Movatterモバイル変換


[0]ホーム

URL:


CN108541039B - A low-power wireless sensor network static node routing method - Google Patents

A low-power wireless sensor network static node routing method
Download PDF

Info

Publication number
CN108541039B
CN108541039BCN201810371113.0ACN201810371113ACN108541039BCN 108541039 BCN108541039 BCN 108541039BCN 201810371113 ACN201810371113 ACN 201810371113ACN 108541039 BCN108541039 BCN 108541039B
Authority
CN
China
Prior art keywords
sensor
node
base station
nodes
sensor node
Prior art date
Legal status (The legal status is an assumption and is not a legal conclusion. Google has not performed a legal analysis and makes no representation as to the accuracy of the status listed.)
Active
Application number
CN201810371113.0A
Other languages
Chinese (zh)
Other versions
CN108541039A (en
Inventor
刘刚
刘昭斌
顾才东
张量
杨元峰
Current Assignee (The listed assignees may be inaccurate. Google has not performed a legal analysis and makes no representation or warranty as to the accuracy of the list.)
Suzhou Vocational University
Original Assignee
Suzhou Vocational University
Priority date (The priority date is an assumption and is not a legal conclusion. Google has not performed a legal analysis and makes no representation as to the accuracy of the date listed.)
Filing date
Publication date
Application filed by Suzhou Vocational UniversityfiledCriticalSuzhou Vocational University
Priority to CN201810371113.0ApriorityCriticalpatent/CN108541039B/en
Publication of CN108541039ApublicationCriticalpatent/CN108541039A/en
Application grantedgrantedCritical
Publication of CN108541039BpublicationCriticalpatent/CN108541039B/en
Activelegal-statusCriticalCurrent
Anticipated expirationlegal-statusCritical

Links

Images

Classifications

Landscapes

Abstract

Translated fromChinese

本发明提及一种低功耗无线传感器网络静态节点路由方法,包括:无线传感器网络初始化设定;获取拓扑结构信息;计算基站到所有传感器节点的最优路径;选出一条工作路径并将其发送给该路径上的所有传感器节点;工作路径上出现的起始传感器节点将自身感知的数据和剩余能量,沿着最优路径转发给路径上的下一跳传感器节点;下一跳传感器节点融合自身的感知数据和剩余能量,再转发给接下来的下一跳传感器节点,以此类推,直到基站收到路径上的所有传感器节点数据;更新拓扑结构信息中节点的剩余能量,计算未收到数据的传感器节点到基站的最优路径;重复前述步骤,直到所有节点数据都收集完成。本发明能够实现节约能量,延长网络寿命。

Figure 201810371113

The invention relates to a low-power wireless sensor network static node routing method, including: wireless sensor network initialization setting; acquiring topology structure information; calculating the optimal path from a base station to all sensor nodes; It is sent to all sensor nodes on the path; the initial sensor node on the working path forwards the data and remaining energy perceived by itself to the next-hop sensor node on the path along the optimal path; the next-hop sensor node fuses Its own sensing data and remaining energy are forwarded to the next next hop sensor node, and so on, until the base station receives all sensor node data on the path; update the remaining energy of the node in the topology information, and calculate the unreceived The optimal path from the sensor node of the data to the base station; repeat the previous steps until all node data is collected. The present invention can realize energy saving and prolong network life.

