Movatterモバイル変換


[0]ホーム

URL:


CN108550124B - Illumination compensation and image enhancement method based on bionic spiral - Google Patents

Illumination compensation and image enhancement method based on bionic spiral
Download PDF

Info

Publication number
CN108550124B
CN108550124BCN201810342902.1ACN201810342902ACN108550124BCN 108550124 BCN108550124 BCN 108550124BCN 201810342902 ACN201810342902 ACN 201810342902ACN 108550124 BCN108550124 BCN 108550124B
Authority
CN
China
Prior art keywords
image
brightness
layer
path
spiral
Prior art date
Legal status (The legal status is an assumption and is not a legal conclusion. Google has not performed a legal analysis and makes no representation as to the accuracy of the status listed.)
Active
Application number
CN201810342902.1A
Other languages
Chinese (zh)
Other versions
CN108550124A (en
Inventor
魏博
胡磊
邓聪颖
李艳生
周详宇
Current Assignee (The listed assignees may be inaccurate. Google has not performed a legal analysis and makes no representation or warranty as to the accuracy of the list.)
Chongqing University of Post and Telecommunications
Original Assignee
Chongqing University of Post and Telecommunications
Priority date (The priority date is an assumption and is not a legal conclusion. Google has not performed a legal analysis and makes no representation as to the accuracy of the date listed.)
Filing date
Publication date
Application filed by Chongqing University of Post and TelecommunicationsfiledCriticalChongqing University of Post and Telecommunications
Priority to CN201810342902.1ApriorityCriticalpatent/CN108550124B/en
Publication of CN108550124ApublicationCriticalpatent/CN108550124A/en
Application grantedgrantedCritical
Publication of CN108550124BpublicationCriticalpatent/CN108550124B/en
Activelegal-statusCriticalCurrent
Anticipated expirationlegal-statusCritical

Links

Images

Classifications

Landscapes

Abstract

Translated fromChinese

本发明提供了一种基于仿生螺线的光照补偿及图像增强方法,该图像增强方法包括以下步骤:步骤S1,获取待处理的原始图像;步骤S2,分离出图像的亮度层和色彩层,其中色彩层是物体本来属性保留;亮度层包含光照信息进行单独处理;步骤S3,对亮度层进行仿生螺线的照度分析,并根据自适应平滑算法,得到新的亮度层;步骤S4,将新的亮度层与原来的色彩层合并,得到增强后的图像。本发明的方法使得图像明亮部分的亮度减少、阴影部分的亮度增加、整个图像的亮度比较均匀,亮度过高和过低部分的细节都得以显现,与此同时提高了运算效率。

Figure 201810342902

The present invention provides a method for illumination compensation and image enhancement based on a bionic spiral. The image enhancement method includes the following steps: step S1, acquiring the original image to be processed; step S2, separating the brightness layer and the color layer of the image, wherein The color layer retains the original attributes of the object; the brightness layer contains illumination information for separate processing; step S3, the brightness layer is subjected to a bionic spiral illuminance analysis, and a new brightness layer is obtained according to an adaptive smoothing algorithm; step S4, the new brightness layer is The luminance layer is merged with the original color layer, resulting in an enhanced image. The method of the invention reduces the brightness of the bright part of the image, increases the brightness of the shadow part, the brightness of the whole image is relatively uniform, the details of the high and low brightness parts are displayed, and the operation efficiency is improved at the same time.

