Movatterモバイル変換


[0]ホーム

URL:


CN108498099B - Flexible alveolar volume acquisition system and alveolar volume acquisition method - Google Patents

Flexible alveolar volume acquisition system and alveolar volume acquisition method
Download PDF

Info

Publication number
CN108498099B
CN108498099BCN201810300829.1ACN201810300829ACN108498099BCN 108498099 BCN108498099 BCN 108498099BCN 201810300829 ACN201810300829 ACN 201810300829ACN 108498099 BCN108498099 BCN 108498099B
Authority
CN
China
Prior art keywords
sound signal
module
alveolar volume
sound
flexible
Prior art date
Legal status (The legal status is an assumption and is not a legal conclusion. Google has not performed a legal analysis and makes no representation as to the accuracy of the status listed.)
Active
Application number
CN201810300829.1A
Other languages
Chinese (zh)
Other versions
CN108498099A (en
Inventor
冯雪
王峰乐
付际
金鹏
Current Assignee (The listed assignees may be inaccurate. Google has not performed a legal analysis and makes no representation or warranty as to the accuracy of the list.)
Tsinghua University
Original Assignee
Tsinghua University
Priority date (The priority date is an assumption and is not a legal conclusion. Google has not performed a legal analysis and makes no representation as to the accuracy of the date listed.)
Filing date
Publication date
Application filed by Tsinghua UniversityfiledCriticalTsinghua University
Priority to CN201810300829.1ApriorityCriticalpatent/CN108498099B/en
Publication of CN108498099ApublicationCriticalpatent/CN108498099A/en
Application grantedgrantedCritical
Publication of CN108498099BpublicationCriticalpatent/CN108498099B/en
Activelegal-statusCriticalCurrent
Anticipated expirationlegal-statusCritical

Links

Images

Classifications

Landscapes

Abstract

Translated fromChinese

本公开涉及柔性肺泡容积获取系统及肺泡容积获取方法,包括发声模块、传感器模块、信号处理及传输模块、计算模块。发声模块发出不同频率的第一声音信号;传感器模块接收肺部因第一声音信号产生振动发出的第二声音信号;信号处理及传输模块将所述第二声音信号转换生成第三声音信号并对所述第三声音信号进行传输,计算模块接收所述第三声音信号,计算所述第三声音信号的频率,并根据所述第三声音信号的频率计算肺泡容积。通过各模块的配合,本公开可以快速、实时获取患者/用户的肺泡容积大小,对患者/用户的肺泡容积大小进行实时监测。

Figure 201810300829

The present disclosure relates to a flexible alveolar volume acquisition system and an alveolar volume acquisition method, including a sound module, a sensor module, a signal processing and transmission module, and a calculation module. The sounding module sends out first sound signals with different frequencies; the sensor module receives the second sound signal sent out by the lungs due to the vibration of the first sound signal; the signal processing and transmission module converts the second sound signal to generate a third sound signal and sends the sound signal to the second sound signal. The third sound signal is transmitted, and the calculation module receives the third sound signal, calculates the frequency of the third sound signal, and calculates the alveolar volume according to the frequency of the third sound signal. Through the cooperation of each module, the present disclosure can quickly and real-time acquire the alveolar volume of the patient/user, and monitor the alveolar volume of the patient/user in real time.

