Movatterモバイル変換


[0]ホーム

URL:


CN108510499B - A kind of image threshold segmentation method and device based on fuzzy set and Otsu - Google Patents

A kind of image threshold segmentation method and device based on fuzzy set and Otsu
Download PDF

Info

Publication number
CN108510499B
CN108510499BCN201810128721.9ACN201810128721ACN108510499BCN 108510499 BCN108510499 BCN 108510499BCN 201810128721 ACN201810128721 ACN 201810128721ACN 108510499 BCN108510499 BCN 108510499B
Authority
CN
China
Prior art keywords
threshold
image
gray
gray scale
segmentation
Prior art date
Legal status (The legal status is an assumption and is not a legal conclusion. Google has not performed a legal analysis and makes no representation as to the accuracy of the status listed.)
Expired - Fee Related
Application number
CN201810128721.9A
Other languages
Chinese (zh)
Other versions
CN108510499A (en
Inventor
孙林
王亚文
范梦雨
赵明
李梦莹
孟新超
王蓝莹
殷腾宇
赵婧
张云萍
Current Assignee (The listed assignees may be inaccurate. Google has not performed a legal analysis and makes no representation or warranty as to the accuracy of the list.)
Henan Normal University
Original Assignee
Henan Normal University
Priority date (The priority date is an assumption and is not a legal conclusion. Google has not performed a legal analysis and makes no representation as to the accuracy of the date listed.)
Filing date
Publication date
Application filed by Henan Normal UniversityfiledCriticalHenan Normal University
Priority to CN201810128721.9ApriorityCriticalpatent/CN108510499B/en
Publication of CN108510499ApublicationCriticalpatent/CN108510499A/en
Application grantedgrantedCritical
Publication of CN108510499BpublicationCriticalpatent/CN108510499B/en
Expired - Fee Relatedlegal-statusCriticalCurrent
Anticipated expirationlegal-statusCritical

Links

Images

Classifications

Landscapes

Abstract

Translated fromChinese

本发明涉及图像分割领域,具体涉及一种基于模糊集和Otsu的图像阈值分割方法及装置。本发明首先基于模糊集给出了新的模糊增强隶属函数;然后利用均方差的离散化方法,构造了Otsu的类间方差;最后结合Renyi熵理论,引入权重计算给出图像的Renyi熵,再使用最大Renyi熵的阈值完成图像分割。本发明相比传统的阈值分割算法,在分割边缘的准确性和对噪声的鲁棒性上具有较好的优势,同时也具有良好的稳定性和分割效果,可以有效地提高图像分割的精度。

Figure 201810128721

The invention relates to the field of image segmentation, in particular to an image threshold segmentation method and device based on fuzzy sets and Otsu. The invention first provides a new fuzzy enhanced membership function based on the fuzzy set; then uses the discretization method of the mean square error to construct the Otsu's inter-class variance; finally combines the Renyi entropy theory, introduces the weight calculation to give the Renyi entropy of the image, and then Image segmentation is done using a threshold of maximum Renyi entropy. Compared with the traditional threshold segmentation algorithm, the invention has better advantages in the accuracy of segmentation edge and robustness to noise, and also has good stability and segmentation effect, and can effectively improve the accuracy of image segmentation.