Figure 201810342902

Description

Illumination compensation and image enhancement method based on bionic spiral
Technical Field
The invention relates to an image enhancement method, in particular to an image enhancement method capable of processing a spatial high-dynamic-range uneven illumination image, and belongs to the technical field of image processing.
Background
For robot astronauts, the variable illumination environment has great challenge to intelligent identification. The dynamic range of the space illumination intensity is high, and because the atmospheric layer does not attenuate and scatter the illumination, the illumination intensity entering the visual system is very high, and the area without direct illumination is a dark background, and the brightness contrast of the two areas is strong. The space in the space station cabin is narrow, the surface of the device is mostly made of metal materials, and strong reflection of light exists; moreover, due to the shadow of the direct illumination in the vicinity of the porthole, a part of highlight areas and shadows are generated, which causes very strong nonlinearity of the illumination environment in the cabin.
Image enhancement techniques have been a very important basic processing foundation in the field of robot vision. The image enhancement technology is to enhance the information useful for observers in the image, so that the contrast of the image is higher and the visual effect is better.
The McCann Retinex algorithm is proposed by McCann and Frankle based on Retinec theory, and is suitable for the situation of calculating objects in human vision in a natural environment with large dynamic range of radiation intensity. When an image with shadow occlusion and an image with uneven illumination are enhanced, the McCann Retinex algorithm has a better enhancement effect, but still has some defects.
A. Halo phenomenon (halo) generation: this phenomenon is caused because conventional Retinex assumes that the illumination is changing smoothly in the scene, and therefore tends to produce a halo phenomenon in contrast when processing high dynamic range images. In a spatial environment, the image is mostly in a nonlinear high dynamic state, and therefore, the retinex method of the conventional MSR is not suitable.
B. The treatment effect and the treatment time cannot be balanced: in order to obtain a good dynamic compression and smooth image, a larger area of the image is often traversed, and the iteration is carried out for more times; but this also slows down the processing speed significantly, affecting algorithm execution efficiency. And if the iteration times are too few, the illumination characteristic of the whole image cannot be represented, and the enhancement effect is not obvious.
C. Part of the color is distorted, producing a false color effect: this is due to the fact that the conventional Retinex method is processed through RGB channels, Retinex being non-linearly processed on 3 different base bands of RGB, resulting in a direct result of color distortion.
D. The detail information of the overexposed area is not abundant: in an overexposed highlight image, the traditional Retinex mainly senses the structural information of the image through different brightness levels of all pixel points in the neighborhood; for a color image, when the brightness levels at both sides of an overexposed image are the same, the edge cannot be distinguished only by the brightness information.
Disclosure of Invention
The invention aims to provide an illumination compensation and image enhancement method, which can reduce the brightness of a bright part of an image, increase the brightness of a shadow part of the image, ensure that the brightness of the whole image is relatively uniform, and show the details of an overhigh part and an overlow part of the image. Meanwhile, the operation efficiency is improved.
The technical scheme of the invention is as follows.
In one aspect, the invention provides an image enhancement method based on a bionic spiral, which comprises the following steps:
step S1, acquiring an original image to be processed;
step S2, separating a brightness layer and a color layer of the image, wherein the color layer is the original attribute retention of the object; the brightness layer contains illumination information to be processed independently;
step S3, performing bionic spiral illumination analysis on the brightness layer, and obtaining a new brightness layer according to a self-adaptive smoothing algorithm;
step S4, combine the new luminance layer with the original color layer to obtain the enhanced image.
Preferably, the step S2 uses image separation based on the HSI model to combine the separated saturation and hue components into a color layer and the intensity component as a luminance layer.
Preferably, in the image separation using the HSI-based model,
Figure BDA0001631150390000021
wherein
Figure BDA0001631150390000022
Figure BDA0001631150390000031
Figure BDA0001631150390000032
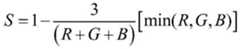
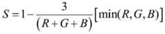
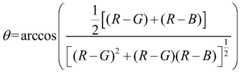
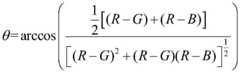
In the above formula, H, S, I is the component of the HSI color model, and R, G, B is the component of the image in the RGB model.
Preferably, the step S4 further includes converting the HSI model into the RGB model after recombining the new luminance layer and the separated color layer of the original image, so as to obtain the enhanced image.
Preferably, the obtaining of the new luminance layer according to the adaptive smoothing algorithm in the step S2 includes the following steps:
selecting a part of pixel points on the brightness layer separated in the step S2 according to a bionic spiral path to be used as an image for estimating the illumination intensity;
the brightness value of a single point in the final enhanced image depends on the result after comparison with the surrounding pixel points on the specific path, and iteration is carried out for multiple times.
