








技术领域technical field
本发明涉及数字近景摄影测量技术领域,具体而言,涉及一种振动测量方法,尤其是一种基于结构边缘亚像素骨架提取的无标记的振动测量方法,适用于具有显著边缘特征的结构或对象的动态测量。The invention relates to the technical field of digital close-range photogrammetry, in particular to a vibration measurement method, in particular to a markerless vibration measurement method based on sub-pixel skeleton extraction at the edge of a structure, which is suitable for structures or objects with significant edge features dynamic measurement.
背景技术Background technique
传统的模态测试大多采用加速度、速度或位移传感器来获取振动响应,一个传感器只能获得单点特定方向的响应输出,对于密集型空间采样需安装多个传感器,易出现安装布线困难、测试效率低和附加质量等问题。Traditional modal tests mostly use acceleration, velocity or displacement sensors to obtain vibration responses. One sensor can only obtain the response output of a single point in a specific direction. For intensive spatial sampling, multiple sensors need to be installed, which is prone to installation and wiring difficulties and test efficiency. low and additional quality issues.
薄壁结构一般是指由薄板、薄壳和细长杆件组成的结构,能以较小的重量和较少的材料承受较大的载荷,且包含显著的边缘特征,在风力发电和航空航天等诸多工程领域应用广泛。例如,飞机广泛采用的薄壁结构是指由薄型板件和加强构件组成的结构,板件有蒙皮、腹板、隔板等,加强构件有桁条和梁、肋、框和缘条等;风力机叶片也是一种薄壁结构的典型应用。该类结构件尺寸长、面积大,传统的测量方法已不能满足测试需求。Thin-walled structures generally refer to structures composed of thin plates, thin shells, and slender rods, which can withstand larger loads with less weight and less material, and contain significant edge features. It is widely used in many engineering fields. For example, the thin-walled structure widely used in aircraft refers to the structure composed of thin plates and reinforcing members. ; Wind turbine blades are also a typical application of thin-walled structures. Such structural parts are long in size and large in area, and traditional measurement methods can no longer meet the testing requirements.
专利号为201310656022.9的发明专利申请公开了一种利用Hough变换和骨架提取特征点的扩展目标跟踪方法,采用高斯平滑滤波对待处理图像进行预处理以去除噪声对后续算法的影响,采用模糊C均值聚类算法FCM(Fuzzy C-Means Cluster)对上述平滑后的图像进行分割,获得二值图像,然后对分割后获得的二值目标图像进行Hough变换,检测出目标上直线特征明显的部分,而对于目标上线特征不明显的部分采用骨架提取获得特征点,再对骨架上的特征点进行直线拟合,获得目标轴线,最后将上述获得的轴线所在直线的交点作为最后的跟踪点,从而实现对姿态变化较大情况下的稳定跟踪。但是该方法在进行飞机机身和机翼的定位跟踪时,只将轴线所在直线的交点作为最后的跟踪点,跟踪的精度不高,同时,该方法只能进行目标点的跟踪,难以获得某些特殊边缘的振动响应,因而,仍然不能很好满足某些薄壁结构(如风力机叶片)的振动测试需求。The invention patent application with the patent number 201310656022.9 discloses an extended target tracking method using Hough transform and skeleton extraction feature points. The class algorithm FCM (Fuzzy C-Means Cluster) divides the above smoothed image to obtain a binary image, and then performs Hough transform on the binary target image obtained after segmentation to detect the part with obvious straight line features on the target. The feature points are obtained by extracting the skeleton for the part where the features of the target line are not obvious, and then the feature points on the skeleton are fitted with a straight line to obtain the target axis. Stable tracking under large changes. However, this method only takes the intersection of the straight line where the axis is located as the final tracking point when positioning and tracking the aircraft fuselage and the wing, and the tracking accuracy is not high. At the same time, this method can only track the target point, and it is difficult to obtain a certain Therefore, it still cannot meet the vibration test requirements of some thin-walled structures (such as wind turbine blades).
摄影测量技术具有全场、非接触等优点,如何应用于振动测试领域是近年来学者们的研究热点。现有的方法大多采用在物体表面布设、粘贴标志或者纹理的方式实现特征点的动态追踪。然而,在一些特殊工况或高温、高压等恶劣环境中人力难以在工件表面布置标记。Photogrammetry technology has the advantages of full field and non-contact. How to apply it to the field of vibration testing has been a research hotspot of scholars in recent years. Most of the existing methods implement dynamic tracking of feature points by arranging, pasting marks or textures on the surface of objects. However, in some special working conditions or harsh environments such as high temperature and high pressure, it is difficult for manpower to arrange marks on the surface of the workpiece.
因此,如何实现了无人工合作标志情况下,仅通过被测物体本身的边缘信息来实现动态跟踪,进行振动测量,成为本领域技术人员亟需解决的技术问题。Therefore, how to realize dynamic tracking and vibration measurement only through the edge information of the measured object itself without manual cooperation signs has become a technical problem that those skilled in the art need to solve urgently.
发明内容SUMMARY OF THE INVENTION
鉴于此,本发明提出了一种基于结构边缘亚像素骨架提取的无标记振动测量方法,基于双目动态摄影立体成像技术可实现虚拟标志点的三维空间振动响应测量。In view of this, the present invention proposes a markerless vibration measurement method based on sub-pixel skeleton extraction at the structure edge, which can realize the three-dimensional space vibration response measurement of virtual landmark points based on the stereoscopic imaging technology of binocular dynamic photography.
本发明提出的一种振动测量方法,包括如下步骤:A vibration measurement method proposed by the present invention comprises the following steps:
S10:采用双摄像机组成的立体摄站系统对待测对象进行动态连续拍摄;S10: A stereo camera system composed of dual cameras is used for dynamic continuous shooting of the object to be measured;
S20:对拍摄获得的图像进行去噪处理;S20: perform denoising processing on the image obtained by shooting;
S30:对去噪处理后的图像进行阈值分割,获得包含边缘特征的二值图像;S30: Perform threshold segmentation on the denoised image to obtain a binary image including edge features;
S40:对二值图像进行对象边缘的粗定位;S40: Coarse localization of the object edge on the binary image;
S50:获取对象边缘的像素骨架;S50: Obtain the pixel skeleton of the edge of the object;
S60:确定对象边缘的像素骨架的起始点和末端点,并将起始点与末端点之间的骨架线段分割成n份,将用于分割骨架线段的分割点确定为虚拟目标点;S60: Determine the starting point and the end point of the pixel skeleton on the edge of the object, divide the skeleton line segment between the starting point and the end point into n parts, and determine the dividing point for dividing the skeleton line segment as a virtual target point;
S70:获取连续拍摄的图像的像素骨架,并对像素骨架采用与步骤S60中相同分割方式,对相同的虚拟目标点进行动态追踪、匹配;S70: Acquire the pixel skeleton of the continuously shot images, and use the same segmentation method as in step S60 for the pixel skeleton to dynamically track and match the same virtual target point;
S80:对立体摄站系统进行系统标定,获得立体摄站系统的内外参数;S80: Perform system calibration on the stereo camera system to obtain the internal and external parameters of the stereo camera system;
S90:计算虚拟目标点的空间振动响应。S90: Calculate the spatial vibration response of the virtual target point.
上述的振动测量方法,优选地,在步骤S20中,采用自适应维纳滤波方法,对拍摄获得的图像进行去噪处理。In the above vibration measurement method, preferably, in step S20, an adaptive Wiener filtering method is used to perform denoising processing on the image obtained by shooting.
