


技术领域technical field
本发明涉及电力系统防灾减灾技术领域,尤其涉及一种输电线路山火的同步卫星-地面联动的监测方法及系统。The invention relates to the technical field of disaster prevention and mitigation of power systems, in particular to a synchronous satellite-ground linkage monitoring method and system for mountain fires in transmission lines.
背景技术Background technique
山火会造成输电线路周围空气间隙的绝缘损坏,导致跳闸。中国山火年均高达7万多处,特高压长南线和复奉线等重要线路多次因山火发生闭锁事故,单次损失负荷超过数百万千瓦,严重影响人们生产生活和社会稳定。输电线路山火与大面积森林火灾不同,主要发生在人为活动频繁的荆棘或灌木丛等非森林地带,具有面积小、点多面广的特点,且蔓延迅速,极易引发线路跳闸,导致供电中断。因此,电网大范围小面积山火监测实时性要求极高。Wildfires can damage insulation in air gaps around transmission lines, leading to tripping. On average, there are more than 70,000 mountain fires in China every year. Important lines such as the UHV Changnan Line and Fufeng Line have been blocked many times due to mountain fires. The single loss of load exceeds several million kilowatts, which seriously affects people's production, life and social stability. . Transmission line mountain fires are different from large-scale forest fires. They mainly occur in non-forest areas such as thorns or bushes with frequent human activities. They have the characteristics of small area, many points and wide areas, and spread rapidly, which can easily cause line tripping and lead to power supply interruption. . Therefore, the real-time monitoring of large-scale and small-area wildfires in the power grid is extremely high.
安装在输电线路杆塔上的山火地面监测装置实时性强,准确性高,但监测半径仅为1公里,而输电线路杆塔多达数百万基,装置无法全覆盖。同时,地面监测装置运行功率约为25W,即使在天气晴朗的夏天,其太阳能充电功率也仅15-20W,因此该装置无法长期持续运行;利用同步卫星监测山火方式,可同时监测全中国范围,且每隔10-15min接收一次同步卫星数据,有效克服了极轨卫星扫描范围有限、卫星过境时间间隔长的缺点。然而,同步卫星距离地面高达36000公里,信号较弱,受云层遮挡影响十分严重,因此在云层下方的山火通常无法发现。The mountain fire ground monitoring device installed on the transmission line tower has strong real-time performance and high accuracy, but the monitoring radius is only 1 km, and the transmission line tower has millions of bases, so the device cannot fully cover it. At the same time, the operating power of the ground monitoring device is about 25W. Even in sunny summer, its solar charging power is only 15-20W, so the device cannot run continuously for a long time; the use of synchronous satellites to monitor wildfires can simultaneously monitor the whole of China. , and receives synchronous satellite data every 10-15 minutes, effectively overcoming the shortcomings of limited scanning range of polar orbiting satellites and long satellite transit time intervals. However, the synchronous satellite is as high as 36,000 kilometers from the ground, the signal is weak, and it is seriously affected by the occlusion of clouds, so wildfires below the clouds are usually undetectable.
发明内容SUMMARY OF THE INVENTION
本发明提供了一种输电线路山火的同步卫星-地面联动的监测方法及系统,用以解决山火地面监测装置覆盖不全且无法长期持续运行,而同步卫星监测山火受云层遮挡导致火点漏报的技术问题。The invention provides a synchronous satellite-ground linkage monitoring method and system for mountain fires in transmission lines, which is used to solve the problem that the ground monitoring devices for mountain fires are not fully covered and cannot operate continuously for a long time, and the synchronous satellite monitoring of mountain fires is blocked by clouds and causes the fire point Underreported technical issues.
