Movatterモバイル変換


[0]ホーム

URL:


CN108593952B - Detection system and detection method for online addition of reaction reagent - Google Patents

Detection system and detection method for online addition of reaction reagent
Download PDF

Info

Publication number
CN108593952B
CN108593952BCN201810282214.0ACN201810282214ACN108593952BCN 108593952 BCN108593952 BCN 108593952BCN 201810282214 ACN201810282214 ACN 201810282214ACN 108593952 BCN108593952 BCN 108593952B
Authority
CN
China
Prior art keywords
micro
sample
droplet
reagent
droplets
Prior art date
Legal status (The legal status is an assumption and is not a legal conclusion. Google has not performed a legal analysis and makes no representation as to the accuracy of the status listed.)
Active
Application number
CN201810282214.0A
Other languages
Chinese (zh)
Other versions
CN108593952A (en
Inventor
罗贞
王陈成
王茜
马云林
Current Assignee (The listed assignees may be inaccurate. Google has not performed a legal analysis and makes no representation or warranty as to the accuracy of the list.)
Shanghai I Reader Biological Technology Co ltd
Original Assignee
Shanghai I Reader Biological Technology Co ltd
Priority date (The priority date is an assumption and is not a legal conclusion. Google has not performed a legal analysis and makes no representation as to the accuracy of the date listed.)
Filing date
Publication date
Application filed by Shanghai I Reader Biological Technology Co ltdfiledCriticalShanghai I Reader Biological Technology Co ltd
Priority to CN201810282214.0ApriorityCriticalpatent/CN108593952B/en
Publication of CN108593952ApublicationCriticalpatent/CN108593952A/en
Application grantedgrantedCritical
Publication of CN108593952BpublicationCriticalpatent/CN108593952B/en
Activelegal-statusCriticalCurrent
Anticipated expirationlegal-statusCritical

Links

Images

Classifications

Landscapes

Abstract

The invention relates to a detection system and a detection method for online adding of a reaction reagent. Specifically, the detection system of the present invention comprises: the microfluidic chip comprises a microfluidic flow channel and a micro-droplet generation submodule; the online adding subsystem comprises a driving force module, a fluid sampling module, a micro-droplet marking processing module and a data processing and control signal generating module; and a detection subsystem. By the system and the method, the sample micro-droplets, the reagent micro-droplets and the like can be accurately controlled, processes such as fusion, extraction, incubation, splitting, signal detection and the like are completed, so that the processes of adding the reaction reagent on line and completing the detection of the sample are realized, and manual operation in biological sample detection is reduced.

