Movatterモバイル変換


[0]ホーム

URL:


CN108682143B - A variable bus stop system near a signal light intersection and its selection method - Google Patents

A variable bus stop system near a signal light intersection and its selection method
Download PDF

Info

Publication number
CN108682143B
CN108682143BCN201810386705.XACN201810386705ACN108682143BCN 108682143 BCN108682143 BCN 108682143BCN 201810386705 ACN201810386705 ACN 201810386705ACN 108682143 BCN108682143 BCN 108682143B
Authority
CN
China
Prior art keywords
bus
vehicle
stop
intersection
variable
Prior art date
Legal status (The legal status is an assumption and is not a legal conclusion. Google has not performed a legal analysis and makes no representation as to the accuracy of the status listed.)
Expired - Fee Related
Application number
CN201810386705.XA
Other languages
Chinese (zh)
Other versions
CN108682143A (en
Inventor
肖梅
吴爽
张雷
王仲豪
边浩毅
颜建强
Current Assignee (The listed assignees may be inaccurate. Google has not performed a legal analysis and makes no representation or warranty as to the accuracy of the list.)
Changan University
Original Assignee
Changan University
Priority date (The priority date is an assumption and is not a legal conclusion. Google has not performed a legal analysis and makes no representation as to the accuracy of the date listed.)
Filing date
Publication date
Application filed by Changan UniversityfiledCriticalChangan University
Priority to CN201810386705.XApriorityCriticalpatent/CN108682143B/en
Publication of CN108682143ApublicationCriticalpatent/CN108682143A/en
Application grantedgrantedCritical
Publication of CN108682143BpublicationCriticalpatent/CN108682143B/en
Expired - Fee Relatedlegal-statusCriticalCurrent
Anticipated expirationlegal-statusCritical

Links

Images

Classifications

Landscapes

Abstract

Translated fromChinese

本发明的目的在于提供一种近信号灯路口的可变公交站台系统及其选择方法,包括控制中心、数据采集单元、显示单元和可变公交站台,其中,数据采集单元用于实时采集公交车辆的位置信息,并将该公交车辆的位置信息传输到控制中心,控制中心对采集到的数据进行处理,得到该公交车辆所要停靠的可变公交站台,并将该结果传输到显示单元;利用可变公交站台布设技术,通过实时采集道路运行数据,预测公交车辆的到站时刻,根据车辆的延误状态,选择合适的站台停车;与常规方法(绿灯延长和红灯早断等)相比,这种可变公交站台系统可减少公交车辆在信号灯路口的等候延误,同时尽量减少对社会车辆的交通延误影响;该方法具有简单、经济,操作性强等优点。

Figure 201810386705

The purpose of the present invention is to provide a variable bus station system near a signal light intersection and a selection method thereof, including a control center, a data acquisition unit, a display unit and a variable bus station, wherein the data acquisition unit is used for real-time acquisition of bus vehicles. position information, and transmit the position information of the bus vehicle to the control center, the control center processes the collected data, obtains the variable bus station where the bus vehicle will stop, and transmits the result to the display unit; The bus station layout technology, by collecting road operation data in real time, predicts the arrival time of bus vehicles, and selects the appropriate platform to stop according to the delay status of the vehicle; compared with conventional methods (green light extension and red light early break, etc.) The variable bus station system can reduce the waiting delay of the bus vehicles at the signal light intersection, and at the same time minimize the impact of the traffic delay on the social vehicles; the method has the advantages of simplicity, economy, and strong operability.