为解决上述技术问题,本发明提出的技术方案为:In order to solve the above-mentioned technical problems, the technical scheme proposed by the present invention is:
一种输电线路山火的同步卫星-地面联动的监测方法,包括以下步骤:A method for monitoring synchronous satellite-ground linkage of mountain fires in transmission lines, comprising the following steps:
云层识别:利用每一次同步卫星数据,使用卫星云检测算法检测云层位置;Cloud layer identification: Using each synchronous satellite data, use the satellite cloud detection algorithm to detect the cloud layer position;
云层位置预测:根据历史数据计算得到的云层位置信息,预测当前云层移动速度矢量,得到下一时刻云层位置,并提取下一时刻云层位置的边界;Cloud layer position prediction: According to the cloud layer position information calculated from the historical data, predict the current cloud layer moving speed vector, obtain the cloud layer position at the next moment, and extract the boundary of the cloud layer position at the next moment;
盲区计算:根据下一时刻云层位置的边界,利用地理信息系统识别下一时刻云层下方的地面监测装置;Blind zone calculation: According to the boundary of the cloud layer at the next moment, use the geographic information system to identify the ground monitoring device under the cloud layer at the next moment;
启停控制:将下一时刻同步卫星的监测盲区内的地面监测装置启动,并将上一时刻监测盲区内已启动的地面监测装置关闭。Start-stop control: start the ground monitoring device in the monitoring blind area of the synchronous satellite at the next moment, and turn off the ground monitoring device that has been activated in the monitoring blind area at the previous moment.
优选地,预测当前云层移动速度矢量的计算公式如下:Preferably, the calculation formula for predicting the current cloud velocity vector is as follows:
其中,为T+1时刻速度矢量,当k从1至N-1取值时,代表从T时刻往前共N-1个相邻两时刻之间云层移动的平均速度矢量,w1,w1q,w1q2,~w1qN-2为由等比数列构成的权重系数,q为公比。in, is the velocity vector at time T+1, when k takes a value from 1 to N-1, Represents the average velocity vector of cloud layer movement between N-1 adjacent moments from time T forward, w1 , w1 q, w1 q2 , ~w1 qN-2 are composed of proportional sequences Weight coefficient, q is a common ratio.
优选地,公式(2)中,N为6~10,Preferably, in formula (2), N is 6-10,
优选地,云层位置计算包括根据当前云层移动速度矢量计算下一时刻的云层中心位置,计算公式如下:Preferably, the cloud layer position calculation includes calculating the cloud layer center position at the next moment according to the current cloud layer moving speed vector, and the calculation formula is as follows:
其中,为T+1时刻云层中心的位置矢量,为T时刻的位置矢量,为T+1时刻速度矢量,t为同步卫星数据时间间隔。in, is the position vector of the cloud center at time T+1, is the position vector at time T, is the velocity vector at time T+1, and t is the time interval of synchronous satellite data.
优选地,云层位置计算还包括:提取监测影像中T时刻的云层的轮廓,得到边界曲线;将边界曲线移动得到预测的T+1时刻的云层边界。Preferably, the cloud layer position calculation further includes: extracting the contour of the cloud layer at time T in the monitoring image to obtain a boundary curve; moving the boundary curve Get the predicted cloud boundary at time T+1.
本发明还提供一种输电线路山火的同步卫星-地面联动的监测系统,包括:The present invention also provides a synchronous satellite-ground linkage monitoring system for mountain fires in power transmission lines, including:
云层识别单元,用于利用每一次同步卫星数据,使用卫星云检测算法检测云层位置;The cloud layer identification unit is used to detect the cloud layer position using the satellite cloud detection algorithm using each synchronous satellite data;
云层位置预测单元,用于根据历史数据计算得到的云层位置信息,预测当前云层移动速度矢量,得到下一时刻云层位置,并提取下一时刻云层位置的边界;The cloud layer position prediction unit is used to predict the current cloud layer moving speed vector according to the cloud layer position information calculated from the historical data, obtain the cloud layer position at the next moment, and extract the boundary of the cloud layer position at the next moment;
盲区计算单元,用于根据下一时刻云层位置的边界,利用地理信息系统识别下一时刻云层下方的地面监测装置;The blind area calculation unit is used to identify the ground monitoring device under the cloud layer at the next moment by using the geographic information system according to the boundary of the cloud layer position at the next moment;
启停控制单元,用于将下一时刻同步卫星的监测盲区内的地面监测装置启动,并将上一时刻监测盲区内已启动的地面监测装置关闭。The start-stop control unit is used to start the ground monitoring device in the monitoring blind area of the synchronous satellite at the next moment, and close the ground monitoring device that has been started in the monitoring blind area at the previous moment.
