This application claims priority to U.S. provisional application No. 62/213,224 filed on 9/2/2015, which is incorporated herein by reference in its entirety.
This application contains a sequence listing in ASCII format that has been submitted electronically and is incorporated herein by reference in its entirety. A copy of the ASCII file was created at 29/7/2016, named 121301-04220_ sl. txt and having a size of 108,003 bytes.
Detailed Description
The present invention provides iRNA compositions that affect RNA transcript cleavage of programmed cell death ligand 1(PD-L1) gene mediated by the RNA-induced silencing complex (RISC). The gene may be present in a cell, for example, in a cell in a subject (e.g., a human). The use of these iRNAs enables targeted degradation of the mRNA of the corresponding gene (PD-L1 gene) in mammals.
The irnas of the invention have been designed to target the human PD-L1 gene, including portions of the gene that are conserved in PD-L1 homologs of other mammalian species. Without being limited by theory, it is believed that combinations or subcombinations of the foregoing properties, as well as specific target sites or specific modifications in these iRNA agents, result in better efficacy, stability, potency, durability, and safety of the irnas described herein.
Accordingly, the invention also provides methods of treating a patient suffering from a disease that would benefit from inhibiting or reducing expression of the PD-L1 gene (e.g., a PD-L1-related disease, e.g., an infection such as a viral infection (e.g., a hepatitis virus infection), or a cancer, e.g., a liver cancer such as hepatocellular carcinoma) using iRNA compositions that affect RNA transcript cleavage of the PD-L1 gene mediated by the RNA-induced silencing complex (RISC).
In particular, very low doses of irnas of the invention are capable of specifically and efficiently mediating RNA interference (RNAi), resulting in significant inhibition of expression of the corresponding gene (PD-L1 gene).
The iRNA of the present invention includes an iRNA having a length of about 30 nucleotides or less (e.g., a length of 15-30, 15-29, 15-28, 15-27, 15-26, 15-25, 15-24, 15-23, 15-22, 15-21, 15-20, 15-19, 15-18, 15-17, 18-30, 18-29, 18-28, 18-27, 18-26, 18-25, 18-24, 18-23, 18-22, 18-21, 18-20, 19-30, 19-29, 19-28, 19-27, 19-26, 19-25, 19-24, 19-23, 19-22, 19-21, 19-20, 20-30, 20-29, 19-28, 19-27, 19-26, 19-25, 19-24, 19-23, 19-22, 19-21, 19-20, 20-30, 20-29, etc.), 20-28, 20-27, 20-26, 20-25, 20-24, 20-23, 20-22, 20-21, 21-30, 21-29, 21-28, 21-27, 21-26, 21-25, 21-24, 21-23, or 21-22 nucleotides) that is substantially complementary to at least a portion of an mRNA transcript of the PD-L1 gene. In certain embodiments, the iRNA of the invention comprises an RNA strand (the antisense strand) that may comprise a longer length, e.g., up to 66 nucleotides, e.g., 36-66, 26-36, 25-36, 31-60, 22-43, 27-53 nucleotides in length, and has a region consisting of at least 19 contiguous nucleotides that is substantially complementary to at least a portion of an mRNA transcript of the PD-L1 gene. These irnas with longer length antisense strands preferably include a second RNA strand (the sense strand) of 20-60 nucleotides in length, wherein the sense and antisense strands form a duplex with 18-30 contiguous nucleotides. These iRNAs can be used to target mRNA degradation of the corresponding gene (PD-L1 gene) in mammals. The iRNA of the present invention, in particular, at very low doses, is capable of specifically and efficiently mediating RNA interference (RNAi), resulting in significant inhibition of expression of the corresponding gene (PD-L1 gene). The present inventors have demonstrated by using in vitro and in vivo assays that irnas targeting the PD-L1 gene are capable of mediating RNAi, resulting in significant inhibition of expression of PD-L1, and reduction of signaling through the PD-L1 pathway, which would reduce one or more symptoms associated with a PD-L1-related disease (e.g., an infectious disease such as a viral disease or a chronic intracellular infection; or cancer). Thus, methods and compositions comprising these iRNAs can be used to treat a subject having a PD-L1-associated disease (e.g., an infectious disease such as a viral disease or a chronic intracellular infection; or cancer). The methods and compositions described herein can be used to reduce the level of PD-L1 in a subject, e.g., the level of PD-L1 in the liver of a subject (particularly a subject having a chronic intracellular infection, particularly a chronic liver infection, or a tumor).
The following detailed description discloses how to make and use iRNA-containing compositions to inhibit the expression of the PD-L1 gene, and compounds, uses, and methods for treating a subject having a disease or disorder that would benefit from a reduction in the expression of the PD-L1 gene.
I. Definition of
In order that the invention may be more readily understood, certain terms are first defined. Further, it should be noted that when values or ranges for parameters are recited, intermediate values and intermediate ranges for the recited values are also intended to be part of the present invention.
The articles "a" and "an" are used herein to refer to one or to more than one (i.e., to at least one) of the grammatical object of the article. For example, "an element" refers to one element or more than one element, e.g., a plurality of elements.
The term "including" as used herein means "including but not limited to," and the two may be used interchangeably.
As used herein, the term "or" means and is used interchangeably with the term "and/or," unless the context clearly indicates otherwise. For example, "a sense strand or an antisense strand" should be understood as "a sense strand or an antisense strand or a sense strand and an antisense strand".
The term "about" as used herein means within the tolerance of the art. For example, "about" can be understood as about 2 standard deviations from the mean. In certain embodiments, about represents ± 10%. In certain embodiments, about represents ± 5%. When an order appears before a series of numbers or ranges, it is understood that "about" can modify each number in the series or range.
It will be clear from the context that the term "at least" preceding a number or series of numbers is to be understood to encompass the number adjacent to the term "at least" as well as all subsequent numbers or integers which may be logically encompassed. For example, the number of nucleotides in a nucleic acid molecule must be an integer. For example, "at least 18 nucleotides of a nucleic acid molecule having 21 nucleotides" means that 18, 19, 20 or 21 nucleotides have the property. When at least occurs before a series of numbers or ranges, it is understood that "at least" can modify each number in the series or range.
As used herein, "no more than" or "less than" is to be understood as meaning values adjacent to the phrase, as well as logically lower values or integers consistent with the context logic, up to zero. For example, a duplex with a overhang of "no more than 2 nucleotides" has a 2, 1 or 0 nucleotide overhang. When "no more than" is present before a series of numbers or ranges, it is understood that "no more than" can modify each number in the series or range.
The nucleotide sequences listed in the specification are preferably used if the sequences conflict with the sites on the transcript to which they are directed, or with other sequences.
The various embodiments described herein can be combined as deemed appropriate by those skilled in the art.
It has been shown that "programmed cell death 1ligand 1", "PD-L1", or "CD 274" (also known as B7-H;B7H 1;PDL 1; PD-L1;PDCD1L 1; PDCD1LG1,B7 homolog 1,PDCD1 ligand 1, and programmed cell death ligand 1) is constitutively expressed on T and B cells, DCs, macrophages, mesenchymal stem cells, and bone marrow-derived mast cells in mice. Expression of PD-L1 is also found on a variety of non-hematopoietic cells, and many cell types are capable of upregulating expression of PD-L1 when activated. PD-L1 is expressed on T cells, NK cells, macrophages, bone marrow DCs, B cells, epithelial cells and vascular endothelial cells following IFN- γ stimulation (Flies DB and Chen L (2007) J Immunother.30 (3): 251-60). PD-L1 was significantly expressed on macrophages. More information on PD-L1 is provided, for example, in the NCBI's gene database at the website www.ncbi.nlm.nih.gov/gene/29126 (which was incorporated by reference as of the filing date of the present application).
As used herein, "programmed cell death 1ligand 1" may be used interchangeably with the term "PD-L1" (and optionally any other recognized names listed above) and refers to a naturally occurring gene encoding aprogrammed cell death 1ligand 1 protein. The amino acid sequence and complete coding sequence of the human PDL-1 gene reference sequence may be found, for example, in GenBank accession No. GI: 390979638(RefSeq accession No. NM-001267706.1; SEQ ID NO: 1; SEQ ID NO: 2) and GenBank accession No. GI: 292658763(RefSeq accession No. NM-014143.3; SEQ ID NOS: 9 and 10). In, for example, Grzywnowicz et al, PLoS one.2012; 7: additional splice variants are provided in e35178 (which is incorporated herein by reference). The mammalian orthologues of the human PD-L1 gene may be found, for example, in GI: 755563510(RefSeq accession XM-006527249.2, mouse; SEQ ID NO: 3 and SEQ ID NO: 4); GI: 672040129(RefSeq accession XM-006231248.2, rat; SEQ ID NO: 5 and SEQ ID NO: 6); GenBank accession No. GI: 544494555(RefSeq accession XM-005581779.1, cynomolgus monkey; SEQ ID NO: 7 and SEQ ID NO: 8).