Figure 201810386705

Description

Variable bus stop system near signal lamp intersection and selection method thereof
Technical Field
The invention belongs to the field of urban construction, and particularly relates to a variable bus stop system close to a signal lamp intersection and a selection method thereof.
Background
With the increase of urban population density, the quantity of vehicles (especially private cars) is kept increasing rapidly, so that urban traffic demand rises rapidly, and meanwhile, the increasing speed of traffic infrastructure far cannot meet the increasing traffic demand, so that the traffic problems of low urban traffic operation efficiency, serious traffic jam, high traffic accidents and the like are frequent. According to the high-rise urban traffic report in 2017, a part of urban congestion delay indexes (the ratio of the average one-time travel actual travel time of urban residents to the travel time in the free flow state) exceed 2, which means that in the case of traffic congestion, public travel needs to spend more than 2 times of uncongested time to reach a destination, and the current situation of urban overall congestion is great. The urban public transport system has the advantages of large carrying capacity, high safety, low per capita energy consumption and the like, and becomes a powerful way for solving traffic problems such as urban congestion, relieving environmental pollution, improving traffic safety and the like. The improvement of the service and management level of the public transport is an important measure for improving the satisfaction degree of passengers and the public transport attraction, and is a favorable guarantee for the rapid development of a public transport system. The traveling of the passengers is actually investigated and displayed: travelers pay special attention to the punctuality of bus operation, and the travelers become a main bottleneck problem for improving the satisfaction degree of passengers during bus traveling. Therefore, improving the punctuality of the operation of the public transport vehicles becomes an important influence factor for improving the service quality of the public transport.
In the running process of the public transport vehicle, traffic delay mainly comes from: in order to reduce the waiting delay of signal lamps of buses, the currently adopted methods mainly comprise methods of prolonging green lamps and early breaking red lamps, and the like, and the methods are easy to cause traffic delay of non-buses.
Disclosure of Invention
The invention aims to provide a variable bus stop system of a near signal lamp intersection and a selection method thereof, which solve the problems that the waiting delay of signal lamps of buses is reduced by adopting methods of prolonging green lamps, early breaking red lamps and the like at present, and the traffic delay of non-buses is easily caused by the methods.
In order to achieve the purpose, the invention adopts the technical scheme that:
the invention provides a variable bus stop system close to a signal lamp intersection, which comprises a control center, a data acquisition unit, a display unit and a variable bus stop, wherein the data acquisition unit is used for acquiring the position information of a bus in real time and transmitting the position information of the bus to the control center, and the control center processes the acquired data to obtain the variable bus stop at which the bus stops and transmits the result to the display unit.
Preferably, the variable bus stop comprises an upstream stop area and a downstream stop area, wherein the upstream stop area comprises electronic stop boards, and the electronic stop board information of the upstream stop area is consistent with that of the downstream stop area.
Preferably, the data acquisition unit comprises a vehicle-mounted GPS position sensor and a vehicle-mounted speed sensor which are arranged on the bus and are respectively used for acquiring the position data and the speed information of the bus and transmitting the acquired data to the control center.
