Movatterモバイル変換


[0]ホーム

URL:


CN108444482B - A method and system for autonomous pathfinding and obstacle avoidance of unmanned aerial vehicle - Google Patents

A method and system for autonomous pathfinding and obstacle avoidance of unmanned aerial vehicle
Download PDF

Info

Publication number
CN108444482B
CN108444482BCN201810619904.0ACN201810619904ACN108444482BCN 108444482 BCN108444482 BCN 108444482BCN 201810619904 ACN201810619904 ACN 201810619904ACN 108444482 BCN108444482 BCN 108444482B
Authority
CN
China
Prior art keywords
path
point
node
grid
plane
Prior art date
Legal status (The legal status is an assumption and is not a legal conclusion. Google has not performed a legal analysis and makes no representation as to the accuracy of the status listed.)
Expired - Fee Related
Application number
CN201810619904.0A
Other languages
Chinese (zh)
Other versions
CN108444482A (en
Inventor
王骞翰
徐博
黄伟
王猛
王鸣晓
Current Assignee (The listed assignees may be inaccurate. Google has not performed a legal analysis and makes no representation or warranty as to the accuracy of the list.)
Northeastern University China
Original Assignee
Northeastern University China
Priority date (The priority date is an assumption and is not a legal conclusion. Google has not performed a legal analysis and makes no representation as to the accuracy of the date listed.)
Filing date
Publication date
Application filed by Northeastern University ChinafiledCriticalNortheastern University China
Priority to CN201810619904.0ApriorityCriticalpatent/CN108444482B/en
Publication of CN108444482ApublicationCriticalpatent/CN108444482A/en
Application grantedgrantedCritical
Publication of CN108444482BpublicationCriticalpatent/CN108444482B/en
Expired - Fee Relatedlegal-statusCriticalCurrent
Anticipated expirationlegal-statusCritical

Links

Images

Classifications

Landscapes

Abstract

Translated fromChinese

本发明提供一种无人机自主寻路避障方法及系统。本发明方法,包括:采集障碍物的位置信息;通过栅格法进行三维环境建模,并将其分割成若干个栅格,分别对包含障碍物的栅格和不包含障碍物的栅格进行不同颜色的处理,通过过起始点及目标终点的判断平面分割栅格,得到二维栅格模型;基于A*算法在所述二维栅格模型上做出全局静态路径规划;在全局静态路径规划后,进行局部动态路径规划;通过贝塞尔曲线对规划出的线路点进行轨迹跟踪,完成对路径轨迹的平滑处理;本发明通过全局静态路径规划和局部动态路径规划,使得无人机可以及时发现环境的动态变化带来的障碍物位置的改变,计算过程简便快捷,解决了传统飞行线路容易碰障碍物的问题。

Figure 201810619904

The present invention provides a method and system for autonomous path finding and obstacle avoidance of an unmanned aerial vehicle. The method of the invention includes: collecting the position information of obstacles; carrying out three-dimensional environment modeling by the grid method, dividing it into several grids, and performing the steps on the grids containing obstacles and the grids not containing obstacles respectively. In the processing of different colors, the grid is divided by the judgment plane of the starting point and the target end point to obtain a two-dimensional grid model; based on the A* algorithm, a global static path planning is made on the two-dimensional grid model; on the global static path After planning, local dynamic path planning is performed; the planned route points are tracked through Bezier curves to complete the smooth processing of the path trajectory; the present invention enables the UAV to The change of the position of the obstacle caused by the dynamic change of the environment is detected in time, and the calculation process is simple and fast, which solves the problem that the traditional flight line is easy to hit the obstacle.