Figure 201810300829

Description

Flexible alveolar volume acquisition system and alveolar volume acquisition method
Technical Field
The present disclosure relates to the field of medical devices, and in particular, to a flexible alveolar volume acquisition system and an alveolar volume acquisition method.
Background
Mechanical Ventilation (MV) is the primary means of support for respiratory failure due to a variety of causes. The purpose of mechanical ventilation is to provide the body with sufficient gas exchange while allowing the respiratory muscles to rest. However, it also causes respiratory muscle-related lung injury (VALI). Ventilator-related lung injury occurs as a result of ventilation as lung volume (absolute) increases, which in turn leads to alveolar rupture, gas leakage, and various barotrauma (e.g., pneumothorax, mediastinal emphysema, and subcutaneous emphysema). And at the same time, the release of various intracellular mediators is caused directly (damaging various cells) or indirectly (activating cell signaling pathways of epithelial cells, endothelial cells, or inflammatory cells). Certain agents can directly damage lung tissue; certain mediators cause the lungs to develop pulmonary fibrosis. Other mediators act as homing molecules to bring cells (e.g., neutrophils) to the lung, and the molecules released by the cells that have accumulated in the lung can cause more damage to the lung.
Monitoring the extent of expansion, i.e., the volume of the alveoli, during alveolar ventilation is therefore important for patients undergoing mechanical ventilation.
Disclosure of Invention
In view of the above, the present disclosure proposes a flexible alveolar volume acquisition system comprising:
the sounding module is used for generating first sound signals with different frequencies;
the sensor module is used for receiving a second sound signal transmitted from the lung, wherein the second sound signal is a sound signal generated by the lung due to vibration generated by the first sound signal;
the signal processing and transmission module is electrically connected to the sensor module and is used for converting the second sound signal into a third sound signal and transmitting the third sound signal, wherein the third sound signal is a digital signal; and
and the calculation module is electrically connected with the signal processing and transmission module and used for receiving the third sound signal, calculating the frequency of the third sound signal and calculating the alveolar volume according to the frequency of the third sound signal.
In a possible implementation manner, the sensor module includes a plurality of acoustic sensors, each of which is composed of a sensing element and a resonant cavity, the sensing element is located in the resonant cavity, and the sensing element is made of a plurality of MEMS microphones, electret microphones, or a combination thereof.
In one possible implementation manner, the sensor module is disposed on a support body applied to the surface of the lung, the support body is made of a flexible material, the support body comprises a flexible board and a flexible packaging layer, the sensor module is disposed on the flexible board, and the flexible packaging layer is used for packaging the sensor module and the flexible board.
In one possible implementation, the flexible material is polyimide.
In a possible implementation manner, the signal processing and transmitting module transmits the third sound signal to the computing module in a wired or wireless manner, where the wireless manner includes bluetooth, WiFi, GPRS, 3G or 5G.
In a possible implementation manner, the flexible alveolar volume acquisition system further includes a display module, electrically connected to the calculation module, for displaying the alveolar volume and/or the frequency.
In a possible implementation manner, the flexible alveolar volume acquisition system further includes a control module, and the control module is electrically connected to the sound generation module and the display module and is configured to control the operation of the sound generation module and the display module.
In one possible implementation, calculating alveolar volume according to the frequency of the third sound signal includes:
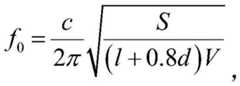
calculating the alveolar volume according to a first formula, the first formula being:
Figure GDA0002370353170000031
wherein f is0Where c is the frequency of the third acoustic signal, c is the speed of sound, S is the area of the bronchiole cross-section connecting the alveoli, d is the diameter of the bronchiole cross-section connecting the alveoli, l is the length of the bronchiole connecting the alveoli, and V is the alveolar volume.
According to an aspect of the present disclosure, the present disclosure also provides an alveolar volume obtaining method, wherein the method includes:
the sound production module produces first sound signals with different frequencies;
the sensor module receives a second sound signal transmitted from the lung, wherein the second sound signal is a sound signal generated by the lung due to vibration generated by the first sound signal;
the signal processing and transmission module converts the second sound signal into a third sound signal and transmits the third sound signal, wherein the third sound signal is a digital signal; and
a calculation module receives the third sound signal, calculates a frequency of the third sound signal, and calculates an alveolar volume according to the frequency of the third sound signal.
In one possible implementation, the method further includes:
a display module displays the alveolar volume and the frequency; and
and the control module controls the work of the sound production module and the display module.
The technical scheme provided by the embodiment of the disclosure can have the following beneficial effects: the sounding module sends first sound signals with different frequencies; the sensor module receives a second sound signal transmitted by the lung after the lung vibrates due to the first sound signal; the signal processing and transmission module converts the second sound signal into a third sound signal and transmits the third sound signal, the calculation module receives the third sound signal, calculates the frequency of the third sound signal, and calculates the alveolar volume according to the frequency of the third sound signal.
Other features and aspects of the present disclosure will become apparent from the following detailed description of exemplary embodiments, which proceeds with reference to the accompanying drawings.
Drawings