Description

Detection system and detection method for online addition of reaction reagent
Technical Field
The invention belongs to the field of detection and analysis of biological samples, and particularly relates to a detection system and a detection method for online addition of a reaction reagent.
Background
The existing detection technologies for biological samples include biochemical detection, molecular detection, immunoassay based on antigen-antibody specific reaction, and the like. The above detection technology still has the following problems to be optimized in the implementation: the analysis process consumes long time, the sample demand is large, the detection reagent consumption is large, the flux of a small detection system is insufficient, the cost is high, and the precision is poor; the large-scale detection system has low integration degree, large floor area and high equipment failure rate, and more biological hazards can be generated in the detection process.
In recent years, a microfluidic system has been widely used in biological and chemical detection as a platform for integrating various functional blocks, and is known as "one of the 15 most important inventions affecting the future of human beings". The detection technology based on the microfluidic system has the following advantages: the manual operation is few, the consumption of detection reagents is few, only a few samples to be detected are generally needed, and the reaction efficiency is high.
However, the automation degree of the microfluidic system still needs to be improved, and particularly in the aspect of online adding of reaction reagents, the current detection system cannot achieve satisfactory efficient and accurate automatic online adding.
Therefore, there is a need in the art to develop a new detection system based on microfluidic technology and a detection method thereof, which can realize efficient and accurate automatic online addition of reaction reagents.
Disclosure of Invention
The invention provides a detection system based on a micro-fluidic technology and a detection method thereof, which can realize the efficient and accurate automatic online addition of a reaction reagent. The system is a micro-droplet chip-based reaction reagent online adding system, and a sample detection system and a detection method based on the system.
In a first aspect of the present invention, there is provided a detection system for online addition of a reaction reagent, the system comprising:
(1) a microfluidic chip, said microfluidic chip comprising:
(1.1) microfluidic flow-through channel: the microfluidic flow channel is used for flowing a continuous phase and micro-droplets carried in the continuous phase, and comprises: a continuous phase adding section, a sample micro-droplet generating section, a reagent micro-droplet generating section, a micro-droplet fusing section and a signal detecting section; and
(1.2) a micro-droplet generation submodule: comprises a micro-droplet generating port; the micro-droplet generation submodule is used for enabling a dispersed phase to form micro-droplets, and the dispersed phase comprises: a sample liquid or a reagent liquid;
wherein, the reagent micro-droplet generating port is positioned at the reagent micro-droplet generating section;
(2) an in-line addition subsystem for generating fused microdroplets containing a sample and a reagent, the in-line addition subsystem comprising:
(2.1) a driving force module: the driving force module is used for providing driving force required by the dispersed phase and the continuous phase, so that the micro-droplets of the continuous phase and each dispersed phase obtain required flow velocity and form reagent micro-droplets;
(2.2) a fluid sample injection module: the fluid sample injection module is connected with the continuous phase and each dispersed phase, the continuous phase and each dispersed phase enter the microfluidic chip through the module, and the fluid sample injection module comprises a control valve which is used for controlling the continuous phase and the dispersed phase to enter the microfluidic circulation channel;
(2.3) a microdroplet marking processing module: the micro-droplet marking processing module comprises a droplet sensor; the liquid drop sensor is used for reading the number of micro liquid drops, numbering the micro liquid drops in sequence and reading the flow velocity of the micro liquid drops; and
(2.4) a data processing and control signal generating module: the data processing and control signal generating module generates a signal for controlling the driving force module and a signal for controlling the fluid sampling module according to preset parameters of the detection system, characteristic parameters of the continuous phase and each dispersed phase fluid, the flow rate and the number of the micro-droplets and the flow rate of the continuous phase; and
(3) a detection subsystem: the detection subsystem is used for reading the signals of the fused micro-droplets which generate the readable signals and recording feedback signal data.
In another preferred example, in the (2.1) driving force module, the required flow rate of the micro-droplets of the dispersed phase is relative to the flow rate of the continuous phase.
In another preferred example, in the (2.1) driving force module, the micro-droplets of each dispersed phase are sample micro-droplets and/or reagent micro-droplets.
In another preferred embodiment, the control valve is selected from the group consisting of: paraffin valves, paraffin hot-melt valves, magnet moving valves, pneumatic valves, diaphragm valves, drain valves, mechanical valves, or combinations thereof.
In another preferred embodiment, the microfluidic flow-through channel is selected from the group consisting of: straight channels, annular channels, zigzag channels, cavities or a combination thereof.
In another preferred example, the system is controlled by a control center; preferably, the control center is a computer, and the system is controlled by computer software.
In another preferred embodiment, the valve is further used for controlling the volume and/or time of the continuous phase and/or the dispersed phase entering the microfluidic flow-through channel.
In another preferred example, the reagent micro-droplet generation port of the (1.2) micro-droplet generation submodule is of a T-shaped or cross-shaped micro-droplet generation structure and is located in the sample or reagent micro-droplet generation section.
In another preferred example, the droplet sensor of the (2.3) micro droplet marking process module is further configured to read the volume of the micro droplet.
In another preferred example, a first droplet sensor is arranged at the microfluidic channel from the sample micro-droplet generation port to the reagent micro-droplet generation port, and the first droplet sensor is used for reading the number of the sample micro-droplets, numbering the sample micro-droplets in sequence, and reading the flow rate of each sample micro-droplet.
In another preferred example, the outlet end of the microdroplet fusion segment is provided with a second droplet sensor for reading the volume of the sample microdroplet passing through the microdroplet fusion segment, wherein the volume read by the droplet sensor is used for determining whether the microdroplet fusion is successful.
In another preferred example, the driving force module provides a forward driving force and a reverse driving force; wherein, the reverse driving force is used for enabling the continuous phase and the sample micro-droplets in the micro-fluidic chip to move forwards uniformly, and/or the forward driving force is used for generating reagent micro-droplets fused with the sample micro-droplets.
In another preferred embodiment, the predetermined parameters of the detection system include the distance traveled by the sample microdroplets from the sensor to the reagent microdroplet generation port, the response time of each valve and droplet sensor, and the width and height of the microfluidic flow channel.
In another preferred example, the characteristic parameters of the fluid include dynamic viscosity, viscosity and surface tension.
In another preferred embodiment, the (2.4) data processing and control signal generating module generates signals according to the following parameters,
the method comprises the following steps: as system predetermined parameters, the distance s from the first droplet sensor to the reagent micro-droplet generation port, the channel width W of the reagent micro-droplet generation port, the channel depth h of the reagent micro-droplet generation section in the (1.1) microfluidic flow-through channel, the width W of the downstream channel of the reagent micro-droplet generation port, the response time of each valve, and the response time of the sensor;
as characteristic parameters, the viscosity and kinematic viscosity of the reagents, and the surface tension between the liquids; and
flow velocity v of sample micro-droplets read by (2.3) micro-droplet marking process moduleDroplet k(ii) a Wherein k is the number of the sample micro-droplets;
and
the signals generated by the (2.4) data processing and control signal generating module comprise: signal t for controlling the opening time of the dispersed phase valve of the fluid sample injection moduleg-kAnd a signal for controlling the driving force module to generate the driving force P required by the micro-droplets.
In another preferred example, the driving force required for controlling the driving force module to generate the micro-droplets is the pressure in the reagent chamber.
In another preferred embodiment, the pressures in the reagent compartments of different reagents are independent of each other or are the same.
In another preferred example, the microdroplet marking processing module further comprises a volume ratio sensor; preferably, the pressure-to-volume ratio sensor is located at a microfluidic flow channel from the sample microdroplet generation port to the reagent microdroplet generation port.
In another preferred embodiment, the pressure-volume ratio sensor is used for reading the pressure-volume ratio of a whole blood sample or for reading the turbidity of a sample.
In another preferred embodiment, the system performs judgment and correction according to data read by the pressure-to-volume ratio sensor.
In another preferred embodiment, the fluid injection module is based onformula 10
Figure BDA0001611634620000041
Determining the opening time t of a control valve for the on-line addition of a reaction reagentg-kThen, the generation of reagent micro-droplets is started;
in the formula, t1Is the sensor response time, t2Response time for valve opening, vDroplet kIs the flow velocity of a sample micro-droplet k, where k is the number of the sample micro-droplet and s is the distance traveled by the sample micro-droplet from the first droplet sensor to the reagent micro-droplet generation orifice.
In another preferred embodiment, the driving force module provides the driving force P required for the line addition of the reactive agent based on equation 15:
Figure BDA0001611634620000042
wherein s is a distance that the sample micro-droplet passes from the first droplet sensor to the reagent micro-droplet generation port, h is a channel depth of the reagent micro-droplet generation section, W is a channel width of the reagent micro-droplet generation port, L is a liquid length that appears in a liquid column form at an initial stage of droplet generation at the reagent micro-droplet generation port, R is a micro-droplet radius, vDroplet kIs the flow velocity of the sample micro-droplet k, w is the width of the downstream channel of the reagent micro-droplet generation port, t1Is the sensor response time, t2Response time for valve opening, FσA and b are each independently a calibration parameter, and n is the viscosity of the reagent fluid.
In another preferred embodiment, the detection signals readable by the detection subsystem are selected from: a chemiluminescent signal, a fluorescent signal emitted by excitation of a fluorophore, a visible light signal emitted by photo-excitation of a quantum dot microsphere, a turbidity change signal, or a combination thereof.
In another preferred example, the microfluidic chip further comprises (1.3) a sample micro-droplet incubation submodule, and the microfluidic flow channel further comprises an incubation section; the sample micro-droplet incubation submodule is used for providing conditions for full reaction and/or mixing of the sample micro-droplets after the reaction reagent is added, and the incubation section is used for providing a space for full reaction and mixing of the fused micro-droplets.
In another preferred example, the system further includes:
(4) an autoinjection subsystem, the autoinjection subsystem include: the sampling device comprises a sampling needle, an injection pump, a continuous sample introduction frame, a bar code reading module and a sample introduction module; the bar code reading module is positioned in the continuous sample feeding frame; the sampling needle sucks a sample through the syringe pump and adds the sample into the sample adding module through the syringe pump; the sample adding module is provided with a sample adding port and is in fluid communication with the fluid sample adding module.
In another preferred embodiment, the automatic sample introduction subsystem further comprises a cleaning module, and after a batch of samples are added, the cleaning module is used for cleaning the sampling needle and the sample addition module.
In another preferred example, the microfluidic chip further comprises (1.4) a waste liquid collection submodule, wherein the waste liquid collection submodule is used for collecting a cleaning liquid, a waste sample micro-droplet or a waste reagent micro-droplet.
In another preferred example, the system further comprises (5) a reagent storage subsystem comprising a continuous phase storage location, a cleaning solution storage location, and a reagent compartment; the reagent bin comprises a pre-mixer and one or more reagent positions;
wherein, the pre-mixer is used for avoiding the reagent from precipitating or aggregating; the reagent position can store each reagent, and the reagent enters the microfluidic chip through the fluid sample injection module.
In another preferred embodiment, the reagent is a reaction reagent that reacts with the sample, and optionally a washing reagent, a shearing reagent, or a post-processing reagent for exciting the detected signal for the extraction module.
In another preferred example, the system further comprises (6) a temperature control system, and the temperature control subsystem is used for controlling the temperature of the microfluidic chip, so as to control the temperature of the detection reaction system.
In another preferred embodiment, the temperature control subsystem is further configured to control the temperature of the reagent storage subsystem.
In another preferred example, the system further comprises (7) an extraction subsystem, the respective microfluidic flow-through channel further comprising an extraction section;
the extraction subsystem is used for controlling the micro-droplet generation submodule; and after the sample micro-droplet moves to a preset position, controlling the micro-droplet generation sub-module to work to generate a micro-droplet of the cleaning reagent and a micro-droplet of the shearing reagent, and forming a micro-droplet queue of 'the sample micro-droplet-the cleaning reagent micro-droplet-the shearing reagent micro-droplet' in the liquid flow direction in the extraction section, wherein the sample micro-droplet is positioned at the forefront of the flow.
In another preferred embodiment, the microdroplet array refers to the order in which the microdroplets pass through the predetermined positions.
In another preferred embodiment, the detectable label bearing detection product is captured from the sample microdroplets by the extraction subsystem, and the captured detectable label bearing detection product is washed with the wash reagent microdroplets; and shearing the washed detection product carrying the detectable label with the sheared microdroplets, thereby generating microdroplets for detection.
In another preferred example, the microfluidic flow channel further comprises an extraction section, the extraction section is located in a controllable magnetic field region, and the magnetic field region is controlled by the extraction subsystem; preferably, said controllable magnetic field region is provided by an electromagnet or a movable permanent magnet.
The second aspect of the present invention also provides a method for detecting online addition of micro droplets, comprising the following steps:
(1) providing a detection system for online addition of a reagent according to the first aspect of the present invention;
(2) the sample liquid to be detected enters the microfluidic chip through the fluid sample introduction module;
(3) the sample liquid to be detected forms sample micro liquid drops in the micro liquid drop generation submodule of the micro-fluidic chip, the sample micro liquid drops are detected (or read) through a liquid drop sensor of a sample micro liquid drop marking processing module, the sample micro liquid drops are optionally marked and numbered, and the generation of the sample micro liquid drops is stopped when the number of the generated sample micro liquid drops reaches a preset number;
