








技术领域technical field
本发明属于雷达信号处理技术领域,尤其涉及一种基于概率统计的低信噪比条件下的目标检测方法。The invention belongs to the technical field of radar signal processing, and in particular relates to a target detection method under the condition of low signal-to-noise ratio based on probability statistics.
背景技术Background technique
低信噪比目标检测是现代雷达研究的热点问题。雷达作为现代战争中主要电子信息装备,一直担负着战场信息获取、处理及电路实现任务,只有确定感兴趣的目标是否存在,并获取目标速度、角度等相关信息,才能对目标进行定位跟踪,成像识别。随着战场中的电磁环境越来越复杂,杂波和噪声干扰严重,隐身技术的运用降低了目标的可探测特征,低可截获技术运用极宽带调频技术、类噪声调制和间或方向图伪随机扫描,这些因素将导致接收到的目标信号信噪比非常低,使得雷达的探测变得非常困难。在目标信号被接收的同时,一些不需要的干扰信号不可避免的被接收,而且电磁环境中的背景噪声干扰是雷达信号处理时固有的,因此为了确定目标信号是否存在于雷达回波中,雷达信号处理器必须有对目标的有无进行判断的环节。早期的雷达目标检测系统对目标的判断能力全取决于操作人员的经验,现代雷达系统采用了自动检测系统,克服了目标检测性能受工作人员能力限制这一缺点。自动检测系统将统计决策理论应用到目标检测中,事先设定一个检测门限,然后依据判决准则来检测目标。然而,若检测门限设置为常数,那么在非平稳杂波下,当背景杂波的平均功率增加几个分贝时,虚警概率会急速上升,以至于计算机处理能力饱和,影响雷达系统正常工作。所以雷达目标检测过程中采用恒虚警率检测方法,根据杂波强度的变化自适应地改变检测门限,以获得最大化的检测概率和恒定的虚警概率,但是恒虚警率目标检测技术对信噪比有要求,低信噪比条件下检测结果不佳。不少学者针对低信噪比条件下的目标检测问题提出长时间积累方法,但随着新体制雷达的发展和日趋复杂的电磁干扰环境,长时间积累的目标检测方法有时也不一定有效提高信噪比,因此目标检测效果不理想。Low signal-to-noise ratio target detection is a hot issue in modern radar research. As the main electronic information equipment in modern warfare, radar has always been responsible for the acquisition, processing and circuit realization of battlefield information. Only by determining whether the target of interest exists, and obtaining relevant information such as target speed and angle, can the target be positioned, tracked, and imaged. identify. As the electromagnetic environment in the battlefield becomes more and more complex, clutter and noise interference are serious, the application of stealth technology reduces the detectable characteristics of the target, and the low interceptable technology uses extremely wideband frequency modulation technology, noise-like modulation and occasional pattern pseudo-random Scanning, these factors will result in a very low signal-to-noise ratio of the received target signal, making radar detection very difficult. When the target signal is received, some unwanted interference signals are inevitably received, and the background noise interference in the electromagnetic environment is inherent in radar signal processing, so in order to determine whether the target signal exists in the radar echo, the radar The signal processor must have a link to judge the presence or absence of the target. The ability of the early radar target detection system to judge the target depends entirely on the experience of the operator. The modern radar system adopts an automatic detection system, which overcomes the shortcoming that the target detection performance is limited by the ability of the staff. The automatic detection system applies the statistical decision theory to the target detection, sets a detection threshold in advance, and then detects the target according to the decision criterion. However, if the detection threshold is set to be constant, then under non-stationary clutter, when the average power of the background clutter increases by several decibels, the false alarm probability will increase rapidly, so that the computer processing capacity is saturated, affecting the normal operation of the radar system. Therefore, the constant false alarm rate detection method is used in the radar target detection process, and the detection threshold is adaptively changed according to the change of the clutter intensity to obtain the maximum detection probability and constant false alarm probability. The signal-to-noise ratio is required, and the detection result is not good under the condition of low signal-to-noise ratio. Many scholars have proposed long-term accumulation methods for target detection under low signal-to-noise ratio conditions. However, with the development of new radar systems and the increasingly complex electromagnetic interference environment, long-term accumulation of target detection methods is sometimes not necessarily effective. noise ratio, so the target detection effect is not ideal.
发明内容SUMMARY OF THE INVENTION
本发明针对上述现代雷达研究中的目标检测问题,提出一种基于概率统计的低信噪比条件下目标检测方法。本发明一般不限于雷达的工作体制,不仅适用于单脉冲的低信噪比目标检测,而且适用于多脉冲长时间积累后的低信噪比目标检测。本发明能有效提高低信噪比条件下目标检测准确率,而且算法处理的数据量小,易于工程化实现。Aiming at the target detection problem in the above-mentioned modern radar research, the present invention proposes a target detection method under the condition of low signal-to-noise ratio based on probability statistics. The invention is generally not limited to the working system of the radar, and is not only suitable for the detection of a low signal-to-noise ratio target with a single pulse, but also for the target detection with a low signal-to-noise ratio after a long time accumulation of multiple pulses. The invention can effectively improve the accuracy of target detection under the condition of low signal-to-noise ratio, and the amount of data processed by the algorithm is small, which is easy to be implemented by engineering.
