Movatterモバイル変換


[0]ホーム

URL:


CN108390799B - Method for measuring end-to-end available key rate of quantum key distribution network - Google Patents

Method for measuring end-to-end available key rate of quantum key distribution network
Download PDF

Info

Publication number
CN108390799B
CN108390799BCN201810243722.8ACN201810243722ACN108390799BCN 108390799 BCN108390799 BCN 108390799BCN 201810243722 ACN201810243722 ACN 201810243722ACN 108390799 BCN108390799 BCN 108390799B
Authority
CN
China
Prior art keywords
interval
trend
rising
rate
data packet
Prior art date
Legal status (The legal status is an assumption and is not a legal conclusion. Google has not performed a legal analysis and makes no representation as to the accuracy of the status listed.)
Active
Application number
CN201810243722.8A
Other languages
Chinese (zh)
Other versions
CN108390799A (en
Inventor
权东晓
李焕芹
朱畅华
赵楠
易运晖
何先灯
陈南
Current Assignee (The listed assignees may be inaccurate. Google has not performed a legal analysis and makes no representation or warranty as to the accuracy of the list.)
Xidian University
Original Assignee
Xidian University
Priority date (The priority date is an assumption and is not a legal conclusion. Google has not performed a legal analysis and makes no representation as to the accuracy of the date listed.)
Filing date
Publication date
Application filed by Xidian UniversityfiledCriticalXidian University
Priority to CN201810243722.8ApriorityCriticalpatent/CN108390799B/en
Publication of CN108390799ApublicationCriticalpatent/CN108390799A/en
Application grantedgrantedCritical
Publication of CN108390799BpublicationCriticalpatent/CN108390799B/en
Activelegal-statusCriticalCurrent
Anticipated expirationlegal-statusCritical

Links

Images

Classifications

Landscapes

Abstract

The invention discloses a method for measuring the end-to-end available key rate of a quantum key distribution network, which mainly solves the problem of larger measurement error caused by time delay judgment error in the prior art, and comprises the following implementation steps: 1) setting a source end, a destination end and measurement parameters of a path to be tested, setting a test data packet length, and sending a test data packet at the source end; 2) the destination end receives the test data packet, records the arrival interval of the adjacent data packets, analyzes the arrival interval of the data packets and determines the packet length of the subsequent test data packet; 3) the source end sends a subsequent test data packet according to the reset test data rate; 4) and the destination terminal adjusts the sending rate according to the end-to-end time delay of the received data packet, readjusts the convergence interval by combining the relation between the time delay trend and the convergence interval, and returns to step 3) to obtain the available key rate meeting the precision requirement condition. The invention reduces error, improves measurement precision, and can be used for measuring the quantum key distribution network.