Many naturally occurring SNPs are known and can be found, for example, in the NCBI's SNP database at the site ofwww.ncbi.nlm.nih.gov/SNP/snp_ref.cgilocusId=29126The SNP database lists SNPs in human PD-L1 (which were incorporated herein by reference as of the date of filing the present application). In a preferred embodiment, such naturally occurring variants are included within the scope of the PD-L1 gene sequence.
Other examples of PD-L1 mRNA sequences can be readily obtained by using published databases such as GenBank, UniProt and OMIM.
As used herein, "target sequence" refers to a contiguous portion of the nucleotide sequence of an mRNA molecule formed during transcription of the PD-L1 gene, including the product mRNA during RNA processing of the primary transcript product. The target portion of the sequence is at least long enough to serve as a substrate for iRNA-directed cleavage at or near the portion of the nucleotide sequence of the mRNA molecule formed during transcription of the PD-L1 gene. In one embodiment, the target sequence is located within the protein coding region of PD-L1.
The target sequence may be from about 9-36 nucleotides in length, for example, about 15-30 nucleotides in length. For example, the target sequence may be from about 15-30 nucleotides in length, 15-29, 15-28, 15-27, 15-26, 15-25, 15-24, 15-23, 15-22, 15-21, 15-20, 15-19, 15-18, 15-17, 18-30, 18-29, 18-28, 18-27, 18-26, 18-25, 18-24, 18-23, 18-22, 18-21, 18-20, 19-30, 19-29, 19-28, 19-27, 19-26, 19-25, 19-24, 19-23, 19-22, 19-20, 19-30, 19-29, 19-28, 19-27, 19-26, 19-25, 19-24, 19-23, 19-22, 19-21, 19-20, 20-30, 20-29, 20-28, 20-27, 20-26, 20-25, 20-24, 20-23, 20-22, 20-21, 21-30, 21-29, 21-28, 21-27, 21-26, 21-25, 21-24, 21-23, or 21-22 nucleotides. Intermediate ranges and lengths to those described above are also intended to be part of the present invention.
The term "strand comprising a sequence" as used herein refers to an oligonucleotide comprising a strand of nucleotides that is described by the sequence referred to using standard nucleotide nomenclature.
"G", "C", "A", "T" and "U" each generally represent a nucleotide comprising bases such as guanine, cytosine, adenine, thymine and uracil, respectively. However, it is to be understood that the term "ribonucleotide" or "nucleotide" can also refer to a modified nucleotide (as detailed below), or to a surrogate replacement moiety (see, e.g., table 2). It will be clear to the skilled person that guanine, cytosine, adenine and uracil can be replaced by other moieties without substantially altering the base pairing properties of an oligonucleotide comprising a nucleotide bearing such a replacement moiety. For example, but not limited to, a nucleotide comprising an inosine base may base pair with a nucleotide containing adenine, cytosine, or uracil. Thus, in the nucleotide sequence of the dsRNA of the present invention, a nucleotide containing uracil, guanine, or adenine may be replaced with a nucleotide containing, for example, inosine. In another example, adenine and cytosine anywhere in the oligonucleotide can be replaced by guanine and uracil, respectively, to form a G-U Wobble (Wobble) base pair with the target mRNA. Sequences comprising such replacement moieties are suitable for use in the compositions and methods described herein.
The terms "iRNA", "RNAi agent" and "iRNA agent", "RNA interference agent" are used interchangeably herein to refer to an agent that contains RNA as defined herein and which mediates targeted cleavage of RNA transcripts via the RNA-induced silencing complex (RISC) pathway. iRNA directs sequence-specific degradation of mRNA by a process called RNA interference (RNAi). The iRNA modulates (e.g., inhibits) expression of the PD-L1 gene in a cell (e.g., a cell in a subject, such as a mammalian subject).
In one embodiment, the RNAi agents of the invention include single-stranded RNA that interacts with a target RNA sequence (e.g., the target mRNA sequence of PD-L1) to direct cleavage of the target RNA. Without wishing to be bound by theory, it is believed that the long double stranded RNA introduced into the cell will be cleaved into siRNAs by a type III endonuclease known as Dicer (Sharp et al (2001) Genes Dev.15: 485). Dicer is a ribonuclease III-like enzyme that can process the dsRNA into short interfering RNAs with 19-23 base pairs and a characteristic two-base 3' overhang (Bernstein et al, (2001) Nature 409: 363). The siRNAs are then incorporated into an RNA-induced silencing complex (RISC) where one or more helicases can unwind the siRNA duplex, enabling the complementary antisense strand to direct target recognition (Nykanen et al, (2001) Cell 107: 309). Upon binding to the appropriate target mRNA, one or more endonucleases within the RISC will cleave the target to induce silencing (Elbashir et al, (2001) Genes Dev.15: 188). Thus, in one aspect, the invention relates to single stranded rna (sirna) that is produced within a cell and promotes the formation of a RISC complex to effect silencing of the target gene (i.e., PD-L1 gene). Thus, the term "siRNA" as used herein can also refer to iRNA as described above.
In certain embodiments, the RNAi agent can be a single-stranded sirna (ssrnai) introduced into a cell or organism to inhibit a target mRNA. The single stranded RNAi agent binds to the RISC endonuclease,Argonaute 2, which then cleaves the target mRNA. The single stranded siRNA is typically 15-30 nucleotides and has been chemically modified. U.S. patent No. 8,101,348 and Lima et al, (2012) Cell 150: 883-894, the entire contents of which are incorporated herein by reference. As described herein, any of the antisense nucleotide sequences described herein can be expressed as a single-stranded siRNA or as a single-stranded siRNA expressed via, for example, Lima et al, (2012) Cell 150: 883-894 by chemical modification.
In certain embodiments, the "iRNA" used in the compositions, uses and methods described herein is double-stranded RNA, and is referred to herein as a "double-stranded RNAi agent", "double-stranded RNA (dsRNA) molecule", "dsRNA agent", or "dsRNA". The term "dsRNA" refers to a complex of ribonucleic acid molecules having a duplex structure comprising two antiparallel and substantially complementary nucleic acid strands having "sense" and "antisense" orientations relative to a target RNA (i.e., the PD-L1 gene). In some embodiments of the invention, double-stranded RNA (dsrna) triggers degradation of a target RNA (e.g., mRNA) by a post-transcriptional gene silencing mechanism referred to herein as RNA interference or RNAi.
Typically, the majority of the nucleotides of each strand of a dsRNA molecule are ribonucleotides, but as described in detail herein, either or both strands may also include one or more non-ribonucleotides, e.g., deoxyribonucleotides or modified nucleotides. In addition, "iRNA" used in the present specification may include ribonucleotides with chemical modifications; irnas may include substantial modifications at multiple nucleotides. The term "modified nucleotide" as used herein refers to a nucleotide having independently a modified sugar moiety, a modified internucleotide linkage, or a modified nucleobase, or any combination thereof. Thus, the term modified nucleotide encompasses replacing, adding or removing, for example, a functional group or atom to an internucleoside linkage, a sugar moiety or a nucleobase. Modifications suitable for use with the agents of the invention include all types of modifications disclosed herein or known in the art. For purposes of the present specification and claims, "iRNA" or "RNAi agent" encompasses any such modification used in siRNA-like molecules.
The duplex region may be of any length that allows specific degradation of a target RNA of interest via a RISC pathway, and may range in length from about 9 to 36 base pairs, e.g., about 15-30 base pairs in length, e.g., about 9, 10, 11, 12, 13, 14, 15, 16, 17, 18, 19, 20, 21, 22, 23, 24, 25, 26, 27, 28, 29, 30, 31, 32, 33, 34, 35, or 36 base pairs in length, e.g., about 15-30, 15-29, 15-28, 15-27, 15-26, 15-25, 15-24, 15-23, 15-22, 15-21, 15-20, 15-19, 15-18, base pairs in length, 15-17, 18-30, 18-29, 18-28, 18-27, 18-26, 18-25, 18-24, 18-23, 18-22, 18-21, 18-20, 19-30, 19-29, 19-28, 19-27, 19-26, 19-25, 19-24, 19-23, 19-22, 19-21, 19-20, 20-30, 20-29, 20-28, 20-27, 20-26, 20-25, 20-24, 20-23, 20-22, 20-21, 21-30, 21-29, 21-28, 21-27, 21-26, 21-25, 21-24, 21-23, or 21-22 base pairs. Intermediate ranges and lengths to those described above are also intended to be part of the present invention.
The two strands forming the duplex structure may be different parts of one larger RNA molecule, or it may be separate RNA molecules. When the two strands are part of one larger molecule and are thus connected by an uninterrupted nucleotide chain between the 3 '-end of one strand and the 5' -end of the respective other strand forming the duplex structure, the connecting RNA strand is referred to as a "hairpin loop". The hairpin loop may comprise at least one unpaired nucleotide. In some embodiments, the hairpin loop may include at least 2, 3, 4, 5, 6, 7, 8, 9, 10, 20, 23 or more unpaired nucleotides. In some embodiments, the hairpin loop may be 10 or fewer nucleotides. In some embodiments, the hairpin loop may be 8 or fewer unpaired nucleotides. In some embodiments, the hairpin loop may be 4-10 unpaired nucleotides. In some embodiments, the hairpin loop may be 4-8 nucleotides.