The accompanying drawings, which are incorporated in and constitute a part of this specification, illustrate exemplary embodiments, features, and aspects of the disclosure and, together with the description, serve to explain the principles of the disclosure.
FIG. 1 shows a block schematic diagram of a flexible alveolar volume acquisition system according to an embodiment of the present disclosure.
FIG. 2 illustrates a scenario for use of the flexible alveolar volume acquisition system of FIG. 1.
Fig. 3(a) is a plan view of thesensor module 12, fig. 3(b) is a front view of thesensor module 12, and fig. 3(c) is a schematic model diagram showing bronchioles and alveoli connected thereto.
Fig. 4 is a partial structural schematic diagram corresponding to the flexible volume acquiring system module schematic diagram.
FIG. 5 shows a block schematic diagram of a flexible alveolar volume acquisition system according to yet another embodiment of the present disclosure.
FIG. 6 shows a block schematic diagram of a flexible alveolar volume acquisition system according to yet another embodiment of the present disclosure.
FIG. 7 shows a flow chart of an alveolar volume acquisition method based on a flexible alveolar volume acquisition system.
Detailed Description
Various exemplary embodiments, features and aspects of the present disclosure will be described in detail below with reference to the accompanying drawings. In the drawings, like reference numbers can indicate functionally identical or similar elements. While the various aspects of the embodiments are presented in drawings, the drawings are not necessarily drawn to scale unless specifically indicated.
The word "exemplary" is used exclusively herein to mean "serving as an example, embodiment, or illustration. Any embodiment described herein as "exemplary" is not necessarily to be construed as preferred or advantageous over other embodiments.
Furthermore, in the following detailed description, numerous specific details are set forth in order to provide a better understanding of the present disclosure. It will be understood by those skilled in the art that the present disclosure may be practiced without some of these specific details. In some instances, methods, means, elements and circuits that are well known to those skilled in the art have not been described in detail so as not to obscure the present disclosure.
FIG. 1 shows a block schematic diagram of a flexible alveolar volume acquisition system according to an embodiment of the present disclosure.
As shown in FIG. 1, the flexible alveolar volume acquisition system comprises: asound production module 11, asensor module 12, a signal processing andtransmission module 13, and acalculation module 14. Wherein, thesensor module 12, the signal processing and transmittingmodule 13, and the calculatingmodule 14 are electrically connected in sequence, and the sound generated after the sound generated by thesound generating module 11 causes the lung to vibrate can be received by thesensor module 12.
Thesound generating module 11 is used for generating first sound signals with different frequencies.
In one possible implementation, thesound generating module 11 may be composed of a power supply, a switch, a chip with I/O pins, a speaker, etc., and in some embodiments, these components may be divided into modules, such as a signal generating module and a speaker module, and the signal generating module may be composed of a switch, a chip with I/O pins, etc., for generating a pulse electrical signal. The loudspeaker module comprises a loudspeaker and is driven by the signal generating module to emit sound. The chip may be a specially designed chip for generating a pulse signal, or may be an 8-bit integrated chip such as the AT89 series, among other types of integrated chips.
In a possible embodiment, the manner of generating the first sound signals with different frequencies by thesound generating module 11 may be: the chip outputs a pulse electric signal to drive the loudspeaker to generate the first sound signal through program control.
In a possible embodiment, thesound generation module 11 may also generate the first sound signal with different frequencies by means of frequency sweeping. For example, the chip may be programmed to generate a frequency sweep signal that drives a speaker to generate the first acoustic signal.
In one possible embodiment, the first sound signal may comprise a discrete or continuous sound signal of different frequencies within a certain frequency band.
Please refer to fig. 2.
FIG. 2 is a diagram of an operational scenario of the flexible alveolar volume acquisition system shown in FIG. 1. As shown in fig. 2, thesound generating module 11 generates a sound signal toward the mouth/nose of the human body, the sound signal can be transmitted to the lung along with the airflow through the respiratory system, and the sound signal can be received by thesensor module 12 after interacting with the lung to generate another sound signal, for example, the sound signal generated by thesound generating module 11 can cause the lung to vibrate to generate another sound signal.
And thesensor module 12 is used for receiving a second sound signal transmitted from the lung, wherein the second sound signal is a sound signal generated by the lung due to the vibration generated by the first sound signal.
Please refer to fig. 3(a), fig. 3(b), and fig. 3 (c).
Fig. 3(a) and 3(b) show schematic sensor module diagrams according to an embodiment of the present disclosure, wherein fig. 3(a) is a top view of thesensor module 12, fig. 3(b) is a front view of thesensor module 12, and fig. 3(c) shows a model schematic diagram of bronchioles and their connected alveoli.
In a possible embodiment, thesensor module 12 includes a plurality of acoustic sensors, each of which may be formed by asensing element 21 and aresonant cavity 22, thesensing element 21 being located within theresonant cavity 22, and thesensing element 21 may be made of a plurality of MEMS microphones, electret microphones, or a combination thereof.
In a possible embodiment, thesensor module 12 is disposed on asupport 2 applied to the lung surface, thesupport 2 is made of a flexible material and includes aflexible board 24 and aflexible packaging layer 23, thesensor module 12 is disposed on theflexible board 24, and theflexible packaging layer 23 is used for packaging thesensor module 12 and theflexible board 24. Theflexible encapsulation layer 23 may cover theflexible board 24. For example, the flexible material may be polyimide, and thesupport body 2 may be made of aflexible board 24 and aflexible packaging layer 23 made of polyimide. By implementing the method, the flexibility and the air permeability of the system can be greatly increased. In other embodiments, the flexible material may be selected as desired, and the invention is not limited thereto.
