











背景技术Background technique
技术领域technical field
本公开总体上涉及从量子哈密尔顿算子的本征态中获得平衡样本的系统、装置、方法和制品,以及这些样本例如在机器学习中的应用。The present disclosure generally relates to systems, apparatus, methods, and articles of manufacture for obtaining equilibrium samples from eigenstates of quantum Hamiltonians, and applications of these samples, for example, in machine learning.
玻尔兹曼机Boltzmann machine
玻尔兹曼机是概率图模型的实施方式,所述概率图模型包括在顶点之间具有无向加权边的图。顶点(也被称为单元)遵循关于是要处于“接通”状态还是“断开”状态的随机决策。随机决策基于玻尔兹曼分布。每个顶点都具有与所述顶点相关联的偏置。训练玻尔兹曼机包括确定权重和偏置。A Boltzmann machine is an implementation of a probabilistic graphical model that includes a graph with undirected weighted edges between vertices. Vertices (also called cells) follow random decisions about whether to be in the "on" or "off" state. Random decisions are based on the Boltzmann distribution. Each vertex has an offset associated with that vertex. Training a Boltzmann machine involves determining weights and biases.
玻尔兹曼机可以用于机器学习,因为它们可以遵循简单的学习程序。例如,玻尔兹曼机中的单元可以分为可见单元和隐藏单元。可见单元对外界可见,可分为输入单元和输出单位。隐藏单元对外界隐藏。可以存在多于一层隐藏单元。Boltzmann machines can be used in machine learning because they can follow simple learning procedures. For example, the units in a Boltzmann machine can be divided into visible units and hidden units. Visible units are visible to the outside world and can be divided into input units and output units. Hidden units are hidden from the outside world. There can be more than one layer of hidden units.
如果用户为玻尔兹曼机提供多个向量作为输入,则玻尔兹曼机可以通过递增地调整边的权重和顶点的偏置直到机器能够以高概率生成所述多个输入向量来确定所述权重和偏置。换句话说,机器可以递增地调整权重和偏置,直到与机器的可见单元相关联的变量上的边缘分布与在外界中、或者至少在所述多个输入向量中观察到的经验分布相匹配。If the user provides a Boltzmann machine with multiple vectors as input, the Boltzmann machine can determine the number of input vectors by incrementally adjusting the weights of the edges and the biases of the vertices until the machine can generate the multiple input vectors with high probability. Describe the weights and biases. In other words, the machine can adjust the weights and biases incrementally until the marginal distribution on the variables associated with the visible units of the machine matches the empirical distribution observed in the outside world, or at least in the plurality of input vectors .
在受限玻尔兹曼机(Restricted Boltzmann Machine,RBM)中,单元之间不存在层内边(或连接)。在包括一层可见单元和一层隐藏单元的RBM的情况下,可见单元之间不存在边,并且隐藏单元之间不存在边。In a Restricted Boltzmann Machine (RBM), there are no intra-layer edges (or connections) between cells. In the case of an RBM that includes one layer of visible units and one layer of hidden units, there are no edges between visible units and no edges between hidden units.
可见单元与隐藏单元之间的边可以是完整的(即,完全双向的)或较不密集的。Edges between visible and hidden units can be complete (ie, fully bidirectional) or less dense.
量子装置quantum device
量子装置是在其中可观察到量子力学效应的结构。量子装置包括在其中由量子力学效应主导电流传输的电路。这样的装置包括其中电子自旋被用作资源的自旋电子装置以及超导电路。自旋和超导均是量子力学现象。量子装置可以用于测量仪器、用在计算机械中等。A quantum device is a structure in which quantum mechanical effects can be observed. Quantum devices include circuits in which current transport is dominated by quantum mechanical effects. Such devices include spintronic devices in which electron spins are used as a resource, and superconducting circuits. Both spin and superconductivity are quantum mechanical phenomena. Quantum devices can be used in measuring instruments, in computing machinery, and the like.
量子计算quantum computing
量子计算和量子信息处理是活跃的研究领域并且定义了多类可销售产品。量子计算机是直接使用如叠加、隧穿和纠缠等至少一种量子力学现象来执行数据运算的系统。量子计算机的元件是量子二进制数字,被称为量子位。量子计算机有望对某些类别的计算问题、如模拟量子物理的计算问题提供指数级的加速。对于其他类别的问题有可能存在有用的加速。Quantum computing and quantum information processing are active areas of research and define several classes of marketable products. A quantum computer is a system that performs data operations directly using at least one quantum mechanical phenomenon such as superposition, tunneling, and entanglement. The components of a quantum computer are quantum binary numbers, known as qubits. Quantum computers promise to provide exponential speedups for certain classes of computing problems, such as those that simulate quantum physics. There may be useful speedups for other classes of problems.
量子计算的一个模型是绝热量子计算。例如,绝热量子计算可以适合于解决困难的优化问题。例如在美国专利7,135,701和7,418,283中描述了关于绝热量子计算系统、方法及设备的进一步细节。One model of quantum computing is adiabatic quantum computing. For example, adiabatic quantum computing can be suitable for solving difficult optimization problems. Further details regarding adiabatic quantum computing systems, methods and apparatus are described, for example, in US Pat. Nos. 7,135,701 and 7,418,283.
量子退火quantum annealing
量子退火是一种计算方法,所述计算方法可以用于找出系统的低能态,通常优选地所述系统的基态。在概念上与经典的模拟退火类似,所述方法所依赖的基本原理在于自然系统趋向于较低能态,因为较低能态更加稳定。虽然经典退火使用经典的热波动来将系统引导到低能态,但量子退火可以使用如量子隧穿等量子效应作为离域来源以便比经典退火更精确和/或更快速地达到能量最小值。Quantum annealing is a computational method that can be used to find the low energy state of a system, usually preferably the ground state of the system. Similar in concept to classical simulated annealing, the method relies on the rationale that natural systems tend to lower energy states because lower energy states are more stable. While classical annealing uses classical thermal fluctuations to guide the system to lower energy states, quantum annealing can use quantum effects such as quantum tunneling as a source of delocalization to reach energy minima more precisely and/or faster than classical annealing.
绝热量子计算可以被视为量子退火的特例。在绝热量子计算中,理想地,系统在整个绝热演化中在其基态下开始并保持处于其基态。因此,本领域的技术人员应当理解量子退火系统和方法总体上可以在绝热量子计算机上实施。贯穿本说明书以及所附权利要求书,对量子退火的任何引用均旨在涵盖绝热量子计算,除非上下文中另有要求。Adiabatic quantum computing can be viewed as a special case of quantum annealing. In adiabatic quantum computing, ideally, the system starts in its ground state and remains in its ground state throughout the adiabatic evolution. Accordingly, those skilled in the art will understand that quantum annealing systems and methods can generally be implemented on adiabatic quantum computers. Throughout this specification and the appended claims, any reference to quantum annealing is intended to cover adiabatic quantum computing, unless the context requires otherwise.
发明内容SUMMARY OF THE INVENTION
量子玻尔兹曼机Quantum Boltzmann Machine
本公开描述了一种使用量子计算机来实施的量子玻尔兹曼机,其中,量子玻尔兹曼机中的单元由量子装置或量子位组成。本公开描述了用于在存在量子涨落的情况下训练量子玻尔兹曼机的系统和方法。本公开中描述的量子玻尔兹曼机可以从量子哈密尔顿算子的本征态中返回平衡样本。哈密尔顿算子可以是非随机哈密尔顿算子或如横向伊辛哈密尔顿算子等随机哈密尔顿算子。这些样本可以用于机器学习。此外,本发明系统和方法可以简化量子机器学习任务,并且消除或至少减少对后处理的需要。在一些实施例中,样本可以由数字计算机经由如量子蒙特卡罗等经典启发法来生成。The present disclosure describes a quantum Boltzmann machine implemented using a quantum computer, wherein the cells in the quantum Boltzmann machine are composed of quantum devices or qubits. The present disclosure describes systems and methods for training quantum Boltzmann machines in the presence of quantum fluctuations. The quantum Boltzmann machines described in this disclosure can return equilibrium samples from the eigenstates of the quantum Hamiltonian. The Hamiltonian can be a non-random Hamiltonian or a random Hamiltonian such as the transverse Ising Hamiltonian. These samples can be used for machine learning. Furthermore, the systems and methods of the present invention can simplify quantum machine learning tasks and eliminate or at least reduce the need for post-processing. In some embodiments, the samples may be generated by a digital computer via classical heuristics such as quantum Monte Carlo.
一种混合计算机可以被概括为包括:数字计算机,包括可操作用于执行机器学习的训练和验证指令模块;以及量子计算机,包括多个量子位以及选择性地提供所述量子位的多个对之间的通信耦合的一个或多个耦合器,所述量子计算机实施量子玻尔兹曼机,所述量子玻尔兹曼机可操作用于从量子哈密尔顿算子的本征态中返回一个或多个平衡样本,所述量子计算机通信地耦合至所述数字计算机以至少向所述数字计算机的所述训练和验证指令模块提供所述一个或多个样本的子集。A hybrid computer can be generalized to include: a digital computer including training and verification instruction modules operable to perform machine learning; and a quantum computer including a plurality of qubits and a plurality of pairs that selectively provide the qubits One or more couplers communicatively coupled between, the quantum computer implementing a quantum Boltzmann machine operable to return from an eigenstate of a quantum Hamiltonian one or a plurality of balanced samples, the quantum computer communicatively coupled to the digital computer to provide at least a subset of the one or more samples to the training and validation instruction modules of the digital computer.
所述量子计算机可以是量子退火器。所述量子退火器可以可操作用于遵循分段退火时间表,所述分段退火时间表包括在所述分段退火时间表期间的确定时间处进行的投影测量。The quantum computer may be a quantum annealer. The quantum annealer may be operable to follow a segmented annealing schedule including projection measurements taken at determined times during the segmented annealing schedule.
在上述实施例或实施方式中的任何实施例或实施方式中,所述量子哈密尔顿算子可以是随机哈密尔顿算子。所述随机哈密尔顿算子可以是横向伊辛哈密尔顿算子。在上述实施例或实施方式中的任何实施例或实施方式中,所述量子哈密尔顿算子可以是非随机哈密尔顿算子。In any of the above-described embodiments or embodiments, the quantum Hamiltonian may be a random Hamiltonian. The random Hamiltonian may be a transverse Ising Hamiltonian. In any of the above-described embodiments or embodiments, the quantum Hamiltonian may be a non-random Hamiltonian.
一种使用包括量子计算机的混合计算机来训练量子玻尔兹曼机的方法可被概括为包括:由所述混合计算机接收训练集;准备通过量子哈密尔顿算子描述的模型;初始化所述模型的一个或多个参数;将所述训练集分割成所述训练集的一个或多个子集;对于所述训练集的所述一个或多个子集中的每个子集,通过从由所述量子计算机中重复提取样本来创建包括预定数量个样本的样本集,并且将所述样本存储在所述样本集中,直到已经提取到所述预定数量个样本;以及使用所述样本集来更新所述模型;由所述混合计算机返回所述模型。A method of training a quantum Boltzmann machine using a hybrid computer including a quantum computer can be generalized to include: receiving a training set by the hybrid computer; preparing a model described by a quantum Hamiltonian; initializing one of the models or more parameters; dividing the training set into one or more subsets of the training set; for each subset of the one or more subsets of the training set, by repeating from the quantum computer extracting samples to create a sample set comprising a predetermined number of samples, and storing the samples in the sample set until the predetermined number of samples have been extracted; and updating the model using the sample set; The hybrid computer returns the model.
准备通过量子哈密尔顿算子描述的模型可以包括:准备包括多个可见变量和多个隐藏变量的模型。准备通过量子哈密尔顿算子描述的模型可以包括:准备包括多个顶点和一个或多个边的图形模型。初始化所述模型的一个或多个参数可以包括:初始化多个局部偏置以及一个或多个权重。准备通过量子哈密尔顿算子描述的模型可以包括:准备通过横向伊辛哈密尔顿算子描述的模型。初始化所述模型的一个或多个参数可以包括:初始化量子位隧穿振幅与温度之比。在上述实施例中的任何实施例中,通过从所述量子计算机中重复提取样本来创建包括预定数量个样本的样本集可以包括:通过从量子处理器中重复提取样本来创建包括预定数量个样本的样本集。通过从量子处理器中重复提取样本来创建包括预定数量个样本的样本集可以包括:通过从包括多个超导量子位以及一个或多个超导耦合装置的超导量子处理器中重复提取样本来创建包括预定数量个样本的样本集。Preparing the model described by the quantum Hamiltonian may include preparing a model including multiple visible variables and multiple hidden variables. Preparing the model described by the quantum Hamiltonian may include preparing a graph model including a plurality of vertices and one or more edges. Initializing one or more parameters of the model may include initializing a plurality of local biases and one or more weights. Preparing a model to be described by a quantum Hamiltonian may include: preparing a model to be described by a transverse Ising Hamiltonian. Initializing one or more parameters of the model may include initializing a ratio of qubit tunneling amplitude to temperature. In any of the above embodiments, creating a sample set comprising a predetermined number of samples by repeatedly extracting samples from the quantum computer may include creating a sample set comprising a predetermined number of samples by repeatedly extracting samples from a quantum processor sample set. Creating the sample set including the predetermined number of samples by repeatedly extracting samples from the quantum processor may include: by repeatedly extracting samples from a superconducting quantum processor including a plurality of superconducting qubits and one or more superconducting coupling devices to create a sample set that includes a predetermined number of samples.
一种用于判别学习的方法可以被概括为包括:接收训练集;将所述训练集划分为输入数据和输出数据;以及确定描述了在给定所选输入向量的情况下观察到输出向量的概率的条件概率分布;其中,确定描述了在给定所选输入向量的情况下观察到输出向量的概率的条件概率分布包括:通过执行多个操作以使条件概率的对数似然的上限最小化(例如,寻求最小化、最小化)来确定所述条件概率。A method for discriminative learning can be generalized to include: receiving a training set; dividing the training set into input data and output data; and determining a parameter describing the observed output vector given a selected input vector a conditional probability distribution of probabilities; wherein determining a conditional probability distribution describing the probability of observing an output vector given a selected input vector includes performing a number of operations to minimize an upper bound on the log-likelihood of the conditional probability Minimize (eg, seek to minimize, minimize) to determine the conditional probability.
执行多个操作以使条件概率的对数似然的上限最小化可以包括:通过梯度下降技术执行梯度下降技术以使条件概率的对数似然的上限最小化。使用梯度下降技术执行梯度下降技术以使对数似然的上限最小化可以包括:从量子玻尔兹曼分布中进行采样。从量子玻尔兹曼分布中进行采样包括:由包括量子退火器的量子处理器遵循量子退火时间表。Performing operations to minimize the upper bound on the log-likelihood of the conditional probability may include performing gradient descent techniques to minimize the upper bound on the log-likelihood of the conditional probability by gradient descent techniques. Performing gradient descent techniques to minimize the upper bound of the log-likelihood using gradient descent techniques may include sampling from a quantum Boltzmann distribution. Sampling from a quantum Boltzmann distribution includes following a quantum annealing schedule by a quantum processor including a quantum annealer.
一种实施玻尔兹曼机的计算机系统可以被概括为包括:至少一个量子处理器,所述至少一个量子处理器包括:第一组量子位,作为所述玻尔兹曼机的第一数量个可见单元而进行操作;第二组量子位,作为所述玻尔兹曼机的第一数量个隐藏单元而进行操作;以及一组层间耦合器,提供所述第一组量子位中的量子位与所述第二组量子位中的量子位之间的通信耦合。A computer system implementing a Boltzmann machine can be generalized to include: at least one quantum processor including: a first set of qubits as a first number of the Boltzmann machine operating as visible units; a second set of qubits operating as a first number of hidden units of the Boltzmann machine; and a set of interlayer couplers providing qubits in the first set of qubits A communicative coupling between the qubits and the qubits in the second set of qubits.
在一些实施例中,所述玻尔兹曼机是受限玻尔兹曼机。In some embodiments, the Boltzmann machine is a restricted Boltzmann machine.
在一些实施例中,所述计算机系统进一步包括:第一多个层间耦合器,提供所述第一组量子位中的量子位之间的通信耦合;以及第二多个层间耦合器,提供所述第二组量子位中的量子位之间的通信耦合。In some embodiments, the computer system further comprises: a first plurality of interlayer couplers providing communicative coupling between qubits in the first set of qubits; and a second plurality of interlayer couplers, A communicative coupling between qubits in the second set of qubits is provided.
在一些实施方式中,所述第一组量子位作为输入可见层而进行操作,并且所述计算机系统进一步包括:第三组量子位,作为可见输出层而进行操作,作为所述玻尔兹曼机的所述隐藏单元而进行操作的所述第二组量子位逻辑地耦合在所述第一组量子位与所述第三组量子位之间。In some embodiments, the first set of qubits operates as an input visible layer, and the computer system further comprises: a third set of qubits, operating as a visible output layer, as the Boltzmann The second set of qubits operating on the hidden unit of the machine is logically coupled between the first set of qubits and the third set of qubits.
在一些实施方式中,所述计算机系统进一步包括:第三多个层间耦合器,提供所述第三组量子位中的量子位之间的通信耦合。In some embodiments, the computer system further comprises: a third plurality of interlayer couplers providing communicative coupling between qubits in the third set of qubits.
在上述实施方式中的一些实施方式中,作为所述玻尔兹曼机的所述隐藏单元而进行操作的所述第二组量子位可以作为所述玻尔兹曼机的第一隐藏层而进行操作,并且所述计算机系统进一步包括:第四组量子位,作为所述玻尔兹曼机的第二数量个隐藏单元而进行操作,所述第二数量个隐藏单元形成所述玻尔兹曼机的第二隐藏层;以及一组层间耦合器,提供所述第二组量子位中的量子位与所述第四组量子位中的量子位之间的通信耦合。In some of the above-described embodiments, the second set of qubits operating as the hidden unit of the Boltzmann machine may function as a first hidden layer of the Boltzmann machine operating and the computer system further comprising: a fourth set of qubits operating as a second number of hidden units of the Boltzmann machine, the second number of hidden units forming the Boltz a second hidden layer of a Mann machine; and a set of interlayer couplers providing communicative coupling between qubits in the second set of qubits and qubits in the fourth set of qubits.
