelerates at a constant acceleration to obtain the running track y0 (t) of C0 , and set the virtual vehicle Cu to be in the middle of Ci and Ci-1 all the time, and obtain the running track yu (t) of the virtual vehicle Cu ;计算抛物线y0(t)与直线yu(t)相切时的交点是否满足三个约束条件:加速度限制0≤a≤am、换道位置限制L1≤yu(t)≤L2和主路车辆减速程度限制dmin≤d≤1;其中am为最大加速度,[L1,L2]为可换道位置的y轴范围,L1为C0距离准许变道区的最近距离,L2为C0距离准许变道区的最远距离,d为主路车辆速度折减系数,dmin为设定的折减系数阈值;Calculate whether the intersection point when the parabola y0 (t) is tangent to the straight line yu (t) satisfies three constraints: acceleration limit0≤a≤am , lane change position limit L1 ≤yu (t)≤L2 and the main road vehicle deceleration degree limit dmin ≤ d ≤ 1; where am is the maximum acceleration, [L1 , L2 ] is the y-axis range of the lane-changing position, and L1 is the closest distance from C0 to the permitted lane-changing area distance, L2 is the farthest distance from C0 to the permitted lane change area, d is the speed reduction coefficient of the main road vehicle, and dmin is the set reduction coefficient threshold;若满足则说明C0在Ci之前插入不会给主路造成明显影响,进入步骤(3),否则认为当前车辆不存在插入位置,进行下一辆车的判断;If it is satisfied, it means that the insertion of C0 before Ci will not have a significant impact on the main road, and step (3) is entered, otherwise, it is considered that the current vehicle does not have an insertion position, and the judgment of the next vehicle is carried out;(2)若车辆遍历结束未能搜索到合适的插入位置,则C0在匝道入口处停车等待;(2) If the vehicle fails to search for a suitable insertion position at the end of the traversal, then C0 stops at the entrance of the ramp and waits;(3)C0以加速度a稳定加速至d×Vi,Ci减速至d×Vi,C0保持车速d×Vi并顺利汇入主路。(3) C0 stably accelerates to d×Vi with acceleration a, Ci decelerates to d×Vi , C0 maintains the vehicle speed d×Vi and smoothly merges into the main road.2.根据权利要求1所述的一种车车通信环境下匝道汇入协同轨迹确定方法,其特征在于,所述步骤(1.3)中,二维坐标系中以当前时刻为t=0,C0所在位置点为y=0,匝道车辆C0的运行轨迹
Figure FDA0002295708620000011
虚拟车辆Cu的运行轨迹
Figure FDA0002295708620000021
Figure FDA0002295708620000022
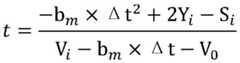
其中,bm为主路车辆Ci的容许减速度,Si为主路车辆Ci的车头间距,Yi为主路车辆Ci距离准许变道区的最近距离。2 . The method for determining a collaborative trajectory of a ramp merged into a vehicle-to-vehicle communication environment according to claim 1 , wherein in the step (1.3), in the two-dimensional coordinate system, the current moment is t=0, C The location point of0 is y=0, and the running track of the ramp vehicle C0
Figure FDA0002295708620000011
The running track of the virtual vehicle Cu
Figure FDA0002295708620000021
Figure FDA0002295708620000022
Among them, bm is the allowable deceleration of the main road vehicle Ci , Si is the head distance of the main road vehicle Ci , and Yi is the shortest distance from the main road vehicle Ci to the permitted lane change area.3.根据权利要求2所述的一种车车通信环境下匝道汇入协同轨迹确定方法,其特征在于,所述步骤(1.3)中通过求解如下方程得到交点:3. The method for determining a collaborative trajectory of a ramp into a vehicle under a vehicle-to-vehicle communication environment according to claim 2, wherein in the step (1.3), the intersection is obtained by solving the following equation:yu(t)=y0(t)yu (t)=y0 (t)
Figure FDA0002295708620000023
Figure FDA0002295708620000023
将方程具体展开解得Expand the equation to get
Figure FDA0002295708620000024
Figure FDA0002295708620000024
将三个约束转换成以t与Δt为变量的约束,在以Δt为横轴,t为纵轴的平面直角坐标系中,寻找是否存在可行解。Convert the three constraints into constraints with t and Δt as variables, and find whether there is a feasible solution in a plane rectangular coordinate system with Δt as the horizontal axis and t as the vertical axis.
4.根据权利要求1所述的一种车车通信环境下匝道汇入协同轨迹确定方法,其特征在于,步骤(1.1)中Ci和Cu的加速度ai与au计算公式为:4. under a kind of vehicle-to-vehicle communication environment according to claim 1, it is characterized in that, in step (1.1), the acceleration ai of Ci and Cu and the calculation formula of au are:
Figure FDA0002295708620000025
Figure FDA0002295708620000025
Figure FDA0002295708620000026
Figure FDA0002295708620000026
其中,v0为理想驾驶速度,s0为静止安全距离,T为安全时间间隔,a0为起步加速度,b为舒适减速度,δ>0为加速度指数,vi为第i辆车的速度,Si为第i辆车的车头间距。Among them, v0 is the ideal driving speed, s0 is the static safety distance, T is the safety time interval, a0 is the starting acceleration, b is the comfortable deceleration, δ>0 is the acceleration index, and vi is the speed of theith vehicle , Si is the head-to-head distance of the i-th vehicle.
5.一种计算机设备,包括存储器、处理器及存储在存储器上并可在处理器上运行的计算机程序,其特征在于,所述计算机程序被加载至处理器时实现根据权利要求1-4任一项所述的匝道汇入协同轨迹确定方法。5. A computer device comprising a memory, a processor and a computer program that is stored on the memory and can run on the processor, wherein the computer program is loaded into the processor to realize any one of claims 1-4. A method for determining a ramp-in-cooperative trajectory.
CN201810810596.XA2018-07-232018-07-23 A method and device for determining a collaborative trajectory of a ramp-merge in a vehicle-to-vehicle communication environmentExpired - Fee RelatedCN108986488B (en)