Description

Method for measuring end-to-end available key rate of quantum key distribution network
Technical Field
The invention belongs to the technical field of communication, and relates to a method for measuring the end-to-end available key rate of a Quantum Key Distribution (QKD) network, which can provide a basis for the QKD network to reasonably utilize network resources.
Background
Quantum secure communication is a communication mode combining quantum mechanics and classical cryptography. Based on the Heisebag uncertainty principle and quantum state unclonable theorem, quantum key distribution technology establishes shared keys among users, and is combined with a one-time pad encryption strategy, so that absolute secure communication can be realized.
Quantum secure communication systems based on QKD include mainly QKD systems, quantum channels, classical secure systems and classical channels. The QKD system performs key agreement with the assistance of the classical secret system, and both parties obtain a safe shared key. Then the classical secret system uses the key negotiated by the QKD system to encrypt the information in one-time pad, and transmits the information through the classical channel. And finally, after receiving the encrypted information, the receiver decrypts the information by using the shared secret key, and finally completes the safe transmission of the information of the two parties. However, due to the limitations of the prior art, the rate at which QKD systems negotiate keys is low, and thus rational utilization of keys in QKD networks is particularly important.
QKD networks are mainly classified into three types, including optical node QKD networks, quantum entanglement QKD networks, and trusted relay QKD networks, because of their different implementation manners. The optical node QKD network and the quantum entanglement QKD network cannot meet the requirement of large-scale networking respectively because of the problems of limited communication distance, large technical difficulty and the like. The trusted relay QKD network constructs a QKD link through a trusted intermediate node, so that the security can be ensured, the network scale is not limited, and the trusted relay QKD network becomes a current preferred networking mode.
In a QKD network, an end-to-end path refers to a route where two communicating parties are connected by a trusted relay node. Basic metric parameters for end-to-end key rate include: bottleneck key rate and available key rate. The key rate of the link refers to the rate of providing keys for information by trusted relays at both ends of the link in the absence of background traffic. The bottleneck key rate of the end-to-end path refers to the key rate value of the link with the smallest key rate in a path comprising a plurality of links. The available key rate of the end-to-end path refers to the maximum available key rate that can be provided for a new communication process in a path including a plurality of links, that is, the available key rate of the link with the smallest available key rate among all links of the path. In the absence of other traffic, the available key rate is equal to the bottleneck key rate.
In the QKD network, for a one-time pad hop-by-hop encryption and decryption mode, information reaching a trusted relay is decrypted first, then encrypted by using a key negotiated with a next trusted relay and sent to the next trusted relay, and the operation is continued until a receiving end decrypts the information to recover original information, so that the key is consumed by each link from a source end to a destination end. If the data rate in the data packet is greater than the available key rate, the key is insufficient, if the information is not encrypted, the information is easy to leak, so that the safety problem is caused, and if the data packet continues to wait for the key, the network is blocked, and the network performance is reduced. If the data rate is less than the available key rate, the keys may be underutilized, the freshness of the keys may be reduced, and a portion of the keys may have to be discarded. From the above analysis, it is necessary to estimate the available key rate, otherwise the network resources are not reasonably utilized.
In the prior art, a method for measuring an available key rate more accurately is generally performed based on a probe transmission rate model PRM, and the principle of the PRM measurement method is as follows: the source end sends a data packet with a certain rate, the destination end determines the sending rate of the next measurement according to the rising trend of the end-to-end time delay of the data packet, and the sending rate is converged to the condition equal to the available secret key rate in sequence. Although the method can measure the value of the end-to-end available key rate, when the destination end judges the end-to-end delay trend of the data packet, once the judgment is wrong, the measurement process is not compensated, and a large error is caused. The measurement with large errors does not accurately reflect the amount of keys available to the network, and thus the keys in the QKD network cannot be used properly, degrading the performance of the network. If the number of packets and the number of times of transmission are increased in order to improve accuracy, the convergence time and the number of times of convergence are not guaranteed.
Therefore, when measuring the available key rate of the end-to-end path in the QKD network based on the trusted relay, not only the accuracy needs to be ensured, but also the problem that the convergence times cannot be too many is also considered.
Disclosure of Invention
The invention aims to provide a method for measuring the end-to-end available key rate of a quantum key distribution network aiming at the defects in the prior art so as to improve the measurement precision.
In order to achieve the purpose, the technical scheme adopted by the invention comprises the following steps:
1) setting a source end and a destination end of a path to be tested, knowing an end-to-end bottleneck key rate R and a range (0, R) of an available key rate A to be tested]And setting the measurement precision b according to the measurement requirement, wherein the interval adjustment parameter Flag is 0. The whole (0, R) is measured according to the measurement precision b]Dividing into intervals with the same convergence times n, and when n is odd number, the threshold value of the convergence interval
Figure GDA0002971148010000021
When n is an even number, the number of the transition metal,
Figure GDA0002971148010000022
2) the source end sends Q test data packets with interval of 0 and length of 256 bytes;
3) the destination end receives the test data packets and records the intervals between the adjacent data packets in sequence: if the recorded data is Q-1 and the length of the test data packet is 256 bytes, executing the step 4), otherwise, reducing the value of Q, and returning to the step 2);
4) and analyzing the arrival interval of the data packet at the destination end, and determining the packet length of a subsequent used test data packet:
if the recorded arrival interval ratio of the adjacent data packets is greater than 100 or less than 0.01, the length of the subsequent test data packet is 128 bytes; otherwise, the length of the subsequent test data packet is 1024 bytes;