When two substantially complementary strands of a dsRNA are comprised of multiple individual RNA molecules, the molecules may be covalently linked, although not necessarily. When the two strands are covalently linked in a manner other than as uninterrupted nucleotide strands, which exist between the 3 '-terminus of one strand and the 5' -terminus of the respective other strand forming the duplex structure, the linking structure is referred to as a "linker". The two RNA strands may have the same or different number of nucleotides. The maximum number of base pairs is found by subtracting the number of nucleotides in the shortest strand of the dsRNA from any overhang present in the duplex. In addition to the duplex structure, RNAi may also comprise one or more nucleotide overhangs.
In certain embodiments, an iRNA agent of the invention is a dsRNA that interacts with a target RNA sequence (e.g., the PD-L1 gene) that comprises 19-23 nucleotides per strand. Without wishing to be bound by theory, the long double-stranded RNA introduced into the cells is cleaved by a type III endonuclease called Dicer to form siRNA (Sharp et al, (2001) Genes Dev.15: 485). Dicer is a ribonuclease III-like enzyme that can process the dsRNA into short interfering RNAs with 19-23 base pairs and a characteristic two-base 3' overhang (Bernstein et al, (2001) Nature 409: 363). The siRNAs are then incorporated into an RNA-induced silencing complex (RISC) where one or more helicases can unwind the siRNA duplex, enabling the complementary antisense strand to direct recognition of the target (Nykanen et al, (2001) Cell 107: 309). Upon binding to the appropriate target mRNA, one or more endonucleases within the RISC will cleave the target to induce silencing (Elbashir et al, (2001) Genes Dev.15: 188).
In some embodiments, the iRNA of the invention is a dsRNA having 24-30 nucleotides, or possibly even longer (e.g., 25-35, 27-53, or 27-49 nucleotides), that interacts with a target RNA sequence (e.g., a PD-L1 target mRNA sequence) to direct cleavage of the target RNA. Without wishing to be bound by theory, the long double-stranded RNA introduced into the cells is cleaved by a type III endonuclease called Dicer to form siRNA (Sharp et al, (2001) Genes Dev.15: 485). Dicer is a ribonuclease III-like enzyme that can process the dsRNA into short interfering RNAs with 19-23 base pairs and a characteristic two-base 3' overhang (Bernstein et al, (2001) Nature 409: 363). The siRNAs are then incorporated into an RNA-induced silencing complex (RISC) where one or more helicases can unwind the siRNA duplex, enabling the complementary antisense strand to direct recognition of the target (Nykanen et al, (2001) Cell 107: 309). Upon binding to the appropriate target mRNA, one or more endonucleases within the RISC will cleave the target to induce silencing (Elbashir et al, (2001) Genes Dev.15: 188).
The term "nucleotide overhang" as used herein refers to at least one unpaired nucleotide that protrudes outward from the duplex structure of a double-stranded iRNA. For example, when the 3 'end of one strand of a dsRNA extends beyond the 5' end of the other strand, or vice versa, a nucleotide overhang is present. The dsRNA may include a overhang having at least one nucleotide; alternatively, the overhang may comprise at least two nucleotides, at least three nucleotides, at least four nucleotides, at least five nucleotides, or more nucleotides. The nucleotide overhang may comprise or consist of nucleotide/nucleoside analogues (including deoxynucleotides/nucleosides). The overhang may be present on the sense strand, on the antisense strand, or any combination thereof. In addition, the nucleotide of the overhang may be present at the 5 'end, the 3' end, or both ends of the antisense strand or sense strand of the dsRNA.
In certain embodiments, the antisense strand of the dsRNA can possess a overhang having 1-10 nucleotides (e.g., 0-3, 1-3, 2-4, 2-5, 4-10, 5-10, 1, 2, 3, 4, 5, 6, 7, 8, 9, or 10 nucleotides) at the 3 'end or the 5' end. In certain embodiments, the overhang on the sense strand or the antisense strand, or both, may comprise an extension length longer than 10 nucleotides, e.g., 1-30 nucleotides, 2-30 nucleotides, 10-30 nucleotides, or 10-15 nucleotides in length. In certain embodiments, the extended overhang is on the sense strand of the duplex. In certain embodiments, an extended overhang is present at the 3' end of the sense strand of the duplex. In certain embodiments, an extended overhang is present at the 5' end of the sense strand of the duplex. In certain embodiments, the extended overhang is on the antisense strand of the duplex. In certain embodiments, the extended overhang is present at the 3' end of the duplex antisense strand. In certain embodiments, the extended overhang is present at the 5' end of the duplex antisense strand. In certain embodiments, one or more nucleotides in the overhang are replaced with a nucleoside phosphorothioate.
"blunt" or "blunt end" means that there are no unpaired nucleotides at the end of the double stranded RNAi agent, i.e., there is no nucleotide overhang. A "blunt-ended" double-stranded RNAi agent is double-stranded over its entire length, i.e., there are no nucleotide overhangs at either end of the molecule. The RNAi agents described herein include RNAi agents that do not have a nucleotide overhang at one end (i.e., agents with a overhang and a blunt end) or a nucleotide overhang at either end.
The term "antisense strand" or "guide strand" refers to one strand of an iRNA (e.g., dsRNA) that includes a region that is substantially complementary to a target sequence (e.g., PD-L1 mRNA). The term "complementary region" as used herein refers to a region of the antisense strand that is substantially complementary to a sequence (e.g., a target sequence as defined herein, such as the PD-L1 nucleotide sequence). In case the complementary region is not fully complementary to the target sequence, the mismatch may be located in the internal or terminal region of the molecule. Typically, the most acceptable mismatch is in the terminal region, e.g., within 5, 4, 3, 2, or 1 nucleotides of the 5 '-or 3' -end of the iRNA. In some embodiments, the double stranded RNAi agents of the invention comprise a nucleotide mismatch in the antisense strand. In some embodiments, the double stranded RNAi agents of the present invention include a nucleotide mismatch in the sense strand. In some embodiments, the nucleotide mismatch is located, e.g., within 5, 4, 3, 2, or 1 nucleotides from the 3' -terminus of the iRNA. In another embodiment, the nucleotide mismatch is located, for example, in the 3' -terminal nucleotide of the iRNA.
The term "sense strand" or "passenger strand" as used herein refers to one strand of an iRNA that includes a region that is substantially complementary to a region of an antisense strand as described herein.
The term "cleavage region" as used herein refers to the region immediately adjacent to the cleavage site. The cleavage site is the site at which cleavage occurs on the target. In some embodiments, the cleavage region comprises three bases on either end of and immediately adjacent to the cleavage site. In some embodiments, the cleavage region comprises two bases on either end of the cleavage site and immediately adjacent to the cleavage site. In some embodiments, the cleavage site is specifically present at the site of binding to nucleotides 10 and 11 of the antisense strand, and the cleavage region comprises nucleotides 11, 12 and 13.
It will be understood by those skilled in the art that, unless otherwise indicated, the term "complementary" as used herein when used to describe a first nucleotide sequence and a second nucleotide sequence in relation to each other, refers to the ability of an oligonucleotide or polynucleotide comprising the first nucleotide sequence to hybridize and form a duplex structure with an oligonucleotide or polynucleotide comprising the second nucleotide sequence under certain conditions. Such conditions may be, for example, more severe conditions, wherein the severe conditions may include: 400mM NaCl, 40mM PIPES pH 6.4, 1mM EDTA, 50 ℃ or 70 ℃ for 12-16 hours, followed by washing (see, for example, "Molecular Cloning: A Laboratory Manual, Sambrook et al, (1989) Cold Spring Harbor Laboratory Press). Other conditions may be applied, such as physiologically relevant conditions that may occur within an organism. Depending on the end use of the hybridizing nucleotide, the skilled person should be able to determine the set of conditions most suitable for testing the complementarity of the two sequences.
Complementary sequences within irnas, such as within dsrnas described herein, include base pairing between an oligonucleotide or polynucleotide comprising a first nucleotide sequence and an oligonucleotide or polynucleotide comprising a second nucleotide sequence, either throughout the entire length of one or both nucleotide sequences. Such sequences may be referred to herein as "fully complementary" to each other. However, where a first sequence is referred to herein as "substantially complementary" with respect to a second sequence, the two sequences may be fully complementary, or when they hybridize to form a duplex of up to 30 base pairs, one or more, but generally no more than 5, 4, 3 or 2 mismatched base pairs may be formed, while retaining the ability to hybridize under conditions most relevant to their end use (e.g., inhibition of gene expression by the RISC pathway). However, where two oligonucleotides are designed to form one or more single-stranded overhangs upon hybridization, such overhangs should not be considered mismatches in determining complementarity. For example, where a dsRNA comprises one oligonucleotide of 21 nucleotides in length and another oligonucleotide of 23 nucleotides in length, and wherein the longer oligonucleotide comprises a sequence of 21 nucleotides that is fully complementary to the shorter oligonucleotide, it can still be referred to as "fully complementary" for the purposes described herein, in accordance with the description herein.