In a possible embodiment, the outer contour of theresonant cavity 22 may be a horn or a step, and theresonant cavity 22 is hollow to form a cavity, so as to provide better collection and concentration of sound. Theresonant cavity 22 is open at both ends, a smaller opening can be fixed to theflexible board 24, and thesensing element 21 can be located within a range surrounded by the smaller opening and disposed on theflexible board 24. In use, the larger opening of theresonant cavity 22 may be applied to the lungs, collecting the acoustic signals from the lungs, thesensing element 21 in theresonant cavity 22 sensing the acoustic signals and converting the acoustic signals from acoustic waves to electrical signals, and the acoustic signals are transmitted as electrical signals to the signal processing andtransmission module 13 through the circuitry on theflexible board 24. The signal processing andtransmission module 13 may be implemented on theflexible board 24 in the form of a flexible circuit.
In one possible embodiment, the first sound signals of multiple frequencies emitted by thesound emitting module 11 can be transmitted to the lungs through the respiratory system of the human body, such as the trachea and the bronchi. For example, thesound module 11 may be attached to or face the mouth and nose of the patient/user, and the sound signal emitted by thesound module 11 may pass through the lung of the respiratory system of the human body. The human lung includes alveoli with different sizes and shapes, and the first sound signal is captured by thesensor module 12 after interacting with the lung and alveoli to generate a second sound signal, for example, the interaction may be that the first sound signal emitted by thesound emitting module 11 causes the lung to vibrate to generate the second sound signal.
In one possible embodiment, the principle that the acoustic signal captured by thesensor module 12 is related to the size of the alveolar volume is that the alveoli in the human body are connected to bronchioles, which correspond to a Helmholtz resonator (FIG. 3(c)) with acoustic impedance related to the alveolar volume. Therefore, the size of the alveoli affects the spectrum of the received sound signals, i.e. the sound signals received by the alveoli interact with the alveoli, and the alveoli with different sizes produce different spectral responses. The extent of expansion of the alveoli at this location can be determined by analyzing the frequency spectrum of the sound signal from thesensor module 12. Thus, the second acoustic signal received bysensor module 12 is highly correlated with alveolar volume.
And the signal processing and transmittingmodule 13 is electrically connected to the sensor module, and is configured to convert the second sound signal into a third sound signal and transmit the third sound signal, where the third sound signal is a digital signal.
In one possible embodiment, the second sound signal is an analog signal, and the signal processing and transmittingmodule 13 converts the second sound signal into a digital signal, which includes but is not limited to denoising, amplifying, and a/D converting the second sound signal, so that the processed second sound signal becomes a third sound signal, which is a digital signal and is convenient for storage and transmission.
In one possible embodiment, the signal processing and transmittingmodule 13 transmits the third sound signal, for example, by wire. When the third audio signal is transmitted by wire, the signal processing and transmittingmodule 13 is electrically connected to the calculatingmodule 14 through a signal line, and transmits the third audio signal to the calculatingmodule 14. The signal processing and transmittingmodule 13 can also transmit the third sound signal in a wireless manner, which includes but is not limited to bluetooth, WiFi, GPRS, 3G or 5G, and other wireless transmission manners. In the present embodiment, the signal processing and transmission are two processes, which may be integrated in the same module or separated into two modules, for example, the signal processing andtransmission module 13 may be divided into a signal processing module and a transmission module. In other embodiments, the signal processing and transmittingmodule 13 may further include a memory for storing the third sound signal to improve the efficiency of data transmission, and the memory may be implemented by any type of volatile or non-volatile memory device or combination thereof, such as a Static Random Access Memory (SRAM), an Electrically Erasable Programmable Read Only Memory (EEPROM), an Erasable Programmable Read Only Memory (EPROM), a Programmable Read Only Memory (PROM), a Read Only Memory (ROM), a magnetic memory, a flash memory, a magnetic disk or an optical disk.
And a calculatingmodule 14, electrically connected to the signal processing and transmittingmodule 13, for receiving the third sound signal, calculating the frequency of the third sound signal, and calculating the alveolar volume according to the frequency of the third sound signal.
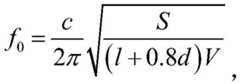
In a possible implementation manner, after receiving the third sound signal, the calculatingmodule 14 may obtain a frequency response curve of the third sound signal by a frequency sweeping method, obtain a spectral characteristic of the third sound signal from the frequency response curve of the third sound signal by a fourier transform method, etc., obtain a frequency of the third sound signal from the spectral characteristic of the third sound signal, and calculate an alveolar volume corresponding to the frequency according to equation 1.
Figure GDA0002370353170000081
In the formula 1, f0Where c is the frequency of the third acoustic signal, c is the speed of sound, S is the area of the bronchiole cross-section connecting the alveoli, d is the diameter of the bronchiole cross-section connecting the alveoli, l is the length of the bronchiole connecting the alveoli, and V is the alveolar volume. Wherein, except f0And V, other parameters such as c, S, d, l are known, and S, d, l can be obtained through actual measurement or empirical values.