5) resetting the sending rate R of the test data at the source end by combining the end-to-end bottleneck key rate R;
6) sending M groups of data packets at a source end, wherein the number of each group is N, the sending rate of data in the group is r, and intervals are arranged among different groups, so that the mutual influence among the groups is avoided;
7) collecting the end-to-end time delay of the data packet at the destination end, and judging the end-to-end time delay trend of the M groups of data packets:
if more than half of the time delay is in the ascending trend, judging that the time delay is in the ascending trend, recording the change of the time delay trend, setting the maximum value R _ max of the convergence interval as R, keeping the minimum value R _ min unchanged, recording the value of R _ max, adjusting the next sending rate R _ next, and executing the step 8);
if more than half of the time interval is not ascending trend, judging that the time delay is not ascending trend, recording the change of the time delay trend, setting the minimum value R _ min of the convergence interval as R, keeping the maximum value R _ max unchanged, recording the value of R _ min, adjusting the next sending rate R _ next, and executing the step 8);
otherwise, returning to the step 6) when the time delay trend is uncertain;
8) judging whether the convergence interval and the sending rate meet the measurement precision requirement:
if the convergence interval [ R _ min, R _ max ] converges to make R-R _ next/R _ next < b, obtaining the measured value R _ next of the available key rate, and ending the measurement; if the precision requirement is not met, executing step 9);
9) and (3) judging whether the convergence interval needs to be readjusted or not by combining the relation between the time delay trend and the convergence interval:
if Flag is 1, returning to step 6);
if no rising, two rising or three rising trends occur in the measurement process, and [ R _ min, R _ max ] < ═ a is satisfied in the second or third rising trend, then step 10) is executed;
if rising, no rising for two times or no rising trend for three times continuously occurs in the measuring process, and [ R _ min, R _ max ] < ═ a is satisfied when no rising trend for the second time or the third time occurs, executing step 11);
if no rising and four continuous rising trends occur in the measurement process, and [ R _ min, R _ max ] > a is satisfied during the fourth rising trend, executing step 10);
if rising and continuous four times of rising-free trend appear in the measuring process, and [ R _ min, R _ max ] > a is satisfied when the fourth time of rising-free trend appears, executing step 11);
if the measurement starts to have the trend of no rising and four times of rising continuously, executing step 12);
if the measurement starts to rise and does not rise for four times continuously, executing step 13);
otherwise, returning to the step 6);
10) changing the maximum value of the new convergence interval into the R _ min recorded at this time, changing the minimum value of the new interval into the R _ min recorded at the last time, and executing the step 14);
11) changing the minimum value of the new convergence interval into the R _ max recorded at this time, changing the maximum value of the new interval into the R _ max recorded at the last time, and executing the step 14);
12) changing the maximum value of the new convergence interval into the R _ max recorded at this time, changing the minimum value of the new interval into half of the initial sending rate, and executing the step 14);
13) changing the minimum value of the new convergence interval into the R _ min recorded at this time, changing the maximum value of the new interval into 1.5 times of the measurement initial sending rate, and executing the step 14);
14) adjust R _ next, Flag is 1, return to step 6).
Compared with the prior art, the invention has the following advantages:
(1) the invention combines the end-to-end time delay trend and the convergence interval of the usable key rate, readjusts the sending rate of the test data packet, and remeasures, thereby improving the measurement precision of the usable key rate.
(2) The step of readjusting the convergence interval is only executed once, so that the convergence times are not increased too much, and the original network is not influenced too much.
(3) According to the invention, the accuracy requirement of the network is relatively fair under light and heavy loads by using the R-R-next/R-next < b as the accuracy meeting condition.
Drawings
FIG. 1 is a flow chart of the test of the present invention.
Detailed Description
The technical solution of the present invention is further described in detail below with reference to fig. 1.
Introduction of test scene
The test method is suitable for a quantum key distribution network, and the network consists of a credible relay and a quantum key distribution link. In the network, a quantum key distribution QKD unit negotiates a key with the aid of a classical secret system, a ciphertext is transmitted through a classical channel, and a communication key between users is established through hop-by-hop transmission. The relationship between the link key rate and the key amount of each update is: the amount of keys updated at a time is equal to the product of the link key rate and the key update interval.
Second, testing principle
In a quantum key distribution network, the quantum key distribution QKD unit provides an indefinite amount of keys each time, so that the situation of encrypted transmission of data packets is different. When the amount of the key provided by the QKD unit is small each time, the test data packet is sent out in an encrypted mode; if the QKD unit provides a large amount of keys at a time, the amount of keys at this time is sufficient to encrypt a group of packets, and thus the packets are sent out in groups.
The threshold value used in the measurement is 100 and 0.01, if the interval ratio of adjacent data packets is more than 100 or less than 0.01, the data packets are sent in a group of encryption mode, and the packet length data packets are adopted subsequently, so that the more data packets in a group, the more accurate the estimation of the secret key amount is; on the contrary, the data packet is sent in an encrypted mode, and the estimation of the key amount is more accurate by adopting a large packet length data packet subsequently.
In the existing method for measuring the available key rate, when the convergence interval of the result is smaller, the sending rate after each adjustment is closer to an accurate value theoretically, and the time delay trend should not have a continuous rising or continuous rising trend. Most of the reasons for the occurrence of such error conditions are that the maximum value of the convergence interval is smaller or the minimum value is larger due to a time delay trend judgment error at a certain time, and the convergence interval cannot be subsequently converged to a correct interval.
In order to avoid the influence of the error condition on the accuracy of the final result, the invention sets a threshold value a of the convergence interval for judging the degree that the adjusted sending rate is close to the accurate value, changes the convergence interval by utilizing the relation between a and the delay trend and reduces the error.
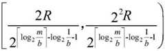