在上述实施方式中的任何实施方式中,所述玻尔兹曼机可以从横向伊辛哈密尔顿算子的本征态中返回一个或多个平衡样本。In any of the above-described embodiments, the Boltzmann machine may return one or more equilibrium samples from the eigenstates of the transverse Ising Hamiltonian.
在一些实施方式中,所述量子处理器是量子退火器。In some embodiments, the quantum processor is a quantum annealer.
在一些实施方式中,所述量子退火器可操作用于遵循分段退火时间表,所述分段退火时间表包括在所述分段退火时间表期间的确定时间处进行的投影测量。In some embodiments, the quantum annealer is operable to follow a segmented annealing schedule that includes projection measurements taken at determined times during the segmented annealing schedule.
在上述实施方式中的一些实施方式中,所述计算机系统可以进一步包括:至少一个数字处理器;以及至少一个非暂态处理器可读介质,存储数字处理器可执行指令或数据中的至少一个,所述数字处理器可执行指令或数据当由所述至少一个数字处理器执行时使所述至少一个数字处理器:接收训练集;准备通过伊辛哈密尔顿算子描述的模型;初始化所述模型的一个或多个参数;将所述训练集分割成所述训练集的一个或多个子集;对于所述训练集的所述一个或多个子集中的每个子集,通过从由所述至少一个量子处理器实施的所述玻尔兹曼机中重复提取样本来创建包括预定数量个样本的样本集,并且将所述样本存储在所述样本集中,直到已经提取到预定数量个样本;并且使用所述样本集来更新所述模型。In some of the above-described embodiments, the computer system may further include: at least one digital processor; and at least one non-transitory processor-readable medium storing at least one of digital processor-executable instructions or data , the digital processor-executable instructions or data, when executed by the at least one digital processor, cause the at least one digital processor to: receive a training set; prepare a model described by the Ising Hamiltonian; initialize the model one or more parameters of the training set; dividing the training set into one or more subsets of the training set; for each subset of the one or more subsets of the training set, repeatedly extracting samples in the Boltzmann machine implemented by a quantum processor to create a sample set comprising a predetermined number of samples, and storing the samples in the sample set until the predetermined number of samples have been extracted; and using the sample set to update the model.
一种计算系统可以被概括为包括:数字计算机,包括可操作用于执行机器学习的训练和验证指令模块;以及量子玻尔兹曼机模块,所述量子玻尔兹曼机模块可操作用于从量子哈密尔顿算子的本征态中返回一个或多个平衡样本,所述数字计算机可操作用于至少向所述训练和验证指令模块提供所述量子玻尔兹曼机模块的所述一个或多个平衡样本的子集以训练机器学习模型。A computing system can be generalized to include: a digital computer including a training and verification instruction module operable to perform machine learning; and a quantum Boltzmann machine module operable to Returning one or more balanced samples from eigenstates of a quantum Hamiltonian, said digital computer operable to provide at least said one or more of said quantum Boltzmann machine modules to said training and verification instruction module A subset of multiple balanced samples to train a machine learning model.
在一些实施方式中,所述处理器可以是数字处理器,并且所述一个或多个样本可以经由经典启发法生成。在一些实施方式中,所述经典启发法可以是量子蒙特卡罗方法。In some embodiments, the processor may be a digital processor, and the one or more samples may be generated via classical heuristics. In some embodiments, the classical heuristic method may be a quantum Monte Carlo method.
附图说明Description of drawings
在附图中,相同的参考标记标识相似的元件或动作。元件在附图中的大小和相对位置不一定是按比例绘制的。例如,不同元件的形状以及角度不一定按比例绘制,并且这些元件中的一些被任意地放大和定位以提高附图的易读性。另外,所绘出的元件的特定形状不一定旨在传递与特定元件的实际形状有关的任何信息,而是为了方便在图中识别而选取的。In the drawings, like reference numerals identify similar elements or acts. The size and relative positions of elements in the drawings are not necessarily drawn to scale. For example, the shapes and angles of various elements are not necessarily drawn to scale, and some of these elements are arbitrarily exaggerated and positioned to improve drawing legibility. Additionally, the particular shapes of elements depicted are not necessarily intended to convey any information regarding the actual shape of the particular elements, but have been chosen for ease of identification in the figures.
图1是示意图,其展示了根据本发明系统、装置、制品和方法的示例性混合计算机。1 is a schematic diagram illustrating an exemplary hybrid computer in accordance with the systems, apparatus, articles of manufacture and methods of the present invention.
图2是示意图,其展示了根据本发明系统、装置、制品和方法的、适合于实施图1的量子处理器的、被设计用于量子退火(和/或绝热量子计算)的示例性超导量子处理器的一部分。2 is a schematic diagram illustrating an exemplary superconductor designed for quantum annealing (and/or adiabatic quantum computing) suitable for implementing the quantum processor of FIG. 1 in accordance with the systems, devices, articles and methods of the present invention part of a quantum processor.
图3是根据本发明系统、装置、制品和方法的形成量子处理器拓扑的基础的示例性子拓扑的示意图。3 is a schematic diagram of an exemplary sub-topology forming the basis of a quantum processor topology in accordance with the present systems, apparatus, articles of manufacture, and methods.
图4是根据本发明系统、装置、制品和方法的量子处理器拓扑的示意图,展示了所述量子处理器拓扑中的如图3中的子拓扑等平铺式子拓扑当中的共享演化接口。4 is a schematic diagram of a quantum processor topology according to the system, apparatus, article and method of the present invention, showing a shared evolution interface among tiled sub-topologies such as the sub-topology in FIG. 3 in the quantum processor topology.
图5是根据本发明系统、装置、制品和方法的玻尔兹曼机的一部分的示例实施例的图形表示。5 is a graphical representation of an example embodiment of a portion of a Boltzmann machine in accordance with the systems, apparatus, articles and methods of the present invention.
图6是根据本发明系统、装置、制品和方法的量子玻尔兹曼机的图形部分的示例实施例的示意图。6 is a schematic diagram of an example embodiment of a graphical portion of a quantum Boltzmann machine in accordance with the systems, apparatus, articles and methods of the present invention.
图7是根据本发明系统、装置、制品和方法的包括多于一个量子位层的量子玻尔兹曼机的图形部分的示例实施例的示意图。7 is a schematic diagram of an example embodiment of a graphical portion of a quantum Boltzmann machine including more than one qubit layer in accordance with the systems, apparatus, articles and methods of the present invention.
图8是流程图,示出了根据当前描述的系统、装置、制品和方法的训练玻尔兹曼机的方法。8 is a flowchart illustrating a method of training a Boltzmann machine in accordance with the presently described systems, apparatus, articles of manufacture, and methods.
图9是流程图,示出了根据本发明系统、装置、制品和方法的用于使用分段演化时间表来操作量子处理器的方法。9 is a flow diagram illustrating a method for operating a quantum processor using a piecewise evolutionary schedule in accordance with the systems, apparatus, articles of manufacture, and methods of the present invention.
图10是流程图,示出了根据本发明系统、装置、制品和方法的用于使用多个演化时间表来操作量子处理器的方法,每个演化时间表用于量子处理器的不同部分。10 is a flow diagram illustrating a method for operating a quantum processor using multiple evolution schedules, each for a different portion of the quantum processor, in accordance with the systems, apparatus, articles of manufacture, and methods of the present invention.
图11是流程图,其展示了根据本发明系统、装置、制品和方法的用于接收数据、分析所述数据以创建模型、测试所述模型并且利用所述模型的方法。11 is a flowchart illustrating a method for receiving data, analyzing the data to create a model, testing the model, and utilizing the model in accordance with the systems, apparatus, articles of manufacture, and methods of the present invention.
图12是流程图,其展示了根据本发明系统、装置、制品和方法的用于在训练阶段中分析数据的方法。12 is a flow diagram illustrating a method for analyzing data during a training phase in accordance with the systems, apparatus, articles of manufacture, and methods of the present invention.
具体实施方式Detailed ways
在以下说明中,包括了一些特定细节以提供对各个公开实施例的全面理解。然而,相关领域的技术人员将认识到,可以在不具有这些特定细节中的一个或多个的情况下,或者可以使用其他方法、部件、材料等实践实施例。在其他实例中,并未详细示出或描述如量子装置、耦合器、以及包括微处理器和驱动电路系统的控制系统等与量子处理器相关联的熟知结构,以便避免不必要地模糊对本发明方法的实施例的描述。贯穿本说明书及所附权利要求书,词语“元件”和“多个元件”用于涵盖但不限于与量子处理器相关联的所有此类结构、系统和装置、以及它们的相关可编程参数。In the following description, certain specific details are included in order to provide a thorough understanding of the various disclosed embodiments. One skilled in the relevant art will recognize, however, that the embodiments may be practiced without one or more of these specific details, or using other methods, components, materials, etc. In other instances, well-known structures associated with quantum processors, such as quantum devices, couplers, and control systems including microprocessors and drive circuitry, have not been shown or described in detail in order to avoid unnecessarily obscuring the present invention. A description of an embodiment of the method. Throughout this specification and the appended claims, the words "element" and "elements" are used to encompass, but not be limited to, all such structures, systems and devices associated with quantum processors, and their associated programmable parameters.
除非上下文另有要求,否则贯穿本说明书和所附权利要求书,“包括”一词及其变体如“包括(comprises)”和“包括(comprising)”将以一种开放式的、包含性的意义来进行解释,即,解释为“包括,但不限于”。Unless the context otherwise requires, throughout this specification and the appended claims, the word "comprises" and variations thereof such as "comprises" and "comprising" are to be used in an open-ended, inclusive manner be interpreted in the sense of "including, but not limited to".
贯穿本说明书对“一个实施例”、“实施例”、“另一个实施例”、“一个示例”、“示例”、“另一个示例”、“一种实施方式”、“另一种实施方式”等的引用意指结合所述实施例、示例或实施方式所描述的特定指示特征、结构或特性包括在至少一个实施例、示例或实施方式中。由此,在贯穿本说明书各处出现的短语“在一个实施例中”、“在实施例中”、“另一个实施例”等不一定全都指同一个实施例、示例或实施方式。此外,在一个或多个实施例、示例或实施方式中,可以以任何适当的方式组合特定特征、结构或特性。References throughout this specification to "one embodiment," "an embodiment," "another embodiment," "an example," "an example," "another example," "an implementation," "another implementation," ” etc. means that a particular indicated feature, structure or characteristic described in connection with the described embodiment, example or implementation is included in at least one embodiment, example or implementation. Thus, appearances of the phrases "in one embodiment," "in an embodiment," "another embodiment," etc. in various places throughout this specification are not necessarily all referring to the same embodiment, example, or implementation. Furthermore, the particular features, structures or characteristics may be combined in any suitable manner in one or more embodiments, examples or implementations.
应当注意的是,如在本说明书和所附权利要求中所使用的,除非内容另外明确指明,否则单数形式的“一种(a)”、“一个(an)”以及“所述”均包括复数对象。因此,例如,对包括“量子处理器”的问题解决系统的引用包括单个量子处理器或者两个或更多个量子处理器。还应注意,术语“或者”总体上所使用的意义包括“和/或”,除非内容另外明确指明。It should be noted that, as used in this specification and the appended claims, unless the content clearly dictates otherwise, the singular forms "a", "an" and "the" include plural objects. Thus, for example, reference to a problem-solving system that includes a "quantum processor" includes a single quantum processor or two or more quantum processors. It should also be noted that the term "or" is generally employed in its sense including "and/or" unless the content clearly dictates otherwise.
本文中提供的小标题仅为了方便起见,而并不解释实施例的范围或意义。The subheadings provided herein are for convenience only and do not interpret the scope or meaning of the embodiments.
包括量子处理器的混合计算系统Hybrid computing system including quantum processor
图1展示了包括耦合至计算子系统104的数字计算机102的混合计算系统100。计算子系统104可以提供专业功能。在一些实施方式中,计算子系统104是模拟计算机。在一些实施方式中,计算子系统104是量子计算机,并且数字计算机102是经典计算机。在一些实施方式中,量子计算机是量子退火器和/或绝热量子计算机。在一些实施方式中,量子计算机是门级模型(gate-model)量子计算机或另一适合类型的量子计算机。例如,量子计算机可用于从概率分布中高效地返回样本。FIG. 1 illustrates a
示例性数字计算机102包括可以用于执行本发明系统和方法中描述的经典数字处理任务的数字处理器。相关领域的技术人员将理解,当被正确配置或编程以形成专用机器时,和/或当被通信地耦合以控制模拟计算机或者量子计算机时,可以使用其他数字计算机配置来实践本发明系统和方法,包括手持装置、多处理器系统、基于微处理器的或可编程的消费者电子装置、个人计算机(“PC”)、网络PC、迷你计算机、大型计算机等。The exemplary
在本文中,有时将以单数形式引用数字计算机102,但这不旨在将应用限制于单个数字计算机。还可以在分布式计算环境中实践本发明系统和方法,其中,任务或多组指令由通过通信网络链接的远程处理装置进行或执行。在分布式计算环境中,计算机可读或处理器可读指令(有时被称为程序模块)、应用程序和/或数据可以位于本地存储器存储装置和远程存储器存储装置(例如,非暂态计算机可读或处理器可读介质)两者中。In this document,
数字计算机102可以包括至少一个数字处理器106、至少一个系统存储器120以及至少一条系统总线117,所述系统总线将各个系统部件、包括系统存储器120耦合至数字处理器106。
数字处理器106可以是任何逻辑处理单元,如一个或多个单核或多核微处理器、中央处理单元(“CPU”)、图形处理单元(“GPU”)、数字信号处理器(“DSP”)、专用集成电路(“ASIC”)、现场可编程门阵列(“FPGA”)等。除非另外说明,图1中所示的各个块的构造和操作属于常规设计。因此,本文中不需要进一步详细地描这些块,因为它们将被相关领域的技术人员所理解。
数字计算机102可以包括用户输入/输出子系统108。在一些实施方式中,用户输入/输出子系统包括一个或多个用户输入/输出部件,如显示器110、鼠标112、和/或键盘114。系统总线116可以采用任何已知的总线结构或架构,包括具有存储器控制器的存储器总线、外围总线和局部总线。系统存储器118可以包括如只读存储器(“ROM”)、静态随机存取存储器(“SRAM”)、闪存NAND等非易失性存储器以及如随机存取存储器(“RAM”)等易失性存储器(未示出),所有这些存储器都是非暂态计算机可读或处理器可读介质的示例。可以形成ROM的一部分的基本输入/输出系统(“BIOS”)120包含基本例程,所述基本例程如在启动期间帮助在数字计算机102内的元件之间传送信息。
数字计算机102还可以包括其他非易失性存储器122。非易失性存储器122可以采取各种形式,包括:用于从硬盘进行读取和对其进行写入的硬盘驱动器、用于从可移除光盘进行读取和对其进行写入的光盘驱动器和/或用于从磁盘进行读取和对其进行写入的磁盘驱动器,所有这些元件都是非暂态计算机可读或处理器可读介质的示例。光盘可以是CD-ROM或DVD,而磁盘可以是磁软盘或软磁盘。非易失性存储器122可以经由系统总线116与数字处理器进行通信并且可以包括耦合至系统总线116的适当接口或控制器124。非易失性存储器122可以充当数字计算机102的计算机可读或处理器可读指令、数据结构、或其他数据(也被称为程序模块)的长期存储装置。The
尽管数字计算机102已经被描述为采用硬盘、光盘和/或磁盘,但相关领域的技术人员将理解,可以采用其他类型的非易失性计算机可读介质,如磁带盒、闪存卡、闪存、ROM、智能卡等,所有这些元件都是非暂态计算机可读或处理器可读介质的进一步示例。相关领域的技术人员将理解的是,一些计算机架构合并了易失性存储器和非易失性存储器。例如,易失性存储器中的数据可以被高速缓存到非易失性存储器。或采用集成电路来提供非易失性存储器的固态磁盘。一些计算机将传统地存储在磁盘上的数据置于存储器中。而且,传统地被视为易失性的一些介质可以具有非易失性的形式,例如双列直插式存储器模块的非易失性双列直插式存储器模块变体。Although
各组计算机可读或处理器可读指令(也被称为程序模块)、应用程序和/或数据可以被存储在系统存储器118中。例如,系统存储器118可以存储操作系统125以及一组计算机可读或处理器可读服务器指令(即,服务器模块)127。在一些实施方式中,服务器模块127包括用于与远程客户端通信以及对资源、包括数字计算机102和计算子系统104上的资源的使用进行调度的指令。例如,用于准许数字计算机102经由互联网、企业内联网、或其他网络与源以及与在服务器计算机上执行的其他服务器应用交换数据的Web服务器应用和/或Web客户端或浏览器应用。Various sets of computer-readable or processor-readable instructions (also referred to as program modules), application programs, and/or data may be stored in system memory 118 . For example, system memory 118 may store
在一些实施方式中,系统存储器118可以存储一组计算机可读或处理器可读计算指令(即,计算模块129)以对计算子系统104执行预处理、协处理和后处理。根据本发明系统和方法,系统存储器118可以存储可操作用于与计算子系统104交互的一组模拟计算机或者量子计算机接口模块131。In some implementations, system memory 118 may store a set of computer-readable or processor-readable computing instructions (ie, computing module 129 ) to perform preprocessing, coprocessing, and postprocessing on
一些实施方式中,系统存储器118可以存储玻尔兹曼机指令或玻尔兹曼机模块133以为作为玻尔兹曼机的计算子系统104的操作提供程序和参数。例如,玻尔兹曼机模块133可以在数字计算机102和计算子系统104上实施如参考图8和图9所描述的方法等方法。遵循玻尔兹曼机模块133中的指令的混合计算机100可以实施玻尔兹曼机的部分的图形表示,如图5、图6、以及图7A和图7B中存在的图形表示。In some embodiments, system memory 118 may store Boltzmann machine instructions or
在一些实施方式中,系统存储器包括训练和验证指令模块135。玻尔兹曼机可以经由有监督或无监督学习来进行训练。混合计算机100可以实施在训练和验证指令模块135中定义的训练方法。同样,一旦玻尔兹曼机经过训练,其就可能需要验证。混合计算机100可以验证玻尔兹曼机遵循训练和验证指令模块135中定义的训练方法。In some implementations, the system memory includes a training and
在一些实施方式中,系统存储器118可以存储后处理指令或者利用计算指令模块129中的指令。对后处理指令的执行将使处理器执行对经典计算过程的后处理。In some implementations, system memory 118 may store post-processing instructions or utilize instructions in
在一些实施方式中,系统存储器118可存储运行时间指令模块137以提供可执行程序和参数来部署和/或监视玻尔兹曼机。In some embodiments, system memory 118 may store
虽然在图1中被示出为存储在系统存储器118中,但所示出的模块以及其他数据还可以存储在其他地方,包括存储在非易失性存储器122或者一个或多个其他非暂态计算机可读或处理器可读介质中。Although shown in FIG. 1 as being stored in system memory 118, the modules shown and other data may also be stored elsewhere, including in
计算子系统104可以设置在隔离环境(未示出)中。例如,在计算子系统104是量子计算机的情况下,所述环境可以屏蔽量子计算机的内部元件免受热量、磁场等的影响。计算子系统104可以包括模拟处理器139。模拟处理器139的示例包括如下面参照图2所描述的量子处理器等量子处理器。计算子系统104可以包括用于门级模型量子计算的处理器。
量子处理器包括可编程元件,如量子位、耦合器和其他装置。所述量子位是经由读出系统141来读出的。这些结果被馈送到数字计算机102的各组计算机可读或处理器可读指令,包括服务器模块127、计算模块129、模拟计算机或量子计算机、接口模块131或存储在非易失性存储器122中的其他模块,通过网络等返回。所述量子位是经由量子位控制系统143来控制的。所述耦合器是经由耦合器控制系统145来控制的。在一些实施例中,量子位控制系统143和耦合器控制系统145用于在模拟处理器139上实施如本文所述的量子退火。Quantum processors include programmable elements such as qubits, couplers, and other devices. The qubits are read out via
在一些实施方式中,数字计算机102可以使用到至少一个客户端计算机系统的逻辑连接在联网环境中操作。在一些实施方式中,数字计算机102经由逻辑连接耦合至至少一个数据库系统。可以使用任何数字通信方式形成这些逻辑连接,例如,通过网络,如局域网(“LAN”)或包括例如互联网的广域网(“WAN”)。所述联网环境可以包括有线的或无线的企业范围的计算机网络、内联网、外联网和/或互联网。其他实施例可以包括其他类型的通信网络,如电信网络、蜂窝网络、寻呼网络和其他移动网络。经由逻辑连接发送或接收的信息可以或者可以不被加密。当在LAN联网环境中使用时,数字计算机102可以通过适配器或网络接口卡(“NIC”)(通信地链接到系统总线116)连接到LAN。当在WAN联网环境中使用时,数字计算机102可以包括用于在WAN上建立通信的接口和调制解调器(未示出)或者如NIC等装置。另外地或可替代地,可以采用非联网通信。In some embodiments,
根据本发明系统和装置的至少一些实施例,量子处理器可以被设计用于执行门级模型量子计算。可替代地或另外地,量子处理器可以被设计用于执行量子退火和/或绝热量子计算。和与问题哈密尔顿算子成比例的第一项以及与离域哈密尔顿算子成比例的第二项之和成比例的演化哈密尔顿算子被构造如下:According to at least some embodiments of the present systems and apparatus, quantum processors may be designed to perform gate-level model quantum computations. Alternatively or additionally, a quantum processor may be designed to perform quantum annealing and/or adiabatic quantum computation. The evolutionary Hamiltonian proportional to the sum of the first term proportional to the problem Hamiltonian and the second term proportional to the delocalized Hamiltonian is constructed as follows:
HE∝A(t)HP+B(t)HDHE ∝A(t)HP +B(t)HD
其中,HD是演化哈密尔顿算子,HP是问题哈密尔顿算子,HD是离域哈密尔顿算子,并且A(t)、B(t)是可以控制演化速率并且通常处于[0,1]的范围内的系数。where HD is the evolutionary Hamiltonian, HP is the problem Hamiltonian, HD is the delocalized Hamiltonian, and A(t), B(t) can control the evolution rate and are usually in [0,1] coefficients within the range.