(4) when each sample micro-droplet in the sample micro-droplets reaches a preset position in the microfluidic chip, the driving force module generates a reagent micro-droplet according to the control signal generated by the data processing and control signal generating module and drives the reagent micro-droplet to move at a preset speed, and the reagent micro-droplet and the sample micro-droplet are in contact fusion in the flowing process to form a fusion micro-droplet;
(5) and in the flowing process of the fused micro-droplets, carrying out post-treatment on the fused micro-droplets and detecting to obtain the detection result of the sample liquid.
In another preferred example, the "stopping of the generation of the sample micro-droplets" is performed by closing a control valve for controlling the inflow of the sample liquid.
In another preferred example, the reagent micro-droplets and the sample micro-droplets enter the micro-droplet fusion section respectively and are fused in the micro-droplet fusion section to form the fused micro-droplets.
In another preferred example, in step (5), the fused microdroplet advances in the microfluidic chip with the continuous phase, reaches the signal detection section, and the signal is read and recorded by the detection subsystem.
In another preferred example, in step (3), the method further includes: obtaining a sample volume ratio signal or a turbidity signal of the sample micro-droplet by a volume ratio sensor, wherein the sample volume ratio signal or the turbidity signal can be used for judgment and/or correction.
In another preferred example, in step (4), two or more reagent micro-droplets are fused with the sample micro-droplet sequentially, simultaneously or sequentially.
In another preferred example, in step (4), two reagent microdroplets are generated and fused with the sample microdroplets.
In another preferred example, in the step (4), after the sample micro-droplets reach the designated position in the microfluidic chip, the driving force module provides corresponding pressure according to the signal generated by the data processing and control signal generating module, opens the valve corresponding to the required reagent, and forms and releases the reagent micro-droplets; and when the quantity of the reagent micro-droplets is controlled to be more than or equal to that of the sample micro-droplets, closing the corresponding valve.
In another preferred example, the volume ratio of the reagent micro-droplets to the sample micro-droplets is (0.5-10): 1.
In another preferred example, after all the micro droplets of the same sample enter the step (4), the cleaning module of the automatic sample injection subsystem is started, the sampling needle sucks the cleaning solution, the corresponding valve is closed, and the cleaning solution is pushed into the sample injection module and cleans the part causing the cross contamination; preferably, the cross-contamination causing portion comprises: a sample addition port and a valve in the sample addition module.
In another preferred embodiment, step (2) further comprises
(2.1) placing a sample (or sample liquid) to be detected on a continuous sample introduction frame, starting a system, and enabling a continuous phase to enter the microfluidic chip through the fluid sample introduction module and fill the microfluidic flow channel;
(2.2) under the control of system, the sample on the continuous sample introduction frame loops through the bar code reading area, the identification sample bar code, and the sample to be tested is absorbed by the sampling needle, and the sample to be tested is pushed into the sample addition port of the sample addition module through the injection pump, and then enters the microfluidic chip through the fluid sample introduction module.
In another preferred example, step (5) further includes:
(5.1) the fused micro-droplets are fully reacted or mixed in a reaction submodule of the microfluidic chip.
In another preferred example, step (5) further includes:
(5.2) carrying out cleaning and shearing treatment on the fused micro-droplets by the extraction subsystem.
In another preferred example, step (5) further includes:
(5.3) adding a reagent for exciting a detection signal to the fused microdroplet.
In another preferred embodiment, the sample comprises a biological sample.
In another preferred embodiment, the total volume of the sample liquid is 0.2 to 20. mu.l, preferably 0.5 to 10. mu.l.
In another preferred embodiment, the sample liquid (or sample) is selected from the group consisting of: a biological raw liquid sample or a processed biological raw liquid sample.
Preferably, the sample is selected from the group consisting of: blood, plasma, serum, interstitial fluid, lymph fluid, urine, or combinations thereof.
In another preferred embodiment, the sample is from a human, a non-human mammal, or an avian.
In another preferred embodiment, the substance to be detected (i.e., the analyte) contained in the sample liquid is selected from the group consisting of: an antigen, a hapten, an antibody, a protein, a nucleic acid, a liposome, a peptide, a nucleotide, an amino acid, a virus, a bacterium, a parasite, a cell, a pharmaceutical, an ion, a salt, or a combination thereof.
In another preferred embodiment, the method is an in vitro method.
In another preferred embodiment, the method is non-diagnostic and non-therapeutic.
In another preferred example, the method further comprises: post-processing the fused microdroplets prior to detecting the signal.
In another preferred embodiment, the post-treatment comprises one or more sub-treatments selected from the following group, performed sequentially, successively or simultaneously: incubation, extraction and splitting.
In another preferred embodiment, said incubating comprises performing a reaction selected from the group consisting of: a double antibody sandwich reaction, a loop-mediated isothermal nucleic acid amplification reaction, a BCA method reaction, or a combination thereof.
The third aspect of the invention also provides the use of a system as described in the first aspect of the invention and a method as described in the second aspect of the invention for detecting a biological sample.
Preferably, the detection is a double antibody sandwich based, loop-mediated isothermal nucleic acid amplification based or BCA based detection.
In another preferred embodiment, the detection is used for detecting a test substance selected from the group consisting of: an antigen, hapten, antibody, protein, nucleic acid, liposome, peptide fragment, nucleotide, amino acid, virus, bacterium, parasite, cell, drug, ion, salt, or a combination thereof;
preferably, it can be used to detect antigens, nucleic acids or proteins.
It is to be understood that within the scope of the present invention, the above-described features of the present invention and those specifically described below (e.g., in the examples) may be combined with each other to form new or preferred embodiments. Not to be reiterated herein, but to the extent of space.
Drawings
Figure 1 shows a schematic diagram of the system of the present invention.
Fig. 2 shows a control protocol diagram of each subsystem in the present invention.
Fig. 3 shows a schematic flow chart of the operation of the device of the present invention facing the user.
Fig. 4 shows a schematic diagram of the operational flow of the apparatus of the present invention.
FIG. 5 shows a schematic of the fusion process of a sample droplet (darker grey) and a reagent droplet (lighter grey) of the present invention, with a scale of 50 μm.
FIG. 6 shows a standard curve for homogeneous time-resolved fluorescence assay for BNP in example 1 of the present invention.
FIG. 7 shows a standard curve for detecting total protein concentration in urine based on the BCA method.
FIG. 8 shows a schematic diagram of a portion of the structure of a chip of the present invention;
wherein, 1 is a sample micro-droplet production port, 2 is a first droplet sensor, and 3 is a reagent micro-droplet generation port.
Detailed Description
The inventor of the invention has conducted extensive and intensive research to develop an on-line adding subsystem with a unique structure for the first time, and a micro-droplet chip-based sample detection system and a detection method using the on-line adding subsystem. The online adding subsystem not only realizes online adding and detecting of the sample, but also can perform procedural, systematic and accurate control on the generation of the reaction reagent micro-droplets, thereby realizing accurate fusion of the reagent micro-droplets and the sample micro-droplets. In addition, the optimized detection system can realize the subsequent post-processing automation such as extraction, incubation, splitting and the like and the signal detection and other processes on line in the flowing process of the fused micro-droplets, thereby greatly reducing or eliminating the manual operation during sample detection and obviously improving the detection accuracy and precision. The present invention has been completed based on this finding.
Term(s) for
As used herein, the term "negative pressure power source" refers to providing a forward thrust to the fluid in the chip module, enabling the fluid to flow forward uniformly, avoiding test value differences due to different flow rates.
As used herein, the term "positive pressure power source" refers to providing a pushing force to the reagent in the reagent cartridge to cause the reagent to enter the chip module at a certain flow rate.
As used herein, the term "continuous phase" sample disperses in the phase to form microdroplets, an oil phase being generally employed in the present invention.
As used herein, the term "dispersed phase" refers to a fluid that forms various microdroplets, such as, but not limited to, a sample, a reagent(s), and the like.
As used herein, the term "sample microdroplet" refers to a microdroplet containing a sample to be detected to which additional reagents are to be added, said sample microdroplet at different stages of processing may contain reaction reagents, luminescence excitation substrates, etc. in addition to the sample to be detected.
As used herein, the term "reagent" refers to various reagents used in the detection process, including (but not limited to) individual reaction reagents, washing reagents, shearing reagents, post-processing reagents, and the like, and the corresponding "reagent microdroplets" refer to microdroplets formed from various reagents in the detection process, including (but not limited to) individual reaction reagent microdroplets, washing reagent microdroplets, shearing reagent microdroplets, post-processing reagent microdroplets, and the like. The various microdroplets determine if fusion with the sample microdroplets is required according to the detection requirements.
As used herein, "microdroplet chip" refers to a chip that utilizes the properties of two-phase flow that are immiscible in each other, where one phase is dispersed in the other under the action of fluid shear and interfacial tension, creating a series of monodisperse individual microdroplets of nanoliter to picoliter volume at kilohertz frequencies. In the invention, the system is utilized to realize the processes of fusion, incubation, aggregation, splitting, sorting, extraction, analysis and the like in a micro-droplet chip in a short time under the control of programming and high efficiency.
As used herein, the term "microdroplet queue" merely represents the order in which microdroplets pass through the predetermined locations, and the microdroplets in the "microdroplet queue" may be present in the microchannel at the same time and flow sequentially through the predetermined locations; or generating micro-droplets sequentially and sequentially flowing through the preset positions.
For ease of understanding, the following description is made in conjunction with the accompanying drawings. It should be understood that these drawings do not in any way limit the scope of the present invention.
Online reaction reagent adding subsystem
The system of the invention can realize the online addition of a plurality of reagent micro-droplets generated by a sample, namely, the online addition is to perform one-to-one fusion on each micro-droplet of the sample and the micro-droplet generated by the reagent required to be added. To achieve this, precise control of the size and timing of the generation of the reagent micro-droplets is required.
Fluid flow in microchannels depends on the combination of forces including interfacial tension, shear forces, viscous forces, inertial forces, gravity, etc., but in microchannels, the effects of inertial and gravity forces are negligible. The formation of micro-droplets refers to the process of forming micro-droplets by disrupting the surface tension between the continuous and dispersed phases with sufficient shear force. Therefore, the viscosity of the fluid, surface tension, applied external force, and the width of the flow channel are all critical factors for droplet formation.
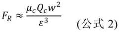
The specific process is as follows, when the sensor detects the micro-liquid drop generated by the sample, the micro-liquid drop is respectively marked as 1, 2, 3, 4 … … k … … n-2, n-1, n, and the oil speed is detected as vOil 1,vOil 2,vOil 3,vOil 4……vOil k……vOil n-2,vOil n-1,vnThe moving speed of the micro-droplets is vDroplet 1,vDroplet 2,vLiquid droplet 3,vLiquid droplet 4……vDroplet k……vDroplet n-2,vDroplet n-1,vDroplet nAnd the sensor is at a distance s (as shown in fig. 8) from the reagent micro-droplet generation port, and the controller generates a corresponding reagent micro-droplet K fused with the sample micro-droplet K by analyzing data of the micro-droplet K and controlling the gas pressure for the reagent and the valve opening and closing of the reagent according to the calculated result during the micro-droplet flows from the sensor position to the micro-droplet generation port. The calculation of the required reagent pressure is given below:
in the process of generating micro-droplets, a continuous phase and a liquid phase respectively flow into a main channel of a flow channel at certain flow rates, a dispersed phase reaches an intersection of a T-shaped channel or a cross-shaped channel to form a two-phase interface with the continuous phase and continuously develops towards the main channel to form a head of the micro-droplet, the head of the micro-droplet is continuously increased along with the continuous inflow of the dispersed phase fluid, the main channel is gradually blocked by the micro-droplet, the continuous phase can only flow in a thin layer between the pipe wall and the micro-droplet, the reduction of the flow dimension enables the continuous phase to generate larger extrusion force relative to the head of the micro-droplet to drive the head of the micro-droplet to develop towards the outlet of the continuous phase, the neck of the micro-droplet is stretched to be thin, and finally the micro-droplet is broken to form independent micro-droplets.
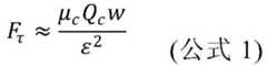
At this time, when the micro-droplet is formed, three forces act to form the micro-droplet, namely, two-phase interfacial tension (F)σ) Viscous shear force (F)τ) And the resistance (F) due to the pressure of the continuous phase on the head of the dispersed phaseR),FσCan be regarded as a constant value, and the shear force and the resistance force can be expressed as a fixed value, respectively
Figure BDA0001611634620000111
Figure BDA0001611634620000112
Wherein, mucIs the dynamic viscosity of the continuous phase, QcIs the flow rate of the continuous phase. ε is the thickness of the film between the interface of the two liquid phases and the channel walls, and w is the width of the downstream channel, which is approximately equal to the length L of the droplet head. With the increase of the volume of the micro-droplets, the film thickness epsilon between the two liquid phase interfaces and the wall surface of the channel is continuously reduced, and the viscous shear force (F) at the moment can be known fromformulas 1 and 2τ) And the resistance (F) due to the pressure of the continuous phase on the head of the dispersed phaseR) This trend continues to increase until micro-droplets are formed. As for the flow rate Q, it is,
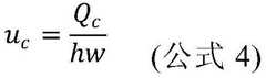
q is uS uhw (formula 3)
Wherein S is a fluid sectional area, u is a fluid velocity, and h is a microchannel height of the microdroplet generation region, and can be obtained by formula 3:
Figure BDA0001611634620000113
Figure BDA0001611634620000121
Qcis the flow rate of the continuous phase, QdIs the flow of the dispersed phase, ucIs the continuous phase flow rate, udThe flow velocity of the dispersed phase, w is the width of the downstream channel of the continuous phase after the droplet is generated, d is the characteristic width of the neck of the dispersed phase at the droplet generation port, and the length L of the formed micro-droplet is obtained by theformula 4 and theformula 5
Figure BDA0001611634620000122
At this time, the volume of the micro-droplet is VLiquid dropletWhen the micro-droplet is also a liquid column just generated, the volume formula is
VLiquid dropletAbout Lwh (equation 7)
When the liquid column enters the channel to form micro liquid drops, the radius of the micro liquid drops is R, and then
Figure BDA0001611634620000123
And the time required for generating the micro-droplets is tgThen there is
Figure BDA0001611634620000124