Figure 201810371113

Description

Low-power-consumption wireless sensor network static node routing method
Technical Field
The invention relates to the technical field of wireless sensor network routing, and belongs to a low-power consumption wireless sensor network static node routing method.
Background
A Wireless Sensor Network (WSN) is a distributed Sensor Network, which is a core technology of the internet of things and big data, and has recently received wide attention from the industry and academia. The wireless sensor network is composed of a large number of static or mobile micro sensor nodes deployed in a monitoring area, data monitored by the sensor nodes are transmitted hop by hop along other sensor nodes in a wireless communication mode, the monitored data can be processed by a plurality of nodes in the transmission process, the data are routed to a sink node after multi-hop, information of a sensed object in a geographic area covered by the network is sensed, collected, processed and transmitted cooperatively, and finally the information is sent to a manager of the network through the Internet or a satellite. The structure is shown in fig. 1.
The sensor node is used as an important component element of the wireless sensor network, and is used for storing, managing and fusing data forwarded by other nodes besides performing local information collection and data processing. The processing capacity, the storage capacity and the communication capacity of the sensor nodes are relatively weak, and the power supply capacity of a battery is limited. How to save energy consumption and prolong the service life of the network is a hot research problem of the wireless sensor network.
The static node routing of the low-power-consumption wireless sensor network is suitable for a scene that the position of a sensor node in the whole sensor network is fixed. The sensor node acquires the topological structure information of the wireless sensor network, and the base station (or gateway) generates the optimal routing path from the sensor node to the base station (or gateway) under the condition of ensuring the network connectivity, so that the network energy consumption is saved to the maximum extent, the node interference is reduced, and the network service life is prolonged.
At present, a routing method of a wireless sensor network mainly has three modes: plane-based routing, hierarchy-based routing, and location-based routing.
Plane-based routing is relative to hierarchical-based routing, i.e., each sensor node in a wireless sensor network is peer-to-peer, with no hierarchy or master-slave differentiation. Each sensor node in the network knows the path with the minimum cost from other nodes to the base station, and the planar routing selects the optimal routing path by using a certain graph theory algorithm. (Gulista Khan, Gaurav Bathla and Wajid Ali. minimum spinning Tree based Routing for Homogeneous WSN. International Journal on Cloud Computing: Services and Architecture, Vol.1, No.2, August 2011).
The routing based on the hierarchy is to divide the nodes in the wireless sensor network into a plurality of clusters according to a certain rule, wherein one node in each cluster serves as a cluster head node, the nodes in the clusters transmit sensing data to the cluster head node, and the cluster head node completes the data fusion and forwards the data to a base station or a gateway (Zhou R, Chen M, Feng G, et al. According to different hierarchical depths of clusters, the whole network can be divided into a two-layer structure, a three-layer structure, or even a four-layer structure (Fawzy A E, Amer A, Shokair M, et al. four-layer routing protocol with Location based Topology Control of active nodes in WSN [ C ]. International Conference Computer Engineering & systems. IEEE, 2017.).
Location-based routing is to divide the wireless sensor network into several areas based on geographical location information and then implement the routing function using the existing conventional network's routing algorithms (e.g., DSR or AODV). (Jeong Y, Lee S.location-based Routing (LBR) Algorithm to Improved Efficiency in the Wireless Sensor Network [ J ]. Journal of Korean Institute of Communications & Information Sciences,2007, 32.).
Disclosure of Invention
The invention aims to provide a low-power consumption wireless sensor network static node routing method aiming at the routing problem of a wireless sensor network under the condition that the energy resources of sensor nodes are limited, so that the energy can be saved, and the service life of the network can be prolonged.
In order to achieve the purpose, the invention provides the following technical scheme:
a low power consumption wireless sensor network static node routing method, the wireless sensor network comprising at least one sensor node, the method comprising the steps of:
s101: initializing and setting the wireless sensor network, wherein unique id is assigned to a sensor node;
s102: acquiring topological structure information of the wireless sensor network, and sending the topological structure information to a base station corresponding to the wireless sensor network;
s103: calculating optimal paths from the base station to all sensor nodes based on the topological structure information to form an optimal path set;
s104: selecting one optimal path in the optimal path set as a working path according to a set screening rule, and sending the information of the working path to all sensor nodes on the working path;
s105: the starting sensor node on the working path forwards the sensed data and the residual energy to the next hop sensor node on the working path along the working path; fusing the sensing data and the residual energy of the next-hop sensor node, and then forwarding to the next-hop sensor node, and so on until the base station receives the data of all the sensor nodes on the working path;
s106: responding to the sensing data and the residual energy of all the sensor nodes on the working path received by the base station, and updating the residual energy of the corresponding sensor nodes in the topological structure information of the base station;
s107: based on the updated topological structure information, recalculating the optimal path from the sensor node without collected data to the base station, and updating an optimal path set;
s108: and repeating S104 to S107 until the sensing data and the residual energy of all the sensor nodes are collected.
In a further embodiment, in step S101, initializing the wireless sensor network further includes: setting the initial energy of the sensor node, and setting the maximum bit number K of data transmission of the sensor node.
In a further embodiment, in step S104, selecting one of the optimal paths in the optimal path set as the working path according to the set filtering rule means,
and selecting the optimal path which meets the conditions that the node data in the path is not collected and the path hop count is the maximum as the working path.
In a further embodiment, in step S102, the method for acquiring the topology information of the wireless sensor network and sending the topology information to the base station corresponding to the wireless sensor network includes the following steps:
s201: in a set period of broadcasting HELLO messages, each sensor node in the wireless sensor network periodically broadcasts HELLO message information, wherein the HELLO message information comprises the id of the sensor node and a 'HELLO' text;