上述的振动测量方法,优选地,在步骤S30中,采用Otsu双阈值法,对去噪处理后的图像进行阈值分割。In the above vibration measurement method, preferably, in step S30, the Otsu double-threshold method is used to perform threshold segmentation on the denoised image.
上述的振动测量方法,优选地,在步骤S40中,通过形态学方法,对二值图像进行对象边缘的粗定位。In the above-mentioned vibration measurement method, preferably, in step S40, a morphological method is used to perform rough localization of the object edge on the binary image.
上述的振动测量方法,优选地,步骤S50包括:Above-mentioned vibration measurement method, preferably, step S50 comprises:
S51:获得边缘的单像素骨架;S51: Obtain the single-pixel skeleton of the edge;
S52:求取单像素骨架上各点的法向方向,并计算法向方向上对象边缘的光学中心,获得对象边缘的亚像素骨架。S52: Obtain the normal direction of each point on the single-pixel skeleton, and calculate the optical center of the object edge in the normal direction to obtain the sub-pixel skeleton of the object edge.
上述的振动测量方法,优选地,所述K3M顺序迭代法包括如下步骤:The above-mentioned vibration measurement method, preferably, the K3M sequential iteration method comprises the following steps:
S511:提取最新的目标轮廓,并记录所有轮廓点;S511: extract the latest target contour and record all contour points;
S512:依次检测所有轮廓点的8像素邻域,判断是否只含有3连通像素,如果有,把只含有3连通像素的轮廓点删除,并在目标图像中删除对应点;S512: Detect the 8-pixel neighborhoods of all the contour points in turn, determine whether they contain only 3 connected pixels, and if so, delete the contour points that only contain 3 connected pixels, and delete the corresponding points in the target image;
S513:依次检测S512中剩余轮廓点的8像素邻域,判断是否只含有3或4连通像素,如果有,把只含有3或4连通像素的轮廓点删除,并在目标图像中删除对应点;S513: Detect the 8-pixel neighborhood of the remaining contour points in S512 in turn, determine whether they only contain 3 or 4 connected pixels, and if so, delete the contour points that only contain 3 or 4 connected pixels, and delete the corresponding point in the target image;
S514:依次检测S513中剩余轮廓点的8像素邻域,判断是否只含有3或4或5连通像素,如果有,把只含有3或4或5连通像素的轮廓点删除,并在目标图像中删除对应点;S514: Detect the 8-pixel neighborhood of the remaining contour points in S513 in turn, determine whether they only contain 3, 4, or 5 connected pixels, and if so, delete the contour points that only contain 3, 4, or 5 connected pixels, and place them in the target image. delete the corresponding point;
S515:依次检测S514中剩余轮廓点的8像素邻域,判断是否只含有3或4或5或6连通像素,如果有,把只含有3或4或5或6连通像素的轮廓点删除,并在目标图像中删除对应点;S515: Detect the 8-pixel neighborhood of the remaining contour points in S514 in turn, determine whether they contain only 3 or 4 or 5 or 6 connected pixels, if so, delete the contour points that only contain 3 or 4 or 5 or 6 connected pixels, and Delete corresponding points in the target image;
S516:依次检测S515中剩余轮廓点的8像素邻域,判断是否只含有3或4或5或6或7连通像素,如果有,把只含有3或4或5或6或7连通像素的轮廓点删除,并在目标图像中删除对应点;如果在这步骤中仍有轮廓点被删除,则进入第7步,否则迭代终止,得到最终骨架;S516: Detect the 8-pixel neighborhood of the remaining contour points in S515 in turn, and determine whether it contains only 3 or 4 or 5 or 6 or 7 connected pixels. Delete the point, and delete the corresponding point in the target image; if there are still contour points deleted in this step, go to step 7, otherwise the iteration is terminated, and the final skeleton is obtained;
S517:依次检测目标图像中像素骨架的8像素邻域,判断是否只含有2或3或4或5或6或7连通像素,如果有,把只含有2或3或4或5或6或7连通像素的轮廓点删除,得到最终的骨架。S517: Detect the 8-pixel neighborhood of the pixel skeleton in the target image in turn, and determine whether it contains only 2 or 3 or 4 or 5 or 6 or 7 connected pixels. The contour points of connected pixels are deleted to obtain the final skeleton.
上述的振动测量方法,优选地,步骤S52包括:Above-mentioned vibration measurement method, preferably, step S52 comprises:
S521:针对像素骨架上的轮廓点f(x,y),按sobel算子求取梯度向量g[fx,fy];S521: For the contour point f(x, y) on the pixel skeleton, obtain the gradient vector g[fx , fy ] according to the sobel operator;
S522:则点f(x,y)处的法线方向夹角将该法线方向记为(nx,ny);S522: The angle between the normal direction at the point f(x, y) Denote the normal direction as (nx , ny );
S523:获得法线方向后,以f(x,y)为基点,针对该法线方向上的每一个轮廓点f(x′,y′),其中以邻近的三个骨架点pi-1,pi-2,pi(x′y′),求对应曲率,取最小曲率时的pi(x′,y′)为新找到的骨架点Pi;S523: After obtaining the normal direction, take f(x, y) as the base point, for each contour point f(x', y') in the normal direction, where Take the three adjacent skeleton points pi-1 , pi-2 , pi (x'y') to find the corresponding curvature, and take pi (x', y') with the smallest curvature as the newly found skeleton point Pi ;
S524:连接所有的Pi即可得到亚像素骨架。S524 : Connect all Pi to obtain a sub-pixel skeleton.
上述的振动测量方法,优选地,在步骤S51中,通过K3M顺序迭代法获得边缘的单像素骨架;在步骤S52中:采用能量加权平均法计算法向方向上对象边缘的光学中心。In the above vibration measurement method, preferably, in step S51, the single-pixel skeleton of the edge is obtained by the K3M sequential iteration method; in step S52: the optical center of the object edge in the normal direction is calculated by the energy weighted average method.
上述的振动测量方法,优选地,在步骤S60中,确定对象边缘的像素骨架的起始点和末端点,并计算起始点和末端点之间的骨架线段的像素长度,采用等分方式将起始点与末端点之间的骨架线段分割成n份。In the above-mentioned vibration measurement method, preferably, in step S60, the starting point and the end point of the pixel skeleton on the edge of the object are determined, and the pixel length of the skeleton line segment between the starting point and the end point is calculated, and the starting point is divided into equal parts. The skeleton line segment between the end point is divided into n parts.
上述的振动测量方法,优选地,在步骤S90中,根据双目立体摄影成像原理求解计算虚拟目标点的空间振动响应,空间振动响应包振动加速度、振动速度和振动位移。In the above vibration measurement method, preferably, in step S90, the spatial vibration response of the virtual target point is calculated according to the principle of binocular stereo photography, and the spatial vibration response includes vibration acceleration, vibration velocity and vibration displacement.