"complementary" sequences as used herein may also include non-Watson-Crick base pairs or base pairs formed from non-natural nucleotides and modified nucleotides, or formed entirely from non-Watson-Crick base pairs or base pairs formed from non-natural nucleotides and modified nucleotides, as long as the above-described conditions with respect to their hybridization capabilities are met. Such non-Watson-Crick base pairs include, but are not limited to, G: UWobble or Hoogstein base pairing.
It will be understood from the context of its use that the use of the terms "complementary", "fully complementary" and "substantially complementary" herein may relate to base matching between the sense and antisense strands of a dsRNA, or between the antisense strand of a double stranded RNAi agent and a target sequence.
As used herein, a polynucleotide that is substantially complementary to at least a portion of messenger rna (mRNA) "refers to a polynucleotide that is substantially complementary to a contiguous portion of a target mRNA (e.g., an mRNA encoding the PD-L1 gene). For example, if the polynucleotide is substantially complementary to an uninterrupted portion of the mRNA encoding the PD-L1 gene, then the sequence is complementary to at least a portion of the PD-L1 mRNA.
Thus, in some embodiments, the sense strand polynucleotides and antisense polynucleotides disclosed herein are fully complementary to the target PD-L1 sequence.
In other embodiments, the antisense polynucleotides disclosed herein are substantially complementary to the target PD-L1 sequence and comprise a contiguous nucleotide sequence that is, over its entire length, identical to SEQ ID NO: 1 or the equivalent length region of any one of the nucleotide sequences of SEQ ID NO: 1, e.g., at least about 85%, 86%, 87%, 88%, 89%, about 90%, 91%, 92%, 93%, 94%, 95%, 96%, 97%, 98%, or 99%, or 100%.
In some embodiments, the iRNA of the invention comprises a sense strand that is substantially complementary to an antisense polynucleotide that is in turn complementary to a target PD-L1 sequence and comprises a contiguous nucleotide sequence that is at least about 80% complementary over its entire length to a region of equivalent length of the nucleotide sequence of any one of the antisense strands shown in table 3 or table 5, or a fragment of any one of the antisense strands shown in table 3 and table 5, e.g., about 85%, 86%, 87%, 88%, 89%, 90%, 91%, 92%, 93%, 94%, 95%, 96%, 97%, 98%, or 99%, or 100% complementary.
In some embodiments, the iRNA of the invention comprises an antisense strand that is complementary to a target PD-L1 sequence and comprises a contiguous nucleotide sequence that is at least 80% complementary over its entire length to a region of equal length of the nucleotide sequence of any one of the sense strands shown in table 3 or table 5, or a fragment of any one of the sense strands shown in table 3 and table 5, for example about 85%, 86%, 87%, 88%, 89%, 90%, 91%, 92%, 93%, 94%, 95%, 96%, 97%, 98%, or 99%, or 100% complementary.
In one aspect of the invention, the agents used in the methods and compositions of the invention are single stranded antisense oligonucleotide molecules that inhibit the target mRNA by an antisense inhibition mechanism. The single-stranded antisense oligonucleotide molecule is complementary to a sequence within the target mRNA. The single-stranded antisense oligonucleotides can inhibit translation stoichiometrically by base pairing with the mRNA and physically impeding the translation machinery, see Dias, n. et al, (2002) Mol Cancer Ther 1: 347-355. The single-stranded antisense oligonucleotide molecule can be about 14 to about 30 nucleotides in length and have a sequence complementary to a target sequence. For example, the single stranded antisense oligonucleotide molecule can comprise a sequence of at least 14, 15, 16, 17, 18, 19, 20 or more contiguous nucleotides from any of the antisense sequences described herein.
The phrase "contacting a cell with an iRNA," such as with dsRNA, as used herein, includes contacting a cell by any possible means. Contacting the cell with the iRNA comprises contacting the cell with the iRNA in vitro or contacting the cell with the iRNA in vivo. The contacting may be done directly or indirectly. Thus, for example, the iRNA can be brought into physical contact with the cell by the individual performing the method, or alternatively, the iRNA can be placed under conditions that allow or result in subsequent contact with the cell.
The cells can be contacted in vitro, for example, by incubating the cells with iRNA. The cells may be contacted in vivo, for example, by injecting the iRNA into or near the tissue in which the cells are located, or by injecting the iRNA into another region (e.g., into the bloodstream or subcutaneous space) to allow the agent to subsequently reach the tissue in which the cells are located to be contacted. For example, an iRNA can contain or be coupled to a ligand (e.g., GalNAc, such as GalNAc3) that can direct the iRNA to a site of interest (e.g., liver). Combinations of in vitro and in vivo contacting methods may also be used. For example, cells can also be contacted with iRNA in vitro and subsequently transplanted into a subject.
In certain embodiments, contacting a cell with an iRNA comprises "introducing" or "delivering the iRNA into the cell" by promoting or effecting uptake or uptake of the cell. Uptake or uptake of iRNA can be achieved by independent diffusion or active cellular processes, or by adjunctive or auxiliary devices. The iRNA can be introduced into the cell in vitro or in vivo. For example, for in vivo introduction, the iRNA may be injected into a tissue site or administered systemically. In vivo delivery can also be accomplished by β -glucan delivery systems, such as those described in U.S. patent nos. 5,032,401 and 5,607,677 and U.S. publication No. 2005/0281781 (the entire contents of which are incorporated herein by reference). Introduction into cells in vitro includes methods known in the art, such as electroporation and lipofection. Other methods are described below or known in the art.
The term "lipid nanoparticle" or "LNP" is a vesicle comprising a lipid layer encapsulating a pharmaceutically active molecule (e.g., a nucleic acid molecule such as iRNA or a plasmid from which iRNA is transcribed). LNPs are described, for example, in U.S. patent nos. 6,858,225, 6,815,432, 8,158,601, and 8,058,069 (the entire contents of which are incorporated herein by reference).
As used herein, a "subject" is an animal, e.g., a mammal, including primates (such as humans, non-human primates, e.g., monkeys and chimpanzees), non-primates (such as cows, pigs, camels, llamas, horses, goats, rabbits, sheep, hamsters, guinea pigs, cats, dogs, rats, mice, horses, and whales), or avian animals (e.g., ducks or geese) that endogenously or heterologously express a target gene, provided that the target gene sequence has sufficient complementarity with the iRNA agent to facilitate reduction of the target gene. As described herein, in certain embodiments, the subject is a human, e.g., a human being receiving treatment or assessment for a disease, condition, or disorder that would benefit from decreased expression or replication of the PD-L1 gene; a human having a disease, condition or disorder that would benefit from decreased expression of the PD-L1 gene; a human being receiving treatment for a disease, condition or disorder that would benefit from decreased expression of the PD-L1 gene. In some embodiments, the subject is a female. In other embodiments, the subject is a male.
The terms "treat" or "treatment" as used herein refer to a beneficial or desired result, including, but not limited to, alleviation or amelioration of one or more symptoms associated with PD-L1 gene expression or PD-L1 protein production, e.g., infection, particularly chronic intracellular infection such as chronic viral infection, or cancer. "treatment" also means prolonging survival compared to expected survival in the absence of treatment. Treatment may include preventing the occurrence of complications, e.g., reducing liver damage in patients with liver infections.
The term "lower" as used in reference to the expression level of the PD-L1 gene or the production level of PD-L1 protein, or a disease marker or symptom in a subject means that such level is reduced with statistical significance. The reduction may be, for example, at least 20%, 25%, 30%, 35%, 40%, 45%, 50%, 55%, 60%, 65%, 70%, 75%, 80%, 85%, 90% or 95% reduction compared to an appropriate control group, or below the detection level of the detection method. In certain embodiments, the expression of the target is normalized, i.e., reduced to an acceptable level within the normal range for individuals without the disease. In certain embodiments, the methods comprise clinically relevant inhibition of expression of PD-L1, e.g., as shown by clinically relevant results after treatment of a subject with an agent that reduces PD-L1 expression.
The term "programmed cell death 1 ligand 1-related disease" or "PD-L1-related disease" as used herein refers to a disease or disorder caused by, or associated with, the expression of the PD-L1 gene or the production of the PD-L1 protein. The term "PD-L1 related disease" includes diseases, conditions or disorders that would benefit from a reduction in the expression, replication or protein activity of the PD-L1 gene. Non-limiting examples of PD-L1-associated diseases include, for example, infection, particularly chronic intracellular infection, such as viral infection, e.g., hepatitis infection, or cancer.
In certain embodiments, the PD-L1-associated disease is an infection, particularly a chronic intracellular infection, such as a viral infection, e.g., a hepatitis viral infection (e.g., hepatitis b infection or hepatitis d infection). In certain embodiments, the infection is a chronic bacterial infection, such as tuberculosis. In certain embodiments, the PD-L1-associated disease is cancer, particularly liver cancer, such as hepatocellular carcinoma (HCC).
As used herein, "therapeutically effective amount" is intended to include an amount of iRNA that: when administered to a patient to treat a subject having an infection (particularly a chronic intracellular infection) or cancer or other PD-L1-associated disease, it is sufficient to effectively treat the disease (e.g., by reducing, ameliorating, or maintaining one or more symptoms of the existing disease or its associated complications). The "therapeutically effective amount" may vary depending on the following factors: iRNA, how it is administered, the disease and its severity, and history of disease, age, weight, family history, genetic makeup, the stage of the pathological process mediated by PD-L1 gene expression, the type of prior or concomitant therapy (if any), and other individual characteristics of the patient to be treated.