Preferably, the path for selecting a part of the pixel points adopts an archimedean spiral, and the equation of the path points is as follows:
Figure BDA0001631150390000033
Figure BDA0001631150390000034
t∈[0,kπ]
in the formula, fix is an integer function, (x, y) are coordinates of pixel points of the image path, w and h are width and height of the image pixels, n represents density degree of the spiral, and k is the number of turns of the spiral.
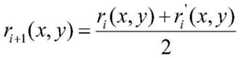
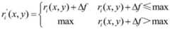
Preferably, after the comparison of the single point brightness value with the point on the path is completed, the resulting difference is denoted as ri(x,y);
After one iteration is completed, the following results can be obtained:
Figure BDA0001631150390000035
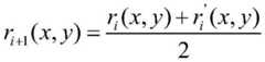
in the formula, ri(x, y) is the result of the last iteration, ri' (x, y) is ri(x, y) and the sum of the luminance differences;
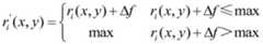
Figure BDA0001631150390000041
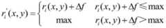
wherein Δ f is the brightness difference of a single point on the path, and max is the maximum value of the brightness values of the pixels in the original image; after i iterations, ri+1And (x, y) is the brightness value of the enhanced image.
On the other hand, the invention also provides an illumination compensation method based on the bionic spiral, which comprises the following steps:
step S10, acquiring the brightness value of each pixel point of the original image;
step S20, selecting a part of pixel points according to the path of the Archimedes spiral as an image of estimated illumination;
and step S30, comparing the brightness values of the pixel points selected on the path with the central pixel point, and iterating for multiple times to obtain the brightness value of the final image.
Preferably, the archimedean spiral equation is as follows:
Figure BDA0001631150390000042
Figure BDA0001631150390000043
t∈[0,kπ]
in the formula, fix is an integer function, (x, y) are coordinates of pixel points of the image path, w and h are width and height of the image pixels, n represents density degree of the spiral, and k is the number of turns of the spiral.
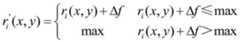
Preferably, after the comparison of the single point brightness value with the point on the path is completed, the resulting difference is denoted as ri(x,y);
After one iteration is completed, the following results can be obtained:
Figure BDA0001631150390000044
in the formula, ri(x, y) is the result of the last iteration, ri' (x, y) is ri(x, y) and the sum of the luminance differences;
Figure BDA0001631150390000045
wherein Δ f is the brightness difference of a single point on the path, and max is the maximum value of the brightness values of the pixels in the original image; after i iterations, ri+1And (x, y) is the brightness value of the enhanced image.
Through the technical scheme, the pixel extraction path based on the Archimedes spiral can acquire the illumination change of the image as much as possible on the premise of acquiring fewer pixel points.
Drawings
Fig. 1 is a schematic diagram of the illumination compensation step of the image enhancement method of the present invention.
Fig. 2 is an archimedean spiral path diagram for use with the image enhancement method of the invention.
Fig. 3 is the image enhancement result using the conventional Retines algorithm and the image enhancement method of the present invention, respectively.
Fig. 4(a) -4 (b) are low-illuminance image enhancement results using the image enhancement method of the present invention.
Fig. 5(a) is the image gradation histogram of fig. 4 (a).
Fig. 5(b) is the image gradation histogram of fig. 4 (b).
Detailed Description
As shown in fig. 1, the present invention provides an image enhancement method based on retinex theory, which includes the following steps:
step S1, acquiring an original image to be processed;
step S2, separating a brightness layer and a color layer of the image, wherein the color layer is the original attribute retention of the object; the brightness layer contains illumination information to be processed independently;
step S3, performing bionic spiral illumination analysis on the brightness layer, and obtaining a new brightness layer according to a self-adaptive smoothing algorithm;
step S4, combine the new luminance layer with the original color layer to obtain the enhanced image.
Those skilled in the art will understand that the original image to be processed acquired in step S1 is typically a color image, but the present invention is not limited thereto. The original image acquired in step S1 may also be a grayscale image with a large dynamic range.
Preferably, the step S2 uses image separation based on the HSI model to combine the separated saturation and hue components into a color layer and the intensity component as a luminance layer.
Preferably, in the image separation using the HSI-based model,
Figure BDA0001631150390000061
wherein:
Figure BDA0001631150390000062
Figure BDA0001631150390000063
Figure BDA0001631150390000064
in the above formula, H, S, I is the component of the HSI color model, and R, G, B is the component of the image in the RGB model.
Preferably, the step S4 further includes converting the HIS model into an RGB model after recombining the new luminance layer and the separated color layer of the original image, so as to obtain the enhanced image.
Preferably, the obtaining of the new luminance layer according to the adaptive smoothing algorithm in the step S2 includes the following steps:
selecting a part of pixel points on the brightness layer separated in the step S2 according to a bionic spiral path to be used as an image for estimating the illumination intensity;
the brightness value of a single point in the final enhanced image depends on the result after comparison with the surrounding pixel points on the specific path, and iteration is carried out for multiple times.
Preferably, the path for selecting a part of the pixel points adopts an archimedean spiral.