Figure 201810128721

Description

Image threshold segmentation method and device based on fuzzy set and Otsu
Technical Field
The invention relates to the field of image segmentation, in particular to an image threshold segmentation method and device based on a fuzzy set and Otsu.
Background
The image segmentation generally refers to dividing an image into a plurality of non-overlapping target and background regions according to features such as gray scale, color, texture, shape and edge in the image, and enabling the features to present similarity in the same region, while different regions present obvious difference.
Among many image segmentation methods, the threshold segmentation method is the most widely applied segmentation technique in image segmentation due to its characteristics of simplicity, effectiveness, low computational complexity, stable performance and the like. The key is how to select the threshold value so as to obtain the optimal segmentation effect. Threshold segmentation methods can be roughly divided into two categories: global thresholding and local thresholding. The global threshold segmentation method selects a single threshold according to the histogram information of the whole image to divide the image into two parts; the local threshold segmentation method is to divide an original image into a plurality of smaller images and select a corresponding threshold for each sub-image.
In the prior art, a large number of threshold selection methods are proposed, and the optimal thresholds under different criteria are sought by combining an intelligent algorithm, so that a good application effect is achieved in different application fields. Sezgin and Sankur written in 2004 "Surveiy over image thresholding techniques and qualitative performance evaluation" (Journal of Electronic Imaging,2004,13(1): 146-. The Otsu algorithm is based on the statistical characteristics of the whole image, realizes automatic selection of the image threshold value, has good segmentation effect, and is widely applied in practice. In the case of Otsu, there are advantages in that the algorithm is simple and the image can be segmented very efficiently when the area of the object does not differ much from the background. However, the calculation amount of the algorithm is large, and the algorithm is difficult to adapt to real-time processing; meanwhile, when the area of the target and the background in the image is greatly different, the segmentation effect is not good, the histogram has no obvious double peaks or the size of the two peaks is greatly different, and the target and the background cannot be accurately separated even when the gray scale of the target and the gray scale of the background are greatly overlapped. This is caused by the fact that, on the one hand, the method ignores the spatial information of the image, and, on the other hand, the image gray-scale distribution is taken as the basis for segmenting the image, and is then quite sensitive to noise. Thus, in practical applications, Otsu is always used in combination with other methods.
Disclosure of Invention
The invention aims to provide an image threshold segmentation method and device based on a fuzzy set and Otsu, which are used for solving the problem of poor effect when the image segmentation is carried out by the conventional method.
In order to achieve the above object, the present invention provides an image threshold segmentation method based on a fuzzy set and Otsu, comprising:
the first method scheme comprises the following steps:
carrying out fuzzy enhancement processing on the original image by using a fuzzy algorithm;
carrying out normalization processing on the new image after enhancement processing;
respectively obtaining a threshold th1 of Renyi entropy and a threshold th2 of Otsu entropy;
respectively obtaining the between-class variance corresponding to the threshold th1 and the between-class variance corresponding to the threshold th 2;
calculating the weight S of the inter-class variance according to the threshold th1 and the inter-class variance corresponding to the threshold th21And the weight S corresponding to the Renyi entropy2
Obtaining a segmentation threshold th ═ S1th2+S2th 1; and carrying out image segmentation according to the segmentation threshold th.
In the second method, based on the first method, the formula for determining the threshold th1 of Renyi entropy and the threshold th2 of Otsu entropy includes:
Figure GDA0003241586510000021
Figure GDA0003241586510000022
wherein th1 is a threshold of Renyi entropy; th2 is the Otsu threshold; eOThe Renyi entropy of the target domain of the original image is obtained; eBThe Renyi entropy of the background domain of the original image is obtained; l is the gray level of the original image; t is a gray threshold and t takes the value of [0, L-1 ]];w0Proportion of occurrence of gray scale of the first kind, w1Dividing the first class of gray scale and the second class of gray scale according to the gray scale threshold value t for the proportion of the second class of gray scale; sigma0Mean square error of gray scale, sigma, of the corresponding image for gray scale of the first type1The mean square error of the gray scale of the image corresponding to the second type of gray scale; and sigma is the gray level average value of the original image after the fuzzy enhancement and the normalization processing.
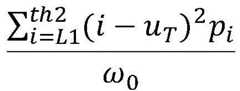
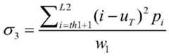
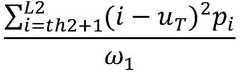
In the third method, on the basis of the first method or the second method, the process of calculating the inter-class variance includes:
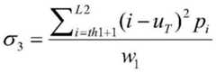
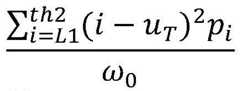
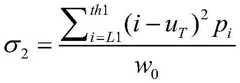
inter-class variance σ of threshold th1 of Renyi entropy2And σ3Comprises the following steps:
Figure GDA0003241586510000031
Figure GDA0003241586510000032
between-class variance σ of threshold th2 of Otsu4、σ5Are respectively correspondingly represented as
Figure GDA0003241586510000033
Figure GDA0003241586510000034
Wherein p isiFor the number of pixel points being niProbability of occurrence of gray levels of (a); u. ofTL1 is 0, and L2 is L-1, which is the average value of the gray levels of the original image.
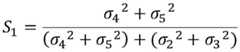