本发明的技术方案包含以下步骤:The technical scheme of the present invention comprises the following steps:
S1.根据雷达工作中威力覆盖的方位和距离范围,对感兴趣的观测区域进行方位单元和距离单元划分,其中方位单元θ∈{θi|i=1,2,···,M}和距离单元r∈{rj|j=1,2,···,N},M和N分别表示该区域方位单元数目和距离单元数目;S1. According to the azimuth and distance range covered by the power in the radar work, divide the azimuth unit and the distance unit for the observation area of interest, where the azimuth unit θ∈{θi |i =1,2,...,M} and The distance unit r∈{rj |j=1,2,...,N}, where M and N respectively represent the number of azimuth units and the number of distance units in the area;
S2.根据步骤S1中雷达天线朝向的感兴趣观测区域的单元划分,接收机天线各个单元通道采用带通正交采样采集不同方位单元和距离单元的回波信号;S2. According to the unit division of the observation area of interest facing the radar antenna in step S1, each unit channel of the receiver antenna adopts band-pass orthogonal sampling to collect echo signals of different azimuth units and distance units;
S3.对步骤S2采集接收到的回波信号进行数据预处理,再经数字下变频得到基带回波信号,对基带回波信号进行低通滤波,消除带宽以外的干扰和噪声;S3. Data preprocessing is performed on the echo signal collected and received in step S2, and then the baseband echo signal is obtained by digital down-conversion, and the baseband echo signal is subjected to low-pass filtering to eliminate interference and noise outside the bandwidth;
S4.根据步骤S1中感兴趣的观测区域划分的方位单元{θi|i=1,2,···,M},为形成第i个方位单元对应的波束,采取同时多波束的方法进行覆盖观测区域中划分的方位单元{θi|i=1,2,···,M}得到第i个方位单元对应的波束权矢量Wi=[w0i,w1i,···,w1i,···,wLi],wli为第l(l∈(0,1,···L-1))个单元通道加权系数,L为接收机采用的阵列天线的单元数;S4. According to the azimuth units {θi |i=1, 2, . Covering the divided azimuth units {θi |i=1,2,...,M} in the observation area to obtain the beam weight vector Wi =[w0i ,w1i ,...,wcorresponding to the ith azimuth unit1i ,...,wLi ], wli is the channel weighting coefficient of the l(l∈(0,1,...L-1)) element, and L is the number of elements of the array antenna used by the receiver;
S5.将步骤S4得到的波束权矢量和步骤S3得到的基带回波信号相乘得到含有方位信息的基带回波信号;S5. Multiply the beam weight vector obtained in step S4 and the baseband echo signal obtained in step S3 to obtain a baseband echo signal containing azimuth information;
S6.对步骤S5中含有方位信息的基带回波信号进行脉冲压缩处理,脉冲压缩利用匹配滤波方法实现,最后得到含有方位信息的脉冲压缩后的基带回波信号;S6. Pulse compression is performed on the baseband echo signal containing the azimuth information in step S5, and the pulse compression is realized by a matched filtering method, and finally a pulse-compressed baseband echo signal containing the azimuth information is obtained;
S7.根据步骤S6中得到的含有方位信息的脉冲压缩后的基带回波信号,对观测时间内所有回波信号的包络进行门限检测,统计记录每一条回波包络过门限的距离单元和方位单元;S7. According to the compressed baseband echo signal containing the azimuth information obtained in step S6, threshold detection is performed on the envelopes of all echo signals within the observation time, and the distance unit and the threshold value of each echo envelope are recorded statistically. azimuth unit;
S8.根据步骤S7中回波包络过门限的距离单元和方位单元统计结果,分别对不同方位单元和不同距离单元对应的检测频度做概率直方图;S8. according to the distance unit and the azimuth unit statistical result that the echo envelope crosses the threshold in step S7, make probability histogram to the detection frequency corresponding to different azimuth units and different distance units respectively;
S9.根据步骤S8中得到的不同方位单元和不同距离单元概率直方图进行检测判决,对比不同方位单元和距离单元对应的概率直方图中检测频度分布,概率直方图中过门限检频度明显高于其他判决目标存在的,其对应的方位单元和距离单元即为目标的方位和距离信息;S9. Perform detection and judgment according to the probability histograms of different azimuth units and different distance units obtained in step S8, and compare the detection frequency distribution in the probability histograms corresponding to different azimuth units and distance units. If it exists higher than other judgment targets, its corresponding azimuth unit and distance unit are the azimuth and distance information of the target;
S10.如果步骤S9中概率直方图的检测判决无法给出准确的目标检测结果,则采用如下经过改进的概率直方图检测判决方法:根据步骤S1中方位和距离单元大小调整概率直方图的窗宽,再重复进行步骤S9的概率直方图检测判决,直到概率直方图的频度分布能明显给出目标检测结果,最后将目标检测结果输出;S10. If the detection judgment of the probability histogram in step S9 cannot give an accurate target detection result, the following improved probability histogram detection judgment method is adopted: adjust the window width of the probability histogram according to the azimuth and distance unit size in step S1 , and then repeat the probability histogram detection decision in step S9 until the frequency distribution of the probability histogram can clearly give the target detection result, and finally output the target detection result;
对于采用长时间积累的低信噪比条件下的目标检测,将步骤S6中得到脉冲压缩后的回波信号进行长时间积累,得到长时间积累后的回波信号后,重复步骤S7-S10。For the target detection under the condition of low signal-to-noise ratio using long-time accumulation, the pulse-compressed echo signal obtained in step S6 is accumulated for a long time, and after obtaining the echo signal accumulated for a long time, steps S7-S10 are repeated.