In a possible embodiment, thecomputing module 14 may further include a memory and a processor, thecomputing module 14 may store data transmitted from the signal processing and transmittingmodule 13 through the memory, and the memory may be implemented by any type of volatile or non-volatile memory device or combination thereof, such as a Static Random Access Memory (SRAM), an Electrically Erasable Programmable Read Only Memory (EEPROM), an Erasable Programmable Read Only Memory (EPROM), a Programmable Read Only Memory (PROM), a Read Only Memory (ROM), a magnetic memory, a flash memory, a magnetic disk or an optical disk. The processor may be implemented by one or more Application Specific Integrated Circuits (ASICs), Digital Signal Processors (DSPs), Digital Signal Processing Devices (DSPDs), Programmable Logic Devices (PLDs), Field Programmable Gate Arrays (FPGAs), controllers, microcontrollers, microprocessors, or other electronic components. When the signal processing and transmittingmodule 13 transmits data in a wireless manner, the computing module may further include a wireless receiving module, for example, a receiving module such as a bluetooth receiving module, a WiFi receiving module, and the like, corresponding to the transmission manner of the signal processing and transmitting module.
Thecomputing module 14 may be implemented by dedicated hardware, by a general-purpose computer or other terminal equipment with processing functions, or by network computing service resources.
Referring to fig. 4, fig. 4 is a partial structural schematic diagram corresponding to the flexible volume acquiring system module schematic diagram.
As shown in fig. 4, the partial schematic structural diagram includes asound module 11, asensor module 12, a signal processing and transmittingmodule 13 and asupport body 2, thesensor module 12 may be disposed on thesupport body 2, and the signal processing and transmittingmodule 13 may also be disposed on the support body.
Based on the flexible alveolar volume acquisition system, real-time data of the alveolar volume of a patient/user can be obtained.
FIG. 5 shows a block schematic diagram of a flexible alveolar volume acquisition system according to yet another embodiment of the present disclosure.
As shown in FIG. 5, a flexible alveolar volume acquisition system comprises: the device comprises asound production module 11, asensor module 12, a signal processing and transmittingmodule 13, a calculatingmodule 14 and adisplay module 15, wherein thesensor module 12, the signal processing and transmittingmodule 13, the calculatingmodule 14 and thedisplay module 15 are sequentially and electrically connected, and sound produced by thesound production module 11 after lung vibration is caused can be received by thesensor module 12.
Thesound generating module 11 is used for generating first sound signals with different frequencies.
Thesensor module 12 is configured to receive a second sound signal from the lung, where the second sound signal is a sound signal generated by the lung vibrating due to the first sound signal.
And the signal processing and transmittingmodule 13 is electrically connected to the sensor module, and is configured to convert the second sound signal into a third sound signal and transmit the third sound signal.
And a calculatingmodule 14, electrically connected to the signal processing and transmittingmodule 13, for receiving the third sound signal, calculating the frequency of the third sound signal, and calculating the alveolar volume according to the frequency of the third sound signal.
Thesound generating module 11, thesensor module 12, the signal processing and transmittingmodule 13, and the calculatingmodule 14 in fig. 5 are the same as those in fig. 1, and detailed descriptions thereof are omitted, so that reference can be made to the previous description.
And adisplay module 15, configured to display the alveolar volume and/or the frequency calculated by thecalculation module 14.
In one possible embodiment, thedisplay module 15 may be an LED display screen, an LCD display screen, or the like. Thedisplay module 15 may display the alveolar volume and the corresponding frequency thereof in real time, and when the sounding module continuously emits sounds with different frequencies, the flexible alveolar volume acquiring system is always in the operating mode, so that the alveolar volume is continuously updated.
In one possible embodiment, thedisplay module 15 may display the alveolar volume sizes corresponding to different regions of the lung in groups. As can be seen from the foregoing description, thesensor module 12 comprises a plurality of sensors disposed on asupport body 2, thesupport body 2 being applied to the lung surface. Different sensors monitor different positions, so that the sensors on thesensor module 12 can be grouped as required, and grouped alveolar volumes are displayed in a grouped manner, and the display is more intuitive. The grouping mode can be set according to needs, and the grouping can be carried out according to the structure of the lung.
Based on the flexible alveolar volume acquisition system, real-time data of the alveolar volume of the patient/user can be obtained and displayed to a monitor, and the monitor can conveniently and intuitively observe the change of the alveolar volume of the patient/user.
FIG. 6 shows a block schematic diagram of a flexible alveolar volume acquisition system according to yet another embodiment of the present disclosure.
As shown in FIG. 6, a flexible alveolar volume acquisition system comprises: the device comprises asound production module 11, asensor module 12, a signal processing and transmittingmodule 13, a calculatingmodule 14, adisplay module 15 and acontrol module 16, wherein thesensor module 12, the signal processing and transmittingmodule 13, the calculatingmodule 14, thedisplay module 15 and thecontrol module 16 are electrically connected in sequence, and sound produced after lung vibration is caused by sound produced by thesound production module 11 can be received by thesensor module 12.
Thesound generating module 11 is used for generating first sound signals with different frequencies.
Thesensor module 12 is configured to receive a second sound signal from the lung, where the second sound signal is a sound signal generated by the lung vibrating due to the first sound signal.
And the signal processing and transmittingmodule 13 is electrically connected to the sensor module, and is configured to convert the second sound signal into a third sound signal and transmit the third sound signal.
And a calculatingmodule 14, electrically connected to the signal processing and transmittingmodule 13, for receiving the third sound signal, calculating the frequency of the third sound signal, and calculating the alveolar volume according to the frequency of the third sound signal.
Thedisplay module 15 is electrically connected to thecalculation module 14, and is configured to display the alveolar volume and/or the frequency.
Referring to fig. 6, thesound generating module 11, thesensor module 12, the signal processing and transmittingmodule 13, the calculatingmodule 14, and thedisplay module 15 in fig. 6 are the same as those in fig. 1 and 5, and detailed descriptions thereof are omitted, so that reference can be made to the foregoing description.