在一些实施方式中,对问题哈密尔顿算子应用时变包络函数。合适的离域哈密尔顿算子由下式给出:In some embodiments, a time-varying envelope function is applied to the problem Hamiltonian. A suitable delocalized Hamiltonian is given by:
其中,N表示量子位数量,是第i个量子位的泡利x-矩阵,并且Δi是在第i个量子位中诱发的单量子位隧道分裂。此处,项是“非对角”项的示例。where N is the number of qubits, is the Pauli x-matrix of theith qubit, and Δi is the single-qubit tunnel splitting induced in the ith qubit. here, term is an example of an "off-diagonal" term.
常见问题哈密尔顿算子包括与对角单量子位项成比例的第一分量以及与对角多量子位项成比例的第二分量,并且可以是以下形式:FAQ The Hamiltonian includes a first component proportional to the diagonal single-qubit term and a second component proportional to the diagonal multi-qubit term, and can be of the form:
其中,N表示量子位数量,是第i个量子位的泡利z-矩阵,hi和Jij分别是量子位的无量纲局部场和量子位之间的耦合,并且ε是HP的特有能量标度。where N is the number of qubits, is the Pauli z-matrix of theith qubit, hi and Jij are the dimensionless local field of thequbit and the coupling between the qubits, respectively, and ε is the characteristic energy scale of HP.
此处,和项是“对角”项的示例。前者是单量子位项,并且后者是双量子位项。here, and Item is an example of a "diagonal" item. The former is a single-qubit term, and the latter is a two-qubit term.
贯穿本说明书,除非上下文另有规定,术语“问题哈密尔顿算子”和“最终哈密尔顿算子”被可互换地使用。问题哈密尔顿算子在能量上优选或者简单地优选量子处理器的某些状态。这些状态可以包括基态,但还可以包括激发态。Throughout this specification, unless the context dictates otherwise, the terms "problem Hamiltonian" and "final Hamiltonian" are used interchangeably. The problem Hamiltonian optimizes energetically, or simply, some states of a quantum processor. These states can include ground states, but also excited states.
可以用各种不同的方式在物理上实现分别上述两个方程中的如HD和HP等哈密尔顿算子。具体示例是通过以下参照图2所述的超导量子位的实施方式来实现的。The Hamiltonianoperators such asHD and HP in the above two equations, respectively, can be physically implemented in various different ways. A specific example is achieved by the implementation of the superconducting qubit described below with reference to FIG. 2 .
哈密尔顿算子可以是量子哈密尔顿算子。量子哈密尔顿算子可以是具有非交换项的量子哈密尔顿算子。The Hamiltonian may be a quantum Hamiltonian. The quantum Hamiltonian may be a quantum Hamiltonian with non-commutative terms.
量子局部哈密尔顿算子的一个子类涉及局部自旋哈密尔顿算子,所述局部自旋哈密尔顿算子在标准基中的矩阵元素满足非对角矩阵元素为实数且非正的条件。可以示出的是,这个子类的哈密尔顿算子的基态具有非负实系数,并且可以将概率分布与基态相关联。这些哈密尔顿算子被称为随机哈密尔顿算子。例如,量子横向伊辛模型是随机的。参见例如S.布瑞威(S.Bravyi)等人的《The Complexity of Stoquastic Local HamiltonianProblems(随机局部哈密尔顿算子问题的复杂性)》(2008年,https://arxiv.org/pdf/quant-ph/0606140v4)。A subclass of quantum local Hamiltonians involves local spin Hamiltonians whose matrix elements in the standard basis satisfy the condition that the off-diagonal matrix elements are real and non-positive. It can be shown that the ground state of the Hamiltonian of this subclass has non-negative real coefficients, and a probability distribution can be associated with the ground state. These Hamiltonians are called stochastic Hamiltonians. For example, the quantum lateral Ising model is stochastic. See, eg, "The Complexity of Stoquastic Local HamiltonianProblems" by S. Bravyi et al. (2008, https://arxiv.org/pdf/quant- ph/0606140v4).
一些哈密尔顿算子是非随机的。(第一子量化)波函数的反对称性使所述波函数具有位置基(position basis)的符号变化。在占有数(第二子量化)基中,由于产生算符和湮没算符的反对易关系,两个符号的项通常作为非对角矩阵元素出现。Some Hamiltonians are non-random. The anti-symmetry of the (first sub-quantization) wave function allows the wave function to have a position-based sign variation. In the occupancy number (second subquantization) basis, two-symbol entries usually appear as off-diagonal matrix elements due to the anti-commutation relationship of the generation operator and the annihilation operator.
在本申请中描述的系统和方法中,量子玻尔兹曼机可以可操作用于从随机哈密尔顿算子和/或非随机哈密尔顿算子的本征态中返回平衡样本。在本申请中描述的各种实施方式中,哈密尔顿算子可以是随机哈密尔顿算子。在本申请中描述的其他实施方式中,哈密尔顿算子可以是非随机哈密尔顿算子。In the systems and methods described in this application, a quantum Boltzmann machine may be operable to return balanced samples from eigenstates of random Hamiltonians and/or non-random Hamiltonians. In various embodiments described in this application, the Hamiltonian may be a random Hamiltonian. In other embodiments described in this application, the Hamiltonian may be a non-random Hamiltonian.
用于量子退火的示例性超导量子处理器Exemplary superconducting quantum processors for quantum annealing
图2示意性地展示了根据本发明系统、装置、制品和方法的、适合于实施图1的量子处理器139的、被设计用于量子退火(和/或绝热量子计算)的示例性超导量子处理器200的一部分。在图2中所示出的超导量子处理器200的所述一部分包括两个超导量子位202和204。还示出了量子位202与204之间经由耦合器206的可调谐耦合(对角耦合)(即,提供2局部相互作用)。虽然图2中所示的量子处理器200的所述一部分仅包括两个量子位202、204以及一个耦合器206,但本领域中的技术人员将理解的是,量子处理器200可包括任何数量个量子位以及在其间耦合信息的任何数量个耦合器。2 schematically illustrates an exemplary superconductor designed for quantum annealing (and/or adiabatic quantum computing) suitable for implementing the
图2中所示出的量子处理器200的所述一部分可以被实施用于物理地实现量子退火和/或绝热量子计算。量子处理器200包括多个接口208、210、212、214和216,这些接口可以用于配置和控制量子处理器200的状态。接口208、210、212、214和216中的每一个都可以由如所展示的对应电感耦合结构实现为编程子系统和/或演化子系统的一部分。这样的编程子系统和/或演化子系统可以与量子处理器200分离,或者其可以被本地地包括(即,与量子处理器200一起在芯片上),如在例如美国专利7,876,248和8,035,540中描述的。The portion of
在量子处理器200的操作中,接口208和214可以各自用于将通量信号耦合到量子位202和204的对应复合约瑟夫森结218和220中,由此实现可调谐隧穿项(系统哈密尔顿算子中的Δi项)。这种耦合提供了哈密尔顿算子的非对角σx项,并且这些通量信号是“离域信号”的示例。In operation of
在一些实施方式中,隧穿项被选择用于使量子处理器上的量子位的第一部分相对于量子位的第二部分更经典。例如,量子位202可以是玻尔兹曼机中的隐藏单元,并且相对于量子位204具有更小的隧穿项。In some embodiments, the tunneling term is chosen to make the first portion of the qubit on the quantum processor more classical relative to the second portion of the qubit. For example,
类似地,接口210和212可以各自用于将通量信号应用到量子位202和204的对应量子位回路中,由此实现系统哈密尔顿算子中的hi项。这种耦合提供了系统哈密尔顿算子中的对角σz项。此外,接口216可以用于将通量信号耦合到耦合器206中,由此实现系统哈密尔顿算子中的(多个)Jij项。这种耦合提供了系统哈密尔顿算子中的对角项。Similarly, interfaces 210 and 212 may each be used to apply flux signals to corresponding qubit loops of
在图2中,接口208、210、212、214和216中的每一个对系统哈密尔顿算子的贡献分别显示在框208a、210a、212a、214a和216a中。如所示出的,在图2的示例中,框208a、210a、212a、214a和216a表示用于量子退火和/或绝热量子计算的时变哈密尔顿算子的元素。In Figure 2, the contribution of each of the
贯穿本说明书和所附权利要求书,术语“量子处理器”用于总体上描述物理量子位(例如,量子位202和204)和耦合器(例如,耦合器206)的集合。物理量子位202和204以及耦合器206被称为量子处理器200的“可编程元件”,并且其相应参数(例如,量子位hi值和耦合器Jij值)被称为量子处理器的“可编程参数”。在量子处理器的上下文中,术语“编程子系统”用于总体上描述用于将可编程参数(例如,hi项和Jij项)应用于量子处理器200的可编程元件以及其他相关联控制电路系统和/或指令的接口(例如,“编程接口”210、212和216)。Throughout this specification and the appended claims, the term "quantum processor" is used to generally describe a collection of physical qubits (eg,
如前所述,编程子系统的编程接口可以与其他子系统进行通信,所述其他子系统可以与量子处理器分离或者可以本地地包括在所述处理器上。如稍后更详细描述的,编程子系统可以被配置用于接收采用量子处理器的机器语言的编程指令并且执行编程指令以根据编程指令来对可编程元件进行编程。类似地,在量子处理器的上下文中,术语“演化子系统”通常包括用于演化量子处理器200的可编程元件以及其他相关联控制电路系统和/或指令的接口(例如,“演化接口”208和214)。例如,演化子系统可以包括退火信号线以及它们到量子位(202、204)的相应接口(208、214)。As previously mentioned, the programming interface of the programming subsystem can communicate with other subsystems, which can be separate from the quantum processor or can be locally included on the processor. As described in more detail later, the programming subsystem may be configured to receive programming instructions in the machine language of the quantum processor and execute the programming instructions to program programmable elements according to the programming instructions. Similarly, in the context of a quantum processor, the term "evolution subsystem" generally includes interfaces for the programmable elements of
量子处理器200还包括读出装置222和224,其中,读出装置222与量子位202相关联,并且读出装置224与量子位204相关联。在如图2中所示出的一些实施例中,读出装置222和224中的每一个都包括电感地耦合至相应量子位的DC-SQUID。在量子处理器200的上下文中,术语“读出子系统”用于总体上描述用于读出量子处理器中的量子位(例如,量子位202和204)的最终状态以产生位串的读出装置222、224。读出子系统还可以包括其他元件,如路由电路系统(例如,锁存元件、移位寄存器、或多路复用器电路),和/或可以被安排成替代性配置(例如,XY可寻址阵列、XYZ可寻址阵列等)。量子位读出还可以使用替代性电路来执行,如PCT专利公开WO2012064974中所描述的电路。
虽然图2仅展示了两个物理量子位202、204,一个耦合器206以及两个读出装置222、224,但量子处理器(例如,处理器200)可以采用任何数量个量子位、耦合器、和/或读出装置,包括更大数量(例如,数百、数千或更多)的量子位、耦合器、和/或读出装置。将本文中的教导应用于具有不同(例如,更大)数量个计算组件的处理器对于本领域的普通技术人员来说应该是显而易见的。Although FIG. 2 shows only two
超导量子位的示例包括超导通量量子位、超导电荷量子位等。在超导通量量子位中,约瑟夫森能量占主导或等于充电能量。在电荷量子位中,情况是相反的。可以使用的通量量子位的示例包括rf-SQUID(其包括被一个约瑟夫森结中断的超导回路)、持续电流量子位(其包括被三个约瑟夫森结中断的超导回路)等。参见以下文档中的rf-SQUID的示例:《IEEE Trans.No.on Appl.Supercond.(IEEE应用超导性汇刊)》7,3638(博克古(Bocko)等人,1997年);《Nature(自然)》406,43(弗里德曼(Friedman)等人,2000年);以及《Phys.Rev.B(物理学评论B辑)》81,134510(哈里斯(Harris)等人,2010年)、或者《persistent current qubits(持续电流量子位)》(莫伊(Mooij)等人,1999年,《Science(科学)》285,1036);以及《Phys.Rev.B(物理学评论B辑)》60,15398(奥兰多(Orlando)等人,1999年)。另外,还可以使用混合电荷-相位量子位,其中,能量是相等的。可以在以下文档中找到超导量子位的进一步细节:《Rev.Mod.Phys.(现代物理评论)》73,357(马克林(Makhlin)等人,2001年);《arXiv:cond-mat/0411174(档案:凝聚物质/0411174)》(德瓦利特(Devoret)等人,2004年);《Physics in Canada(加拿大物理学)》63,215(罗戈日金(Zagoskin)和布莱斯(Blais),2007年);《Nature(自然)》453,1031(克拉克(Clarke)和威廉(Wilhelm),2008年);《Quantum Inf.Process(量子信息处理)》8,81(马丁尼斯(Martinis),2009年);以及《Science(科学)》339,1169(德沃尔(Devoret)和薛尔考普夫(Schoelkopf),2013年)。在一些实施例中,量子位和耦合器由片上电路系统控制。可以在以下美国专利中找到片上控制电路系统的示例:7,876,248;7,843,209;8,018,244;8,098,179;8,169,231;以及8,786,476。在例如美国专利7,533,068、8,008,942、8,195,596、8,190,548以及8,421,053中描述了可以与本发明系统和装置结合使用的示例性量子处理器的进一步细节和实施方式。Examples of superconducting qubits include superconducting flux qubits, superconducting charge qubits, and the like. In superconducting flux qubits, the Josephson energy dominates or equals the charging energy. In charge qubits, the situation is reversed. Examples of flux qubits that can be used include rf-SQUIDs (which include superconducting loops interrupted by one Josephson junction), persistent current qubits (which include superconducting loops interrupted by three Josephson junctions), and the like. See examples of rf-SQUIDs in: IEEE Trans. No. on Appl. Supercond. 7,3638 (Bocko et al., 1997); Nature (Nature) 406, 43 (Friedman et al., 2000); and Phys. Rev. B (Physical Reviews Series B) 81, 134510 (Harris et al., 2010 year), or "persistent current qubits" (Mooij et al., 1999, Science 285, 1036); and "Phys.Rev.B" Series)" 60, 15398 (Orlando et al., 1999). In addition, mixed charge-phase qubits can also be used, where the energies are equal. Further details of superconducting qubits can be found in: Rev. Mod. Phys. (Modern Physical Review) 73, 357 (Makhlin et al., 2001); arXiv:cond-mat/0411174 ( Archives: Condensed Matter/0411174) (Devoret et al., 2004); Physics in Canada 63, 215 (Zagoskin and Blais, 2007 2008); Nature 453, 1031 (Clarke and Wilhelm, 2008); Quantum Inf. Process 8, 81 (Martinis, 2009) ); and Science 339, 1169 (Devoret and Schoelkopf, 2013). In some embodiments, the qubits and couplers are controlled by on-chip circuitry. Examples of on-chip control circuitry can be found in the following US Patents: 7,876,248; 7,843,209; 8,018,244; 8,098,179; 8,169,231; and 8,786,476. Further details and implementations of exemplary quantum processors that may be used in conjunction with the systems and devices of the present invention are described, for example, in US Pat.