本发明具有以下优点:The present invention has the following advantages:
(1)本发明所提出的方法能够在信噪比低和虚警概率高的情况下,提高雷达对观测区域的目标检测性能。(1) The method proposed in the present invention can improve the target detection performance of the radar in the observation area under the condition of low signal-to-noise ratio and high false alarm probability.
(2)本发明所提出的方法适用于单脉冲目标检测。(2) The method proposed by the present invention is suitable for single-pulse target detection.
(3)本发明所提出的方法适用于长时间积累后的低信噪比目标检测。(3) The method proposed in the present invention is suitable for low signal-to-noise ratio target detection after long-term accumulation.
(4)本发明所提出的方法可用于多目标检测。(4) The method proposed by the present invention can be used for multi-target detection.
(5)本发明所提出的方法数据处理量小,适合实时处理,易于工程化实现。(5) The method proposed in the present invention has a small amount of data processing, is suitable for real-time processing, and is easy to implement in engineering.
附图说明Description of drawings
图1是本发明提出的方法实施流程图;Fig. 1 is the method implementation flow chart that the present invention proposes;
图2是本发明提出的方法所涉及的观测区域方位单元和距离单元划分示意图;2 is a schematic diagram of the division of the azimuth unit and the distance unit of the observation area involved in the method proposed by the present invention;
图3是本发明的一个具体实施例中接收信号的同时多波束方法示意图;3 is a schematic diagram of a simultaneous multi-beam method for receiving signals in a specific embodiment of the present invention;
图4是本发明的一个具体实施例中恒虚警目标检测示意图;4 is a schematic diagram of constant false alarm target detection in a specific embodiment of the present invention;
图5是本发明的一个具体实施例中实测数据的方位单元1概率直方图;5 is a probability histogram of the
图6是本发明的一个具体实施例中实测数据的方位单元2概率直方图;Fig. 6 is the probability histogram of the
图7是本发明的一个具体实施例中距离单元变化后的概率直方图;Fig. 7 is the probability histogram after the distance unit changes in a specific embodiment of the present invention;
图8是本发明仿真不同虚警概率下检测概率与信噪比的关系图;8 is a graph showing the relationship between detection probability and signal-to-noise ratio under different false alarm probabilities in the simulation of the present invention;
图9是本发明仿真不同信噪比下检测概率与虚警概率的关系图;Fig. 9 is the relation diagram of detection probability and false alarm probability under different SNR simulations of the present invention;
具体实施方式Detailed ways
下面结合附图及具体实施例对本发明做进一步阐述。The present invention will be further described below with reference to the accompanying drawings and specific embodiments.
本例以脉冲体制雷达为例,信号调制形式为线性调频,载波频率300MHz,带宽5MHz,接收机采用10单元等间距水平布阵的线性阵列天线,波长λ为1m,单元间距d为0.5m,天线安装伺服控制系统,可以控制天线朝向感兴趣的观测区域,观测区域的方位范围为-45°到45°,距离范围为130Km到200Km,方位单元大小为10°,距离单元为30m。In this example, the pulse system radar is used as an example. The signal modulation form is linear frequency modulation, the carrier frequency is 300MHz, and the bandwidth is 5MHz. The receiver adopts a linear array antenna with 10 elements equally spaced horizontally. The antenna is installed with a servo control system, which can control the antenna toward the observation area of interest. The azimuth range of the observation area is -45° to 45°, the distance range is 130Km to 200Km, the azimuth unit size is 10°, and the distance unit is 30m.
参照图1中本发明涉及的方法实施流程图,基于概率统计的低信噪比条件下目标检测方法主要包含以下步骤:Referring to the implementation flowchart of the method involved in the present invention in FIG. 1 , the target detection method under the condition of low signal-to-noise ratio based on probability statistics mainly includes the following steps:
S1.根据雷达的系统参数确定雷达威力覆盖的方位和距离范围,利用天线伺服系统控制雷达天线朝向雷达威力覆盖范围内感兴趣的观测区域,对该区域进行单元划分,其中方位单元θ∈{θi|i=1,2,···,M}和距离单元r∈{rj|j=1,2···,N},M和N分别表示该区域方位单元数目和距离单元数目,图2是本发明提出的方法所涉及的观测区域中方位单元和距离单元划分示意图;S1. Determine the azimuth and distance range covered by the radar power according to the system parameters of the radar, use the antenna servo system to control the radar antenna to face the observation area of interest within the radar power coverage range, and divide the area into units, where the azimuth unit θ∈{θi |i=1,2,...,M} and distance unit r∈{rj |j=1,2...,N}, M and N represent the number of azimuth units and the number of distance units in the area, respectively, 2 is a schematic diagram of the division of azimuth units and distance units in the observation area involved in the method proposed by the present invention;
S2.根据步骤S1中雷达天线朝向的感兴趣观测区域的单元划分,接收机天线各个单元通道采用带通正交采样采集不同方位单元和距离单元的回波信号;S2. According to the unit division of the observation area of interest facing the radar antenna in step S1, each unit channel of the receiver antenna adopts band-pass orthogonal sampling to collect echo signals of different azimuth units and distance units;
S3.对步骤S2中采集到的回波信号进行放大和滤波等数据预处理,再经数字下变频后得到基带回波信号,对基带回波信号进行低通滤波,消除带宽以外的干扰和噪声:基带回波信号通过光纤传输到信号处理板进行实时处理,同时可以通过光纤传输到大容量磁盘阵列里用于后期信号处理;S3. Perform data preprocessing such as amplification and filtering on the echo signal collected in step S2, and then obtain a baseband echo signal after digital down-conversion, and perform low-pass filtering on the baseband echo signal to eliminate interference and noise outside the bandwidth : The baseband echo signal is transmitted to the signal processing board through the optical fiber for real-time processing, and can also be transmitted to the large-capacity disk array through the optical fiber for later signal processing;