In one possible embodiment, thecontrol module 16 is electrically connected to the sound generation module for controlling the operations of thesound generation module 11 and thedisplay module 15. For example, thecontrol module 16 may control thesound generation module 11 to generate sounds with different frequencies, control thegeneration module 11 to generate sounds with specific frequencies, control the duration of the sounds generated by thesound generation module 11, and so on. Thecontrol module 16 can control thedisplay module 15 to display the frequency of the third sound signal calculated by thecalculation module 14 and the alveolar volume calculated according to the frequency. It should be understood that thesensor module 12, the signal processing and transmittingmodule 13, the calculatingmodule 14, and thedisplay module 15 can be electrically connected, so that thecontrol module 16 can also control the operation of other modules, i.e., thecontrol module 16 can control the operation of the entire flexible alveolar volume acquisition system. It should be noted that the "work" is not limited to the work that each module should perform, and may also include the work that thecontrol module 16 can control each module through a program or an instruction, for example, thecontrol module 16 may reset, shut down, and enable each module.
In one possible implementation, thecontrol module 16 may be implemented by one or more Application Specific Integrated Circuits (ASICs), Digital Signal Processors (DSPs), Digital Signal Processing Devices (DSPDs), Programmable Logic Devices (PLDs), Field Programmable Gate Arrays (FPGAs), controllers, micro-controllers, microprocessors, or other electronic components.
It should be noted that the above settings for the modules of the flexible alveolar volume acquisition system are exemplary, and those skilled in the art will understand that the present disclosure should not be limited thereto. In fact, the user is fully enabled to flexibly configure the various modules of the flexible alveolar volume acquisition system according to personal preferences and/or practical application scenarios.
Further, the present disclosure also provides a testing procedure and an implementation of the flexible alveolar volume harvesting system, which may include:
assembling the flexible alveolar volume acquisition system and preparing to start testing;
fitting thesupport body 2 to the lungs of the patient/user;
thesound production module 11 produces pulse signals, and thesound production module 11 emits pulse sound signals;
thesensor module 12 starts to collect the corresponding sound signal;
the signal processing and transmittingmodule 13 processes and transmits the received sound signals;
the relative volumes of the alveoli in the different regions can be seen by the monitoring person on thedisplay module 15.
Based on the flexible alveolar volume acquisition system, real-time data of the alveolar volume of the patient/user can be obtained and displayed to a monitor, the monitor can conveniently and intuitively observe the change of the alveolar volume of the patient/user, and meanwhile, thecontrol module 16 can control the whole system and all modules.
During measurement, the sound spectrum of the person during expiration can be measured firstly, then the sound spectrum of the person during inspiration is measured, and the frequency spectrum difference of the person during respiration is obtained through comparison, so that the alveolar opening and closing volume range can be obtained.
FIG. 7 shows a flow chart of an alveolar volume acquisition method based on a flexible alveolar volume acquisition system.
Referring to fig. 1-6, the flexible alveolar volume acquisition system may include asound module 11, asensor module 12, a signal processing andtransmission module 13, acalculation module 14, adisplay module 15, and acontrol module 16.
As shown in fig. 7, the alveolar volume acquisition method includes:
in step S110, the sound generating module generates first sound signals with different frequencies.
Step S120, the sensor module receives a second sound signal transmitted from the lung, where the second sound signal is a sound signal generated by the lung due to vibration generated by the first sound signal.
In step S130, the signal processing and transmitting module converts the second sound signal into a third sound signal, and transmits the third sound signal, where the third sound signal is a digital signal.
In step S140, the calculation module receives the third sound signal, calculates the frequency of the third sound signal, and calculates the alveolar volume according to the frequency of the third sound signal.
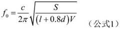
In one possible implementation, calculating the alveolar volume according to the frequency of the third sound signal may include:
calculating alveolar volume according to a first formula, the first formula being:
Figure GDA0002370353170000131
wherein f is0Where c is the frequency of the third acoustic signal, c is the speed of sound, S is the area of the bronchiole cross-section connecting the alveoli, d is the diameter of the bronchiole cross-section connecting the alveoli, l is the length of the bronchiole connecting the alveoli, and V is the alveolar volume.
Further, the method may further comprise the steps of:
a display module displays the alveolar volume and the frequency; and
and the control module controls the work of the sound production module and the display module.
It should be noted that although the alveolar volume acquisition method is described by taking steps as an example, those skilled in the art will appreciate that the present disclosure should not be limited thereto. In fact, the user can flexibly set the steps of the method according to personal preference and/or actual application scene.
Based on the flexible alveolar volume acquisition method, the alveolar volume of a patient/user can be monitored in real time.
Having described embodiments of the present disclosure, the foregoing description is intended to be exemplary, not exhaustive, and not limited to the disclosed embodiments. Many modifications and variations will be apparent to those of ordinary skill in the art without departing from the scope and spirit of the described embodiments. The terms used herein were chosen in order to best explain the principles of the embodiments, the practical application, or technical improvements to the techniques in the marketplace, or to enable others of ordinary skill in the art to understand the embodiments disclosed herein.