量子处理器中的量子位和耦合装置可以根据架构被安排到拓扑中,使得可以在量子位的子拓扑(以下称为“子拓扑”)中布置一定数量个量子位。子拓扑是包括量子位和耦合装置的量子处理器拓扑的一部分。可以在量子处理器的区域上重复或平铺(或者直接彼此通信地耦合)多个子拓扑以产生某一量子处理器拓扑。The qubits and coupling devices in a quantum processor can be arranged into topologies according to the architecture, such that a certain number of qubits can be arranged in a sub-topology of the qubits (hereinafter "sub-topology"). The subtopology is part of a quantum processor topology that includes qubits and coupling devices. Multiple subtopologies can be repeated or tiled (or directly communicatively coupled to each other) over the area of a quantum processor to produce a certain quantum processor topology.
子拓扑有时被称为单元(cell)或瓦片(tile)。Sub-topologies are sometimes referred to as cells or tiles.
在一些实施方式中,拓扑中的每个子拓扑都与同一拓扑中的每个其他子拓扑完全相同。在其他实施方式中,拓扑中的一个或多个子拓扑包括与同一拓扑中的另一子拓扑不同的量子位和耦合装置配置。In some embodiments, each sub-topology in a topology is identical to every other sub-topology in the same topology. In other embodiments, one or more sub-topologies in a topology include a different configuration of qubits and coupling devices than another sub-topology in the same topology.
子拓扑中的每个量子位都可以包括在仅一个子拓扑中,使得没有量子位可以包括在多个子拓扑中,并且没有量子位可以在多个子拓扑当中被共享。如本文和权利要求书中所使用的,术语“交叉(cross)”及其变体、如“交叉(crosses或crossing)”包括“覆盖(overlie)”、“位于下面(underlie)”、以及“重叠(overlap)”。因此,“交叉”包括例如这样一种情况:一个层或衬底上的第一量子位的一部分的轮廓从该部分、层或衬底垂直凸出,并且凸出部与另一层或衬底上的第二量子位的对应部分的轮廓相交。子拓扑可以包括至少两个量子位。Each qubit in a sub-topology can be included in only one sub-topology, such that no qubit can be included in multiple sub-topologies, and no qubit can be shared among multiple sub-topologies. As used herein and in the claims, the term "cross" and variations thereof, such as "crosses or crossings," include "overlie," "underlie," and " overlap". Thus, "intersection" includes, for example, a situation in which the contour of a portion of a first qubit on one layer or substrate protrudes perpendicularly from that portion, layer or substrate, and the protrusion is perpendicular to the other layer or substrate intersect on the contours of the corresponding parts of the second qubit. The subtopology can include at least two qubits.
示例性量子处理器拓扑Exemplary quantum processor topology
图3示意性地示出了根据本发明系统、装置、制品和方法的形成量子处理器拓扑的基础的示例性子拓扑300。具体地,图3展示了包括被安排为二分图的八个量子位的子拓扑300——参见美国专利8,421,053中的进一步细节。3 schematically illustrates an
如所示出的,第一组量子位中的量子位302a、302b、302c和302d(统称为量子位302)各自具有对应的长轴,量子位302的超导路径沿着所述长轴延伸,对于第一组量子位中的量子位302,这些长轴被布置成彼此平行。而且,如所示出的,第二组量子位中的量子位304a、304b、304c和304d(统称为量子位304)各自具有对应的长轴,第二组量子位中的量子位304的超导路径沿着所述长轴延伸,对于第二组量子位中的量子位304,这些长轴被布置成彼此平行。第一组量子位中的量子位302a、302b、302c和302d的长轴垂直于第二组量子位中的量子位304a、304b、304c和304d的长轴,并且第一组量子位中的量子位的一部分与第二组量子位中的每个量子位的对应部分交叉。As shown,
每个量子位302a、302b、302c和302d都可以被对应复合约瑟夫森结306(为了减少杂乱,在图3中仅指出了对应量子位302a的复合约瑟夫森结306)中断。每个量子位304a、304b、304c和304d都可以被对应复合约瑟夫森结308(为了减少杂乱,仅指出了对应量子位304a的约瑟夫森结308)中断。Each
子拓扑300包括两个演化接口。第一演化接口310与第一组量子位302中的量子位相关联。第一演化接口310可以是用于第一组量子位302的全局退火线。第二演化接口312与第二组量子位304相关联。演化接口312可以是用于第一组量子位304的全局退火线。来自第一演化接口310的信号可以不同于第二演化接口312上的信号。例如,一个接口上的退火信号可以在时间上相对于第二接口上的信号提前。
子拓扑300包括用于将子拓扑中的第一组量子位中的量子位耦合至同一子拓扑中的第二组量子位中的量子位的耦合器。第一组量子位中的量子位直接通信地(即,经由单个耦合装置)耦合至同一子拓扑的第二组量子位中的量子位。图3中的耦合器314展示了可操作用于将量子位304a耦合至量子位302a(即,同一子拓扑中的不同组量子位中的彼此交叉的量子位)的耦合装置的示例。
在图3所示的示例实施例中,在同一子拓扑内的同一组量子位(第一组或第二组)内不存在量子位的直接成对耦合。例如,在同一子拓扑中的一对水平量子位之间或一对垂直量子位之间不存在直接耦合。在其他实施例中,在同一组量子位中的一对量子位之间可以存在直接通信耦合。In the example embodiment shown in Figure 3, there is no direct pairwise coupling of qubits within the same group of qubits (either the first group or the second group) within the same sub-topology. For example, there is no direct coupling between a pair of horizontal qubits or between a pair of vertical qubits in the same subtopology. In other embodiments, there may be a direct communication coupling between a pair of qubits in the same set of qubits.
在一些实施例中,子拓扑300中的量子位可以经由子拓扑间耦合器(图3中未示出)耦合至另一子拓扑中的量子位。In some embodiments, qubits in
图4示意性地示出了根据本发明系统、装置、制品和方法的量子处理器拓扑400,展示了所述量子处理器拓扑中的如图3中的子拓扑300等平铺式子拓扑当中的共享演化接口。如子拓扑300等子拓扑可以平铺在量子处理器的区域上。在量子处理器的区域上平铺量子位的子拓扑形成了处理器拓扑的基础。图4示出了基于例如图3的子拓扑300的量子处理器拓扑400。拓扑400可以是由多个子拓扑402、404、406和408组成的量子处理器的一部分,所述多个子拓扑在区域上被平铺成使得每个子拓扑都被定位成邻近至少一个其他子拓扑。FIG. 4 schematically illustrates a
拓扑400包括各自在图4中被展示为包括实线延长线的点画正方形的子拓扑402、404、406和408。从每个点画正方形延伸出来的实线表示子拓扑中被定位成最接近子拓扑外围的如量子位等超导装置的部分。例如,部分410和412表示第一子拓扑402中的装置的部分。部分412是第一子拓扑402中的第一组超导装置中的第一装置。部分412是第一子拓扑402中的第二组超导装置中的第一装置。第一子拓扑402中的第一组超导装置是垂直的一组量子位。第一子拓扑402中的第二组超导装置是水平的一组量子位。本领域的技术人员将认识到,对垂直和水平方向的这种分配是任意的、被用作方便的标记并且不旨在以任何方式限制本发明系统和装置的范围。在拓扑400中,每个子拓扑都具有第一组量子位和第二组量子位。
拓扑400包括子拓扑间耦合器和子拓扑内耦合器。为了减少杂乱,图4中未示出这些。子拓扑内耦合器的示例是图3的耦合器314。美国专利8,421,053中描述了子拓扑间耦合器的示例。
拓扑400可以包括多个演化接口。在一些实施方式中,演化接口以交错的模式与芯片上的不同量子位相关联。如所展示的,子拓扑402被定位成紧邻演化接口414a和演化接口416a。子拓扑404被定位成紧邻演化接口418a和演化接口420b。子拓扑406被定位成紧邻演化接口418b和演化接口420a。子拓扑408被定位成紧邻演化接口414b和演化接口416b。
在一些实施方式中,拓扑400支持四个不同退火信号的交错模式。如果将第一演化信号应用于演化接口414a和414b,则子拓扑402和408中的垂直量子位接收同一演化信号。如果将第二演化信号应用于演化接口418a和418b,则子拓扑404和406中的垂直量子位接收同一演化信号。如果将第三演化信号应用于演化接口416a和416b,则子拓扑402和408中的水平量子位接收同一演化信号。如果将第四演化信号应用于演化接口420a和420b,则子拓扑406和404中的水平量子位接收同一演化信号。除了所展示了的这四个子拓扑之外,可以在拓扑400上建立交错的一组演化信号。In some embodiments,
演化接口414a和414b中的第一信号可以不同于演化接口418a和418b中的第二信号。例如,第一信号可以在时间上相对于第二信号提前。与第一信号相关联的量子位将在与第二信号相关联的量子位之前变得经典。The first signals in
训练玻尔兹曼机Training a Boltzmann Machine
图5是根据本发明系统、装置、制品和方法的玻尔兹曼机500的一部分的示例实施例的图形表示。5 is a graphical representation of an example embodiment of a portion of a
玻尔兹曼机是包括对称连接的可见单元和隐藏单元的网络。单元(可见、隐藏和两者)之间的连接可以采用各种形式。例如,在神经网络中,连接被称为突触。在量子处理器中(如下所描述的),单元可以是量子位,并且连接可以由提供量子位之间的选择性的、直接的、成对的通信耦合的耦合装置形成。A Boltzmann machine is a network of symmetrically connected visible and hidden units. Connections between cells (visible, hidden, and both) can take various forms. For example, in neural networks, connections are called synapses. In a quantum processor (described below), the units may be qubits, and the connections may be formed by coupling means that provide selective, direct, pairwise communicative coupling between the qubits.
玻尔兹曼机500包括由具有对角线图案的圆圈502-1、502-2和502-3(仅指出了三个,统称为502)指示的第一多个单元,例如可见单元。可见单元502可以通信地连接或通信地耦合至其他可见单元,例如,可见单元502-1通过连接504连接至可见单元502-3。
玻尔兹曼机500包括由不具有阴影的圆圈506-1、506-2、506-3和506-4(仅指出了四个,统称为506)指示的第二多个单元,即,隐藏单元。隐藏单元506可以通信地连接或通信地耦合至其他隐藏单元。例如,隐藏单元506-3通过连接508连接至隐藏单元506-4。
可见单元502可以通信地连接或通信地耦合至隐藏单元506。例如,可见单元502-1通过连接510连接至隐藏单元506-2。在一些实施方式中,可见单元502之间、隐藏单元506之间以及可见单元502与隐藏单元506之间的连接分别可以是可调谐耦合装置。在一些实施方式中,可见单元之间的如连接504等可调谐耦合是完整的。Visible unit 502 may be communicatively connected or communicatively coupled to hidden unit 506 . For example, visible cell 502-1 is connected to hidden cell 506-2 by
在一些实施方式中,玻尔兹曼机500形成二分图并且是受限玻尔兹曼机(RBM)。RBM在可见单元502之间不具有连接,并且在隐藏单元506之间不具有连接,但是在至少一个可见单元502与至少一个隐藏单元506之间具有连接。在一些示例中,玻尔兹曼机500形成完整的二分图。In some embodiments,
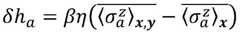
在一些实施方式中,如图1的混合计算机100等计算机可以训练玻尔兹曼机500。训练包括调整玻尔兹曼机500的单元的局部偏置项以及所述单元之间的可调谐耦合。In some embodiments, a computer, such as
玻尔兹曼机500是可以被训练用于学习其一组输入上的概率分布的随机系统。对于每个元素都包括N个二进制变量zμ=±1的一组数据,向量v=[z1,z2,…,zN]表示这N个二进制变量的总体状态。向量v处于所述一组数据中概率为
原则上,至少,物理系统可以用变量zμ来构造,使得其均衡分布为对于总体分布,物理系统的哈密尔顿算子应当具有2N个参数以重现所述分布。如果所述一组数据具有某个结构,则有可能使用较少数量的参数来产生充分接近的分布。例如,有可能使用具有N的多项式增长而不是N的指数式增长的参数数量。In principle, at least, a physical system can be constructed with the variable zμ such that its equilibrium distribution is For a population distribution, the Hamiltonian of the physical system should have2N parameters to reproduce the distribution. If the set of data has a certain structure, it is possible to use a smaller number of parameters to produce a sufficiently close Distribution. For example, it is possible to use a number of parameters with a polynomial growth of N rather than an exponential growth of N.
基于一组输入来调整物理系统的哈密尔顿算子的参数的过程被称为训练,并且所述一组输入被称为训练集。The process of adjusting the parameters of a physical system's Hamiltonian based on a set of inputs is called training, and the set of inputs is called a training set.
为了提供足够的变量来执行训练,所述过程可以引入附加的二进制变量。初始数据集中的二进制变量被称为可见变量v,并且附加的二进制变量被称为隐藏变量h。To provide enough variables to perform training, the process may introduce additional binary variables. The binary variables in the initial dataset are called visible variables v, and the additional binary variables are called hidden variables h.
在包含可见变量和隐藏变量的伊辛系统中,系统的总能量通过伊辛哈密尔顿算子来描述:In an Ising system with visible and hidden variables, the total energy of the system is described by the Ising Hamiltonian:
其中,索引a和b覆盖可见变量和隐藏变量两者,即,可见单元502和隐藏单元506两者。(不应将描述隐藏变量的向量h与描述局部偏置的哈密尔顿算子参数ha混淆。)Here, indices a and b cover both visible and hidden variables, ie, both visible unit 502 and hidden unit 506 . (The vector h describing the hidden variables should not be confused with the Hamiltonian parameterha describing the local bias.)
在平衡状态下,观察到可见变量的状态的概率通过玻尔兹曼分布来描述:In equilibrium, the probability of observing the state of the visible variable is described by the Boltzmann distribution:
其中,温度倒数β=1/(kBT);kB是玻尔兹曼常数;T是温度;并且Ev,h是哈密尔顿算子HI的本征值。where the reciprocal temperature β=1/(kB T); kB is the Boltzmann constant; T is the temperature; and Ev,h is the eigenvalue of the Hamiltonian HI.
如上所描述的,训练是调整哈密尔顿算子的参数使得分布Pv变得尽可能接近分布的过程。As described above, training is to adjust the parameters of the Hamiltonian so that the distribution Pv becomes as close as possible to the distribution the process of.
在一些实施方式中,如图1的混合计算机100等计算机可以通过例如通过使用梯度下降技术来使对数似然最小化从而训练玻尔兹曼机500。对数似然通过下式来描述:In some embodiments, a computer, such as the
梯度下降技术在与梯度的相反方向上采取小步长。哈密尔顿算子的参数的变化与对数似然分布相对于所述参数的梯度的负数成比例。比例常数被称为学习率并且控制步长。Gradient descent techniques take small steps in the opposite direction to the gradient. The change in the parameters of the Hamiltonian is proportional to the negative of the gradient of the log-likelihood distribution with respect to said parameters. The proportionality constant is called the learning rate and controls the step size.
对数似然的梯度为:The gradient of the log-likelihood is:
ha的变化由下式给出:The change inha is given by:
Jab的变化由下式给出:The change inJab is given by:
其中,平均值并且η是学习率。Among them, the average And η is the learning rate.
以上方程就钳位(clamped)平均值与非钳位(unclamped)平均值之差而言表达了哈密尔顿算子的参数的变化,其中,钳位平均值是针对固定v而获得的。训练过程可以使用采样来估计平均值。The above equation expresses the change in the parameters of the Hamiltonian in terms of the difference between the clamped mean and the unclamped mean, where the clamped mean is obtained for a fixed v. The training process can use sampling to estimate the mean.
训练量子玻尔兹曼机Training a Quantum Boltzmann Machine
在一些实施例中,玻尔兹曼机500在包括如图1的量子处理器139等量子处理器的计算机上实施,并且玻尔兹曼机500是量子玻尔兹曼机。In some embodiments,
当在量子处理器上实施时,单元是包括两个或更多个物理量子位以及一个或多个耦合装置的量子位或逻辑量子位,并且玻尔兹曼机500可以通过横向伊辛哈密尔顿算子来描述如下:When implemented on a quantum processor, a unit is a qubit or logical qubit that includes two or more physical qubits and one or more coupling devices, and the
其中,和是泡利矩阵,并且Δa是量子位隧穿振幅。in, and is the Pauli matrix, and Δa is the qubit tunneling amplitude.