S4.采取同时多波束的方法进行覆盖步骤S1中划分的感兴趣观测区域中的方位单元,得到所有方位单元对应的波束权矢量:因为目标回波的信噪比很低,为了较为完整的接收感兴趣区域内的目标回波信号,必须通过采用数字波束形成技术中同时多波束的方法同时形成多个波束来覆盖感兴趣的观测区域,本步骤的具体实现过程如下:S4. Adopt the method of simultaneous multi-beam to cover the azimuth units in the observation area of interest divided in step S1, and obtain the beam weight vectors corresponding to all the azimuth units: because the signal-to-noise ratio of the target echo is very low, in order to receive a more complete For the target echo signal in the area of interest, multiple beams must be formed simultaneously to cover the observation area of interest by using the simultaneous multi-beam method in the digital beamforming technology. The specific implementation process of this step is as follows:
接收天线是L单元等间距水平布阵的线性阵列天线,根据步骤S1中感兴趣观测区域方位单元划分{θi|i=1,2,···,M},为形成第i个方位单元对应的波束对第l(l∈(0,1,···L-1))个单元通道加权系数wli:The receiving antenna is a linear array antenna with L units equally spaced horizontally arrayed. According to the azimuth unit of the observation area of interest in step S1, it is divided into {θi |i=1,2,...,M}, in order to form the i-th azimuth unit The corresponding beam pair l(l∈(0,1,...L-1)) unit channel weighting coefficient wli :
其中al为阵列天线第l个单元的幅度加权系数,则第i个方位单元对应的波束权矢量Wi为:where al is the amplitude weighting coefficient of the l-th element of the array antenna, then the beam weight vector Wi corresponding to the i-th azimuth element is:
S5.将步骤S4中不同方位单元的波束权矢量Wi和步骤S3中天线不同单元通道的基带回波信号相乘得到含有方位信息的基带回波信号:将不同方位单元的波束权矢量乘以天线不同单元通道的基带回波信号得到不同方位单元对应的基带回波信号,此时天线单元通道的基带回波信号转换为方位单元的基带回波信号,即含有方位信息的基带回波信号;S5. Multiply the beam weight vectors Wi of different azimuth units in step S4 and the baseband echo signals of different unit channels of the antenna in step S3 to obtain the baseband echo signals containing azimuth information: multiply the beam weight vectors of different azimuth units by The baseband echo signals corresponding to different azimuth units are obtained from the baseband echo signals of different unit channels of the antenna. At this time, the baseband echo signals of the antenna unit channels are converted into the baseband echo signals of the azimuth unit, that is, the baseband echo signals containing the azimuth information;
S6.对步骤S5中得到的含有方位信息的基带回波信号进行脉冲压缩,脉冲压缩通过匹配滤波技术实现,通过构造滤波器响应函数h(t)与含有方位信息的回波信号进行卷积相乘,最后得到含有方位信息的脉冲压缩后的基带回波信号;S6. Pulse compression is performed on the baseband echo signal containing azimuth information obtained in step S5, and the pulse compression is realized by matched filtering technology, and the echo signal containing azimuth information is convolved by constructing the filter response function h(t). Multiply, and finally get the pulse-compressed baseband echo signal containing azimuth information;
本步骤的具体实现过程如下:The specific implementation process of this step is as follows:
脉冲体制雷达的信号调制形式为线性调频,则雷达发射信号基带信号s(t)表达式为:The signal modulation form of the pulse system radar is linear frequency modulation, then the baseband signal s(t) of the radar transmit signal is expressed as:
其中Tp为发射信号的脉冲宽度,B是回波信号的带宽,K=B/Tp是回波信号的调频斜率。若雷达系统的脉冲载频不是恒定常数,则经过载频调制之后第n条发射信号的波形为:Among them, Tp is the pulse width of the transmitted signal, B is the bandwidth of the echo signal, and K=B/Tp is the frequency modulation slope of the echo signal. If the pulse carrier frequency of the radar system is not constant, the waveform of the nth transmitted signal after carrier frequency modulation for:
其中和tn分别为发射信号的快时间(脉冲内的采样间隔)和慢时间(脉冲间的采样间隔),tn=nTr,其中Tr为雷达发射的脉冲重复周期,fn为第n条脉冲的载频。假设运动目标背离雷达方向做匀速运动,在t=0时刻的初始距离为r0,速度为v0,则目标距离r(t)随时间变化的关系式:in and tn are the fast time (sampling interval within a pulse) and slow time (sampling interval between pulses) of the transmitted signal, respectively,tn =nTr , where Tr is the pulse repetition period transmitted by the radar, and fn is the carrier frequency of the nth pulse. Assuming that the moving target moves at a uniform speed away from the radar direction, the initial distance at t=0 is r0 and the speed is v0 , the relationship between the target distance r(t) changes with time:
r(t)=r(tn)=r0+v0tnr(t)=r(tn )=r0 +v0 tn
目标的回波时延τn为:The echo delay τn of the target is:
那么在一段时间内接收到的第n条目标回波可以表示为:Then the nth target echo received within a period of time It can be expressed as:
其中Ar是回波信号的复幅度,经过相干解调后含有方位信息的基带回波为:whereAr is the complex amplitude of the echo signal, the baseband echo containing the azimuth information after coherent demodulation for:
脉冲压缩是通过匹配滤波完成的,滤波器响应h(t)为发射信号基带信号的反转共轭。Pulse compression is accomplished by matched filtering, where the filter response h(t) is the inverted conjugate of the baseband signal of the transmitted signal.