Preferably, the display unit comprises a platform display and a vehicle-mounted display, the platform display is arranged at a changeable bus platform, and the vehicle-mounted display is arranged on a bus, wherein the vehicle-mounted display is used for reminding a driver of the platform where the bus should stop; the platform display is used for reminding the waiting passengers of the platform where the vehicle is to be parked.
A method for selecting a variable bus stop at a signal-approaching intersection according toclaims 1 to 4, comprising the steps of:
step S1, intersection information is prestored in the control center, and the intersection information comprises: the method comprises the following steps of (1) crossing position, signal lamp period length, effective green lamp duration, green lamp phase starting time, adjacent station position of a variable station, vehicle timetable, upstream station area position and downstream station area position of the crossing;
step S2, acquiring real-time operation data of the bus through a data acquisition unit;
step S3, based on the intersection information prestored in the step S1, the driving direction and the real-time running data of the bus obtained in the step S2 are combined to judge whether the bus approaches the variable bus stop, and if so, the step S4 is carried out; otherwise, go to step S2;
step S4, the control center uses the vehicle arrival prediction algorithm to predict the time T when the bus respectively arrives at the upstream station according to the collected position information and speed information of the busu(hh: mm: ss) downstream station time Td(hh: mm: ss) and time at intersectionCarving TI(hh:mm:ss);
In step S5, the pre-stored signal control parameters of the intersection are assumed to be: signal lamp cycle length C, effective green lamp duration G and green lamp phase turn-on time T0(hh: mm: ss), setting the number of information updating times as n, and the initial value of n as 0:
if n is equal to 0, the process proceeds to step S6;
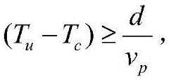
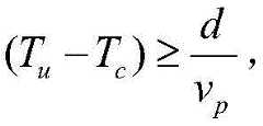
if n is>0 and
Figure BDA0001642413960000031
then the passenger has enough time to walk between the upstream and downstream stations, and the process goes to step S6;
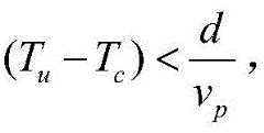
if n is>0 and
Figure BDA0001642413960000032
then go to step 11;
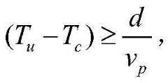
wherein, Tc(hh: mm: ss) is the current bus arrival time; d (m) is the length of the pedestrian walkway, which is the walkway through which passengers move between the upstream and downstream landings; v. ofp(m/s) is the average speed of pedestrian walking;
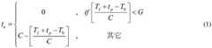
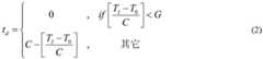
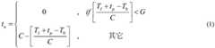
step S6, calculating the waiting time t of the bus stopping at the upstream station area according to the formula (1) and the formula (2) respectivelyuAnd a waiting time t for docking to a downstream station aread
Figure BDA0001642413960000033
Figure BDA0001642413960000034
Wherein, the [ alpha ], [ beta ]]Is the remainder operator; t is tpThe length of the stop time of the bus at the upstream station is determined;
step S7, calculating the traffic delay t of the vehicle arriving at the variable bus stop according to the formula (3)y
If ty>If 0, indicating that the operation of the bus is delayed, and turning to the step S8; otherwise, the vehicle is in quasi-timely transitThen, the process proceeds to step S9:
ty=min{(Tu-Te),(Td-Te)} (3)
wherein, teThe time when the bus arrives at the variable station area on the running schedule is shown;
step S8, if tu>tdIf so, the bus stops at the downstream station area; otherwise, the bus stops at the upstream station area;
step S9, if | tu+ty|≥|td+tyIf yes, the bus stops at a downstream station area; otherwise, the bus stops at the upstream station area;
step 10, storing parking information of the vehicle, and adding 1 to the number of information updating times, namely n is n + 1;
step 11, the vehicle stop information stored in step 10 is issued.
Compared with the prior art, the invention has the beneficial effects that:
the invention provides a variable bus stop system close to a signal lamp intersection, which utilizes a variable bus stop layout technology, predicts the arrival time of a bus by acquiring road operation data in real time, and selects a proper bus stop according to the delay state of the bus; compared with the conventional method (prolonging green light, early breaking red light and the like), the variable bus station system can reduce the waiting delay of the bus at the signal lamp intersection and simultaneously reduce the traffic delay influence on social vehicles as much as possible; the method has the advantages of simplicity, economy, strong operability and the like.
The invention also provides a method for selecting the variable bus station at the intersection close to the signal lamp, which is a main means for solving the problems of urban traffic jam and the like by vigorously developing urban public transport, and the traffic delay of the bus mainly comes from: waiting delay of signal lamps, operation delay between stations, retention delay of stations and the like; in order to reduce the waiting delay of signal lamps of the bus, the invention utilizes a double-platform layout technology, predicts the arrival time of the bus by acquiring road operation data in real time, and selects a proper platform to stop the bus according to the delay state of the bus; compared with the conventional method (prolonging green light, early breaking red light and the like), the variable bus station system can reduce the waiting delay of the bus at the signal lamp intersection and simultaneously reduce the traffic delay influence on social vehicles as much as possible; the method has the advantages of simplicity, economy, strong operability and the like.
Drawings
FIG. 1 is a schematic view of a variable bus stop system to which the present invention relates;
fig. 2 is a schematic diagram of a variable bus (straight-going) platform system layout at an intersection near a signal lamp.
Fig. 3 is a schematic diagram of the layout of a variable bus (left turn) station system at an intersection near a signal lamp.
Detailed Description
The present invention will be described in further detail with reference to the accompanying drawings and examples.
As shown in fig. 1-3, the variable bus stop system near a signal lamp intersection provided by the invention comprises a control center, a data acquisition unit, a display unit and a variable bus stop, wherein the data acquisition unit is used for acquiring the position information of a bus in real time and transmitting the position information of the bus to the control center, and the control center processes the acquired data to obtain the variable bus stop at which the bus is to stop and transmits the result to the display unit.
The variable bus stop comprises anupstream stop zone 1 and adownstream stop zone 2, wherein theupstream stop zone 1 is arranged at the upstream of the intersection, thedownstream stop zone 2 is arranged at the downstream of the intersection, theupstream stop zone 1 and thedownstream stop zone 2 both comprise electronic stop boards and stop displays, and the electronic stop board information of theupstream stop zone 1 is consistent with that of thedownstream stop zone 2.
The data acquisition unit comprises a vehicle-mounted GPS position sensor and a vehicle-mounted speed sensor which are arranged on the bus and are respectively used for acquiring the position data and the speed information of the bus and transmitting the acquired data to the control center.
The control center comprises an industrial computer, wherein the industrial computer processes the received data to finally obtain that the bus stops at an upstream station area or a downstream station area, and transmits the final obtained result to the display unit.
The display unit comprises a platform display and a vehicle-mounted display arranged on the bus, wherein the vehicle-mounted display is used for reminding a driver of a platform where the bus should stop; the platform display is used for reminding a waiting passenger that the vehicle is to stop at the upstream platform area or the downstream platform area.
A method for selecting a variable bus stop at an intersection close to a signal lamp specifically comprises the following steps:
step S1, pre-storing intersection information:
pre-storing intersection information in a control center, wherein the intersection information comprises: the system comprises an intersection position, a signal lamp period, effective green lamp duration, green lamp phase starting time, adjacent station positions of variable stations, a vehicle schedule, an upstream station area position and a downstream station area position of the intersection.
Step S2, acquiring real-time running data of the bus:
acquiring position information and speed information of a bus through a vehicle-mounted GPS position sensor, and transmitting the acquired data to an industrial computer;
step S3, determining whether the vehicle is approaching a variable bus stop:
judging whether the bus approaches the variable bus stop or not by combining the driving direction and the real-time position data of the bus based on intersection information prestored by the control center, and if so, turning to step S4; otherwise, go to step S2;
step S4, predicting the arrival time of the bus:
the control center predicts the time T when the bus respectively arrives at the upstream station by using a vehicle arrival prediction algorithm according to the collected position information and the speed information of the busu(hh: mm: ss) downstream station time Td(hh: mm: ss) and the time T of the intersectionI(hh:mm:ss)。
Step S5, determining whether to update or publish the parking platform information of the vehicle:
assuming pre-stored signals for the intersectionThe control parameters are as follows: signal lamp cycle length C, effective green lamp duration G and green lamp phase turn-on time T0(hh: mm: ss), setting the number of information updating times as n, and the initial value of n as 0:
if n is equal to 0, the process proceeds to step S6;
if n > 0 and
Figure BDA0001642413960000061
then the passenger has enough time to walk between the upstream and downstream stations, and the process goes to step S6;
if n > 0 and
Figure BDA0001642413960000062
proceed to step S11;
wherein, Tc(hh: mm: ss) is the current bus arrival time; d (m) is the length of the pedestrian walkway, which is the walkway through which passengers move between the upstream and downstream landings; v. ofp(m/s) is the average speed of the pedestrian walking.
Step S6, calculating the waiting time t of the bus stopping at the upstream station area according to the formula (1) and the formula (2) respectivelyuAnd a waiting time t for docking to a downstream station aread
Figure BDA0001642413960000063
Figure BDA0001642413960000064
Wherein, the [ alpha ], [ beta ]]Is the remainder operator; t is tpFor the length of the stop time of the bus at the upstream station, according to big data mining, tpThe value is 20-65 s.
Step S7, predicting the traffic delay t of the vehicle arriving at the variable bus stopy
If ty>If 0, indicating that the operation of the bus is delayed, and turning to the step S8; otherwise, the vehicle operates on time, and the step S9 is carried out; wherein the arrival of the vehicle is variable by the calculation of the formula (3)Traffic delay t of bus stopy
ty=min{(Tu-Te),(Td-Te)} (3)
Wherein, teThe time when the bus arrives at the variable station area on the running schedule is shown.
Step S8, selecting a station area with less waiting time to stop:
if tu>tdIf so, the bus stops at the downstream station area; otherwise, the bus stops at the upstream station area.
Step S9, selecting the station stop closest to the schedule:
if tu+ty|≥|td+tyIf yes, the bus stops at a downstream station area; otherwise, the bus stops at the upstream station area.
In step S10, the parking information of the vehicle is saved, and the number of information updates is increased by 1, that is, n is n + 1. The stop information of the vehicle includes: predicted arrival time Tu(or T)d) And station zone information of berthing, etc.
Step S11, the vehicle stop information stored in step 10 is issued: in a wireless communication mode, vehicle parking information is issued to a vehicle driver through the vehicle-mounted equipment, and meanwhile, the vehicle parking information is issued to a trip passenger through the platform information display panel.