本发明提出的振动测量方法,采用双摄像机组成的立体摄站系统对待测对象进行动态连续拍摄;对拍摄获得的图像进行去噪处理;对去噪处理后的图像进行阈值分割,获得包含边缘特征的二值图像;对二值图像进行对象边缘的粗定位;获取对象边缘的像素骨架;确定对象边缘的像素骨架的起始点和末端点,并将起始点与末端点之间的骨架线段分割成n份,将用于分割骨架线段的分割点确定为虚拟目标点;获取连续拍摄的图像的像素骨架,并对像素骨架采用与前述步骤中相同分割方式,对相同的虚拟目标点进行动态追踪、匹配;对立体摄站系统进行系统标定,获得立体摄站系统的内外参数;计算虚拟目标点的空间振动响应。本发明的振动测量方法,无需提前在被测物体上粘贴或布置合作标志即可实现振动测量,不会造成结构表面的污染和损伤,特别适用于高温、高压等特殊工况中人力难以布置标记的场合,可以节约大量的人力物力。The vibration measurement method proposed by the present invention adopts a stereo camera station system composed of two cameras to dynamically and continuously shoot the object to be measured; perform denoising processing on the images obtained by shooting; perform threshold segmentation on the denoised images to obtain edge features including edge features. The binary image of the object edge is coarsely positioned on the binary image; the pixel skeleton of the object edge is obtained; the starting point and end point of the pixel skeleton of the object edge are determined, and the skeleton line segment between the starting point and the end point is divided into n copies, determine the segmentation point used to segment the skeleton line segment as the virtual target point; obtain the pixel skeleton of the continuously shot images, and use the same segmentation method as in the previous steps for the pixel skeleton to dynamically track the same virtual target point, Matching; perform system calibration on the stereo camera system to obtain the internal and external parameters of the stereo camera system; calculate the spatial vibration response of the virtual target point. The vibration measurement method of the present invention can realize vibration measurement without pasting or arranging cooperative signs on the measured object in advance, and will not cause pollution and damage to the surface of the structure, and is especially suitable for high temperature, high pressure and other special working conditions. It can save a lot of manpower and material resources.
在进一步的方案中,对振动中的运动物体拍摄后,采用自适应维纳滤波方法消除图像退化的影响,与传统的维纳滤波相比,本方法可自适应地选取信噪比参数,具有更好的适应能力。而且为了克服滤波后边缘位置的模糊化问题,本方法单独对图像进行了sobel算子提取边缘图像,并叠加到滤波后图像上,获得的图像更为平滑,边缘更清晰。In a further scheme, the adaptive Wiener filtering method is used to eliminate the influence of image degradation after shooting the vibrating moving object. Compared with the traditional Wiener filtering, this method can adaptively select the signal-to-noise ratio parameter, which has better adaptability. Moreover, in order to overcome the fuzzification of the edge position after filtering, this method separately performs the sobel operator on the image to extract the edge image, and superimposes it on the filtered image, the obtained image is smoother and the edge is clearer.
在进一步的方案中,采用两步法获得高精度骨架,即首先采用K3M顺序迭代算法提取单像素骨架;再在骨架各点的梯度方向上求取新的骨架点,使得新骨架线曲率变化最小。该方法综合考虑几何中心和光学中心,可获得连续光滑的亚像素骨架线。In a further scheme, a two-step method is used to obtain a high-precision skeleton, that is, the single-pixel skeleton is first extracted by the K3M sequential iterative algorithm; then new skeleton points are obtained in the gradient direction of each point of the skeleton, so that the curvature of the new skeleton line changes the least. . The method comprehensively considers the geometric center and the optical center to obtain continuous and smooth sub-pixel skeleton lines.
在进一步的方案中,对提取的骨架线等分,并可采用多帧同名点匹配算法,获得振动物体上若干点的连续振动位移曲线,实现了无标记振动监测,避免了粘贴标记的繁琐和识别标记的困难等问题。In a further scheme, the extracted skeleton lines are divided into equal parts, and the multi-frame same-name point matching algorithm can be used to obtain the continuous vibration displacement curve of several points on the vibrating object, which realizes the markerless vibration monitoring, and avoids the cumbersome and complicated pasting of markers. Difficulty in identifying markers, etc.
附图说明Description of drawings
图1为本发明具体实施例提出的一种振动测量方法的流程图;1 is a flowchart of a vibration measurement method proposed by a specific embodiment of the present invention;
图2为具体实施例中在一种叶片边缘结构拍摄原图;FIG. 2 is an original image taken in a blade edge structure in a specific embodiment;
图3为阈值分割后的图像;Figure 3 is an image after threshold segmentation;
图4为腐蚀运算后的图像;Fig. 4 is the image after erosion operation;
图5为单像素骨架提取的结果;Figure 5 is the result of single-pixel skeleton extraction;
图6为骨架等分求交点示意图;Figure 6 is a schematic diagram of the skeleton equally dividing the intersection point;
图7为实施例中9个虚拟目标点的空间运动轨迹图;Fig. 7 is the spatial motion trajectory diagram of 9 virtual target points in the embodiment;
图8为实施例中某个虚拟目标点在Y方向上的振动响应图;8 is a vibration response diagram of a certain virtual target point in the Y direction in the embodiment;
图9为双目立体摄影成像原理示意图。FIG. 9 is a schematic diagram of the imaging principle of binocular stereo photography.
具体实施方式Detailed ways
为了能够更清楚地理解本发明的上述目的、特征和优点,下面结合附图和具体实施方式对本发明进行进一步的详细描述。需要说明的是,在不冲突的情况下,本申请的实施例及实施例中的特征可以相互组合。In order to understand the above objects, features and advantages of the present invention more clearly, the present invention will be further described in detail below with reference to the accompanying drawings and specific embodiments. It should be noted that the embodiments of the present application and the features in the embodiments may be combined with each other in the case of no conflict.
需要说明的是,本发明中的“和/或”,指既可以同时具备,也可以选择其中之一,如方案A和/或方案B,包括方案A、方案B、方案A且方案B此三种情况。It should be noted that "and/or" in the present invention means that both of them can be provided, or one of them can be selected, such as scheme A and/or scheme B, including scheme A, scheme B, scheme A and scheme B. three conditions.
如图1-8所示,本发明提出的一种振动测量方法,针对具有显著边缘特征的结构进行振动测量,无需提前布设合作标志,该方法基于边缘的亚像素骨架提取和交比不变特性构造虚拟目标点,通过对相同的虚拟目标点进行追踪匹配、摄影成像实现待测对象的动态测量。包括如下步骤:As shown in Figures 1-8, a vibration measurement method proposed by the present invention performs vibration measurement for structures with significant edge features, and does not need to lay out cooperation signs in advance. A virtual target point is constructed, and the dynamic measurement of the object to be measured is realized by tracking and matching the same virtual target point and photographing and imaging. It includes the following steps:
S10:采用双摄像机组成的立体摄站系统对待测对象进行动态连续拍摄;S10: A stereo camera system composed of dual cameras is used for dynamic continuous shooting of the object to be measured;
待测对象是需要进行振动测量的结构或部件,具体可以根据需要进行选择,如图1中所示,以某型风力机叶片作为待测对象,叶片根部固定在测试平板上,叶尖端自由,叶片水平放置。根据仿真分析可知叶片第三阶频率不超过40Hz,故选用120fps的拍摄频率,用两个工业摄像机组成的立体摄站系统进行摄影测量。图像采集时,打开摄像机,施加外力载荷使叶片处于运动状态,保证左右摄像机同时触发拍照并将所采集的连续图像帧同步传输到PC端上。The object to be tested is the structure or component that needs to be measured for vibration, which can be selected as needed. As shown in Figure 1, a certain type of wind turbine blade is used as the object to be tested. The root of the blade is fixed on the test plate, and the tip of the blade is free. The leaves are placed horizontally. According to the simulation analysis, it can be seen that the third-order frequency of the blade does not exceed 40Hz, so the shooting frequency of 120fps is selected, and a stereo camera system composed of two industrial cameras is used for photogrammetry. During image acquisition, turn on the camera and apply external force to keep the blade in motion, to ensure that the left and right cameras are triggered to take pictures at the same time and the continuous image frames collected are transmitted to the PC synchronously.
