




技术领域technical field
本发明属于通信技术领域,更进一步涉及雷达探测技术领域中的一种干涉合成孔径雷达(Interferometric Synthetic Aperture Radar,InSAR)生成地球表面数字高程模型的数据处理。本发明可用于多基线InSAR中,由于具有不同的入射角SAR图像在同一区域产生两幅或多幅干涉图,然后对生成的干涉相位图进行处理,以提取观测场景中各散射单元的地形高度值。The invention belongs to the technical field of communication, and further relates to data processing for generating a digital elevation model of the earth surface by an Interferometric Synthetic Aperture Radar (InSAR) in the technical field of radar detection. The present invention can be used in multi-baseline InSAR, because SAR images with different incident angles generate two or more interferograms in the same area, and then process the generated interferometric phase images to extract the terrain height of each scattering unit in the observation scene value.
背景技术Background technique
干涉合成孔径雷达在传统技术的合成孔径雷达(SyntheticAperture Radar,SAR)对实际三维场景获取距离维和方位维二维信息的基础上,联合同一场景下不同视角的两幅或多幅相干SAR图像,通过干涉处理技术,获取目标场景的三维地形信息。Interferometric Synthetic Aperture Radar combines two or more coherent SAR images from different viewing angles in the same scene on the basis of the traditional synthetic aperture radar (Synthetic Aperture Radar, SAR) obtaining two-dimensional information in the range dimension and azimuth dimension of the actual three-dimensional scene, through Interference processing technology to obtain 3D terrain information of the target scene.
在干涉合成孔径雷达InSAR数据获取时,对于一般地形,有两个天线相位中心的常规单基线干涉测量系统已被证明有能力提供高精度的DEM。然而,对于复杂地形,包括陡峭的斜坡或不连续的表面(例如人造建筑物,峡谷和陡峭山脉等),由于严重的相位欠采样(即干涉的邻相位差可能大于π),测高性能下降严重,因而这些区域将为单基线干涉测量的"盲区",使得相位展开无法进行或者生成DEM的精度降低。为了解决这问题,提出一种基于混合整数优化模型的多基线干涉合成孔径雷达相位解缠技术,通过将中心像素与其相邻位置像素联合的方法,作为提高CRT估计性能的另一种策略,提升相位解缠精度和获取更加准确的绝对相位值,进而提高InSAR系统的测高性能。Conventional single-baseline interferometry systems with two antenna phase centers have been shown to be capable of providing high-precision DEMs for general terrain during interferometric synthetic aperture radar InSAR data acquisition. However, for complex terrain, including steep slopes or discontinuous surfaces (such as man-made buildings, canyons, and steep mountains, etc.), the measurement performance drops due to severe phase undersampling (i.e., the adjacent phase difference of the interference may be greater than π). Seriously, these regions will be "blind zones" for single-baseline interferometry, making phase unwrapping impossible or reducing the accuracy of DEM generation. In order to solve this problem, a multi-baseline interferometric synthetic aperture radar phase unwrapping technique based on mixed integer optimization model is proposed. By combining the center pixel with its adjacent position pixels, it is another strategy to improve the performance of CRT estimation. The phase unwrapping accuracy and the acquisition of more accurate absolute phase values can improve the measurement performance of the InSAR system.
Xu,在文献“Phase-unwrapping of SAR interferograms with multi-frequencyor multi-baseline”(IEEE Int.Geosci.and Remote Sens.Symp.,Pasadena,CA,1994,pp.730-732)中首次提出了中国剩余定理法(GRT),投影法和线性组合法三种基本方法以提高相位解缠精度从而提高了噪声的抑制效果。Xu, in the paper "Phase-unwrapping of SAR interferograms with multi-frequencyor multi-baseline" (IEEE Int.Geosci.and Remote Sens.Symp., Pasadena, CA, 1994, pp.730-732) first proposed the Chinese residual Theorem method (GRT), projection method and linear combination method are three basic methods to improve the accuracy of phase unwrapping and improve the noise suppression effect.
刘会涛,在文献“ANovel Mixed-norm Multibaseline Phase UnwrappingAlgorithm Based on Linear Programming”(IEEE Geoscience and Remote SensingLetters,2015,12(5),pp.1086-1090)中提出了一种有效的基线干涉法,克服了相位连续假设的缺点,并且可以产生复杂地形的绝对相位。Liu Huitao, in the literature "ANovel Mixed-norm Multibaseline Phase Unwrapping Algorithm Based on Linear Programming" (IEEE Geoscience and Remote Sensing Letters, 2015, 12(5), pp.1086-1090) proposed an effective baseline interference method, which overcomes the The disadvantage of the phase continuation assumption, and the absolute phase of complex terrain can be generated.