Figure 201810619904

Description

Unmanned aerial vehicle autonomous road finding and obstacle avoiding method and system
Technical Field
The invention relates to the field of unmanned aerial vehicle path planning and trajectory tracking, in particular to an unmanned aerial vehicle autonomous path finding and obstacle avoidance method and system.
Background
Unmanned aerial vehicle can carry out the task of various demands under the complex environment, because the complicated variability of environment leads to unmanned aerial vehicle to meet various problems when the executive task. The most important problem is that the obstacles around the unmanned aerial vehicle are increased due to the changeable environment, so that the unmanned aerial vehicle cannot correctly bypass the obstacles to perform tasks. Direct straight-line around obstacles may also cause accidents that hit the paddles. Because of the complex and changeability of the environment, the static obstacle avoidance and road searching cannot meet the complex environment changing constantly, so a dynamic planning method for monitoring the environment change in real time and changing the path in real time is required.
In the field of path planning and trajectory tracking, various algorithms come up endlessly. Most of the existing related algorithms process static maps and environments, and although the existing related algorithms have excellent performance in the static environment, the existing related algorithms have defects in the dynamic environment field.
Disclosure of Invention
According to the technical problem, the unmanned aerial vehicle autonomous path finding and obstacle avoiding method and the system are provided, wherein after global path planning, local dynamic planning is carried out, and environment changes are better processed. The technical means adopted by the invention are as follows:
an unmanned aerial vehicle autonomous road-finding obstacle-avoiding method comprises the following steps:
s1, collecting position information of the obstacles;
s2, modeling a three-dimensional environment through a grid method, dividing the three-dimensional environment into a plurality of grids, respectively processing grids containing obstacles and grids not containing obstacles in different colors, and dividing the grids through a judgment plane passing through a starting point and a target end point to obtain a two-dimensional grid model;
s3, making a global static path plan on the two-dimensional grid model based on an A-x algorithm, and searching an optimal global reference path between a starting point and a final point;
s4, after the global static path is planned, local dynamic path planning is carried out for returning to the originally planned path as soon as possible after the sudden dynamic environment change is processed;
further, after the local dynamic planning, the method includes: and S5, tracking the planned line points through the Bezier curve, and finishing the smoothing processing of the path track.
Further, the step S1 specifically includes:
s101, acquiring position information of an obstacle in a sensor coordinate system through a sensor;
s102, converting the position information under the sensor coordinate system to an unmanned aerial vehicle coordinate system through coordinate transformation;
and S103, importing the position information in the unmanned aerial vehicle coordinate system into an inertial coordinate system through navigation calculation to obtain dynamic obstacle position information.
Further, the obtaining of the two-dimensional grid model by plane segmentation of the grid through the judgment of the starting point and the target end point specifically includes:
s201, generating a judgment plane perpendicular to a yz plane by passing through a starting point and a target end point;
s202, mapping the two-dimensional grid of the xy plane to the judgment plane,
when the level of the starting point is higher than the level of the target end point:
Figure GDA0003119079930000021
when the level of the starting point is lower than the level of the target end point:
Figure GDA0003119079930000022
when the horizontal height of the starting point is higher than the horizontal height of the target end point and is consistent, the judgment plane is parallel to the xy plane,
Pz=Ez=Sz (3)
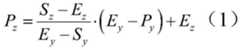
wherein, P1(Py,Pz) A projection point S representing the coordinate of any point P on the judgment plane on the yz plane1(Sy,Sz) Representing the projection of the starting point S on the yz plane, E1(Ey,Ez) Represents the projection point of the target end point S on the yz plane,
combining the formulas (1), (2) and (3) to obtain the coordinate of any point in the judgment plane,
Figure GDA0003119079930000031
s203, setting the coordinate P of a certain point in the judgment planex=Bx,Py=ByJudging an obstacle grid and a free grid in the two-dimensional grid through a formula (4), wherein:
if Pz>BzThe point P (P) on the plane Fx,Py,Pz) The grid that is the center is a free grid,
if Pz<BzThe point P (P) on the plane Fx,Py,Pz) The grid that is the center is the barrier grid,
B(Bx,By,Bz) Representing three-dimensional obstacle grid coordinates.
Further, the step S3 specifically includes the following steps:
s301, mapping the established two-dimensional grid model into a two-dimensional array, assigning the corresponding element of the barrier grid in the array to be 1, and assigning the corresponding element of the free grid in the array to be 0;
s302, adding the starting point into the OpenList, assigning the address of the starting point information structure body to the parent pointer of the current node,
the starting set is used for storing the information of the grid nodes to be selected;
s303, putting the current node into a closed set CloseList, wherein the closed set is used for storing the grid node information which is searched and selected and cannot be searched again;
s304, searching all free grids in the neighborhood of the current node in the two-dimensional array, calculating the value of a cost function of each node, comparing the value with the nodes in the opening set, if the node exists in the opening set, comparing the respective values of g (k), if the value of g (k) of the node is smaller, updating g (k) and f (k) in the opening set, pointing the parent pointer of the node stored in the opening set to the current node, if the node does not exist in the opening set, adding the node into the opening set, if a target end point is added into the opening set, executing a step S306, otherwise executing a step S305,
g (k), the path cost from the starting point to k of the node to be selected; (k) the total cost value of the node k to be selected;
the cost function f (n) is expressed by the following expression:
f(n)=g(n)+h(n),
g (n) represents the path cost from the starting point to the node n, g (n) is calculated using a formula based on minkowski distance, the cost for each direction is calculated to be different so that the path cost is not the same, h (n) represents the heuristic function from the node to the target point; h (n) denotes a Manhattan distance | x1-x2|+|y1-y2|;
S305, selecting a node with the minimum f (k) from the starting set, pointing a current node pointer to a current node, and executing S303;
and S306, starting from the target node, determining a final path by tracing the parent node pointer, finishing the global path planning, and outputting a path result.
Further, the step S4 specifically includes the following steps:
s401, reading the path point and judging whether the path point reaches a target end point, if so, ending the process, otherwise, executing S402;
s402, judging whether the environment in the current node field changes, if so, performing local dynamic path planning, executing S403, if not, returning to S401, continuing path point tracking,
wherein the dynamic path planning is shown by the following algorithm:
f(n)=g(n)+h(n)+x(n)
g (n) represents the path cost from the starting point to the node n, g (n) is calculated using a formula based on minkowski distance, the cost for each direction is calculated to be different so that the path cost is not the same, h (n) represents the heuristic function from the node to the target point; h (n) denotes a Manhattan distance | x1-x2|+|y1-y2L, |; x (n) represents the newly planned node to the original static stateEuclidean distance of the planned path;
s403, after dynamic path planning, judging whether a global path is returned, if so, returning to S401, continuing path point tracking, and if not, continuing dynamic path planning until the global path is returned;
and after the path points are judged point by point, the target end point is reached, and the local dynamic path planning in the global path is completed.
An unmanned aerial vehicle is independently sought way and is kept away barrier system includes:
the acquisition unit is used for acquiring the position information of the path barrier;