Claims (5)

Translated fromChinese
1.一种近信号灯路口的可变公交站台的选择方法,其特征在于,基于一种近信号灯路口的可变公交站台系统,包括以下步骤:1. a method for selecting a variable bus stop near a signal light intersection, is characterized in that, based on a kind of variable bus stop system near a signal light intersection, comprising the following steps:步骤S1,将交叉口信息预存至控制中心,所述交叉口信息包括:交叉口位置、信号灯周期长、有效绿灯时长、绿灯相位开启时刻、可变站台的邻站位置、车辆时刻表、交叉口的上游站台区位置和下游站台区位置;Step S1: Pre-store the intersection information to the control center, where the intersection information includes: intersection location, signal light cycle length, effective green light duration, green light phase turn-on time, adjacent station positions of variable platforms, vehicle timetable, intersection The location of the upstream platform area and the location of the downstream platform area;步骤S2,通过数据采集单元采集公交车辆的实时运行数据;Step S2, collecting real-time operation data of the public transport vehicle through the data collection unit;步骤S3,基于步骤S1所预存的交叉口信息,结合步骤S2所得的公交车辆的行驶方向和实时运行数据,判断该公交车辆是否靠近可变公交站台,若靠近则转入步骤S4;否则,转入步骤S2;Step S3, based on the intersection information pre-stored in step S1, combined with the driving direction and real-time operation data of the public transport vehicle obtained in step S2, determine whether the public transport vehicle is close to the variable bus platform, and if it is close, go to step S4; otherwise, go to step S4. Enter step S2;步骤S4,控制中心根据采集到的公交车辆的位置信息和车速信息,利用车辆到站预测算法,预计该公交车辆分别抵达上游车站时刻Tu(hh:mm:ss)、下游车站时刻Td(hh:mm:ss)和交叉口的时刻TI(hh:mm:ss);Step S4, the control center uses the vehicle arrival prediction algorithm according to the collected position information and speed information of the public transport vehicle, and predicts that the public transport vehicle arrives at the upstream station time Tu (hh:mm:ss) and the downstream station time Td ( hh:mm:ss) and the time of the intersection TI (hh:mm:ss);步骤S5,假定预存的交叉口的信号控制参数为:信号灯周期长C、有效绿灯时长G和绿灯相位开启时刻T0(hh:mm:ss),设信息更新次数为n,n初始值为0:Step S5, it is assumed that the signal control parameters of the pre-stored intersection are: the signal light cycle length C, the effective green light duration G and the green light phase turn-on time T0 (hh:mm:ss), set the number of information updates as n, and the initial value of n is 0 :其中,若n=0,转入步骤S6;Wherein, if n=0, go to step S6;若n>0且
Figure FDA0002901617430000011
则此时乘客有足够的时间在上、下游车站间行走,转入步骤S6;If n>0 and
Figure FDA0002901617430000011
Then the passengers have enough time to walk between the upstream and downstream stations, and go to step S6;若n>0且
Figure FDA0002901617430000012
则转入步骤S11;
If n>0 and
Figure FDA0002901617430000012
Then go to step S11;
其中,Tc(hh:mm:ss)为当前公交到站时刻;d(m)为行人步行通道的长度,行人步行通道是指乘客在上游站台区和下游站台区之间移动的通道;vp(m/s)为行人行走的平均速度;Among them, Tc (hh:mm:ss) is the current bus arrival time; d(m) is the length of the pedestrian walkway, which refers to the passage for passengers to move between the upstream platform area and the downstream platform area; vp (m/s) is the average speed of pedestrian walking;步骤S6,分别按照式(1)和式(2)计算公交车辆停靠上游站台区的等候时长tu和停靠下游站台区的等候时长tdStep S6, according to formula (1) and formula (2), calculate the waiting time tu for the public transport vehicle to stop at the upstream platform area and the waiting time td for the stop at the downstream platform area:
Figure FDA0002901617430000021
Figure FDA0002901617430000021
Figure FDA0002901617430000022
Figure FDA0002901617430000022