优选地,云层位置预测单元,包括:Preferably, the cloud layer position prediction unit includes:
移动速度矢量计算单元,用于根据历史数据计算得到的云层位置信息,预测当前云层移动速度矢量;The moving speed vector calculation unit is used to predict the current cloud moving speed vector according to the cloud layer position information calculated from the historical data;
云层中心位置计算单元,用于根据当前云层移动速度矢量,计算下一时刻的云层中心位置;The cloud layer center position calculation unit is used to calculate the cloud layer center position at the next moment according to the current cloud layer moving speed vector;
云层边界计算单元,用于提取监测影像中当前时刻的云层的轮廓,得到边界曲线;将边界曲线移动云层移动速度矢量与同步卫星数据时间间隔的乘积,得到预测的下一时刻的云层边界。The cloud layer boundary calculation unit is used to extract the contour of the cloud layer at the current moment in the monitoring image to obtain the boundary curve; the boundary curve is moved by the product of the cloud layer moving speed vector and the time interval of the synchronous satellite data to obtain the predicted cloud layer boundary at the next moment.
本发明还提供一种计算机设备,包括存储器、处理器以及存储在存储器上并可在处理器上运行的计算机程序,处理器执行计算机程序时实现上述任一方法的步骤。The present invention also provides a computer device, comprising a memory, a processor, and a computer program stored in the memory and running on the processor, and the processor implements the steps of any of the above methods when the processor executes the computer program.
本发明具有以下有益效果:The present invention has the following beneficial effects:
本发明的输电线路山火的同步卫星-地面联动的监测方法,通过对同步卫星监测云层移动路径预测,提前启动下一时刻监测盲区内的地面监测装置,既避免了同步卫星云层盲区下方无监测手段的弊端,又将大部分非盲区下方的地面监测装置关闭蓄能,提高了地面监测装置的利用效率。显著提升输电线路小面积山火监测水平。The synchronous satellite-ground linkage monitoring method for the transmission line mountain fire of the present invention, by predicting the movement path of the synchronous satellite monitoring cloud layer, starts the ground monitoring device in the monitoring blind area at the next moment in advance, which avoids the lack of monitoring under the blind area of the synchronous satellite cloud layer. The disadvantages of the method are that most of the ground monitoring devices below the non-blind areas are turned off to store energy, which improves the utilization efficiency of the ground monitoring devices. Significantly improve the monitoring level of small-area wildfires in transmission lines.
除了上面所描述的目的、特征和优点之外,本发明还有其它的目的、特征和优点。下面将参照附图,对本发明作进一步详细的说明。In addition to the objects, features and advantages described above, the present invention has other objects, features and advantages. The present invention will be described in further detail below with reference to the accompanying drawings.
附图说明Description of drawings
构成本申请的一部分的附图用来提供对本发明的进一步理解,本发明的示意性实施例及其说明用于解释本发明,并不构成对本发明的不当限定。在附图中:The accompanying drawings constituting a part of the present application are used to provide further understanding of the present invention, and the exemplary embodiments of the present invention and their descriptions are used to explain the present invention and do not constitute an improper limitation of the present invention. In the attached image:
图1是本发明优选实施例的输电线路山火的同步卫星-地面联动的监测方法的流程示意图;1 is a schematic flowchart of a method for monitoring synchronous satellite-ground linkage of a transmission line mountain fire according to a preferred embodiment of the present invention;
图2是本发明优选实施例1的同步卫星监测云层位置预测示意图;Fig. 2 is the schematic diagram of position prediction of cloud layer monitoring by synchronous satellite according to
图3是本发明优选实施例1的同步卫星-地面联动监测流程图。FIG. 3 is a flow chart of the synchronized satellite-terrestrial linkage monitoring according to the
图例说明:illustration:
1、云层位置;2、云层移动路径;3、云层移动速度矢量。1. Cloud position; 2. Cloud moving path; 3. Cloud moving speed vector.