the preprocessing unit is used for carrying out three-dimensional environment modeling on the acquired information and reducing the dimension of the acquired information into a two-dimensional grid model; a path planning unit comprising
The global planning module generates an optimal global reference path between a starting point and a final point in the two-dimensional grid by adopting an A-x algorithm;
the local planning module adopts an improved A-x algorithm with memoryless regression to perform local path optimal planning;
and the post-processing module tracks the planned line points by adopting a Bezier curve to ensure that the track is smooth.
The invention carries out three-dimensional environment modeling on the environment of the unmanned aerial vehicle, lowers the model through the judgment plane to obtain a two-dimensional grid model, carries out global path planning on the two-dimensional grid model based on the A-x algorithm, replans sudden dynamic environment change through local dynamic planning, and carries out smooth planning on planned line points through a Bessel curve, so that the unmanned aerial vehicle can find the change of the position of an obstacle caused by the dynamic change of the environment in time, the local dynamic planning has high response speed, good real-time performance and simple, convenient and quick calculation process, solves the problem that the traditional flight line is easy to touch the obstacle, and can be widely popularized in the fields of unmanned aerial vehicle path planning and track tracking based on the reasons.
Drawings
In order to more clearly illustrate the embodiments of the present invention or the technical solutions in the prior art, the drawings needed to be used in the description of the embodiments or the prior art will be briefly introduced below, and it is obvious that the drawings in the following description are some embodiments of the present invention, and for those skilled in the art, other drawings can be obtained according to these drawings without creative efforts.
FIG. 1 is a flow chart of an autonomous path-finding and obstacle-avoiding method for an unmanned aerial vehicle according to the present invention;
FIG. 2 is a diagram of the autonomous path-finding and obstacle-avoiding device of the unmanned aerial vehicle of the invention;
FIG. 3 is a schematic diagram of the three-dimensional modeling of the present invention, wherein (a) is a schematic diagram of the case where the starting point is higher than the target end point, and (b) is a schematic diagram of the case where the starting point is lower than the target end point;
FIG. 4 is a schematic diagram of determining a planar cutting grid according to the present invention, wherein (a) is a schematic diagram of a case where a start point is higher than a target end point, and (b) is a schematic diagram of a case where a start point is lower than a target end point;
FIG. 5 is a schematic diagram of a two-dimensional grid model of the present invention, wherein (a) is a schematic diagram of a situation where a starting point is higher than a target end point, and (b) is a schematic diagram of a situation where a starting point is lower than a target end point;
FIG. 6 is a schematic diagram of a path search process for global static path planning in accordance with the present invention;
FIG. 7 is a flow chart of the path planning for local dynamic path planning in accordance with the present invention;
fig. 8 is a schematic diagram of the smooth planning of the route points by means of bezier curves according to the present invention.
Detailed Description
In order to make the objects, technical solutions and advantages of the embodiments of the present invention clearer, the technical solutions in the embodiments of the present invention will be clearly and completely described below with reference to the drawings in the embodiments of the present invention, and it is obvious that the described embodiments are some, but not all, embodiments of the present invention. All other embodiments, which can be derived by a person skilled in the art from the embodiments given herein without making any creative effort, shall fall within the protection scope of the present invention.
As shown in fig. 1, an autonomous route finding and obstacle avoidance method for an unmanned aerial vehicle includes the following steps:
s2, modeling a three-dimensional environment through a grid method, dividing the three-dimensional environment into a plurality of grids, respectively processing grids containing obstacles and grids not containing obstacles in different colors, and dividing the grids through a judgment plane passing through a starting point and a target end point to obtain a two-dimensional grid model;
s3, making a global static path plan on the two-dimensional grid model based on an A-x algorithm, and searching an optimal global reference path between a starting point and a final point;
s4, after the global static path is planned, local dynamic path planning is carried out for returning to the originally planned path as soon as possible after the sudden dynamic environment change is processed;
and S5, tracking the planned line points through the Bezier curve, and finishing the smoothing processing of the path track.
As shown in fig. 2, an autonomous path-finding and obstacle-avoiding system for an unmanned aerial vehicle includes:
the acquisition unit is used for acquiring the position information of the path barrier;
the preprocessing unit is used for carrying out three-dimensional environment modeling on the acquired information and reducing the dimension of the acquired information into a two-dimensional grid model;
a path planning unit comprising
The global planning module generates an optimal global reference path between a starting point and a final point in the two-dimensional grid by adopting an A-x algorithm;
the local planning module adopts an improved A-x algorithm with memoryless regression to perform local path optimal planning;
and the post-processing module tracks the planned line points by adopting a Bezier curve to ensure that the track is smooth.
Embodiment 1, wherein step S1 includes: the position information of the obstacle under the sensor coordinate system is obtained through the laser and the ultrasonic sensor, the obstacle is converted into the unmanned aerial vehicle coordinate system through coordinate change, and the position of the obstacle under the inertial coordinate system is represented through the navigation system, so that the position information of the dynamic obstacle is obtained.
A planning space is divided into a plurality of basic units with regular shapes by adopting a unit decomposition modeling method, each basic unit is divided into nodes containing obstacles and nodes not containing obstacles, the nodes can visually describe environmental information and are convenient for storage of a computer, and meanwhile, each node is convenient to split and is convenient for processing and operation of a planning algorithm.
The grid method is used for modeling a three-dimensional environment, a three-dimensional planning space with a limited range is divided into equal-sized units, as shown in (a) and (b) of fig. 3, the three-dimensional space is divided into n × n × n grids, in the embodiment, 30 × 30 × 30 grids are adopted, each grid is a cube, the center of each grid is used as a calculation unit of a planning algorithm, an obstacle grid containing obstacles is assigned as 1, the grid is processed by dark color, a free grid not containing obstacles is assigned as 0, and the center of each unit grid is used as the coordinate of the grid by light color processing.
As shown in fig. 4(a) (b), a judgment plane F perpendicular to the yz plane is generated by passing through the starting point and the target end point, the judgment plane F includes the starting point S and the target end point E, and cuts through an obstacle grid higher than the judgment plane F;
as shown in fig. 5(a) (b), a two-dimensional grid of the xy plane is mapped to the judgment plane F, and the unit grid size of the judgment plane F is determined by the angle between the judgment plane F and the xy plane and the unit grid size of the xy plane. The figure includes an acute angle alpha formed by a judgment plane F and an xy plane, and an intersection C (C) of an extension line of a connecting line of a starting point and a target end point and a y axisy,0),
As shown in (a) of fig. 3, 4, and 5, when the level of the start point is higher than the level of the target end point:
Figure GDA0003119079930000071
Figure GDA0003119079930000081
as shown in (b) of fig. 3, 4, and 5, when the level of the start point is lower than the level of the target end point:
Figure GDA0003119079930000082
Figure GDA0003119079930000083
when the horizontal height of the starting point is higher than the horizontal height of the target end point and is consistent, the judgment plane is parallel to the xy plane,
Pz=Ez=Sz (3)