s202: the sensor node which receives the HELLO message information of other sensor nodes feeds back response message RESP information which comprises the id and position information of the sensor node;
s203: responding to the end of the period of broadcasting the HELLO message, each sensor node respectively generates a one-hop adjacency list of the sensor node, wherein the one-hop adjacency list comprises the ids of all neighbor nodes and the distance d between the neighbor nodes;
s204: all the sensor nodes transmit the one-hop adjacency list and the residual energy information of the sensor nodes to a base station;
s205: and the base station fuses all the received one-hop adjacency lists to obtain topological structure information of the whole wireless sensor network and generate a network topological graph.
In a further embodiment, the network topology is a weighted undirected graph, which is defined as TG ═ V, E, W. Where V is the set of nodes in the graph,
Figure GDA0003247677290000041
is the set of edges in the graph, and W is the set of weights for the edges.
In a further embodiment, the format of the weighted undirected graph is shown in table 1:
TABLE 1 format of network topology map generated by base station
Figure GDA0003247677290000042
Wherein v is(i)Denotes a sensor node number, e(i)Representing a sensor node v(i)Represents no ring of the topology itself, d(ij)Representing a sensor node v(i)And v(j)Distance between, w(ij)Representing a sensor node v(i)And v(j)I ═ 1,2 … n; j is 1,2 … n.
In a further embodiment, the node v is based on a sensor(i)And v(j)Using Euclidean distance formula to calculate d(ij)
In a further embodiment, in step S103, the method for calculating the optimal paths from the base station to all the sensor nodes includes the following steps:
s301: initializing a calculation flow: setting the base station number to v(0)Initial time S ═ V(0)And f, the value of the edge weight formed by the sensor nodes in the T satisfies the following conditions:
if v is(0)And v(i)Is an adjoining edge, w(0i)For data from base station v(0)To the sensor node v(i)If the energy consumption value is larger than the residual energy of the node, then w(0i)Is infinite;
if v is(0)And v(i)Not adjoining edges, w(0i)Is infinite;
s302: selecting a sensor node v with the minimum weight value from T(min)Adding the residual energy into the S, and updating the residual energy of all the transit sensor nodes;
s303: and updating the weight values of the rest sensor nodes in the T: if v is added(min)To make an intermediateAfter the node, from v(0)To v(i)If the edge weight value is reduced, modifying the edge weight value;
s304: the above-described S302 to S303 are repeated, and the present calculation flow is stopped until S includes all the sensor nodes, that is, V equals S.
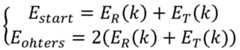
In a further embodiment, the edge weights in the network topology map are calculated according to the following formula:
Figure GDA0003247677290000051
wherein E isstartTo initiate energy consumption of the sensor node, EohtersFor energy consumption of sensor nodes other than the originating sensor node, ER(k) Energy consumption for receiving data, ET(k) Energy consumption for transmitting data.
In a further embodiment, E is calculated according to the following formulaR(k) And ET(k):
ER(k)=Eelec*k
ET(k)=Eelec*k+eamp*k*d2
Wherein E iselec=50nJ/bit,eapm=100pJ/bit/m2K is the number of bits for data transmission, and d is the distance between the sensor nodes.
The invention has the beneficial effects that:
(1) based on the plane routing, the topological structure is simple, and the management and maintenance are convenient.
(2) And the centralized routing algorithm avoids the data transmission conflict of the sensor nodes.
(3) The routing method comprehensively considers the node residual energy and the distance information between nodes, and improves the accuracy of energy consumption calculation of the routing path.
(4) The routing algorithm selects the path with the lowest energy consumption to transmit data, so that the energy consumption of the whole network is saved, and the life cycle of the network is prolonged.
The foregoing description is only an overview of the technical solutions of the present invention, and in order to make the technical solutions of the present invention more clearly understood and to implement them in accordance with the contents of the description, the following detailed description is given with reference to the preferred embodiments of the present invention and the accompanying drawings.
Drawings
Fig. 1 is a flowchart of a static node routing method of a low power consumption wireless sensor network according to the present invention.
Fig. 2 is a schematic structural diagram of a wireless sensor network according to the present invention.
Fig. 3 is a flowchart of a first embodiment of the invention.
Fig. 4 is a network topology map generated from topology information.
Detailed Description
The following detailed description of embodiments of the present invention is provided in connection with the accompanying drawings and examples. The following examples are intended to illustrate the invention but are not intended to limit the scope of the invention.
The invention provides a static node routing method of a low-power wireless sensor network.
Example one
With reference to fig. 2, the wireless sensor network includes at least one sensor node, and a base station, a network, a server, and the like are correspondingly disposed on the sensor node, so that the server receives data acquired by the sensor node, and further, the server applies and manages the data acquired by all the sensor nodes.
On the basis of the wireless sensor network proposed by fig. 2, with reference to fig. 1 and fig. 3, the static node routing method for the low-power wireless sensor network includes the following steps:
initializing and setting the wireless sensor network
S101: initializing and setting the wireless sensor network, wherein at least the unique id is assigned to the sensor node, for example, the number v is set for the sensor node(i)、viOr Vi, etc., as its unique id, where i is 1,2 … n, the choice of what type of number is decided by the user.
Preferably, in step S101, initializing the wireless sensor network further includes: setting initial energy of the sensor nodes, setting the maximum bit number K of data transmission of the sensor nodes, and laying a cushion for subsequently selecting the optimal path of data transmission.
(II) acquiring topological structure information of the wireless sensor network
S102: acquiring topological structure information of the wireless sensor network, and sending the topological structure information to a base station corresponding to the wireless sensor network, wherein the base station can be expressed as base or select a number which can be more closely corresponding to the sensor node as an id thereof, such as v(0)、v0Or V0, etc.
The base station receives the topology structure information, arranges the topology structure information into a network topology map for subsequent use, and fig. 4 is an example of the network topology map generated according to the topology structure information, in this example, the network topology map includes 5 sensor nodes V1-V5, V0 is a base station, V2, V4, V5 are adjacent to the base station V0, and can directly implement data transmission, while V1 and V3 respectively need to transit through V2, V4 or V5 to implement data transmission with the base station V0.