Thus, the overall process of generating reagent micro-droplets is: the sensor detects a sample micro-droplet k and measures the oil phase (continuous phase) velocity and the moving velocity v of the sample micro-droplet at that timeOil kAnd vDroplet kSensor response time t1The distance from the droplet sensor to the reagent droplet generating port is s, the data of the sensor is transmitted to a controller (arranged in a data processing and control signal generating module), and the controller calculates the required reagent flow velocity vLiquid-kThen calculating the required corresponding control air pressure P, and then opening the valve, wherein the response time of the valve is t2The time t from the start of the sample droplet flowing past the droplet sensor to the opening of the valve for the reagent is countedg-k
To realize the on-line addition of the sample micro-droplets, i.e. when the micro-droplets k flow to the reagent micro-droplet generation port, the generation of the reagent micro-droplets is completed, thereby realizing the fusion of the micro-droplets, so that
Figure BDA0001611634620000125
Combining equations 6-10, the flow rate v of the reagent to be reacted with the sample for the sample microdroplet k can be calculatedLiquid-kIs composed of
Figure BDA0001611634620000126
At this time, vDroplet kThe velocity of the sample micro-droplet k measured by the sensor; r is the radius of the reagent micro-droplet to be generated, w is the width of the downstream channel, h is the height of the micro-channel (micro-droplet fusion segment) of the micro-droplet fusion region, and t1As sensor response time, t2These values are all system fixed parameters in the system of the present invention for the response time of the controller to open the valve.
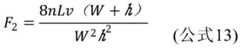
For the liquid in the reagent-generating microchannel, forces from three aspects are mainly received, namely from a controllable gas driving force (F)1) Surface tension (F) between dispersed and continuous phases (water and oil)σ) And pressure loss in the microchannel (F)2) When the liquid velocity is stable, the three forces will reach equilibrium, wherein
F1PS PWh (equation 12)
Figure BDA0001611634620000131
Wherein P is the air pressure which can be adjusted by the controller, S is the sectional area of the micro-channel of the reagent droplet generation area, W is the width of the reagent generation opening, h is the height of the micro-channel of the reagent droplet generation area, L is the length of the initial liquid column for generating the droplets in the reagent pipeline, n is the viscosity of the reagent fluid (related to the temperature, the viscosity is a fixed value at a fixed temperature), and v is the flow speed of the reagent fluid. During the air pressure regulation, the surface tension remains substantially constant.
From equations 12 and 13, when the force balance is finally reached, the relationship between the required pressure P and the reagent flow rate can be calculated as
Figure BDA0001611634620000132
In the control system, v in equation 11Liquid-kI.e., v in equation 14, and thus,
Figure BDA0001611634620000133
in the formulas 14 and 15, a and b are calibration parameters and are related to the detection results of the quality control products of different detection systems. From equation 15, when the micro-droplet of the sample flows to the sensor, the sensor detects the velocity v of the micro-dropletDroplet kThe information is transmitted to the controller, the pressure P required to be applied to the reagent is calculated according to the formula 15, the driving force is adjusted to be P by the controller, the reagent driving force control valve is opened, and the reagent micro-droplet K is generated and fused with the micro-droplet sample K. And completing the online addition process of the micro-droplet reagent.
Detection system based on reaction reagent online addition subsystem
The invention also provides a detection system, which is based on the reaction reagent online adding subsystem and realizes the fusion process between various micro-droplets, such as the fusion of the sample micro-droplets and the reagent, in the micro-droplet chip.
FIG. 1 is a schematic diagram of a detection system according to an embodiment of the present invention.
As shown in fig. 1, a biological sample quantitative detection system based on micro-droplet chip comprises an online adding subsystem, a temperature control subsystem, a driving force module of the online adding subsystem, an automatic sample introduction subsystem, a reagent storage subsystem, a detection subsystem, a micro-fluidic chip, a waste liquid collection module, etc., wherein:
a) an automatic sample introduction subsystem: the module comprises a sampling needle, an injection pump, a continuous sample introduction frame, a bar code reading module and the like.
The sample to be detected with the sample information bar code temporarily stores in the continuous sample feeding frame, and sequentially moves forward under the control of the system, after the basic information of the sample and the item to be detected are obtained through the bar code reading area, the basic information of the sample and the item to be detected reach the sample sampling area, the sampling needle sucks the sample by using the injection pump, then the sample is pushed into the sample feeding port of the sample feeding module by using the injection pump again, and the sample enters the chip channel under the control of the valve 1 (shown in figure 1) in the fluid sample feeding module.
b) The driving force module of the online adding subsystem: the module comprises a positive pressure power source, a negative pressure power source and the like, which are positive and reverse driving force systems respectively.
The negative pressure power source is connected with the waste liquid collecting module and indirectly connected with the waste liquid pool in the chip module to provide forward thrust for fluid in the chip module, so that the fluid flows forward uniformly, and the difference of test values caused by different flow rates is avoided. The power source may be provided by an air compressor or a negative pressure pump.
The positive pressure power source is connected with the reagent bin of the reagent storage subsystem and provides thrust for the reagent in the reagent bin, so that the reagent enters the chip module at a certain flow rate. The power source may be provided by an air compressor or a compressed air source.
c) A reagent storage subsystem: the subsystems include reagent bins, wash levels, continuous phases (oil phases), and the like.
The oil phase is connected with a continuous phase adding section in the chip module, enters a chip channel under the control of thevalve 2 and is a continuous phase in the generation of micro-droplets.
The cleaning solution is used for cleaning all places which are contacted with a test sample and are possibly subjected to cross contamination, and comprises a sampling needle, a sample inlet,valves 1 and 3 and the like, as shown in figure 1.
The reagent storehouse includes the reagent position of pre-mixer,reagent 1, 2, 3, … M, N … etc.. The pre-mixer is used for mixing thereagents 1, 2, 3, … M, N … and the like in the reagent bin uniformly to avoid the precipitation or aggregation of the reagents.Reagents 1, 2, 3, … M, N …, etc. are reagents for reacting with the sample, are stored in the reagent kit in advance, are taken out from the reagent kit and fixed at corresponding reagent positions when necessary, are connected with the online adding subsystem through a conduit, and are further communicated with the microfluidic chip.
Reagents 1, 2 …, etc. are substances that can bind to a target analyte in a sample to be detected, and include (but are not limited to)antibody 1 coated on a nanoparticle (magnetic bead, fluorescent microsphere),antibody 1 labeled with a fluorescent dye,antibody 2 labeled with a catalytic enzyme or other tracer, etc. Thereagent 3 is a washing reagent for pretreating the micro-droplets before measurement, and is, for example, a salt buffer solution with an appropriate amount of a surfactant added thereto and adjusted in pH. Reagent M is an eluent that pretreats the microdroplets prior to the assay, such as a pH adjusted glycine solution. The reagent N … is a reagent for post-treating the micro-droplets before measurement, and examples thereof include a chemiluminescent substrate and the like.
d) The temperature control subsystem: the module controls the temperature of the reagent bin, the conduit connecting the reagent bin with the chip module, the chip module and the like.
The temperature of the temperature control bin of the reagent bin is 2-8 ℃, so that thereagents 1, 2, 3, … M, N … and the like can be stably stored for a long time without influencing the quality of the reagents and the detection sensitivity.
The temperature of the temperature control bin of the connecting conduit of the reagent bin and the chip module is 25-37 ℃, and the reagent entering the chip module is preheated, so that the reagent entering the chip module reaches the required reaction temperature in advance, the reaction efficiency is further improved, and the reaction time is shortened.
The temperature of the temperature control bin of the chip module is 25-65 ℃, so that reagents in the chip can be fully reacted.
e) A detection subsystem: the subsystem may include a CCD/COMS imaging system, an excitation light source, photomultiplier tubes, photoconverters, and the like. The micro-droplet signal acquisition device is directly or indirectly connected with a signal reading area in a chip through optical fibers and the like, and records and analyzes effective signals in the micro-droplets.
f) Waste liquid collection module: the module collects all waste liquid generated during the sample measurement process and is connected with a waste liquid pool in the chip module.
g) A micro-fluidic chip: the chip comprises a micro-droplet generation submodule, a micro-droplet fusion section, a signal detection section, an optional incubation section, an extraction section, a post-treatment section, a waste liquid pool and other structural areas. And a drop sensor and optionally a volume ratio sensor disposed on the chip, a fluid injection module (and various valves in the module) in fluid communication with the chip, and the like.
The sample introduction module is a storage chamber before the dispersed phase (i.e. sample, reagent and the like) and the continuous phase (i.e. oil phase) enter the channel of the chip. The sample to be tested may be a biological raw liquid sample, or other processed biological raw liquid sample. Including but not limited to, human or other animal blood, plasma, serum, interstitial fluid, lymph or urine, etc. The target analytes mainly used for detection in the sample to be detected include, but are not limited to, antigens, haptens, antibodies, proteins, nucleic acids, liposomes, peptide fragments, nucleotides, amino acids, viruses, bacteria, parasites, cells, drugs, ions, salts, and combinations thereof, and other single molecules or complexes.
The valve is a controllable switch, and can accurately control the time and volume of fluid entering the chip channel.Valves 1 and 3 control the sample injection of dispersed phase,valve 2 controls the sample injection of continuous phase, valves 1a and 2a … control the sample injection port of reagent, valve 3a controls the sample injection of cleaning reagent, valve Ma controls the sample injection of eluent, valve Na … controls the sample injection of post-treatment reagent. Valves include, but are not limited to, paraffin valves, paraffin melt valves, magnet-actuated valves, pneumatic valves, diaphragm valves, trap valves, mechanical valves, and combinations thereof.
The pressure-volume ratio sensor is used for detecting the pressure-volume ratio of micro-droplets of a generated whole blood sample when the whole blood sample is treated, or for initially judging the turbidity of the sample with corresponding turbidity when the sample is loaded.
The droplet sensor is used for judging micro droplets and digitally marking qualified micro droplets so as to realize the real-time communication and control flow prejudgment of the micro droplets in the chip module.
The micro-droplet fusion is that labeled substances which can be combined with a target substance to be detected or substances which have specific reaction with the labeled substances are added into micro-droplets formed by a detection sample, so that the reagent micro-droplets and the sample micro-droplets are demulsified and fused to form mixed micro-droplets.
Incubation refers to providing mixing and residence space for the microdroplets so that the solution within the microdroplets is fully reacted.
The extraction refers to pretreatment before measurement of reactants in the micro-droplets, and non-target reaction products or other substances which possibly interfere with detection results are removed, so that target substances to be detected are enriched and purified to facilitate signal detection.
The post-treatment is to add a substance capable of binding to a target to be detected and showing a signal to the microdroplet.
The detection subsystem reads and analyzes the signal of the target object to be detected.
The waste liquid pool is connected with the waste liquid collecting module, and collects all waste liquids in the chip, including oil phase waste liquid, cleaning liquid waste liquid, eluent waste liquid, micro-droplet waste liquid which does not meet the requirements and the like. The chip is provided with a plurality of waste liquid pools, mainly a waste liquid pool at a dispersed phase sample inlet and a waste liquid pool at the tail end of a chip channel. The waste liquid pool at the dispersed phase sample inlet mainly collects the cleaning liquid waste liquid, and the waste liquid pool at the tail end of the chip channel collects all the waste liquid.
The chip module may be a single-layer chip or a multi-layer chip, and the material of the chip module includes (but is not limited to) glass, silicon wafer, ceramic, plastic, paper and rubber, and combinations thereof. Alternatively, these materials may be doped, modified, or modified materials. Optionally, a microfluidic chip made of said material, suitable for both disposable and repeated use.
Thereagents 1, 2, 3, … M, N … and the like in the reagent cabin of the system of the invention and the microfluidic chip can be replaced, and the positions connected in the replacement process can be connected seamlessly through a bayonet or other modes without causing the problems of liquid leakage and the like.
As shown in fig. 2, in the system of the present invention, the on-line adding subsystem (driving force module, valves of the fluid sample injection module, pressure-volume ratio sensor, droplet sensor, etc.), the temperature control subsystem, the signal detection module, the automatic sample injection subsystem, the waste liquid collection module, and the reagent storage subsystem all perform signal transmission, monitoring, operation, and prediction by the master control center, receive signals of each module for judgment, transmit signals to the control elements and sensors of each module, and precisely complete the control of each module in the plan.
Detection method
The invention also provides a detection method based on the online adding subsystem, as shown in fig. 3 and 4, the method comprises the following steps:
1) placing reagents in a detection item kit to be detected at corresponding reagent positions, self-checking the overall state of the system on the module, wherein the overall state of the system comprises an oil phase (continuous phase) state, a cleaning liquid state, a driving force module state, a valve state, a temperature controller state and the like, and adjusting the system according to a self-checking result until the self-checking ensures that the system can normally run;
2) collecting samples, accumulating all samples to be detected on a continuous sample introduction frame, clicking a start button of a master controller, automatically starting a switch of a negative pressure controller, opening a valve 2 (shown in figure 1), enabling an oil phase to enter a chip channel through a continuous phase sample introduction port of a chip and filling all the channels in a short time, and completing self-detection under the detection of each sensor of a chip module, wherein the self-detection process mainly comprises the steps of whether bubbles exist, whether the oil phase flows continuously and the like;
3) under the control of the system, samples on the continuous sample introduction frame sequentially pass through the bar code reading area, the bar codes of the samples are identified, the whole system is switched to the corresponding detection item control logic, the sampling needle absorbs the samples to be detected, the samples to be detected are pushed into the disperse phase sample introduction port of the chip module, and thevalve 1 is opened;
4) generating micro liquid drops of the sample to be detected in the micro liquid drop generation submodule by the sample to be detected; optionally, the sample micro-droplets pass through a volume ratio sensor, and a system obtains a sample volume ratio signal and performs judgment and correction; the sample micro-droplets are judged and marked by a droplet sensor, a system obtains a digital signal of the sample micro-droplets, and thevalve 1 is closed when the number of qualified sample micro-droplets meets the detection requirement;