The bottleneck key rate of the known path before measurement is R, the measurement precision b is set, the sending rate is adjusted by utilizing a dichotomy, and the size of a convergence interval after each update is determined to be R
Figure GDA0002971148010000051
n is the number of convergence times. Setting the usable key rate A to be measured needs n times of convergence in the measurement to reach the precision meeting the condition of | R-R _ next |/R _ next<b, again because the magnitude of R-R _ next is
Figure GDA0002971148010000052
Then
Figure GDA0002971148010000053
At the end of the measurement, R _ next ═ a, so R _ next ═ a
Figure GDA0002971148010000054
That is, before measurement, if the available key rate a is to be measured, the required convergence number n can be calculated according to the precision requirement b and the bottleneck key rate R. However, the specific value of A is not known before measurement, and A is not 0, so the measurement range of the specific available key rate can be set as
Figure GDA0002971148010000055
m is the minimum coefficient of the available key rate, and when A is equal to R, the convergence times are the minimum, and the coefficient is
Figure GDA0002971148010000061
Next, the process of the present invention,
Figure GDA0002971148010000062
the most convergence is
Figure GDA0002971148010000063
Then, therefore, can
Figure GDA0002971148010000064
Is divided into
Figure GDA0002971148010000065
And segments, wherein the convergence times of the usable key rate in each segment are the same. I.e. the segment interval is
Figure GDA0002971148010000066
When n is
Figure GDA0002971148010000067
The segment interval is
Figure GDA0002971148010000068
When n is
Figure GDA0002971148010000069
The segment interval is
Figure GDA00029711480100000610
When n is
Figure GDA00029711480100000611
By analogy, the maximum values of the other segment intervals, except for the first and last segment intervals, are twice the minimum values. Last section interval
Figure GDA00029711480100000612
Has a convergence number n of
Figure GDA00029711480100000613
In the present invention, the value of a should be the size of the convergence interval corresponding to half of the convergence times. When n is an odd number, the number of the carbon atoms is,
Figure GDA00029711480100000614
when n is an even number, the number of the transition metal,
Figure GDA00029711480100000615
therefore, the a values corresponding to different available key speed ranges can be calculated before measurement, and the relationship between the time delay trend and the convergence interval can be judged in the measurement process.
When the key amount provided by the QKD unit each time is small, namely the key amount updated each time is smaller than the length of the data packet, if the sending rate of data in the data packet is smaller than the available key rate of the path, the end-to-end time delay of the data packet does not trend upwards, and if the sending rate of the data packet is larger than the available key rate of the path, the time delay trends upwards.
When the QKD unit provides a large amount of keys at a time, namely the amount of keys at a time is more than the length of the data packet, the data packets are sent in a group-by-group encryption mode. If the sending rate of the data in the data packet is less than the available key rate of the path, the data packet does not need to be queued for waiting, the end-to-end time delay of the data packet in the group is in a descending trend, and the time delay between different groups does not have an ascending trend; if the sending rate of the data is greater than the available key rate of the path, the end-to-end delay of the data packets in the group is in a descending trend, and the delay between the groups is in an ascending trend.
In the invention, the measurement of the end-to-end available key rate is realized by sending an equal-length test data packet without intervals at one end of a test path, receiving the test data packet at the other end, observing the relation between the end-to-end time delay trend and the convergence interval of the available key rate so as to readjust the sending rate, and finally contracting the sending rate to the measurement precision range of the available key rate.
Third, implementation scheme
Referring to fig. 1, the present invention is embodied as follows:
step 1, setting a source end, a destination end and measurement parameters of a path to be measured.
In the embodiment, two ends of an end-to-end path to be tested are respectively called a source end and a destination end, and a test data packet is sent at the source end, received at the destination end and measured in a one-way mode;
setting a source end and a destination end of a path to be detected, knowing an end-to-end bottleneck key rate R and a range (0, R) of an available key rate A to be detected;
setting the measurement precision b according to the measurement requirement, setting the interval adjustment parameter Flag to be 0, and setting the whole (0, R) according to the measurement precision b]Dividing into intervals with the same convergence times n, and when n is odd number, the threshold value of the convergence interval
Figure GDA0002971148010000071
When n is an even number, the number of the transition metal,
Figure GDA0002971148010000072
and step 2, setting the length of the test data packet and sending the test data packet.
The length of the test data packet is set to be 256 bytes, and Q equal-length test data packets with the interval of 0 are sent. The purpose of transmitting the string of non-spaced equal length test packets is to know the different encryption conditions of the data packets, i.e. one encrypted transmission or a group of encrypted transmissions, so as to determine the length of the subsequent test packets according to the different encryption conditions.
And 3, receiving the test data packet and recording the arrival interval of the adjacent data packets by the destination terminal.
The destination end receives the test data packet and records the arrival time of the test data packet, and the difference between the times of the adjacent data packets is the arrival interval;
since the source end sends Q test packets in step 2, the destination end should count Q-1 arrival intervals in this step:
if the counted data is less than Q-1, the test data packet is likely to lose the packet due to network congestion, and the counted data error is large, the number of the test data packets to be sent needs to be reduced, and the step 2 is returned to send the test data packets again;
and if the number of the statistical data is Q-1, indicating that the test data packet has no packet loss in the sending process, and executing the step 4.
And 4, analyzing the arrival interval of the data packet at the destination end and determining the packet length of the subsequent test data packet.
And 3, calculating the arrival interval ratio of the adjacent data packets according to the arrival interval of the adjacent data packets counted in the step 3, and judging the relationship between the length of the test data packet and the key amount updated each time according to the arrival interval ratio, so as to determine the length of the subsequent test data packet:
if the recorded arrival interval ratio of the adjacent data packets is greater than 100 or less than 0.01, the key amount updated by the link each time is larger than the length of the test data packet, namely the test data packet is sent by a group of encryption, and the length is reduced in order to improve the measurement accuracy, so that the length of the subsequent test data packet is 128 bytes;