The invention also refers to a method of generating a network topology as mentioned in fig. 4, the method comprising the steps of:
s201: each sensor node in the wireless sensor network periodically broadcasts a HELLO message in a set HELLO message broadcasting time period, wherein the HELLO message information comprises the id and the HELLO text of the sensor node.
S202: and the sensor node which receives the HELLO message information of other sensor nodes feeds back response message RESP information, wherein the response message RESP information comprises the id and the position information of the sensor node.
S203: and responding to the end of the period of broadcasting the HELLO message, each sensor node respectively generates a one-hop adjacency list of the sensor node, wherein the one-hop adjacency list comprises the ids of all the neighbor nodes and the distance d between the neighbor nodes.
S204: all the sensor nodes transmit the one-hop adjacency list and the residual energy information of the sensor nodes to a base station;
s205: and the base station fuses all the received one-hop adjacency lists to obtain topological structure information of the whole wireless sensor network and generate a network topological graph.
The network topological graph generated by the method can intuitively and clearly express the relationship and the distance between the nodes and the base station, and is prepared for the next step of the low-power consumption wireless sensor network static node routing method.
(III) calculating to obtain the optimal paths from the base station to all the sensor nodes, and generating an optimal path set
S103: and calculating the optimal paths from the base station to all the sensor nodes based on the topological structure information to form an optimal path set.
For convenience of use, the optimal Path set is recorded as Path by the inventionopt={P1,P2,P3,…,Pn}。
In order to calculate the optimal paths from the base station to all the sensor nodes, the network topology needs to be further quantized, and the invention provides one of the quantization modes.
In the base station, the network topology is a weighted undirected graph, which is defined as TG ═ V, E, W. Where V is the set of nodes in the graph,
Figure GDA0003247677290000081
is the set of edges in the graph, and W is the set of weights for the edges.
The format of the weighted undirected graph is shown in table 1:
TABLE 1 format of network topology map generated by base station
Figure GDA0003247677290000082
Wherein v is(i)Denotes a sensor node number, e(i)Representing a sensor node v(i)Represents no ring of the topology itself, d(ij)Representing a sensor node v(i)And v(j)Distance between, w(ij)Representing a sensor node v(i)And v(j)I ═ 1,2 … n; j is 1,2 … n.
According to sensor node v(i)And v(j)D can be calculated by using the Euclidean distance formula(ij)
As for the edge weights in the network topology graph, let P ═ { v ═ v1→v2→v3→…→vm→ base is the sensor node v1One-hop path to base station with energy consumption of data transmission as edge weight, except for node v1Other nodes v than only having to receive and transmit data once2,v3,…,vmIt is necessary to receive data twice and transmit data twice.
Therefore, the edge weight in the network topology can be calculated by the following formula:
Figure GDA0003247677290000083
wherein E isstartTo initiate energy consumption of the sensor node, EohtersFor energy consumption of sensor nodes other than the originating sensor node, ER(k) Energy consumption for receiving data, ET(k) Energy consumption for transmitting data.
According to the following formula to calculate ER(k) And ET(k):
ER(k)=Eelec*k
ET(k)=Eelec*k+eamp*k*d2
Wherein E iselec=50nJ/bit,eapm=100pJ/bit/m2K is the number of bits for data transmission, and d is the distance between the sensor nodes.
On the basis, the method for calculating the optimal paths from the base station to all the sensor nodes comprises the following steps:
s301: initialization meterCalculating a flow: setting the base station number to v(0)Initial time S ═ V(0)And f, the value of the edge weight formed by the sensor nodes in the T satisfies the following conditions:
if v is(0)And v(i)Is an adjoining edge, w(0i)For data from base station v(0)To the sensor node v(i)If the energy consumption value is larger than the residual energy of the node, then w(0i)Is infinite.
If v is(0)And v(i)Not adjoining edges, w(0i)Is infinite.
S302: selecting a sensor node v with the minimum weight value from T(min)And adding the residual energy into S, and updating the residual energy of all the transit sensor nodes.
S303: and updating the weight values of the rest sensor nodes in the T: if v is added(min)After making intermediate nodes, from v(0)To v(i)If the edge weight value of (2) is decreased, the edge weight value is modified.
S304: the above-described S302 to S303 are repeated, and the present calculation flow is stopped until S includes all the sensor nodes, that is, V equals S.
(IV) selecting a working path, and sending the information of the working path to all the sensor nodes on the working path
S104: and selecting one optimal path in the optimal path set as a working path according to a set screening rule, and sending the information of the working path to all the sensor nodes on the working path.
The optimal path in the optimal path set is selected as the working path, which is determined by actual requirements, wherein various factors such as the number of sensor nodes included in the working path, the remaining energy of the sensor nodes, the data acquisition priority of the sensor nodes and the like need to be comprehensively considered.
In some examples, the optimal path which satisfies the condition that the nodes in the path are not collected and the path hop count is the largest is selected as the working path, so that the maximum amount of sensor node data is obtained at one time.
(V) collecting all sensor node data on the working path
S105: the starting sensor node on the working path forwards the sensed data and the residual energy to the next hop sensor node on the working path along the working path; and fusing the sensing data and the residual energy of the next-hop sensor node, and forwarding to the next-hop sensor node, and so on until the base station receives the data of all the sensor nodes on the working path.
Assume that the working path in step S104 is
Popt={v(1)→v(2)→v(3)→…→v(m)→base}
Will work the path PoptTo all sensor nodes on the working path, i.e. v(1),v(2),v(3),…,v(m)Starting sensor node v appearing on the path(1)Forwarding self-perceived data and residual energy to a next-hop sensor node v on the path along an optimal path(2)(ii) a Next hop sensor node v(2)Fusing self perception data and residual energy, and forwarding to the next hop sensor node v(3)And so on until the base station receives the working path PoptAll sensor node data on.
Sixthly, residual energy of corresponding sensor nodes in topological structure information of the base station is updated
S106: and updating the residual energy of the corresponding sensor node in the topological structure information of the base station in response to the base station receiving the sensing data and the residual energy of all the sensor nodes on the working path.