S20:对拍摄获得的图像进行去噪处理;S20: perform denoising processing on the image obtained by shooting;
如图2所示,对步骤S10中拍摄的图像,由于采集的图像本身存在噪声,因此需要对读入的图像进行去噪处理,去噪处理可以通过多种方式实现,如高斯平滑滤波,从而得到平滑的图像,在一种优选的方式中,采用自适应维纳滤波方法进行滤波去噪处理,其原理如下:As shown in Figure 2, for the image captured in step S10, since the collected image itself has noise, it is necessary to perform denoising processing on the read image. The denoising processing can be implemented in various ways, such as Gaussian smoothing To obtain a smooth image, in a preferred way, the adaptive Wiener filtering method is used for filtering and denoising processing. The principle is as follows:
含噪声图像模型为:g(x,y)=H[f(x,y)]+n(x,y)The noisy image model is: g(x, y)=H[f(x, y)]+n(x, y)
其中H为退化函数,f(x,y)为原图像,n(x,y)为噪声,g(x,y)为含噪声图像;where H is the degradation function, f(x, y) is the original image, n(x, y) is the noise, and g(x, y) is the image with noise;
要从g(x,y)恢复原始图像f(x,y),可在频率域按如下维纳滤波公式进行:To restore the original image f(x, y) from g(x, y), the following Wiener filtering formula can be performed in the frequency domain:
其中G(u,v)是退化图像的傅立叶变换,H(u,v)是退化函数的傅立叶变换,Pn(u,v)是噪声功率谱,Pf(u,v)是原始图像的功率谱。信号功率谱Pf(u,v)常难以估计,通常可设为可变参数where G(u, v) is the Fourier transform of the degraded image, H(u, v) is the Fourier transform of the degraded function, Pn (u, v) is the noise power spectrum, and Pf (u, v) is the original image’s power spectrum. The signal power spectrum Pf (u, v) is often difficult to estimate and can usually be set as a variable parameter
按以上公式获得了F(u,v)之后,再进行逆傅立叶变换即可得到滤波后的图像f1(x,y),虽然维纳滤波方法去噪效果好,但有时参数k选择不当会造成边缘信息丢失。因此,可根据实际情况,采用小波模极大值法(或sobel算子等其他方法)提取图像边缘,得到边缘信息图像f2(x,y),则新的滤波去噪后且含边缘信息的图像为f(x,y)=f1(x,y)+f2(x,y)。After F(u, v) is obtained according to the above formula, the filtered image f1 (x, y) can be obtained by inverse Fourier transform. Although the Wiener filtering method has a good denoising effect, sometimes the parameter k is improperly selected. Loss of edge information. Therefore, according to the actual situation, the wavelet modulus maximum method (or other methods such as the sobel operator) can be used to extract the edge of the image, and the edge information image f2 (x, y) can be obtained. The image of is f(x, y)=f1 (x, y)+f2 (x, y).
上述方案中,对振动中的运动物体拍摄后,采用自适应维纳滤波方法消除图像退化的影响,与传统的维纳滤波相比,本方法可自适应地选取信噪比参数,具有更好的适应能力。而且为了克服滤波后边缘位置的模糊化问题,本方法单独对图像进行了sobel算子提取边缘图像,并叠加到滤波后图像上,获得的图像更为平滑,边缘更清晰。In the above scheme, after shooting a vibrating moving object, the adaptive Wiener filtering method is used to eliminate the influence of image degradation. Compared with the traditional Wiener filtering, this method can adaptively select the signal-to-noise ratio parameter, and has better adaptability. Moreover, in order to overcome the fuzzification of the edge position after filtering, this method separately performs the sobel operator on the image to extract the edge image, and superimposes it on the filtered image, the obtained image is smoother and the edge is clearer.
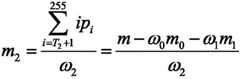
S30:对去噪处理后的图像进行阈值分割,获得包含边缘特征的二值图像;S30: Perform threshold segmentation on the denoised image to obtain a binary image including edge features;
该步骤可以使图像背景与目标分割开,阈值分割可以通过多种方式实现,比如模糊C均值聚类算法(FCM,Fuzzy C-Means Cluster),在一种优选的方式中,如图3所示,优选采用Otsu双阈值方法进行图像的阈值分割,具体方法如下:This step can separate the image background from the target. Threshold segmentation can be achieved in various ways, such as Fuzzy C-Means Clustering algorithm (FCM, Fuzzy C-Means Cluster). In a preferred way, as shown in Figure 3 , it is preferable to use the Otsu double threshold method to perform the threshold segmentation of the image, and the specific method is as follows:
C0={0~T1} C1={T1+1~T2} C2={T2+1~255}C0 ={0~T1 } C1 ={T1 +1~T2 } C2 ={T2 +1~255}
设C0出现的概率为ω0,其灰度平均值为m0;C1出现的概率为ω1,其灰度平均值为m1。C2出现的概率为ω2,其灰度平均值为m2,灰度值为i的像素数为ni,总像素数为N,则:The probability of occurrence of C0 is ω0 , and the average value of its gray level is m0 ; the probability of occurrence of C1 is ω1 , and the average value of its gray level is m1 . The probability of C2 appearing is ω2 , the average value of its gray level is m2 , the number of pixels with gray value i is ni , and the total number of pixels is N, then:
各类灰度值出现的概率Pi为:The probability Pi of the occurrence of various gray values is:
Pi=ni/NPi =ni /N
整幅图像的灰度平均值m为:The grayscale average value m of the whole image is:
进一步得到:Further get:
根据上式求出每次对应的f(T1,T2),(T1,T2)其中的最大值对应的即为最佳阈值。 According to the above formula, each corresponding f(T1 , T2 ) is obtained, and the maximum value of (T1 , T2 ) corresponds to the optimal threshold.
S40:对二值图像进行对象边缘的粗定位;S40: Coarse localization of the object edge on the binary image;
该步骤在于去除区域中不连续的局部噪声干扰,只保留目标区域,优选通过形态学方法,分割出来的目标区域(二值图像)进行形态学运算,如图4所示。需要说明的是,形态学方法可以包括腐蚀、膨胀、开运算或闭运算等方法中的一种或多种,具体采用何种形态学方法,可以根据具体情况进行选择,比如在粗线条时,通过形态学腐蚀将线条变细,形成粗定位。This step is to remove discontinuous local noise interference in the area, and only keep the target area, preferably by morphological method, and perform morphological operations on the segmented target area (binary image), as shown in Figure 4. It should be noted that the morphological method can include one or more of methods such as erosion, dilation, opening operation or closing operation, etc. The specific morphological method to be used can be selected according to the specific situation. Morphological erosion thins the lines, resulting in coarse positioning.
S50:获取对象边缘的像素骨架;S50: Obtain the pixel skeleton of the edge of the object;
该步骤中,可以采用现有方式获得对象边缘的像素骨架,如中轴变换(MedialAxis Transform,MAT)、迭代替换算法等等,具体可以参考现有技术,像素骨架也可以包括多种形式,如单像素骨架、亚像素骨架等等,优选地,步骤S50包括:In this step, the pixel skeleton of the edge of the object can be obtained in the existing way, such as Medial Axis Transform (MAT), iterative replacement algorithm, etc. For details, please refer to the prior art, and the pixel skeleton can also include various forms, such as Single-pixel skeleton, sub-pixel skeleton, etc., preferably, step S50 includes:
S51:获得边缘的单像素骨架;S51: Obtain the single-pixel skeleton of the edge;
S52:求取单像素骨架上各点的法向方向,并计算法向方向上对象边缘的光学中心,获得对象边缘的亚像素骨架。S52: Obtain the normal direction of each point on the single-pixel skeleton, and calculate the optical center of the object edge in the normal direction to obtain the sub-pixel skeleton of the object edge.