于瀚雯,在文献“利用L~1范数的多基线InSAR相位解缠绕技术”(西安电子科技大学学报,2013,40(04):37-41)中提出了一种基于L1范数的多基线相位解缠绕算法。该算法通过借助L1范数这一优化模型,将多基线干涉合成孔径雷达获得的多幅干涉相位图之间的关系融入到了传统单基线L1范数相位解缠绕的优化模型中,可适用于对复杂地形的测绘。Yu Hanwen, in the document "Multi-baseline InSAR Phase Unwrapping Technique Using L~1 Norm" (Journal of Xidian University, 2013, 40(04): 37-41), proposed a method based on L1 norm. Multibaseline phase unwrapping algorithm. The algorithm integrates the relationship between multiple interferometric phase images obtained by multi-baseline interferometric synthetic aperture radar into the traditional single-baseline L1-norm phase unwrapping optimization model by using the L1-norm optimization model, which can be applied to Mapping of complex terrain.
上述算法中,基于单像素的相位解缠绕方法不可避免地受到干涉相位噪声的严重影响,算法对于噪声非常敏感,因此在实际中并不能达到很好的应用,而基于混合范数和L1范数的多基线相位解缠绕方法虽然能在一定程度上克服噪声的影响,但是在模型构建中并未考虑局部地形对模型精度造成的影响,随着相位噪声水平的提高,其性能也急剧下降。Among the above algorithms, the single-pixel-based phase unwrapping method is inevitably seriously affected by interference phase noise, and the algorithm is very sensitive to noise, so it cannot achieve a good application in practice. Although the multi-baseline phase unwrapping method of the proposed method can overcome the influence of noise to a certain extent, the influence of the local terrain on the model accuracy is not considered in the model construction. With the increase of the phase noise level, its performance also drops sharply.
发明内容SUMMARY OF THE INVENTION
本发明针对上述现有技术中干涉合成孔径雷达InSAR数据处理技术对地形测量的工程应用中,本发明可用于多基线InSAR相位解缠,以进一步提高地球表面DEM建立的精度,现有干涉相位图解缠方法不能满足处理所需性能要求时,提出了一种基于混合整数优化模型的多基线InSAR相位解缠算法。通过获取最优窗口、构建优化模型、计算干涉相位图的模糊整数、最终利用解开相位输出整个场景的DEM。The present invention is aimed at the engineering application of the interferometric synthetic aperture radar InSAR data processing technology to terrain measurement in the prior art. The present invention can be used for multi-baseline InSAR phase unwrapping to further improve the accuracy of DEM establishment on the earth's surface. The existing interferometric phase diagram When the entanglement method cannot meet the required performance requirements, a multi-baseline InSAR phase unwrapping algorithm based on a mixed integer optimization model is proposed. By obtaining the optimal window, constructing the optimization model, calculating the fuzzy integer of the interferometric phase map, and finally using the unwrapped phase to output the DEM of the entire scene.
为实现上述目的,本发明的主要步骤如下:For achieving the above object, the main steps of the present invention are as follows:
(1)输入SAR复图像数据;(1) Input SAR complex image data;
(1a)输入干涉合成孔径雷达InSAR主天线获取的主图像数据;(1a) Input the main image data obtained by the InSAR main antenna of the interferometric synthetic aperture radar;
(1b)输入干涉合成孔径雷达InSAR辅天线获取的已完成与主图像完全配准的辅图像数据;(1b) Input the auxiliary image data obtained by the interferometric synthetic aperture radar InSAR auxiliary antenna that has been fully registered with the main image;
(1c)输入干涉合成孔径雷达InSAR成像处理的处理参数和系统参数;(1c) Input the processing parameters and system parameters of the InSAR imaging processing of the interferometric synthetic aperture radar;
(2)复干涉相位图:(2) Complex interference phase diagram:
(2a)对输入的主、辅SAR图像进行干涉处理,得到若干个干涉相位图;(2a) Interferometric processing is performed on the input primary and secondary SAR images to obtain several interferometric phase diagrams;
(3)获取最优局部窗口;(3) Obtain the optimal local window;
(4)构建混合整数优化模型;(4) Build a mixed integer optimization model;
(5)计算复干涉相位图的模糊整数;(5) Calculate the fuzzy integer of the complex interference phase diagram;
(6)计算各个干涉图的解开相位;(6) Calculate the unwrapped phase of each interferogram;
(7)输出整个场景的DEM。(7) Output the DEM of the entire scene.