5) the system automatically starts a forward power source, when a sample micro-droplet with a first mark is detected to reach a micro-droplet fusion section of a chip, valves 1a, 2a and the like are started,reagents 1, 2 and the like which belong to the logic of the item to be detected are pushed into a chip channel to generatereagent 1 micro-droplets,reagent 2 micro-droplets and the like, the quantity of thereagent micro-droplets 1, 2 and the like is controlled to be slightly more than or consistent with that of the sample micro-droplets, the valves 1a, 2a and the like are closed, the reagent micro-droplets and the sample micro-droplets are mutually contacted and fused into a mixed micro-droplet, the mixed micro-droplet which is successfully mixed is marked through a sensor, and the system obtains a digital signal of the mixed micro-droplet;
6) optionally, when detecting that the first identified mixed microdroplet reaches the incubation segment (or leaves the microdroplet fusion segment), the mixed microdroplet starts incubation; meanwhile, the sampling needle absorbs cleaning fluid, pushes and fills the disperse phase sample inlet in the chip in a state that thevalves 1 and 3 are closed, opens thevalve 3, the waste liquid of the cleaning fluid flows into a waste liquid pool at the disperse phase sample inlet through a waste liquid channel, the operation is repeated for many times, and thevalve 3 is closed after the cleaning is finished;
7) optionally, the system automatically starts a magnetic field, when the mixed micro-droplet with the first identifier is detected to completely enter the extraction area after incubation, magnetic beads in the mixed micro-droplet are fixed in the chip channel and still keep a small micro-droplet state, the valve 3a is opened, a cleaning reagent enters the chip channel to generate a cleaning reagent micro-droplet, the quantity of the cleaning reagent micro-droplet is controlled to be slightly more than or consistent with that of the sample micro-droplet, the valve 3a is closed, the cleaning reagent micro-droplet is contacted and fused with the sample micro-droplet staying in the extraction area and then is split into two micro-droplets, the two micro-droplets are respectively the fixed micro-droplet containing the magnetic beads and the target object to be detected and the micro-droplet containing the non-target object not containing the magnetic beads, and the micro-droplet containing the non-target object not containing the magnetic beads directly flows into a waste liquid pool at the tail end of the chip channel;
8) optionally, a valve Ma is opened, a reagent M (eluent) belonging to the logic of the to-be-detected item enters a chip channel to generate reagent M (eluent) micro-droplets, the micro-droplet amount of the reagent M (eluent) is controlled to be slightly more than or consistent with that of the micro-droplets containing the magnetic beads and the target to-be-detected object, the valve Ma is closed, the reagent M (eluent) micro-droplets are contacted and fused with the fixed micro-droplets containing the magnetic beads and containing the target to-be-detected object and then are split into two micro-droplets, namely the micro-droplets containing the target to-be-detected object and the micro-droplets containing the magnetic beads which are still fixed and do not contain the magnetic beads, the sensor marks the micro-droplets containing the target to-be-detected object and do not contain the magnetic beads, and the system obtains digital signals of the micro-droplets containing the target to-be-detected object and not containing the magnetic beads;
9) optionally, when detecting that a first marked micro-droplet containing a target object and not containing a magnetic bead enters a post-processing area, opening a valve Na, allowing a reagent N (post-processing reagent) belonging to the logic of the item to be detected to enter a chip channel to generate a reagent N (post-processing reagent) micro-droplet, controlling the quantity of the reagent N (post-processing reagent) micro-droplet to be slightly more than or consistent with the quantity of the micro-droplet containing the target object and not containing the magnetic bead, closing the valve Na, contacting and fusing the reagent N (post-processing reagent) micro-droplet with the micro-droplet containing the target object and not containing the magnetic bead into a post-processed micro-droplet, marking the post-processed micro-droplet by a sensor, obtaining a digital signal of the post-processed micro-droplet by a system, and incubating the post-processed micro-droplet again;
10) starting a switch of the detection subsystem, when the detectable or post-processed micro liquid drop of the first mark is detected to completely enter the signal detection section, reading a detection signal directly or indirectly given by the micro liquid drop by the detection subsystem, and synchronously transmitting the detection signal to the master controller for numerical value processing to give visual information;
11) meanwhile, when detecting that the first marked micro-droplet enters the signal detection section, the sampling needle absorbs cleaning liquid, pushes a sample inlet filled with a chip disperse phase in a state that thevalves 1 and 3 are closed, opens thevalve 1, washes thevalve 1 by the cleaning liquid, then enters a chip internal channel, finally enters a waste liquid pool at the tail end of the chip channel in the form of micro-droplet waste liquid, and synchronously starts to repeat thestep 3;
12) and (4) after the detection is finished, optionally closing the magnetic field, and enabling all micro-droplets to flow into a waste liquid pool at the tail end of the chip channel.
The detection method of the invention selects some or all steps according to specific detection items.
The volume of the test sample is 0.5-10 muL. The testing time of a single sample is 5-15min, but the detection method can synchronously test a plurality of samples, thereby greatly reducing the testing time of the whole sample.
The main advantages of the invention include:
(a) the micro-droplet fusion is accurate, the reagent can be added on line, and the automation degree is high.
(b) The method can realize the purposes of high detection sensitivity, good repeatability, strong anti-interference capability, short detection time, large flux, extremely low sample consumption and the like of the biological sample.
(c) By adopting the micro-droplet micro-fluidic chip technology, the generation, mixing, reaction, collection and detection of the sample are integrated on the chip, all reagent components required by the reaction can be accurately controlled and added into the chip through a valve, the operation is simple, the automation degree of system integration is high, and the action of accurately controlling the micro-droplets can be realized.
(d) The volume of the test sample volume of the device is 0.5-10 mu L. The testing time of a single sample is 5-15min, but the testing process can synchronously carry out the testing of a plurality of samples, thereby greatly reducing the testing time of the total sample.
In conclusion, the invention performs programmed and systematic control on the generation of the reaction reagent micro-droplets through the unique online adding subsystem, thereby realizing the stable generation of the reagent micro-droplets and the accurate fusion with the sample micro-droplets, and providing the extremely efficient and controllable micro-reactor. For the detection process of biological samples based on different reaction principles, the invention can greatly improve the biochemical reaction efficiency and the detection flux and greatly reduce the consumption of samples and reagents required by detection.
The invention will be further illustrated with reference to the following specific examples. It should be understood that these examples are for illustrative purposes only and are not intended to limit the scope of the present invention. The experimental procedures, in which specific conditions are not noted in the following examples, are generally carried out under conventional conditions or conditions recommended by the manufacturers. Unless otherwise indicated, percentages and parts are percentages and parts by weight.
Example 1: the system is used for realizing the detection of B-type natriuretic peptide (BNP) by a double-antibody sandwich method based on immunoreaction
Preparation before operation: taking out areagent 1, areagent 2, areagent 3 and a reagent M from a kit of a BNP double-antibody sandwich method, wherein thereagent 1 is ananti-BNP antibody 1 coated on 100nm-3um superparamagnetic beads, thereagent 2 is ananti-BNP antibody 2 marked with a fluorescent dye, thereagent 3 is a cleaning solution, generally a pH-adjusted salt solution containing a surfactant, and the reagent M is an eluent, generally a solution with a lower pH value, and can be a pH-adjusted glycine solution. Thereagents 1, 2, 3 and M are clamped at the corresponding reagent positions of the reagent bin. The system starts a self-test, for example:
the system automatically checks the oil phase state. The oil phase is a specially formulated mineral oil. If a new oil phase needs to be replaced, the mineral oil provided by the system is placed in the oil phase position of the system, the corresponding joint is connected, and the system passes the automatic inspection.
The system automatically checks the state of the cleaning solution, and the cleaning solution is a salt buffer solution with the pH adjusted by adding a proper amount of surfactant. If the system prompts to replace new cleaning liquid, the cleaning liquid provided by the system is placed in the cleaning liquid clamping position of the system, and the corresponding joint is connected, so that the system can pass the inspection by itself.
The system automatically checks a power module, namely a positive pressure module and a negative pressure module, the positive pressure module and the negative pressure module can provide and accurately maintain a certain set pressure under the atmospheric pressure of 1000-10000Pa, and the system automatically detects the pressure to pass.
And adjusting the system according to the self-checking result, and starting the measuring process after the self-checking is passed. The detection process is as follows:
1) the whole blood sample containing sample or patient information and bar code of the item to be detected is placed on the continuous sample introduction frame, the start button is clicked, the system starts a controller switch (1000Pa) serving as negative pressure, opens avalve 2, the continuous phase enters the chip module, all channels of the chip module are filled in a short time, self-detection is completed under the detection of each sensor of the chip module, the self-detection process mainly comprises whether bubbles exist, whether oil phase flow is continuous and the like. After the oil phase self-checking is passed, the system automatically controls to provide positive pressure for each reagent in the reagent bin, and the pressure is greater than atmospheric pressure. The system continues self-checking, and starts sample processing after the chip module channels have no bubble or other abnormality;
2) after the system self-test is completed, the system controls a sample to pass through a bar code reading area, identifies bar code information on the sample, and automatically switches to a corresponding detection control logic according to the type of the sample and an item to be detected, at the moment, a sampling needle absorbs 10 mu l of the sample, pushes the sample into a disperse phase sample inlet of a chip module, opens avalve 1, closes thevalve 1 after the chip module detects enough qualified micro-droplets, the generation time of the micro-droplets of the sample is usually within 10s, in the detection item shown in the example, the generation frequency of the sample is 120/s, the micro-droplets are continuously generated into 20-22 micro-droplets, and the volume of each micro-droplet can be estimated through a formula (7), for example, 1000 +/-50 pL;
3) for whole blood samples, the detection accuracy is directly affected by the ratio of the volumes of different samples, but the detection accuracy can be corrected by obtaining the ratio of the volumes of the samples, and the whole blood samples in the example for detecting BNP antigen need the ratio of the volumes of the samples to be detected so as to correct the result. At this time, the generated sample micro-droplets pass through the volume ratio sensors, and the volume ratio sensors acquire the sample volume ratio and transmit the sample volume ratio to the control center. The sample micro liquid drops judge and mark the micro liquid drops which sequentially pass through a liquid drop sensor, the micro liquid drops are respectively 'sample A item BNP micro liquid drop 1' and 'sample A item BNP micro liquid drop 2' … … 'and the sample A item BNP micro liquid drop 22', the digital signals are transmitted back to a control center, the control center respectively identifies the information of each micro liquid drop, and the subsequent control logic of each micro liquid drop is determined;
4) the control center judges the reagent needed by the BNP detection and the response time t of the liquid drop sensor112ms, response time t of valve opening218ms, the distance s between the droplet sensor and the reagent droplet generation port in the chip is 8000 μmMicro-droplet volume V of BNP micro-droplet 1' of item ALiquid dropletAt 1000pl, when a microdroplet identifying "sample a item BNP microdroplet 1" is detected by the drop sensor, the speed of movement vLiquid dropletIs 350 μm/s, 22.8s (t)g-k) Then controlling to open valves 1a and 2a, wherein the reagents 1 and 2 are driven by the negative pressure of the chip module and the positive pressure of the reagent chamber to generate reagent 1 micro-droplets and reagent 2 micro-droplets, the radius R of the reagent 1 micro-droplets and the reagent 2 micro-droplets in the chip is 50 μm, and the viscosity N of the reagent 1 and the reagent 2 is the same and is 2.1 N.s/m2The width W of the reagent generation port is 35 μm, the width W of the downstream channel is 150 μm, which is the same as the length L of the liquid column in the reagent droplet generation microchannel, the depth h of the channel is 100 μm, the interfacial tension F σ of the oil phase and the reagent is 28mN/m, and the calibration parameter a is 10-8The calibration parameter b is 10-6m-1. The positive pressure driving pressure (P) ofreagent 1 andreagent 2 was calculated by the system according to equation (15) to be 353.9 mbar. After the data are obtained and calculated, thereagent 1 micro-droplet and thereagent 2 micro-droplet can be accurately controlled and added into the micro-droplet fusion area of the system chip on line, before entering the micro-droplet fusion area, the micro-droplet is identified by the droplet sensor, the number of the micro-droplets slightly larger than or consistent with that of the sample micro-droplets is controlled and added, and 20-22 micro-droplets are controlled and generated. And then, the sample micro-droplets No. 1-22 are respectively fused with the anti-BNP antibody labeled magnetic bead reagent micro-droplets No. 1-22 to generate mixed micro-droplets No. 1-22. The volume of the redundant sample micro-droplets is not changed due to the fusion of the reagent-free micro-droplets, and the redundant sample micro-droplets continuously flow to a waste liquid pool at the tail end of the chip;
5) when detecting that the mixed micro-droplet No. 1 reaches the incubation area, starting the incubation process of the mixed micro-droplet, simultaneously controlling a sampling needle to absorb cleaning liquid by the system, pushing and filling a disperse phase sample inlet in a state thatvalves 1 and 3 are closed, opening avalve 3, enabling the cleaning liquid waste liquid to flow into a waste liquid pool at the disperse phase sample inlet through a waste liquid channel, repeating the operation for 3 times, and closing thevalve 3 after cleaning;
6) the system controls to automatically start a magnetic field, when detecting that the mixed micro-droplet No. 1 reaches an extraction area, magnetic beads in the mixed micro-droplet are fixed in a chip channel and still keep a small micro-droplet state, a valve 3a is opened, cleaning liquid enters the chip channel to generate cleaning liquid micro-droplets, the quantity of the cleaning liquid micro-droplets is controlled to be slightly more than or consistent with that of the mixed micro-droplets, the valve 3a is closed, the cleaning liquid micro-droplets are in contact with the mixed micro-droplet and are fused and then split into two micro-droplets which are respectively the fixed micro-droplets containing the magnetic beads and the target object to be detected and the micro-droplets containing the non-target object to be detected and not containing the magnetic beads, and the micro-droplets containing the non-target object to be detected and not containing the magnetic beads directly flow into a waste liquid pool at the tail end of the chip channel;
7) opening a valve Ma, enabling a reagent M (eluent) under the logic of the to-be-detected item to enter a chip channel to generate reagent M micro-droplets, controlling the quantity of the eluent micro-droplets to be slightly more than or consistent with the quantity of the micro-droplets containing the magnetic beads and containing the target to-be-detected object, closing the valve Ma, enabling the eluent micro-droplets to be in contact fusion with the fixed micro-droplets containing the magnetic beads and containing the target to-be-detected object and then split into two micro-droplets which are respectively micro-droplets containing the target to-be-detected object and micro-droplets containing the magnetic beads and still fixed, marking the micro-droplets containing the target to-be-detected object and not containing the magnetic beads by a sensor, and obtaining digital signals of the micro-droplets 1-22 containing the target to-be-detected object and not containing the magnetic beads by a system.