"therapeutically effective amount" also includes an amount of iRNA that produces some desired local or systemic effect at a reasonable benefit/risk ratio applicable to any treatment. The iRNA used in the methods of the invention may be administered in sufficient amounts to produce a reasonable benefit/risk ratio applicable to such treatment. A therapeutically effective amount includes an amount that causes an appropriate clinically relevant change in, or stabilizes, the indicator of the disease or condition.
The phrase "pharmaceutically acceptable" is employed herein to refer to compounds, materials, or dosage forms which are, within the scope of sound medical judgment, suitable for use in contact with the tissues of human and animal subjects without excessive toxicity, irritation, allergic response, or other problem or complication, commensurate with a reasonable benefit/risk ratio.
The phrase "pharmaceutically acceptable carrier" as used herein refers to a pharmaceutically acceptable material, composition or vehicle, such as a liquid or solid filler, diluent, excipient, manufacturing aid (e.g., lubricant, talc magnesium, calcium or zinc stearate, or stearic acid), or material that encapsulates a solvent, involved in carrying or transporting a compound of interest from one organ (or part of the body) to another organ (or part of the body). Each carrier must be "acceptable" in the sense of being compatible with the other ingredients of the formulation and not injurious to the subject being treated. Some examples of materials that can be used as pharmaceutically acceptable carriers include: (1) sugars such as lactose, glucose and sucrose; (2) starches, such as corn starch and potato starch; (3) cellulose and its derivatives, such as sodium carboxymethyl cellulose, ethyl cellulose and cellulose acetate; (4) powdered gum tragacanth; (5) malt; (6) gelatin; (7) lubricants, such as magnesium stearate, sodium lauryl sulfate and talc; (8) excipients, such as cocoa butter and suppository waxes; (9) oils such as peanut oil, cottonseed oil, safflower oil, sesame oil, olive oil, corn oil and soybean oil; (10) glycols, such as propylene glycol; (11) polyols such as glycerol, sorbitol, mannitol and polyethylene glycol; (12) esters such as ethyl oleate and ethyl laurate; (13) agar; (14) buffering agents such as magnesium hydroxide and aluminum hydroxide; (15) alginic acid; (16) pyrogen-free water; (17) isotonic salt; (18) ringer's solution; (19) ethanol; (20) a pH buffer solution; (21) polyesters, polycarbonates and/or polyanhydrides; (22) leavening agents, such as polypeptide and amino acid (23) serum components, such as serum albumin, HDL, and LDL; and (22) other non-toxic compatible materials used in pharmaceutical formulations.
The term "sample" as used herein includes a series of similar fluids, cells or tissues isolated from a subject, as well as fluids, cells or tissues present in a subject. Examples of biological fluids include blood, serum and serosal fluids, plasma, cerebrospinal fluid, ocular fluid, lymph fluid, urine, saliva, and the like. The tissue sample may comprise a sample from a tissue, organ or localized region. For example, the sample may be derived from a particular organ, a portion of an organ, or a fluid or cell within such organ. In certain embodiments, the sample may be derived from the liver (e.g., the whole liver or certain portions of the liver or certain types of cells in the liver, e.g., such as hepatocytes). A "subject-derived sample" may refer to blood drawn from a subject, or plasma derived therefrom. In certain embodiments, when detecting the level of PD-L1, preferably a "sample" refers to a tissue or bodily fluid from a subject (e.g., a liver biopsy, tumor biopsy from a subject with a liver infection) wherein the presence of PD-L1 is detectable prior to administration of an agent of the invention. In certain subjects, for example, in healthy subjects, the level of PD-L1 may not be detectable in many bodily fluids, cell types, and tissues.
I. The iRNA of the present invention
The present invention provides irnas that inhibit the expression of the PD-L1 gene. In a preferred embodiment, the iRNA comprises a double-stranded ribonucleic acid (dsRNA) molecule for inhibiting expression of a PD-L1 gene in a cell, e.g., a cell in a subject (e.g., a mammal, such as a human having a PD-L1-associated disease, such as a chronic infection). The dsRNAi agent includes an antisense strand having a region of complementarity which is complementary to at least a portion of an mRNA formed during expression of the PD-L1 gene. The complementary region is about 30 nucleotides or less in length (e.g., about 30, 29, 28, 27, 26, 25, 24, 23, 22, 21, 20, 19, or 18 nucleotides or less in length). iRNA inhibits expression of the PD-L1 gene (e.g., PD-L1 gene of a human, primate, non-primate, or avian species) by at least about 20%, preferably at least 30%, when contacted with a cell expressing the PD-L1 gene as determined, for example, by PCR or a branched dna (bdna) based method, or by a protein based method (e.g., by immunofluorescence analysis) using, for example, western blot analysis or flow cytometry. In a preferred embodiment, inhibition of expression, for example at duplex concentrations of 10nM, is determined by the qPCR method provided in the examples. The level of reduction can be compared to, for example, an appropriate historical control or population sample control pool.
dsRNA comprises two RNA strands that are complementary and hybridize to form a duplex structure under conditions in which the dsRNA will be used. One strand of the dsRNA (the antisense strand) includes a region of complementarity which is substantially complementary, and usually fully complementary, to the target sequence. The target sequence may be derived from an mRNA sequence formed during expression of the PD-L1 gene. The other strand (the sense strand) includes a region of complementarity to the antisense strand, so that the two strands hybridize and form a duplex structure when combined under appropriate conditions. As will be discussed elsewhere herein and known in the art, the complementary sequence of a dsRNA may also be a self-complementary region included on a single nucleic acid molecule, as opposed to being present on separate oligonucleotides.
Typically, the duplex structure is about 15 to 30 base pairs in length, e.g., 15-29, 15-28, 15-27, 15-26, 15-25, 15-24, 15-23, 15-22, 15-21, 15-20, 15-19, 15-18, 15-17, 18-30, 18-29, 18-28, 18-27, 18-26, 18-25, 18-24, 18-23, 18-22, 18-21, 18-20, 19-30, 19-29, 19-28, 19-27, 19-26, 19-25, 19-24, 19-23, 19-22, 19-21, 19-20, 20-30, 20-29, 20-28, 20-27, 20-26, 20-25, 20-24, 20-23, 20-22, 20-21, 21-30, 21-29, 21-28, 21-27, 21-26, 21-25, 21-24, 21-23, or 21-22 base pairs. Intermediate ranges and lengths to those described above are also intended to be part of the present invention.
Similarly, the region of complementarity of the target sequence is about 15 to 30 nucleotides in length, e.g., 15-29, 15-28, 15-27, 15-26, 15-25, 15-24, 15-23, 15-22, 15-21, 15-20, 15-19, 15-18, 15-17, 18-30, 18-29, 18-28, 18-27, 18-26, 18-25, 18-24, 18-23, 18-22, 18-21, 18-20, 19-30, 19-29, 19-28, 19-27, 19-26, 19-25, 19-24, 19-23, 19-22, 19-21, 19-20, 20-30, 20-29, 20-28, 20-27, 20-26, 20-25, 20-24, 20-23, 20-22, 20-21, 21-30, 21-29, 21-28, 21-27, 21-26, 21-25, 21-24, 21-23, or 21-22 nucleotides. Intermediate ranges and lengths to those described above are also intended to be part of the present invention.
In some embodiments, the dsRNA is about 15 to 23 nucleotides in length, or about 25 to 30 nucleotides in length. Typically, the dsRNA is long enough to serve as a substrate for Dicer enzyme. For example, it is well known in the art that dsrnas greater than about 21-23 nucleotides in length can be used as substrates for Dicer. One of ordinary skill will recognize that the region of RNA targeted for cleavage is most likely a portion of a larger RNA molecule (typically an mRNA molecule). In a related aspect, a "portion" of an mRNA target is a contiguous sequence of the mRNA target that is long enough to be a substrate for RNAi-directed cleavage (i.e., cleavage by the RISC pathway).
Those skilled in the art will also recognize that duplex regions, for example, have about 9 to about 36 base pairs (e.g., 10-36, 11-36, 12-36, 13-36, 14-36, 15-36, 9-35, 10-35, 11-35, 12-35, 13-35, 14-35, 15-35, 9-34, 10-34, 11-34, 12-34, 13-34, 14-34, 15-34, 9-33, 10-33, 11-33, 12-33, 13-33, 14-33, 15-33, 9-32, 10-32, 11-32, 12-32, 13-32, etc.), 14-32, 15-32, 9-31, 10-31, 11-31, 12-31, 13-32, 14-31, 15-30, 15-29, 15-28, 15-27, 15-26, 15-25, 15-24, 15-23, 15-22, 15-21, 15-20, 15-19, 15-18, 15-17, 18-30, 18-29, 18-28, 18-27, 18-26, 18-25, 18-24, 18-23, 18-22, 18-21, 18-20, 19-30, 19-29, 19-28, 19-27, 19-26, 19-25, 19-24, 19-23, 19-22, 19-21, 19-20, 20-30, 20-29, 20-28, 20-27, 20-26, 20-25, 20-24, 20-23, 20-22, 20-21, 21-30, 21-29, 21-28, 21-27, 21-26, 21-25, 21-24, 21-23, or 21-22 base pairs) is the major functional portion of the dsRNA. Thus, in one embodiment, an RNA molecule or RNA molecule complex having a duplex region greater than 30 base pairs is dsRNA in order to be processed into, for example, a functional duplex having 15-30 base pairs that targets the RNA to be cleaved. Thus, one of ordinary skill will recognize that in one embodiment, the miRNA is dsRNA. In another embodiment, the dsRNA is not a naturally occurring miRNA. In another embodiment, iRNA agents useful for targeting PD-L1 gene expression are not produced in the target cell by cleavage of larger dsRNA.
