Movatterモバイル変換


[0]ホーム

URL:


CN108920596B - Personalized recommendation algorithm and terminal - Google Patents

Personalized recommendation algorithm and terminal
Download PDF

Info

Publication number
CN108920596B
CN108920596BCN201810678309.4ACN201810678309ACN108920596BCN 108920596 BCN108920596 BCN 108920596BCN 201810678309 ACN201810678309 ACN 201810678309ACN 108920596 BCN108920596 BCN 108920596B
Authority
CN
China
Prior art keywords
score
product
data
user
recommended
Prior art date
Legal status (The legal status is an assumption and is not a legal conclusion. Google has not performed a legal analysis and makes no representation as to the accuracy of the status listed.)
Active
Application number
CN201810678309.4A
Other languages
Chinese (zh)
Other versions
CN108920596A (en
Inventor
孔祥凤
余虎
伍景润
王亮
赖守义
刘志明
Current Assignee (The listed assignees may be inaccurate. Google has not performed a legal analysis and makes no representation or warranty as to the accuracy of the list.)
Guangdong Eshore Technology Co Ltd
Original Assignee
Guangdong Eshore Technology Co Ltd
Priority date (The priority date is an assumption and is not a legal conclusion. Google has not performed a legal analysis and makes no representation as to the accuracy of the date listed.)
Filing date
Publication date
Application filed by Guangdong Eshore Technology Co LtdfiledCriticalGuangdong Eshore Technology Co Ltd
Priority to CN201810678309.4ApriorityCriticalpatent/CN108920596B/en
Publication of CN108920596ApublicationCriticalpatent/CN108920596A/en
Application grantedgrantedCritical
Publication of CN108920596BpublicationCriticalpatent/CN108920596B/en
Activelegal-statusCriticalCurrent
Anticipated expirationlegal-statusCritical

Links

Images

Classifications

Landscapes

Abstract

The embodiment of the invention discloses a personalized recommendation algorithm and a terminal, wherein the method comprises the following steps: acquiring user tag data; determining initial scores of products according to the user tag data, and selecting pre-recommended products from the products with the initial scores higher than a first preset score; respectively quantifying and determining the pre-recommended product recommendation score according to the first evaluation latitude and the second evaluation latitude; recommending the pre-recommended product with the recommendation score higher than the second preset score to the user as a final recommended product. The embodiment of the invention carries out comprehensive normalized scoring on the pre-recommended products from different evaluation latitudes, recommends the product with the highest recommendation score to the user, ensures that the recommended product meets the user requirement, and thus improves the professional degree of the service and the satisfaction degree of the user.