本发明与现有的技术相比,具有以下优点:Compared with the prior art, the present invention has the following advantages:
第一,本发明提出一种基于混合整数优化模型的多基线InSAR相位解缠算法,通过将中心及其相邻像素结合起来,在假定局部窗口内的像素可以近似于小斜面地形的前提下,联合构造混合整数优化模型,与现有技术相比提高了图像的鲁棒性。克服了现有技术利用单像素的方法而受到干涉相位图中众多相位噪声的影响,减小了对滤波后的干涉相位图进行相位解缠的难度而且能够获取更加真实的绝对相位值。First, the present invention proposes a multi-baseline InSAR phase unwrapping algorithm based on a mixed integer optimization model. By combining the center and its adjacent pixels, under the premise that the pixels in the local window can be approximated to the small slope terrain, A mixed-integer optimization model is jointly constructed, which improves the robustness of images compared with the state-of-the-art. The method overcomes the influence of many phase noises in the interference phase image due to the method of using a single pixel in the prior art, reduces the difficulty of phase unwrapping of the filtered interference phase image, and can obtain a more real absolute phase value.
第二,本发明利用优化策略,相比现有技术干涉合成孔径雷达InSAR数据处理中的干涉相位图解缠方法进一步降低了噪声对求解估计的影响,提高了其应用精度。Second, the present invention utilizes an optimization strategy, which further reduces the influence of noise on the solution estimation and improves its application accuracy compared with the interference phase unwrapping method in the prior art interferometric synthetic aperture radar InSAR data processing.
附图(表)说明Description of drawings (tables)
图1为本发明的流程图;Fig. 1 is the flow chart of the present invention;
图2仿真地形图像;Figure 2 simulated terrain image;
图3仿真干涉图像;Fig. 3 simulated interference image;
图4不同方法的重建地形图;Fig. 4 Reconstructed topographic map of different methods;
图5不同场景的标准偏差与高度均方根误差的关系曲线。Figure 5. The relationship between the standard deviation and the height root mean square error of different scenes.
具体实施方式Detailed ways
下面结合附图对本发明做进一步的描述。The present invention will be further described below with reference to the accompanying drawings.
参照附图1,本发明的具体实施步骤如下:With reference to accompanying
步骤1,输入SAR图像数据和辅助参数。
将干涉合成孔径雷达InSAR主天线获取的主图像数据和干涉合成孔径雷达InSAR辅天线获取的已与主图像完全配准的辅图像数据及处理过程中用到的与系统参数和成像处理相关的辅助参数输入到系统中,输入的主辅SAR图像要满足干涉处理的在相干性和成像质量等方面的质量要求。The main image data obtained by the main antenna of the interferometric synthetic aperture radar InSAR and the auxiliary image data obtained by the auxiliary InSAR antenna of the interferometric synthetic aperture radar that have been fully registered with the main image, and the assistants related to system parameters and imaging processing used in the processing process The parameters are input into the system, and the input primary and secondary SAR images must meet the quality requirements of interferometric processing in terms of coherence and imaging quality.