The dsRNA described herein may also comprise one or more single stranded nucleotide overhangs having, for example, 1-4, 2-4, 1-3, 2-3, 1, 2, 3, or 4 nucleotides. dsRNA with at least one nucleotide overhang may have advantageous inhibitory properties relative to its blunt-ended counterpart. The nucleotide overhang may comprise or consist of nucleotide/nucleoside analogues (including deoxynucleotides/nucleosides). The overhang may be on the sense strand, on the antisense strand, or any combination thereof. In addition, the dangling nucleotides may be present at the 5 'end, the 3' end, or both ends of the antisense or sense strand of the dsRNA.
dsRNA can be synthesized by standard methods known in the art as discussed further below, for example, by using an automated DNA synthesizer, e.g., commercially available from companies such as Biosearch, Applied Biosystems, Inc.
The double stranded RNAi compounds of the invention can be prepared using a two-step process. First, each strand of a double-stranded RNA molecule is prepared separately. The component chains are then annealed. Solution phase organic synthesis or solid phase organic synthesis, or both, can be used to prepare each strand of the siRNA compound. Organic synthesis offers the advantage that oligonucleotide chains containing non-natural or modified nucleotides can be easily prepared. Similarly, the single-stranded oligonucleotide of the present invention can be prepared using solution phase organic synthesis or solid phase organic synthesis, or both.
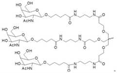
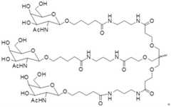
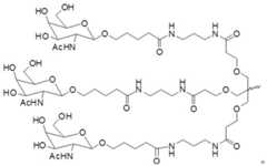
In one aspect, the dsRNA of the invention comprises at least two nucleotide sequences: sense and antisense sequences. The sense strand is selected from the group of sequences provided in tables 3 and 5, and the corresponding antisense strand of the sense strand is selected from the group of sequences shown in tables 3 and 5. In this regard, one of the two sequences is complementary to the other of the two sequences, wherein one of the sequences is substantially complementary to the sequence of the mRNA produced during expression of the PD-L1 gene. Thus, in this regard, a dsRNA should include two oligonucleotides, wherein one oligonucleotide is a sense strand as set forth in table 3 or table 5 and the second oligonucleotide is an antisense strand corresponding to the sense strand as set forth in table 3 or table 5. In certain embodiments, the substantially complementary sequences of the dsRNA are comprised on a single plurality of oligonucleotides. In other embodiments, the substantially complementary sequence of the dsRNA is contained on a single oligonucleotide.
It is to be understood that although the sequences in table 3 are not described as modified or conjugated sequences, the RNA in the iRNA of the invention (e.g., the dsRNA of the invention) may comprise any one of the sequences shown in table 3 that is modified, or the sequences shown in table 5, or the conjugated sequences shown in table 5. In other words, as described herein, the invention includes unmodified, unconjugated, modified or conjugated dsrnas as shown in tables 3 and 5.
It is clear to those skilled in the art that dsRNA having a duplex structure consisting of between about 20 and 23 base pairs (e.g., 21 base pairs) is generally considered to be particularly effective in inducing RNA interference (Elbashir et al, EMBO 2001, 20: 6877-. However, others have found that shorter or longer RNA duplex structures are also effective (Chu and Rana, (2007) RNA 14: 1714-1719; Kim et al, (2005) Nat Biotech 23: 222-226). In the above embodiments, the dsRNA described herein may comprise at least one strand that is at least 21 nucleotides in length, according to the properties of the oligonucleotide sequences provided in any one of table 3 and table 5. One reasonable expectation is that shorter duplexes having a sequence of only a few nucleotides at one or both ends of one of the sequences shown in tables 3 and 5 may have similar effectiveness compared to the above-described dsrnas. Thus, the following dsrnas should also be included within the scope of the invention: the dsRNA has a sequence consisting of at least 15, 16, 17, 18, 19, 20, or more contiguous nucleotides derived from any one of the sequences shown in tables 3 and 5, and which differs from a dsRNA comprising the complete sequence in inhibiting PD-L1 gene expression by no more than about 5%, 10%, 15%, 20%, 25%, or 30% inhibition.
In addition, the RNAs provided in tables 3 and 5 define the sites in the PD-L1 transcript at which RISC-mediated cleavage readily occurs. Thus, the invention also features irnas that target within one of these sites. An iRNA as used herein is considered to be targeted within a particular site of an RNA transcript if it promotes cleavage of the transcript anywhere within that site. Such irnas typically comprise at least about 15 contiguous nucleotides from one of the sequences provided in tables 3 and 5 coupled to other nucleotide sequences from a region adjacent to a selected sequence of the PD-L1 gene.
Although the target sequence is typically about 15-30 nucleotides in length, the suitability of a particular sequence within this range for directing cleavage of any given target RNA may vary greatly. While the various software packages and guidelines provided herein can guide the determination of the optimal target sequence for any given gene target, empirical methods can also be employed in which a "window" or "mask" of a given size (a non-limiting example being 21 nucleotides) is placed over the target RNA sequence in text or graphic form (including, for example, on a computer) to determine sequences within the size range that can serve as target sequences. By moving the sequence "window" gradually one nucleotide upstream or one nucleotide downstream of the initial target sequence position, the next potential target sequence can be identified until the entire set of possible sequences is identified for any given target size selected. Combining this process with systematic synthesis and testing of the determined sequences (using assays described herein or known in the art or provided herein) to determine the sequence with the best performance, one can determine the RNA sequence: when targeted by an iRNA agent, it is capable of mediating optimal inhibition of target gene expression. Thus, while the sequences identified in tables 3 and 5, for example, represent valid target sequences, it is contemplated that further optimization of inhibition efficiency may be achieved by progressively "advancing" the window one nucleotide upstream or downstream of a given sequence to identify sequences with the same or better inhibition characteristics.
Furthermore, it is contemplated that for any of the sequences identified, for example, as shown in tables 3 and 5, further optimization can be achieved by systematically adding or removing nucleotides to produce longer or shorter sequences and by making windows of longer or shorter size from that point up or down the target RNA. Likewise, the efficiency of inhibition can be further improved by combining this method of generating new candidate targets with a method of testing the effectiveness of irnas based on the target sequence by inhibition assays known in the art or described herein. In addition, such optimized sequences can be adjusted, e.g., by introducing modified nucleotides as described herein or known in the art, adding or modifying at the overhang, or other modifications known in the art or discussed herein, to further optimize the molecules for use as expression inhibitors (e.g., increase serum stability or circulating half-life, increase thermostability, enhance transmembrane delivery, target a particular location or cell type, increase interaction with silencing pathway enzymes, increase inclusion body release).
The irnas described herein may contain one or more mismatches with a target sequence. In one embodiment, an iRNA described herein contains no more than 3 mismatches. If the antisense strand of the iRNA contains a mismatch with the target sequence, then preferably the mismatch region is not centered in the complementary region. If the antisense strand of the iRNA contains a mismatch with the target sequence, the mismatch should preferably be limited to the last 5 nucleotides from the 5 'or 3' end of the complementary region. For example, for an iRNA agent having 23 nucleotides, the strand complementary to a region of the PD-L1 gene does not typically contain any mismatches within the central 13 nucleotides. The methods described herein or methods known in the art can be used to determine whether an iRNA containing a mismatch to the target sequence is effective in inhibiting the expression of the PD-L1 gene. It is important to consider the efficacy of mismatched irnas in inhibiting the expression of PD-L1 gene, especially where a particular complementary region in the PD-L1 gene is known to have polymorphic sequence variation within a population.
Modified iRNAs of the invention
In certain embodiments, the RNA of the iRNA (e.g., dsRNA) of the invention is unmodified and does not comprise, for example, chemical modifications or conjugation as known in the art and described herein. In other embodiments, the RNA of the iRNA (e.g., dsRNA) of the invention is chemically modified to enhance stability or other beneficial trait. In certain embodiments of the invention, substantially all of the nucleotides of the iRNA of the invention are modified. In other embodiments of the invention, all nucleotides of an iRNA, or substantially all nucleotides of an iRNA, are modified, i.e., no more than 5, 4, 3, 2, or 1 unmodified nucleotide is present in the strand of the iRNA.