Description

Personalized recommendation algorithm and terminal
Technical Field
The invention relates to the technical field of computer application, in particular to a personalized recommendation algorithm and a terminal.
Background
In the information era, interesting and demand-meeting products are recommended to users in a targeted manner, and the value of enterprises and users is self-evident. More than 60% of Netflix users find videos and movies which are interesting to the users through system recommendation, and the music station Pandora obtains an interest model of the users by providing feedback modes, i.e. like, dislike and skip, for the users, and then recommends a related song list to the users by combining historical interactive behaviors of the users, so as to strive to meet the preferences of the users.
The recommendation of the system to the user is mainly realized by a recommendation method, the recommendation method is the most core and key part in the whole recommendation system, and the quality of the performance of the recommendation system is determined to a great extent. At present, the recommendation method mainly comprises: content-based recommendations, collaborative filtering recommendations, association rule-based recommendations, utility-based recommendations, knowledge-based recommendations, and combination recommendations. Although the recommendation method has been widely used, many problems still exist, such as low personalized recommendation degree, poor recommendation flexibility, recommendation for new users, recommendation of new products to users (cold start problem), and the like.
Disclosure of Invention
The embodiment of the invention provides a personalized recommendation algorithm and a terminal, which are used for helping a user to quickly find a really needed product in massive information and improving the user viscosity.
In a first aspect, an embodiment of the present invention provides a personalized recommendation algorithm, where the method includes:
acquiring user tag data;
determining initial scores of products according to the user tag data, and selecting pre-recommended products from the products with the initial scores higher than a first preset score;
determining a first score value of the pre-recommended product according to a first evaluation latitude, wherein the first evaluation latitude comprises three aspects of the emergency importance degree of the product, the enterprise value and the user experience;
determining a second score value of the pre-recommended product according to a second evaluation latitude, wherein the second evaluation latitude is user internet behavior data;
determining a fourth numerical value of the pre-recommended product according to a fourth evaluation latitude, wherein the fourth evaluation latitude is the inventory of the product;
determining the recommendation score of the pre-recommended product according to the first score value and the second score value of the pre-recommended product;
sorting the pre-recommended products from high to low according to recommendation scores to obtain a sorted list;
and screening out a preset number of pre-recommended products from the sorted list as recommended products to recommend to the user.
In a second aspect, an embodiment of the present invention provides a terminal, which includes means for performing the method according to the first aspect.
In a third aspect, an embodiment of the present invention provides another terminal, where the terminal includes a processor, an input device, an output device, and a memory, where the processor, the input device, the output device, and the memory are connected to each other, where the memory is used to store an application program code that supports the terminal to execute the foregoing method, and the processor is configured to execute the foregoing method according to the first aspect.
In a fourth aspect, an embodiment of the present invention provides a computer-readable storage medium, in which a computer program is stored, the computer program comprising program instructions, which, when executed by a processor, cause the processor to perform the method of the first aspect.
Compared with the prior art, the invention has the beneficial effects that:
the algorithm of the invention integrates three aspects of the emergency degree, the enterprise value and the user experience of the product, takes full consideration and quantitatively scores for the pre-recommended product, and picks out the product which is most suitable for being recommended to the user;
the algorithm of the invention integrates the behavior data of the user on the internet, tracks the historical behavior data and the current behavior data of the user, and deeply analyzes the preference degree of the user to the product, thereby updating the recommendation result in real time according to the preference of the user;
the algorithm of the invention considers the factors of the product ordering history and the product inventory of the user, so that the user can order in time while the recommendation result is satisfied by the user;
according to the embodiment of the invention, pre-recommended products are preliminarily screened out according to the note data of the user, comprehensive normalization scoring is carried out on the pre-recommended products from different evaluation latitudes, the products with the highest recommendation scores are recommended to the user, and the recommended products are ensured to meet the requirements of the user, so that the business specialty and the user satisfaction are improved.
Drawings
In order to more clearly illustrate the technical solutions of the embodiments of the present invention, the drawings needed to be used in the description of the embodiments are briefly introduced below, and it is obvious that the drawings in the following description are some embodiments of the present invention, and it is obvious for those skilled in the art to obtain other drawings based on these drawings without creative efforts.
FIG. 1 is a schematic flow chart of a personalized recommendation algorithm provided by an embodiment of the present invention;
fig. 2 is a schematic flowchart of a specific implementation method of step S102 according to an embodiment of the present invention;
fig. 3 is a schematic flowchart of a specific implementation method of step S103 according to an embodiment of the present invention;
fig. 4 is a schematic flowchart of a specific implementation method of step S104 according to an embodiment of the present invention;
fig. 5 is a schematic block diagram of a terminal according to another embodiment of the present invention.
Detailed Description
The technical solutions in the embodiments of the present invention will be clearly and completely described below with reference to the drawings in the embodiments of the present invention, and it is obvious that the described embodiments are some, not all, embodiments of the present invention. All other embodiments, which can be derived by a person skilled in the art from the embodiments given herein without making any creative effort, shall fall within the protection scope of the present invention.
It will be understood that the terms "comprises" and/or "comprising," when used in this specification and the appended claims, specify the presence of stated features, integers, steps, operations, elements, and/or components, but do not preclude the presence or addition of one or more other features, integers, steps, operations, elements, components, and/or groups thereof.
It is also to be understood that the terminology used in the description of the invention herein is for the purpose of describing particular embodiments only and is not intended to be limiting of the invention. As used in the specification of the present invention and the appended claims, the singular forms "a," "an," and "the" are intended to include the plural forms as well, unless the context clearly indicates otherwise.
It should be further understood that the term "and/or" as used in this specification and the appended claims refers to and includes any and all possible combinations of one or more of the associated listed items.
The personalized recommendation is to recommend information or commodities required by different users to the different users according to different user interests and behavior characteristics so as to promote information clicking or commodity selling.
Referring to fig. 1, which is a schematic flowchart of a personalized recommendation algorithm provided in an embodiment of the present invention, as shown in the figure, the method may include steps S101 to S107:
s101, user tag data is obtained.
And performing qualitative analysis and labeling management according to data retained in the enterprise system by the user and the third-party data associated with the service outside the enterprise system, so as to know the information of the basic attribute, behavior preference, consumption habit, service use condition and the like of the user.
The tag data of the user mainly includes user information and social relations. The user information can be obtained from data retained by the user in the enterprise system, and mainly comprises data of gender, age, occupation, income, city and the like. The data of the social relationship can be obtained by introducing third-party data related to the business, wherein the introduced third-party data mainly comprises consumption preference, social data, Unionpay data, credit data and the like.
S102, determining initial scores of products according to the user tag data, and selecting pre-recommended products from the products with the initial scores higher than a first preset score.