将滤波器响应函数h(t)与含有方位信息的基带回波信号进行卷积相乘,最后得到含有方位信息的脉冲压缩后的基带回波信号Compare the filter response function h(t) with the baseband echo signal containing bearing information Carry out convolution and multiplication, and finally obtain the pulse-compressed baseband echo signal containing azimuth information
“*”表示卷积相乘。"*" means convolution multiplication.
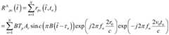
S7.根据步骤S6中得到的含有方位信息的脉冲压缩后的回波信号,对观测时间内所有回波信号的包络进行门限检测,统计记录每一条回波包络过门限的距离单元和方位单元:本步骤中的门限检测采用单元平均恒虚警率检测方法,门限检测过程中统计记录每一条脉冲回波包络过门限的方位单元和距离单元,图4本发明仿真单元平均恒虚警率目标检测过程示例图;S7. According to the pulse-compressed echo signal containing the azimuth information obtained in step S6, threshold detection is performed on the envelopes of all echo signals during the observation time, and the distance unit and the azimuth that each echo envelope passes the threshold are recorded statistically. Unit: the threshold detection in this step adopts the unit average constant false alarm rate detection method. In the threshold detection process, the azimuth unit and the distance unit that each pulse echo envelope exceeds the threshold are statistically recorded. Fig. 4 The simulation unit average constant false alarm of the present invention is shown in Fig. 4. An example diagram of the rate target detection process;
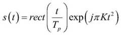
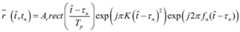
S8.根据步骤S7中回波包络过门限的方位单元和距离单元统计结果,分别对不同方位单元和不同距离单元对应的检测频度做概率直方图:概率直方图提供了对目标检测结果的全局描述,同一个单元出现的频率可以看做其目标的检测概率,因此本实施例中将平面直角坐标系中横轴作为距离单元,纵轴作为过门限的频度分别绘制不同方位单元对应的概率直方图,图5和图6给出实测数据中方位单元1和方位单元2的概率直方图;S8. According to the statistical results of the azimuth unit and the distance unit whose echo envelope exceeds the threshold in step S7, make probability histograms for the detection frequencies corresponding to different azimuth units and different distance units respectively: the probability histogram provides a For a global description, the frequency of occurrence of the same unit can be regarded as the detection probability of its target. Therefore, in this embodiment, the horizontal axis in the plane rectangular coordinate system is used as the distance unit, and the vertical axis is used as the frequency of crossing the threshold. Probability histogram, Figure 5 and Figure 6 give the probability histogram of
S9.根据步骤S8中得到的不同方位单元和不同距离单元概率直方图进行检测判决,概率直方图中过门限检测频度明显高于其他判决目标存在的,其对应的方位单元和距离单元即为目标的方位和距离信息:雷达为了提高目标检测概率,虚警概率通常设置很高,这样会导致检测门限低,单次检测时目标可能受杂波和噪声干扰导致检测不准,此时统计观测时间内所有回波包络过门限的方位单元和距离单元,对同一个方位和距离单元被检测的频度明显高于其他的判决为目标存在,因此利用概率直方图的频度分布可以对目标进行检测判决;S9. Perform detection and judgment according to the probability histograms of different azimuth units and different distance units obtained in step S8. The detection frequency of crossing the threshold in the probability histogram is significantly higher than that of other judgment targets, and the corresponding azimuth units and distance units are The orientation and distance information of the target: In order to improve the detection probability of the target, the false alarm probability of the radar is usually set high, which will lead to a low detection threshold, and the target may be interfered by clutter and noise during a single detection, resulting in inaccurate detection. At this time, statistical observation All the azimuth units and distance units whose echo envelopes exceed the threshold in time, the frequency of detection of the same azimuth and distance units is significantly higher than other judgments that the target exists, so the frequency distribution of the probability histogram can be used to detect the target. make detection judgments;
S10.如果步骤S9中概率直方图的检测判决无法给出准确的目标检测结果,则采用如下经过改进的概率直方图检测判决方法:根据步骤S1中方位和距离单元大小调整概率直方图的窗宽,再重复进行步骤S9的概率直方图检测判决,直到概率直方图的频度分布能明显给出目标检测结果,最后将目标检测结果输出:S10. If the detection judgment of the probability histogram in step S9 cannot give an accurate target detection result, the following improved probability histogram detection judgment method is adopted: adjust the window width of the probability histogram according to the azimuth and distance unit size in step S1 , and then repeat the probability histogram detection decision in step S9 until the frequency distribution of the probability histogram can clearly give the target detection result, and finally output the target detection result:
根据步骤S6中脉冲压缩后的回波,其回波包络中心τn决定了目标所处的距离单元,但回波包络中心τn是个变量,随着目标运动可能跨过距离单元导致回波同一个距离单元能量扩散,造成信噪比下降。采用同时多波束的方法覆盖观测区域时,当方位单元划分的间隔很小时,目标运动容易跨过方位单元导致回波同一个方位单元的能量扩散,造成信噪比下降。因此,目标运动可能使得目标回波的能量扩散到其他距离单元和方位单元,导致目标回波信噪比降低。本发明采取一种概率直方图改进检测判决方法,可根据步骤S1中方位和距离单元大小调整概率直方图的窗宽,提高目标检测性能。图7给出一个对比图6距离单元增加后的概率直方图。According to the echo after pulse compression in step S6, its echo envelope center τn determines the distance unit where the target is located, but the echo envelope center τn is a variable, and as the target moves, it may cross the distance unit and cause echo The energy of the wave spreads in the same distance unit, resulting in a decrease in the signal-to-noise ratio. When the simultaneous multi-beam method is used to cover the observation area, when the interval between the azimuth units is very small, the target movement is easy to cross the azimuth unit, resulting in the energy spread of the echoes in the same azimuth unit, resulting in a decrease in the signal-to-noise ratio. Therefore, the movement of the target may cause the energy of the target echo to spread to other range units and azimuth units, resulting in a decrease in the signal-to-noise ratio of the target echo. The present invention adopts a probability histogram to improve the detection and judgment method, and can adjust the window width of the probability histogram according to the size of the azimuth and distance unit in step S1, so as to improve the target detection performance. Figure 7 presents a probability histogram of increased distance cells compared to Figure 6.