进一步优选地,如图5所示,在步骤S51中,通过K3M顺序迭代法获得边缘的单像素骨架;具体地,针对目标图像,确定目标外围轮廓,然后从外轮廓开始,不断腐蚀目标图像边界(这是一次迭代过程),直至腐蚀到不能再腐蚀为止。步骤如下:Further preferably, as shown in FIG. 5, in step S51, the single-pixel skeleton of the edge is obtained by the K3M sequential iteration method; specifically, for the target image, the outer contour of the target is determined, and then starting from the outer contour, the boundary of the target image is continuously corroded (This is an iterative process), until the corrosion can no longer be corroded. Proceed as follows:
S511:提取最新的目标轮廓(初始为原目标轮廓),并记录所有轮廓点;S511: extract the latest target contour (initially the original target contour), and record all contour points;
S512:依次检测所有轮廓点的8像素邻域,判断是否只含有3连通像素,如果有,把只含有3连通像素的轮廓点删除,并在目标图像中删除(腐蚀掉)对应点(即只含有3连通像素的轮廓点);S512: Detect the 8-pixel neighborhood of all contour points in turn, and determine whether there are only 3 connected pixels. If so, delete the contour points that only contain 3 connected pixels, and delete (erode) the corresponding points in the target image (that is, only Contour points containing 3 connected pixels);
S513:依次检测S512中剩余轮廓点的8像素邻域,判断是否只含有3或4连通像素,如果有,把只含有3或4连通像素的轮廓点删除,并在目标图像中删除(腐蚀掉)对应点(即只含有3或4连通像素的轮廓点);S513: Detect the 8-pixel neighborhood of the remaining contour points in S512 in turn, determine whether they contain only 3 or 4 connected pixels, and if so, delete the contour points that only contain 3 or 4 connected pixels, and delete them in the target image (erode out ) corresponding points (that is, contour points containing only 3 or 4 connected pixels);
S514:依次检测S513中剩余轮廓点的8像素邻域,判断是否只含有3或4或5连通像素,如果有,把只含有3或4或5连通像素的轮廓点删除,并在目标图像中删除(腐蚀掉)对应点(即只含有3或4或5连通像素的轮廓点);S514: Detect the 8-pixel neighborhood of the remaining contour points in S513 in turn, determine whether they only contain 3, 4, or 5 connected pixels, and if so, delete the contour points that only contain 3, 4, or 5 connected pixels, and place them in the target image. Delete (erode) corresponding points (that is, contour points containing only 3 or 4 or 5 connected pixels);
S515:依次检测S514中剩余轮廓点的8像素邻域,判断是否只含有3或4或5或6连通像素,如果有,把只含有3或4或5或6连通像素的轮廓点删除,并在目标图像中删除(腐蚀掉)对应点(即只含有3或4或5或6连通像素的轮廓点);S515: Detect the 8-pixel neighborhood of the remaining contour points in S514 in turn, determine whether they contain only 3 or 4 or 5 or 6 connected pixels, if so, delete the contour points that only contain 3 or 4 or 5 or 6 connected pixels, and Delete (erode) corresponding points in the target image (that is, contour points that only contain 3 or 4 or 5 or 6 connected pixels);
S516:依次检测S515中剩余轮廓点的8像素邻域,判断是否只含有3或4或5或6或7连通像素,如果有,把只含有3或4或5或6或7连通像素的轮廓点删除,并在目标图像中删除(腐蚀掉)对应点(只含有3或4或5或6或7连通像素的轮廓点);S516: Detect the 8-pixel neighborhood of the remaining contour points in S515 in turn, and determine whether it contains only 3 or 4 or 5 or 6 or 7 connected pixels. Point deletion, and delete (erode) corresponding points in the target image (contour points that only contain 3 or 4 or 5 or 6 or 7 connected pixels);
如果在这步骤中仍有轮廓点(即像素)被删除(即腐蚀),则进入第7步,否则迭代终止,得到最终骨架(即单像素骨架);If there are still contour points (i.e. pixels) deleted (i.e. eroded) in this step, go to step 7, otherwise the iteration is terminated to get the final skeleton (i.e. single-pixel skeleton);
S517:依次检测目标图像中像素骨架的8像素邻域,判断是否只含有2或3或4或5或6或7连通像素,如果有,把只含有2或3或4或5或6或7连通像素的轮廓点删除(腐蚀),从而得到最终的骨架,即单像素骨架。S517: Detect the 8-pixel neighborhood of the pixel skeleton in the target image in turn, and determine whether it contains only 2 or 3 or 4 or 5 or 6 or 7 connected pixels. The contour points of connected pixels are deleted (eroded) to obtain the final skeleton, that is, a single-pixel skeleton.
同时,在步骤S52中:采用能量加权平均法计算法向方向上对象边缘的光学中心。Meanwhile, in step S52: the optical center of the object edge in the normal direction is calculated by using the energy weighted average method.
具体地,步骤如下:Specifically, the steps are as follows:
S521:针对骨架上的轮廓点f(x,y),按sobel算子求取梯度向量g[fx,fy],Sobel算子是在Prewitt算子的基础上改进的,在中心系数上使用一个权值2,相比较Prewitt算子,Sobel模板能够较好的抑制(平滑)噪声;S521: For the contour point f(x, y) on the skeleton, obtain the gradient vector g[fx , fy ] according to the sobel operator. The Sobel operator is improved on the basis of the Prewitt operator, and on the center coefficient Using a weight of 2, the Sobel template can better suppress (smooth) noise compared to the Prewitt operator;
S522:则点f(x,y)处的法线方向夹角(第一象限),在其他象限依据对应方向相应加减180°计算,将该法线方向记为(nx,ny);S522: The angle between the normal direction at the point f(x, y) (first quadrant), in other quadrants, the corresponding direction is calculated by adding or subtracting 180°, and the normal direction is recorded as (nx , ny );
S523:获得法线方向后,以f(x,y)为基点,针对该法线方向上的每一个轮廓点f(x′,y′),其中(其中为步长参数,取决于图像细化程度),以邻近的三个骨架点pi-1,pi-2,pi(x′,y′),求对应曲率,取最小曲率时的pi(x′,y′)为新找到的骨架点Pi,由于非整数,因此我们最后得到的Pi具有亚像素精度;S523: After obtaining the normal direction, take f(x, y) as the base point, for each contour point f(x', y') in the normal direction, where (in is the step size parameter, depending on the degree of image refinement), take the three adjacent skeleton points pi-1 , pi-2 , pi (x′, y′) to find the corresponding curvature, and take p when the minimum curvature isi (x′, y′) is the newly found skeleton point Pi , since non-integer, so we end up withPi with sub-pixel precision;
S524:连接所有的Pi即可得到具有亚像素精度的骨架,即亚像素骨架。S524 : Connect all Pi to obtain a skeleton with sub-pixel precision, that is, a sub-pixel skeleton.
该方式中,通过采用两步法获得高精度骨架,即首先采用K3M顺序迭代算法提取单像素骨架;再在骨架各点的梯度方向上求取新的骨架点,使得新骨架线曲率变化最小。该方法综合考虑几何中心和光学中心,可获得连续光滑的亚像素骨架线。In this method, the high-precision skeleton is obtained by using a two-step method, that is, the single-pixel skeleton is first extracted by the K3M sequential iterative algorithm; then the new skeleton point is obtained in the gradient direction of each skeleton point, so that the curvature of the new skeleton line changes the least. The method comprehensively considers the geometric center and the optical center to obtain continuous and smooth sub-pixel skeleton lines.