In specific implementation, basic information such as behavior preference, consumption habits, service use conditions and the like of a user can be roughly known through tag data of the user, quantitative analysis and scoring can be performed on massive products according to the basic information, a first preset score is used as a screening condition, and a limited number of products are screened from the massive products to serve as pre-recommended products, so that the pre-recommended products are basically in line with the interest and preference of the user.
The first preset score may be set by a technician according to the specific situation of the specific embodiment, and the present invention is not limited thereto.
S103, determining a first score value of the pre-recommended product according to the first evaluation latitude.
In some embodiments, for example, the first evaluation latitude in this embodiment includes three aspects of the urgency importance of the product, the business value, and the user experience.
In specific implementation, after the pre-recommended products are screened out, the first score value of the pre-recommended products is determined by quantifying the emergency importance degree, the enterprise value and the user experience of the products, so that the products most suitable for being recommended to the user are further selected, the recommendation accuracy is ensured, and the user viscosity is increased.
The emergency importance of a product mainly includes four levels: important and urgent, important not urgent, urgent not important and not urgent not important. The emergency importance degree of the product indicates the market demand of the user on the product, and for the important and emergency product, the market demand is large, so that the first score value of the pre-recommended product can be improved, and the recommendation of the product is promoted; for products which are not critical, the market demand is low, the improvement of the first score value is adversely affected, and the recommendation of the products is affected.
The enterprise value refers to the value and profit brought to the enterprise by the product. Products with high enterprise value show high profit, and the improvement of the first score value of the pre-recommended products can be promoted, so that the recommendation of the products is promoted; products with low enterprise value indicate low profit, adversely affect the improvement of the first score value, and affect the recommendation of the products.
The user experience is the overall cognitive impression and reaction of the user to using or desiring to use the product. The product with good user experience can promote the improvement of the first score value of the pre-recommended product, so that the recommendation of the product is promoted; products with poor user experience have an adverse effect on the improvement of the first score value, affecting the recommendation of the product.
The determination of the first score value of the pre-recommended product needs to be carried out from the perspective of market demand, and the value brought by the product and the user experience condition need to be considered; the method has the advantages that the method is balanced in three aspects of the emergency importance degree of products, the enterprise value and the user experience, the recommendation accuracy is ensured, the business specialty is improved, and the user viscosity is increased.
And S104, determining a second score value of the pre-recommended product according to the second evaluation latitude.
In a specific implementation, the second evaluation latitude is specific to internet behavior data of the user. And converting the internet behavior data of the user into quantifiable normalization operation to obtain a second score value of the pre-recommended product.
It should be noted that each internet behavior event of the user can be regarded as internet behavior data, and does not reflect the essential requirements of the user's mind, including page browsing, clicking, collecting, shopping, searching, scoring, commenting, etc. Therefore, the internet behavior data of the user can be tracked to reflect the preference of the user for the product, and the current demand of the user can be more easily met, so that the product can be more accurately recommended to the user.
In addition, the user can reflect the preference of the user more than behavior data such as clicking, browsing and the like in consideration of the behavior that the user recommends or orders the product. When the second score value of the pre-recommended product is determined through normalization operation, the preset weight value for the recommendation times and the product ordering history given to the user is higher.
However, when the behavior data of the user is tracked, the influence of time is easily caused, namely the value degree of the internet behavior data of the user is attenuated along with time, and the closer the occurrence time of the behavior data is to the current time, the more the obtained data can represent the future behavior of the user. After all, the taste of the user will change over time, so that the closer the time is, the greater the influence on the second score value of the pre-recommended product.
And S105, determining the recommendation score of the pre-recommended product according to the first score value and the second score value of the pre-recommended product.
In particular implementations, the first score value and the second score value are summed to determine a recommendation score for the pre-recommended product. The first score value and the second score value of the pre-recommended product represent the scores of the pre-recommended product on the product level and the user level respectively. The recommendation score is obtained by comprehensively normalizing the pre-recommended products according to different evaluation latitudes, and factors of products and enterprises are further considered around the preference of the user, so that accurate recommendation of the user is realized.
And S106, sorting the pre-recommended products from high to low according to the recommendation scores to obtain a sorted list.
The recommendation scores reflect the degree of compliance with the user's preferences in order from high to low. The higher the recommendation score is, the more the recommendation score accords with the preference of the user, and the more the recommendation score is suitable for recommending products to the user; the lower the recommendation score, the more off-user preferences, and not appropriate for product recommendation to the user.
S107, screening out a preset number of pre-recommended products from the sorted list as recommended products to recommend to the user.
In specific implementation, the top n products with the highest scores are screened from the sorted list and recommended to the user. n represents a preset number, for example, n may be 1, 2 or 3, and the specific value may be determined by a skilled person according to the business needs, which is not specifically limited by the present invention.
In some embodiments, for example, in this embodiment, the specific implementation manner of step S107 may be: dynamically presetting a second score according to the recommendation scores in the sorted list, and judging whether the recommendation score of the pre-recommended product is higher than the second preset score; if the recommendation score of the pre-recommended product is higher than the second preset score, recommending the pre-recommended product as a recommended product to the user; if the recommendation score of the pre-recommended product is not higher than the second preset score, the pre-recommended product is not in line with the preference of the user, and the pre-recommended product cannot be recommended to the user in order to guarantee recommendation specialty and user satisfaction.
It should be noted that, by setting the second preset score, a preset number of products can be quantitatively screened out and recommended to the user. The second preset score can be set by a person skilled in the art according to the specific situation of the business needs, and the present invention is not limited to this.
The algorithm of the embodiment integrates three aspects of the emergency degree, the enterprise value and the user experience of the product, and carries out balanced consideration on the pre-recommended product;
the algorithm of the embodiment fuses behavior data of users on the internet, and analyzes the preference of the users to products according to the characteristics of the behavior data of the users on the internet;
according to the embodiment, pre-recommended products are preliminarily screened out according to the note data of the user, comprehensive normalization scoring is carried out on the pre-recommended products according to two different evaluation latitudes of the products and the user behaviors, the products with the highest recommendation scores are recommended to the user, the recommended products are guaranteed to meet the requirements of the user, and therefore the business specialty and the user satisfaction are improved.
In some embodiments, such as the present embodiment, the inventory of products is taken into account in the normalization operation when calculating the recommendation score for the pre-recommended product. Due to the factors such as the product shelf life, marketing promotion and the like, when the product is recommended to the user, the stock of the pre-recommended product needs to be considered, and the expired or non-stock product can be replaced by other similar products for recommendation, so that the user can be ensured to order in time.