8) Automatically starting a switch of a signal detection module controller, when detecting that the micro liquid drop No. 1 containing the target object to be detected and not containing the magnetic beads enters a signal reading area, reading a fluorescence detection signal directly given by the micro liquid drop, and synchronously transmitting the fluorescence detection signal to a master controller for numerical processing to give visual information;
9) meanwhile, when detecting that the micro-droplet No. 1 containing the target object to be detected without containing the magnetic beads enters a signal reading area, a sampling needle absorbs cleaning liquid, pushes and fills a sample inlet of a dispersion phase of the chip in a state thatvalves 1 and 3 are closed, opens thevalve 1, washes thevalve 1 by the cleaning liquid, then enters a channel inside the chip, finally enters a waste liquid pool at the tail end of the channel of the chip in a micro-droplet waste liquid mode, and synchronously starts to repeat thestep 3;
10) and after the detection is finished, the magnetic field is closed, and all the micro-droplets flow into a waste liquid pool at the tail end of the chip channel.
11) For a chemiluminescence detection system with a marker of acridinium ester and the like, only a corresponding kit needs to be placed, wherein areagent 1 is ananti-BNP antibody 1 coated on 100nm-3um superparamagnetic beads, areagent 2 is ananti-BNP antibody 2 marked with acridinium ester, areagent 3 is a cleaning solution, and a reagent N is a chemiluminescence substrate reagent. In addition, a chemiluminescent substrate reagent at the N position of the reagent needs to be added by the micro-droplet fusion mode after the extraction process, and the subsequent detection part can be accessed to read an effective signal after incubation is carried out again.
12) For a homogeneous phase time-resolved fluorescence detection system, only corresponding kits are needed to be placed, wherein thereagent 1 is a Terbium dye-labeledanti-BNP antibody 1, and thereagent 2 is a d2 dye-labeledanti-BNP antibody 2. After the micro-droplets of thereagent 1 and thereagent 2 are fused with the sample micro-droplets, the sample micro-droplets can directly enter a subsequent detection part to read effective signals without cleaning and elution.
The experimental results are as follows:
the detection system is exemplified here by homogeneous time-resolved fluorescence.
FIG. 5 is a schematic diagram of a process of fusing a sample droplet with a reagent droplet;
as shown in fig. 5 a-e) are schematic representations of the fusion process of a sample droplet (darker grey) with a reagent droplet (lighter grey), with a scale of 50 μm.
A micrograph of the one-to-one fusion process of the sample droplet and the reagent droplet is shown in fig. 5, and it can be seen from fig. 5 that the two droplets are mixed into one droplet under passive control and then subjected to the next operation. The continuous phase flows towards the right, the sample micro-droplets (such as the sample micro-droplets 1) and the reagent micro-droplets (such as the reagent micro-droplets 1) enter the micro-droplet fusion section along with the continuous phase, contact and fuse in the fusion section, and continuously flow along with the continuous phase, and finally the mixed droplets of the sample and the reagent are formed.
The detection of BNP based on this system requires first measuring a standard curve of gradient concentration, the specific values of which are listed in table 1. The standard curve for homogeneous time-resolved fluorescence BNP detection is given in fig. 6.
TABLE 1 homogeneous phase time-resolved fluorescence method for detecting BNP standard curve value
Figure BDA0001611634620000221
Figure BDA0001611634620000231
The concentrations listed in table 1 were measured and then back-calculated according to the standard curve, and the back-calculated results are shown in table 2. As can be seen, the linear range of the detection system for BNP is 25-25600pg/mL, the linear correlation coefficient r is more than or equal to 0.99, the functional sensitivity reaches 25pg/mL, the repetitive coefficient of variation CV is less than or equal to 5%, and the relative deviation RD is less than or equal to 10%.
TABLE 2 BACK-LOGICAL COMPUTATION RESULT OF STANDARD CURVE FOR DETECTING BNP BY MEANS OF homogeneous-PHASE TIME-DIFFERENTIAL FLUORESCENCE METHOD
Figure BDA0001611634620000232
Figure BDA0001611634620000241
5 samples with different concentration values determined by gold standard detection are extracted and subjected to preliminary detection in the system, and the results are shown in Table 3.
TABLE 3 determination of sample test results for different concentration values by gold standard test
Sample numberingConcentration (pg/ml)Ratio (665/620)Calculation resultsRelative deviation of
115.4536.723216.823919%
255.67565.003557.093973%
3126.8609.9557121.1042-4%
4245.4694.2445241.1282-2%
5846.531156.398899.21696%
And (4) experimental conclusion: therefore, the system can realize the on-line addition of the reaction reagent through accurate calculation and control, and complete the accurate quantitative detection of the BNP.
Example 2: the system is utilized to realize the detection of influenza A virus based on the loop-mediated isothermal nucleic acid amplification technology
Preparation before operation: thereagent 1 is contained in the influenza A virus detection kit. Wherein thereagent 1 contains a specific amplification primer pair designed aiming at the influenza A virus, dNTPs, BstDNA polymerase, reaction buffer solution with certain ion concentration and the like. The self-test procedure of the system was the same as in example 1.
The specific detection process is as follows:
1) the purified nucleic acid sample with the sample or patient information and the bar code of the item to be detected attached is placed on a continuous sample introduction frame, and a start button is clicked.
2) After reading the bar code information, the sampling needle absorbs the sample and pushes the sample into the disperse phase sample inlet of the chip module, and the rest process is the same as theembodiment 1, wherein the generation frequency of the sample is 80-120/s, the micro-droplets are continuously generated by 5-10 micro-droplets, and the volume of each micro-droplet can be estimated through the formula (7), for example, 1000 +/-50 pL.
3) The sample micro-droplets pass through the droplet sensor, and the sequentially-passed micro-droplets are judged and marked as "sample a item stream amicro-droplet 1" and "sample a item stream amicro-droplet 2" … … "and" sample a item stream a micro-droplet 10 ", respectively, and the rest of the process is the same as that of example 1.
4) The control center judges the reagent needed by the item first flow detection and the response time t of the liquid drop sensor112ms, response time t of valve opening218ms, the distance s between the droplet sensor and the reagent generating port in the chip is 10000 μm, and the droplet volume V of the sample A item A stream droplet 1Liquid dropletAt 1000pl, when a droplet labeled "sample a item stream a droplet 1" is detected by the droplet sensor, the velocity of movement vLiquid dropletIs 400 μm/s, 25s (t)g-k) Then controlling to open a valve 3a, wherein the premixed solution of the reagent 1 is driven by the negative pressure of a chip module and the positive pressure of a reagent cabin to generate premixed solution micro-droplets, the radius R of the premixed solution micro-droplets in the chip is 100 mu m, and the viscosity N of the premixed solution is 5.1 N.s/m2The premix formation port has a width W of 80 μm and a downstream passage widthThe degree w is 200 μm which is the same as the length L of a liquid column in a microchannel for generating the premixed liquid droplets, the depth h of the channel is 300 μm, and the interfacial tension F of the oil phase and the reagentσ34mN/m, calibration parameter a 10-5The calibration parameter b is 10-5m-1. The positive pressure driving pressure (P) of the premix was calculated by the system to be 640.2 mbar. After the data are obtained and calculated, the premix liquid droplets can be accurately controlled and added into the system chip micro-droplet fusion area on line, before entering the micro-droplet fusion area, the premix liquid droplets are identified by a droplet sensor, the number of the micro-droplets slightly larger than or consistent with that of the sample micro-droplets is controlled and added, and 10 micro-droplets are controlled and generated. And then, the sample micro-droplets 1-10 are respectively fused with the premix micro-droplets 1-10 to generate the mixed micro-droplets 1-10.
5) When detecting that the mixed micro-droplet No. 1 reaches the incubation area, the temperature of the temperature control bin of the chip module is 60-65 ℃, the mixed micro-droplet starts the incubation process, and the specific amplification process is completed in the process. And simultaneously, cleaning a dispersed phase sample inlet, wherein the specific process is the same as that of the example 1.
6) After 10 minutes, the micro liquid drops flow to a detection area through the incubation area, when detecting that thenumber 1 of the mixed micro liquid drops reaches a signal reading area, a switch of a signal detection module controller is automatically turned on, turbidity change signals of the micro liquid drops are read, and the turbidity change signals are synchronously transmitted to a master controller to be subjected to numerical processing to give visual information;valve 1 was simultaneously cleaned, the procedure being the same as in example 1.
7) And (3) after the detection is finished, all the micro-droplets flow into a waste liquid pool at the tail end of the chip channel, and thestep 2 is synchronously repeated.
Example 3: the system is used for detecting the total protein concentration of urine based on the BCA method
Preparation before operation: the kit for detecting the total protein concentration of urine by the BCA method comprises areagent 1 and areagent 2. Wherein, thereagent 1 is a mixed solution of 1% BCA disodium salt, 2% anhydrous sodium carbonate, 0.16% sodium tartrate, 0.4% sodium hydroxide and 0.95% sodium bicarbonate with the pH value of 11.25, and thereagent 2 is a 4% copper sulfate solution. All reagents were placed at the corresponding reagent sites. The self-test procedure of the system was the same as in example 1.
The specific detection process is as follows:
1) and (5) placing the urine pasted with the bar code containing the sample or patient information and the item to be detected on a continuous sample introduction frame, and clicking a start button.
2) After reading the bar code information, the sampling needle sucks the sample and pushes the sample into the disperse phase sample inlet of the chip module, and the rest process is the same as theembodiment 1, wherein the sample generation frequency is 200/s, the micro-droplets are continuously generated by 30-32 micro-droplets, and the volume of each micro-droplet can be estimated through the formula (7), for example, 500 +/-25 pL.
3) The sample micro-droplets were judged and labeled by the droplet sensor for sequentially passing micro-droplets, which were "sample aitem BCA micro-droplet 1", "sample aitem BCA micro-droplet 2" … … ", respectively, and the rest of the procedure was the same as in example 1.
4) Control center judges the response time t of the liquid drop sensor and the reagent required by the BCA detection of the item112ms, response time t of valve opening218ms, the distance s between the droplet sensor and the reagent generating port in the chip is 6000 μm, and the droplet volume V of the "A-item stream droplet 1" isLiquid dropletAt 500pl, when a droplet labeled "sample a item stream a droplet 1" is detected by the droplet sensor, the velocity of movement vLiquid dropletIs 300 μm/s, 20.0s (t)g-k) Then controlling to open valves 1a and 2a, wherein the reagents 1 and 2 are driven by the negative pressure of the chip module and the positive pressure of the reagent chamber to generate reagent 1 micro-droplets and reagent 2 micro-droplets, the radius R of the reagent 1 micro-droplets and the reagent 2 micro-droplets in the chip is 75 μm, and the viscosity N of the reagent 1 and the reagent 2 is 1.8 N.s/m2The width W of the reagent generating port is 40 μm, the width W of the downstream channel is 150 μm which is the same as the length L of the liquid column in the micro-channel for generating the reagent droplets, the depth h of the channel is 200 μm, and the interfacial tension F between the oil phase and the reagentσ30mN/m, a calibration parameter a of 10-6The calibration parameter b is 10-6m-1. The positive driving pressure P ofreagents 1 and 2 was calculated by the system to be 305.4 mbar. After the data are obtained and calculated, thereagent 1 micro-droplet and thereagent 2 micro-droplet can be accurately controlled and added into the system on lineThe chip micro-droplet fusion area is identified by the droplet sensor before entering the micro-droplet fusion area, and the quantity of micro-droplets slightly more than or consistent with the sample micro-droplets is controlled to be added, wherein 30-32 micro-droplets are controlled to be generated. Thereafter, the sample micro-droplets 1-32 are fused with thereagent 1 micro-droplets and thereagent 2 micro-droplets respectively to generate mixed micro-droplets 1-32. The volume of the redundant sample micro-droplets is not changed due to the fusion of the reagent-free micro-droplets, and the redundant sample micro-droplets continuously flow to a waste liquid pool at the tail end of the chip.
5) When detecting that thenumber 1 of the mixed micro-droplets reaches the incubation area, the mixed micro-droplets start the incubation process and simultaneously start to clean the dispersed phase sample inlet, and the specific process is the same as that of theembodiment 1.
6) When detecting that the mixed micro-droplet No. 1 reaches the signal reading area, automatically starting a switch of a signal detection module controller, reading a light absorption intensity signal of the micro-droplet, synchronously transmitting the light absorption intensity signal to a master controller, and performing numerical processing according to a pre-determined standard curve to obtain a detection result; whilevalve 1 was being cleaned, the procedure was the same as in example 1, andstep 2 was repeated starting simultaneously.
7) And after detection, all the micro-droplets flow into a waste liquid pool at the tail end of the chip channel.
The experimental results are as follows:
the total urine protein concentration is detected based on the system, a standard curve of the gradient concentration standard is firstly measured, specific values of the standard curve are listed in table 4, and fig. 7 is the standard curve.
TABLE 4 Standard Curve values for urine Total protein concentration based on BCA assay
Figure BDA0001611634620000271
Samples of 5 different concentration values were taken and tested, the results of which are shown in Table 5.
TABLE 5 sample test results
Sample numberingOD562Back calculation result (ug/ml)
11.85671262.357
20.8233524.2143
30.3064155
40.2356104.4286
50.152745.21429
And (4) experimental conclusion: therefore, the system can realize accurate online addition of the reaction reagent through accurate calculation and control, and realize accurate quantitative detection for detecting the total protein concentration of urine based on the BCA method.
Compared with the lateral flow chromatography platform method, the BNP detection in theembodiment 1 is taken as an example, and the microfluidic platform method disclosed by the invention has the main advantages of small required sample amount and reagent amount, large detection flux, wide detection linear range, small detection CV value and the like.
The required amount of the plasma sample in the lateral flow chromatography platform method is 50-250 mul, but only 10 mul is needed in the invention; the amount ofantibody 1 required for each test in the lateral flow chromatography platform method was 0.3 μ g and the amount ofantibody 2 was 0.625 μ g, whereas the amount ofantibody 1 required for each test in the present invention was 0.0023 μ g and the amount ofantibody 2 was 0.04 μ g; in the lateral flow chromatography platform method, each test with smaller flux needs 15-30min, but only the first test needs 15-15 min, and then one sample can be detected every 2min, so that the flux is greatly improved; the linear detection range of the BNP in the lateral flow chromatography platform method is 25pg/ml-5000pg/ml, while the linear detection range of the BNP in the invention is 50pg/ml-25600 pg/ml; the measured CV value of BNP in the lateral flow chromatographic platform method is less than 15%, whereas the measured CV value of BNP in the present invention can ensure less than 10%.
All documents referred to herein are incorporated by reference into this application as if each were individually incorporated by reference. Furthermore, it should be understood that various changes and modifications of the present invention can be made by those skilled in the art after reading the above teachings of the present invention, and these equivalents also fall within the scope of the present invention as defined by the appended claims.