In nature, archimedean spirals are widely available due to their excellent properties. Photosynthesis is particularly important in climbing plants such as morning glory, wisteria, iris and the like. Therefore, the optimal path for climbing the plants is to utilize the minimum material and the minimum energy consumption so that the stems and the leaves can be maximally irradiated by sunlight in the largest area, and the climbing paths of the plants are all often spiral. Similarly, the wheel-shaped phyllotaxy of plants such as tobacco forms a spiral surface which can obtain the maximum illumination area from a narrow space in the gap of other plants.
Inspired by the widely existing spiral in nature, when image illumination analysis is carried out, the invention adopts Archimedes spiral on the path selection for extracting the image illumination condition, as shown in FIG. 2, the path point equation is as follows:
Figure BDA0001631150390000071
Figure BDA0001631150390000072
t∈[0,kπ]
in the formula, fix is an integer function, (x, y) are coordinates of pixel points of the image path, w and h are width and height of the image pixels, n represents density degree of the spiral, and k is the number of turns of the spiral.
Preferably, after the comparison of the single point brightness value with the point on the path is completed, the resulting difference is denoted as ri(x,y);
After one iteration is completed, the following results can be obtained:
Figure BDA0001631150390000073
in the formula, ri(x, y) is the result of the last iteration, ri' (x, y) is ri(x, y) and the sum of the luminance differences;
Figure BDA0001631150390000074
wherein Δ f is the brightness difference of a single point on the path, and max is the maximum value of the brightness values of the pixels in the original image; after i iterations, ri+1And (x, y) is the brightness value of the enhanced image.
Fig. 3 shows the image enhancement results under different illumination conditions proposed for the operation panel by using the conventional Retinex algorithm and the image enhancement method of the present invention. As can be seen from fig. 3, the image quality can be improved to a certain extent by using the conventional Retinex algorithm, but the image enhancement method of the present invention has certain advantages compared with the conventional Retinex algorithm, which is specifically represented as follows:
a) under the conditions of uniform illumination and moderate intensity, the results of the traditional Retinex algorithm and the image enhancement method are approximately the same.
b) When the light is in the reverse direction, the whole original image is dark, and details such as keys on a panel are not clearly displayed; the adoption of the traditional Retinex algorithm can improve the detail presentation conditions of a key knob and the like on an operation panel, but the color distortion is more serious; the method of the invention has the advantages of clear details on the back panel, obvious contrast and improved color fidelity.
c) When local strong light reflection exists in the image, the image details of the original image near the reflection position are not obvious; partial details can be recovered by adopting the traditional Retinex algorithm, but the image can generate halo; after the image enhancement method is adopted, the contrast at the details is more obvious, and the halo is reduced.
d) When there is a shadow in the image, the original image cannot display details at the dark area; however, both the conventional Retinex and the image enhancement method of the present invention can highlight the information of the dark area, and the two image enhancement results are similar.
The processing time statistics is performed on 8 pictures by using the conventional Retinex algorithm and the image enhancement method of the present invention, respectively, as shown in Table 1. By comparing the processing time of the two methods, the processing time is shortened by 24.81% by adopting the improved Retinex algorithm compared with the traditional Retinex algorithm.
TABLE 1
Figure BDA0001631150390000081
Therefore, the traditional Retinex algorithm and the image enhancement method have certain effects on removing the illumination influence in the image, the contrast of the image is enhanced, the details are more obvious, and the brightness is more uniform. However, in some cases, color distortion and halo generation may occur by using the conventional Retinex algorithm, and the image enhancement method of the present invention can reduce the color distortion and halo generation. Moreover, the image enhancement method of the invention has shorter processing time compared with the traditional algorithm.
As shown in fig. 4(a) -4 (b), fig. 4(a) is an image acquired when the illumination intensity is too low, and fig. 4(b) is a picture enhanced by the image enhancement method of the present invention. Each picture is divided into two parts, and the upper left corner part is local amplification in a dotted line identification area of the right complete image. The image is integrally seen, after the image enhancement method is used, the color information of an object is enhanced, the contrast and the brightness are obviously improved, and the color is rich and natural; as can be seen from the local enlargement of the upper left corner of the image, the image enhancement method can enable the image to express more information quantity and the detail texture to be clearer.
The gradation histograms of the images before and after the above processing are shown in fig. 5(a) -5 (b). Fig. 5(a) is a gray level histogram of the original image, in which the gray levels of most of the pixels are concentrated within a range of gray levels less than 90, and the image is dark as a whole. And fig. 5(b) is an image processed by the image enhancement method of the present invention, the distribution of the gray values is relatively even, and the contrast between the object and the background in the image is enhanced, which is beneficial to the identification of the specific object.