It should be noted that the method for performing normalization operation according to the product inventory can be determined by referring to the existing related data, which is not specifically limited by the present invention. The product is recommended by considering the factors of product inventory, so that the condition that the satisfaction degree of the user is reduced due to product outage or expiration can be effectively avoided.
Referring to fig. 2, which is a schematic flowchart of a specific implementation method of step S102 according to an embodiment of the present invention, as shown in the figure, the method includes the following steps S201 to S208.
S201, determining a first score of the product according to the TOP-N algorithm.
In specific implementation, the TOP-N algorithm is used for carrying out descending order arrangement on the first scores of the products, and products with the number N before the first scores are selected from massive products. The first score of the product is represented by Q1, and the first scores of N products obtained by using the TOP-N algorithm are as follows: q11,Q12,…,Q1N
It should be noted that the method for determining the first score of the product according to the TOP-N algorithm can be determined by referring to the existing related data, and the present invention is not limited thereto.
And S202, determining a second score of the product according to the association rule algorithm.
And expressing a second score of the product by Q2, wherein N second scores of the product obtained by using the association rule algorithm are as follows: q21,Q22,…,Q2N
In a specific implementation, the number N of products before the second score is determined according to an association rule algorithm, and the specific algorithm may be determined by referring to the existing related data, which is not specifically limited by the present invention.
And S203, determining a third score of the product according to the collaborative filtering algorithm.
And Q3 represents a third score of the product, and the third scores of the N products obtained by the collaborative filtering algorithm are as follows: q31,Q32,…,Q3N
In a specific implementation, the number N of products before the third score is determined according to a collaborative filtering algorithm, and the specific algorithm may be determined by referring to the existing related data, which is not specifically limited by the present invention.
S204, determining an initial score of the product according to the first score, the second score and the third score and the weight values set for the TOP algorithm, the association rule algorithm and the collaborative filtering algorithm in advance.
In a specific implementation, the weight value W1 of the TOP algorithm, the weight value W2 of the association rule algorithm, and the weight value W3 of the collaborative filtering algorithm are preset, and W1+ W2+ W3 is equal to 1.
The initial score of the product is determined by the following formula
P=W1*Q1+W2*Q2+W3*Q3
Where P represents the initial score of the product, Q1 represents the first score of the product, Q2 represents the second score of the product, and Q3 represents the third score of the product.
S205, selecting the product with the initial score higher than the first preset score as the alternative product.
In a specific implementation, products with an initial score P higher than a first preset score are taken as alternative products.
For exampleIn this embodiment, if the initial scores of f products are higher than the first preset score, f number of candidate products and corresponding initial scores are total: p1,P2,…,PfAnd P is1≥P2≥…≥Pf(ii) a Wherein P isfIs the initial score of the f-th alternative product.
It should be noted that the first preset score may be set by a skilled person according to specific situations in the specific embodiment, and the present invention is not limited thereto.
And S206, judging whether the number of the alternative products exceeds a preset number threshold value.
In a specific implementation, for example, in this embodiment, the preset number threshold is k, and the number of the candidate products is f.
And S207, if the number of the alternative products exceeds a preset number threshold, selecting the products with the number threshold from the alternative products from high to low according to the initial scores as pre-recommended products.
In a specific implementation, if f is greater than or equal to k, there are k pre-recommended products in number: p1,P2,…,PkAnd P is1≥P2≥…≥PkIn which P iskIs the initial score of the kth pre-recommended product.
And S208, if the number of the alternative products does not exceed the preset number threshold, taking the alternative products as pre-recommended products.
In practice, if f<k, then there are f number of pre-recommended products: p1,P2,…,PfAnd P is1≥P2≥…≥Pf(ii) a Wherein P isfIs the initial score of the f-th pre-recommended product.
Referring to fig. 3, a schematic flowchart of a specific implementation method of step S103 according to an embodiment of the present invention is provided, and as shown in the figure, the method includes the following steps S301 to S302:
s301, scores of the pre-recommended products in three evaluation latitudes of the product urgency, the enterprise value and the user experience are received respectively.
In specific implementation, the senior users respectively score the three evaluation latitudes of the product urgency, the enterprise value and the user experience of the pre-recommended products.
For example, scores can be input by the senior user for pre-recommended products in terms of product urgency, business value, and user experience.
S302, determining a first score value H of the pre-recommended product according to the product emergency degree, the enterprise value and the user experience score of the pre-recommended product and the preset weight values of the product emergency degree, the enterprise value and the user experience; where H represents a first score value for the pre-recommended product.
In one embodiment, the product urgency, the enterprise value, and the user experience input score for the pre-recommended product by the senior user are (full score 100): 80. 95, 80; the emergency weight value of the product is 0.4, the enterprise value weight value is 0.3, and the user experience weight value is 0.3; then there is a first score H80 x 0.4+95 x 0.3+80 x 0.3 x 84.5 for the pre-recommended product.
It should be noted that the urgency weighted value, the enterprise value weighted value, and the user experience weighted value of the product may be set by a technician according to specific situations in the specific implementation, which is not limited by the present invention.
Referring to fig. 4, which is a schematic flowchart of a specific implementation method of step S104 according to an embodiment of the present invention, as shown in the figure, the method includes the following steps S401 to S405:
s401, selecting a preset number of internet behavior data from the internet behavior data of the user in a preset statistical period as evaluation data.
In specific implementation, the behavior data of the user can be tracked to reflect the preference of the user for the product, so that the current demand of the user can be more easily met, and the product can be more accurately recommended to the user. The internet behavior data of the user can be divided into positive feedback behavior data and negative feedback behavior data according to the motivation aspect to the user preference. The positive feedback behavior data refers to behavior data which can positively reflect the preference of a user on a product, meet the requirements of the user and promote the product sale, such as browsing recommended content data, clicking bubble data for many times, purchasing data of the user and the like; on the contrary, the negative feedback behavior data is behavior data which reversely reflects the preference of the user for the product and deviates from the user requirement and is easy to reduce the customer satisfaction, such as closing recommendation data, next reminding data, user complaint data, no-operation data and the like. The present invention is not particularly limited to this, because the internet behavior data of the user is more.
In addition, the behavior data of the user is easily influenced by time, namely the valuable degree of the internet behavior data of the user is attenuated along with the time, and the closer the time of the internet behavior data is to the current time, the more the future behavior of the user can be represented, and the higher the value degree is; conversely, the longer the time of occurrence of the internet behavior data is from the current time, the more difficult the future behavior of the user is to be represented, and the lower the value degree is.
In a specific implementation, for example, in this embodiment, the evaluation data of the user includes closing recommendation data, next reminder data, user complaint data, browsing recommendation content data, multi-click bubble data, no-operation data, recommendation data of the user for a product, order data of the user for the product, and the like.
The real preference and demand of the user can be comprehensively reflected by combining the internet behavior data of the user, and the internet behavior data of the user which can be used as evaluation data is more, so that the invention is not limited to the above.
S402, determining historical attenuation factors of the evaluation data in the statistical period and current attenuation factors of the evaluation data at the current statistical time.