In the fourth method, on the basis of the third method, the process of calculating the weight of the inter-class variance includes:
Figure GDA0003241586510000035
wherein S is1Is the weight of the between-class variance, and S2=1–S1
In the fifth embodiment, on the basis of the fourth embodiment, the normalization process includes:
adopting a min or max operator to extract edges;
cutting off the extracted edge data;
the truncation processing is as follows:
Figure GDA0003241586510000041
wherein, Tr (u)ij) Is the edge data; u. ofijIs a membership function in the fuzzy algorithm.
The invention also provides an image threshold segmentation device based on the fuzzy set and Otsu, which comprises the following steps:
the device scheme one comprises a processor and a memory, wherein the processor stores instructions for realizing the following method:
carrying out fuzzy enhancement processing on the original image by using a fuzzy algorithm;
carrying out normalization processing on the new image after enhancement processing;
respectively obtaining a threshold th1 of Renyi entropy and a threshold th2 of Otsu entropy;
respectively obtaining the between-class variance corresponding to the threshold th1 and the between-class variance corresponding to the threshold th 2;
calculating the weight S of the inter-class variance according to the threshold th1 and the inter-class variance corresponding to the threshold th21And the weight S corresponding to the Renyi entropy2
Obtaining a segmentation threshold th ═ S1th2+S2th 1; and carrying out image segmentation according to the segmentation threshold th.
In the second device configuration, the formula for determining the threshold th1 of Renyi entropy and the threshold th2 of Otsu entropy includes:
Figure GDA0003241586510000042
Figure GDA0003241586510000043
wherein th1 is a threshold of Renyi entropy; th2 is the Otsu threshold; eOThe Renyi entropy of the target domain of the original image is obtained; eBThe Renyi entropy of the background domain of the original image is obtained; l is the gray level of the original image; t is a gray threshold and t takes the value of [0, L-1 ]];w0Proportion of occurrence of gray scale of the first kind, w1Dividing the first class of gray scale and the second class of gray scale according to the gray scale threshold value t for the proportion of the second class of gray scale; sigma0Mean square error of gray scale, sigma, of the corresponding image for gray scale of the first type1The mean square error of the gray scale of the image corresponding to the second type of gray scale; and sigma is the gray level average value of the original image after the fuzzy enhancement and the normalization processing.
In the third device solution, the process of finding the inter-class variance on the basis of the first device solution or the second device solution includes:
inter-class variance σ of threshold th1 of Renyi entropy2And σ3Comprises the following steps:
Figure GDA0003241586510000051
Figure GDA0003241586510000052
between-class variance σ of threshold th2 of Otsu4、σ5Are respectively correspondingly represented as
Figure GDA0003241586510000053
Figure GDA0003241586510000054
Wherein p isiFor the number of pixel points being niProbability of occurrence of gray levels of (a); u. ofTL1 is 0, and L2 is L-1, which is the average value of the gray levels of the original image.
In the fourth embodiment, on the basis of the third embodiment, the calculating of the weight of the inter-class variance includes:
Figure GDA0003241586510000055
wherein S is1Is the weight of the between-class variance, and S2=1–S1
In the fifth embodiment, on the basis of the fourth embodiment, the normalization process includes:
adopting a min or max operator to extract edges;
cutting off the extracted edge data;
the truncation processing is as follows:
Figure GDA0003241586510000056
wherein, Tr (u)ij) Is the edge data; u. ofijIs a membership function in the fuzzy algorithm.
The invention has the beneficial effects that: firstly, a new fuzzy enhancement membership function is given based on a fuzzy set; then, constructing the between-class variance of Otsu by using a discretization method of mean square error; and finally, combining a Renyi entropy theory, introducing a Renyi entropy of the image obtained by weight calculation, and completing image segmentation by using a threshold value of the maximum Renyi entropy. Compared with the traditional threshold segmentation algorithm, the method has better advantages in the accuracy of segmentation edges and the robustness to noise, has good stability and segmentation effect, and can effectively improve the precision of image segmentation.
Drawings
FIG. 1 is a flow chart of the method of the present invention;
FIG. 2 is a graph of the effect of one iteration of the Pal-King method on a Lena image;
FIG. 3 is a graph of the effect of applying the Pal-King method to Lena images iteratively twice;
FIG. 4 is a graph of the effect of one iteration of the method of the present invention on a Lena image;
FIG. 5 is a Cameraman image;
FIG. 6 is a Cameraman blur enhanced image;
FIG. 7 is a segmentation result of a Cameraman image using a conventional Otsu algorithm;
FIG. 8 is a segmentation result of a Cameraman image using the method of the present invention;
FIG. 9 is a histogram of a Cameraman image;
FIG. 10 is a Goldhill image;
FIG. 11 is a Goldhill blur enhanced image;
FIG. 12 is the result of segmentation of a Godhill image using a conventional Otsu algorithm;
FIG. 13 is the result of a segmentation of a Goldhill image using the method of the present invention;
fig. 14 is a histogram of a Goldhill image.
Detailed Description
The present invention will be described in further detail with reference to the accompanying drawings.
In order to solve the problems that the traditional Otsu algorithm has an unobvious and inaccurate image segmentation effect on images containing noise and uneven illumination, a fuzzy set and Otsu-based image threshold segmentation method and device are provided. Firstly, a new fuzzy enhancement membership function is given based on a fuzzy set; then, constructing the between-class variance of Otsu by using a discretization method of mean square error; and finally, combining a Renyi entropy theory, introducing a Renyi entropy of the image obtained by weight calculation, and completing image segmentation by using a threshold value of the maximum Renyi entropy.