具体实施方式Detailed ways
以下结合附图对本发明的实施例进行详细说明,但是本发明可以由权利要求限定和覆盖的多种不同方式实施。The embodiments of the present invention are described in detail below with reference to the accompanying drawings, but the present invention can be implemented in many different ways as defined and covered by the claims.
参见图1,本发明的输电线路山火的同步卫星-地面联动的监测方法,包括以下步骤:Referring to FIG. 1 , the method for monitoring the synchronous satellite-ground linkage of the transmission line mountain fire of the present invention includes the following steps:
S1:云层识别:利用每一次同步卫星数据,使用卫星云检测算法检测云层位置;S1: Cloud layer identification: Using each synchronous satellite data, use the satellite cloud detection algorithm to detect the cloud layer position;
S2:云层位置预测:根据历史数据计算得到的云层位置信息,预测当前云层移动速度矢量,得到下一时刻云层位置,并提取下一时刻云层位置的边界;S2: Cloud layer position prediction: According to the cloud layer position information calculated from the historical data, predict the current cloud layer moving speed vector, obtain the cloud layer position at the next moment, and extract the boundary of the cloud layer position at the next moment;
S3:盲区计算:根据下一时刻云层位置的边界,利用地理信息系统识别下一时刻云层下方的地面监测装置;S3: Blind zone calculation: According to the boundary of the cloud layer position at the next moment, use the geographic information system to identify the ground monitoring device under the cloud layer at the next moment;
S4:启停控制:将下一时刻同步卫星的监测盲区内的地面监测装置启动,并将上一时刻监测盲区内已启动的地面监测装置关闭。S4: start-stop control: start the ground monitoring device in the monitoring blind area of the synchronous satellite at the next moment, and turn off the ground monitoring device that has been activated in the monitoring blind area at the previous moment.
上述步骤,通过对同步卫星监测云层移动路径预测,提前启动下一时刻监测盲区内的地面监测装置,既避免了同步卫星云层盲区下方无监测手段的弊端,又将大部分非盲区下方的地面监测装置关闭蓄能,提高了地面监测装置的利用效率。显著提升输电线路小面积山火监测水平。In the above steps, by predicting the moving path of the cloud layer monitored by the synchronous satellite, the ground monitoring device in the monitoring blind zone at the next moment is activated in advance, which not only avoids the disadvantage of no monitoring means under the blind zone of the synchronous satellite cloud layer, but also monitors most of the ground below the non-blind zone. The device is closed to store energy, which improves the utilization efficiency of the ground monitoring device. Significantly improve the monitoring level of small-area wildfires in transmission lines.
实际实施时,以上的方法还能进行以下的扩充或应用,以下实施例中的技术特征都能相互组合,实施例仅作为示例,不作为对技术特征的正常组合限制。In actual implementation, the above method can also be extended or applied as follows. The technical features in the following embodiments can be combined with each other. The embodiments are only examples and are not intended to limit the normal combination of technical features.