步骤2,复干涉相位图。
对输入的主辅SAR图像进行干涉处理,获得复干涉相位图;Perform interferometric processing on the input primary and secondary SAR images to obtain a complex interferometric phase map;
步骤3,获取最优局部窗口。
下面以两个基线的InSAR工作情况为例,一个具有三天线相位中心(即两个独立基线)的InSAR系统可以提供两个具有不同基线长度的独立干涉,假设两个干涉都经过了精配准。局部窗口的大小(即方位和距离方向的像素数)是所提出的混合整数优化模型的一个关键参数。一个大的窗口大小将导致一个增加的误差之间的实际地形高度和假设斜面地形。另一方面,如果本地窗口太小,则优化模型中包含的像素将会变得更少。这将影响解决歧义的性能。因此,应该有一个最佳的窗口大小的优化模型。本发明根据干涉包相与假定线性地形的偏差,估计出最佳窗口尺寸。首先估计复干涉相位图局部最优窗口的大小:Taking the InSAR operation of two baselines as an example, an InSAR system with three-antenna phase centers (that is, two independent baselines) can provide two independent interferences with different baseline lengths, assuming that both interferences have undergone fine registration . The size of the local window (ie, the number of pixels in the azimuth and range directions) is a key parameter of the proposed mixed-integer optimization model. A large window size will result in an increased error between the actual terrain height and the assumed sloped terrain. On the other hand, if the local window is too small, fewer pixels will be included in the optimized model. This will affect the performance of resolving ambiguities. Therefore, there should be an optimized model with an optimal window size. The invention estimates the optimal window size according to the deviation of the interference packet phase and the assumed linear terrain. First estimate the size of the local optimum window of the complex interferometric phase map:
其中,P表示局部窗口方位向的像素点数量,S1和S2表示配准后的复SAR图像对,辅图像数据,(m,n)表示取中心像素点的坐标,(·)*表示取共轭操作。Among them, P represents the number of pixels in the local window azimuth, S1 and S2 represent the registered complex SAR image pair, auxiliary image data, (m, n) represents the coordinates of the center pixel, ( )* represents Take the conjugate operation.
通过类似的方法可得到局部窗口距离向的像素点数量。The number of pixels in the distance direction of the local window can be obtained by a similar method.
步骤4,构建混合整数优化模型。
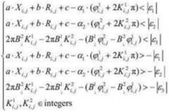
首先,利用InSAR系统参数以及步骤(3)中获得的局部最优窗口参数构建混合整数优化模型。为了提高噪声的鲁棒性,在局部窗口的像素满足小平面条件的前提下,采用局部像素的方法,即局部窗口的地形可以近似为斜面。实际上,地球表面的DEM可以被认为是由许多斜面组成的整个表面,即使是在地形复杂的地区。通过下式构建最优模型:First, a mixed integer optimization model is constructed using the InSAR system parameters and the locally optimal window parameters obtained in step (3). In order to improve the robustness of noise, the local pixel method is adopted under the premise that the pixels of the local window satisfy the facet condition, that is, the terrain of the local window can be approximated as a slope. In fact, the DEM of the Earth's surface can be thought of as the entire surface consisting of many slopes, even in areas with complex topography. The optimal model is constructed by:
其中,|ε1|和|ε2|表示真实高度与斜面之间的最大距离,|ε3|表示各个干涉图之间的高度差,a,b和c是构建一个斜平面方程的固有参数,Xi,j和Ri,j分别是相对像素中心的方位向和距离向,α1和α2是各个干涉图的绝对相位与高度的比例因子,和表示各个干涉图中通过精准SAR图像的共轭相乘法直接测量到的干涉相位,和表示有效的跨轨道的基线长度,和表示每个相位图的模糊数。where |ε1 | and |ε2 | represent the maximum distance between the true height and the inclined plane, |ε3 | represents the height difference between the individual interferograms, and a, b and c are the intrinsic parameters for constructing an inclined plane equation , Xi,j and Ri,j are the azimuth and distance directions relative to the center of the pixel, respectively, α1 and α2 are the scale factors of the absolute phase and height of each interferogram, and represents the interferometric phase directly measured by the conjugate multiplication of the precise SAR image in each interferogram, and represents the effective cross-track baseline length, and Represents the ambiguity number for each phase map.
步骤5,计算复干涉相位图的模糊整数。Step 5: Calculate the fuzzy integer of the complex interference phase map.
对于每一个局部窗口,利用步骤(4)中建立的最优模型求解两个干涉相位图的模糊整数。For each local window, use the optimal model established in step (4) to solve the fuzzy integers of the two interferometric phase maps.
步骤6,计算各个干涉图的解开相位。
步骤7,输出整个场景的DEM。
2、仿真数据处理实验:2. Simulation data processing experiment:
仿真数据实验以分布式卫星为平台,InSAR系统的仿真参数如下表所示:The simulation data experiment takes the distributed satellite as the platform, and the simulation parameters of the InSAR system are shown in the following table:
图2为仿真地形,图3(a)(b)分别是长和短基线测量的两个理想干涉,图3(c)(d)分别为经过一个5度标准偏差的相位噪声加法后的长、短基线的干涉。与图3(a)相比,图3(b)中的干涉相位条纹的密度要大得多,这是由于交叉轨道基线长度越长,造成的模糊高度越小。同时,由于不连续地形,图3(a)(b)都包含了一些相邻相位差超过π的像素点。Fig. 2 is the simulated terrain, Fig. 3(a)(b) are the two ideal interferences measured by the long and short baselines, respectively, and Fig. 3(c)(d) are the long and , Short baseline interference. Compared with Fig. 3(a), the density of the interference phase fringes in Fig. 3(b) is much larger, because the longer the baseline length of the cross-track is, the smaller the blur height is. Also, due to discontinuous terrain, Figure 3(a) and (b) both contain some pixels whose adjacent phase difference exceeds π.