The evaluation data is attenuated along with time, and the closer the time of the evaluation data is to the current time, the more the future behavior of the user can be represented, and the higher the value degree is; conversely, the longer the time at which the evaluation data occurs from the current time, the more difficult it is to characterize the user's future behavior, and the lower the degree of value.
In a specific implementation, the historical decay factor represents the degree of decay of the evaluation data over time within a statistical period; the current attenuation factor represents the degree of attenuation of the evaluation data over time at the current statistical time.
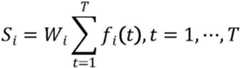
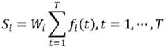
In a specific implementation, the historical attenuation factor and the current attenuation factor are both expressed by the following formulas
Figure BDA0001710312840000101
Determining, wherein t represents date, fi(t) attenuation factor of evaluation data i at t date, aiIndicating the degree of decay of the evaluation data i with time, C indicating a constant, current _ date indicating the date of the current statistical time, hist _ recom _ date indicating the date on which the evaluation data i was executed by the user within the statistical period, last _ recom _ date indicating the date on which the evaluation data i was most recently recommended.
And S403, determining the historical score of the evaluation data in the statistical period according to the historical attenuation factor of the evaluation data and the weight value set for the evaluation data in advance.
In a specific implementation, the following formula is used
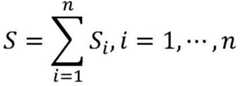
Figure BDA0001710312840000102
Figure BDA0001710312840000103
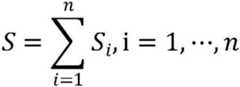
Determining the historical score of the evaluation data in a preset statistical period, wherein S represents the historical score of the evaluation data of the pre-recommended product in the preset statistical period, and SiRepresents the historical score W of the evaluation data i in the preset statistical periodiThe evaluation data i is represented by a weight value set in advance for the evaluation data i, T is represented by a statistical period, and n is represented by n pieces of evaluation data.
And S404, determining the real-time score of the evaluation data at the current statistical time according to the current attenuation factor of the evaluation data and a weight value set for the evaluation data in advance.
In a specific implementation, the following formula is used
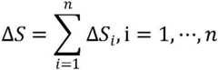
ΔSi=Wifi(current_date)
Figure BDA0001710312840000104
Determining the real-time score of the evaluation data at the current statistical time, wherein deltaS represents the real-time score of the evaluation data of the pre-recommended product at the current statistical time, and deltaSiRepresenting the real-time score of the evaluation data i at the current statistical time.
And S405, taking the sum of the historical score and the real-time score of the evaluation data as a second score value of the pre-recommended product.
In a specific implementation, the following formula is used
R=S+ΔS
Determining a second score value of the pre-recommended product, wherein R represents the second score value of the pre-recommended product.
Detailed description of the invention
For example, in one embodiment, there are pre-recommended products: product 1, product 2; the recommendation score for the pre-recommended product is calculated as follows:
1. for convenience of calculation, the user recommendation times of the pre-recommended products and the behavior data of the product ordering history are not set to be 0, and the user recommendation times of the products 1 and 2 and the product ordering history can be disregarded.
2. For convenience of calculation, if the product inventory weight of the pre-recommended product is not set to 0, the inventory factors of the product 1 and the product 2 may not be considered.
3. The first score values for product 1 and product 2 were calculated as follows:
the product urgency, the enterprise value and the user experience input score of the senior user for the product 1 and the product 2 are respectively (full score 100):
product 1: 90. 85, 85;
product 2: 80. 95, 80;
setting the emergency degree weight value of a product to be 0.4, the enterprise value weight value to be 0.3 and the user experience weight value to be 0.3;
then there is a first score H1 of product 1 of 90 x 0.4+85 x 0.3-87;
product 2 has a first score H2 of 80 x 0.4+95 x 0.3+80 x 0.3 of 84.5.
4. The second score values for product 1 and product 2 were calculated as follows:
in this example, the attenuation factors and weights of the evaluation data of the product 1 and the product 2 are shown in table 1 below, and the evaluation data of the product 1 and the product 2 at the statistical period and the current date are shown in table 2 below.
Figure BDA0001710312840000111
TABLE 1 attenuation factor of evaluation data and weighting table thereof
Figure BDA0001710312840000121
TABLE 2 statistical tables of evaluation data for product 1 and product 2
Note that, the number 1 in table 2 represents generation of evaluation data, the number 0 represents non-generation of evaluation data, and the date on which no evaluation data is generated in the statistical period has no actual meaning of the attenuation factor, and therefore, calculation is not required.
Historical score S1 of evaluation data of product 1 over a statistical period:
S1closing recommendations=-2*e-4-2*e-1.5
S1Reminding next time=-1*2-0.5
S1Browsing recommended content=+2*3-0
S1=S1Closing recommendations+S1Reminding next time+S1Browsing recommended content=0.83。
Wherein S1Closing recommendationsA historical score representing that product 1 was recommended for closure at the evaluation data; s1Reminding next timeThe historical score of the product 1 for the next reminding in the evaluation data is represented; s1Browsing recommended contentThe history score indicating that the product 1 has rated the recommended content for viewing.
Historical score of evaluation data of product 2 over a statistical period S2:
S2closing recommendations=-2*e-0.5
S2Reminding next time=-1*2-4
S2Browsing recommended content=+2*3-1.5+2*3-0
S2=S2Closing recommendations+S2Reminding next time+S2Browsing recommended content=1.10。
Wherein S2Closing recommendationsA historical score indicating that product 2 was recommended for closure at the evaluation data; s2Reminding next timeThe historical score of the product 2 for the next reminding in the evaluation data is represented; s2Browsing recommended contentThe history score indicating that the product 2 has rated the recommended content for viewing.
Score of evaluation data for product 1 and product 2 on the current date:
ΔS1=ΔS1browsing recommended content=+2*3-0=2
ΔS2=ΔS2Closing recommendations=-2*e-0=-2
Then there is a second score value R1 ═ S1+ Δ S1 ═ 0.83+2 ═ 2.83 for product 1;
the second score value R2 of product 2-S2 + Δ S2-1.10-2-0.9.
5. Determining the recommended scores of the product 1 and the product 2 according to the first score value and the second score value of the product 1 and the product 2:
product 1 recommendation score: h1+ R1 ═ 87+2.83 ═ 89.93;
product 2 recommendation score: h2+ R2-84.5-0.9-85.5.
And the product 1 recommendation score is greater than the product 2 recommendation score, and the recommendation score of the product 1 exceeds 85, so that the product 1 is preferentially recommended to the user.
It should be noted that 85 is the second preset score in this embodiment, and the specific implementation can be set by a skilled person according to the actual situation, which is not limited by the present invention.
Referring to fig. 5, an embodiment of the present invention provides a terminal 50, where the terminal 50 includes a unit for performing the method described in the above embodiment. As shown in the figure, the terminal 50 in this embodiment includes a receivingunit 51, a selectingunit 52, a first determiningunit 53, a second determiningunit 54, a third determiningunit 55, a sortingunit 56, and a recommending unit 57:
a receivingunit 51, configured to obtain user tag data.
And the selectingunit 52 is used for determining an initial score of the product according to the user tag data, and selecting a pre-recommended product from the products with the initial scores higher than a first preset score.
Afirst determination unit 53 for determining a first score value of the pre-recommended product according to the first evaluation latitude.
The second determiningunit 54 is configured to determine a second score value of the pre-recommended product according to a second evaluation latitude, where the second evaluation latitude is user internet behavior data.
And the third determiningunit 55 is configured to determine the recommendation score of the pre-recommended product according to the first score value and the second score value of the pre-recommended product.
And the sortingunit 56 is used for sorting the pre-recommended products from high to low according to the recommendation scores to obtain a sorted list.
And the recommendingunit 57 is used for screening out pre-recommended products with preset quantity from the sorted list to serve as recommended products to recommend the recommended products to the user.
While the invention has been described with reference to specific embodiments, the invention is not limited thereto, and various equivalent modifications and substitutions can be easily made by those skilled in the art within the technical scope of the invention. Therefore, the protection scope of the present invention shall be subject to the protection scope of the claims.