对于采用长时间积累的低信噪比目标检测,将步骤S6中得到脉冲压缩后的回波信号进行长时间积累得到长时间积累后的回波信号,重复步骤S7-S10;For the low signal-to-noise ratio target detection using long-time accumulation, the echo signal after pulse compression obtained in step S6 is accumulated for a long time to obtain the echo signal after long-time accumulation, and steps S7-S10 are repeated;
本步骤的具体实现过程如下:The specific implementation process of this step is as follows:
长时间积累方法通过对步骤S6中得到的n条脉冲压缩后的回波进行累加实现。根据是否利用回波的相位信息,长时间积累方法分为相参积累和非相参积累。对于相参积累,长时间积累后的回波包络为:The long-time accumulation method is realized by accumulating the compressed echoes of n pulses obtained in step S6. According to whether the phase information of the echo is used or not, long-time accumulation methods are divided into coherent accumulation and non-coherent accumulation. For coherent accumulation, the echo envelope after long time accumulation for:
因此相参积累过程中回波信号同相相加,回波幅度增加到原来的N倍,信号能量积累增加为原来的N2倍,而噪声相位在积累时间内随机变化,噪声功率增加为原来的N倍,所以相参积累后信噪比提高为原来的N倍。Therefore, in the coherent accumulation process, the echo signals are added in phase, the echo amplitude increases to N times the original, the signal energy accumulation increases to N2 times the original, and the noise phase changes randomly during the accumulation time, and the noise power increases to the original N times, so the signal-to-noise ratio after coherent accumulation is improved to N times the original.
对于非相参积累,长时间积累后的回波包络为:For non-coherent accumulation, the echo envelope after long-term accumulation for:
由于丢弃了回波的相位信息,非相参积累相对于相参积累的积累效率要低很多,值得注意的是当回波信号的载频fn变化时,脉冲间相位关系破坏,此时通常用非相参积累方法完成目标回波的长时间积累,此外长时间积累时可能会导致目标跨距离单元走动,影响目标检测性能。Since the phase information of the echo is discarded, the accumulation efficiency of the non-coherent accumulation is much lower than that of the coherent accumulation. It is worth noting that when the carrier frequency fn of the echo signal changes, the phase relationship between the pulses is destroyed. The non-coherent accumulation method is used to complete the long-term accumulation of target echoes. In addition, the long-term accumulation may cause the target to move across the distance unit, which affects the target detection performance.