实施例1:Example 1:
图2是本发明优选实施例的同步卫星监测云层位置预测示意图,图2中,同步卫星监测到的云层位置1在卫星接收数据的固定时间间隔内不断变化,得到云层移动路径2,通过相邻两个云层位置1以及已知的时间间隔,可求取相应时间段内云层移动速度矢量3。Fig. 2 is a schematic diagram of the cloud layer position prediction of the synchronous satellite monitoring according to the preferred embodiment of the present invention. In Fig. 2, the
参见图3,本实施例的输电线路山火的同步卫星-地面联动的监测方法,包括以下步骤:Referring to FIG. 3 , the method for monitoring the synchronous satellite-ground linkage of mountain fires on power transmission lines in this embodiment includes the following steps:
S1:云层识别:利用每一次同步卫星数据(本实施例使用的是,卫星下发的原始数据中可用于云层检测的部分),使用卫星云检测算法检测云层位置1。S1: Cloud layer identification: Using each synchronous satellite data (this embodiment uses the part of the original data sent by the satellite that can be used for cloud layer detection), use the satellite cloud detection algorithm to detect
S2:云层位置1预测:根据历史数据计算得到的云层位置1信息,预测当前云层移动速度矢量3,得到下一时刻云层位置1,并提取下一时刻云层位置1的边界。S2:
S201:速度矢量预测。S201: Velocity vector prediction.
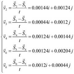
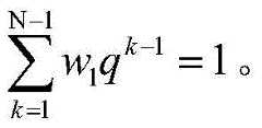
设同步卫星数据时间间隔为t,T时刻云层位置1所处经纬度坐标为(lonT,latT),前N-1个时刻云层中心位置分别为(lonT-N+1,latT-N+1),(lonT-N+1,latT-N+1),...,(lonT-1,latT-1),为保证预测过程中不受云层形状变化的影响,N取值不宜过大,一般取6~10。根据相邻两时刻间的位置,得出从T时刻往前N-1个相邻两时刻之间云层移动平均速度矢量如下:Suppose the time interval of synchronous satellite data is t, the longitude and latitude coordinates of
其中,i和j分别代表经度方向和纬度方向的速度矢量,为云层由位置移动到的平均速度矢量;为云层由位置移动到的平均速度矢量;为云层由位置移动到的平均速度矢量。where i and j represent the velocity vectors in the longitude and latitude directions, respectively, for cloud cover by location move to The average velocity vector of ; for cloud cover by location move to The average velocity vector of ; for cloud cover by location move to The average velocity vector of .
则T+1时刻速度矢量按下式计算:Then the velocity vector at time T+1 is calculated as follows:
其中w1,w1q,w1q2,~w1qN-2为由等比数列构成的权重系数,当k从1至N-1取值时,代表从T时刻往前共N-1个相邻两时刻之间云层移动的平均速度矢量,q为公比,因为越靠近T时刻的云层速度与未来T+1时刻的速度越相近,因此q>1。Among them, w1 , w1 q, w1 q2 , ~w1 qN-2 are the weight coefficients formed by the proportional sequence. When k takes a value from 1 to N-1, Represents the average velocity vector of cloud layer movement between N-1 adjacent moments from time T forward, q is the common ratio, Because the speed of the cloud layer closer to time T is closer to the speed of time T+1 in the future, so q>1.
S202:云层位置1计算。S202:
设T时刻的位置矢量则T+1时刻云层中心的位置为:Let the position vector at time T be Then the position of the cloud center at time T+1 is:
其中,为T+1时刻云层中心的位置矢量,为T+1时刻速度矢量,t为同步卫星数据时间间隔。in, is the position vector of the cloud center at
S203:提取云层边界轮廓。S203: Extract the boundary contour of the cloud layer.
提取监测影像中T时刻云层的轮廓,得到边界曲线。将边界曲线移动得到预测T+1时刻云层边界。The contour of the cloud layer at time T in the monitoring image is extracted to obtain the boundary curve. Move the boundary curve Obtain the predicted cloud boundary at
S3:盲区计算:根据下一时刻云层位置1的边界,利用地理信息系统识别下一时刻云层下方的地面监测装置。S3: Blind area calculation: According to the boundary of the
S4:启停控制:将下一时刻同步卫星的监测盲区内的地面监测装置启动,并将上一时刻监测盲区内已启动的地面监测装置关闭。如果云层移动一次后上一次的盲区的部分或者全部仍然在云层下方,那么这一部分依然被云层覆盖或遮挡的地面监测装置则继续保留启动。S4: start-stop control: start the ground monitoring device in the monitoring blind area of the synchronous satellite at the next moment, and turn off the ground monitoring device that has been activated in the monitoring blind area at the previous moment. If part or all of the last blind spot is still under the cloud layer after the cloud layer moves once, the ground monitoring device that is still covered or obscured by the cloud layer continues to be activated.