According to the concept of blur set, an image with size of M × N and gray level of L can be expressed as an M × N blur matrix as follows:
Figure GDA0003241586510000071
wherein each element in the matrix
Figure GDA0003241586510000072
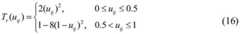
Representing the gray scale x of a pixel (i, j) in an imageijThis is a problem for finding the blur distribution with respect to the degree of membership of the corresponding gray level x in the original image. Among the classical fuzzy enhancement algorithms, Pal and King propose a fuzzy enhancement algorithm in which the membership functions used are:
Figure GDA0003241586510000073
wherein the parameter Fd、FeAnd uijCan be determined by the transition point. In general, take Fe2 to yield uijThen, the image is subjected to fuzzy enhancement processing by adopting the following transformation:
uij=Tr(uij)=T1(Tr-1(uij)) (3)
wherein r is 1,2, ….
Figure GDA0003241586510000074
When u isij>At 0.5, u is increasedijA value of (d); when u isijWhen u is less than or equal to 0.5, u is reducedijThe value of (c). For u is pairedijInverse transformation is performed, and after blur enhancement, the gray value of the pixel (i, j) in the image X ', X' is obtained:
xij=T-1(uij) (5)
wherein, T-1(. cndot.) is the inverse operation of T (. cndot.) in equation (2).
The Ostu method is based on a gray level histogram of an image, and selects a criterion according to the maximum between-class variance of a target and a background. The basic idea is as follows: let L gray levels in total for the original gray image, the number of pixel points in a certain gray level is niAnd the total pixel of the image is N, the probability of each gray level occurrence can be obtained:
Figure GDA0003241586510000081
in image segmentation, the gray levels are divided into two classes according to the gray level of the image by using a threshold value t, namely C0Class (gray scale of 0,1,2, …, t) and C1Class (gray level t +1, t +2, …, L-1), the range of t is determined by the normalization process, and the initial value of t is the corresponding minimum value in the case where a gray level exists (the probability of occurrence of a gray level is not equal to 0). C0And C1The proportions appearing are respectively:
Figure GDA0003241586510000082
Figure GDA0003241586510000083
thus, C0Mean sum C1The mean values are respectively:
Figure GDA0003241586510000084
Figure GDA0003241586510000085
the average value of the gray levels of the whole image is:
Figure GDA0003241586510000086
therefore, the between-class variance is:
σB2=ω0(u0-uT)21(u1-uT)2 (12)
let t take a value between [0, L-1 ], and the threshold value that maximizes the distance between two parts of the image is the optimal threshold value of the Otsu method, and its expression:
Figure GDA0003241586510000091
first, improved blur enhancement
Let an image be X with size of M N, gray level of L, and maximum gray level of L-1, XijRepresenting the gray value of the (i, j) th pixel of the image, the new membership function can be defined as:
Figure GDA0003241586510000092
the following enhancement processing is performed on the image using repeated recursive calls:
uij=Tr(uij)=Tr(Tr-1(uij)) (15)
wherein r is 1,2, …, ∞.
Figure GDA0003241586510000093
Through multiple regression calling, operator Tr(uij) The larger membership value is enhanced and the smaller membership value is suppressed.
And (6) normalization processing. Adopting 'min' or 'max' operator to extract edge, and extracting 'edge' data Tr(uij) Performing truncation processing:
Figure GDA0003241586510000094
by the truncation process of equation (17), the image data can be converted from the blur domain to the spatial domain of the image, i.e., the grayscale domain of the image.
In order to verify the effectiveness of the improved fuzzy enhancement on image segmentation, a Lena image is selected and enhanced by respectively adopting a Pal-King method in the traditional fuzzy enhancement and an improved fuzzy enhancement method of the invention. The simulation experiment results are shown in fig. 2-4. The image enhancement effect of the method of the invention iterated 1 time in fig. 4 is better than that of the Pal-King method iterated 2 times in fig. 3. The improved fuzzy enhancement processing reserves the edge information of low gray values in the image, further reserves the integrity of the image information, and is beneficial to the next image segmentation.
Entropy of two, Renyi
Entropy is the basic method for describing uncertainty factors in information theory, and the boundary distribution of images is the most uncertain. Thus, the entropy at the boundary between the object and the background in the image is the largest (the amount of information is the largest), which reflects the overall outline of the image. The basic concept of Renyi entropy is given below: the probabilities of the object O and the object B are respectively set as:
Figure GDA0003241586510000101
Figure GDA0003241586510000102
and has PO(t)+PB(t) 1. The Renyi entropies corresponding to the image target domain and the background domain may thus be defined as:
Figure GDA0003241586510000103
Figure GDA0003241586510000104
the Renyi entropy of the image population is defined as:
Figure GDA0003241586510000105
where α >0, α is a parameter set to 0.7.
According to the threshold selection principle of maximum entropy image segmentation, a certain threshold t can make equation (22) obtain the maximum value, and then it is the optimal segmentation threshold, that is:
Figure GDA0003241586510000106
third, improved Otsu model
In general, the gray scales in different objects are relatively uniform, the gray scale variation of pixels distributed at the boundary between the objects and in the vicinity thereof is generally large, and the mean square difference value can represent the degree of the dispersion of the gray scales, that is, the uniformity of the gray scale distribution. Therefore, the gray scale change of the boundary can be approximately reflected by the mean square difference value of the image.
Given image C0、C1Mean square error of gray scale σ0、σ1Respectively expressed as:
Figure GDA0003241586510000111
Figure GDA0003241586510000112
the average gray level of the whole image after processing is expressed as:
Figure GDA0003241586510000113
the between-class variance is expressed as:
σB12=w00-σ)2+w11-σ)2 (27)