从本发明仿真的目标检测概率与信噪比和虚警概率的关系图(图8,图9)可以看出,在低信噪比条件下的目标检测中,检测概率随着虚警概率的增加而增加,但是当虚警概率增加时检测门限变低,目标的检测结果很容易出现误判而导致目标的检测准确率下降。采用长时间积累方法在一些应用场景中积累的信噪比可能仍然达不到目标检测的要求,尤其是接收的脉冲回波之间相位关系难以确定,长时间积累后信噪比提高的并不明显。因此本发明提出的基于概率统计的低信噪比目标检测方法,以观测时间内的单个脉冲为处理对象,采用同时多波束方法覆盖感兴趣观测区域,通过对观测区域内的所有脉冲回波经脉冲压缩之后获取目标回波包络,然后对回波包络做恒虚警检测后统计记录不同方位单元和距离单元的回波包络检测频度,最后绘制概率直方图根据不同方位单元和距离单元的过门限的频度分布进行检测判决从而完成目标检测过程。本发明提出的方法不仅适应于低信噪比下的单脉冲目标检测,还可以作为多脉冲长时间积累后目标检测不理想的辅助检测手段。本发明提出的方法数据处理量小,满足硬件平台的实时处理要求,适于工程化实现。It can be seen from the relationship diagrams of the target detection probability, the signal-to-noise ratio and the false alarm probability simulated by the present invention (Figure 8, Figure 9) that in the target detection under the condition of low signal-to-noise ratio, the detection probability increases with the false alarm probability. However, when the false alarm probability increases, the detection threshold becomes lower, and the detection result of the target is prone to misjudgment, which leads to a decrease in the detection accuracy of the target. The signal-to-noise ratio accumulated by the long-time accumulation method may still not meet the requirements of target detection in some application scenarios, especially the phase relationship between the received pulse echoes is difficult to determine, and the improvement of the signal-to-noise ratio after long-term accumulation does not obvious. Therefore, the low-signal-to-noise ratio target detection method based on probability statistics proposed in the present invention takes a single pulse within the observation time as the processing object, and adopts the simultaneous multi-beam method to cover the observation area of interest. After pulse compression, the target echo envelope is obtained, and then constant false alarm detection is performed on the echo envelope, and the echo envelope detection frequency of different azimuth units and distance units is statistically recorded, and finally the probability histogram is drawn according to different azimuth units and distances. The frequency distribution over the threshold of the unit is used for detection and judgment to complete the target detection process. The method proposed by the invention is not only suitable for single-pulse target detection under low signal-to-noise ratio, but also can be used as an auxiliary detection means for unsatisfactory target detection after multi-pulse accumulation for a long time. The method proposed by the invention has a small amount of data processing, meets the real-time processing requirements of the hardware platform, and is suitable for engineering realization.
| Application Number | Priority Date | Filing Date | Title |
|---|---|---|---|
| CN201710875752.6ACN108508413B (en) | 2017-09-25 | 2017-09-25 | Target detection method based on probability statistics under low signal-to-noise ratio condition |
| Application Number | Priority Date | Filing Date | Title |
|---|---|---|---|
| CN201710875752.6ACN108508413B (en) | 2017-09-25 | 2017-09-25 | Target detection method based on probability statistics under low signal-to-noise ratio condition |
| Publication Number | Publication Date |
|---|---|
| CN108508413A CN108508413A (en) | 2018-09-07 |
| CN108508413Btrue CN108508413B (en) | 2020-03-13 |
| Application Number | Title | Priority Date | Filing Date |
|---|---|---|---|
| CN201710875752.6AActiveCN108508413B (en) | 2017-09-25 | 2017-09-25 | Target detection method based on probability statistics under low signal-to-noise ratio condition |
| Country | Link |
|---|---|
| CN (1) | CN108508413B (en) |
| Publication number | Priority date | Publication date | Assignee | Title |
|---|---|---|---|---|
| CN110892285A (en)* | 2018-11-26 | 2020-03-17 | 深圳市大疆创新科技有限公司 | Microwave radar and unmanned vehicles |
| CN113111758B (en)* | 2021-04-06 | 2024-01-12 | 中山大学 | A method of ship target recognition in SAR images based on impulse neural network |
| CN114545384A (en)* | 2022-02-25 | 2022-05-27 | 广州辰创科技发展有限公司 | An integrated method and system applied to the detection of foreign objects in runways |
| Publication number | Priority date | Publication date | Assignee | Title |
|---|---|---|---|---|
| JPH0527022A (en)* | 1991-07-19 | 1993-02-05 | Mitsubishi Electric Corp | Target detection device and target detection method |
| CA2422851A1 (en)* | 2000-09-20 | 2002-03-28 | Mcgill University | Method and system for detection of cardiac arrhythmia |
| CN1469111A (en)* | 2002-07-15 | 2004-01-21 | 微成像技术公司 | Method and equipment for fast distinguishing particles utilizing with scattered light histogram |
| CN103135099A (en)* | 2013-01-24 | 2013-06-05 | 南京莱斯信息技术股份有限公司 | Method for processing radar data by utilizing dynamic clutter map |
| CN103197301A (en)* | 2013-03-19 | 2013-07-10 | 中国人民解放军海军航空工程学院 | Sea surface micro-motion target Radon-linear contact transformation long-time phase-coherent accumulation detecting method |
| CN103852759A (en)* | 2014-04-08 | 2014-06-11 | 电子科技大学 | Scanning radar super-resolution imaging method |
| CN104730505A (en)* | 2014-12-08 | 2015-06-24 | 广西大学 | Multi-channel SAR ground target detecting and positioning method and device |
| CN104749562A (en)* | 2015-03-23 | 2015-07-01 | 河海大学 | Passive bistatic radar signal processing method based on blind equalization of cyclic constant modulus |
| CN105158748A (en)* | 2015-07-29 | 2015-12-16 | 中国人民解放军海军航空工程学院 | High-speed target multichannel compensation focusing and TBD mixed accumulation detection method |
| CN105911542A (en)* | 2016-07-04 | 2016-08-31 | 中国人民解放军海军航空工程学院 | Hypersonic velocity target TBD detection method for polynomial Hough conversion |