if the recorded arrival interval ratio of the adjacent data packets is not greater than 100 or less than 0.01, it indicates that the key amount updated by the link each time is less than the length of the test data packet, i.e. the test data packet is sent in an encrypted manner, and the length is increased in order to improve the measurement accuracy, so that the length of the subsequent test data packet is 1024 bytes.
And 5, setting the sending rate of the subsequent test data packet.
And resetting the sending rate R of the test data at the source end according to the packet length of the test data packet obtained in the step 4 and combining the end-to-end bottleneck key rate R, wherein the sending rate R of the test data is half of the bottleneck key rate R, namely R is R/2.
And 6, the source end sends a subsequent test data packet.
And (5) sending M groups of data packets at the source end according to the sending rate r reset in the step (5), wherein the number of each group is N, and intervals are arranged among different groups so as to avoid the mutual influence among the groups.
And 7, receiving the test data packet from the source end by the target end and processing the end-to-end time delay of the data packet.
The target end receives the test data from the source end, counts the end-to-end time delay of each group of received data packets, and judges the time delay trend of M groups of data packets:
if more than half of the convergence interval is an ascending trend, judging that the time delay is in the ascending trend, recording the change of the time delay trend, setting the maximum value R _ max of the convergence interval to be R, keeping the minimum value R _ min unchanged, recording the value of R _ max and adjusting the next sending rate R _ next, wherein R _ next takes the average value of the convergence interval, namely R _ next to R is (R _ min + R _ max)/2, and executing the step 8;
if more than half of the convergence interval is not ascending trend, judging that the delay is not ascending trend, recording the change of the delay trend, setting the minimum value R _ min of the convergence interval to be R, keeping the maximum value R _ max unchanged, recording the value of R _ min, adjusting the next sending rate R _ next, taking the average value of the convergence interval of R _ next to be (R _ min + R _ max)/2, and executing the step 8;
otherwise, the time delay trend is uncertain, and the measurement needs to be carried out again, and the step 6 is returned.
And 8, judging whether the convergence interval and the sending rate meet the measurement precision requirement.
If the adjusted sending rate meets the condition of | R-R _ next |/R _ next < b, finishing the measurement and obtaining the final measurement value R _ next of the available key rate;
if the precision requirement condition is not met, the step 9 is continued.
And 9, judging whether to readjust the convergence interval or not by combining the relation between the time delay trend and the convergence interval.
If the interval adjustment parameter Flag is equal to 1, it indicates that the convergence interval has been adjusted, and the process returns to step 6;
if no rising, two consecutive rising or three consecutive rising trends occur in the measurement process, and [ R _ min, R _ max ] < ═ a is satisfied during the second or third rising trend, it is considered that the convergence interval is small due to an erroneous determination without the rising trend, and the time delay still presents a continuous rising trend, so that the overall value of the convergence interval is large. Therefore, the overall value of the convergence interval should be reduced, step 10 is performed;
if there is a rising trend, two consecutive rising trends or three consecutive rising trends in the measurement process, and [ R _ min, R _ max ] < ═ a is satisfied when there is no rising trend for the second time or the third time, it is considered that the convergence interval is small due to a wrong judgment in the case of rising trend, and the time delay still presents a continuous rising trend, so the overall value of the convergence interval is small, and therefore, the overall value of the convergence interval should be increased, and step 11 is executed;
if there is no ascending trend and four continuous ascending trends in the measurement process, and [ R _ min, R _ max ] > a is satisfied during the fourth ascending trend, it is considered that the determination is incorrect due to the situation of no ascending trend, the subsequent delay still presents a continuous ascending trend, but the error occurs earlier, so the overall value of the convergence interval should be reduced, and step 10 is executed;
if there is a rising trend, there is no rising trend for four consecutive times in the measurement process, and [ R _ min, R _ max ] > a is satisfied when there is no rising trend for the fourth time, it is considered that the determination is wrong due to the rising trend, and the subsequent time delay still presents a continuous rising trend, but the error occurs earlier, so the overall value of the convergence interval should be increased, and step 11 is executed;
if there is no rising and four consecutive rising trends at the beginning of the measurement, it is considered that the determination of the initial rising-free delay trend is wrong due to the fact that the sending rate is close to the available key rate, and a continuous consistent delay trend appears subsequently, so the range of the convergence interval should be expanded, and step 12 is executed;
if the measurement starts to appear rising and no rising trend for four times continuously, it is considered that the rising time delay trend at the beginning is judged wrongly because the sending rate is close to the available key rate, and a continuous and consistent time delay trend appears subsequently, so the range of the convergence interval should be expanded, and step 13 is executed;
otherwise, the measurement is carried out again, and the step 6 is returned.
Step 10, changing the maximum value of the new convergence interval into the R _ min recorded at this time, changing the minimum value of the new interval into the R _ min recorded at the last time, and executing step 14;
step 11, changing the minimum value of the new convergence interval into the R _ max recorded this time, changing the maximum value of the new interval into the R _ max recorded last time, and executing step 14;
step 12, changing the maximum value of the new convergence interval into the R _ max recorded at this time, changing the minimum value of the new interval into half of the initial sending rate, and executing step 14;
step 13, changing the minimum value of the new convergence interval into the R _ min recorded at this time, changing the maximum value of the new interval into 1.5 times of the measurement initial sending rate, and executing step 14;
and step 14, adjusting the R _ next, setting the Flag to be 1, re-measuring and returning to the step 6.
The foregoing description is only an example of the present invention and is not intended to limit the invention, so that it will be apparent to those skilled in the art that various changes and modifications in form and detail may be made therein without departing from the spirit and scope of the invention.