为了便于与模拟DEM进行比较,将恢复后的绝对相位值转换为地形高度,如图4所示,其中图4(a)为CRT得到的地形高度图。图4(b)为基于线性规划的混合范数多基线相位解缠算法得到的地形高度图。图4(c)为通过本发明方法得到的地形高度图。由图4可知,通过本发明所提方法所得到的重建地形DEM更为准确。In order to facilitate the comparison with the simulated DEM, the recovered absolute phase values are converted into terrain heights, as shown in Fig. 4, where Fig. 4(a) is the terrain height map obtained by CRT. Figure 4(b) is the terrain height map obtained by the mixed-norm multi-baseline phase unwrapping algorithm based on linear programming. Figure 4(c) is a terrain height map obtained by the method of the present invention. It can be seen from FIG. 4 that the reconstructed terrain DEM obtained by the method of the present invention is more accurate.
所提方法的对于不同场景下(山地,斜坡,不连续台阶地形)的相位标准偏差与高度均方根误差的关系曲线如图5所示,其中图5(a)为山地不同方法的标准偏差与高度均方根误差的关系曲线。图5(b)为斜坡不同方法的标准偏差与高度均方根误差的关系曲线。图5(c)为不连续台阶地形不同方法的标准偏差与高度均方根误差的关系曲线。图5(d)为整个场景不同方法的标准偏差与高度均方根误差的关系曲线。由图5可知,本发明所提方法具有降低噪声影响的能力,提高了基线相位解缠的鲁棒性。The relationship between the phase standard deviation and the height root mean square error of the proposed method for different scenarios (mountain, slope, discontinuous step terrain) is shown in Figure 5, in which Figure 5(a) is the standard deviation of different methods in the mountain Plot versus height rms error. Figure 5(b) shows the relationship between the standard deviation of different slope methods and the root mean square error of height. Figure 5(c) shows the relationship between the standard deviation and the height root mean square error of different methods for discontinuous step terrain. Figure 5(d) shows the relationship between the standard deviation and the height root mean square error of different methods for the whole scene. It can be seen from Fig. 5 that the method proposed in the present invention has the ability to reduce the influence of noise and improves the robustness of baseline phase unwrapping.
从图4和图5的处理结果可知,本发明所述方法可以更好地实现地形DEM的获取。It can be seen from the processing results in Fig. 4 and Fig. 5 that the method of the present invention can better realize the acquisition of terrain DEM.
| Application Number | Priority Date | Filing Date | Title |
|---|---|---|---|
| CN201810082081.2ACN108663678B (en) | 2018-01-29 | 2018-01-29 | Multi-baseline InSAR phase unwrapping algorithm based on mixed integer optimization model |
| Application Number | Priority Date | Filing Date | Title |
|---|---|---|---|
| CN201810082081.2ACN108663678B (en) | 2018-01-29 | 2018-01-29 | Multi-baseline InSAR phase unwrapping algorithm based on mixed integer optimization model |
| Publication Number | Publication Date |
|---|---|
| CN108663678A CN108663678A (en) | 2018-10-16 |
| CN108663678Btrue CN108663678B (en) | 2022-01-18 |
| Application Number | Title | Priority Date | Filing Date |
|---|---|---|---|
| CN201810082081.2AExpired - Fee RelatedCN108663678B (en) | 2018-01-29 | 2018-01-29 | Multi-baseline InSAR phase unwrapping algorithm based on mixed integer optimization model |
| Country | Link |
|---|---|
| CN (1) | CN108663678B (en) |
| Publication number | Priority date | Publication date | Assignee | Title |
|---|---|---|---|---|
| CN110988876B (en)* | 2019-11-21 | 2023-01-03 | 长沙理工大学 | Closed robust double-baseline InSAR phase unwrapping method and system and readable storage medium |
| CN112859077B (en)* | 2021-01-27 | 2023-03-07 | 中国测绘科学研究院 | A Multilevel Synthetic Aperture Radar Interferometric Phase Unwrapping Method |
| CN113068035B (en)* | 2021-03-17 | 2023-07-14 | 之江实验室 | A method for natural scene reconstruction based on deep neural network |
| CN113567942B (en)* | 2021-08-10 | 2023-06-13 | 中国电子科技集团公司第三十八研究所 | A Method for Analyzing Measurement Accuracy of Multi-Baseline Interferometric Synthetic Aperture Radar System |