S60:确定对象边缘的像素骨架的起始点和末端点,并将起始点与末端点之间的骨架线段分割成n份,将用于分割骨架线段的分割点确定为虚拟目标点;S60: Determine the starting point and the end point of the pixel skeleton on the edge of the object, divide the skeleton line segment between the starting point and the end point into n parts, and determine the dividing point for dividing the skeleton line segment as a virtual target point;
该步骤中,可以通过差分、随机等方式设置分割点,n可以为5个、6个、7个、8个、9个、10个、15个、20个等。优选地,在步骤S60中,确定对象边缘的像素骨架的起始点和末端点,并计算起始点和末端点之间的骨架线段的像素长度,采用等分方式将起始点与末端点之间的骨架线段分割成n份。如图6所示,如将骨架线等分为8份,则相应生成9个交点(分割点,分割点可以包括起始点和末端点),交点对应被测对象边缘上8等分的相应点,此方法构造了无标记场合下的9个虚拟目标点。In this step, the dividing points can be set by means of difference, random, etc., and n can be 5, 6, 7, 8, 9, 10, 15, 20, etc. Preferably, in step S60, the starting point and end point of the pixel skeleton on the edge of the object are determined, and the pixel length of the skeleton line segment between the starting point and the end point is calculated, and the distance between the starting point and the end point is divided into equal parts. The skeleton line segment is divided into n parts. As shown in Figure 6, if the skeleton line is divided into 8 equal parts, 9 intersection points (split points, which can include start points and end points) are correspondingly generated, and the intersection points correspond to the corresponding points of 8 equal parts on the edge of the measured object , this method constructs 9 virtual target points in unmarked situations.
该步骤中,对提取的骨架线等分,并可采用多帧同名点匹配算法,获得振动物体上若干点的连续振动位移曲线,实现了无标记振动监测,避免了粘贴标记的繁琐和识别标记的困难等问题。In this step, the extracted skeleton lines are divided into equal parts, and the multi-frame same-name point matching algorithm can be used to obtain the continuous vibration displacement curve of several points on the vibrating object, which realizes the mark-free vibration monitoring and avoids the tediousness of sticking marks and identifying marks. difficulties, etc.
S70:获取连续拍摄的图像的像素骨架,并对像素骨架采用与步骤S60中相同分割方式,对相同的虚拟目标点进行动态追踪、匹配;S70: Acquire the pixel skeleton of the continuously shot images, and use the same segmentation method as in step S60 for the pixel skeleton to dynamically track and match the same virtual target point;
需要说明的是,该步骤中,可以采用步骤S20-S50相同的方法获取连续拍摄的图像的像素骨架,并采用步骤S60的方法针对像素骨架进行分割,从而获得虚拟目标点,并对虚拟目标点进行动态追踪、匹配,通过连续拍摄图像,实现连续追踪和匹配。该步骤中,追踪主要指虚拟目标点的位置追踪,匹配包括两层含义,第一,对于同一摄像机连续拍摄的图像,均需要采用相同的分割方法进行分割,从而得到相同数目的虚拟目标点(在上述的分割方式中,如虚拟目标点1、虚拟目标点2……虚拟目标点9),对于不同时间拍摄的图像(即连续拍摄的不同图像),相同的虚拟目标点需要匹配,如第1个摄像机在第1时刻拍摄图像的虚拟目标点3与第1个摄像机在其它时刻(第2-N,N为最后时刻)拍摄图像的虚拟目标点3均需要匹配;第二,对于两个不同的摄像机同一时刻拍摄的图像,相同的虚拟目标点需要匹配,比如第1时刻、第1个摄像机拍摄图像的虚拟目标点3与第1时刻、第2个摄像机拍摄图像的虚拟目标点3,需要匹配。It should be noted that, in this step, the same method as steps S20-S50 can be used to obtain the pixel skeleton of the continuously shot images, and the method of step S60 can be used to segment the pixel skeleton, so as to obtain a virtual target point, and the virtual target point Perform dynamic tracking and matching, and achieve continuous tracking and matching by continuously capturing images. In this step, tracking mainly refers to the position tracking of virtual target points, and matching includes two layers of meanings. First, for images continuously captured by the same camera, the same segmentation method needs to be used for segmentation, so as to obtain the same number of virtual target points ( In the above-mentioned segmentation methods, such as virtual target point 1, virtual target point 2...virtual target point 9), for images shot at different times (ie, different images shot continuously), the same virtual target points need to be matched, such as the first The virtual target point 3 of the image captured by one camera at the first moment and the virtual target point 3 of the image captured by the first camera at other moments (2-N, N is the last moment) need to be matched; second, for the two For images captured by different cameras at the same time, the same virtual target point needs to be matched, for example, the virtual target point 3 of the image captured by the first camera at the first moment and the virtual target point 3 of the image captured by the second camera at the first moment, need to match.
S80:对立体摄站系统进行系统标定,获得立体摄站系统的内外参数;S80: Perform system calibration on the stereo camera system to obtain the internal and external parameters of the stereo camera system;
立体摄站系统包括两个工业相机,内外参数具体指每个相机的内参和外参,内参包括焦距、主点坐标、畸变系数、比例因子等,外参是两个摄像机坐标系的空间变换关系(R、T矩阵)。The stereo camera system includes two industrial cameras. The internal and external parameters refer to the internal and external parameters of each camera. The internal parameters include focal length, principal point coordinates, distortion coefficients, scale factors, etc. The external parameters are the spatial transformation relationship between the two camera coordinate systems. (R, T matrix).
S90:计算虚拟目标点的空间振动响应。S90: Calculate the spatial vibration response of the virtual target point.