substituting the threshold t calculated by the Renyi entropy method into the formulas (24) and (25), calculating the variance of the threshold t as sigma22And σ32The image can be segmented into two objects:
Figure GDA0003241586510000114
Figure GDA0003241586510000115
wherein, L1 is 0, and L2 is L-1.
The weight corresponding to the threshold calculated by the maximum between-class variance method is represented as:
Figure GDA0003241586510000116
the weight corresponding to the threshold value of the Renyi entropy calculation is 1-S1
The method of the invention combines Renyi entropy and an improved Otsu model, and provides an image threshold segmentation algorithm (FSO-ITS) based on a fuzzy set and Otsu, as shown in FIG. 1, and the specific steps are described as follows:
step 1: inputting an original image;
step 2: applying a new membership function to carry out fuzzy enhancement processing on the original image;
and step 3: carrying out normalization processing on the enhanced image;
and 4, step 4: respectively solving threshold values th1 and th2 of Renyi entropy and improved Otsu;
and 5: separately determine the between-class variance σ of th12And σ3And th2 inter-class variance σ0And σ1
Step 6: taking the ratio of the between-class variance of th2 and the total between-class variance as a weight S;
and 7: and calculating a threshold value th when the sum of the Renyi entropy and the inter-class variance of the image reaches the maximum by using the weight, and finally segmenting the image.
The steps comprise the following formula:
Figure GDA0003241586510000121
Figure GDA0003241586510000122
Figure GDA0003241586510000123
Figure GDA0003241586510000124
Figure GDA0003241586510000125
Figure GDA0003241586510000126
Figure GDA0003241586510000127
Figure GDA0003241586510000128
fourth, experimental results and analysis
An experiment platform: pentium4 CPU3.0GHz's dual-core PC, the memory is 2GB, operating system is Windows7, the operational environment is Matlab7.0.
The conventional Otsu algorithm (Otsu N.A. threshold selection method from level gradients, J. IEEE Transactions on Systems, Man, and Cybernetics,1979,9(1):62-66.), Renyi entropy algorithm (Jizba P, Arimitsu T.Observability of Renyi's entry, J. Physical Review E,2004,69(2):026128.) and the FSO-ITS algorithm of the present invention were selected for experimental comparison and analysis.
To analyze and verify the actual effect of the proposed improved algorithm, a standard 256 × 256 pixel image Cameraman was taken experimentally, as shown in fig. 5. The original image is first subjected to blur enhancement processing like fig. 5, and the result is shown in fig. 6. Then, the processed image is segmented by using the conventional Otsu algorithm and the FSO-ITS algorithm, respectively, and the segmentation results are shown in fig. 7 and fig. 8, respectively. Fig. 9 is a histogram of an original image.
It can be seen from fig. 7 and 8 that the image obtained by the FSO-ITS algorithm segmentation has better denoising effect and clearer edge compared with the traditional Otsu algorithm. To further verify the effectiveness of the FSO-ITS algorithm, another standard image Goldhill with 512 pixels was selected and the experiment was continued, as shown in fig. 10. Fig. 11 shows the result of the blur enhancement, the segmentation effect is shown in fig. 12 and fig. 13, respectively, and fig. 14 is a histogram of the original image.
Analysis shows that the image segmented by the FSO-ITS algorithm ideally separates a target area and a background area of an original image and can fully reflect the edge contour of the image.
And then objectively analyzing the superiority of the method by using evaluation criteria such as an image segmentation threshold, a peak signal-to-noise ratio (PSNR) and information entropy. The peak signal-to-noise ratio is calculated statistically and averagely based on the gray value of the image pixel, and is a commonly used index for measuring signal distortion. Generally, the larger the PSNR, the better the image quality. The formula for PSNR given below is as follows:
Figure GDA0003241586510000141
where MSE is the mean square error between the pre-encoded and post-decoded pictures. The results of the peak signal-to-noise ratio experiments for the 3 algorithms are presented in table one below.
TABLE comparison of experimental results for peak signal-to-noise ratio for 3 algorithms
Figure GDA0003241586510000142
As can be seen from the table I, the PSNR of the FSO-ITS algorithm provided by the invention is the maximum, which means that the distortion of the algorithm is the minimum, and the original information of the image is most effectively preserved. The experimental results were analyzed for information entropy as follows. Entropy of image information is a statistical form of a feature. The method reflects the information content of the image, and the larger the information entropy value of the segmented image is, the larger the information content of the image obtained from a source image is, the richer the details of the segmented image are, and the better the total effect of the segmentation is. The formula of the information entropy h (x) is expressed as follows:
Figure GDA0003241586510000143
information entropy experimental result comparison of two 3 algorithms in table
Figure GDA0003241586510000144
As can be seen from the second table, the information entropy of the FSO-ITS algorithm provided by the invention is the largest, which means that the algorithm obtains the largest amount of information from the source image, the edge of the segmented image is more complete, and the image segmentation precision is effectively improved.
As can be seen from the experimental results of the table I and the table II, compared with the traditional Otsu algorithm, the FSO-ITS segmentation method has the advantages of better segmentation effect, continuous and complete edge and better detail processing; compared with the traditional Otsu algorithm and the Renyi entropy algorithm REA, the peak signal-to-noise ratio and the information entropy of the FSO-ITS are maximum, the image distortion is minimum, and the segmentation precision is highest.
The present invention is not limited to the described embodiments, for example, other forms of fuzzy membership functions or specific parameter settings are used, and the technical solution formed by fine tuning the above embodiments still falls within the protection scope of the present invention.