本实施例还提供一种输电线路山火的同步卫星-地面联动的监测系统,包括云层识别单元、云层位置预测单元、盲区计算单元和启停控制单元。其中,云层识别单元用于利用每一次同步卫星数据,使用卫星云检测算法检测云层位置1;云层位置1预测单元用于根据历史数据计算得到的云层位置信息,预测当前云层移动速度矢量3,得到下一时刻云层位置1,并提取下一时刻云层位置1的边界;盲区计算单元用于根据下一时刻云层位置1的边界,利用地理信息系统识别下一时刻云层下方的地面监测装置;启停控制单元用于将下一时刻同步卫星的监测盲区内的地面监测装置启动,并将上一时刻监测盲区内已启动的地面监测装置关闭。This embodiment also provides a synchronous satellite-ground linkage monitoring system for a transmission line mountain fire, including a cloud layer identification unit, a cloud layer position prediction unit, a blind area calculation unit, and a start-stop control unit. Among them, the cloud layer identification unit is used to detect the
实施时,云层位置预测单元,可包括移动速度矢量计算单元、云层中心位置计算单元和云层边界计算单元,其中,移动速度矢量计算单元用于根据历史数据计算得到的云层位置信息,预测当前云层移动速度矢量3;云层中心位置计算单元用于根据当前云层移动速度矢量3,计算下一时刻的云层中心位置;云层边界计算单元用于提取监测影像中当前时刻的云层的轮廓,得到边界曲线;将边界曲线移动云层移动速度矢量3与同步卫星数据时间间隔的乘积,得到预测的下一时刻的云层边界。During implementation, the cloud layer position prediction unit may include a moving speed vector calculation unit, a cloud layer center position calculation unit and a cloud layer boundary calculation unit, wherein the moving speed vector calculation unit is used to calculate the cloud layer position information obtained according to historical data to predict the current cloud layer movement.
实施例2:Example 2:
本实施例是实施例1的方法步骤的应用于春节期间某省的应用例。This embodiment is an application example of the method steps of
利用日本MTSAT同步卫星监测输电线路山火。MTSAT卫星每隔15min发射一次数据,即卫星数据时间间隔为t=15min=0.25h。当前时刻监测到云层中心位置前5次监测该云层中心点坐标分别为和Using Japan's MTSAT synchronous satellite to monitor transmission line wildfires. The MTSAT satellite transmits data every 15min, that is, the satellite data time interval is t=15min=0.25h. The position of the cloud center is monitored at the current moment The coordinates of the center point of the cloud layer in the first five monitoring are: and
则得到5个速度矢量:Then you get 5 velocity vectors:
其中速度由经纬度表示,并未转化为实际速度。The speed is represented by latitude and longitude, and is not converted into actual speed.
取公比q=2,求得w1=1/31。则下一时刻云层移动速度:Taking the common ratio q=2, w1 =1/31 is obtained. Then the cloud moving speed at the next moment:
于是得到下一时刻云层位置:So get the cloud position at the next moment:
根据监测影像提取当前时刻云层边界轮廓曲线,在此基础上加上位移即得到预测下一时刻云层边界曲线。根据GIS系统,识别该区域内有地面监测装置16台,立即全部启动监测。同时,将当前时刻云层下方的9台地面监测装置全部关闭蓄能。Extract the cloud boundary contour curve at the current moment according to the monitoring image, and add the displacement on this basis That is, the cloud layer boundary curve is obtained to predict the next moment. According to the GIS system, it was identified that there were 16 ground monitoring devices in the area, and all of them started monitoring immediately. At the same time, all 9 ground monitoring devices under the clouds at the current moment were turned off to store energy.