| CN106597429A (en)* | 2017-01-24 | 2017-04-26 | 成都泰格微电子研究所有限责任公司 | Radar-signal-processing-system-based speed tracking subsystem |
| Publication number | Priority date | Publication date | Assignee | Title |
|---|---|---|---|---|
| US7324979B2 (en)* | 2003-08-29 | 2008-01-29 | Bbn Technologies Corp. | Genetically adaptive neural network classification systems and methods |
| Publication number | Priority date | Publication date | Assignee | Title |
|---|---|---|---|---|
| JPH0527022A (en)* | 1991-07-19 | 1993-02-05 | Mitsubishi Electric Corp | Target detection device and target detection method |
| CA2422851A1 (en)* | 2000-09-20 | 2002-03-28 | Mcgill University | Method and system for detection of cardiac arrhythmia |
| CN1469111A (en)* | 2002-07-15 | 2004-01-21 | 微成像技术公司 | Method and equipment for fast distinguishing particles utilizing with scattered light histogram |
| CN103135099A (en)* | 2013-01-24 | 2013-06-05 | 南京莱斯信息技术股份有限公司 | Method for processing radar data by utilizing dynamic clutter map |
| CN103197301A (en)* | 2013-03-19 | 2013-07-10 | 中国人民解放军海军航空工程学院 | Sea surface micro-motion target Radon-linear contact transformation long-time phase-coherent accumulation detecting method |
| CN103852759A (en)* | 2014-04-08 | 2014-06-11 | 电子科技大学 | Scanning radar super-resolution imaging method |
| CN104730505A (en)* | 2014-12-08 | 2015-06-24 | 广西大学 | Multi-channel SAR ground target detecting and positioning method and device |
| CN104749562A (en)* | 2015-03-23 | 2015-07-01 | 河海大学 | Passive bistatic radar signal processing method based on blind equalization of cyclic constant modulus |
| CN105158748A (en)* | 2015-07-29 | 2015-12-16 | 中国人民解放军海军航空工程学院 | High-speed target multichannel compensation focusing and TBD mixed accumulation detection method |
| CN105911542A (en)* | 2016-07-04 | 2016-08-31 | 中国人民解放军海军航空工程学院 | Hypersonic velocity target TBD detection method for polynomial Hough conversion |
| CN106597429A (en)* | 2017-01-24 | 2017-04-26 | 成都泰格微电子研究所有限责任公司 | Radar-signal-processing-system-based speed tracking subsystem |
| Title |
|---|
| AN EXPERIMENTAL STUDY OF DIGITAL ARRAY PASSIVE BISTATIC RADAR SYSTEM;Panhe Hu et al.;《IET International Radar Conference 2015》;20150131;正文第1-4页* |
| 基于VTA的超视距雷达海面目标检测前跟踪算法;庞洁 等;《现代电子技术》;20120501;第4-9页* |
| 基于非合作捷变频雷达的微弱目标检测算法;户盼鹤 等;《雷达科学与技术》;20151031;第473-478页* |
| Publication number | Publication date |
|---|---|
| CN108508413A (en) | 2018-09-07 |
| Publication | Publication Date | Title |
|---|---|---|
| CN107861107B (en) | Double-threshold CFAR (computational fluid dynamics) and trace point agglomeration method suitable for continuous wave radar | |
| CN102879767B (en) | A method of jamming target detection for space-time adaptive processing | |
| CN108957419B (en) | Asynchronous interference suppression method based on notch filtering processing | |
| CN103018727A (en) | Sample-training-based non-stationary clutter suppression method of vehicle-mounted radar | |
| CN111948618B (en) | Forward scattering target detection method and system based on satellite external radiation source | |
| CN108508413B (en) | Target detection method based on probability statistics under low signal-to-noise ratio condition | |
| CN111580063B (en) | Radar Target Detection Method Based on Generalized Demodulation Frequency-Wedge Transform | |
| CN111323760A (en) | Multi-stage modulation interference system and method based on digital radio frequency storage DRFM | |
| CN110007277B (en) | Radar communication integrated system and capacity expansion method thereof | |
| CN110095766A (en) | Maneuvering target coherent accumulation detection method based on non-uniform sampling technology | |
| CN113759359B (en) | Passive bistatic radar receiving device based on empty pipe radar and target detection method | |
| CN110673118A (en) | Active sonar single-frequency pulse train waveform design and detection algorithm | |
| CN113884998A (en) | Multi-carrier coherent and non-coherent joint accumulation processing method | |
| CN117849719A (en) | A method for detecting intermittent sampling and forwarding interference in strong clutter environment | |
| CN115166666B (en) | Doppler domain dimension reduction iterative self-adaptive STAP method in non-uniform environment | |
| CN108983192B (en) | Parameter Estimation Method of Radar Moving Target Based on GPS Radiator | |
| CN112526460A (en) | Method, equipment and storage medium for resisting wind field interference of air traffic control radar | |
| CN113156392B (en) | Clutter suppression method based on pitching domain self-adaptive processing | |
| CN117054974A (en) | Side lobe cancellation method based on subspace clutter suppression of range Doppler plane characteristics | |
| CN110907930B (en) | Vehicle-mounted radar target detection and estimation method and device based on angle estimation | |
| CN120065135B (en) | Cognitive space-time adaptive radar | |
| CN111077515A (en) | A Target Detection Method Based on Analog TV External Radiation Source Radar | |
| KR102391935B1 (en) | Apparatus and method for estimating angle of the low velocity target in the radar | |
| Xiao et al. | A time-frequency domain fractal method for detecting moving targets in sea clutter | |
| CN113721211B (en) | Sparse fixed clutter recognition method based on point trace characteristic information |
| Date | Code | Title | Description |
|---|---|---|---|
| PB01 | Publication | ||
| PB01 | Publication | ||
| SE01 | Entry into force of request for substantive examination | ||
| SE01 | Entry into force of request for substantive examination | ||
| GR01 | Patent grant | ||
| GR01 | Patent grant |