Claims (4)

1. An image enhancement method based on retinex theory comprises the following steps:
step S1, acquiring an original image to be processed;
step S2, separating a brightness layer and a color layer of the image, wherein the color layer is the original attribute retention of the object; the brightness layer contains illumination information to be processed independently;
step S3, performing bionic spiral illumination analysis on the brightness layer, and obtaining a new brightness layer according to a self-adaptive smoothing algorithm;
step S4, combining the new brightness layer and the original color layer to obtain the enhanced image;
the step S2 combines the separated saturation and hue components into a color layer using image separation based on the HSI model, and takes the intensity component as a luminance layer;
the obtaining of the new luminance layer according to the adaptive smoothing algorithm in the step S3 includes the following steps:
on the brightness layer separated in the step S2, selecting a part of pixel points according to the bionic spiral path as an image for estimating illuminance, thereby improving the operation efficiency;
the brightness value of a single point in the final enhanced image depends on the result after comparison with the surrounding pixel points on the specific path, and iteration is carried out for multiple times, so that the brightness of the bright part of the image is reduced, and the brightness of the shadow part of the image is increased;
the path for selecting a part of pixel points adopts Archimedes spiral, and the path point equation is as follows:
Figure FDA0002756756650000011
Figure FDA0002756756650000012
t∈[0,kπ]
in the formula, fix is an integer function, (x, y) are coordinates of pixel points of an image path, w and h are width and height of the image pixel, n represents density degree of a spiral, and k is the number of turns of spiral rotation;
after the comparison of the single point brightness values with the points on the path is completed, the resulting difference is denoted ri(x,y);
After one iteration is completed, the following results can be obtained:
Figure FDA0002756756650000021
in the formula, ri(x, y) is the result of the last iteration, ri' (x, y) is ri(x, y) and the sum of the luminance differences;
Figure FDA0002756756650000022
wherein Δ f is the brightness difference of a single point on the path, and max is the maximum value of the brightness values of the pixels in the original image; after i iterations, ri+1And (x, y) is the brightness value of the enhanced image.
2. The method of claim 1, wherein in the image separation using HSI-based model,
Figure FDA0002756756650000023
wherein
Figure FDA0002756756650000024
Figure FDA0002756756650000025
Figure FDA0002756756650000026
In the above formula, H, S, I is the component of the HSI color model, and R, G, B is the component of the image in the RGB model.
3. The method of claim 1 or 2, wherein the step S4 further includes converting the HIS model into an RGB model after recombining the new luminance layer and the color layer separated from the original image, so as to obtain the enhanced image.
4. An illumination compensation method based on a bionic spiral comprises the following steps:
step S10, acquiring the brightness value of each pixel point of the original image;
step S20, selecting a part of pixel points according to the path of the Archimedes spiral as an image for estimating the illumination intensity, thereby improving the operation efficiency;
step S30, comparing the brightness value of the pixel point selected on the path with the brightness value of the central pixel point, and iterating for multiple times to obtain the brightness value of the final image, so that the brightness of the bright part of the image is reduced, and the brightness of the shadow part is increased;
the Archimedes' spiral equation is as follows:
Figure FDA0002756756650000031
Figure FDA0002756756650000032
t∈[0,kπ]
in the formula, fix is an integer function, (x, y) are coordinates of pixel points of an image path, w and h are width and height of the image pixel, n represents density degree of a spiral, and k is the number of turns of spiral rotation;
after the comparison of the single point brightness values with the points on the path is completed, the resulting difference is denoted ri(x,y);
After one iteration is completed, the following results can be obtained:
Figure FDA0002756756650000033
in the formula, ri(x, y) is the result of the last iteration, ri' (x, y) is ri(x, y) and the sum of the luminance differences;
Figure FDA0002756756650000041
wherein Δ f is the brightness difference of a single point on the path, and max is the maximum value of the brightness values of the pixels in the original image; after i iterations, ri+1And (x, y) is the brightness value of the enhanced image.
CN201810342902.1A2018-04-172018-04-17Illumination compensation and image enhancement method based on bionic spiralActiveCN108550124B (en)