wherein, P1(Py,Pz) A projection point S representing the coordinate of any point P on the judgment plane on the yz plane1(Sy,Sz) Representing the projection of the starting point S on the yz plane, E1(Ey,Ez) Represents the projection point of the target end point S on the yz plane,
combining the formulas (1), (2) and (3) to obtain the coordinate of any point in the judgment plane,
Figure GDA0003119079930000084
s203, setting the coordinate P of a certain point in the judgment planex=Bx,Py=ByJudging an obstacle grid and a free grid in the two-dimensional grid through a formula (4), wherein:
if Pz>BzThe point P (P) on the plane Fx,Py,Pz) The grid that is the center is a free grid,
if Pz<BzThe point P (P) on the plane Fx,Py,Pz) The grid that is the center is the barrier grid,
B(Bx,By,Bz) Representing three-dimensional obstacle grid coordinates.
The essence of the A-algorithm is the combination of the greedy algorithm and the heuristic search algorithm, so the A-algorithm combines the advantages of the greedy algorithm and the heuristic search algorithm and inherits the characteristics of the greedy algorithm and the heuristic search algorithm. Compared with the greedy algorithm, the A algorithm has the advantages that the search efficiency is remarkably improved under the condition that the state space scale is large, compared with the optimal priority search algorithm, the A algorithm gradually tends to optimally search due to the combination of the 'optimization' property of the greedy algorithm, the defect that the optimal priority search algorithm is single in heuristic information is overcome, and theoretically, the optimal solution can be searched in the state space.
The core of the a-algorithm lies in the design of the cost function, and the general expression of the cost function is shown in formula (5).
f(n)=g(n)+h(n) (5)
Wherein (n) is a cost function of each node, g (n) represents the cost from the starting point to the node n, h (n) represents a heuristic function from the node to the target point, and the heuristic function h (n) is designed with emphasis on different situations. When h (n) is designed to be less than or equal to the real minimum cost from the current node to the target end point, the A-algorithm can theoretically find the optimal path in a planning space, the real minimum cost from the current node to the target end point cannot be estimated and calculated in advance, and h (n) is required to be close to the real cost to the maximum extent, so that the accuracy of path finding of the A-algorithm is ensured, and h (n) is required to be elaborately designed by combining with the actual problem.
As shown in fig. 6, in the process of path planning by using the a-algorithm, it is assumed that the environment model is built by a grid method, and the a-algorithm calculates a cost value of a node to be selected in a state space of the grid model through a cost function, and stores the cost value in the open set. And after the A-algorithm searches the end point and stores the end point into the closing set, the parent node pointer of each node is used for backtracking, and the path searching process of the A-algorithm is completed.
h (n) selecting a manhattan distance having:
h(n)=D*(|n.x-goal.x|+|n.y-goal.y|)
in the process of global path planning, the algorithm actually checks the information of the two-dimensional grid nodes after dimension reduction and calculates the information as a cost value, and in the process of software simulation, the information contained in each grid node is stored in the form of a structural body, so that a program can be conveniently accessed and called. The structure is shown in the following code.
Figure GDA0003119079930000091
And member variables g, f and h in the structure respectively represent g (), f (), h (), and farthenot is a node father pointer and points to the structure address of the father node of the current node.
As shown in fig. 7, the global path planning process on the dimension reduction model based on the a-x algorithm is as follows:
s301, mapping the established two-dimensional grid model into a two-dimensional array, assigning the corresponding element of the barrier grid in the array to be 1, and assigning the corresponding element of the free grid in the array to be 0;
s302, adding the starting point into the OpenList, assigning the address of the starting point information structure body to the parent pointer of the current node,
the starting set is used for storing the information of the grid nodes to be selected;
s303, putting the current node into a closed set CloseList, wherein the closed set is used for storing the grid node information which is searched and selected and cannot be searched again;
s304, searching all free grids in the neighborhood of the current node in the two-dimensional array, calculating the value of a cost function of each node, comparing the value with the nodes in the opening set, if the node exists in the opening set, comparing the respective values of g (k), if the value of g (k) of the node is smaller, updating g (k) and f (k) in the opening set, pointing the parent pointer of the node stored in the opening set to the current node, if the node does not exist in the opening set, adding the node into the opening set, if a target end point is added into the opening set, executing a step S306, otherwise executing a step S305,
g (k), the path cost from the starting point to k of the node to be selected; (k) the total cost value of the node k to be selected;
the cost function f (n) is expressed by the following expression:
f(n)=g(n)+h(n),
g (n) represents the path cost from the starting point to the node n, g (n) is calculated using a formula based on minkowski distance, the cost for each direction is calculated to be different so that the path cost is not the same, h (n) represents the heuristic function from the node to the target point; h (n) denotes a Manhattan distance | x1-x2|+|y1-y2|;
S305, selecting a node with the minimum f (k) from the starting set, pointing a current node pointer to a current node, and executing S303;
and S306, starting from the target node, determining a final path by tracing the parent node pointer, finishing the global path planning, and outputting a path result.
As shown in fig. 7, the dynamic path planning process,
s401, reading the path point and judging whether the path point reaches a target end point, if so, ending the process, otherwise, executing S402;
s402, judging whether the environment in the current node field changes, if so, performing local dynamic path planning, executing S403, if not, returning to S401, continuing path point tracking,
wherein the dynamic path planning is shown by the following algorithm:
f(n)=g(n)+h(n)+x(n)
g (n) represents the path cost from the starting point to the node n, g (n) is calculated using a formula based on minkowski distance, the cost for each direction is calculated to be different so that the path cost is not the same, h (n) represents the heuristic function from the node to the target point; h (n) denotes a Manhattan distance | x1-x2|+|y1-y2L, |; x (n) tableShowing the Euclidean distance from the newly planned node to the originally statically planned path;
s403, after dynamic path planning, judging whether a global path is returned, if so, returning to S401, continuing path point tracking, and if not, continuing dynamic path planning until the global path is returned;
and after the path points are judged point by point, the target end point is reached, and the local dynamic path planning in the global path is completed.
Because the traditional obstacle avoidance method directly avoids obstacles along a straight line after detecting the obstacles, and is easy to collide with an unmanned aerial vehicle to cause task failure, the method adopts a track planning method based on a Bezier curve to track the track bypassing the obstacles.
Second order Bezier curve, as shown in FIG. 8, by bypassing P0,P1,P2A bezier curve composed of these three points:
B(t)=(1-t)2P0+2t(1-t)P1+t2P2,t∈[0,1] (6)
general formula for the third order bezier curve:
Figure GDA0003119079930000111
the method carries out trajectory tracking on the line points planned in the front in a Bezier curve mode, so that the trajectory is smoother and more controllable, and the method has excellent applicability.
Finally, it should be noted that: the above embodiments are only used to illustrate the technical solution of the present invention, and not to limit the same; while the invention has been described in detail and with reference to the foregoing embodiments, it will be understood by those skilled in the art that: the technical solutions described in the foregoing embodiments may still be modified, or some or all of the technical features may be equivalently replaced; and the modifications or the substitutions do not make the essence of the corresponding technical solutions depart from the scope of the technical solutions of the embodiments of the present invention.