实施例3:Example 3:
本实施例提供一种计算机设备,包括存储器、处理器以及存储在存储器上并可在处理器上运行的计算机程序,处理器执行计算机程序时实现上述任一实施例的步骤。This embodiment provides a computer device, including a memory, a processor, and a computer program stored in the memory and executable on the processor, and the processor implements the steps of any of the foregoing embodiments when the processor executes the computer program.
综上所述,本发明在有同步卫星监测的地区地面监测装置关闭蓄能,确保云区下方地面监测装置有足够的电能开展监测,从而彻底消除同步卫星云区下方的监测盲区,提高输电线路小面积山火监测精度。To sum up, the present invention turns off the energy storage of the ground monitoring device in the area where there is synchronous satellite monitoring to ensure that the ground monitoring device under the cloud area has enough power for monitoring, thereby completely eliminating the monitoring blind area under the synchronous satellite cloud area and improving the transmission line. Small area wildfire monitoring accuracy.
以上所述仅为本发明的优选实施例而已,并不用于限制本发明,对于本领域的技术人员来说,本发明可以有各种更改和变化。凡在本发明的精神和原则之内,所作的任何修改、等同替换、改进等,均应包含在本发明的保护范围之内。The above descriptions are only preferred embodiments of the present invention, and are not intended to limit the present invention. For those skilled in the art, the present invention may have various modifications and changes. Any modification, equivalent replacement, improvement, etc. made within the spirit and principle of the present invention shall be included within the protection scope of the present invention.
| Application Number | Priority Date | Filing Date | Title |
|---|---|---|---|
| CN201810990941.2ACN108958081B (en) | 2018-08-28 | 2018-08-28 | Method and system for monitoring synchronous satellite-ground linkage of power transmission line forest fire |
| Application Number | Priority Date | Filing Date | Title |
|---|---|---|---|
| CN201810990941.2ACN108958081B (en) | 2018-08-28 | 2018-08-28 | Method and system for monitoring synchronous satellite-ground linkage of power transmission line forest fire |
| Publication Number | Publication Date |
|---|---|
| CN108958081A CN108958081A (en) | 2018-12-07 |
| CN108958081Btrue CN108958081B (en) | 2020-02-04 |
| Application Number | Title | Priority Date | Filing Date |
|---|---|---|---|
| CN201810990941.2AActiveCN108958081B (en) | 2018-08-28 | 2018-08-28 | Method and system for monitoring synchronous satellite-ground linkage of power transmission line forest fire |
| Country | Link |
|---|---|
| CN (1) | CN108958081B (en) |
| Publication number | Priority date | Publication date | Assignee | Title |
|---|---|---|---|---|
| CN113450524B (en)* | 2021-06-24 | 2022-07-29 | 广东电网有限责任公司 | Method and device for obtaining forest fire monitoring blind area based on stationary meteorological satellite |
| CN113793021B (en)* | 2021-09-10 | 2024-05-14 | 广东电网有限责任公司 | Three-dimensional power transmission corridor mountain fire monitoring device and method |
| Publication number | Priority date | Publication date | Assignee | Title |
|---|---|---|---|---|
| US6405134B1 (en)* | 2000-08-30 | 2002-06-11 | Weatherdata, Inc. | Method and apparatus for predicting lightning threats based on radar and temperature data |
| CN103869374A (en)* | 2012-12-12 | 2014-06-18 | 波音公司 | Aerial Forest Inventory System |
| CN104166171A (en)* | 2014-08-25 | 2014-11-26 | 清华大学 | Method and system for predicating thundercloud cover area based on lightning locating system |
| EP3139359A1 (en)* | 2015-09-01 | 2017-03-08 | Honeywell International Inc. | System and method providing early prediction and forecasting of false alarms by applying statistical inference models |
| CN107563397A (en)* | 2016-06-30 | 2018-01-09 | 中国电力科学研究院 | Cloud cluster method for calculation motion vector in a kind of satellite cloud picture |
| Publication number | Priority date | Publication date | Assignee | Title |
|---|---|---|---|---|
| US6405134B1 (en)* | 2000-08-30 | 2002-06-11 | Weatherdata, Inc. | Method and apparatus for predicting lightning threats based on radar and temperature data |
| CN103869374A (en)* | 2012-12-12 | 2014-06-18 | 波音公司 | Aerial Forest Inventory System |