在使用量子系统的每次测量中,在σz基中读出量子位的状态,并且结果包括隐藏变量和可见变量两者的经典二进制变量。由于量子力学的统计性质,每次测量都可以以概率生成输出v。In each measurement using a quantum system, the state of the qubit is read out in theσz basis, and the result includes classical binary variables for both hidden and visible variables. Due to the statistical nature of quantum mechanics, each measurement can be calculated with probability Generate output v.
期望能够将横向伊辛哈密尔顿算子的参数训练为使得概率表示输入数据。It is desirable to be able to train the parameters of the transverse Ising Hamiltonian such that the probability Represents input data.
计算基中的玻尔兹曼机500的状态可以通过|v,h>来表示。H的本征态是状态的叠加。玻尔兹曼机500可以从具有通过下式来描述的密度矩阵的量子玻尔兹曼分布中返回样本:The state of the
ρ=e-βH/Tr[e-βH]ρ=e-βH /Tr[e-βH ]
其中,Tr表示矩阵的迹。where Tr represents the trace of the matrix.
在玻尔兹曼机500是量子玻尔兹曼机的实施例中,量子玻尔兹曼机500在测量之后返回状态v的概率是其中,并且是作用于隐藏变量的恒等矩阵。In embodiments where the
与经典情况一样,为了使测量的概率分布尽可能接近系统尝试例如使用梯度下降技术来使对数似然最小化。对数似然的梯度可以被表示如下:As in the classical case, in order to make the probability distribution of the measurements as close as possible The system attempts to minimize the log-likelihood, eg, using gradient descent techniques. The gradient of the log-likelihood can be expressed as follows:
不幸的是,以上方程中的第一项无法使用采样来估计。为了避免这个问题,所述方法调用了金汤普森不等式(Golden-Thompson inequality):Unfortunately, the first term in the above equation cannot be estimated using sampling. To avoid this problem, the method invokes the Golden-Thompson inequality:
Tr[eAeB]≥Tr[eA+B]Tr[eA eB ]≥Tr[eA+B ]
所述不等式适用于任何厄米特矩阵A和B,并且允许表达如下:Said inequality holds for any Hermitian matrices A and B, and allows The expression is as follows:
所述方法引入了新的哈密尔顿算子Hv=H-β-1lnΛv,使得:The method introduces a new Hamiltonian Hv =H-β-1 lnΛv such that:
对于可见量子位不处于状态|v>的任何状态,存在无限的能量惩罚(energypenalty)。新的哈密尔顿算子Hv被称为钳位哈密尔顿算子,因为可见量子位是钳位的。For any state where the visible qubit is not in state |v>, there is an infinite energy penalty. The new HamiltonianHv is called the clamped Hamiltonian because the visible qubit is clamped.
所述方法现在试图使对数似然的上限最小化,而不是使对数似然最小化。哈密尔顿算子的参数为ha和Jab,其中,索引表示可见变量和隐藏变量两者。Instead of minimizing the log-likelihood, the method now attempts to minimize the upper bound of the log-likelihood. The parameters of the Hamiltonian areha andJab , where the indices represent both the visible and hidden variables.
ha的变化由下式给出:The change inha is given by:
Jab的变化由下式给出:The change inJab is given by:
其中,平均值Among them, the average
与经典玻尔兹曼机的情况一样,以上方程就钳位平均值与非钳位平均值之差而言表示了哈密尔顿算子的参数的变化。训练过程可以使用从分别具有哈密尔顿算子H和Hv的量子玻尔兹曼分布中进行采样来估计钳位平均值和非钳位平均值。训练系统可以从例如量子处理器中获得样本。可替代地,训练系统可以从例如量子蒙特卡罗模拟中获得样本。As in the case of the classical Boltzmann machine, the above equation expresses the change in the parameters of the Hamiltonian in terms of the difference between the clamped mean and the unclamped mean. The training process can use sampling from quantum Boltzmann distributions with Hamiltonians H andHv , respectively, to estimate the clamped and unclamped averages. The training system can obtain samples from, for example, a quantum processor. Alternatively, the training system may obtain samples from, for example, quantum Monte Carlo simulations.
使用量子玻尔兹曼机来进行监督学习Supervised Learning Using Quantum Boltzmann Machines
图6是根据本发明系统、装置、制品和方法的量子玻尔兹曼机(QBM)600的图形部分的示例实施例的示意图。6 is a schematic diagram of an example embodiment of a graphical portion of a quantum Boltzmann machine (QBM) 600 in accordance with the systems, apparatus, articles and methods of the present invention.
QBM 600包括输入可见层602。输入可见层602的单元在图6中通过具有实心黑填充的正方形表示。在一些实施方式中(如图6所展示的示例实施方式),输入可见层602在输入可见层602的单元之间不包括连接。
QBM 600包括量子位层604。量子位层604包括图6中通过具有对角线图案的圆圈表示的如可见量子位606等一个或多个可见量子位,以及图6中通过不具有阴影的圆圈表示的如隐藏量子位608等一个或多个隐藏量子位。
量子位层604中的单元是量子力学的并且可以通过包括引起状态离域的非对角项的哈密尔顿算子来描述。在一些实施方式中,量子位层604包括量子位层604的单元之间的可调谐耦合装置610。The cells in the
量子位层604中的单元可以通过可调谐耦合装置612耦合至输入可见层602。在一些实施方式中,量子位层604中的单元与输入可见层602之间的耦合是二局部的、对角的、选择性的、直接的、通信的耦合。在一些实施方式中,量子位层604中的单元与输入可见层602之间的耦合是完整的。Cells in the
QBM 600包括输出可见层614。输出可见层614的单元在图6中通过具有对角线图案的正方形表示。在一些实施方式中,在QBM 600的图形表示中的输出可见层614在输出可见层614的单元之间不包括连接。例如,输出可见层614的单元之间可以不存在直接的通信耦合,或者输出可见层614的单元之间可以存在至少一个可配置的通信耦合,所述可配置的通信耦合被选择性地配置成不提供耦合。
量子位层604中的可见单元可以通过可调谐耦合装置616直接地或者间接地通信耦合至输出可见层614。在一些实施方式中,耦合装置是二局部对角耦合。在一些实施方式中,量子位层604中的可见单元与输出可见层614之间的可调谐耦合616是完整的,在这种情况下,可调谐耦合616的数量等于量子位层604中的可见单元的数量和输出可见层614中的单元的数量的乘积。在一些实施方式中,可调谐耦合616密度较小。The visible cells in the
在一些实施方式中,输入可见层602可以不是物理装置,并且相反可以是用于确定偏置值的变量。类似地,输出可见层614可以不是物理装置,并且相反可以是由读出装置测量的量子位状态。In some implementations, the input
在一些实施方式中,QBM 600中的连接的方向为从输入可见层602经由量子位层604到输出可见层614,如在图6所展示的示例中通过箭头618所示。在一些实施方式中,偏置值由输入可见层602提供给量子位层604,如通过箭头620所指示的。在一些实施方式中,来自量子位层604的量子位值被读出到输出可见层614,如通过箭头622所指示的。In some embodiments, the direction of the connections in the
监督学习将可见变量分成输入变量和输出变量,如图6的输入可见层602和输出可见层614。监督学习系统通常知道整个输入,而监督学习系统只知道用于训练集的输出。监督学习系统可以使用生成法或判别法来执行监督学习。Supervised learning divides visible variables into input variables and output variables, such as input
判别法将输入与输出分开并试图学习条件概率。期望的是,尽可能接近条件概率如前所述,所述方法试图使对数似然最小化,在这种情况下的对数似然通过下式给出:Discriminant methods separate the input from the output and try to learn conditional probabilities. The expectation is that, as close as possible to the conditional probability As mentioned earlier, the method attempts to minimize the log-likelihood, which in this case is given by:
所述方法定义了钳位哈密尔顿算子(如以上参照对QBM的训练而描述的),并且引入了对数似然的上限,并且试图例如通过梯度下降技术使上限最小化。可以使用其他合适的最小化技术。The method defines the clamped Hamiltonian (as described above with reference to the training of the QBM) and introduces an upper bound on the log-likelihood, and attempts to minimize the upper bound, eg by gradient descent techniques. Other suitable minimization techniques can be used.
ha的梯度下降步长通过下式给出:The gradient descent step size forha is given by:
Jab的梯度下降步长通过下式给出:The gradient descent step size forJa is given by:
Jav的梯度下降步长通过下式给出:The gradient descent step size for Jav is given by:
使用QBM进行深度学习Deep Learning with QBM
图7是根据本发明系统、装置、制品和方法的包括多于一个量子位层的量子玻尔兹曼机(QBM)700的图形部分的示例实施例的示意图。图7展示了使用QBM来进行的深度学习的有向多层图的示例实施例。图7中所展示的示例实施例是使用QBM来进行深度学习的一种方式。可以使用其他合适的方式。7 is a schematic diagram of an example embodiment of a graphical portion of a quantum Boltzmann machine (QBM) 700 including more than one qubit layer in accordance with the systems, apparatus, articles and methods of the present invention. Figure 7 illustrates an example embodiment of a directed multilayer graph for deep learning using QBM. The example embodiment shown in Figure 7 is one way of using QBM for deep learning. Other suitable means can be used.
在所展示的实施例中,层之间的连接是有向的:从输入可见层702,经由多个量子位层704-1、704-2至704-L(统称为704)到输出可见层706。在一些实施方式中,输入可见层702在输入可见层702的单元之间不包括连接。In the embodiment shown, the connections between the layers are directed: from the input
多个量子位层704可以包括量子位层L个层704-1、704-2至704-L。第一量子位层704-1与输入可见层702相邻。第L量子位层704-L与输出可见层706相邻。在一些实施方式中,量子位层704中的单元是量子力学装置,如量子位。The plurality of qubit layers 704 may include qubit layers L layers 704-1, 704-2 through 704-L. The first qubit layer 704-1 is adjacent to the input
在量子位层704中的单元是量子位的实施方式中,每个量子位层(如704-1、704-2等)表示对量子处理器的独立调用或一系列调用。例如,量子位层704中的单元可以通过包括引起状态离域的非对角项的哈密尔顿算子来描述。在一些实施方式中,量子位层704在量子位层704的单元之间包括可调谐耦合装置708。在一些实施方式中,每个量子位层内的单元之间的连接不是有向的。In embodiments where the units in the
量子位层704可以具有到彼此的连接。例如,量子位层704-1中的单元可以具有到量子位层704-2中的单元的连接710、等等。The qubit layers 704 may have connections to each other. For example, cells in qubit layer 704-1 may have
量子位层704-1中的单元可以通过可调谐耦合712直接地或者间接地通信耦合至输入可见层702中的单元。在一些实施方式中,量子位层704-1与输入可见层702之间的耦合是二局部对角耦合。在一些实施方式中,量子位层704-1与输入可见层702之间的通信耦合是完整的。Cells in qubit layer 704 - 1 may be communicatively coupled to cells in input
QBM 700b包括输出可见层706。在一些实施方式中,输出可见层706在输出可见层706的单元之间不包括连接。QBM 700b includes output
量子位层704-L中的可见单元可以通过可调谐耦合装置714直接地或者间接地通信耦合至输出可见层706。在一些实施方式中,耦合装置是二局部对角耦合。在一些实施方式中,量子位层704-L与输出可见层706之间的可调谐耦合714是完整的,在这种情况下,可调谐耦合714的数量等于量子位层704-L中可见单元的数量和输出可见层706中的单元的数量的乘积。在一些实施方式中,可调谐耦合714密度较小。The visible cells in qubit layer 704-L may be communicatively coupled to output
在深度学习中,可以将QBM的若干层连接成使得可以独立测量QBM的每个层,并且可以经典地传输层间信息。如前所述,以到量子位的偏置的形式将输入x应用到最低层,并且从最上层读出输出。每个中间层都可以接收来自下层的偏置并且对上层应用偏置。可以对每个层进行多于一次测量以生成样本,并且可以根据样本估计期望值In deep learning, several layers of a QBM can be connected such that each layer of the QBM can be measured independently and inter-layer information can be classically transferred. As before, the input x is applied to the lowest layer in the form of a bias to the qubit, and the output is read out from the uppermost layer. Each intermediate layer can receive the bias from the lower layer and apply the bias to the upper layer. Each layer can be measured more than once to generate samples, and the expected value can be estimated from the samples
前向传播和后向传播可用于执行深度学习。对应于最上层的哈密尔顿算子可以表示如下:Forward and backward propagation can be used to perform deep learning. The Hamiltonian operator corresponding to the uppermost layer can be expressed as follows:
其中,L是层数,第L层是从中提取输出y的最上层。偏置是从最低层到第L-1层的下层的函数:where L is the number of layers, and the Lth layer is the top layer from which the output y is extracted. Bias is a function from the lowest level to the lower level of level L-1:
不应将输入向量x与指示横向场的泡利矩阵的索引x混淆。The input vector x should not be compared with the Pauli matrix indicating the transverse field The index x is confused.
一旦输入被设置为x,测量输出状态的概率就由下式给出:Once the input is set to x, the probability of measuring the output state is given by:
其中并且表示第L(最上)层中的隐藏变量的状态,并且其中,是作用于第L层中的隐藏变量的恒等矩阵。in and represents the state of the hidden variable in the Lth (top) layer, and where, is the identity matrix acting on the hidden variables in the Lth layer.
如上所述,所述方法试图通过使对数似然最小化来使尽可能地接近如前所描述,所述方法准备钳位哈密尔顿算子并且引入对数似然的上限。所述方法尝试使用优化技术、例如使用梯度下降来优化上限。As mentioned above, the method attempts to make the log-likelihood as close as possible As previously described, the method prepares to clamp the Hamiltonian and introduces an upper bound on the log-likelihood. The method attempts to optimize the upper bound using optimization techniques such as gradient descent.
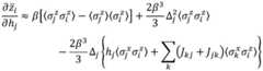
为了使用梯度下降来使对数似然的上限最小化,所述方法使用如下链式法则来计算上限相对于与层l相对应的参数θl的梯度:In order to use gradient descent to make the log-likelihood to minimize the upper bound of , the method uses the following chain rule to calculate the upper bound Gradient with respect to parameter θl corresponding to layer l:
使用上面的公式来计算偏导数通常被称为后向传播,并且针对输入的计算被称为前向传播。所述方法的结果如下:Computing partial derivatives using the formula above is often referred to as backpropagation, and computation on the input is referred to as forwardpropagation. The results of the described method are as follows:
可以使用采样来计算这两项。只要温度足够高,即,当T>Δj,hj,Jjk时,就可以忽略第三项。Both of these terms can be calculated using sampling. The third term can be ignored as long as the temperature is high enough, ie, when T>Δj , hj , Jjk .
以上关于QBM而描述的用于深度学习的技术可以应用于经典的玻尔兹曼机。The techniques described above for QBMs for deep learning can be applied to classical Boltzmann machines.
在使用QBM进行的机器学习中,深度学习可以发挥重要作用。深度学习的一个益处在于,其可以减轻对量子硬件的限制,如例如,稀疏连接性。In machine learning using QBM, deep learning can play an important role. One benefit of deep learning is that it can alleviate constraints on quantum hardware such as, for example, sparse connectivity.
使用混合计算机进行采样Sampling with a hybrid computer
图8示出了根据当前描述的系统、装置、制品和方法的训练玻尔兹曼机的方法800。图8包括对使用量子计算机进行采样的过程的描述。在整个本说明书和所附权利要求书中,使用了术语“样本”、“采样”、“采样装置”和“样本发生器”。在本文中,这些术语以与其在统计和统计分析以及电气工程领域中的相应用途类似的方式得以使用。8 illustrates a
在统计学中,样本是群体的子集。也就是说,从统计群体中收集的多个数据点。采样过程是通过定义的程序来执行这种收集。例如,在任何群体、数据库或对象集合中,样本可以指任何单独的数据、数据点、对象、或者数据、数据点和/或对象的子集。In statistics, a sample is a subset of a population. That is, multiple data points collected from a statistical population. The sampling process is performed through a defined procedure to perform this collection. For example, in any population, database, or collection of objects, a sample may refer to any individual data, data point, object, or subset of data, data points, and/or objects.
在电气工程和相关学科中,采样涉及收集模拟信号或其他某个物理系统的多个测量结果。这是将连续信号转换成离散信号。例如,变量X的第i个样本可以通过X(i)来表示。In electrical engineering and related disciplines, sampling involves collecting an analog signal or multiple measurements of some other physical system. This is to convert a continuous signal into a discrete signal. For example, the ith sample of variable X can be represented by X(i) .
在包括对物理系统的模拟、计算(尤其是模拟计算)的许多领域中,上述意义合并。混合计算机可以从模拟计算机中提取样本。作为样本提供者的模拟计算机是“样本发生器”的示例。模拟计算机可以被配置用于从统计分布中提供样本。概率分布向群体中的每个数据点分配对应的被采样概率。The above meanings merge in many fields including simulation, computing (especially analog computing) of physical systems. Hybrid computers can take samples from analog computers. An analog computer as a sample provider is an example of a "sample generator". A simulation computer can be configured to provide samples from a statistical distribution. A probability distribution assigns a corresponding probability of being sampled to each data point in a population.