Claims (13)

1. An on-line reagent addition assay system, comprising:
(1) a microfluidic chip, said microfluidic chip comprising:
(1.1) microfluidic flow-through channel: the microfluidic flow channel is used for flowing a continuous phase and micro-droplets carried in the continuous phase, and comprises: a continuous phase adding section, a sample micro-droplet generating section, a reagent micro-droplet generating section, a micro-droplet fusing section and a signal detecting section; and
(1.2) a micro-droplet generation submodule: comprises a micro-droplet generating port; the micro-droplet generation submodule is used for enabling a dispersed phase to form micro-droplets, the micro-droplets comprise a sample micro-droplet and a reagent micro-droplet, and the dispersed phase comprises: a sample liquid or a reagent liquid;
wherein, the reagent micro-droplet generating port is positioned at the reagent micro-droplet generating section;
(2) an in-line addition subsystem for generating fused microdroplets containing a sample and a reagent, the in-line addition subsystem comprising:
(2.1) a driving force module: the driving force module is used for providing driving force required by the dispersed phase and the continuous phase, so that the micro-droplets of the continuous phase and each dispersed phase obtain required flow velocity and form reagent micro-droplets; the driving force module provides forward driving force and reverse driving force; wherein, the reverse driving force is used for enabling the continuous phase and the sample micro-droplets in the micro-fluidic chip to move forwards uniformly, and/or the forward driving force is used for generating reagent micro-droplets fused with the sample micro-droplets;
(2.2) a fluid sample injection module: the fluid sample injection module is connected with the continuous phase and each dispersed phase, the continuous phase and each dispersed phase enter the microfluidic chip through the module, and the fluid sample injection module comprises a control valve which is used for controlling the continuous phase and the dispersed phase to enter the microfluidic circulation channel;
(2.3) a microdroplet marking processing module: the micro-droplet marking processing module comprises a droplet sensor; the liquid drop sensor is used for reading the number of micro liquid drops, sequentially numbering the micro liquid drops and reading the flow velocity of the micro liquid drops, and is also used for reading the volume of the micro liquid drops;
a first droplet sensor is arranged at a microfluid flow channel from the sample micro-droplet generation port to the reagent micro-droplet generation port, and is used for reading the number of the sample micro-droplets, numbering the sample micro-droplets in sequence and reading the flow velocity of each sample micro-droplet; the outlet end of the micro-droplet fusion section is provided with a second droplet sensor which is used for reading the volume of the sample micro-droplet passing through the micro-droplet fusion section, wherein the volume read by the droplet sensor is used for determining whether the micro-droplet is fused successfully; and
(2.4) a data processing and control signal generating module: the data processing and control signal generating module generates a signal for controlling the driving force module and a signal for controlling the fluid sampling module according to preset parameters of the detection system, characteristic parameters of the continuous phase and each dispersed phase fluid, the flow rate and the number of the micro-droplets and the flow rate of the continuous phase; and
(3) a detection subsystem: the detection subsystem is used for reading the signals of the fusion micro-droplets which generate the readable signals and recording feedback signal data; and
(7) an extraction subsystem, the respective microfluidic flow channels further comprising an extraction section;
the extraction subsystem is used for controlling the micro-droplet generation submodule; and after the sample micro-droplet moves to a preset position, controlling the micro-droplet generation sub-module to work to generate a micro-droplet of the cleaning reagent and a micro-droplet of the shearing reagent, and forming a micro-droplet queue of 'the sample micro-droplet-the cleaning reagent micro-droplet-the shearing reagent micro-droplet' in the liquid flow direction in the extraction section, wherein the sample micro-droplet is positioned at the forefront of the flow.
2. The system of claim 1, wherein in the (2.1) driving force module, the required flow rate of the individual dispersed phase microdroplets is a relative flow rate with respect to the continuous phase.
3. The system of claim 1, wherein said (2.4) data processing and control signal generation module generates signals based on parameters,
the method comprises the following steps: as system predetermined parameters, the distance s from the first droplet sensor to the reagent micro-droplet generation port, the channel width W of the reagent micro-droplet generation port, the channel depth h of the reagent micro-droplet generation section in the (1.1) microfluidic flow-through channel, the width W of the downstream channel of the reagent micro-droplet generation port, the response time of each valve, and the response time of the sensor;
as characteristic parameters, the viscosity and kinematic viscosity of the reagents, and the surface tension between the liquids; and
flow velocity v of sample micro-droplets read by (2.3) micro-droplet marking process moduleDroplet k(ii) a Wherein k is the sample microThe number of droplets;
and
the signals generated by the (2.4) data processing and control signal generating module comprise: signal t for controlling the opening time of the dispersed phase valve of the fluid sample injection moduleg-kAnd a signal for controlling the driving force module to generate the driving force P required by the micro-droplets.
4. The system of claim 1, wherein the fluid injection module is based on equation 10
Figure FDA0003343733570000021
Determining the opening time t of a control valve for the on-line addition of a reaction reagentg-kThen, the generation of reagent micro-droplets is started;
in the formula, t1Is the sensor response time, t2Response time for valve opening, vDroplet kIs the flow velocity of a sample micro-droplet k, where k is the number of the sample micro-droplet and s is the distance traveled by the sample micro-droplet from the first droplet sensor to the reagent micro-droplet generation orifice.
5. The system of claim 1, wherein the driving force module provides a driving force P required for the in-line addition of the reactive agent based on equation 15:
Figure FDA0003343733570000031
wherein s is a distance that the sample micro-droplet passes from the first droplet sensor to the reagent micro-droplet generation port, h is a channel depth of the reagent micro-droplet generation section, W is a channel width of the reagent micro-droplet generation port, L is a liquid length that appears in a liquid column form at an initial stage of droplet generation at the reagent micro-droplet generation port, R is a micro-droplet radius, vDroplet kFor sample microdroplet k flow rate, w for reagent microdroplet generationWidth of downstream channel of port, t1Is the sensor response time, t2Response time for valve opening, FσA and b are each independently a calibration parameter, and n is the viscosity of the reagent fluid.
6. The system of claim 1, wherein said microfluidic chip further comprises (1.3) a sample microdroplet incubation submodule, said microfluidic flow channel further comprising an incubation section; the sample micro-droplet incubation submodule is used for providing conditions for full reaction and/or mixing of the sample micro-droplets after the reaction reagent is added, and the incubation section is used for providing a space for full reaction and mixing of the fused micro-droplets.
7. The system of claim 1, further comprising:
(4) an autoinjection subsystem, the autoinjection subsystem include: the sampling device comprises a sampling needle, an injection pump, a continuous sample introduction frame, a bar code reading module and a sample introduction module; the bar code reading module is positioned in the continuous sample feeding frame; the sampling needle sucks a sample through the syringe pump and adds the sample into the sample adding module through the syringe pump; the sample adding module is provided with a sample adding port and is in fluid communication with the fluid sample adding module.
8. The system of claim 1, further comprising (5) a reagent storage subsystem comprising a continuous phase storage location, a cleaning solution storage location, and a reagent cartridge; the reagent bin comprises a pre-mixer and one or more reagent positions;
wherein, the pre-mixer is used for avoiding the reagent from precipitating or aggregating; the reagent position can store each reagent, and the reagent enters the microfluidic chip through the fluid sample injection module.
9. The system of claim 1, wherein in the (2.1) driving force module, the micro-droplets of each dispersed phase are sample micro-droplets and/or reagent micro-droplets.
10. The system of claim 1, wherein a detectable label bearing detection product is captured from a sample microdroplet by the extraction subsystem and the captured detectable label bearing detection product is washed with the wash reagent microdroplet; and shearing the washed detection product carrying the detectable label with the shearing reagent micro-droplets, thereby generating micro-droplets for detection.
11. The system of claim 1, wherein said microfluidic flow channel further comprises an extraction section, said extraction section being located in a controllable magnetic field region, said magnetic field region being controlled by said extraction subsystem.
12. A detection method for online addition of micro-droplets is characterized by comprising the following steps:
(1) providing an online reagent addition test system according to claim 1;
(2) the sample liquid to be detected enters the microfluidic chip through the fluid sample introduction module;
(3) the sample liquid to be detected forms sample micro liquid drops in the micro liquid drop generation submodule of the micro-fluidic chip, the sample micro liquid drops are detected or read through a liquid drop sensor of a sample micro liquid drop marking processing module and are optionally marked and numbered, and the generation of the sample micro liquid drops is stopped when the number of the generated sample micro liquid drops reaches a preset number;
(4) when each sample micro-droplet in the sample micro-droplets reaches a preset position in the microfluidic chip, the driving force module generates a reagent micro-droplet according to the control signal generated by the data processing and control signal generating module and drives the reagent micro-droplet to move at a preset speed, and the reagent micro-droplet and the sample micro-droplet are in contact fusion in the flowing process to form a fusion micro-droplet;
(5) and in the flowing process of the fused micro-droplets, carrying out post-treatment on the fused micro-droplets and detecting to obtain the detection result of the sample liquid.
13. The method of claim 12, wherein step (2) further comprises
(2.1) placing a sample to be detected or sample liquid on a continuous sample introduction frame, starting a system, and enabling a continuous phase to enter the microfluidic chip through the fluid sample introduction module and fill the microfluidic flow channel;
(2.2) under the control of system, the sample on the continuous sample introduction frame loops through the bar code reading area, the identification sample bar code, and the sample to be tested is absorbed by the sampling needle, and the sample to be tested is pushed into the sample addition port of the sample addition module through the injection pump, and then enters the microfluidic chip through the fluid sample introduction module.
CN201810282214.0A2018-03-282018-03-28Detection system and detection method for online addition of reaction reagentActiveCN108593952B (en)