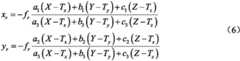
计算方式可以采用现有方法,振动响应可以根据需要确定,振动响应具体可以是振动加速度、振动速度和振动位移等几种变量形式。优选地,根据双目立体摄影成像原理求解计算虚拟目标点的空间振动响应,如图7示出了9个虚拟目标点的空间运动轨迹图,图8示出了某个虚拟目标点在Y方向上的振动响应图,当然根据附图7,还可以得出该虚拟目标点在X方向和Z方向的振动响应图,也可以得出其它虚拟目标点在X、Y和Z方向的振动响应图,根据振动响应图可以得出振动的位移变化量,根据位移与时间的关系,可以计算得到速度、加速度响应。双目立体摄影成像原理可以参考附图9,该系统中的一对工业相机包括左相机和右相机,设左相机像空间坐标系O-xyz与标记点的坐标系重合,像平面坐标系为Ol-ulvl,有效焦距为fl,右相机像空间坐标系Or-xryrzr,像平面坐标系为Or-urvr,有效焦距为fr;设标记点P在O-xyz中的坐标为(X,Y,Z),其在左照片中对应的像点Pl在O-xyz中的坐标为(x,y,-fl),标记点P在右照片中对应的像点Pr在Or-xryrzr中的坐标为(xr,yr,-fr);The calculation method can adopt the existing method, the vibration response can be determined according to the needs, and the vibration response can be in the form of several variables such as vibration acceleration, vibration velocity and vibration displacement. Preferably, the spatial vibration response of the virtual target point is calculated according to the principle of binocular stereo photography. Fig. 7 shows the spatial motion trajectories of 9 virtual target points, and Fig. 8 shows a certain virtual target point in the Y direction. Vibration response diagram above, of course, according to Figure 7, the vibration response diagram of the virtual target point in the X direction and the Z direction can also be obtained, and the vibration response diagram of other virtual target points in the X, Y and Z directions can also be obtained. , according to the vibration response diagram, the displacement change of the vibration can be obtained, and the velocity and acceleration responses can be calculated according to the relationship between the displacement and time. For the principle of binocular stereo photography, please refer to Figure 9. A pair of industrial cameras in this system includes a left camera and a right camera. Let the image space coordinate system O-xyz of the left camera coincide with the coordinate system of the marker point, and the image plane coordinate system is Ol -ul vl , the effective focal length is fl , the image space coordinate system of the right camera isOr -xr yr zr , the image plane coordinate system isOr -ur vr , and the effective focal length is fr ; The coordinates of the marked point P in O-xyz are (X, Y, Z), and the coordinates of the corresponding image point Pl in the left photo in O-xyz are (x, y, -fl ), and the marked point The coordinates of the image point Pr corresponding to P in the right photo in Or -xr yr zr are (xr , yr , -fr) ;
对于左照片,有O、Pl和P三点共线有:For the left photo, there are three points O, Pl and P that are collinear:
即:which is:
对于右照片,由Or、Pr和P三点共线有:For the right photo, the three points Or,Pr , and P arecollinear :
式中,(X′,Y′,Z′)为点P在Or-xryrzr中的坐标,即:In the formula, (X', Y', Z') are the coordinates of point P in Or -xr yr zr , namely:
O-xyz坐标系与Or-xryrzr坐标系之间的相互位置关系通过旋转和平移实现转换,设分别为O-xyz坐标系与Or-xryrzr坐标系之间的旋转矩阵和平移矩阵,则有:The mutual positional relationship between the O-xyz coordinate system and the Or-x ryr zr coordinate system is transformed by rotation and translation. are the rotation matrix and translation matrix between the O-xyz coordinate system and the Or -xr yr zr coordinate system, respectively, there are:
将(5)式代入(4)式得:Substitute (5) into (4) to get:
根据相机焦距参数、待测空间点在左、右照片中的图像坐标、旋转矩阵R和平移矩阵T,联合(2)式与(6)式计算标记点的三维坐标,通过该方法可以得到虚拟目标点的坐标,从而得到虚拟目标点的位移、速度、加速度等。According to the camera focal length parameter, the image coordinates of the space point to be measured in the left and right photos, the rotation matrix R and the translation matrix T, the three-dimensional coordinates of the marker point are calculated by combining the formulas (2) and (6). The coordinates of the target point, so as to obtain the displacement, velocity, acceleration, etc. of the virtual target point.
本发明的振动测量方法,无需提前在被测物体上粘贴或布置合作标志即可实现振动测量,不会造成结构表面的污染和损伤,特别适用于高温、高压等特殊工况中人力难以布置标记的场合,可以节约大量的人力物力。与现有技术相比的有益效果在于:The vibration measurement method of the present invention can realize vibration measurement without pasting or arranging cooperative signs on the measured object in advance, and will not cause pollution and damage to the surface of the structure, and is especially suitable for high temperature, high pressure and other special working conditions. It can save a lot of manpower and material resources. The beneficial effects compared with the prior art are:
(1)该方法在提取边缘的单像素骨架基础上结合sobel梯度算子和能量加权平均法进一步获得边缘的亚像素骨架,为后续振动测量计算提供了更精确的数据。(1) On the basis of extracting the single-pixel skeleton of the edge, this method combines the sobel gradient operator and the energy-weighted average method to further obtain the sub-pixel skeleton of the edge, which provides more accurate data for subsequent vibration measurement calculations.
(2)对振动中的运动物体拍摄后,采用自适应维纳滤波方法消除图像退化的影响,与传统的维纳滤波相比,本方法可自适应地选取信噪比参数,具有更好的适应能力。而且为了克服滤波后边缘位置的模糊化问题,本方法单独对图像进行了sobel算子提取边缘图像,并叠加到滤波后图像上,获得的图像更为平滑,边缘更清晰。(2) After shooting the moving object in vibration, the adaptive Wiener filtering method is used to eliminate the influence of image degradation. Compared with the traditional Wiener filtering, this method can adaptively select the signal-to-noise ratio parameter, which has better performance. adaptability. Moreover, in order to overcome the fuzzification of the edge position after filtering, this method separately performs the sobel operator on the image to extract the edge image, and superimposes it on the filtered image, the obtained image is smoother and the edge is clearer.
(3)采用两步法获得高精度骨架,即首先采用K3M顺序迭代算法提取单像素骨架;再在骨架各点的梯度方向上求取新的骨架点,使得新骨架线曲率变化最小。该方法综合考虑几何中心和光学中心,可获得连续光滑的亚像素骨架线。(3) The two-step method is used to obtain the high-precision skeleton, that is, the single-pixel skeleton is first extracted by the K3M sequential iterative algorithm; then the new skeleton point is obtained in the gradient direction of each skeleton point, so that the curvature of the new skeleton line changes the least. The method comprehensively considers the geometric center and the optical center to obtain continuous and smooth sub-pixel skeleton lines.
(4)对提取的骨架线等分,并采用多帧同名点匹配算法,获得振动物体上若干点的连续振动位移曲线,实现了无标记振动监测,避免了粘贴标记的繁琐和识别标记的困难等问题。(4) Divide the extracted skeleton line into equal parts, and use the multi-frame same-name point matching algorithm to obtain the continuous vibration displacement curve of several points on the vibrating object, realize the markerless vibration monitoring, and avoid the tediousness of pasting the mark and the difficulty of identifying the mark. And other issues.
以上仅为本发明的优选实施例而已,并不用于限制本发明,对于本领域的技术人员来说,本发明可以有各种更改和变化。凡在本发明的精神和原则之内,所作的任何修改、等同替换、改进等,均应包含在本发明的保护范围之内。The above are only preferred embodiments of the present invention, and are not intended to limit the present invention. For those skilled in the art, the present invention may have various modifications and changes. Any modification, equivalent replacement, improvement, etc. made within the spirit and principle of the present invention shall be included within the protection scope of the present invention.