如量子处理器(例如,图1的量子处理器139)等模拟处理器、并且特别是被设计用于执行量子退火和/或绝热量子计算的量子处理器可以作为样本发生器而进行操作。此处,每个样本都对应于处理器的状态,并且群体对应于处理器的所有可能状态。将模拟处理器用作样本发生器可以是针对某些应用而操作处理器的优选模式。相比于例如使用模拟处理器来寻找对优化问题进行编码的哈密尔顿算子的低能态或优选态,将模拟处理器作为样本发生器而进行操作还可以使更广泛范围的问题得到解决。An analog processor, such as a quantum processor (eg,
在一些示例中,包括如图2中所示出的量子处理器的采样装置利用物理系统中的内在随机性以及相关联的测量动作作为随机性来源。这种系统从甚至高度多模式分布中提供样本。在一些示例中,采样率比来自数字计算机的可能采样率更快。在一些示例中,热效应有助于随机性。在一些示例中,量子效应有助于随机性。在一些示例中,量子效应和热效应两者都有助于随机性。In some examples, a sampling device including a quantum processor as shown in FIG. 2 utilizes inherent randomness in physical systems and associated measurement actions as a source of randomness. Such systems provide samples from even highly multimodal distributions. In some examples, the sampling rate is faster than possible from a digital computer. In some examples, thermal effects contribute to randomness. In some examples, quantum effects contribute to randomness. In some examples, both quantum and thermal effects contribute to randomness.
在理想的非量子物理系统中,样本可以通过如玻尔兹曼分布等统计分布控制,在所述统计分布中,概率随能量的逆指数变化,使得高能态具有低概率,并且低能态具有高概率。在一些示例中,高温下的采样装置产生随机样本。In an ideal non-quantum physical system, the sample can be governed by a statistical distribution such as the Boltzmann distribution, in which the probability varies exponentially with the inverse of energy, such that high-energy states have low probability and low-energy states have high probability. In some examples, the sampling device at high temperature generates random samples.
在非理想的非量子物理系统中,样本可以通过不同的统计分布来控制,并且可用统计分布可能不同于目标分布。虽然从目标分布中采样可能是期望的,但在某些情况下,采样过程可能会变得棘手。In non-ideal, non-quantum physical systems, the samples can be governed by different statistical distributions, and the available statistical distribution may differ from the target distribution. While sampling from the target distribution may be desirable, in some cases the sampling process can become tricky.
在一些物理系统中,热效应可能与量子效应竞争。量子效应也可以提供随机性来源。In some physical systems, thermal effects may compete with quantum effects. Quantum effects can also provide a source of randomness.
在理想的量子物理系统中,样本可以通过量子力学来控制。样本可能受哈密尔顿算子中存在非对角项以及对系统进行测量的动作的影响。在哈密尔顿算子中具有很大的非对角项的情况下,在给定很短的演化时间的情况下,可以有效地使系统随机化。在某些情况下,采样装置可以从受热效应和量子效应两者控制的可用统计分布中产生样本。In an ideal quantum physical system, samples can be controlled by quantum mechanics. The samples may be affected by the presence of off-diagonal terms in the Hamiltonian and the act of making measurements on the system. With large off-diagonal terms in the Hamiltonian, the system can be effectively randomized given a very short evolution time. In some cases, the sampling device can generate samples from available statistical distributions governed by both thermal and quantum effects.
图8示出了可由电路系统执行以为了展示采样过程的目的而根据函数创建一组变量的样本的方法800。这些动作中的一个或多个可以由或者经由一个或多个电路、例如一个或多个硬件处理器执行。在一些示例中,包括混合计算机(如图1的混合计算机100)的采样装置执行方法800中的动作。FIG. 8 illustrates a
在802处,采样装置接收定义了采样过程的一组参数。在一些示例中,参数包括目标函数。在一些实施方式中,参数包括实施目标函数的问题哈密尔顿算子。在一些示例中,采样装置接收包括待提取样本的数量的参数以及如退火时间等附加参数。在一些示例中,之前接收到或提供了所接收参数中的一个或多个,并且接收了使用一个或多个参数的选择。在一些实施方式中,采样装置默认使用一个或多个参数。At 802, the sampling device receives a set of parameters that define a sampling process. In some examples, the parameters include an objective function. In some embodiments, the parameters include the problem Hamiltonian implementing the objective function. In some examples, the sampling device receives parameters including the number of samples to be extracted and additional parameters such as annealing time. In some examples, one or more of the received parameters were previously received or provided, and a selection to use the one or more parameters was received. In some embodiments, the sampling device uses one or more parameters by default.
在804处,采样装置开始或继续迭代循环,如“for”循环。迭代遍及样本的数量。在806处,采样装置将量子处理器初始化为初始哈密尔顿算子的基态。由于初始哈密尔顿算子的基态是可接近的,所以选择了初始哈密尔顿算子。在动作804期间,初始哈密尔顿算子是量子处理器的瞬时哈密尔顿算子。示例初始化哈密尔顿算子包括非对角单量子位项。At 804, the sampling device begins or continues an iterative loop, such as a "for" loop. Iterate over the number of samples. At 806, the sampling device initializes the quantum processor to the ground state of the initial Hamiltonian. Since the ground state of the initial Hamiltonian is accessible, the initial Hamiltonian is chosen. During
在808处,如通过其瞬时哈密尔顿算子所描述的量子处理器朝着问题哈密尔顿算子HP演化。本文中进一步详细地描述了包括图9和图10的示例方法的演化过程。At 808, the quantum processor as described by its instantaneous Hamiltonianevolves towards the problem Hamiltonian HP. The evolution of the example method including FIGS. 9 and 10 is described in further detail herein.
在810处,采样装置读出量子处理器的最终状态。在一些实施方式中,读出的结果被返回。在一些实施方式示例中,读出的结果被存储。At 810, the sampling device reads out the final state of the quantum processor. In some embodiments, the results of the readout are returned. In some implementation examples, the results of the readout are stored.
在812处,采样装置更新for循环的计数器。在未使用“for”循环的一些示例中,类似的控制变量被更新。在814处,采样装置对用于控制循环的变量进行测试。如果循环要继续,则由采样装置进行的处理在806处继续。如果循环要终止,则在816处,采样装置记录在循环806至810中获得的所述多个样本。At 812, the sampling device updates the counter of the for loop. In some examples where a "for" loop is not used, similar control variables are updated. At 814, the sampling device tests the variables used to control the loop. If the loop is to continue, processing by the sampling device continues at 806 . If the loop is to terminate, at 816 the sampling device records the plurality of samples obtained in loops 806-810.
在一些示例中,采样装置按照能量值对所述多个样本进行排序。能量值是解决方案质量的指标。在一些示例中,采样装置返回在循环806至810中获得的所述一个或多个样本。In some examples, the sampling device orders the plurality of samples by energy value. The energy value is an indicator of the quality of the solution. In some examples, the sampling device returns the one or more samples obtained in loops 806-810.
在当前描述的系统和方法的一些实施例中,计算子系统104不一定被提供和/或不一定被用于从给定分布中获得样本。例如,可以使用如量子蒙特卡罗等一种或多种经典启发法来生成给定分布(如量子玻尔兹曼分布)或从其中采样。这种方法可以由例如经典的数字处理器102(在这种实施例中,其可以或者可以不是图1的混合计算机100的一部分)和/或一个或多个其他经典处理器来执行。In some embodiments of the presently described systems and methods, the
用于演化量子处理器的示例方法Example Method for Evolving Quantum Processors
图9是流程图,示出了使用分段演化时间表来操作量子处理器的方法900。例如,量子处理器可以是图1的量子处理器139。方法900描述了在一些实施方式中与图8中描述的演化相关联的动作。方法900可以由遵循存储在非暂态处理可读介质上的一系列处理器可读指令的处理器来实施。在一些实施例中,方法900由如混合计算机(例如,图1的混合计算机100)等专业装置执行。作为示例,将关于包括量子处理器的混合计算机来描述方法900。9 is a flow diagram illustrating a
在902处,混合计算机将量子处理器初始化为初始哈密尔顿算子的基态。初始哈密尔顿算子可以具有可接近的基态。在904处,混合计算机使瞬时哈密尔顿算子在第一时间段内以第一速率朝着最终哈密尔顿算子演化。这是演化时间表的第一部分。At 902, the hybrid computer initializes the quantum processor to the ground state of the initial Hamiltonian. The initial Hamiltonian can have an accessible ground state. At 904, the hybrid computer causes the instantaneous Hamiltonian to evolve towards the final Hamiltonian at a first rate for a first time period. This is the first part of the evolutionary timeline.
混合计算机使用的演化时间表的第一部分可能变化。在一些实施方式中,演化是线性的。在一些实施方式中,演化是非线性的。在线性演化中,演化速率是恒定的。在非线性演化中,演化速率变化,并且平均速率可以用于表征第一时间段内的速率。在一些实施方式中,演化的第一部分是单调的。在一些实施方式中,演化的第一部分是非单调的。The first part of the evolutionary timeline for hybrid computer use may vary. In some embodiments, the evolution is linear. In some embodiments, the evolution is non-linear. In linear evolution, the evolution rate is constant. In nonlinear evolution, the evolution rate varies, and the average rate can be used to characterize the rate over a first time period. In some embodiments, the first part of the evolution is monotonic. In some embodiments, the first part of the evolution is non-monotonic.
在906处,混合计算机使瞬时哈密尔顿算子在第二时间段内以第二速率朝着最终哈密尔顿算子演化。在908处,可选地,混合计算机使瞬时哈密尔顿算子在第三时间段内以第三速率朝着最终哈密尔顿算子演化。At 906, the hybrid computer causes the instantaneous Hamiltonian to evolve toward the final Hamiltonian at a second rate for a second time period. At 908, the hybrid computer optionally causes the instantaneous Hamiltonian to evolve towards the final Hamiltonian at a third rate for a third time period.
当存在动作904、906和可选动作908时,这些动作包括分段演化。混合计算机可以使量子处理器根据分段演化时间表演化。在一些分段演化中,问题哈密尔顿算子不会从演化的一部分改变为下一部分。When there are
可以改变第一速率、第二速率和第三速率的相对值。有用的一组速率包括使第二速率远超过第一速率。在退火开始时,量子本征态之间的热跃迁非常快。量子处理器将处于平衡状态。随着退火的进行,跃迁变得较慢。最终,可能会发生冻结(freeze-out)。通常,在退火期间,不同的跃迁通道可能在不同点处冻结。例如,具有大汉明距离的两个状态之间的跃迁通道可能比具有小汉明距离的两个状态之间的跃迁通道更早冻结。换句话说,代替如线性演化等以恒定变化率表征的演化,存在非常缓慢地向上变化到某个点并且然后在那之后非常快速地变化的演化。The relative values of the first rate, the second rate, and the third rate may vary. A useful set of rates includes having the second rate far exceeding the first rate. At the onset of annealing, thermal transitions between quantum eigenstates are very fast. Quantum processors will be in equilibrium. The transitions become slower as the annealing progresses. Eventually, freeze-out may occur. Typically, different transition channels may freeze at different points during annealing. For example, a transition channel between two states with a large Hamming distance may freeze earlier than a transition channel between two states with a small Hamming distance. In other words, instead of evolution characterized by a constant rate of change, such as linear evolution, there is evolution that changes very slowly upwards to a certain point and then changes very rapidly after that.
遵循这种演化的动作增大了与来自量子处理器的样本的玻尔兹曼分布的拟合度。在第二速率超过第一速率的实施方式中,第一速率可能足够慢以至于没有跃迁通道将被冻结,并且因此保证了均衡分布。第二速率可以如此快以至于所有跃迁通道都冻结,并且因此热分布将不受影响。例如,在第二退火时期期间所花费的时间可以比恰好在第二时间段之前的瞬时哈密尔顿算子的隧穿速率的倒数更短。在开始时的扫描无限慢且在退火的第二部分中的扫描无限快的限制下,可以实现理想的玻尔兹曼分布。The act of following this evolution increases the fit to the Boltzmann distribution of samples from the quantum processor. In embodiments where the second rate exceeds the first rate, the first rate may be slow enough that no transition channel will be frozen, and thus ensure an even distribution. The second rate can be so fast that all transition channels freeze, and thus the thermal distribution will not be affected. For example, the time spent during the second annealing period may be shorter than the inverse of the tunneling rate of the instantaneous Hamiltonian just prior to the second period of time. An ideal Boltzmann distribution can be achieved under the limit of infinitely slow scans at the beginning and infinitely fast scans in the second part of the annealing.
在910中,混合计算机读出量子处理器的最终状态。可以返回或者可以记录系统的最终状态。在一些实施方式中,将一系列最终状态与相关联的一组第一时期一起记录。In 910, the hybrid computer reads out the final state of the quantum processor. Can return or can record the final state of the system. In some embodiments, a series of final states is recorded with an associated set of first periods.
方法900可以被概括为一种计算方法,所述计算方法包括将量子处理器初始化为第一初始状态以及使量子处理器根据分段演化时间表从初始状态朝着通过与第一计算问题相关联的问题哈密尔顿算子确定的第一最终状态演化。所述方法进一步包括读出第一最终状态,由此确定第一计算问题的第一结果。如所概括的方法900可以由系统根据存储在至少一个非暂态计算机或处理器可读介质上的处理器可读指令来实施。The
方法900可以用于解决除了采样问题以外的问题。例如,可以使用方法900来解决约束满足问题。混合计算机的用户可以定义包括退火时间表的两个或更多部分的分段退火时间表。在一些示例中,分段退火时间表包括多个线性退火时间表。在一些示例中,分段退火时间表既包括多个线性退火时间表又包括多个非线性退火时间表。
图10示出了使用分段演化时间表来操作量子处理器的方法1000。方法1000描述了在一些实施方式中与图8中描述的演化相关联的动作。方法1000可以由遵循存储在非暂态处理可读介质上的一系列处理器可读指令的处理器来实施。在一些实施例中,方法1000由如混合计算机(如图1的混合计算机100)等专业装置执行。作为示例,将关于混合计算机来描述方法1000。10 illustrates a
在1002处,混合计算机将量子处理器初始化为初始哈密尔顿算子的基态。初始哈密尔顿算子可以具有可接近的基态。在1004处,混合计算机使量子处理器的第一部分根据第一演化时间表朝着第一问题哈密尔顿算子演化。在1006处,混合计算机使量子处理器的第二部分根据第二演化时间表朝着第二问题哈密尔顿算子演化。At 1002, the hybrid computer initializes the quantum processor to the ground state of the initial Hamiltonian. The initial Hamiltonian can have an accessible ground state. At 1004, the hybrid computer evolves the first portion of the quantum processor toward the first problem Hamiltonian according to a first evolution schedule. At 1006, the hybrid computer evolves the second part of the quantum processor toward the second problem Hamiltonian according to a second evolution schedule.
在一些实施方式中,量子处理器的第一部分的演化与量子处理器的第二部分的演化在时间上基本上重叠。也就是说,动作1004的发生与动作1006适当地重叠。在一些实施方式中,第一部分的演化1004和第二部分的演化1006基本上同时开始,但一部分的演化在另一部分的演化之前结束。In some embodiments, the evolution of the first portion of the quantum processor substantially overlaps in time with the evolution of the second portion of the quantum processor. That is, the occurrence of
在一些实施方式中,量子处理器具有多个部分,每个部分根据相关联的演化时间表演化。在一些实施方式中,存在两个演化时间表。在一些实施方式中,存在量子处理器的三个或更多个部分。在一些实施方式中,存在与量子处理器的每个部分相关联的唯一演化时间表。In some embodiments, a quantum processor has multiple parts, each part evolving according to an associated evolution schedule. In some embodiments, there are two evolution schedules. In some embodiments, there are three or more parts of a quantum processor. In some embodiments, there is a unique evolutionary schedule associated with each part of the quantum processor.
图4中示出了可以支持多个不同演化时间表的量子处理器的示例。每条退火线都可以支持不同的演化时间表。An example of a quantum processor that can support multiple different evolution schedules is shown in FIG. 4 . Each annealing line can support a different evolution schedule.
在1008中,混合计算机读出量子处理器的最终状态。可以返回(在动作1010中所示)或者可以记录系统的最终状态。In 1008, the hybrid computer reads out the final state of the quantum processor. A return can be made (shown in act 1010) or the final state of the system can be recorded.
用于训练QBM的方法The method used to train the QBM
图11示出了根据本发明系统、装置、制品和方法的用于接收数据、分析所述数据以创建模型、测试所述模型并且利用所述模型的方法1100。这些动作中的一个或多个可以由或者经由一个或多个电路来执行,例如一个或多个处理器(例如,数字处理器、如量子处理器等模拟处理器、如绝热量子计算机和门级模型量子计算机等量子计算机、或者包括两者的混合计算机)。方法1100的示例包括四个动作1102、1104、1106和1108,但是本领域的技术人员将认识到,替代实施例可以省略某些动作和/或包括附加动作。11 illustrates a
在1102处,混合计算机对数据进行预处理。预处理中的示例动作包括接收数据、重新格式化数据(1110)以及回顾数据。在1110处,混合计算机重新格式化数据以便训练玻尔兹曼机。At 1102, the hybrid computer preprocesses the data. Example actions in preprocessing include receiving data, reformatting data (1110), and reviewing data. At 1110, the hybrid computer reformats the data for training the Boltzmann machine.