Priority Applications (1)

Application NumberPriority DateFiling DateTitle
CN201810810596.XACN108986488B (en)2018-07-232018-07-23 A method and device for determining a collaborative trajectory of a ramp-merge in a vehicle-to-vehicle communication environment

Applications Claiming Priority (1)

Application NumberPriority DateFiling DateTitle
CN201810810596.XACN108986488B (en)2018-07-232018-07-23 A method and device for determining a collaborative trajectory of a ramp-merge in a vehicle-to-vehicle communication environment

Publications (2)

Publication NumberPublication Date
CN108986488A CN108986488A (en)2018-12-11
CN108986488Btrue CN108986488B (en)2020-03-31

Family

ID=64550644

Family Applications (1)

Application NumberTitlePriority DateFiling Date
CN201810810596.XAExpired - Fee RelatedCN108986488B (en)2018-07-232018-07-23 A method and device for determining a collaborative trajectory of a ramp-merge in a vehicle-to-vehicle communication environment

Country Status (1)

CountryLink
CN (1)CN108986488B (en)

Families Citing this family (14)

* Cited by examiner, † Cited by third party
Publication numberPriority datePublication dateAssigneeTitle
CN109774716B (en)*2019-01-162021-11-09阿波罗智能技术(北京)有限公司 Vehicle control method and device
CN110379193B (en)*2019-07-082021-07-20华为技术有限公司 Behavior planning method and behavior planning device for autonomous vehicle
CN110570049B (en)*2019-09-192022-04-29西南交通大学 A low-level control method for synergistic optimization of highway mixed traffic flow convergence
CN110660213B (en)*2019-10-112022-02-25中国联合网络通信集团有限公司 Ramp vehicle merging method, roadside equipment, and vehicle
CN110853378A (en)*2019-11-192020-02-28中国联合网络通信集团有限公司 A method and system for the management of a vehicle on-ramp
CN111754774B (en)*2020-07-022022-04-19清华大学Safe self-organizing traffic control method for intelligent network-connected automobile at expressway ramp port
CN112233413B (en)*2020-07-202022-03-29北方工业大学 A multi-lane spatiotemporal trajectory optimization method for intelligent networked vehicles
CN113971894A (en)*2020-07-242022-01-25奥迪股份公司 Vehicle control method, device, electronic device, and vehicle
CN114677858B (en)*2020-12-242024-04-02长沙智能驾驶研究院有限公司 Vehicle management methods, devices, equipment and computer storage media
CN112750318B (en)*2020-12-302022-07-05山东高速信息集团有限公司Ramp confluence control method and system based on edge cloud
CN113327441B (en)*2021-02-042022-03-08长沙理工大学Network-connection automatic vehicle speed control and track optimization method based on highway confluence area
CN115578865B (en)*2022-09-282023-08-29东南大学Automatic driving vehicle converging gap selection optimization method based on artificial intelligence
CN115662170A (en)*2022-11-032023-01-31浙江大学 Method and system for cooperative merging control of intelligent networked vehicle ramps on expressways under the condition of intelligent networked mixed traffic
CN116386385B (en)*2023-02-172024-03-26东南大学 An intelligent network-connected vehicle on-ramp merging control protocol based on mixed traffic flow