Claims (6)

Translated fromChinese
1.一种无人机自主寻路避障方法,其特征在于,包括:如下步骤:1. an unmanned aerial vehicle autonomous way-finding and obstacle-avoiding method, is characterized in that, comprises: the following steps:S1、采集障碍物的位置信息;S1. Collect location information of obstacles;S2、通过栅格法进行三维环境建模,并将其分割成若干个栅格,分别对包含障碍物的栅格和不包含障碍物的栅格进行不同颜色的处理,通过过起始点及目标终点的判断平面分割栅格,得到二维栅格模型;S2. Use the grid method to model the 3D environment, and divide it into several grids. The grids containing obstacles and the grids that do not contain obstacles are processed in different colors. By passing the starting point and the target The judgment plane of the end point divides the grid to obtain a two-dimensional grid model;S3、基于A*算法在所述二维栅格模型上做出全局静态路径规划,用于寻找起始点与最终点之间的最优的全局参考路径;S3, based on the A* algorithm, make a global static path planning on the two-dimensional grid model, for finding the optimal global reference path between the starting point and the final point;S4、在全局静态路径规划后,进行局部动态路径规划,用于在处理完突发的动态环境变化后,尽快回归至原先规划好的路径;S4. After the global static path planning, perform local dynamic path planning, which is used to return to the originally planned path as soon as possible after processing the sudden dynamic environment change;S5、通过贝塞尔曲线对规划出的线路点进行轨迹跟踪,完成对路径轨迹的平滑处理;S5. Track the planned route points through the Bezier curve to complete the smoothing of the path trajectory;动态路径规划如下算法所示:Dynamic path planning is shown in the following algorithm:f(n)=g(n)+h(n)+x(n)f(n)=g(n)+h(n)+x(n)g(n)表示起始点到节点n的路径代价,g(n)采用一种基于闵可夫斯基距离的公式进行计算,计算各个方向的代价不同从而使得路径代价不一样,h(n)表示从节点到目标点的启发函数;h(n)表示的是曼哈顿距离|x1-x2|+|y1-y2|;g(n) represents the path cost from the starting point to node n, and g(n) is calculated using a formula based on Minkowski distance. The heuristic function from the node to the target point; h(n) represents the Manhattan distance |x1 -x2 |+|y1 -y2 |;x(n)表示的是新规划的节点到原来静态规划的路径的欧氏距离。x(n) represents the Euclidean distance from the newly planned node to the original statically planned path.2.根据权利要求1所述的方法,其特征在于,所述步骤S1具体包括:2. The method according to claim 1, wherein the step S1 specifically comprises:S101、通过传感器获取障碍物在传感器坐标系下的位置信息;S101, obtaining the position information of the obstacle in the sensor coordinate system through the sensor;S102、通过坐标变换将所述传感器坐标系下的位置信息转换到无人机坐标系下;S102, converting the position information in the sensor coordinate system to the UAV coordinate system through coordinate transformation;S103、通过导航解算将无人机坐标系下的位置信息导入惯性坐标系下,获得动态的障碍物位置信息。S103 , importing the position information in the UAV coordinate system into the inertial coordinate system through the navigation solution to obtain dynamic obstacle position information.3.根据权利要求2所述的方法,其特征在于,所述通过过起始点及目标终点的判断平面分割栅格,得到二维栅格模型具体包括:3. The method according to claim 2, wherein the grid is divided into the grid by the judgment plane passing through the starting point and the target end point, and the obtained two-dimensional grid model specifically comprises:S201、过起始点及目标终点,生成垂直于yz平面的判断平面;S201, generating a judgment plane perpendicular to the yz plane through the starting point and the target end point;S202、将xy平面的二维栅格映射至所述判断平面,S202, map the two-dimensional grid of the xy plane to the judgment plane,当起始点的水平高度高于目标终点的水平高度时:When the horizontal height of the starting point is higher than the horizontal height of the target end point:
Figure FDA0003119079920000021
Figure FDA0003119079920000021
当起始点的水平高度低于目标终点的水平高度时:When the horizontal height of the starting point is lower than the horizontal height of the target end point:
Figure FDA0003119079920000022
Figure FDA0003119079920000022
当起始点的水平高度高于目标终点的水平高度一致时,判断平面平行于xy平面,When the horizontal height of the starting point is higher than the horizontal height of the target end point, the judgment plane is parallel to the xy plane,Pz=Ez=Sz (3)Pz =Ez =Sz (3)其中,P1(Py,Pz)表示判断平面上任一点P的坐标在yz平面的投影点,S1(Sy,Sz)表示起始点S在yz平面的投影点,E1(Ey,Ez)表示目标终点S在yz平面的投影点,Among them, P1 (Py , Pz ) represents the projection point of the coordinates of any point P on the judgment plane on the yz plane, S1 (Sy , Sz ) represents the projection point of the starting point S on the yz plane, E1 (Ey , Ez ) represents the projection point of the target end point S on the yz plane,结合公式(1)(2)(3)得到判断平面中任一点的坐标,Combining formulas (1) (2) (3) to obtain the coordinates of any point in the judgment plane,
Figure FDA0003119079920000023
Figure FDA0003119079920000023
S203、设判断平面中某点坐标Px=Bx,Py=By,通过公式(4)判断二维栅格中的障碍物栅格和自由栅格,其中:S203, set the coordinates of a certain point in the judgment plane Px =Bx , Py =By , judge the obstacle grid and the free grid in the two-dimensional grid by formula (4), where:若Pz>Bz,则平面F上以点P(Px,Py,Pz)为中心的栅格为自由栅格,If Pz >Bz , the grid on the plane F with the point P (Px , Py , Pz ) as the center is a free grid,若Pz<Bz,则平面F上以点P(Px,Py,Pz)为中心的栅格为障碍物栅格,If Pz <Bz , the grid on the plane F with the point P (Px , Py , Pz ) as the center is the obstacle grid,B(Bx,By,Bz)表示三维障碍物栅格坐标。B(Bx , Byy , Bz ) represents the three-dimensional obstacle grid coordinates.4.