Priority Applications (1)

Application NumberPriority DateFiling DateTitle
CN201810342902.1ACN108550124B (en)2018-04-172018-04-17Illumination compensation and image enhancement method based on bionic spiral

Applications Claiming Priority (1)

Application NumberPriority DateFiling DateTitle
CN201810342902.1ACN108550124B (en)2018-04-172018-04-17Illumination compensation and image enhancement method based on bionic spiral

Publications (2)

Publication NumberPublication Date
CN108550124A CN108550124A (en)2018-09-18
CN108550124Btrue CN108550124B (en)2021-03-02

Family

ID=63515353

Family Applications (1)

Application NumberTitlePriority DateFiling Date
CN201810342902.1AActiveCN108550124B (en)2018-04-172018-04-17Illumination compensation and image enhancement method based on bionic spiral

Country Status (1)

CountryLink
CN (1)CN108550124B (en)

Families Citing this family (3)

* Cited by examiner, † Cited by third party
Publication numberPriority datePublication dateAssigneeTitle
CN109567849B (en)*2018-12-072022-09-23余姚市恒正金属制品有限公司Positron emission CT imager
CN109785263B (en)*2019-01-142022-09-16北京大学深圳研究生院 A Retinex-based Inverse Tone Mapping Image Conversion Method
CN111291839A (en)*2020-05-092020-06-16创新奇智(南京)科技有限公司Sample data generation method, device and equipment

Citations (5)