Seventhly, the steps from the third step to the sixth step are referred to collect the data of other sensor nodes which are not collected
S107: and based on the updated topological structure information, recalculating the optimal path from the sensor node without collected data to the base station, and updating the optimal path set.
S108: and repeating S104 to S107 until the sensing data and the residual energy of all the sensor nodes are collected.
Example two
In order to more clearly illustrate the implementation of the present invention, the present embodiment further illustrates the foregoing method with a smaller network size. Take the wireless sensor network in fig. 4 as an example, that is, there are 1 base station and 5 sensor nodes in the wireless sensor network.
First, initializing a wireless sensor network. Let the base station number be 0, the id of other 5 sensor nodes be 1,2, 3, 4,5, respectively, the initial energy of the sensor node is 150 μ J, and the maximum bit number K of data transmission is 100 bits. The energy consumption E of the received data can be obtained according to an energy consumption calculation formulaR5 muj, energy consumption E for transmitting dataT=5+d2/100μJ。
Secondly, in a certain time period, each sensor node in the wireless sensor network periodically broadcasts HELLO message information, wherein the HELLO message information comprises the id of the sensor node and a 'HELLO' text; the sensor node which receives the HELLO message information of other sensor nodes gives a response message RESP, and the response message RESP information comprises the id and the position information (x, y) of the sensor node; after the HELLO message broadcasting stage is finished, each sensor node can obtain a one-hop adjacency list of the sensor node, and the adjacency list information comprises the ids of all neighbor nodes and the distance d between the neighbor nodes; for example, for node 3, the adjacency list information is (2,40), (4,50), (5, 20). Then, all the sensor nodes transmit the adjacent list and the residual energy to the base station; the base station fuses all the received adjacency lists to finally obtain the topological structure information of the whole wireless sensor network, and the generated network topological graph is shown in the following table in fig. 4.
Figure GDA0003247677290000111
And thirdly, calculating the optimal paths from the base station to all the sensor nodes based on the topological structure information obtained in the second step. The number of the base station node is V0, and the rest sensor nodes are V1-V5 in sequence. Since the base station is powered by a wired power supply, the energy of the base station is considered infinite. For the sake of calculation, it is assumed that the residual energy of all sensor nodes starts to be 100 μ J.
Figure GDA0003247677290000112
Figure GDA0003247677290000121
And fourthly, the base station selects an optimal path which meets the conditions that the node data in the path is not collected and the path hop number is the maximum, namely {0,2,1 }.
Fifthly, the base station sends paths of V0, V2 and V1 to nodes V2 and V1, V1 sends the self-perceived data and the residual energy of V1 to node V2 along an inverse path {1-2-0} of the paths, and V2 sends the self-perceived data and the residual energy of V2 to the base station together with the data of V1. Thus, the data collection of the sensor nodes V1 and V2 is finished.
And sixthly, next, updating the residual energy of each sensor node in the topological structure information, wherein the energy is not consumed by other nodes because only the nodes V1 and V2 exist in the first selected optimal path, so that the residual energy of V3, V4 and V5 is still 100. And performing second optimal path calculation after the residual energy updating is completed.
Figure GDA0003247677290000122
Figure GDA0003247677290000131
Since the last remaining energy of the sensor node V2 is negative, the 0,2,1 path is unsuccessful. And the data of the sensor nodes V1 and V2 are collected, so that the {0,5,3} path is selected as the second optimal path. The base station sends paths of V0, V5 and V3 to nodes V5 and V3, V3 sends self-perceived data and residual energy of V3 to node V5 along an inverse path {3-5-0} of the paths, and V5 sends the self-perceived data and residual energy of V5 to the base station together with data of V3. Thus, the data collection of the sensor nodes V5 and V3 is finished. And next, the residual energy of each sensor node in the topological structure information is updated, and since only the nodes V5 and V3 exist in the optimal path selected for the second time, other nodes do not consume energy, so that the residual energy of V1 and V2 is still the residual energy of the first time, and the residual energy of V4 is still 100. And performing third optimal path calculation after the residual energy updating is completed.
Figure GDA0003247677290000132
Since only data for sensor nodes V4 and V are left uncollected, after the first pass to pick out V4, the algorithm ends with the {0,4} path being the third best path. The base station sends the paths of V0 and V4 to the node V4, and the V4 sends the self-perceived data and the residual energy of V4 to the base station V0 along the reverse path {4-0} of the paths. Next, the residual energy of each sensor node in the topology information is updated, and since only the node V4 exists in the optimal path selected for the third time, other nodes do not consume energy, so the residual energy of V1 and V2 is still the first residual energy, the residual energy of V3 and V5 is still the second residual energy, and the residual energy of V4 is the third residual energy. After the residual energy update is completed, all the sensor nodes in the network are collected, and then a second round of routing process can be performed. I.e. the above-mentioned algorithmic process is repeated and continued.
After the data acquisition of one round of sensor nodes is finished, the energy consumption of each sensor node and the whole network is as follows:
Figure GDA0003247677290000141
because the selection of the routing path takes the lowest energy consumption as the selection standard, the path obtained according to the method of the invention carries out data transmission, the consumed energy is minimum, and the service life of the network is further prolonged.
The technical features of the embodiments described above may be arbitrarily combined, and for the sake of brevity, all possible combinations of the technical features in the embodiments described above are not described, but should be considered as being within the scope of the present specification as long as there is no contradiction between the combinations of the technical features.
The above-mentioned embodiments only express several embodiments of the present invention, and the description thereof is more specific and detailed, but not construed as limiting the scope of the invention. It should be noted that, for a person skilled in the art, several variations and modifications can be made without departing from the inventive concept, which falls within the scope of the present invention. Therefore, the protection scope of the present patent shall be subject to the appended claims.