| Application Number | Priority Date | Filing Date | Title |
|---|---|---|---|
| CN201810487357.5ACN108663026B (en) | 2018-05-21 | 2018-05-21 | Vibration measuring method |
| Application Number | Priority Date | Filing Date | Title |
|---|---|---|---|
| CN201810487357.5ACN108663026B (en) | 2018-05-21 | 2018-05-21 | Vibration measuring method |
| Publication Number | Publication Date |
|---|---|
| CN108663026A CN108663026A (en) | 2018-10-16 |
| CN108663026Btrue CN108663026B (en) | 2020-08-07 |
| Application Number | Title | Priority Date | Filing Date |
|---|---|---|---|
| CN201810487357.5AActiveCN108663026B (en) | 2018-05-21 | 2018-05-21 | Vibration measuring method |
| Country | Link |
|---|---|
| CN (1) | CN108663026B (en) |
| Publication number | Priority date | Publication date | Assignee | Title |
|---|---|---|---|---|
| CN110091217B (en)* | 2019-04-29 | 2021-04-27 | 长沙理工大学 | Turning flutter acceleration acquisition system and method based on machine vision |
| CN111275678B (en)* | 2020-01-17 | 2023-09-29 | 山东科技大学 | System and method for measuring displacement of slender structure under action of internal wave |
| CN112085787B (en)* | 2020-07-20 | 2024-04-23 | 中国矿业大学 | A method for measuring spatial vibration of hoisting wire rope based on monocular vision |
| CN113114935B (en)* | 2021-04-07 | 2022-08-19 | 中煤科工集团重庆研究院有限公司 | Vibration identification method based on video image |
| CN113963013B (en)* | 2021-10-22 | 2023-03-21 | 石家庄铁道大学 | A Computer Vision-Based Displacement Vibration Recognition Method of Targetless Transmission Tower |
| CN114184127B (en)* | 2021-12-13 | 2022-10-25 | 哈尔滨工业大学 | Single-camera target-free building global displacement monitoring method |
| CN114724190A (en)* | 2022-06-10 | 2022-07-08 | 北京猫猫狗狗科技有限公司 | Mood recognition method based on pet posture |
| Publication number | Priority date | Publication date | Assignee | Title |
|---|---|---|---|---|
| CN1766831A (en)* | 2004-10-29 | 2006-05-03 | 中国科学院计算技术研究所 | A Skeleton Motion Extraction Method Based on Optical Motion Capture Data |
| CN102353301A (en)* | 2011-09-15 | 2012-02-15 | 北京理工大学 | Guidance method with terminal restraint based on virtual target point |
| CN103632381A (en)* | 2013-12-08 | 2014-03-12 | 中国科学院光电技术研究所 | Extended target tracking method for extracting feature points by using skeleton |
| CN104077774A (en)* | 2014-06-28 | 2014-10-01 | 中国科学院光电技术研究所 | Extended target tracking method and device combining skeleton and generalized Hough transformation |
| CN104077775A (en)* | 2014-06-28 | 2014-10-01 | 中国科学院光电技术研究所 | Shape matching method and device combining skeleton feature points and shape context |
| CN104637066A (en)* | 2015-03-12 | 2015-05-20 | 湖南大学 | Method for extracting binary image quick skeleton based on sequential refining |
| CN105654503A (en)* | 2014-11-11 | 2016-06-08 | 无锡清杨机械制造有限公司 | Dynamic target detection method based on video images |
| CN106989812A (en)* | 2017-05-03 | 2017-07-28 | 湖南科技大学 | Large fan blade modal method of testing based on photogrammetric technology |
| CN107341810A (en)* | 2017-06-16 | 2017-11-10 | 重庆交通大学 | A kind of automatic vehicle identification method, apparatus and electronic equipment |
| CN107966137A (en)* | 2017-11-22 | 2018-04-27 | 安徽农业大学 | A kind of satellite platform flutter detection method based on TDICCD splice regions image |
| Publication number | Priority date | Publication date | Assignee | Title |
|---|---|---|---|---|
| US9052230B2 (en)* | 2011-05-13 | 2015-06-09 | Chevron U.S.A. Inc | Industrial process monitoring and imaging |
| Publication number | Priority date | Publication date | Assignee | Title |
|---|---|---|---|---|
| CN1766831A (en)* | 2004-10-29 | 2006-05-03 | 中国科学院计算技术研究所 | A Skeleton Motion Extraction Method Based on Optical Motion Capture Data |
| CN102353301A (en)* | 2011-09-15 | 2012-02-15 | 北京理工大学 | Guidance method with terminal restraint based on virtual target point |
| CN103632381A (en)* | 2013-12-08 | 2014-03-12 | 中国科学院光电技术研究所 | Extended target tracking method for extracting feature points by using skeleton |
| CN104077774A (en)* | 2014-06-28 | 2014-10-01 | 中国科学院光电技术研究所 | Extended target tracking method and device combining skeleton and generalized Hough transformation |
| CN104077775A (en)* | 2014-06-28 | 2014-10-01 | 中国科学院光电技术研究所 | Shape matching method and device combining skeleton feature points and shape context |
| CN105654503A (en)* | 2014-11-11 | 2016-06-08 | 无锡清杨机械制造有限公司 | Dynamic target detection method based on video images |
| CN104637066A (en)* | 2015-03-12 | 2015-05-20 | 湖南大学 | Method for extracting binary image quick skeleton based on sequential refining |
| CN106989812A (en)* | 2017-05-03 | 2017-07-28 | 湖南科技大学 | Large fan blade modal method of testing based on photogrammetric technology |
| CN107341810A (en)* | 2017-06-16 | 2017-11-10 | 重庆交通大学 | A kind of automatic vehicle identification method, apparatus and electronic equipment |
| CN107966137A (en)* | 2017-11-22 | 2018-04-27 | 安徽农业大学 | A kind of satellite platform flutter detection method based on TDICCD splice regions image |
| Title |
|---|
| Computer vision-based displacement and vibration monitoring without using physical target on structures;Tung Khuca and F. Necati Catbasa;《Structure and Infrastructure Engineering》;20160421;1-12* |
| 基于角点跟踪单目视觉的薄壁件振动模态测试方法研究;张双健;《中国优秀硕士学位论文全文数据库 工程科技II辑》;20180315;全文* |
| 无目标计算机视觉技术在斜拉索振动测试中的应用研究;季云峰;《振动与冲击》;20131231;第32卷(第20期);184-202* |
| Publication number | Publication date |
|---|---|
| CN108663026A (en) | 2018-10-16 |
| Publication | Publication Date | Title |
|---|---|---|
| CN108663026B (en) | Vibration measuring method | |
| CN109903327B (en) | A target size measurement method for sparse point cloud | |
| CN110349207B (en) | A visual localization method in complex environment | |
| CN109544456B (en) | Panoramic environment perception method based on fusion of 2D image and 3D point cloud data | |
| CN109816664B (en) | Three-dimensional point cloud segmentation method and device | |
| CN106846340B (en) | A method for extracting light stripe boundary based on non-fixed feature points | |
| CN104156536B (en) | The visualization quantitatively calibrating and analysis method of a kind of shield machine cutter abrasion | |
| CN109523528B (en) | A transmission line extraction method based on UAV binocular vision SGC algorithm | |
| CN109712112B (en) | Aerial photography insulator image positioning method based on local features | |
| CN108399610A (en) | A kind of depth image enhancement method of fusion RGB image information | |
| CN116309847A (en) | A Pose Estimation Method for Stacked Workpieces Based on the Combination of 2D Images and 3D Point Clouds | |
| CN107862735B (en) | RGBD three-dimensional scene reconstruction method based on structural information | |
| CN108682039B (en) | Binocular stereo vision measuring method | |
| CN108876744A (en) | A kind of large scale point cloud noise denoising method based on region segmentation | |
| CN110110797B (en) | Water surface target training set automatic acquisition method based on multi-sensor fusion | |
| CN112381867B (en) | Large-area depth image hole automatic filling method for industrial sorting pipeline | |
| CN113870326A (en) | A Structural Damage Mapping, Quantification and Visualization Method Based on Image and 3D Point Cloud Registration | |
| CN113947724A (en) | An automatic measurement method of line icing thickness based on binocular vision | |
| CN115222884A (en) | Space object analysis and modeling optimization method based on artificial intelligence | |
| CN112734761A (en) | Industrial product image boundary contour extraction method | |
| CN104077775A (en) | Shape matching method and device combining skeleton feature points and shape context | |
| CN118298338B (en) | Road crack rapid identification and calculation method based on unmanned aerial vehicle low-altitude photography | |
| CN106952262A (en) | A Method of Analyzing Ship Plate Machining Accuracy Based on Stereo Vision | |
| CN120259573B (en) | Multi-mode fusion-based concrete crack three-dimensional reconstruction method, system and medium | |
| CN109671084B (en) | A method for measuring workpiece shape |
| Date | Code | Title | Description |
|---|---|---|---|
| PB01 | Publication | ||
| PB01 | Publication | ||
| SE01 | Entry into force of request for substantive examination | ||
| SE01 | Entry into force of request for substantive examination | ||
| GR01 | Patent grant | ||
| GR01 | Patent grant | ||
| OL01 | Intention to license declared | ||
| OL01 | Intention to license declared |