Claims (3)

1. An end-to-end available key rate measurement method for a quantum key distribution network comprises the following steps:
1) setting a source end and a destination end of a path to be tested, knowing an end-to-end bottleneck key rate R and a range (0, R) of an available key rate A to be tested]Setting the measurement precision b according to the measurement requirement, setting the convergence interval adjustment parameter Flag to be 0, and setting the whole (0, R) according to the measurement precision b]Dividing into the same interval with convergence time n, and when n is odd number, the threshold value of the convergence interval
Figure FDA0002971143000000011
When n is an even number, the number of the transition metal,
Figure FDA0002971143000000012
2) the source end sends Q test data packets with interval of 0 and length of 256 bytes;
3) the destination end receives the test data packets and records the intervals between the adjacent data packets in sequence: if the recorded data is Q-1 and the length of the test data packet is 256 bytes, executing the step 4), otherwise, reducing the value of Q, and returning to the step 2);
4) and analyzing the arrival interval of the data packet at the destination end, and determining the packet length of a subsequent used test data packet:
if the recorded arrival interval ratio of the adjacent data packets is greater than 100 or less than 0.01, the length of the subsequent test data packet is 128 bytes; otherwise, the length of the subsequent test data packet is 1024 bytes;
5) resetting the sending rate R of the test data packet at the source end by combining the end-to-end bottleneck key rate R;
6) sending M groups of data packets at a source end, wherein the number of each group is N, the sending rate of data in the group is r, and intervals are arranged among different groups, so that the mutual influence among the groups is avoided;
7) collecting the end-to-end time delay of the data packet at the destination end, and judging the end-to-end time delay trend of the M groups of data packets:
if more than half of the time delay is in the ascending trend, judging that the time delay is in the ascending trend, recording the change of the time delay trend, setting the maximum value R _ max of the convergence interval as R, keeping the minimum value R _ min unchanged, recording the value of R _ max, adjusting the next sending rate R _ next, and executing the step 8);
if more than half of the time interval is not ascending trend, judging that the time delay is not ascending trend, recording the change of the time delay trend, setting the minimum value R _ min of the convergence interval as R, keeping the maximum value R _ max unchanged, recording the value of R _ min, adjusting the next sending rate R _ next, and executing the step 8);
otherwise, returning to the step 6) when the time delay trend is uncertain;
8) judging whether the convergence interval and the sending rate meet the measurement precision requirement:
if the convergence interval [ R _ min, R _ max ] converges to make R-R _ next/R _ next < b, obtaining the measured value R _ next of the available key rate, and ending the measurement; if the precision requirement is not met, executing step 9);
9) and (3) judging whether the convergence interval needs to be readjusted or not by combining the relation between the time delay trend and the convergence interval:
if Flag is 1, returning to step 6);
if no rising, two rising or three rising trends occur in the measurement process, and [ R _ min, R _ max ] < ═ a is satisfied in the second or third rising trend, then step 10) is executed;
if rising, no rising for two times or no rising trend for three times continuously occurs in the measuring process, and [ R _ min, R _ max ] < ═ a is satisfied when no rising trend for the second time or the third time occurs, executing step 11);
if no rising and four continuous rising trends occur in the measurement process, and [ R _ min, R _ max ] > a is satisfied during the fourth rising trend, executing step 10);
if rising and continuous four times of rising-free trend appear in the measuring process, and [ R _ min, R _ max ] > a is satisfied when the fourth time of rising-free trend appears, executing step 11);
if the measurement starts to have the trend of no rising and four times of rising continuously, executing step 12);
if the measurement starts to rise and does not rise for four times continuously, executing step 13);
otherwise, returning to the step 6);
10) changing the maximum value of the new convergence interval into the R _ min recorded at this time, changing the minimum value of the new interval into the R _ min recorded at the last time, and executing the step 14);
11) changing the minimum value of the new convergence interval into the R _ max recorded at this time, changing the maximum value of the new interval into the R _ max recorded at the last time, and executing the step 14);
12) changing the maximum value of the new convergence interval into the R _ max recorded at this time, changing the minimum value of the new interval into half of the initial sending rate, and executing the step 14);
13) changing the minimum value of the new convergence interval into the R _ min recorded at this time, changing the maximum value of the new interval into 1.5 times of the measurement initial sending rate, and executing the step 14);
14) adjust R _ next, Flag is 1, return to step 6).
2. The method according to claim 1, wherein the sending rate R of the test packets is reset at the source end in step 5) to be half the bottleneck key rate R, i.e. R-R/2.
3. The method as claimed in claim 1, wherein the next transmission rate R _ next in step 7) is an average of convergence intervals, i.e. R _ next ═ R ═ (R _ min + R _ max)/2.
CN201810243722.8A2018-03-232018-03-23Method for measuring end-to-end available key rate of quantum key distribution networkActiveCN108390799B (en)