Claims (8)

Translated fromChinese
1.一种低功耗无线传感器网络静态节点路由方法,其特征在于,所述无线传感器网络包括至少一个传感器节点,所述方法包括以下步骤:1. A low-power wireless sensor network static node routing method, wherein the wireless sensor network comprises at least one sensor node, and the method comprises the following steps:S101:初始化设定所述无线传感器网络,其中,至少包括为传感器节点指定唯一id;S101: Initialize and set the wireless sensor network, which at least includes specifying a unique id for the sensor node;S102:获取所述无线传感器网络的拓扑结构信息,将拓扑结构信息发送至与该无线传感器网络对应的基站;S102: Acquire topology information of the wireless sensor network, and send the topology information to a base station corresponding to the wireless sensor network;S103:基于所述拓扑结构信息,计算得出所述基站至所有传感器节点的最优路径,构成一最优路径集合;S103: Based on the topology information, calculate the optimal path from the base station to all sensor nodes to form an optimal path set;S104:根据设定的筛选规则以选择所述最优路径集合中的其中一条最优路径作为工作路径,将工作路径的信息发送至该工作路径上的所有传感器节点;S104: Select one of the optimal paths in the optimal path set as the working path according to the set screening rule, and send the information of the working path to all sensor nodes on the working path;S105:工作路径上出现的起始传感器节点将自身感知的数据和剩余能量,沿着工作路径转发给工作路径上的下一跳传感器节点;下一跳传感器节点融合自身的感知数据和剩余能量,再转发给接下来的下一跳传感器节点,以此类推,直至基站收到工作路径上的所有传感器节点数据;S105: The initial sensor node appearing on the working path forwards the data and remaining energy sensed by itself to the next hop sensor node on the working path along the working path; the next hop sensor node fuses its own sensing data and remaining energy, It is then forwarded to the next next hop sensor node, and so on, until the base station receives all sensor node data on the working path;S106:响应于基站收到工作路径上所有传感器节点的感知数据和剩余能量,更新基站所具有的拓扑结构信息中对应传感器节点的剩余能量;S106: In response to the base station receiving the sensing data and remaining energy of all sensor nodes on the working path, update the remaining energy of the corresponding sensor node in the topology structure information possessed by the base station;S107:基于更新后的拓扑结构信息,重新计算未被收集数据的传感器节点到基站的最优路径,更新最优路径集合;S107: Based on the updated topology structure information, recalculate the optimal path from the sensor node whose data has not been collected to the base station, and update the optimal path set;S108:重复S104至S107,直至收集完成所有传感器节点的感知数据和剩余能量;S108: Repeat S104 to S107 until the sensing data and remaining energy of all sensor nodes are collected;步骤S104中,根据设定的筛选规则以选择所述最优路径集合中的其中一条最优路径作为工作路径是指,In step S104, selecting one of the optimal paths in the optimal path set as the working path according to the set screening rule means:选择满足路径中节点数据未收集且路径跳数最多的最优路径作为工作路径;Select the optimal path that satisfies that the node data in the path is not collected and the number of path hops is the most as the working path;步骤S102中,获取所述无线传感器网络的拓扑结构信息,将拓扑结构信息发送至与该无线传感器网络对应的基站的方法包括以下步骤:In step S102, the method of acquiring the topology structure information of the wireless sensor network, and sending the topology structure information to the base station corresponding to the wireless sensor network includes the following steps:S201:在一设定的广播HELLO报文时间段内,所述无线传感器网络中的每个传感器节点周期性地广播一HELLO报文信息,该HELLO报文信息包括传感器节点自身的id和“HELLO”文本;S201: Within a set broadcast HELLO message time period, each sensor node in the wireless sensor network periodically broadcasts a HELLO message information, where the HELLO message information includes the sensor node's own id and "HELLO message". "text;S202:收到其他传感器节点HELLO报文信息的传感器节点反馈回一回应报文RESP信息,回应报文RESP信息中包括该传感器节点自身的id和位置信息;S202: The sensor node that receives the HELLO message information of other sensor nodes feeds back a response message RESP information, and the response message RESP information includes the id and location information of the sensor node itself;S203:响应于广播HELLO报文时间段结束,每个传感器节点各自生成自己的一跳邻接表,一跳邻接表中包括其所有邻居节点的id、与邻居节点的距离d;S203: In response to the end of the broadcast HELLO message time period, each sensor node generates its own one-hop adjacency list, and the one-hop adjacency list includes the ids of all its neighbor nodes and the distance d from the neighbor nodes;S204:所有传感器节点将自己的一跳邻接表和剩余能量信息传送至基站;S204: All sensor nodes transmit their one-hop adjacency list and remaining energy information to the base station;S205:基站将收到的所有一跳邻接表进行融合,得到整个无线传感器网络的拓扑结构信息,生成网络拓扑图。S205: The base station fuses all the received one-hop adjacency tables to obtain topology structure information of the entire wireless sensor network, and generates a network topology map.2.根据权利要求1所述的低功耗无线传感器网络静态节点路由方法,其特征在于,步骤S101中,初始化设定所述无线传感器网络还包括:设置传感器节点的初始能量、设置传感器节点的数据传送最大比特位数K。2. The low-power wireless sensor network static node routing method according to claim 1, wherein in step S101, initializing and setting the wireless sensor network further comprises: setting the initial energy of the sensor node, setting the sensor node's initial energy The maximum number of bits K for data transfer.3.根据权利要求1所述的低功耗无线传感器网络静态节点路由方法,其特征在于,所述网络拓扑图为一个带权无向图,其被定义成TG=(V,E,W);其中,V是图中的节点集,
Figure FDA0003189038140000022
是图中边集,W是边的权重集合。3. The low-power wireless sensor network static node routing method according to claim 1, wherein the network topology graph is a weighted undirected graph, which is defined as TG=(V, E, W) ; where V is the set of nodes in the graph,
Figure FDA0003189038140000022
is the set of edges in the graph, and W is the set of edge weights.4.根据权利要求3所述的低功耗无线传感器网络静态节点路由方法,其特征在于,所述带权无向图的格式见表1:4. The low-power wireless sensor network static node routing method according to claim 3, wherein the format of the weighted undirected graph is shown in Table 1:表1.基站生成的网络拓扑图的格式Table 1. Format of the network topology map generated by the base station
Figure FDA0003189038140000021
Figure FDA0003189038140000021
其中,v(i)表示传感器节点编号,e(i)表示传感器节点v(i)的剩余能量,“-”表示拓扑图自身无环,d(ij)表示传感器节点v(i)和v(j)之间的距离,w(ij)表示传感器节点v(i)和v(j)之间构成边的权重,i=1,2...n;j=1,2...n。Among them, v(i) represents the sensor node number, e(i) represents the residual energy of the sensor node v(i) , "-" represents that the topology graph itself has no loop, d(ij) represents the sensor nodes v(i) and v( j) , w(ij) represents the weight of the edge formed between sensor nodes v(i) and v(j) , i=1, 2...n; j=1, 2...n.
5.根据权利要求4所述的低功耗无线传感器网络静态节点路由方法,其特征在于,根据传感器节点v(i)和v(j)的位置信息,利用欧式距离公式以计算得到d(ij)5. the low-power wireless sensor network static node routing method according to claim 4, is characterized in that, according to the position information of sensor node v(i) and v(j) , utilize Euclidean distance formula to calculate to obtain d(ij ) .6.根据权利要求4所述的低功耗无线传感器网络静态节点路由方法,其特征在于,步骤S103中,计算得出所述基站至所有传感器节点的最优路径的方法包括以下步骤:6. The low-power wireless sensor network static node routing method according to claim 4, wherein in step S103, the method for calculating the optimal path from the base station to all sensor nodes comprises the following steps:S301:初始化计算流程:将基站编号设定成v(0),初始时令S={V(0)},T={V-S},T中传感器节点构成的边权重值满足以下条件:S301: Initialization calculation process: the base station number is set to v(0) , the initial time is S={V(0) }, T={VS}, and the edge weight value formed by the sensor nodes in T satisfies the following conditions:若v(0)和v(i)是邻接边,w(0i)为数据从基站v(0)传输到传感器节点v(i)的能量消耗值,若能耗数值大于该节点的剩余能量,则w(0i)为无穷大;If v(0) and v(i) are adjacent edges, w(0i) is the energy consumption value of data transmitted from base station v(0) to sensor node v(i) . If the energy consumption value is greater than the remaining energy of the node, Then w(0i) is infinite;若v(0)和v(i)不是邻接边,w(0i)为无穷大;If v(0) and v(i) are not adjacent edges, w(0i) is infinite;S302:从T中选取一个权值最小的传感器节点v(min)加入到S中,并且更新所有中转的传感器节点的剩余能量;S302: Select a sensor node v(min) with the smallest weight from T and add it to S, and update the remaining energy of all transit sensor nodes;S303:对T中其余传感器节点的权重值进行更新:若加进v(min)作中间节点后,从v(0)到v(i)的边权重值减小,则修改其边权重值;S303: Update the weight values of the remaining sensor nodes in T: if the edge weight value from v(0) to v(i) decreases after adding v(min) as an intermediate node, then modify its edge weight value;S304:重复上述S302至S303,直到S中包含所有的传感器节点、即V=S时停止本次计算流程。S304: Repeat the above S302 to S303 until all sensor nodes are included in S, that is, when V=S, stop the current calculation process.7.根据权利要求3所述的低功耗无线传感器网络静态节点路由方法,其特征在于,根据下述公式计算所述网络拓扑图中的边权重:7. The low-power wireless sensor network static node routing method according to claim 3, wherein the edge weight in the network topology graph is calculated according to the following formula:
Figure FDA0003189038140000031
Figure FDA0003189038140000031
其中,Estart为起始传感器节点的能量消耗,Eohters为除起始传感器节点之外的传感器节点的能量消耗,ER(k)为接收数据的能量消耗,ET(k)为发送数据的能量消耗。Among them, Estart is the energy consumption of the starting sensor node, Eohters is the energy consumption of the sensor nodes other than the starting sensor node, ER (k) is the energy consumption of receiving data, ET (k) is the sending data energy consumption.
8.根据权利要求7所述的低功耗无线传感器网络静态节点路由方法,其特征在于,根据下述公式以计算ER(k)和ET(k):8. The low-power wireless sensor network static node routing method according to claim 7, characterized in that, according to the following formula to calculate ER (k) and ET (k):ER(k)=Eelec*kER (k)=Eelec *kET(k)=Eelec*k+eamp*k*d2ET (k)=Eelec *k+eamp *k*d2其中,Eelec=50nJ/bit,eapm=100pJ/bit/m2,k为数据传输的bit数,d为传感器节点间的距离。Among them, Eelec =50nJ/bit, eapm =100pJ/bit/m2 , k is the bit number of data transmission, and d is the distance between sensor nodes.
CN201810371113.0A2018-04-242018-04-24 A low-power wireless sensor network static node routing methodActiveCN108541039B (en)