其中,[]为求余数运算符;tp为公交车辆在上游车站的停靠时长;Among them, [] is the remainder operator; tp is the stopping time of the bus at the upstream station;步骤S7,按式(3)计算车辆抵达可变公交站台的交通延误tyStep S7, calculate the traffic delay tyy of the vehicle arriving at the variable bus platform according to formula (3):ty=min{(Tu-Te),(Td-Te)} (3)ty =min{(Tu -Te ),(Td -Te )} (3)其中,te为运行时刻表上公交车辆抵达可变站台区的时刻;Among them,te is the time when the bus vehicle arrives at the variable platform area on the running timetable;若ty>0,则表明公交车辆运行延误,转入步骤S8;否则,车辆准时运行,转入步骤S9;If ty >0, it means that the bus vehicle is running late, go to step S8; otherwise, the vehicle runs on time, and go to step S9;步骤S8,若tu>td,则公交车辆停靠在下游车站区;否则,公交车辆停靠在上游车站区;Step S8, if tu >td , the bus stops at the downstream station area; otherwise, the bus stops at the upstream station area;步骤S9,若|tu+ty|≥|td+ty|,则公交车辆停靠在下游车站区;否则,公交车辆停靠在上游车站区;Step S9, if |tu +ty |≥|td +ty |, the bus stops at the downstream station area; otherwise, the bus stops at the upstream station area;步骤10,保存车辆的停靠信息,且信息更新次数加1,即n=n+1;Step 10: Save the parking information of the vehicle, and add 1 to the information update times, that is, n=n+1;步骤11,发布步骤10中保存的车辆停靠信息。Step 11, the vehicle parking information saved in step 10 is published.2.根据权利要求1所述的一种近信号灯路口的可变公交站台的选择方法,其特征在于:所述一种近信号灯路口的可变公交站台系统包括控制中心、数据采集单元、显示单元和可变公交站台,其中,数据采集单元用于实时采集公交车辆的位置信息,并将该公交车辆的位置信息传输到控制中心,控制中心对采集到的数据进行处理,得到该公交车辆所要停靠的可变公交站台,并将该结果传输到显示单元。2 . The method for selecting a variable bus stop near a signal light intersection according to claim 1 , wherein the variable bus stop system near a signal light intersection comprises a control center, a data acquisition unit, and a display unit. 3 . and a variable bus station, wherein the data acquisition unit is used to collect the position information of the bus vehicle in real time, and transmit the position information of the bus vehicle to the control center, and the control center processes the collected data to obtain the bus vehicle to stop. of variable bus stops and transmits this result to the display unit.3.根据权利要求2所述的一种近信号灯路口的可变公交站台的选择方法,其特征在于:可变公交站台包括上游站台区(1)和下游站台区(2),其中,上游站台区(1)布置在交叉口的上游、下游站台区(2)布置在交叉口的下游,同时,上游站台区(1)和下游站台区(2)均包括电子站牌,其中,上游站台区(1)的电子站牌信息与下游站台区(2)的电子站牌信息一致。3. The method for selecting a variable bus stop near a signal light intersection according to claim 2, wherein the variable bus stop comprises an upstream platform area (1) and a downstream platform area (2), wherein the upstream platform The area (1) is arranged upstream of the intersection, and the downstream platform area (2) is arranged downstream of the intersection. At the same time, both the upstream platform area (1) and the downstream platform area (2) include electronic stop signs, wherein the upstream platform area The electronic stop sign information of (1) is consistent with the electronic stop sign information of the downstream platform area (2).4.根据权利要求2所述的一种近信号灯路口的可变公交站台的选择方法,其特征在于:数据采集单元包括布置在公交车辆上的车载GPS位置传感器和车载速度传感器,分别用于采集该公交车辆的位置数据和车速信息,并将采集到的数据传输到控制中心。4. The method for selecting a variable bus platform near a signal light intersection according to claim 2, wherein the data acquisition unit comprises a vehicle-mounted GPS position sensor and a vehicle-mounted speed sensor arranged on the bus, which are respectively used for collecting The location data and speed information of the bus vehicle are transmitted to the control center.5.根据权利要求2所述的一种近信号灯路口的可变公交站台的选择方法,其特征在于:显示单元包括站台显示器和车载显示器,站台显示器布置在可变公交站台,车载显示器布置在公交车辆上,其中,车载显示器用于提醒驾驶员该车辆所应当停靠的站台;站台显示器用于提醒候车乘客该车辆所要停靠的站台。5. The method for selecting a variable bus stop near a signal light intersection according to claim 2, wherein the display unit comprises a platform display and a vehicle-mounted display, the platform display is arranged on the variable bus platform, and the vehicle-mounted display is arranged at the bus stop On the vehicle, the on-board display is used to remind the driver of the platform where the vehicle should stop; the platform display is used to remind the waiting passengers the platform where the vehicle should stop.
CN201810386705.XA2018-04-252018-04-25 A variable bus stop system near a signal light intersection and its selection methodExpired - Fee RelatedCN108682143B (en)