Family Cites Families (6)

* Cited by examiner, † Cited by third party
Publication numberPriority datePublication dateAssigneeTitle
CN102360522B (en)*2011-09-272013-11-13浙江交通职业技术学院Highway optimization control method
CN104464317B (en)*2014-12-032016-05-11武汉理工大学On-Ramp on Freeway interflow district's guiding control system and method
CN105825669B (en)*2015-08-152018-06-08北京数行健科技有限公司A kind of system and method for identifying urban expressway traffic bottleneck
CN106601002B (en)*2016-11-232019-06-07苏州大学Entrance ramp vehicle passing guiding system and method under Internet of vehicles environment
CN108204819B (en)*2016-12-192020-10-30北京四维图新科技股份有限公司Map data automatic detection method and device and hybrid navigation system
CN107093332B (en)*2017-07-062019-10-22哈尔滨工业大学 Safety early warning system for urban expressway ramp merge area

Also Published As

Publication numberPublication date
CN108986488A (en)2018-12-11

Similar Documents

PublicationPublication DateTitle
CN108986488B (en) A method and device for determining a collaborative trajectory of a ramp-merge in a vehicle-to-vehicle communication environment
CN106601002B (en)Entrance ramp vehicle passing guiding system and method under Internet of vehicles environment
CN109272748B (en)Ramp cooperative merging method and system under vehicle-vehicle communication combined auxiliary driving environment
CN113192331B (en) An intelligent early warning system and early warning method for riding safety in a networked environment
CN112233413B (en) A multi-lane spatiotemporal trajectory optimization method for intelligent networked vehicles
CN113246985A (en)Intelligent network vehicle merging and changing control method for expressway ramps under mixed-traveling condition
CN108765982A (en)Signalized crossing speed guiding system and bootstrap technique under bus or train route cooperative surroundings
CN110329263A (en)The adaptive lane-change method for planning track of automatic driving vehicle
CN106991846A (en)A kind of vehicle on highway under car networking environment forces lane-change control method
CN108986471A (en)Intersection vehicles bootstrap technique under the conditions of mixed traffic
CN112040392A (en)Multi-vehicle cooperative lane change control system and method based on vehicle-to-vehicle communication
CN109493593B (en) An optimization method of bus running trajectory considering comfort
CN113327441B (en)Network-connection automatic vehicle speed control and track optimization method based on highway confluence area
CN108320535B (en)Traffic control method for interlaced vehicles in road traffic area
CN113345240A (en)Highway vehicle importing method and system based on intelligent networking environment
CN111754774B (en)Safe self-organizing traffic control method for intelligent network-connected automobile at expressway ramp port
CN114299755B (en)Intelligent network connection queue channel switching method
CN107766615A (en)Mainline toll station ETC Warning Marks based on dynamics simulation are set apart from method for evaluating safety
CN115376346A (en) Cooperative intersection method of multi-mode driving vehicles in the merge area of expressway under mixed traffic conditions
CN116013078B (en)Dynamic control method for merging main line of ramp vehicles in rapid transit merging area
CN113110043B (en) A Vehicle Entry Control Method Considering Workshop Interaction
CN115662131A (en)Multi-lane cooperative lane changing method for road accident section in networking environment
CN116824876A (en)Intelligent vehicle-road cooperation annular intersection vehicle lane change traffic guiding method
CN111899509B (en) A state vector calculation method for intelligent networked vehicles based on vehicle-road information coupling
CN107215333A (en)A kind of cooperative self-adapted cruise strategy of the economy of use sliding mode

Legal Events

DateCodeTitleDescription
PB01Publication
PB01Publication
SE01Entry into force of request for substantive examination
SE01Entry into force of request for substantive examination
GR01Patent grant
GR01Patent grant
TR01Transfer of patent right
TR01Transfer of patent right

Effective date of registration:20210419

Address after:211189 Jiangsu Road, Jiangning District, Southeast University, No. 2, No.

Patentee after:SOUTHEAST University

Address before:211189 Jiangsu Road, Jiangning District, Southeast University, No. 2, No.

Patentee before:SOUTHEAST University

Patentee before:NANJING AERTE TRAFFIC TECHNOLOGY Co.,Ltd.

CF01Termination of patent right due to non-payment of annual fee
CF01Termination of patent right due to non-payment of annual fee

Granted publication date:20200331


[8]ページ先頭

©2009-2025 Movatter.jp