Priority Applications (1)

Application NumberPriority DateFiling DateTitle
CN201810371113.0ACN108541039B (en)2018-04-242018-04-24 A low-power wireless sensor network static node routing method

Applications Claiming Priority (1)

Application NumberPriority DateFiling DateTitle
CN201810371113.0ACN108541039B (en)2018-04-242018-04-24 A low-power wireless sensor network static node routing method

Publications (2)

Publication NumberPublication Date
CN108541039A CN108541039A (en)2018-09-14
CN108541039Btrue CN108541039B (en)2021-10-22

Family

ID=63479320

Family Applications (1)

Application NumberTitlePriority DateFiling Date
CN201810371113.0AActiveCN108541039B (en)2018-04-242018-04-24 A low-power wireless sensor network static node routing method

Country Status (1)

CountryLink
CN (1)CN108541039B (en)

Cited By (1)

* Cited by examiner, † Cited by third party
Publication numberPriority datePublication dateAssigneeTitle
WO2025071915A1 (en)*2023-09-282025-04-03Qualcomm IncorporatedEnergy management in wireless networks

Families Citing this family (6)

* Cited by examiner, † Cited by third party
Publication numberPriority datePublication dateAssigneeTitle
WO2021121541A1 (en)2019-12-162021-06-24Telefonaktiebolaget Lm Ericsson (Publ)Reliable device-to-device communication
CN113038409B (en)*2019-12-242022-06-28中移(苏州)软件技术有限公司Data transmission method, network node, sensor and wireless sensor network
CN111601355B (en)*2020-04-092024-01-19绍兴市上虞区舜兴电力有限公司Optimal path selection method in wireless ultraviolet light cooperation unmanned aerial vehicle formation maintenance topology
CN113938352B (en)*2020-06-292025-09-23中兴通讯股份有限公司 A method, device, equipment and storage medium for forwarding business messages
CN112383892A (en)*2020-10-162021-02-19国网山东省电力公司鱼台县供电公司Transformer substation electric energy quality monitoring system and method
CN115866692B (en)*2023-02-282023-06-02国网信息通信产业集团有限公司Wireless sensor network load balancing routing method, operation method and system

Citations (5)

* Cited by examiner, † Cited by third party
Publication numberPriority datePublication dateAssigneeTitle
CN101350635A (en)*2008-09-052009-01-21清华大学 Self-localization method of sensor network nodes based on shortest path on sparse measurement set
CN102291791A (en)*2011-09-082011-12-21上海大学Self-adaptive router soft switching method for wireless sensor network
US8107397B1 (en)*2006-06-052012-01-31Purdue Research FoundationProtocol for secure and energy-efficient reprogramming of wireless multi-hop sensor networks
CN102711209A (en)*2012-06-012012-10-03广州市香港科大霍英东研究院Dynamic self-organizing hierarchical routing method applied to wireless sensor network
EP2683199A1 (en)*2012-07-052014-01-08ABB Research Ltd.Determination of communication routes in a wireless communcation network