Claims (9)

1. A personalized recommendation algorithm, the personalized recommendation algorithm comprising:
acquiring user tag data;
determining initial scores of products according to the user tag data, and selecting pre-recommended products from the products with the initial scores higher than a first preset score;
determining a first score value of the pre-recommended product according to a first evaluation latitude, wherein the first evaluation latitude comprises three aspects of the emergency importance degree of the product, the enterprise value and the user experience;
determining a second score value of the pre-recommended product according to a second evaluation latitude, wherein the second evaluation latitude is user internet behavior data;
determining the recommendation score of the pre-recommended product according to the first score value and the second score value of the pre-recommended product;
sorting the pre-recommended products from high to low according to recommendation scores to obtain a sorted list;
screening out a preset number of pre-recommended products from the sorted list as recommended products to recommend to a user;
wherein the determining a second score value for the pre-recommended product according to a second evaluation latitude comprises:
selecting a preset amount of internet behavior data from the internet behavior data of the user in a preset statistical period as evaluation data;
determining a historical attenuation factor of the evaluation data in the statistical period and a current attenuation factor of the evaluation data at the current statistical time;
determining the historical score of the evaluation data in a preset statistical period according to the historical attenuation factor of the evaluation data and a weight value preset for the evaluation data;
determining the real-time score of the evaluation data at the current statistical time according to the current attenuation factor of the evaluation data and a weight value preset for the evaluation data;
and taking the sum of the historical score and the real-time score of the evaluation data as a second score value of the pre-recommended product.
2. The personalized recommendation algorithm of claim 1, wherein the determining an initial score for a product from the user tag data comprises:
determining a first score for the product according to the TOP-N algorithm;
determining a second score of the product according to an association rule algorithm;
determining a third score for the product according to a collaborative filtering algorithm;
and determining the initial score of the product according to the first score, the second score and the third score and the weight values set for the TOP-N algorithm, the association rule algorithm and the collaborative filtering algorithm in advance.
3. The personalized recommendation algorithm of claim 1, wherein the selecting of the pre-recommended products from the products with initial scores higher than a first preset score comprises:
selecting products with initial scores higher than a first preset score as alternative products;
judging whether the number of the alternative products exceeds a preset number threshold value or not;
if the number of the alternative products exceeds a preset number threshold, selecting products with the number threshold from the alternative products from high to low according to the initial score as pre-recommended products;
and if the number of the alternative products does not exceed the preset number threshold, taking the alternative products as the pre-recommended products.
4. The personalized recommendation algorithm of claim 1, wherein determining a first score value for the pre-recommended product based on the first evaluation latitude comprises:
respectively receiving scores of the pre-recommended product in three aspects of the emergency importance degree of the product, the enterprise value and the user experience;
and determining a first score value of the pre-recommended product according to the emergency importance degree, the enterprise value and the user experience score of the pre-recommended product in the product and the preset weight value of the emergency importance degree, the enterprise value and the user experience of the product.
5. The personalized recommendation algorithm of claim 1, wherein the historical decay factor and the current decay factor are each expressed by the following formula
Figure FDA0003112556150000021
Determining, wherein t represents date, fi(t) attenuation factor of evaluation data i at t date, aiIndicating the degree of decay of the evaluation data i with time, C indicating a constant, current _ date indicating the date of the current statistical time, hist _ recom _ date indicating the date on which the evaluation data i was executed by the user within the statistical period, last _ recom _ date indicating the date on which the evaluation data i was most recently recommended.
6. The personalized recommendation algorithm according to claim 5, wherein the determining of the historical score of the evaluation data within a preset statistical period according to the historical decay factor of the evaluation data and the weight value set for the evaluation data in advance comprises:
by the following formula
Figure FDA0003112556150000022
Figure FDA0003112556150000023
Determining the historical score of the evaluation data in a preset statistical period, wherein S represents the historical score of the evaluation data of the pre-recommended product in the preset statistical period, and SiRepresents the historical score W of the evaluation data i in the preset statistical periodiThe evaluation data i is represented by a weight value set in advance for the evaluation data i, T is represented by a statistical period, and n is represented by n pieces of evaluation data.
7. The personalized recommendation algorithm according to claim 6, wherein the determining a real-time score of the evaluation data at the current statistical time according to the current attenuation factor of the evaluation data and a weight value set for the evaluation data in advance comprises:
by the following formula
ΔSi=Wifi(current_date)
Figure FDA0003112556150000031
Determining the real-time score of the evaluation data at the current statistical time, wherein deltaS represents the real-time score of the evaluation data of the pre-recommended product at the current statistical time, and deltaSiRepresenting the real-time score of the evaluation data i at the current statistical time.
8. The personalized recommendation algorithm of claim 1, wherein the user internet behavior data comprises closing recommendation data, next reminder data, user complaint data, browsing recommendation content data, multi-click bubble data, no-operation data, user recommendation data for a product, and user order data for a product.
9. A terminal, comprising: means for performing the personalized recommendation algorithm of any of claims 1-8.
CN201810678309.4A2018-06-272018-06-27Personalized recommendation algorithm and terminalActiveCN108920596B (en)