Priority Applications (1)

Application NumberPriority DateFiling DateTitle
CN201810282214.0ACN108593952B (en)2018-03-282018-03-28Detection system and detection method for online addition of reaction reagent

Applications Claiming Priority (1)

Application NumberPriority DateFiling DateTitle
CN201810282214.0ACN108593952B (en)2018-03-282018-03-28Detection system and detection method for online addition of reaction reagent

Publications (2)

Publication NumberPublication Date
CN108593952A CN108593952A (en)2018-09-28
CN108593952Btrue CN108593952B (en)2022-02-01

Family

ID=63624075

Family Applications (1)

Application NumberTitlePriority DateFiling Date
CN201810282214.0AActiveCN108593952B (en)2018-03-282018-03-28Detection system and detection method for online addition of reaction reagent

Country Status (1)

CountryLink
CN (1)CN108593952B (en)

Families Citing this family (7)

* Cited by examiner, † Cited by third party
Publication numberPriority datePublication dateAssigneeTitle
CN112912736B (en)*2018-10-252024-05-07株式会社日立高新技术Automatic analysis device
CN109647553B (en)*2018-12-292020-11-20北京化工大学 Microfluidic device for joint detection of multi-index diseases
CN110095623B (en)*2019-04-182023-03-28迈克医疗电子有限公司Speed control method, device, equipment and medium
CN111983245B (en)*2019-05-242025-01-07南京金斯瑞生物科技有限公司 Bioreactor and method for biological detection based on the same
EP4084904A4 (en)*2019-12-302024-05-29Illumina, Inc. T CIRCULATION TANK ASSEMBLIES AND ASSOCIATED REAGENT SELECTION VALVES
CN113210024B (en)*2021-06-032022-04-08北京中科生仪科技有限公司Continuous liquid inlet device based on PCR
CN119246418B (en)*2024-09-302025-06-17逐因生物科技(重庆)有限公司 Droplet quality control method, equipment, storage medium and program product based on laser detection

Citations (8)

* Cited by examiner, † Cited by third party
Publication numberPriority datePublication dateAssigneeTitle
CN101718795A (en)*2008-09-222010-06-02中国科学院大连化学物理研究所Microfluidic chip liquid drop control method based on pneumatic micro valve
WO2010128157A1 (en)*2009-05-072010-11-11Universite De StrasbourgMicrofluidic system and methods for highly selective droplet fusion
CN102553665A (en)*2011-11-042012-07-11浙江大学Microfluidic concentration gradient droplet generating chip, generating device and application
CN104807991A (en)*2015-05-052015-07-29杭州绿洁水务科技有限公司Glyphosate detection micro-fluidic chip, and glyphosate antigen fixation method and detection method
CN106324236A (en)*2015-06-282017-01-11上海市第人民医院Biological macromolecule detection method based on nano homogeneous time-resolved fluoroimmunoassay and droplet-based micro-fluidic technology
CN106520524A (en)*2016-12-302017-03-22中国科学技术大学Integral rigid runner droplet digital PCR system and method
CN107037229A (en)*2015-11-302017-08-11霍夫曼-拉罗奇有限公司The method of Laboratory Instruments and operation laboratory instrument
CN107561302A (en)*2017-10-232018-01-09苏州卡睿知光电科技有限公司A kind of detection method of full-automatic biochemical detecting system and residues of pesticides

Family Cites Families (1)

* Cited by examiner, † Cited by third party
Publication numberPriority datePublication dateAssigneeTitle
US7010391B2 (en)*2001-03-282006-03-07Handylab, Inc.Methods and systems for control of microfluidic devices

Patent Citations (8)

* Cited by examiner, † Cited by third party
Publication numberPriority datePublication dateAssigneeTitle
CN101718795A (en)*2008-09-222010-06-02中国科学院大连化学物理研究所Microfluidic chip liquid drop control method based on pneumatic micro valve
WO2010128157A1 (en)*2009-05-072010-11-11Universite De StrasbourgMicrofluidic system and methods for highly selective droplet fusion
CN102553665A (en)*2011-11-042012-07-11浙江大学Microfluidic concentration gradient droplet generating chip, generating device and application
CN104807991A (en)*2015-05-052015-07-29杭州绿洁水务科技有限公司Glyphosate detection micro-fluidic chip, and glyphosate antigen fixation method and detection method
CN106324236A (en)*2015-06-282017-01-11上海市第人民医院Biological macromolecule detection method based on nano homogeneous time-resolved fluoroimmunoassay and droplet-based micro-fluidic technology
CN107037229A (en)*2015-11-302017-08-11霍夫曼-拉罗奇有限公司The method of Laboratory Instruments and operation laboratory instrument
CN106520524A (en)*2016-12-302017-03-22中国科学技术大学Integral rigid runner droplet digital PCR system and method
CN107561302A (en)*2017-10-232018-01-09苏州卡睿知光电科技有限公司A kind of detection method of full-automatic biochemical detecting system and residues of pesticides

Non-Patent Citations (1)

* Cited by examiner, † Cited by third party
Title
Creation of Stepwise Concentration Gradient in Picoliter Droplets for Parallel Reactions of Matrix Metalloproteinase II and IX;Sachin Jambovane等;《Analytical Chemistry》;20110401;第83卷(第9期);第3358-3364页*

Also Published As

Publication numberPublication date
CN108593952A (en)2018-09-28

Similar Documents

PublicationPublication DateTitle
CN108593952B (en)Detection system and detection method for online addition of reaction reagent
CN108535239B (en)Micro-fluidic chip and detection system based on micro-droplets
KR101653701B1 (en)Microfluidic distributing device
EP1700098B1 (en)Method for determining diffusivity and molecular weight in a microfluidic device
JP6319590B2 (en) LAL reactive substance testing method and apparatus using microfluidic device
AU2011211319B2 (en)Centrifugal micro-fluidic device and method for detecting analytes from liquid specimen
US7276720B2 (en)Apparatus and methods for analyzing samples
US20060246575A1 (en)Microfluidic rare cell detection device
US9766230B1 (en)System and method for detecting components of a mixture including a valving scheme for competition assays
CN104849111B (en)The forming method of gradient microlayer model array based on sequential injection and microflow control technique
EP2952906A1 (en)System for the analysis of liquid samples
JP2002236131A (en)Microchip
US9931630B2 (en)Autonomous and programmable sequential flow of solutions in capillary microfluidics
CN108414522B (en)The all-in-one machine detected for micro-fluidic chip and NC film multi-pass amount
EP1437597B1 (en)Protein measurement method in protein production plant by cell culture and apparatus thereof
EP4354144A1 (en)Microfluidic chip for testing protein antigen, and method, kit and system
JP2002540425A (en) Microscale total analysis system
WO2007058077A1 (en)Gene test method, microreactor for gene test and gene test system
JP2007135504A (en) Nucleic acid testing microreactor holding beads at the amplification site
Rocks et al.Automatic analysers in clinical biochemistry
US20240280567A1 (en)Process and apparatus configured to conduct microfluidic loading and unloading of fluids into microchannels for performing assays
CN112304911A (en)Biosensor system and biological sample detection method
KR20250085253A (en)automatic concentration testing device for microorganisms
TW202345974A (en)System and method of biochemical molecule synthesis and detection in a point of collection setting
WO2023141703A1 (en)Rapid detection of at least one toxin using a microfluidic device

Legal Events

DateCodeTitleDescription
PB01Publication
PB01Publication
SE01Entry into force of request for substantive examination
SE01Entry into force of request for substantive examination
GR01Patent grant
GR01Patent grant

[8]ページ先頭

©2009-2025 Movatter.jp