在1104处,混合计算机分析数据以便创建或训练模型。这组动作被称为训练阶段。在1106处,混合计算机测试所述模型。在1108处,混合计算机部署所述模型。总的来说,方法1100的一些示例包括预处理阶段(1102)、训练阶段(1104)、测试阶段(1106)以及部署阶段(1108)。At 1104, the hybrid computer analyzes the data in order to create or train a model. This set of movements is called the training phase. At 1106, the hybrid computer tests the model. At 1108, the hybrid computer deploys the model. In general, some examples of
在训练阶段1104的一些示例中,存在三个动作。在1112处,混合计算机预训练数据集。预训练中的示例动作包括根据所述数据或所述数据的子集训练初步模型。在一些示例中,预训练中使用的模型不同于训练中使用的模型。预训练可以包括验证动作。此处,计算机使用验证集来检查是正在进行预训练还是正确完成了预训练。在1114处,混合计算机使用数据集来建立或训练模型。本文中描述了训练中的示例动作。训练的动作使用所述数据来定义和更新模型中的变量。在训练之后,混合计算机和其他计算机可以使用所述模型来代替所述数据。在1116处,混合计算机使用附加数据集来验证模型。对于确保模型与数据集拟合但不与数据集过度拟合而言,验证是有用的。验证可以是预训练或训练的一部分。In some examples of
在测试阶段1106的一些示例中,存在两个动作。在1118处,混合计算机使用另外的附加数据集来进一步验证模型。进一步验证的示例包括当模型的潜在购买者或用户使用如动作1116中的过程但使用不同的数据集来验证模型时的情况。在1120处,混合计算机针对功能和非功能需求而进一步测试所述模型。功能要求包括用于针对模型的预期目的而测量所述模型的性能的测试。例如,如果模型将被用作分类器,则所述测试可以包括向模型给予分类任务。功能需求包括用于针对其他度量而测量所述模型的性能的测试。例如,可以测试模型的运行时间或空间需求。混合计算机或其他计算机可以在动作1114中执行的附加测试包括用户体验测试。In some examples of
在部署阶段1108的一些示例中,存在三个动作。在1122处,混合计算机或另一计算机将所述模型分发给一个或多个又其他计算机。又其他计算机的示例包括服务器、移动和手持式计算装置等。在1124处,混合计算机或所述一个或多个其他计算机将所述模型用于预期目的或机器学习应用。在1126处,监测模型操作。监测模型的操作可以包括例如记录结果、回顾结果、评估模型适合于其预期目的还是机器学习应用、以及决定是否重新训练、重新测试和/或重新部署所述模型。In some examples of
在上面参照图11所描述的示例中,系统可以被建模为包含可见变量和隐藏变量的伊辛系统,其中,系统的总能量由上面参照图5描述的伊辛哈密尔顿算子以及玻尔兹曼机给出。对于量子处理器来说,哈密尔顿算子参数可以是局部量子位偏置和耦合器值。在平衡状态下,每种配置的可见变量和隐藏变量可以具有由依赖于横向伊辛哈密尔顿算子的本征值的玻尔兹曼分布给出的概率,如上面参考图6所述。类似地,观察到可见变量的状态的概率可以具有玻尔兹曼分布。In the example described above with reference to FIG. 11 , the system can be modeled as an Ising system containing visible and hidden variables, where the total energy of the system is determined by the Ising Hamiltonian described above with reference to FIG. 5 and the Boltz Mann machine gives. For quantum processors, the Hamiltonian parameters can be local qubit biases and coupler values. In equilibrium, the visible and hidden variables of each configuration may have probabilities given by a Boltzmann distribution that depends on the eigenvalues of the transverse Ising Hamiltonian, as described above with reference to FIG. 6 . Similarly, the probability of observing a state of a visible variable can have a Boltzmann distribution.
图12示出了用于在作为对图11的动作1102的执行的示例的训练阶段中分析数据的方法1200。对于方法1200,与本文中所教导的其他方法一样,各个动作可以以与所展示和描述的顺序不同的顺序执行。另外,所述方法可以省略一些动作和/或采用附加动作。这些动作中的一个或多个可以由或者经由一个或多个电路来执行,例如一个或多个处理器(例如,如微处理器等数字处理器、如量子处理器等模拟处理器、包括数字处理器和模拟处理器的混合计算机、包括数字处理器和量子计算机的混合计算机)。如图1的计算机100等混合计算机可以执行方法1200中的动作中的一个或多个。FIG. 12 shows a
在1202处,混合计算机接收数据集。在一些示例中,混合计算机接收要关于所述数据集而更新的模型。所述模型可以例如是具有通过伊辛哈密尔顿算子或横向伊辛哈密尔顿算子给出的能量的伊辛系统,如上所述。所述模型包括参数和值。例如,所述模型可以包括偏置和耦合参数{ha,Jab}以及量子位隧穿振幅与温度之比Δa/T。在一些示例中,混合计算机接收一个或多个超参数,所述超参数定义了混合计算机将如何考虑给定数据集而训练所述模型。At 1202, the hybrid computer receives the dataset. In some examples, the hybrid computer receives a model to be updated with respect to the dataset. The model may for example be an Ising system with energy given by the Ising Hamiltonian or the transverse Ising Hamiltonian, as described above. The model includes parameters and values. For example, the model may include bias and coupling parameters {ha,Jab} and the ratio of qubit tunneling amplitude to temperature,Δa /T. In some examples, the hybrid computer receives one or more hyperparameters that define how the hybrid computer will train the model considering a given dataset.
在1204处,混合计算机初始化所述模型。初始模型的示例包括随机模型、接收模型、预指定模型等。也就是说,将一个或多个参数值设置为随机值、接收值、预指定值或前述值的混合。在一些示例中,所述模型包括图形模型。在一些示例中,所述模型的初始值包括图形模型的初始值,所述图形模型的初始值包括图形集的一组权重和边到约为零的随机值。At 1204, the hybrid computer initializes the model. Examples of initial models include random models, receiver models, pre-specified models, and the like. That is, one or more parameter values are set to random values, received values, pre-specified values, or a mixture of the foregoing. In some examples, the model includes a graphical model. In some examples, the initial values of the model comprise initial values of a graph model comprising a set of weights and edges of the graph set to random values around zero.
在1206处,混合计算机开始或继续第一迭代循环,如“for”循环。混合计算机对数据集的部分进行迭代。数据集的一部分的示例是图像,其中数据集是一组图像。另一个示例是图像的一部分。At 1206, the hybrid computer begins or continues a first iterative loop, such as a "for" loop. The hybrid computer iterates over portions of the dataset. An example of a part of a dataset is an image, where a dataset is a set of images. Another example is part of an image.
在1208处,混合计算机开始或继续第二迭代循环,如“for”循环。第二迭代循环是第一迭代循环的内部循环。混合计算机对将从量子处理器中提取的样本的数量的索引进行迭代。迭代继续,直到提取到期望数量个样本或达到其他某个停止条件。At 1208, the hybrid computer begins or continues a second iterative loop, such as a "for" loop. The second iteration loop is an inner loop of the first iteration loop. The hybrid computer iterates over an index of the number of samples to be drawn from the quantum processor. The iteration continues until the desired number of samples are drawn or some other stopping condition is reached.
在1210处,根据所述模型从量子处理器中提取一系列样本中的样本。量子处理器被初始化为处于或接近初始哈密尔顿算子的基态。由于初始哈密尔顿算子的基态是可接近的,所以选择了初始哈密尔顿算子。初始哈密尔顿算子H0是量子处理器的瞬时哈密尔顿算子。示例初始化哈密尔顿算子包括非对角单量子位项。如通过其瞬时哈密尔顿算子所描述的量子处理器朝着问题哈密尔顿算子HP演化。对量子处理器进行读出。返回读出结果。这些结果被称为样本。At 1210, samples of a series of samples are extracted from the quantum processor according to the model. The quantum processor is initialized to be at or near the ground state of the initial Hamiltonian. Since the ground state of the initial Hamiltonian is accessible, the initial Hamiltonian is chosen. The initial Hamiltonian H0 is the instantaneous Hamiltonian of the quantum processor. Example initialization Hamiltonians include off-diagonal single-qubit terms. A quantum processor as described by its instantaneous Hamiltonianevolves towards the problem Hamiltonian HP. Readout to the quantum processor. Returns the readout result. These results are called samples.
在1212处,混合计算机对第二迭代循环的完成进行测试。混合计算机判定是否已提取到预指定数量个样本。如果已提取到预指定数量个样本(1212-是),则处理在1208处继续。如果尚未提取到预指定数量个样本(1212-否),则过程继续到动作1214。At 1212, the hybrid computer tests for completion of the second iterative loop. The mixing computer determines whether a pre-specified number of samples have been extracted. If the pre-specified number of samples have been extracted (1212-Yes), processing continues at 1208. If the pre-specified number of samples have not been extracted (1212-NO), the process continues to act 1214.
在1214处,混合计算机使用样本来更新模型,包括更新问题哈密尔顿算子。所述模型包括一个或多个参数,所述参数包括问题哈密尔顿算子。超参数确定如何关于样本而更新所述模型。At 1214, the hybrid computer uses the samples to update the model, including updating the problem Hamiltonian. The model includes one or more parameters including the problem Hamiltonian. Hyperparameters determine how to update the model with respect to samples.
在1216处,对数据集的当前部分的处理完成。在1216处,混合计算机测试第一循环的退出条件。混合计算机判定是否存在数据集的更多部分要处理。如果存在数据集的更多部分要处理(1216-是),则处理在1206处继续,并且继续为数据集的下一部分提取样本、等等。如果不存数据集的更多部分要处理(1216-否),则处理在1218处继续。At 1216, processing of the current portion of the dataset is complete. At 1216, the hybrid computer tests the exit condition of the first loop. The hybrid computer decides whether there are more parts of the data set to process. If there are more portions of the dataset to process (1216-Yes), processing continues at 1206 and continues to extract samples for the next portion of the dataset, and so on. If there are no more portions of the dataset to process (1216-NO), processing continues at 1218.
在1218处,混合计算机返回所述模型。例如,混合计算机将模型返回到另一计算机以供存储、测试等。At 1218, the hybrid computer returns the model. For example, a hybrid computer returns the model to another computer for storage, testing, etc.
在一些实施方式中,整个训练过程可以划分为三部分:1)训练;2)交叉验证;3)测试。可以以类似方式划分训练数据集以提供用于整个训练过程的这三个部分中的每个部分的数据。In some embodiments, the entire training process can be divided into three parts: 1) training; 2) cross-validation; 3) testing. The training dataset can be divided in a similar manner to provide data for each of the three parts of the overall training process.
在整个训练过程的第一部分中不使用量子位隧穿振幅与温度之比Δa/T的实施方式中,混合计算机可以在Δa/T的多于一个选定值下进行训练,然后执行交叉验证以确定Δa/T的哪个值产生优选的对数似然。In embodiments where the qubit tunneling amplitude to temperature ratioΔa /T is not used in the first part of the overall training process, the hybrid computer may train at more than one selected value ofΔa /T and then perform the crossover Validation to determine which value ofΔa /T yields the preferred log-likelihood.
以上描述的系统和方法相对于使用量子玻尔兹曼分布的机器学习的优点在于如D-Wave双量子计算机等量子退火机可以固有地从量子玻尔兹曼分布中产生样本。同一机器通常只可以近似来自经典玻尔兹曼分布的样本。使用足够强大的量子处理器,量子退火机可以能够非常快速地提供高质量样本,并且由此显著提高训练效率。An advantage of the systems and methods described above over machine learning using quantum Boltzmann distributions is that quantum annealers such as the D-Wave dual quantum computer can inherently generate samples from quantum Boltzmann distributions. The same machine can usually only approximate samples from the classical Boltzmann distribution. With a sufficiently powerful quantum processor, a quantum annealer can provide high-quality samples very quickly, and thereby significantly improve training efficiency.
当使用量子退火机来提供用于QBM训练的样本时,所述机器可以在量子位隧穿振幅Δa有限的退火时间表期间的所选时间执行投影测量。实施投影测量的一种方式是拥有具有两个速率的双部分退火时间表:第二速率超过第一速率,第一速率足够慢以保证均衡分布,并且第二速率足够快以至于所有跃迁通道都冻结并且热分布不受影响。When a quantum annealer is used to provide samples for QBM training, the machine can perform projection measurements at selected times during an annealing schedule where the qubit tunneling amplitudeΔa is limited. One way to implement projection measurements is to have a two-part annealing schedule with two rates: the second rate exceeds the first rate, the first rate is slow enough to guarantee an even distribution, and the second rate is fast enough that all transition channels are Freeze and heat distribution is not affected.
在参考图8至图12所描述的各种实施方式中,量子处理器可以是模拟处理器。In the various embodiments described with reference to Figures 8-12, the quantum processor may be an analog processor.
在一些实施方式中,不一定提供量子(或混合)计算机,并且可以例如由如图1的数字计算机102等一个或多个数字计算机以完全经典的方式执行以上所描述的方法。In some embodiments, a quantum (or hybrid) computer need not be provided, and the methods described above may be performed in a fully classical manner, eg by one or more digital computers, such as
对所展示的实施例的以上说明(包括在摘要中所描述的)并非旨在是穷尽的或者旨在把这些实施例限定于所公开的这些确切的形式。尽管为了说明的目的在本文中描述了具体实施例和示例,但是如相关领域的技术人员将会认识到的,可以在不脱离本公开的精神与范围的情况下做出各种等效修改。本文中提供的对各个实施例的教导可以应用于其他模拟处理器,不一定是以上总体描述的示例性量子处理器。The above description of illustrated embodiments, including what is described in the Abstract, is not intended to be exhaustive or to limit the embodiments to the precise forms disclosed. Although specific embodiments of, and examples for, are described herein for illustrative purposes, various equivalent modifications can be made without departing from the spirit and scope of the present disclosure, as those skilled in the relevant art will recognize. The teachings of the various embodiments provided herein may be applied to other analog processors, not necessarily the exemplary quantum processors generally described above.
以上所描述的各实施例可以组合起来以提供进一步实施例。在本说明书中引用和/或在应用数据表中列出并且共同分配给D-Wave系统公司(D-Wave Systems,Inc.)的所有美国专利、美国专利申请公开、美国专利申请(包括但不限于于2015年10月16日提交的美国专利申请序列号62/242,626)在它们不与本文中的特定教导和定义不一致的程度上通过引用以其全文结合在此。如有必要,可以对实施例的多个方面进行修改,以利用各专利、申请和出版物中的系统、电路及概念来提供更进一步的实施例。The various embodiments described above can be combined to provide further embodiments. All U.S. patents, U.S. patent application publications, U.S. patent applications (including but not Limited to US Patent Application Serial No. 62/242,626, filed October 16, 2015), are hereby incorporated by reference in their entirety to the extent they are not inconsistent with the specific teachings and definitions herein. Aspects of the embodiments can be modified, if necessary, to utilize the systems, circuits, and concepts of various patents, applications, and publications to provide still further embodiments.
鉴于以上的详细说明,可以对实施例做出这些和其他改变。总之,在以下权利要求书中,所使用的术语不应当被解释为将权利要求书局限于本说明书和权利要求书中所公开的特定实施例,而是应当被解释为包括所有可能的实施例、连同这些权利要求有权获得的等效物的整个范围。相应地,权利要求书并不受到本公开的限制。These and other changes can be made to the embodiments in light of the above detailed description. In sum, in the following claims, the terms used should not be construed to limit the claims to this specification and the specific embodiments disclosed in the claims, but should be construed to include all possible embodiments, Together these claims are entitled to the full scope of equivalents. Accordingly, the claims are not to be limited by the present disclosure.