Priority Applications (1)

Application NumberPriority DateFiling DateTitle
CN201810678309.4ACN108920596B (en)2018-06-272018-06-27Personalized recommendation algorithm and terminal

Applications Claiming Priority (1)

Application NumberPriority DateFiling DateTitle
CN201810678309.4ACN108920596B (en)2018-06-272018-06-27Personalized recommendation algorithm and terminal

Publications (2)

Publication NumberPublication Date
CN108920596A CN108920596A (en)2018-11-30
CN108920596Btrue CN108920596B (en)2021-10-29

Family

ID=64423897

Family Applications (1)

Application NumberTitlePriority DateFiling Date
CN201810678309.4AActiveCN108920596B (en)2018-06-272018-06-27Personalized recommendation algorithm and terminal

Country Status (1)

CountryLink
CN (1)CN108920596B (en)

Families Citing this family (9)

* Cited by examiner, † Cited by third party
Publication numberPriority datePublication dateAssigneeTitle
CN109753643B (en)*2018-12-052023-10-20平安科技(深圳)有限公司Report style creation method, device, equipment and computer readable storage medium
CN110196796B (en)*2019-05-152023-04-28无线生活(杭州)信息科技有限公司Effect evaluation method and device for recommendation algorithm
CN111177562B (en)*2019-12-312024-04-19中国银行股份有限公司Recommendation ordering processing method and device for target object and server
CN113763070B (en)*2020-06-292025-02-21北京沃东天骏信息技术有限公司 Information recommendation method and device
CN113468394A (en)*2021-07-062021-10-01北京有竹居网络技术有限公司Data processing method and device, electronic equipment and storage medium
CN114638649A (en)*2022-03-292022-06-17金蝶征信有限公司Window pushing method, system and related device
CN117009624A (en)*2022-04-292023-11-07第四范式(北京)技术有限公司Information recommendation method, device, equipment and medium
CN115827966A (en)*2022-11-172023-03-21微梦创科网络科技(中国)有限公司User interest mining method and device
CN116383664A (en)*2023-04-262023-07-04重庆长安汽车股份有限公司 Satisfaction model training, satisfaction determination method, device and electronic equipment

Citations (14)