| CN104166171A (en)* | 2014-08-25 | 2014-11-26 | 清华大学 | Method and system for predicating thundercloud cover area based on lightning locating system |
| EP3139359A1 (en)* | 2015-09-01 | 2017-03-08 | Honeywell International Inc. | System and method providing early prediction and forecasting of false alarms by applying statistical inference models |
| CN107563397A (en)* | 2016-06-30 | 2018-01-09 | 中国电力科学研究院 | Cloud cluster method for calculation motion vector in a kind of satellite cloud picture |
| Publication number | Publication date |
|---|---|
| CN108958081A (en) | 2018-12-07 |
| Publication | Publication Date | Title |
|---|---|---|
| CN108958081B (en) | Method and system for monitoring synchronous satellite-ground linkage of power transmission line forest fire | |
| CN109784559B (en) | A calculation method for the cumulative damage failure probability of transmission towers under the prediction information of typhoon path | |
| CN105427187B (en) | Distribution line wind loading rating appraisal procedure and system | |
| CN107796434A (en) | A kind of transmission line galloping on-line monitoring and early warning system | |
| CN114221353A (en) | Grid regulation method, apparatus, device, storage medium and computer program product | |
| CN111582512B (en) | Toughness recovery method for power distribution network and computer readable storage medium | |
| CN117591795B (en) | A method for estimating the success rate of large-scale search and rescue at sea involving multiple aircraft types | |
| CN109100958B (en) | Polar orbit satellite-ground linkage monitoring method and system for mountain fire of power transmission line | |
| CA3026839A1 (en) | Storm outage management system | |
| CN117810967A (en) | Multi-stage toughness improvement method of electric power system for coping with ice disaster influence | |
| CN103914737A (en) | Method for calculating whole circuit in-place weather information of electric transmission and transformation circuit | |
| CN109541725A (en) | A kind of electricity power engineering weather monitoring method for early warning based on GIS | |
| CN113313342A (en) | Method and system for analyzing power grid equipment fault probability caused by multiple natural disasters | |
| CN110465009A (en) | A kind of control system and control method for putting rope device | |
| CN205246913U (en) | Visual monitored control system of weather service | |
| CN110689178A (en) | Analysis method and system for mountain fire cascading failure risk of transmission lines in power grid | |
| CN115276051A (en) | Resilience assessment method of receiving-end urban power grid considering the response characteristics of new energy and energy storage | |
| JP6452854B2 (en) | Power generation amount calculation device, power generation amount calculation system, power generation amount calculation method, and program | |
| CN116660950B (en) | Offshore water falling search and rescue method and system based on Beidou positioning technology | |
| JP7632869B2 (en) | DATA ACQUISITION DEVICE, STORAGE DEVICE, BASE STATION, DATA ACQUISITION METHOD, DATA TRANSMISSION METHOD, DATA RECOVERY METHOD, AND PROGRAM | |
| CN117475378A (en) | Mountain fire spread prediction method and device, equipment and storage medium | |
| JP6258776B2 (en) | Disaster-resistant network control system, apparatus, method and program | |
| CN117558095A (en) | Environment self-adaptive spreading prediction type power transmission line fire alarm method and system | |
| CN105760967B (en) | An Optimal Algorithm for the Distance Between Mountain Fires and Transmission Lines Considering Environmental Elevation | |
| CN108899985A (en) | A kind of power-supply management system and device of traveling tool |
| Date | Code | Title | Description |
|---|---|---|---|
| PB01 | Publication | ||
| PB01 | Publication | ||
| SE01 | Entry into force of request for substantive examination | ||
| SE01 | Entry into force of request for substantive examination | ||
| GR01 | Patent grant | ||
| GR01 | Patent grant |