Claims (9)

Translated fromChinese
1.一种柔性肺泡容积获取系统,其特征在于,所述柔性肺泡容积获取系统包括:1. A flexible alveolar volume acquisition system, wherein the flexible alveolar volume acquisition system comprises:发声模块,用于产生不同频率的第一声音信号;a sounding module for generating first sound signals of different frequencies;传感器模块,用于接收肺部传来的第二声音信号,所述第二声音信号为肺部因所述第一声音信号产生振动发出的声音信号;a sensor module, configured to receive a second sound signal from the lungs, where the second sound signal is a sound signal emitted by the lungs due to the vibration of the first sound signal;信号处理及传输模块,电连接于所述传感器模块,用于将所述第二声音信号转换生成第三声音信号,并对所述第三声音信号进行传输,所述第三声音信号为数字信号;及A signal processing and transmission module, electrically connected to the sensor module, for converting the second sound signal to generate a third sound signal, and transmitting the third sound signal, where the third sound signal is a digital signal ;and计算模块,电连接于所述信号处理及传输模块,用于接收所述第三声音信号,计算所述第三声音信号的频率,并根据所述第三声音信号的频率计算肺泡容积,a calculation module, electrically connected to the signal processing and transmission module, for receiving the third sound signal, calculating the frequency of the third sound signal, and calculating the alveolar volume according to the frequency of the third sound signal,所述根据所述第三声音信号的频率计算肺泡容积,包括:The calculating the alveolar volume according to the frequency of the third sound signal includes:根据第一公式计算所述肺泡容积,所述第一公式为:
Figure FDA0002370353160000011
The alveolar volume is calculated according to the first formula, and the first formula is:
Figure FDA0002370353160000011
其中,f0为所述第三声音信号的频率,c为声速,S为连接肺泡的细支气管截面的面积,d是连接肺泡的细支气管截面的直径,l是连接肺泡的细支气管的长度,V是所述肺泡容积。where f0 is the frequency of the third sound signal, c is the speed of sound, S is the area of the bronchioles connecting the alveoli, d is the diameter of the bronchioles connecting the alveoli, l is the length of the bronchioles connecting the alveoli, V is the alveolar volume.2.根据权利要求1所述的柔性肺泡容积获取系统,其特征在于,所述传感器模块包括多个声音传感器,所述多个声音传感器分别由传感元件及共振腔构成,传感元件位于共振腔内,所述传感元件由驻极体麦克风、多个MEMS麦克风或者他们的组合制成。2 . The flexible alveolar volume acquisition system according to claim 1 , wherein the sensor module comprises a plurality of sound sensors, and the plurality of sound sensors are respectively composed of a sensing element and a resonant cavity, and the sensing element is located in the resonance cavity. 3 . Inside the cavity, the sensing element is made of an electret microphone, a plurality of MEMS microphones, or a combination thereof.3.根据权利要求2所述的柔性肺泡容积获取系统,其特征在于,所述传感器模块设置在贴敷于对应肺部位置的人体外表面的支撑体,所述支撑体使用柔性材料制造,所述支撑体包括柔性板及柔性封装层,所述传感器模块设置于所述柔性板上,所述柔性封装层用于封装所述传感器模块及柔性板。3 . The flexible alveolar volume acquisition system according to claim 2 , wherein the sensor module is arranged on a support body attached to the outer surface of the human body corresponding to the position of the lung, and the support body is made of flexible materials, so the The support body includes a flexible board and a flexible packaging layer, the sensor module is disposed on the flexible board, and the flexible packaging layer is used for packaging the sensor module and the flexible board.4.根据权利要求3所述的柔性肺泡容积获取系统,其特征在于,所述柔性材料为聚酰亚胺。4. The flexible alveolar volume acquisition system according to claim 3, wherein the flexible material is polyimide.5.根据权利要求1-4任一项所述的柔性肺泡容积获取系统,其特征在于,所述信号处理及传输模块通过有线或者无线方式将所述第三声音信号传输至所述计算模块,其中,所述无线方式包括蓝牙、WiFi、GPRS、3G或5G。5. The flexible alveolar volume acquisition system according to any one of claims 1-4, wherein the signal processing and transmission module transmits the third sound signal to the calculation module by wire or wirelessly, Wherein, the wireless method includes Bluetooth, WiFi, GPRS, 3G or 5G.6.根据权利要求5所述的柔性肺泡容积获取系统,其特征在于,所述柔性肺泡容积获取系统还包括显示模块,所述显示模块电连接于所述计算模块,用于显示所述肺泡容积及/或所述频率。6 . The flexible alveolar volume acquisition system according to claim 5 , wherein the flexible alveolar volume acquisition system further comprises a display module, the display module is electrically connected to the calculation module and configured to display the alveolar volume. 7 . and/or said frequency.7.根据权利要求6所述的柔性肺泡容积获取系统,其特征在于,所述柔性肺泡容积获取系统还包括控制模块,所述控制模块电连接于所述发声模块及显示模块,用于控制所述发声模块及显示模块的工作。7 . The flexible alveolar volume acquisition system according to claim 6 , wherein the flexible alveolar volume acquisition system further comprises a control module, the control module is electrically connected to the sounding module and the display module, and is used to control all the alveolar volumes. Describe the work of the sound module and the display module.8.一种肺泡容积获取方法,其特征在于,所述方法包括:8. A method for obtaining alveolar volume, wherein the method comprises:发声模块产生不同频率的第一声音信号;The sounding module generates first sound signals of different frequencies;传感器模块接收肺部传来的第二声音信号,所述第二声音信号为肺部因所述第一声音信号产生振动发出的声音信号;The sensor module receives a second sound signal from the lungs, where the second sound signal is a sound signal emitted by the lungs due to the vibration generated by the first sound signal;信号处理及传输模块将所述第二声音信号转换生成第三声音信号并对所述第三声音信号进行传输,所述第三声音信号为数字信号;及The signal processing and transmission module converts the second sound signal to generate a third sound signal and transmits the third sound signal, and the third sound signal is a digital signal; and计算模块接收所述第三声音信号,计算所述第三声音信号的频率,并根据所述第三声音信号的频率计算肺泡容积,The calculation module receives the third sound signal, calculates the frequency of the third sound signal, and calculates the alveolar volume according to the frequency of the third sound signal,所述根据所述第三声音信号的频率计算肺泡容积,包括:The calculating the alveolar volume according to the frequency of the third sound signal includes:根据第一公式计算所述肺泡容积,所述第一公式为:
Figure FDA0002370353160000021
The alveolar volume is calculated according to the first formula, and the first formula is:
Figure FDA0002370353160000021
其中,f0为所述第三声音信号的频率,c为声速,S为连接肺泡的细支气管截面的面积,d是连接肺泡的细支气管截面的直径,l是连接肺泡的细支气管的长度,V是所述肺泡容积。where f0 is the frequency of the third sound signal, c is the speed of sound, S is the area of the bronchioles connecting the alveoli, d is the diameter of the bronchioles connecting the alveoli, l is the length of the bronchioles connecting the alveoli, V is the alveolar volume.
9.根据权利要求8所述的肺泡容积获取方法,其特征在于,还包括:9. The method for obtaining alveolar volume according to claim 8, further comprising:显示模块显示所述肺泡容积及所述频率;及a display module displaying the alveolar volume and the frequency; and控制模块控制所述发声模块及显示模块的工作。The control module controls the work of the sounding module and the display module.
CN201810300829.1A2018-04-042018-04-04Flexible alveolar volume acquisition system and alveolar volume acquisition methodActiveCN108498099B (en)