| CN113791413B (en)* | 2021-09-14 | 2023-08-01 | 华北水利水电大学 | Multi-baseline InSAR branch and bound pure integer programming phase unwrapping algorithm |
| CN117872366B (en)* | 2023-11-30 | 2024-06-07 | 中国科学院空天信息创新研究院 | Array interference SAR mountain area point cloud defuzzification method based on phase unwrapping |
| Publication number | Priority date | Publication date | Assignee | Title |
|---|---|---|---|---|
| CN101866002A (en)* | 2010-06-01 | 2010-10-20 | 中国人民解放军信息工程大学 | Multi-baseline, multi-band InSAR phase unwrapping method based on Chinese remainder theorem |
| CN103439708A (en)* | 2013-08-29 | 2013-12-11 | 西安电子科技大学 | Polarized InSAR interferogram estimation method based on generalized scattering vector |
| CN103809180A (en)* | 2014-03-12 | 2014-05-21 | 西安电子科技大学 | Azimuth pre-filtering processing method for Interferometric Synthetic Aperture Radar (InSAR) topographic survey |
| CN105116410A (en)* | 2015-07-20 | 2015-12-02 | 西北农林科技大学 | Interferometric phase adaptive filtering algorithm based on linear model matching |
| CN107544069A (en)* | 2017-08-28 | 2018-01-05 | 西安电子科技大学 | More baseline phase unwrapping methods based on plane approximation model |
| Publication number | Priority date | Publication date | Assignee | Title |
|---|---|---|---|---|
| CN1307428C (en)* | 2004-04-09 | 2007-03-28 | 中国人民解放军国防科学技术大学 | Real-virtual relating method for generating interference phase pattern of synthetic aperture radar without interference spots |
| WO2007071113A1 (en)* | 2005-12-22 | 2007-06-28 | Qifeng Yu | A three-images isoline correlation interferometric method for generating an interferogram of radar |
| US20080297405A1 (en)* | 2007-04-06 | 2008-12-04 | Morrison Jr Robert L | Synthetic Aperture focusing techniques |
| US8133127B1 (en)* | 2008-07-21 | 2012-03-13 | Synder Terrance W | Sports training device and methods of use |
| CN102269813B (en)* | 2011-06-23 | 2012-11-28 | 中国电子科技集团公司第三十八研究所 | Interference processing technology of airborne non-vertical dual-antenna InSAR system |
| CN103454636B (en)* | 2013-09-08 | 2015-05-20 | 西安电子科技大学 | Differential interferometric phase estimation method based on multi-pixel covariance matrixes |
| EP3094994A2 (en)* | 2014-01-13 | 2016-11-23 | CGG Services SA | Methods and apparatus for applying surface consistent phase-dependent phase corrections |
| JP6266133B2 (en)* | 2014-05-16 | 2018-01-24 | コーニンクレッカ フィリップス エヌ ヴェKoninklijke Philips N.V. | Autocorrelation guide cross-correlation in ultrasonic shear wave elastography |
| CN105719253A (en)* | 2016-01-20 | 2016-06-29 | 桂林电子科技大学 | Kalman filtering phase unwrapping method having heapsort function in embedded manner |
| CN106093939B (en)* | 2016-05-27 | 2018-08-03 | 山东科技大学 | A kind of InSAR image phase unwrapping methods based on phase difference statistical model |
| CN106932773B (en)* | 2017-01-12 | 2019-08-30 | 桂林电子科技大学 | Phase Unwrapping Algorithm Based on Modified Embedded Volumetric Kalman Filter |
| CN107193005B (en)* | 2017-06-16 | 2020-03-17 | 桂林电子科技大学 | Phase unwrapping algorithm combining lossless Kalman filtering and particle filtering |
| Publication number | Priority date | Publication date | Assignee | Title |
|---|---|---|---|---|
| CN101866002A (en)* | 2010-06-01 | 2010-10-20 | 中国人民解放军信息工程大学 | Multi-baseline, multi-band InSAR phase unwrapping method based on Chinese remainder theorem |
| CN103439708A (en)* | 2013-08-29 | 2013-12-11 | 西安电子科技大学 | Polarized InSAR interferogram estimation method based on generalized scattering vector |
| CN103809180A (en)* | 2014-03-12 | 2014-05-21 | 西安电子科技大学 | Azimuth pre-filtering processing method for Interferometric Synthetic Aperture Radar (InSAR) topographic survey |
| CN105116410A (en)* | 2015-07-20 | 2015-12-02 | 西北农林科技大学 | Interferometric phase adaptive filtering algorithm based on linear model matching |