根据权利要求3所述的方法,其特征在于,所述步骤S3具体包括如下步骤:4. The method according to claim 3, wherein the step S3 specifically comprises the following steps:S301、将建立的二维栅格模型映射到二维数组中,将所述障碍物栅格在该数组中对应的元素被赋值为1,自由栅格在数组中的对应元素被赋值为0;S301, mapping the established two-dimensional grid model to a two-dimensional array, assigning the corresponding element of the obstacle grid in the array to 1, and assigning the corresponding element of the free grid to 0 in the array;S302、将起始点加入开启集OpenList中,并将起始点信息结构体的地址赋值给当前节点父指针,S302, adding the starting point to the open set OpenList, and assigning the address of the starting point information structure to the parent pointer of the current node,其中,所述开启集用于存储待选栅格节点信息;Wherein, the open set is used to store the grid node information to be selected;S303、将当前节点放入关闭集CloseList中,所述关闭集用于存储已经搜索选择过的、不能被再次搜索的栅格节点信息;S303, put the current node into the closed set CloseList, and the closed set is used to store the grid node information that has been searched and selected and cannot be searched again;S304、在二维数组中搜索当前节点邻域内的所有自由栅格计算各节点的代价函数的值,并与开启集中的节点进行比较,若开启集已经存在该节点,则比较各自的g(k)值,如果该节点的g(k)值更小,则将开启集中的g(k)与f(k)更新,并将开启集中所存储该节点的父指针指向当前节点,若开启集中没有该节点,则将该节点加入开启集,如果目标终点被加入开启集中,则执行步骤S306,否则执行步骤S305,S304. Search all free grids in the neighborhood of the current node in the two-dimensional array, calculate the value of the cost function of each node, and compare it with the nodes in the open set. If the node already exists in the open set, compare the respective g(k ) value, if the value of g(k) of the node is smaller, the g(k) and f(k) in the open set will be updated, and the parent pointer of the node stored in the open set will point to the current node. the node, add the node to the open set, if the target end point is added to the open set, go to step S306, otherwise go to step S305,其中,g(k),起始点到待选节点的k的路径代价;f(k),待选节点k的总代价值;Among them, g(k) is the path cost from the starting point to the node to be selected k; f(k) is the total cost of the node to be selected k;所述代价函数f(n)通过如下表达式表述:The cost function f(n) is expressed by the following expression:f(n)=g(n)+h(n),f(n)=g(n)+h(n),g(n)表示起始点到节点n的路径代价,g(n)采用一种基于闵可夫斯基距离的公式进行计算,计算各个方向的代价不同从而使得路径代价不一样,h(n)表示从节点到目标点的启发函数;h(n)表示的是曼哈顿距离|x1-x2|+|y1-y2|;g(n) represents the path cost from the starting point to node n, and g(n) is calculated using a formula based on Minkowski distance. The heuristic function from the node to the target point; h(n) represents the Manhattan distance |x1 -x2 |+|y1 -y2 |;S305、从开启集中选取具有最小f(k)的节点,将当前节点指针指向当前节点,执行S303;S305, select the node with the smallest f(k) from the open set, point the current node pointer to the current node, and execute S303;S306、从目标节点开始,通过追溯父节点指针确定最终路径,全局路径规划完成,输出路径结果。S306. Starting from the target node, determine the final path by tracing back the pointer of the parent node, complete the global path planning, and output the path result.5.根据权利要求4所述的方法,其特征在于,所述步骤S4具体包括如下步骤:5. The method according to claim 4, wherein the step S4 specifically comprises the following steps:S401、读取路径点并判断是否到达目标终点,若是,则结束流程,若否,则执行S402;S401, read the waypoint and judge whether the target end point is reached, if so, end the process, if not, execute S402;S402、判断当前节点领域内环境是否改变,若是,则进行局部动态路径规划,执行S403,若否,则返回S401,继续进行路径点跟踪,S402, determine whether the environment in the current node field has changed, if so, perform local dynamic path planning, and execute S403, if not, return to S401, and continue to perform path point tracking,S403、动态路径规划后,判断是否回归全局路径,若是,则返回S401,继续进行路径点跟踪,若否,则继续进行动态路径规划,直到回归到全局路径中;S403, after the dynamic path planning, determine whether to return to the global path, and if so, return to S401, and continue to perform path point tracking, if not, continue to perform dynamic path planning until returning to the global path;路径点逐点判断后,到达目标终点,完成全局路径中局部动态路径规划。After the path point is judged point by point, the target end point is reached, and the local dynamic path planning in the global path is completed.6.一种权利要求1所述无人机自主寻路避障方法的系统,包括:6. A system of the described unmanned aerial vehicle autonomous path-finding and obstacle-avoiding method of claim 1, comprising:采集单元,用于采集路径障碍物的位置信息;a collection unit for collecting the position information of obstacles in the path;预处理单元,用于对采集的信息进行三维环境建模并降维成二维栅格模型;The preprocessing unit is used to model the collected information in 3D environment and reduce the dimension into a 2D grid model;路径规划单元,包括Path planning unit, including其中,全局规划模块,采用A*算法在二维栅格生成起始点与最终点之间的最优的全局参考路径;Among them, the global planning module uses the A* algorithm to generate the optimal global reference path between the starting point and the final point in a two-dimensional grid;局部规划模块,采用改进并具有无记忆回归的A*算法进行局部路径最优规划;The local planning module adopts the improved A* algorithm with memoryless regression for local path optimal planning;后期处理模块,采用贝塞尔曲线对规划出的线路点进行轨迹跟踪,使轨迹平滑;The post-processing module uses the Bezier curve to track the planned route points to make the trajectory smooth;无记忆回归的A*算法如下所示:The A* algorithm for memoryless regression is as follows:f(n)=g(n)+h(n)+x(n)f(n)=g(n)+h(n)+x(n)g(n)表示起始点到节点n的路径代价,g(n)采用一种基于闵可夫斯基距离的公式进行计算,计算各个方向的代价不同从而使得路径代价不一样,h(n)表示从节点到目标点的启发函数;h(n)表示的是曼哈顿距离|x1-x2|+|y1-y2|;g(n) represents the path cost from the starting point to node n, and g(n) is calculated using a formula based on Minkowski distance. The heuristic function from the node to the target point; h(n) represents the Manhattan distance |x1 -x2 |+|y1 -y2 |;x(n)表示的是新规划的节点到原来静态规划的路径的欧氏距离。x(n) represents the Euclidean distance from the newly planned node to the original statically planned path.
CN201810619904.0A2018-06-152018-06-15 A method and system for autonomous pathfinding and obstacle avoidance of unmanned aerial vehicleExpired - Fee RelatedCN108444482B (en)