| Application Number | Priority Date | Filing Date | Title |
|---|---|---|---|
| US201562242626P | 2015-10-16 | 2015-10-16 | |
| US62/242,626 | 2015-10-16 | ||
| PCT/US2016/057208WO2017066695A1 (en) | 2015-10-16 | 2016-10-14 | Systems and methods for creating and using quantum boltzmann machines |
| Publication Number | Publication Date |
|---|---|
| CN108369668A CN108369668A (en) | 2018-08-03 |
| CN108369668Btrue CN108369668B (en) | 2022-05-31 |
| Application Number | Title | Priority Date | Filing Date |
|---|---|---|---|
| CN201680073180.3AActiveCN108369668B (en) | 2015-10-16 | 2016-10-14 | Systems and methods for creating and using quantum Boltzmann machines |
| Country | Link |
|---|---|
| US (1) | US11062227B2 (en) |
| EP (1) | EP3362952A4 (en) |
| CN (1) | CN108369668B (en) |
| WO (1) | WO2017066695A1 (en) |
| Publication number | Priority date | Publication date | Assignee | Title |
|---|---|---|---|---|
| CA2881033C (en) | 2015-02-03 | 2016-03-15 | 1Qb Information Technologies Inc. | Method and system for solving lagrangian dual of a constrained binary quadratic programming problem |
| US11797641B2 (en) | 2015-02-03 | 2023-10-24 | 1Qb Information Technologies Inc. | Method and system for solving the lagrangian dual of a constrained binary quadratic programming problem using a quantum annealer |
| WO2017075246A1 (en) | 2015-10-27 | 2017-05-04 | D-Wave Systems Inc. | Systems and methods for degeneracy mitigation in a quantum processor |
| US10599988B2 (en) | 2016-03-02 | 2020-03-24 | D-Wave Systems Inc. | Systems and methods for analog processing of problem graphs having arbitrary size and/or connectivity |
| US10817796B2 (en) | 2016-03-07 | 2020-10-27 | D-Wave Systems Inc. | Systems and methods for machine learning |
| JP6966177B2 (en) | 2016-03-11 | 2021-11-10 | ワンキュービー インフォメーション テクノロジーズ インク. | Methods and systems for quantum computing |
| CN107292326A (en)* | 2016-03-31 | 2017-10-24 | 阿里巴巴集团控股有限公司 | The training method and device of a kind of model |
| US11017289B2 (en)* | 2016-05-09 | 2021-05-25 | 1Qb Information Technologies Inc. | Method and system for improving a policy for a stochastic control problem |
| US10044638B2 (en) | 2016-05-26 | 2018-08-07 | 1Qb Information Technologies Inc. | Methods and systems for quantum computing |
| US9870273B2 (en) | 2016-06-13 | 2018-01-16 | 1Qb Information Technologies Inc. | Methods and systems for quantum ready and quantum enabled computations |
| JP6542165B2 (en)* | 2016-07-15 | 2019-07-10 | 株式会社東芝 | Computing device and sampling method |
| WO2018104861A1 (en)* | 2016-12-05 | 2018-06-14 | 1Qb Information Technologies Inc. | Method for estimating the thermodynamic properties of a quantum ising model with transverse field |
| US10977546B2 (en)* | 2017-11-29 | 2021-04-13 | International Business Machines Corporation | Short depth circuits as quantum classifiers |
| CN111670438B (en) | 2017-12-01 | 2023-12-29 | 1Qb信息技术公司 | System and method for randomly optimizing robust reasoning problem |
| US11586915B2 (en) | 2017-12-14 | 2023-02-21 | D-Wave Systems Inc. | Systems and methods for collaborative filtering with variational autoencoders |
| AU2019209295B2 (en)* | 2018-01-18 | 2021-07-29 | Google Llc | Classification using quantum neural networks |
| WO2019144118A1 (en)* | 2018-01-22 | 2019-07-25 | D-Wave Systems Inc. | Systems and methods for improving performance of an analog processor |
| US10838792B1 (en)* | 2018-03-07 | 2020-11-17 | Quantum Benchmark, Inc. | Systems and methods for reconstructing noise from pauli fidelities |
| WO2020036673A2 (en)* | 2018-06-14 | 2020-02-20 | Rigetti & Co., Inc. | Modular quantum processor architectures |
| US11568293B2 (en)* | 2018-07-18 | 2023-01-31 | Accenture Global Solutions Limited | Quantum formulation independent solver |
| WO2020037301A1 (en)* | 2018-08-17 | 2020-02-20 | Zapata Computing, Inc. | Hybrid quantum-classical computer system and method for performing function inversion |
| US11847534B2 (en) | 2018-08-31 | 2023-12-19 | D-Wave Systems Inc. | Systems and methods for operation of a frequency multiplexed resonator input and/or output for a superconducting device |
| CN109190247B (en)* | 2018-09-01 | 2020-11-06 | 刘照森 | Application of optimized quantum Monte-Carlo simulation method in research of complex magnetic system |
| CN114264372A (en) | 2018-09-05 | 2022-04-01 | 阿里巴巴集团控股有限公司 | Quantum bit detection system and detection method |
| US11676056B2 (en)* | 2018-09-11 | 2023-06-13 | International Business Machines Corporation | Calculating excited state properties of a molecular system using a hybrid classical-quantum computing system |
| EP3861488A4 (en) | 2018-10-02 | 2021-11-24 | Zapata Computing, Inc. | CLASSIC HYBRID QUANTUM COMPUTER FOR THE SOLUTION OF LINEAR SYSTEMS |
| US11636370B2 (en) | 2018-10-12 | 2023-04-25 | Zapata Computing, Inc. | Quantum computer with improved continuous quantum generator |
| US11593174B2 (en) | 2018-10-16 | 2023-02-28 | D-Wave Systems Inc. | Systems and methods for scheduling programs for dedicated execution on a quantum processor |
| JP7137064B2 (en)* | 2018-10-19 | 2022-09-14 | 富士通株式会社 | Optimization device and control method for optimization device |
| US11605015B2 (en) | 2018-10-24 | 2023-03-14 | Zapata Computing, Inc. | Hybrid quantum-classical computer system for implementing and optimizing quantum Boltzmann machines |
| US11580435B2 (en) | 2018-11-13 | 2023-02-14 | Atom Computing Inc. | Scalable neutral atom based quantum computing |
| US10504033B1 (en) | 2018-11-13 | 2019-12-10 | Atom Computing Inc. | Scalable neutral atom based quantum computing |
| US11995512B2 (en) | 2018-11-13 | 2024-05-28 | Atom Computing Inc. | Scalable neutral atom based quantum computing |
| US10333503B1 (en) | 2018-11-26 | 2019-06-25 | Quantum Machines | Quantum controller with modular and dynamic pulse generation and routing |
| JP7108186B2 (en)* | 2018-11-27 | 2022-07-28 | 富士通株式会社 | Optimization device and control method for optimization device |
| EP3891668A4 (en) | 2018-12-06 | 2023-01-25 | 1QB Information Technologies Inc. | QUANTUM CALCULATION DRIVEN BY ARTIFICIAL INTELLIGENCE |
| US10454459B1 (en) | 2019-01-14 | 2019-10-22 | Quantum Machines | Quantum controller with multiple pulse modes |
| US11537926B2 (en)* | 2019-01-17 | 2022-12-27 | D-Wave Systems Inc. | Systems and methods for hybrid algorithms using cluster contraction |
| CN109800883B (en)* | 2019-01-25 | 2020-12-04 | 合肥本源量子计算科技有限责任公司 | Quantum machine learning framework construction method, device and quantum computer |
| US11900264B2 (en) | 2019-02-08 | 2024-02-13 | D-Wave Systems Inc. | Systems and methods for hybrid quantum-classical computing |
| US11625612B2 (en) | 2019-02-12 | 2023-04-11 | D-Wave Systems Inc. | Systems and methods for domain adaptation |
| US11783222B2 (en)* | 2019-02-12 | 2023-10-10 | Microsoft Technology Licensing, Llc | Quantum algorithms for supervised training of quantum boltzmann machines |
| EP3906510A1 (en)* | 2019-02-15 | 2021-11-10 | Google LLC | Increasing representation accuracy of quantum simulations without additional quantum resources |
| US20200279185A1 (en)* | 2019-02-28 | 2020-09-03 | Microsoft Technology Licensing, Llc | Quantum relative entropy training of boltzmann machines |
| US10997520B2 (en)* | 2019-03-05 | 2021-05-04 | International Business Machines Corporation | Single-cycle operations using controllably mediated exchange-type interactions between qubits |
| US10505524B1 (en) | 2019-03-06 | 2019-12-10 | Quantum Machines | Synchronization in a quantum controller with modular and dynamic pulse generation and routing |
| US11593695B2 (en)* | 2019-03-26 | 2023-02-28 | D-Wave Systems Inc. | Systems and methods for hybrid analog and digital processing of a computational problem using mean fields |
| US11488049B2 (en) | 2019-04-09 | 2022-11-01 | Zapata Computing, Inc. | Hybrid quantum-classical computer system and method for optimization |
| US12093787B2 (en) | 2019-04-10 | 2024-09-17 | D-Wave Systems Inc. | Systems and methods for improving the performance of non-stoquastic quantum devices |
| US11164100B2 (en) | 2019-05-02 | 2021-11-02 | Quantum Machines | Modular and dynamic digital control in a quantum controller |
| US11537928B2 (en) | 2019-05-03 | 2022-12-27 | Zapata Computing, Inc. | Quantum-classical system and method for matrix computations |
| US12039465B2 (en) | 2019-05-31 | 2024-07-16 | D-Wave Systems Inc. | Systems and methods for modeling noise sequences and calibrating quantum processors |
| JP7579273B2 (en) | 2019-06-11 | 2024-11-07 | ディー-ウェイブ システムズ インコーポレイテッド | Input/output system and method for superconducting devices - Patents.com |
| WO2020255076A1 (en) | 2019-06-19 | 2020-12-24 | 1Qb Information Technologies Inc. | Method and system for mapping a dataset from a hilbert space of a given dimension to a hilbert space of a different dimension |
| EP3754564A1 (en) | 2019-06-21 | 2020-12-23 | Fujitsu Limited | Ising machine data input apparatus and method of inputting data into an ising machine |
| JP7600149B2 (en) | 2019-07-12 | 2024-12-16 | ディー-ウェイブ システムズ インコーポレイテッド | System and method for simulating a quantum processor |
| US10931267B1 (en) | 2019-07-31 | 2021-02-23 | Quantum Machines | Frequency generation in a quantum controller |
| US11714730B2 (en) | 2019-08-20 | 2023-08-01 | D-Wave Systems Inc. | Systems and methods for high availability, failover and load balancing of heterogeneous resources |
| US11245390B2 (en) | 2019-09-02 | 2022-02-08 | Quantum Machines | Software-defined pulse orchestration platform |
| US10862465B1 (en) | 2019-09-02 | 2020-12-08 | Quantum Machines | Quantum controller architecture |
| US11336462B1 (en) | 2019-09-10 | 2022-05-17 | Wells Fargo Bank, N.A. | Systems and methods for post-quantum cryptography optimization |
| US12431879B2 (en) | 2019-09-25 | 2025-09-30 | Q.M Technologies Ltd. | Classical processor for quantum control |
| US11769070B2 (en) | 2019-10-09 | 2023-09-26 | Cornell University | Quantum computing based hybrid solution strategies for large-scale discrete-continuous optimization problems |
| JP7741802B2 (en)* | 2019-12-03 | 2025-09-18 | 1キュービー インフォメーション テクノロジーズ インコーポレイテッド | Systems and methods for enabling access to physics-inspired computers and physics-inspired computer simulators |
| US11687815B2 (en)* | 2019-12-16 | 2023-06-27 | International Business Machines Corporation | Estimation of an expected energy value of a Hamiltonian |
| US11507873B1 (en) | 2019-12-16 | 2022-11-22 | Quantum Machines | Highly scalable quantum control |
| US12126713B1 (en) | 2020-01-17 | 2024-10-22 | Wells Fargo Bank, N.A. | Systems and methods for quantum computing threat detection |
| US11334667B1 (en) | 2020-01-17 | 2022-05-17 | Wells Fargo Bank, N.A. | Systems and methods for disparate quantum computing threat detection |
| US11366897B1 (en) | 2020-01-17 | 2022-06-21 | Wells Fargo Bank, N.A. | Systems and methods for layered quantum computing detection |
| US12299593B2 (en) | 2020-02-05 | 2025-05-13 | D-Wave Systems Inc. | Systems and methods for optimizing annealing parameters |
| CN111191742B (en)* | 2020-02-11 | 2024-05-31 | 天津师范大学 | Sliding window length self-adaptive adjustment method for multi-source heterogeneous data stream |
| CA3167402A1 (en) | 2020-02-13 | 2021-08-19 | Yudong CAO | Hybrid quantum-classical adversarial generator |
| CN114730385B (en)* | 2020-02-28 | 2025-05-06 | 华为技术有限公司 | A training method for quantum Boltzmann machine and hybrid computer |
| EP4115352A4 (en) | 2020-03-02 | 2024-04-24 | Atom Computing Inc. | Scalable neutral atom based quantum computing |
| US11126926B1 (en) | 2020-03-09 | 2021-09-21 | Quantum Machines | Concurrent results processing in a quantum control system |
| CA3169294A1 (en)* | 2020-03-10 | 2021-09-16 | Pooya Ronagh | Method and system for estimating physical quantities of a plurality of models using a sampling device |
| US11562211B2 (en)* | 2020-04-15 | 2023-01-24 | Fujitsu Limited | System local field matrix updates |
| CN111612151B (en)* | 2020-05-27 | 2023-06-16 | 山东浪潮科学研究院有限公司 | Quantum computer control method, system and related components |
| US11043939B1 (en) | 2020-08-05 | 2021-06-22 | Quantum Machines | Frequency management for quantum control |
| EP3961516A1 (en) | 2020-08-26 | 2022-03-02 | Fujitsu Limited | A framework for automated generation of qubo or higher order formulations from high-level source code |
| US20220101186A1 (en)* | 2020-09-29 | 2022-03-31 | International Business Machines Corporation | Machine-learning model retraining detection |
| US11762733B2 (en)* | 2020-11-23 | 2023-09-19 | Electronics And Telecommunications Research Institute | Quantum computing system and operation method thereof |
| CA3204447A1 (en) | 2021-01-13 | 2022-07-21 | Yudong CAO | Quantum enhanced word embedding for natural language processing |
| CA3212467A1 (en) | 2021-03-23 | 2022-09-29 | Guoming WANG | Classically-boosted quantum optimization |
| US12132486B2 (en) | 2021-04-08 | 2024-10-29 | Quantum Machines | System and method for pulse generation during quantum operations |
| US11671180B2 (en) | 2021-04-28 | 2023-06-06 | Quantum Machines | System and method for communication between quantum controller modules |
| US12242406B2 (en) | 2021-05-10 | 2025-03-04 | Q.M Technologies Ltd. | System and method for processing between a plurality of quantum controllers |
| CN113361717B (en)* | 2021-05-28 | 2022-09-23 | 北京百度网讯科技有限公司 | Training method and device of quantum state data processing model, electronic equipment and medium |
| CN118339566A (en) | 2021-06-11 | 2024-07-12 | 西克公司 | System and method for flux biasing of superconducting quantum circuits |
| US12165011B2 (en) | 2021-06-19 | 2024-12-10 | Q.M Technologies Ltd. | Error detection mechanism for quantum bits |
| US12332682B2 (en) | 2021-07-21 | 2025-06-17 | Q.M Technologies Ltd. | System and method for clock synchronization and time transfer between quantum orchestration platform elements |
| CN114125126A (en)* | 2021-12-06 | 2022-03-01 | Oppo广东移动通信有限公司 | Intermodulation interference positioning method and device and storage medium |
| CN114372577B (en)* | 2022-01-10 | 2024-01-02 | 北京有竹居网络技术有限公司 | Method, apparatus, device and medium for managing states of a quantum system |
| US11809839B2 (en) | 2022-01-18 | 2023-11-07 | Robert Lyden | Computer language and code for application development and electronic and optical communication |
| US12111352B2 (en) | 2022-01-24 | 2024-10-08 | Quantum Machines | Machine learning for syncing multiple FPGA ports in a quantum system |
| US12314815B2 (en) | 2022-02-28 | 2025-05-27 | Q.M Technologies Ltd. | Auto-calibrating mixers in a quantum orchestration platform |
| CN114611685B (en)* | 2022-03-08 | 2024-09-20 | 安谋科技(中国)有限公司 | Feature processing method, medium, device and program product in neural network model |
| US11915102B2 (en)* | 2022-03-30 | 2024-02-27 | Riverlane Ltd | Quantum computing apparatus and associated methods |
| CN114913922B (en)* | 2022-04-18 | 2024-09-20 | 上海图灵智算量子科技有限公司 | DNA sequence assembling method |
| EP4526813A1 (en) | 2022-05-19 | 2025-03-26 | Atom Computing Inc. | Devices and methods for cavity-based computing |
| US20230385672A1 (en)* | 2022-05-31 | 2023-11-30 | Quantum Machines | Quantum controller validation |
| KR102823936B1 (en)* | 2024-03-21 | 2025-06-24 | 주식회사 큐노바 | Solution apparatus and method for sampling qubits in quantum annealer |
| Publication number | Priority date | Publication date | Assignee | Title |
|---|---|---|---|---|
| US7135701B2 (en) | 2004-03-29 | 2006-11-14 | D-Wave Systems Inc. | Adiabatic quantum computation with superconducting qubits |
| WO2008083498A1 (en) | 2007-01-12 | 2008-07-17 | D-Wave Systems, Inc. | Systems, devices and methods for interconnected processor topology |
| US9015215B2 (en)* | 2008-05-20 | 2015-04-21 | D-Wave Systems, Inc. | Systems, methods, and apparatus for calibrating, controlling, and operating a quantum processor |
| US8242799B2 (en)* | 2010-11-16 | 2012-08-14 | Northrop Grumman Systems Corporation | System and method for phase error reduction in quantum systems |
| US9588940B2 (en)* | 2013-12-05 | 2017-03-07 | D-Wave Systems Inc. | Sampling from a set of spins with clamping |
| US10769545B2 (en)* | 2014-06-17 | 2020-09-08 | D-Wave Systems Inc. | Systems and methods employing new evolution schedules in an analog computer with applications to determining isomorphic graphs and post-processing solutions |
| CN104766167A (en)* | 2015-03-31 | 2015-07-08 | 浪潮集团有限公司 | Tax administration big data analysis method using restricted Boltzmann machine |
| Publication number | Publication date |
|---|---|
| US20180308007A1 (en) | 2018-10-25 |
| WO2017066695A1 (en) | 2017-04-20 |
| EP3362952A4 (en) | 2018-10-03 |
| EP3362952A1 (en) | 2018-08-22 |
| US11062227B2 (en) | 2021-07-13 |
| CN108369668A (en) | 2018-08-03 |
| Publication | Publication Date | Title |
|---|---|---|
| CN108369668B (en) | Systems and methods for creating and using quantum Boltzmann machines | |
| US20240256930A1 (en) | Systems and methods for performing quantum evolution in quantum computation | |
| JP7571187B2 (en) | Building and programming quantum hardware for the quantum annealing process | |
| US11880741B2 (en) | Systems and methods for embedding problems into an analog processor | |
| US20210019647A1 (en) | Systems and methods for machine learning | |
| Grant et al. | Adiabatic quantum computing and quantum annealing | |
| US9424526B2 (en) | Quantum processor based systems and methods that minimize a continuous variable objective function | |
| US9881256B2 (en) | Systems and methods for problem solving, useful for example in quantum computing | |
| Xin et al. | Quantum simulation of quantum channels in nuclear magnetic resonance | |
| Gardas et al. | Quantum neural networks to simulate many-body quantum systems | |
| Białas et al. | Analysis of autocorrelation times in neural Markov chain Monte Carlo simulations | |
| Tiwari et al. | Dynamics of two central spins immersed in spin baths | |
| Huang et al. | An empirical study of optimizers for quantum machine learning | |
| Lange et al. | Simulating the Two-Dimensional t-J Model at Finite Doping with Neural Quantum States | |
| US20240176842A1 (en) | Systems and methods for increasing diversity of samples | |
| Zhang et al. | Quantum continual learning on a programmable superconducting processor | |
| Pinilla et al. | Positive-phase temperature scaling for quantum-assisted Boltzmann machine training | |
| Hu et al. | Scalable Simulation of Quantum Measurement Process with Quantum Computers | |
| Mattesi | Hybrid Quantum-Classical Generative Adversarial Networks: a Study on Image Analysis and Probability Distribution Loading | |
| US20240135218A1 (en) | Systems and methods for quantum annealing-assisted machine learning | |
| Zhou | Probing Z2 Quantum Spin Liquids Using Quantum Simulators | |
| Zhou | Probing ℤ₂ quantum spin liquids using quantum simulators | |
| XU | Quantum Machine Learning: Diverse Perspectives on Application Scenarios | |
| Cervantes Guevara | Quantum convolutional neural networks for high energy physics |
| Date | Code | Title | Description |
|---|---|---|---|
| PB01 | Publication | ||
| PB01 | Publication | ||
| SE01 | Entry into force of request for substantive examination | ||
| SE01 | Entry into force of request for substantive examination | ||
| GR01 | Patent grant | ||
| GR01 | Patent grant |