Priority Applications (1)

Application NumberPriority DateFiling DateTitle
CN201810243722.8ACN108390799B (en)2018-03-232018-03-23Method for measuring end-to-end available key rate of quantum key distribution network

Applications Claiming Priority (1)

Application NumberPriority DateFiling DateTitle
CN201810243722.8ACN108390799B (en)2018-03-232018-03-23Method for measuring end-to-end available key rate of quantum key distribution network

Publications (2)

Publication NumberPublication Date
CN108390799A CN108390799A (en)2018-08-10
CN108390799Btrue CN108390799B (en)2021-05-18

Family

ID=63068094

Family Applications (1)

Application NumberTitlePriority DateFiling Date
CN201810243722.8AActiveCN108390799B (en)2018-03-232018-03-23Method for measuring end-to-end available key rate of quantum key distribution network

Country Status (1)

CountryLink
CN (1)CN108390799B (en)

Families Citing this family (3)

* Cited by examiner, † Cited by third party
Publication numberPriority datePublication dateAssigneeTitle
CN109462547B (en)*2018-11-132021-03-12国科量子通信网络有限公司Path selection method and device based on quantum metropolitan area communication network
CN109768802B (en)*2019-01-152021-05-18西安电子科技大学Method for realizing fault-tolerant logic H gate based on RMQC code
CN114500337B (en)*2022-01-242023-07-14西安电子科技大学 End-to-end available key rate measurement method for quantum metropolitan area network based on machine learning

Citations (7)