Priority Applications (1)

Application NumberPriority DateFiling DateTitle
CN201810619904.0ACN108444482B (en)2018-06-152018-06-15 A method and system for autonomous pathfinding and obstacle avoidance of unmanned aerial vehicle

Applications Claiming Priority (1)

Application NumberPriority DateFiling DateTitle
CN201810619904.0ACN108444482B (en)2018-06-152018-06-15 A method and system for autonomous pathfinding and obstacle avoidance of unmanned aerial vehicle

Publications (2)

Publication NumberPublication Date
CN108444482A CN108444482A (en)2018-08-24
CN108444482Btrue CN108444482B (en)2021-10-22

Family

ID=63207123

Family Applications (1)

Application NumberTitlePriority DateFiling Date
CN201810619904.0AExpired - Fee RelatedCN108444482B (en)2018-06-152018-06-15 A method and system for autonomous pathfinding and obstacle avoidance of unmanned aerial vehicle

Country Status (1)

CountryLink
CN (1)CN108444482B (en)

Families Citing this family (73)

* Cited by examiner, † Cited by third party
Publication numberPriority datePublication dateAssigneeTitle
CN109163613A (en)*2018-08-282019-01-08联誉信息股份有限公司A kind of intelligence target robot
CN109634304B (en)*2018-12-132022-07-15中国科学院自动化研究所南京人工智能芯片创新研究院Unmanned aerial vehicle flight path planning method and device and storage medium
CN111380526B (en)*2018-12-272022-04-05北京航迹科技有限公司System and method for determining path
US10948300B2 (en)2018-12-272021-03-16Beijing Voyager Technology Co., Ltd.Systems and methods for path determination
CN109781126A (en)*2018-12-302019-05-21芜湖哈特机器人产业技术研究院有限公司 A Global Static Path Planning Method Based on Vector Method
CN111435256A (en)*2019-01-122020-07-21上海航空电器有限公司Automatic terrain evasion method for aircraft based on grid map
CN109636077B (en)*2019-02-192022-11-25浙江大学Variable node assembly path planning method based on dual local pose transformation
CN109947123B (en)*2019-02-272021-06-22南京航空航天大学 A UAV path tracking and autonomous obstacle avoidance method based on sight guidance law
CN109871022A (en)*2019-03-182019-06-11江苏科技大学 An intelligent path planning and obstacle avoidance method for amphibious unmanned search and rescue vehicles
CN111721279A (en)*2019-03-212020-09-29国网陕西省电力公司商洛供电公司 A terminal path navigation method suitable for power transmission inspection work
CN110108284B (en)*2019-05-242020-10-30西南交通大学Unmanned aerial vehicle three-dimensional flight path rapid planning method considering complex environment constraint
CN110260875A (en)*2019-06-202019-09-20广州蓝胖子机器人有限公司A kind of method in Global motion planning path, Global motion planning device and storage medium
CN110282553B (en)*2019-06-262020-11-17上海应用技术大学Method and system for planning path of bridge crane
CN110262568B (en)*2019-07-192021-10-22深圳市道通智能航空技术股份有限公司Unmanned aerial vehicle obstacle avoidance method and device based on target tracking and unmanned aerial vehicle
CN110320933B (en)*2019-07-292021-08-10南京航空航天大学Unmanned aerial vehicle obstacle avoidance movement planning method under cruise task
CN110568862A (en)*2019-09-292019-12-13苏州浪潮智能科技有限公司 A UAV flight path planning method, device and related equipment
CN110618702B (en)*2019-10-182022-06-24中国电子科技集团公司电子科学研究院 A three-dimensional curve path tracking method, device and storage medium for unmanned aerial vehicle swarm
CN110609560A (en)*2019-10-292019-12-24广州高新兴机器人有限公司Mobile robot obstacle avoidance planning method and computer storage medium
CN110687923B (en)*2019-11-082022-06-17深圳市道通智能航空技术股份有限公司Unmanned aerial vehicle long-distance tracking flight method, device, equipment and storage medium
CN111111187B (en)*2019-11-282023-07-14玩心(北京)网络科技有限公司 Grid-based online game pathfinding method and device
CN110849385B (en)*2019-11-282023-09-22的卢技术有限公司Track planning method and system based on double-layer heuristic search conjugate gradient descent
CN111024082B (en)*2019-12-022021-12-17深圳优地科技有限公司Method and device for planning local path of robot and robot
CN110887503B (en)*2019-12-062021-10-15广州文远知行科技有限公司Moving track simulation method, device, equipment and medium
CN110986951B (en)*2019-12-112023-03-24广州市技田信息技术有限公司Path planning method based on penalty weight, navigation grid and grid map
CN111176273B (en)*2019-12-242022-03-11中国科学院合肥物质科学研究院Global path planning method of unmanned mobile platform in multi-domain terrain environment
CN111369991B (en)*2020-02-172023-12-12南京邮电大学Mobile control method supporting natural language instruction and system thereof
DE102020105793A1 (en)*2020-03-042021-09-09Volocopter Gmbh Path planning method and path planning algorithm for an aircraft
CN111338359B (en)*2020-04-302022-11-01武汉科技大学 A mobile robot path planning method based on distance judgment and angle deflection
CN111552296B (en)*2020-05-142021-03-26宁波智能装备研究院有限公司Local smooth track planning method based on curved cylindrical coordinate system
CN114041097B (en)*2020-05-272024-05-17深圳市大疆创新科技有限公司Unmanned aerial vehicle route smoothing method and device and control terminal
CN111707269B (en)*2020-06-232022-04-05东南大学 A method of UAV path planning in 3D environment
CN111780777B (en)*2020-07-132022-10-21江苏中科智能制造研究院有限公司 A Path Planning Method for Unmanned Vehicles Based on Improved A* Algorithm and Deep Reinforcement Learning
CN111811517A (en)*2020-07-152020-10-23中国科学院上海微系统与信息技术研究所 A dynamic local path planning method and system
CN111897361B (en)*2020-08-052023-08-22广州市赛皓达智能科技有限公司Unmanned aerial vehicle autonomous route planning method and system
CN111897341A (en)*2020-08-052020-11-06三一专用汽车有限责任公司Parking path planning method, parking path planning device and computer-readable storage medium
CN112484726B (en)*2020-09-302022-08-30天津基点科技有限公司Unmanned aerial vehicle path planning method based on three-dimensional model
CN112327939B (en)*2020-10-152024-04-12广东工业大学Collaborative path planning method for high-rise fire-fighting multiple unmanned aerial vehicles in city block environment
CN112591410A (en)*2020-11-272021-04-02江苏科技大学Material conveying system based on omnidirectional wheel and control method thereof
CN112629549B (en)*2020-11-272024-02-23三峡大学Method for planning running track line of concrete arch dam cable machine
CN113758484B (en)*2020-11-302024-07-16北京京东乾石科技有限公司Path planning method and device
CN112975953B (en)*2021-01-282022-06-03珠海迪沃航空工程有限公司Manipulator motion trajectory planning method and bolt grabbing detection system
CN113000397B (en)*2021-01-282023-03-17珠海迪沃航空工程有限公司Bolt grabbing detection device based on dynamic image recognition and control system
CN112902969B (en)*2021-02-032023-08-01重庆大学 A path planning method for unmanned aerial vehicles in the process of data collection
CN113093787B (en)*2021-03-152022-09-13西北工业大学Unmanned aerial vehicle trajectory planning method based on velocity field
CN113325834A (en)*2021-04-122021-08-31北京航空航天大学Path planning method of improved A-x algorithm based on graph preprocessing
CN113155132B (en)*2021-04-182024-04-12吴亮亮 A method and system for unmanned aerial vehicle path planning in greenhouse
CN113296536B (en)*2021-05-242022-04-05哈尔滨工业大学 A UAV 3D Obstacle Avoidance Algorithm Based on A* and Convex Optimization Algorithm
CN113341970A (en)*2021-06-012021-09-03苏州天准科技股份有限公司Intelligent inspection navigation obstacle avoidance system, method, storage medium and inspection vehicle
CN113496547B (en)*2021-06-222024-09-17华南理工大学Method, device, equipment and medium for identifying weakest path of physical protection system
CN113467469B (en)*2021-07-232024-01-23中国核动力研究设计院Object lifting space track planning method and system based on BIM technology
CN113467483B (en)*2021-08-232022-07-26中国人民解放军国防科技大学Local path planning method and device based on space-time grid map in dynamic environment
CN113759905A (en)*2021-08-302021-12-07北京盈迪曼德科技有限公司Robot path planning method and device and robot
CN115808918B (en)*2021-09-132025-09-26灵动科技(安徽)有限公司 Global path planning method, motion control method and computer program product
CN114035572B (en)*2021-10-092023-08-01凤凰智能电子(杭州)有限公司Obstacle avoidance tour method and system for mowing robot
CN114152263B (en)*2021-11-112024-04-16上海应用技术大学Path planning method, system, electronic equipment and storage medium
CN114313878B (en)*2021-11-192024-04-19江苏科技大学Kinematic modeling and path planning method for material transmission platform
CN114485611B (en)*2021-12-282024-04-26中科星图股份有限公司Three-dimensional space shortest path planning method and device based on Beidou grid codes
CN114625162A (en)*2022-02-102022-06-14广东工业大学 Optimal path planning method, system and medium for UAV based on hybrid algorithm
CN115122322A (en)*2022-05-262022-09-30深圳市如本科技有限公司Mechanical arm path planning method and system, computer equipment and storage medium
CN114815899B (en)*2022-06-092025-04-29中国科学院合肥物质科学研究院 Three-dimensional space path planning method for UAV based on 3D lidar sensor
CN115097870A (en)*2022-06-292022-09-23中国人民解放军空军工程大学航空机务士官学校 A UAV Obstacle Avoidance Track Planning Method Based on Digital Elevation Map
CN115578525B (en)*2022-09-062024-03-29中国能源建设集团云南火电建设有限公司 A system and method for engineering line selection optimization in complex environments
CN115683107A (en)*2022-09-272023-02-03深圳市智莱科技股份有限公司Automatic navigation method, automatic navigation device, unmanned vehicle and storage medium
CN116242861A (en)*2023-03-102023-06-09国网山东省电力公司潍坊供电公司High-altitude X-ray flaw detection method, device and equipment for power transmission line and storage medium
CN116105741B (en)*2023-04-072023-07-11南京航天宏图信息技术有限公司Multi-target three-dimensional dynamic path planning method and device
CN117308945B (en)*2023-08-172024-04-09成川科技(苏州)有限公司Unmanned crown block dynamic path planning method and system based on accurate traffic control
CN116893687B (en)*2023-08-212024-01-23广东工业大学Unmanned aerial vehicle path planning method for improving lazy theta in complex environment
CN117631618B (en)*2023-11-082025-01-24南京国电南自维美德自动化有限公司 A real-time optimization method and system for DCS logic configuration screen connection
CN118189971B (en)*2024-05-142024-08-09中国民航大学Unmanned plane path planning method and system based on three-dimensional A star and speed obstacle
CN118377311B (en)*2024-06-212024-08-30西安羚控电子科技有限公司Obstacle avoidance method and system for unmanned aerial vehicle path, and optimal path determination method and system
CN118672284B (en)*2024-08-222024-11-19中国计量大学 Autonomous environment perception, path planning and dynamic landing method and system for UAV
CN119245680A (en)*2024-09-292025-01-03广东敏卓机电股份有限公司 A high-order Bezier curve optimization method for robot path planning
CN120066115A (en)*2025-04-302025-05-30国网江西省电力有限公司电力科学研究院Three-dimensional reconstruction-based power line-imitating flight path planning method