* Cited by examiner, † Cited by third party
Publication numberPriority datePublication dateAssigneeTitle
CN101551825A (en)*2009-05-152009-10-07中国科学技术大学Personalized film recommendation system and method based on attribute description
CN102999589A (en)*2012-11-152013-03-27Tcl集团股份有限公司Method and system for recommending order
CN103164804A (en)*2011-12-162013-06-19阿里巴巴集团控股有限公司Personalized method and personalized device of information push
CN104021163A (en)*2014-05-282014-09-03深圳市盛讯达科技股份有限公司Product recommending system and method
CN104090886A (en)*2013-12-092014-10-08深圳市腾讯计算机系统有限公司Method and device for constructing real-time portrayal of user
CN104102648A (en)*2013-04-072014-10-15腾讯科技(深圳)有限公司User behavior data based interest recommending method and device
CN104598583A (en)*2015-01-142015-05-06百度在线网络技术(北京)有限公司Method and device for generating query sentence recommendation list
CN105469263A (en)*2014-09-242016-04-06阿里巴巴集团控股有限公司Commodity recommendation method and device
CN105574216A (en)*2016-03-072016-05-11达而观信息科技(上海)有限公司Personalized recommendation method and system based on probability model and user behavior analysis
CN106021337A (en)*2016-05-092016-10-12房加科技(北京)有限公司A big data analysis-based intelligent recommendation method and system
CN106228386A (en)*2016-07-122016-12-14腾讯科技(深圳)有限公司A kind of information-pushing method and device
CN107016058A (en)*2017-03-102017-08-04浙江工业大学A kind of recommendation Forecasting Methodology based on attribute information preference self study
CN107729542A (en)*2017-10-312018-02-23咪咕音乐有限公司A kind of information methods of marking and device and storage medium
CN108197980A (en)*2017-12-272018-06-22中国科学院上海高等研究院Illustration generation method/system, storage medium and the terminal of personalized shopper

Family Cites Families (1)

* Cited by examiner, † Cited by third party
Publication numberPriority datePublication dateAssigneeTitle
US8868564B1 (en)*2010-08-152014-10-21John W. OgilvieAnalytic comparison of libraries and playlists

Patent Citations (14)

* Cited by examiner, † Cited by third party
Publication numberPriority datePublication dateAssigneeTitle
CN101551825A (en)*2009-05-152009-10-07中国科学技术大学Personalized film recommendation system and method based on attribute description
CN103164804A (en)*2011-12-162013-06-19阿里巴巴集团控股有限公司Personalized method and personalized device of information push
CN102999589A (en)*2012-11-152013-03-27Tcl集团股份有限公司Method and system for recommending order
CN104102648A (en)*2013-04-072014-10-15腾讯科技(深圳)有限公司User behavior data based interest recommending method and device
CN104090886A (en)*2013-12-092014-10-08深圳市腾讯计算机系统有限公司Method and device for constructing real-time portrayal of user
CN104021163A (en)*2014-05-282014-09-03深圳市盛讯达科技股份有限公司Product recommending system and method
CN105469263A (en)*2014-09-242016-04-06阿里巴巴集团控股有限公司Commodity recommendation method and device
CN104598583A (en)*2015-01-142015-05-06百度在线网络技术(北京)有限公司Method and device for generating query sentence recommendation list
CN105574216A (en)*2016-03-072016-05-11达而观信息科技(上海)有限公司Personalized recommendation method and system based on probability model and user behavior analysis
CN106021337A (en)*2016-05-092016-10-12房加科技(北京)有限公司A big data analysis-based intelligent recommendation method and system
CN106228386A (en)*2016-07-122016-12-14腾讯科技(深圳)有限公司A kind of information-pushing method and device
CN107016058A (en)*2017-03-102017-08-04浙江工业大学A kind of recommendation Forecasting Methodology based on attribute information preference self study
CN107729542A (en)*2017-10-312018-02-23咪咕音乐有限公司A kind of information methods of marking and device and storage medium
CN108197980A (en)*2017-12-272018-06-22中国科学院上海高等研究院Illustration generation method/system, storage medium and the terminal of personalized shopper

Also Published As

Publication numberPublication date
CN108920596A (en)2018-11-30

Similar Documents

PublicationPublication DateTitle
CN108920596B (en)Personalized recommendation algorithm and terminal
Hunold et al.Rankings of online travel agents, channel pricing, and consumer protection
Fresneda et al.A semantic measure of online review helpfulness and the importance of message entropy
CN110796477B (en) Advertisement display method, device, electronic device and readable storage medium
Fernandes et al.A data-driven approach to measure restaurant performance by combining online reviews with historical sales data
Helliwell et al.New measures of the costs of unemployment: Evidence from the subjective well‐being of 3.3 million Americans
US9202200B2 (en)Indices for credibility trending, monitoring, and lead generation
US10366435B2 (en)Vehicle data system for rules based determination and real-time distribution of enhanced vehicle data in an online networked environment
Luo et al.Recovering hidden buyer–seller relationship states to measure the return on marketing investment in business-to-business markets
JP4886749B2 (en) Recommended product selection device, recommended product selection program, and product search device
JP5571804B2 (en) Method and apparatus for predicting repurchase trends
CN110503206A (en)A kind of prediction model update method, device, equipment and readable medium
Keane et al.Methods for quantifying the social and economic value of sport and active recreation: a critical review
TWI793412B (en)Consumption prediction system and consumption prediction method
US20080288481A1 (en)Ranking online advertisement using product and seller reputation
US20160012511A1 (en)Methods and systems for generating recommendation list with diversity
KR102150660B1 (en)Method to recommend digital contents based on search log and apparatus therefor
US9336212B2 (en)Systems and methods for collection and automatic analysis of opinions on various types of media
CN115131101A (en) A Personalized Intelligent Recommendation System for Insurance Products
CN113724038A (en)Method, device, equipment and medium for personalized recommendation of insurance products
US20240177184A1 (en)Self-learning valuation and access to digital content
US20090187465A1 (en)System and method for presenting supplemental information in web ad
Chang et al.Risk evaluation of group package tour service failures that result in third-Party complaints
US10394804B1 (en)Method and system for increasing internet traffic to a question and answer customer support system
CN111209484A (en)Product data pushing method, device, equipment and medium based on big data

Legal Events

DateCodeTitleDescription
PB01Publication
PB01Publication
SE01Entry into force of request for substantive examination
SE01Entry into force of request for substantive examination
GR01Patent grant
GR01Patent grant

[8]ページ先頭

©2009-2025 Movatter.jp