| CN107544069A (en)* | 2017-08-28 | 2018-01-05 | 西安电子科技大学 | More baseline phase unwrapping methods based on plane approximation model |
| Title |
|---|
| 分布式卫星干涉合成孔径雷达信号处理关键技术研究;郭交;《中国博士学位论文全文数据库 信息科技辑》;20111215;第55-61,68页* |
| Publication number | Publication date |
|---|---|
| CN108663678A (en) | 2018-10-16 |
| Publication | Publication Date | Title |
|---|---|---|
| CN108663678B (en) | Multi-baseline InSAR phase unwrapping algorithm based on mixed integer optimization model | |
| CN107389029B (en) | A kind of surface subsidence integrated monitor method based on the fusion of multi-source monitoring technology | |
| CN106526590B (en) | A kind of fusion multi-source SAR image industrial and mining area three-dimensional earth's surface deformation monitorings and calculation method | |
| CN107102333B (en) | Satellite-borne InSAR long and short baseline fusion unwrapping method | |
| CN109212522B (en) | High-precision DEM inversion method and device based on double-base satellite-borne SAR | |
| KR102142674B1 (en) | Method and Apparatus for Synthetic Aperture Radar Phase Unwrapping based on SAR Offset Tracking Displacement Model | |
| CN105824022A (en) | Method for monitoring three-dimensional deformation of unfavorable geologic body under power grid | |
| CN118244269B (en) | Large-scale forest height inversion method, device, equipment and medium | |
| CN112711021B (en) | Multi-resolution InSAR (interferometric synthetic Aperture Radar) interactive interference time sequence analysis method | |
| CN112882030B (en) | InSAR imaging interference integrated processing method | |
| CN104237887A (en) | SAR remote-sensing image matching method | |
| Mao et al. | Estimation and compensation of ionospheric phase delay for multi-aperture InSAR: An azimuth split-spectrum interferometry approach | |
| CN115546264A (en) | A Method for Fine Registration and Stereo Measurement of Spaceborne InSAR Images | |
| CN110161501A (en) | A kind of target area earth's surface fluctuating information extracting method of multiple timings SAR image | |
| KR100441590B1 (en) | Method of generating DEM for Topography Measurement using InSAR | |
| CN117538875A (en) | Lunar surface elevation inversion method based on single-navigation full-polarization SAR data | |
| CN105116410B (en) | Adaptive Filtering Algorithm of Interferogram Based on Linear Model Matching | |
| CN111696207B (en) | A Multi-Baseline DEM Fusion Method Based on Guided Filtering | |
| Crosetto et al. | Data processing and analysis tools based on ground-based synthetic aperture radar imagerY | |
| Shiping | DEM generation using ERS-1/2 interferometric SAR data | |
| Dong et al. | Improved topographic mapping in vegetated mountainous areas by high-resolution radargrammetry-assisted sar interferometry | |
| Choussiafis et al. | Mosaic methods for improving the accuracy of interferometric based digital elevation models | |
| Joshi et al. | Potential of EOS-4 imagery for SAR interferometry | |
| CN120352871B (en) | Method and device for inverting forest height based on single-base-line InSAR | |
| Hayati et al. | RADAR INTERFEROMETRY APPLICATION FOR DIGITAL ELEVATION MODEL IN MOUNT BROMO, INDONESIA |
| Date | Code | Title | Description |
|---|---|---|---|
| PB01 | Publication | ||
| PB01 | Publication | ||
| SE01 | Entry into force of request for substantive examination | ||
| SE01 | Entry into force of request for substantive examination | ||
| GR01 | Patent grant | ||
| GR01 | Patent grant | ||
| CF01 | Termination of patent right due to non-payment of annual fee | ||
| CF01 | Termination of patent right due to non-payment of annual fee | Granted publication date:20220118 |