Priority Applications (1)

Application NumberPriority DateFiling DateTitle
CN201810386705.XACN108682143B (en)2018-04-252018-04-25 A variable bus stop system near a signal light intersection and its selection method

Applications Claiming Priority (1)

Application NumberPriority DateFiling DateTitle
CN201810386705.XACN108682143B (en)2018-04-252018-04-25 A variable bus stop system near a signal light intersection and its selection method

Publications (2)

Publication NumberPublication Date
CN108682143A CN108682143A (en)2018-10-19
CN108682143Btrue CN108682143B (en)2021-03-16

Family

ID=63802430

Family Applications (1)

Application NumberTitlePriority DateFiling Date
CN201810386705.XAExpired - Fee RelatedCN108682143B (en)2018-04-252018-04-25 A variable bus stop system near a signal light intersection and its selection method

Country Status (1)

CountryLink
CN (1)CN108682143B (en)

Family Cites Families (8)

* Cited by examiner, † Cited by third party
Publication numberPriority datePublication dateAssigneeTitle
JP2011018149A (en)*2009-07-082011-01-27Renesas Electronics CorpBus position display method, bus image acquisition method, intersection image acquisition method, and image distribution method
CN102542817B (en)*2011-12-202013-12-25东南大学 Cooperative control method of dedicated phase setting and social traffic flow of left-opening bus
CN105696821B (en)*2014-06-242018-01-23长安大学A kind of public transport passing method
CN106067078A (en)*2016-06-062016-11-02北方工业大学Bus berth distribution optimization method for double platforms
CN106297372B (en)*2016-08-252019-05-07南京理工大学 A multi-berth bus station intelligent berth allocation and queuing guidance system
CN206058535U (en)*2016-09-282017-03-29南京信息工程大学Pulled in guiding parking system based on the public transport of ZigBee-network
CN106935044A (en)*2017-04-062017-07-07东南大学A kind of site location optimization method for preferentially coordinating control based on bus signals
CN107452215B (en)*2017-07-312020-05-19河南城建学院Bus station-entering parking space distribution and passenger guiding method and intelligent bus station thereof

Also Published As

Publication numberPublication date
CN108682143A (en)2018-10-19

Similar Documents

PublicationPublication DateTitle
CN102081859B (en)Control method of bus arrival time prediction model
US20130162449A1 (en)Traffic Routing Using Intelligent Traffic Signals, GPS and Mobile Data Devices
TWI444934B (en)Display system for a mobile traffic system and amobile user, computer-implemented method of communicating traffic information to a vehicle and a mobile user, computer-readable storage medium storing executable computer program instructions for communicat
US20110037618A1 (en)Driver Safety System Using Machine Learning
US20120139754A1 (en)Driver Safety Enhancement Using Intelligent Traffic Signals and GPS
CN105206068B (en)One kind carries out highway merging area security coordination control method based on truck traffic technology
CN102568222B (en)System and method for changing road traffic rules in real time according to traffic flow
CN104504918B (en)A kind of urban road bus signals mode of priority
CN205665897U (en)System for vehicle traveles, and knowledge is examined at place ahead crossing and guide is passed through
CN100425768C (en)Zero commuter station structure of bus and zero transferring fast public traffic system
CN107945540A (en)A kind of bus or train route cooperative control system of signal lamp intersection
CN105696821B (en)A kind of public transport passing method
CN103794066B (en)A kind of Bus Priority signal control method without dedicated bus lanes
WO2013109472A1 (en)Driver safety enhancement using intelligent traffic signals and gps
CN105206038B (en)Bus trip response system and response method based on car networking technology
CN108335499A (en)A kind of bus signals mode of priority of dynamic priority grade
JPH10208195A (en) Boarding position selection system and boarding position guidance system
CN105160921A (en)Traffic light forecast system based on DSRC and GPS
CN104464314A (en)Bus priority passing method for bus lane intersection
CN109979186A (en)A kind of real-time distribution method in Public Transit Bus Stopping berth based on GPS system
CN102063791A (en)Public transport travelling control method by combining signal control with positioning monitoring
CN110211406B (en) A method and system for guiding and controlling the speed of a bus entering a station
CN110009544B (en)Method for setting parallel two-channel bus stop
CN105160869B (en)Public transport operation punctuality rate control method and its system based on virtual public transportation lane system
CN114973710A (en)V2X-based emergency rescue vehicle full-path traffic management method

Legal Events

DateCodeTitleDescription
PB01Publication
PB01Publication
SE01Entry into force of request for substantive examination
SE01Entry into force of request for substantive examination
GR01Patent grant
GR01Patent grant
CF01Termination of patent right due to non-payment of annual fee

Granted publication date:20210316

CF01Termination of patent right due to non-payment of annual fee

[8]ページ先頭

©2009-2025 Movatter.jp