Claims (4)

1. An image threshold segmentation method based on fuzzy sets and Otsu is characterized by comprising the following steps:
carrying out fuzzy enhancement processing on the original image by using a fuzzy algorithm, wherein a membership function formula in the fuzzy algorithm is as follows:
Figure FDA0003198245890000011
l represents the gray level, xijRepresenting the gray value, u, of the (i, j) th pixel of the imageijA membership function value representing an (i, j) th pixel of the image;
carrying out normalization processing on the new image after enhancement processing;
respectively obtaining a threshold th1 of Renyi entropy and a threshold th2 of Otsu entropy;
Figure FDA0003198245890000012
Figure FDA0003198245890000013
wherein th1 is a threshold of Renyi entropy; th2 is the Otsu threshold; eOThe Renyi entropy of the target domain of the original image is obtained; eBThe Renyi entropy of the background domain of the original image is obtained; l is the gray level of the original image; t is a gray threshold and t takes the value of [0, L-1 ]];w0Proportion of occurrence of gray scale of the first kind, w1Dividing the first class of gray scale and the second class of gray scale according to the gray scale threshold value t for the proportion of the second class of gray scale; sigma0Mean square error of gray scale, sigma, of the corresponding image for gray scale of the first type1The mean square error of the gray scale of the image corresponding to the second type of gray scale; sigma isThe gray level average value of the original image after the fuzzy enhancement and the normalization processing;
respectively obtaining the between-class variance corresponding to the threshold th1 and the between-class variance corresponding to the threshold th 2;
inter-class variance σ of threshold th1 of Renyi entropy2And σ3Comprises the following steps:
Figure FDA0003198245890000014
Figure FDA0003198245890000015
between-class variance σ of threshold th2 of Otsu4、σ5Respectively expressed correspondingly as:
Figure FDA0003198245890000021
Figure FDA0003198245890000022
wherein p isiFor the number of pixel points being niProbability of occurrence of gray levels of (a); u. ofTL1 ═ 0 and L2 ═ L-1, which are the gray-scale average values of the original image;
calculating the weight S of the inter-class variance according to the threshold th1 and the inter-class variance corresponding to the threshold th21And the weight S corresponding to the Renyi entropy2
Figure FDA0003198245890000023
Wherein S is1Is the weight of the between-class variance, and S2 ═ 1-S1;
obtaining a segmentation threshold th ═ S1th2+S2th 1; and carrying out image segmentation according to the segmentation threshold th.
2. The method of claim 1, wherein the normalization process comprises:
adopting a min or max operator to extract edges;
cutting off the extracted edge data;
the truncation processing is as follows:
Figure FDA0003198245890000024
wherein, Tr(uij) Is the edge data; u. ofijIs a membership function in the fuzzy algorithm.
3. An image threshold segmentation device based on fuzzy sets and Otsu is characterized in that: comprising a processor and a memory, the processor storing instructions to implement a method comprising:
carrying out fuzzy enhancement processing on the original image by using a fuzzy algorithm, wherein a membership function formula in the fuzzy algorithm is as follows:
Figure FDA0003198245890000025
l represents the gray level, xijRepresenting the gray value, u, of the (i, j) th pixel of the imageijA membership function value representing an (i, j) th pixel of the image;
carrying out normalization processing on the new image after enhancement processing;
respectively obtaining a threshold th1 of Renyi entropy and a threshold th2 of Otsu entropy;
Figure FDA0003198245890000031
Figure FDA0003198245890000032
wherein th1 is a threshold of Renyi entropy; th2 is the Otsu threshold; eOThe Renyi entropy of the target domain of the original image is obtained; eBThe Renyi entropy of the background domain of the original image is obtained; l is the gray level of the original image; t is a gray threshold and t takes the value of [0, L-1 ]];w0Proportion of occurrence of gray scale of the first kind, w1Dividing the first class of gray scale and the second class of gray scale according to the gray scale threshold value t for the proportion of the second class of gray scale; sigma0Mean square error of gray scale, sigma, of the corresponding image for gray scale of the first type1The mean square error of the gray scale of the image corresponding to the second type of gray scale; sigma is the gray level average value of the original image after the fuzzy enhancement and the normalization processing;
respectively obtaining the between-class variance corresponding to the threshold th1 and the between-class variance corresponding to the threshold th 2;
inter-class variance σ of threshold th1 of Renyi entropy2And σ3Comprises the following steps:
Figure FDA0003198245890000033
Figure FDA0003198245890000034
between-class variance σ of threshold th2 of Otsu4、σ5Respectively expressed correspondingly as:
Figure FDA0003198245890000035
Figure FDA0003198245890000036
wherein p isiFor the number of pixel points being niProbability of occurrence of gray levels of (a); u. ofTL1 ═ 0 and L2 ═ L-1, which are the gray-scale average values of the original image;
calculating the weight S of the inter-class variance according to the threshold th1 and the inter-class variance corresponding to the threshold th21And the weight S corresponding to the Renyi entropy2
Figure FDA0003198245890000041
Wherein S1 is the weight of the between-class variance, and S2 ═ 1-S1;
obtaining a segmentation threshold th ═ S1th2+S2th 1; and carrying out image segmentation according to the segmentation threshold th.
4. The apparatus of claim 3, wherein the normalization process comprises:
adopting a min or max operator to extract edges;
cutting off the extracted edge data;
the truncation processing is as follows:
Figure FDA0003198245890000042
wherein, Tr(uij) Is the edge data; u. ofijIs a membership function in the fuzzy algorithm.
CN201810128721.9A2018-02-082018-02-08 A kind of image threshold segmentation method and device based on fuzzy set and OtsuExpired - Fee RelatedCN108510499B (en)