* Cited by examiner, † Cited by third party
Publication numberPriority datePublication dateAssigneeTitle
US6555161B1 (en)*2001-05-182003-04-29Ensci Inc.Process for producing thin film metal oxide coated substrates
CN101026509A (en)*2007-02-282007-08-29西南科技大学End-to-end low available bandwidth measuring method
CN102882674A (en)*2012-07-102013-01-16中国电力科学研究院Transformer substation key generation and recovery system used for quantum key distribution
CN103648058A (en)*2013-10-282014-03-19南京邮电大学3G media stream cross-layer rate control method based on channel measurement
CN103825775A (en)*2013-12-312014-05-28广东工业大学Multi-hop wireless network available bandwidth real-time detection method for adaptively detecting packet length
CN104065475A (en)*2014-06-272014-09-24上海交通大学 High-speed Continuous Variable Quantum Key Distribution System and Its Bit-Frame Synchronization Method
CN106789427A (en)*2016-12-232017-05-31潘敏A kind of transmission volume computational methods

Family Cites Families (1)

* Cited by examiner, † Cited by third party
Publication numberPriority datePublication dateAssigneeTitle
US6882431B2 (en)*2002-11-262005-04-19Malvin C. TeichQuantum optical coherence tomography data collection apparatus and method for processing therefor

Patent Citations (7)

* Cited by examiner, † Cited by third party
Publication numberPriority datePublication dateAssigneeTitle
US6555161B1 (en)*2001-05-182003-04-29Ensci Inc.Process for producing thin film metal oxide coated substrates
CN101026509A (en)*2007-02-282007-08-29西南科技大学End-to-end low available bandwidth measuring method
CN102882674A (en)*2012-07-102013-01-16中国电力科学研究院Transformer substation key generation and recovery system used for quantum key distribution
CN103648058A (en)*2013-10-282014-03-19南京邮电大学3G media stream cross-layer rate control method based on channel measurement
CN103825775A (en)*2013-12-312014-05-28广东工业大学Multi-hop wireless network available bandwidth real-time detection method for adaptively detecting packet length
CN104065475A (en)*2014-06-272014-09-24上海交通大学 High-speed Continuous Variable Quantum Key Distribution System and Its Bit-Frame Synchronization Method
CN106789427A (en)*2016-12-232017-05-31潘敏A kind of transmission volume computational methods

Non-Patent Citations (1)

* Cited by examiner, † Cited by third party
Title
IP网络测量和业务性能研究;朱畅华;《CNKI》;20041231;全文*

Also Published As

Publication numberPublication date
CN108390799A (en)2018-08-10

Similar Documents

PublicationPublication DateTitle
EP3369213B1 (en)Performance measurement in a packet-switched communication network
CN108390799B (en)Method for measuring end-to-end available key rate of quantum key distribution network
EP2293642A1 (en)Relay apparatus, control method, and program
US9800487B2 (en)Measurement on a data flow in a communication network
CN100499526C (en)End-to-end quening time delay measuring method
KR20030058946A (en)Method and device for robust real-time estimation of the bottleneck bandwidth in the internet
CN106713141A (en)Method for obtaining target transmission path and network node thereof
CN103338471A (en)Service quality index evaluating method for wireless multi-hop network based on model
CN101119240A (en) A Method of Effective Bandwidth Measurement Based on PGM
WO2011009304A1 (en)Method and device for measuring available bandwidth using mixed messages
CN105245399A (en) A Measuring Method for Bottleneck Links in End-to-End Network Communication Path
CN106130725B (en) Measurement method for end-to-end bottleneck key rate of quantum key distribution network
CN104871487A (en)Probing a network
US11303552B2 (en)Receiver, communication system, available bandwidth estimation method, and storage medium in which program is stored
CN109997335B (en)Performance measurement in a packet-switched communication network
KR101628377B1 (en)Apparatus and method for performing congestion control in a communication system
US10298475B2 (en)System and method for jitter-aware bandwidth estimation
CN104579812B (en)A kind of computer network availability bandwidth measurement method
JPWO2003053012A1 (en) Policing control method, control device thereof, and network system using the control device
Zhang et al.Link quality estimation of cross-technology communication: The case with physical-level emulation
US10412000B2 (en)Wireless mesh communications networks
CN115103420A (en) Deterministic routing decision method based on real-time performance analysis of wireless multi-hop network
CN114500337A (en)End-to-end available key rate measuring method for quantum metropolitan area network based on machine learning
CN110113794A (en)A kind of radio network path mass dynamic static evaluation method
JP2004172706A (en) Packet loss rate measurement method and system

Legal Events

DateCodeTitleDescription
PB01Publication
PB01Publication
SE01Entry into force of request for substantive examination
SE01Entry into force of request for substantive examination
GR01Patent grant
GR01Patent grant

[8]ページ先頭

©2009-2025 Movatter.jp