Citations (10)

* Cited by examiner, † Cited by third party
Publication numberPriority datePublication dateAssigneeTitle
CN102359784A (en)*2011-08-012012-02-22东北大学Autonomous navigation and obstacle avoidance system and method of indoor mobile robot
CN103528585A (en)*2013-09-262014-01-22中北大学Path planning method of passable area divided at unequal distance
CN104075717A (en)*2014-01-212014-10-01武汉吉嘉伟业科技发展有限公司Unmanned plane airline routing algorithm based on improved A* algorithm
CN106325294A (en)*2016-08-222017-01-11上海交通大学Unmanned aerial vehicle trajectory smoothing method based on Bessel curve transition
CN106647769A (en)*2017-01-192017-05-10厦门大学 AGV path tracking and obstacle avoidance coordination method based on A* extraction guide point
CN106774310A (en)*2016-12-012017-05-31中科金睛视觉科技(北京)有限公司A kind of robot navigation method
CN106980320A (en)*2017-05-182017-07-25上海思岚科技有限公司Robot charging method and device
CN107229998A (en)*2017-05-312017-10-03江苏德胜智业信息技术有限公司A kind of autonomous pathfinding strategy process of unmanned plane
CN107328418A (en)*2017-06-212017-11-07南华大学Nuclear radiation detection autonomous path planning method of the mobile robot under strange indoor scene
CN107883962A (en)*2017-11-082018-04-06南京航空航天大学A kind of dynamic Route planner of multi-rotor unmanned aerial vehicle under three-dimensional environment

Patent Citations (10)

* Cited by examiner, † Cited by third party
Publication numberPriority datePublication dateAssigneeTitle
CN102359784A (en)*2011-08-012012-02-22东北大学Autonomous navigation and obstacle avoidance system and method of indoor mobile robot
CN103528585A (en)*2013-09-262014-01-22中北大学Path planning method of passable area divided at unequal distance
CN104075717A (en)*2014-01-212014-10-01武汉吉嘉伟业科技发展有限公司Unmanned plane airline routing algorithm based on improved A* algorithm
CN106325294A (en)*2016-08-222017-01-11上海交通大学Unmanned aerial vehicle trajectory smoothing method based on Bessel curve transition
CN106774310A (en)*2016-12-012017-05-31中科金睛视觉科技(北京)有限公司A kind of robot navigation method
CN106647769A (en)*2017-01-192017-05-10厦门大学 AGV path tracking and obstacle avoidance coordination method based on A* extraction guide point
CN106980320A (en)*2017-05-182017-07-25上海思岚科技有限公司Robot charging method and device
CN107229998A (en)*2017-05-312017-10-03江苏德胜智业信息技术有限公司A kind of autonomous pathfinding strategy process of unmanned plane
CN107328418A (en)*2017-06-212017-11-07南华大学Nuclear radiation detection autonomous path planning method of the mobile robot under strange indoor scene
CN107883962A (en)*2017-11-082018-04-06南京航空航天大学A kind of dynamic Route planner of multi-rotor unmanned aerial vehicle under three-dimensional environment

Non-Patent Citations (3)

* Cited by examiner, † Cited by third party
Title
Two Layers Solving Strategy for Path Planning of Unmanned Aerial Vehicle;Kangning Zhu, er al;《2016 8th International Conference on Intelligent Human-Machine Systems and Cybernetics》;20161231;第69-73页*
何雨枫.室内微小型无人机路径规划算法研究.《中国优秀硕士学位论文全文数据库 工程科技Ⅱ辑》.2014,*
室内微小型无人机路径规划算法研究;何雨枫;《中国优秀硕士学位论文全文数据库 工程科技Ⅱ辑》;20140115;第9-53页*

Also Published As

Publication numberPublication date
CN108444482A (en)2018-08-24

Similar Documents

PublicationPublication DateTitle
CN108444482B (en) A method and system for autonomous pathfinding and obstacle avoidance of unmanned aerial vehicle
CN107436148B (en)Robot navigation method and device based on multiple maps
JP6828044B2 (en) Route deviation recognition method, terminal, and storage medium
CN106371445B (en)A kind of unmanned vehicle planning control method based on topological map
CN108225358B (en)Vehicle navigation
CN113286985A (en)Path planning method and path planning device
CN106441303B (en)It is a kind of based on the paths planning method that can search for continuous neighborhood A* algorithm
CN113989451B (en) High-precision map construction method, device and electronic equipment
Chen et al.Research on Ship Meteorological Route Based on A‐Star Algorithm
CN110220521B (en)High-precision map generation method and device
CN111968229A (en)High-precision map making method and device
CN107677279A (en)It is a kind of to position the method and system for building figure
CN113587933A (en)Indoor mobile robot positioning method based on branch-and-bound algorithm
CN114440916B (en)Navigation method, device, equipment and storage medium
CN113936109B (en) Method, device, equipment and storage medium for processing high-precision map point cloud data
CN115639823A (en)Terrain sensing and movement control method and system for robot under rugged and undulating terrain
CN105469445B (en)A kind of step-length changeably drawing generating method
CN117311384A (en)Unmanned aerial vehicle flight path generation method and device, electronic equipment and storage medium
CN117631697A (en)Map construction method, device, equipment and storage medium based on air-ground cooperation
KR102624644B1 (en)Method of estimating the location of a moving object using vector map
CN117073697B (en)Autonomous hierarchical exploration map building method, device and system for ground mobile robot
CN118746310A (en) Assisted driving method, electronic device and storage medium
CN118411415A (en) Mobile robot relocalization method and device based on whale algorithm and ensemble learning
CN118244777A (en)Unmanned aerial vehicle and four-foot robot collaborative cave environment scanning and three-dimensional path planning method
CN117109609A (en)Improved heuristic static path planning method and system applied to mobile robot

Legal Events

DateCodeTitleDescription
PB01Publication
PB01Publication
SE01Entry into force of request for substantive examination
SE01Entry into force of request for substantive examination
GR01Patent grant
GR01Patent grant
CF01Termination of patent right due to non-payment of annual fee

Granted publication date:20211022

CF01Termination of patent right due to non-payment of annual fee

[8]ページ先頭

©2009-2025 Movatter.jp