Priority Applications (1)

Application NumberPriority DateFiling DateTitle
CN201810128721.9ACN108510499B (en)2018-02-082018-02-08 A kind of image threshold segmentation method and device based on fuzzy set and Otsu

Applications Claiming Priority (1)

Application NumberPriority DateFiling DateTitle
CN201810128721.9ACN108510499B (en)2018-02-082018-02-08 A kind of image threshold segmentation method and device based on fuzzy set and Otsu

Publications (2)

Publication NumberPublication Date
CN108510499A CN108510499A (en)2018-09-07
CN108510499Btrue CN108510499B (en)2021-10-15

Family

ID=63374608

Family Applications (1)

Application NumberTitlePriority DateFiling Date
CN201810128721.9AExpired - Fee RelatedCN108510499B (en)2018-02-082018-02-08 A kind of image threshold segmentation method and device based on fuzzy set and Otsu

Country Status (1)

CountryLink
CN (1)CN108510499B (en)

Families Citing this family (12)

* Cited by examiner, † Cited by third party
Publication numberPriority datePublication dateAssigneeTitle
CN109815894A (en)*2019-01-232019-05-28中国石油大学(华东) A building shadow extraction processing method for Sentinel 2A images
CN111311525A (en)*2019-11-202020-06-19重庆邮电大学 A dual-interval equalization algorithm for image gradient field based on histogram probability correction
CN111062962B (en)*2019-12-062022-09-27昆明理工大学 A Multi-threshold Ultrasound Image Segmentation Method Based on Differential Search Algorithm
CN111257875B (en)*2020-01-192023-04-07浙江海洋大学Sea surface oil spill monitoring method and device based on SAR
CN111008988B (en)*2020-03-042020-07-03执鼎医疗科技(杭州)有限公司Meibomian gland image processing method
CN111862007B (en)*2020-07-022021-01-08哈尔滨市科佳通用机电股份有限公司Freight car brake cylinder inclination detection method based on variance region segmentation
CN112200826B (en)*2020-10-152023-11-28北京科技大学 An industrial weak defect segmentation method
CN113362319A (en)*2021-06-302021-09-07深圳市创想三维科技股份有限公司Laser printing method and device based on image processing, laser printer and computer readable storage medium
CN114792443B (en)*2022-04-252025-08-12扬州大学Intelligent device gesture recognition control method based on image recognition
CN115482510B (en)*2022-08-262025-10-03东南大学 A method for augmenting traffic flow dataset in rainy and foggy weather based on image style transfer
CN115797383B (en)*2022-11-182025-07-25山东大学Image segmentation threshold calculation method based on brightness weighted maximum inter-class variance
CN117152294A (en)*2023-10-312023-12-01江西中科健康体检有限公司CT image processing method, system, equipment and storage medium

Citations (5)