Family Cites Families (5)

* Cited by examiner, † Cited by third party
Publication numberPriority datePublication dateAssigneeTitle
FI118291B (en)*2004-12-222007-09-14Timo D Haemaelaeinen Energy efficient wireless sensor network, node devices for the same and method of arranging, the communications in a wireless sensor network
EP1835668B1 (en)*2006-03-132008-05-14NTT DoCoMo, Inc.Method and apparatus for controlling transmission of data from a plurality of sensor nodes
TWI410077B (en)*2009-04-142013-09-21Univ Nat Chiao Tung Method of Wrapping Method and Winding Path in Wireless Network Environment
CN103813408B (en)*2014-02-252017-01-25宁波中科集成电路设计中心有限公司Routing method of wireless sensor network
CN104486807B (en)*2014-11-282017-08-11华中科技大学A kind of method for routing of small-scale wireless sensor network

Patent Citations (5)

* Cited by examiner, † Cited by third party
Publication numberPriority datePublication dateAssigneeTitle
US8107397B1 (en)*2006-06-052012-01-31Purdue Research FoundationProtocol for secure and energy-efficient reprogramming of wireless multi-hop sensor networks
CN101350635A (en)*2008-09-052009-01-21清华大学 Self-localization method of sensor network nodes based on shortest path on sparse measurement set
CN102291791A (en)*2011-09-082011-12-21上海大学Self-adaptive router soft switching method for wireless sensor network
CN102711209A (en)*2012-06-012012-10-03广州市香港科大霍英东研究院Dynamic self-organizing hierarchical routing method applied to wireless sensor network
EP2683199A1 (en)*2012-07-052014-01-08ABB Research Ltd.Determination of communication routes in a wireless communcation network

Non-Patent Citations (7)

* Cited by examiner, † Cited by third party
Title
:基于区域划分的WSN数据汇聚路由算法;周俊青 等;《合肥工业大学学报》;20121231;第35卷(第12期);1648-1651*
Hop-based routing protocol based on energy efficient Minimum Spanning Tree for wireless sensor network;Sana Messous 等;《2018 International Conference on Advanced Systems and Electric Technologies》;20180325;4059-4068*
Reliability-Oriented Single-Path Routing Protocols in Wireless Sensor Networks;Amir Ehsani Zonouz 等;《IEEE SENSORS JOURNAL》;20141130;第14卷(第11期);421-426*
基于智能算法的层次型多链WSN路由协议;臧哲 等;《传感技术学报》;20130430;第26卷(第4期);558-563*
无线传感器网络中分簇路由优化算法;范松博 等;《计算机测量与控制》;20140228;第22卷;493-498*
无线传感器网络最优路由算法研究;唐朝伟 等;《计算机工程》;20110731;第37卷(第13期);92-94*
无线传感器网络混合路由算法研究;刘静 等;《制造业自动化》;20150930(第9期);1-14*

Cited By (1)

* Cited by examiner, † Cited by third party
Publication numberPriority datePublication dateAssigneeTitle
WO2025071915A1 (en)*2023-09-282025-04-03Qualcomm IncorporatedEnergy management in wireless networks

Also Published As

Publication numberPublication date
CN108541039A (en)2018-09-14

Similar Documents

PublicationPublication DateTitle
CN108541039B (en) A low-power wireless sensor network static node routing method
Biradar et al.Link stability based multicast routing scheme in MANET
CN103068002B (en)A kind of HR-WPAN Mesh network method for routing efficiently
Lotf et al.A novel cluster-based routing protocol with extending lifetime for wireless sensor networks
Mishra et al.Study of cluster based routing protocols in wireless sensor networks
CN102148756A (en)IPv6 over low power wireless personal area network (6LoWPAN) neighbor discovery-based tree routing method
CN109889376B (en)Balanced network topology generation method
CN104540173A (en)Wireless sensor network mobile data collecting method based on arborescence cluster structure
CN106131912A (en)The mobile Sink method of data capture of wireless sensor network based on tree-shaped bunch
CN107396418A (en)The implementation method of non-stop layer self-organizing network based on LoRa
Kaur et al.Clustering in wireless sensor networks-a survey
MaddaliCore network supported multicast routing protocol for wireless sensor networks
Sengul et al.A survey of adaptive services to cope with dynamics in wireless self-organizing networks
Atero et al.A low energy and adaptive architecture for efficient routing and robust mobility management in wireless sensor networks
Mohan et al.A hybrid approach for data collection using multiple mobile nodes in WSN (HADMMN)
KR100915555B1 (en)Query-based ZigBee Mesh Routing Protocol
Leu et al.Adaptive power-aware clustering and multicasting protocol for mobile ad hoc networks
Sivaraj et al.Energy-efficient and load distributed clustering algorithm for dense wireless sensor networks
Logambigai et al.QEER: QoS aware energy efficient routing protocol for wireless sensor networks
Guan et al.A novel energy-efficient multi-path routing protocol for wireless sensor networks
Minhas et al.Energy efficient multicast routing protocols for wireless sensor networks
KodaliEnergy efficient routing in multi-level LEACH for WSNs
Singh et al.A study on energy efficient routing protocols in MANETs with effect on selfish behaviour
GongNetwork-structure-based energy aware routing in wireless sensor networks
Kim et al.A study on the advanced inference routing network scheme for RODMRP

Legal Events

DateCodeTitleDescription
PB01Publication
PB01Publication
SE01Entry into force of request for substantive examination
SE01Entry into force of request for substantive examination
GR01Patent grant
GR01Patent grant

[8]ページ先頭

©2009-2025 Movatter.jp