* Cited by examiner, † Cited by third party
Publication numberPriority datePublication dateAssigneeTitle
KR20110062244A (en)*2009-12-032011-06-10인하대학교 산학협력단 Contrast Improvement Method by Adaptive Gamma Application
CN102332154A (en)*2011-10-182012-01-25中国农业大学 Cotton pseudo-heterosexual fiber color image enhancement method and system under uneven illumination
CN102779330A (en)*2012-06-132012-11-14京东方科技集团股份有限公司Image reinforcement method, image reinforcement device and display device
CN103593830A (en)*2013-11-292014-02-19大连理工大学 A low-light video image enhancement method
CN106078748A (en)*2016-06-132016-11-09北京理工大学A kind of robot based on hands, eye, arm coordinated manipulation captures the control method of object

Patent Citations (5)

* Cited by examiner, † Cited by third party
Publication numberPriority datePublication dateAssigneeTitle
KR20110062244A (en)*2009-12-032011-06-10인하대학교 산학협력단 Contrast Improvement Method by Adaptive Gamma Application
CN102332154A (en)*2011-10-182012-01-25中国农业大学 Cotton pseudo-heterosexual fiber color image enhancement method and system under uneven illumination
CN102779330A (en)*2012-06-132012-11-14京东方科技集团股份有限公司Image reinforcement method, image reinforcement device and display device
CN103593830A (en)*2013-11-292014-02-19大连理工大学 A low-light video image enhancement method
CN106078748A (en)*2016-06-132016-11-09北京理工大学A kind of robot based on hands, eye, arm coordinated manipulation captures the control method of object

Non-Patent Citations (1)

* Cited by examiner, † Cited by third party
Title
基于Retinex理论的图像增强算法研究;李莹;《中国优秀硕士学位论文全文数据库信息科技辑》;20140915(第9期);第24-25页*

Also Published As

Publication numberPublication date
CN108550124A (en)2018-09-18

Similar Documents

PublicationPublication DateTitle
Veluchamy et al.Image contrast and color enhancement using adaptive gamma correction and histogram equalization
Wang et al.Variational single nighttime image haze removal with a gray haze-line prior
CN103593830B (en) A low-light video image enhancement method
CN107527332B (en)Low-illumination image color retention enhancement method based on improved Retinex
Jiang et al.Image dehazing using adaptive bi-channel priors on superpixels
Gupta et al.Minimum mean brightness error contrast enhancement of color images using adaptive gamma correction with color preserving framework
Huang et al.Efficient contrast enhancement using adaptive gamma correction with weighting distribution
CN103578084B (en)Color image enhancement method based on bright channel filtering
CN105279746B (en) A Multi-exposure Image Fusion Method Based on Bilateral Filtering
CN103606137B (en)Keep the histogram equalization method of background and detailed information
CN108830800A (en)The luminance raising Enhancement Method of image under a kind of half-light scene
CN106780375A (en)A kind of image enchancing method under low-light (level) environment
CN107256539B (en) An Image Sharpening Method Based on Local Contrast
CN109493291A (en)A kind of method for enhancing color image contrast ratio of adaptive gamma correction
US20130039577A1 (en)Method for improving image quality
CN107895357A (en)A kind of real-time water surface thick fog scene image Enhancement Method based on FPGA
CN108898564A (en)High dynamic range image tone mapping method based on human visual model and W L S filter
CN108550124B (en)Illumination compensation and image enhancement method based on bionic spiral
CN106709504A (en)Detail-preserving high fidelity tone mapping method
CN116630198A (en) A multi-scale fusion underwater image enhancement method combined with adaptive gamma correction
CN105184748A (en)Image bit depth enhancing method
CN108305232A (en)A kind of single frames high dynamic range images generation method
CN118195980A (en)Dark part detail enhancement method based on gray level transformation
CN106157264A (en)Large area image uneven illumination bearing calibration based on empirical mode decomposition
Feng et al.Low-light color image enhancement based on Retinex

Legal Events

DateCodeTitleDescription
PB01Publication
PB01Publication
SE01Entry into force of request for substantive examination
SE01Entry into force of request for substantive examination
GR01Patent grant
GR01Patent grant

[8]ページ先頭

©2009-2025 Movatter.jp