* Cited by examiner, † Cited by third party
Publication numberPriority datePublication dateAssigneeTitle
CN103871029A (en)*2014-01-282014-06-18西安科技大学Image enhancement and partition method
ES2481347A1 (en)*2012-12-262014-07-29Universidad De AlmeriaMethod for the automatic interpretation of images for the quantification of nucelar tumour markers
CN105205821A (en)*2015-09-212015-12-30江苏科技大学 A Welding Image Segmentation Method
CN106296671A (en)*2016-08-032017-01-04昆明理工大学A kind of image partition method based on Gabor entropy of histogram
CN109145921A (en)*2018-08-292019-01-04江南大学A kind of image partition method based on improved intuitionistic fuzzy C mean cluster

Family Cites Families (1)

* Cited by examiner, † Cited by third party
Publication numberPriority datePublication dateAssigneeTitle
US10217017B2 (en)*2015-09-172019-02-26Board Of Regents, The University Of Texas SystemSystems and methods for containerizing multilayer image segmentation

Patent Citations (5)

* Cited by examiner, † Cited by third party
Publication numberPriority datePublication dateAssigneeTitle
ES2481347A1 (en)*2012-12-262014-07-29Universidad De AlmeriaMethod for the automatic interpretation of images for the quantification of nucelar tumour markers
CN103871029A (en)*2014-01-282014-06-18西安科技大学Image enhancement and partition method
CN105205821A (en)*2015-09-212015-12-30江苏科技大学 A Welding Image Segmentation Method
CN106296671A (en)*2016-08-032017-01-04昆明理工大学A kind of image partition method based on Gabor entropy of histogram
CN109145921A (en)*2018-08-292019-01-04江南大学A kind of image partition method based on improved intuitionistic fuzzy C mean cluster

Non-Patent Citations (5)

* Cited by examiner, † Cited by third party
Title
《one image segmentation method based on Otsu and fuzzy theory seeking image segment threshold》;Zhiwei TANG;《IEEE》;20111103;全文*
基于Otsu与模糊技术的图像分割方法;徐琳俊等;《计算机工程与应用》;20120316(第32期);全文*
基于模糊集和Otsu理论的PCB图像分割算法;张鹏程等;《中北大学学报(自然科学版)》;20090815(第04期);全文*
模糊Renyi熵与QGA结合的快速图像分割;赵敏等;《计算机工程与应用》;20110601(第16期);全文*
赵敏等.模糊Renyi熵与QGA结合的快速图像分割.《计算机工程与应用》.2011,(第16期),*

Also Published As

Publication numberPublication date
CN108510499A (en)2018-09-07

Similar Documents

PublicationPublication DateTitle
CN108510499B (en) A kind of image threshold segmentation method and device based on fuzzy set and Otsu
Srinivasan et al.Statistical texture analysis
Kervrann et al.Optimal spatial adaptation for patch-based image denoising
Tso et al.A contextual classification scheme based on MRF model with improved parameter estimation and multiscale fuzzy line process
Kobylin et al.Comparison of standard image edge detection techniques and of method based on wavelet transform
Yang et al.Constant time median and bilateral filtering
US8983199B2 (en)Apparatus and method for generating image feature data
CN110378924A (en)Level set image segmentation method based on local entropy
CN113139936B (en)Image segmentation processing method and device
Giveki et al.Atanassov's intuitionistic fuzzy histon for robust moving object detection
Wang et al.Color image segmentation using PDTDFB domain hidden Markov tree model
Nizami et al.Impact of visual saliency on multi-distorted blind image quality assessment using deep neural architecture
Dhillon et al.Edge-preserving image denoising using noise-enhanced patch-based non-local means
Ansari et al.A novel approach for scene text extraction from synthesized hazy natural images
Hadid et al.Face and texture analysis using local descriptors: a comparative analysis
Maity et al.Background modeling and foreground extraction in video data using spatio-temporal region persistence features
DasA statistical tool based binarization method for document images
Karamizadeh et al.Race classification using gaussian-based weight K-nn algorithm for face recognition
Jeelani et al.Content-aware enhancement of images with filamentous structures
Murali et al.Shadow removal from uniform-textured images using iterative thresholding of shearlet coefficients
Ramudu et al.Level Set Segmentation of Images using Block Matching Local SVD Operator based Sparsity and TV Regularization
Singh et al.Variational mode decomposition-based multilevel threshold selection scheme for color image segmentation
CN110147824B (en)Automatic image classification method and device
Rashid et al.Analysis of different image processing strategies
Deng et al.Integration of local information-based transition region extraction and thresholding

Legal Events

DateCodeTitleDescription
PB01Publication
PB01Publication
SE01Entry into force of request for substantive examination
SE01Entry into force of request for substantive examination
GR01Patent grant
GR01Patent grant
CF01Termination of patent right due to non-payment of annual fee

Granted publication date:20211015

CF01Termination of patent right due to non-payment of annual fee

[8]ページ先頭

©2009-2025 Movatter.jp