Priority Applications (1)

Application NumberPriority DateFiling DateTitle
CN201810300829.1ACN108498099B (en)2018-04-042018-04-04Flexible alveolar volume acquisition system and alveolar volume acquisition method

Applications Claiming Priority (1)

Application NumberPriority DateFiling DateTitle
CN201810300829.1ACN108498099B (en)2018-04-042018-04-04Flexible alveolar volume acquisition system and alveolar volume acquisition method

Publications (2)

Publication NumberPublication Date
CN108498099A CN108498099A (en)2018-09-07
CN108498099Btrue CN108498099B (en)2020-04-17

Family

ID=63380909

Family Applications (1)

Application NumberTitlePriority DateFiling Date
CN201810300829.1AActiveCN108498099B (en)2018-04-042018-04-04Flexible alveolar volume acquisition system and alveolar volume acquisition method

Country Status (1)

CountryLink
CN (1)CN108498099B (en)

Family Cites Families (8)

* Cited by examiner, † Cited by third party
Publication numberPriority datePublication dateAssigneeTitle
KR100223987B1 (en)*1996-12-311999-10-15김덕중 Helmholtz type acoustic resonance diffuser
GB9714621D0 (en)*1997-07-141997-09-17Subacoustech LimitedDislodging or loosening mucus in a person's lungs
US6688169B2 (en)*2001-06-152004-02-10Textron Systems CorporationSystems and methods for sensing an acoustic signal using microelectromechanical systems technology
EP2589335A3 (en)*2003-04-102017-10-04Adidas AGSystems and methods for respiratory event dedection
JP4893860B1 (en)*2011-02-212012-03-07オムロン株式会社 microphone
US8331198B2 (en)*2011-03-212012-12-11Teledyne Instruments, Inc.Gas-filled bubble sound source
CN102638753B (en)*2012-03-162014-05-21中北大学 Graphene-Based MEMS Acoustic Sensors
DK3426133T3 (en)*2016-03-102020-08-10Epitronic Holdings Pte Ltd MICROELECTRONIC SENSORS FOR NON-INVASIVE MONITORING OF PHYSIOLOGICAL PARAMETERS

Also Published As

Publication numberPublication date
CN108498099A (en)2018-09-07

Similar Documents

PublicationPublication DateTitle
CN103169505B (en)A kind of doppler ultrasound pickup APU
Mehta et al.Mobile voice health monitoring using a wearable accelerometer sensor and a smartphone platform
CN108140371B (en)System for representing sound of reed instrument
CN106878880B (en)Dust removal method and device for loudspeaker sound outlet hole and terminal equipment
CN105451796B (en)The monitoring that atomizer is used
US20180338743A1 (en)Acoustic detection mask systems and/or methods
US20060270941A1 (en)Device for measuring respiration during sleep
US9704475B2 (en)Pleasant sound making device for facility apparatus sound, and pleasant sound making method for facility apparatus sound
US10987064B2 (en)Lung sound monitoring device and lung sound monitoring method thereof
WO2006037331B1 (en)A handheld home monitoring sensors network device
JP2018521367A5 (en)
US10888300B2 (en)Stethoscope with extended detection range
US12302056B2 (en)Vibroacoustic earbud
CN108498099B (en)Flexible alveolar volume acquisition system and alveolar volume acquisition method
CN106413522B (en) Track fundamental frequencies of sound signals in real time
CN108652632B (en) Forced oscillation pulmonary function test device and method
Kirchner et al.Wearable system for measurement of thoracic sounds with a microphone array
JP3198239U (en) Device that encourages sleep posture change when detecting apnea during sleep
CN208065176U (en)Forced oscillation pulmonary function test (pft) device
CN106388854A (en)Electronic auscultation system
CN102764128A (en)Lung function sensor
CN202665534U (en)Pulmonary function sensor
JP2005168884A (en)Respiration examination device
CN210158619U (en)Self-service integrated double-head stethoscope
WoodsQueen piping

Legal Events

DateCodeTitleDescription
PB01Publication
PB01Publication
SE01Entry into force of request for substantive examination
SE01Entry into force of request for substantive examination
GR01Patent grant
GR01Patent grant

[8]ページ先頭

©2009-2025 Movatter.jp