The nucleic acids described in the present invention can be synthesized or modified by methods well established in the art, such as those described in "Current protocols in nucleic acid chemistry" Beaucage, S.L. et al, (Edrs.), John Wiley & Sons, Inc., New York, NY, USA, which is incorporated herein by reference. Modifications include, for example, terminal modifications such as 5 '-terminal modifications (phosphorylation, conjugation, inverted linkage) or 3' -terminal modifications (conjugation, DNA nucleotides, inverted linkage, etc.); base modifications, such as substitution with stabilized bases, destabilized bases, or bases that base pair with the expanded paired-set library, removal of bases (abasic nucleotides), or conjugated bases; sugar modifications (e.g., sugar modifications at the 2 '-or 4' -position) or sugar replacement; or backbone modifications, including modifications or substitutions to the phosphodiester bond. Specific examples of iRNA compounds useful in the embodiments described herein include, but are not limited to, RNAs that contain a modified backbone or that do not contain natural internucleoside linkages. The RNA having a modified backbone includes, in particular, an RNA having no phosphorus atom in the backbone. In the present specification, and sometimes also in the art, modified RNAs which do not have a phosphorus atom in the internucleoside backbone may also be considered oligonucleotides. In some embodiments, the modified iRNA should have a phosphorus atom in its internucleoside backbone.
Modified RNA backbones include, for example, phosphorothioates, chiral phosphorothioates, phosphorodithioates, phosphotriesters, aminoalkyl phosphotriesters, methyl and other alkyl phosphonates (including 3 '-alkylene phosphonates and chiral phosphonates), phosphinates, phosphoramidates (including 3' -phosphoramidate and aminoalkyl phosphoramidate), phosphoroamidates, thioalkyl phosphonates, thioalkyl phosphotriesters, and borane phosphates with normal 3 '-5' linkages, analogs thereof linked in a 2 '-5' manner, and RNA backbones with reversed polarity in which the linkage of the nearest nucleoside unit pair is from 3 '-5' to 5 '-3' or from 2 '-5' to 5 '-2'. Also included are various salt, mixed salt and free acid forms.
Representative U.S. patents that teach the preparation of the above-described phosphorus-containing bonds include, but are not limited to, U.S. patent nos. 3,687,808; 4,469,863; 4,476,301, respectively; 5,023,243; 5,177,195, respectively; 5,188,897, respectively; 5,264,423; 5,276,019; 5,278,302; 5,286,717, respectively; 5,321,131, respectively; 5,399,676, respectively; 5,405,939, respectively; 5,453,496, respectively; 5,455,233, respectively; 5,466,677, respectively; 5,476,925, respectively; 5,519,126, respectively; 5,536,821, respectively; 5,541,316, respectively; 5,550,111, respectively; 5,563,253, respectively; 5,571,799, respectively; 5,587,361, respectively; 5,625,050, respectively; 6,028,188, respectively; 6,124,445, respectively; 6,160,109, respectively; 6,169,170, respectively; 6,172,209, respectively; 6,239,265, respectively; 6,277,603, respectively; 6,326,199, respectively; 6,346,614, respectively; 6,444,423, respectively; 6,531,590, respectively; 6,534,639, respectively; 6,608,035, respectively; 6,683,167, respectively; 6,858,715, respectively; 6,867,294, respectively; 6,878,805, respectively; 7,015,315, respectively; 7,041,816, respectively; 7,273,933, respectively; 7,321,029, respectively; and U.S. patent No. RE39464, the entire contents of each of which are incorporated herein by reference.
The modified RNA backbone not including the phosphorus atom has a backbone formed from: short chain alkyl or cycloalkyl internucleoside linkages, mixed heteroatom and alkyl or cycloalkyl internucleoside linkages, or one or more short chain heteroatom or heterocyclic internucleoside linkages. These include backbones with morpholino linkages (formed in part from the sugar portion of the nucleoside); a siloxane backbone; sulfide, sulfoxide and sulfone backbones; a formyl (formacetyl) skeleton and a thioformyl (thioformacetyl) skeleton; methylene formyl and methylene thiocarbonyl backbones; an olefin-containing backbone; a sulfamate backbone; methylene imino and methylene hydrazino backbones; sulfonate and sulfonamide backbones; an amide skeleton; and having N, O, S and CH mixed2Other backbones of the component parts.
Representative U.S. patents that teach the preparation of the above oligonucleotides include, but are not limited to, U.S. Pat. nos. 5,034,506; 5,166,315, respectively; 5,185,444, respectively; 5,214,134, respectively; 5,216,141, respectively; 5,235,033, respectively; 5,64, 562; 5,264,564, respectively; 5,405,938, respectively; 5,434,257, respectively; 5,466,677, respectively; 5,470,967, respectively; 5,489,677; 5,541,307, respectively; 5,561,225, respectively; 5,596,086, respectively; 5,602,240; 5,608,046, respectively; 5,610,289, respectively; 5,618,704, respectively; 5,623,070, respectively; 5,663,312, respectively; 5,633,360, respectively; 5,677,437 and 5,677,439, each of which is incorporated by reference herein in its entirety.
Suitable RNA mimetics are contemplated for use in the irnas provided herein, wherein both the sugar and internucleoside linkages (i.e., the backbone) of the nucleotide units are replaced with a new group. The base units are retained for hybridization with the appropriate nucleic acid target compounds. Oligomeric compounds are referred to as Peptide Nucleic Acids (PNAs) if the RNA mimic in such compounds has been shown to have excellent hybridization properties. In PNA compounds, the sugar backbone of RNA is replaced by an amide-containing backbone, in particular an aminoethylglycine backbone. The nucleobases are retained and directly or indirectly bound to the aza nitrogen atoms of the amide portion of the backbone. Representative U.S. patents that teach the preparation of PNA compounds include, but are not limited to, U.S. Pat. nos. 5,539,082; 5,714,331 and 5,719,262, the entire contents of each of which are incorporated herein by reference. Additional PNA compounds suitable for use in the iRNAs of the present invention are described, for example, in Nielsen et al, Science, 1991, 254, 1497-1500.
Some embodiments described herein include RNAs with phosphorothioate backbones and oligonucleotides with heteroatom backbones, particularly- -CH as shown in U.S. Pat. No. 5,489,677, cited above2--NH--CH2-,--CH2--N(CH3)--O--CH2- - - [ named methylene (methylimino) or MMI skeleton],--CH2--O--N(CH3)--CH2--,--CH2--N(CH3)--N(CH3)--CH2- - -and- -N (CH)3)--CH2--CH2- - - - - - - - - - - - - - - - - - - - - - - - - - - - - - - - - - - - - - - - - - - - - - - - - - - - - - - - - - - - - - - - - - - - - - - - - - - - - - - - - - - - - - - - - - - - - -natural phosphodiester backbone as- -O- -P- -O- -CH2--]And the amide backbone shown in U.S. Pat. No. 5,602,240, cited above. In some embodiments, the RNA described herein has a morpholino backbone structure as shown in U.S. patent No. 5,034,506, cited above.
The modified RNA may also contain one or more substituted sugar moieties. The iRNA (e.g., dsRNA) described herein can include one of the following at the 2' -position: OH; f; o-, S-or N-alkyl; o-, S-or N-alkenyl; o-, S-or N-alkynyl; or O-alkyl-O-alkyl, wherein the alkyl, alkenyl and alkynyl groups may be substituted or unsubstituted C1To C10Alkyl or C2To C10Alkenyl and alkynyl groups. Exemplary suitable modifications include O [ (CH)2)nO]mCH3、O(CH2).nOCH3、O(CH2)nNH2、O(CH2)nCH3,O(CH2)nONH2And O (CH)2)nON[(CH2)nCH3)]2Wherein n and m are from 1 to about 10. In other embodiments, the dsRNA comprises at the 2' position one of: c1To C10Lower alkyl, substituted lower alkyl, alkylaryl, arylalkyl, O-alkylaryl or O-arylalkyl, SH, SCH3、OCN、Cl、Br、CN、CF3、OCF3、SOCH3、SO2CH3、ONO2、NO2、N3、NH2Heterocycloalkyl, heterocycloalkylaryl, aminoalkylamino, polyalkylamino, substituted silyl, RNA cleaving group, reporter group, intercalator, group for improving pharmacokinetic properties of iRNA or for improving pharmacodynamic properties of iRNA, and other substituents with similar properties. In some embodiments, the modification comprises 2 '-methoxyethoxy (2' -O- -CH)2CH2OCH3Also known as 2 '-O- (2-methoxyethyl) or 2' -MOE) (Martin et al, Helv. Chim. acta, 1995, 78: 486-504), i.e., alkoxy-alkoxy groups. Another exemplary modification is 2' -dimethylaminoxyethoxy, i.e., O (CH), described in the examples below2)2ON(CH3)2The group (also known as 2 ' -DMAOE), and 2 ' -dimethylaminoethoxyethoxy (also known in the art as 2 ' -O-dimethylaminoethoxyethyl or 2 ' -DMAEOE), i.e., 2 ' -O- -CH2--O--CH2--N(CH2)2. Other exemplary modifications include: 5 '-Me-2' -F nucleotides, 5 '-Me-2' -OMe nucleotides, 5 '-Me-2' -deoxynucleotides, (the three family of R and S isomers); 2' -alkoxyalkyl; and 2' -NMA (N-methylacetamide).
Other modifications include 2 '-methoxy (2' -OCH)3) 2 '-Aminopropoxy (2' -OCH)2CH2CH2NH2) And 2 '-fluoro (2' -F). It is also possible to add the RNA to the iRNA at other positions, in particular at the 3 ' position of the sugar on the 3 ' terminal nucleotide or in 2 ' -5 ' linked dsRNA and at the 5 ' endSimilar modifications are made at the 5' position of the terminal nucleotide. irnas can also have sugar mimetics, such as a cyclobutyl moiety in place of a pentofuranosyl sugar. Representative U.S. patents that teach the preparation of such modified sugar structures include, but are not limited to, U.S. patent nos. 4,981,957; 5,118,800, respectively; 5,319,080, respectively; 5,359,044, respectively; 5,393,878, respectively; 5,446,137, respectively; 5,466,786, respectively; 5,514,785, respectively; 5,519,134, respectively; 5,567,811, respectively; 5,576,427, respectively; 5,591,722, respectively; 5,597,909, respectively; 5,610,300, respectively; 5,627,053, respectively; 5,639,873, respectively; 5,646,265, respectively; 5,658,873, respectively; 5,670,633, respectively; and 5,700,920, some of which are also owned by the applicant of the present application. The entire contents of each of the foregoing are incorporated herein by reference.
irnas may also include modifications or substitutions of nucleobases (often referred to in the art simply as "bases"). As used herein, "unmodified" or "natural" nucleobases include purine bases such as adenine (A) and guanine (G), and pyrimidine bases such as thymine (T), cytosine (C) and uracil (U). Modified nucleobases include other synthetic and natural nucleobases such as deoxythymine (dT), 5-methylcytosine (5-me-C), 5-hydroxymethylcytosine, xanthine, hypoxanthine, 2-aminoadenine, 6-methyl and other alkyl derivatives of adenine and guanine, 2-propyl and other alkyl derivatives of adenine and guanine, 2-thiouracil, 2-thiothymine and 2-thiocytosine, 5-halouracil and cytosine, 5-propynyluracil and cytosine, 6-azouracil, cytosine and thymine, 5-uracil (pseudouracil), 4-thiouracil, 8-halo, 8-amino, 8-thiol, 8-thioalkyl, 3-thiouracil, and the like, 8-hydroxy and other adenine and guanine substituted at position 8, 5-halo (especially 5-bromo), 5-trifluoromethyl and other uracil and cytosine substituted at position 5, 7-methylguanine and 7-methyladenine, 8-azaguanine and 8-azaadenine, 7-deazaguanine and 7-deazaadenine and 3-deazaguanine and 3-deazaadenine. Other nucleobases include the nucleobases disclosed in U.S. Pat. No. 3,687,808, the nucleobases disclosed in Modified nucleotides in Biochemistry, Biotechnology and Medicine, Herdewijn, P.ed.Wiley-VCH, 2008; nucleobases disclosed in The sense Encyclopedia Of Polymer Science And Engineering, pages 858-859, Kroschwitz, J.L et al John Wiley & Sons, 1990, nucleobases disclosed in Englisch et al, Angewandte Chemie, International Edition, 1991, 30, 613, And nucleobases disclosed in Sanghvi, Y S.15, dsRNA Research And Applications, p.289-302, Croke, S.T. And Lebleu, B.et al CRC Press, 1993. Some of these nucleobases are particularly useful for enhancing the binding affinity of the oligomeric compounds of the invention. These nucleobases include 5-substituted pyrimidines, 6-azapyrimidines and N-2, N-6 and 0-6 substituted purines, including 2-aminopropyladenine, 5-propynyluracil and 5-propynylcytosine. Substitutions of 5-methylcytosine have been shown to increase the stability of the nucleic acid duplex by 0.6-1.2 deg.C (Sanghvi, Y.S., crook, S.T. and Lebleu, B. et al, dsRNA Research and Applications, CRC Press, Boca Raton, 1993, pages 276 and 278) and are also exemplary base substitutions, particularly when combined with 2' -O-methoxyethyl sugar modifications.
Representative U.S. patents that teach the preparation of certain modified nucleobases as described above, as well as other modified nucleobases, include, but are not limited to, the aforementioned U.S. Pat. nos. 3,687,808, 4,845,205; 5,130, 30; 5,134,066, respectively; 5,175,273, respectively; 5,367,066, respectively; 5,432,272; 5,457,187, respectively; 5,459,255; 5,484,908, respectively; 5,502,177, respectively; 5,525,711, respectively; 5,552,540, respectively; 5,587,469, respectively; 5,594,121, 5,596,091; 5,614,617, respectively; 5,681,941, respectively; 5,750,692, respectively; 6,015,886, respectively; 6,147,200, respectively; 6,166,197, respectively; 6,222,025, respectively; 6,235,887, respectively; 6,380,368, respectively; 6,528,640, respectively; 6,639,062, respectively; 6,617,438, respectively; 7,045,610, respectively; 7,427,672, and 7,495,088, each of which is incorporated by reference herein in its entirety.
The RNA of the iRNA may also be modified to include one or more Locked Nucleic Acids (LNAs). A locked nucleic acid is a nucleotide having a modified ribose moiety, wherein the ribose moiety comprises an additional bridge connecting the 2 'and 4' carbons. This structure effectively "locks" the ribose sugar in the 3' -internal structural conformation. Addition of locked Nucleic Acids to siRNA has been shown to increase siRNA stability in serum and reduce off-target effects (Elmen, J. et al, (2005) Nucleic Acids Research 33 (1): 439. 447; Mook, OR. et al, (2007) Mol Canc Ther6 (3): 833. 843; Grunweller, A. et al, (2003) Nucleic Acids Research 31 (12): 3185. 3193).
In some embodiments, the iRNA of the invention comprises one or more monomers that are UNA (unlocked nucleic acid) nucleotides. UNA is an unlocked acyclic nucleic acid in which any linkages of the sugar have been removed, thereby forming an unlocked "sugar" residue. In one example, UNA also encompasses monomers in which the bonds between C1 '-C4' have been removed (i.e., covalent carbon-oxygen-carbon bonds between C1 'and C4' carbons). In another example, the C2 '-C3' bond (i.e., the covalent carbon-carbon bond between the C2 'and C3' carbons) of the sugar has been removed (see nuc. acids symp. series, 52, 133-.
The RNA of the iRNA may also be modified to include one or more bicyclic sugar moieties. A "bicyclic sugar" is a furanosyl ring modified by bridging two atoms. A "bicyclic nucleoside" ("BNA") is a nucleoside having a sugar moiety comprising a bridge connecting two carbon atoms of the sugar ring, thereby forming a bicyclic ring system. In certain embodiments, the bridge connects the 4 '-carbon and the 2' -carbon of the sugar ring. Thus, in some embodiments, the agents of the invention may comprise one or more Locked Nucleic Acids (LNAs). A locked nucleic acid is a nucleotide having a modified ribose moiety, wherein the ribose moiety comprises an additional bridge linking the 2 'and 4' carbons. In other words, an LNA is a nucleotide comprising a bicyclic sugar moiety comprising a 4' -CH2-O-2' bridge. This structure effectively "locks" the ribose in the 3' -internal structural conformation. Addition of locked Nucleic Acids to siRNA has been shown to increase the stability of siRNA in serum and reduce off-target effects (Elmen, J. et al, (2005) Nucleic Acids Research 33 (1): 439. sup., (Mook, OR. et al, (2007) Mol Canc Ther 6 (3): 833. sup. -. 843; Grunweller, A. et al, (2003) Nucleic Acids Research 31 (12): 3185. sup. 3193). Examples of bicyclic nucleosides for use in the polynucleotides of the invention include, but are not limited to, those containing 4 'and 2' ribosyl groupsNucleosides that are bridges between ring atoms. In certain embodiments, the antisense polynucleotide agents of the invention comprise one or more bicyclic nucleosides comprising a 4 'to 2' bridge. Examples of such 4 ' to 2 ' bridged bicyclic nucleosides include, but are not limited to, 4 ' - (CH)2)-O-2′(LNA);4′-(CH2)-S-2′;4′-(CH2)2-O-2′(ENA);4'-CH(CH3) -O-2 '(also known as "limiting ethyl" or "cEt") and 4' -CH (CH)2OCH3) -O-2' (and analogs thereof; see, for example, U.S. patent No. 7,399,845); 4' -C (CH)3)(CH3) -O-2' (and analogs thereof; see, for example, U.S. patent No. 8,278,283); 4' -CH2-N(OCH3) -2' (and analogs thereof; see, for example, U.S. patent No. 8,278,425); 4' -CH2-O-N(CH3) -2' (see, e.g., U.S. patent publication No. 2004/0171570); 4' -CH2-n (R) -O-2', wherein R is H, C1-C12 alkyl, or a protecting group (see, e.g., U.S. patent No. 7,427,672); 4' -CH2-C(H)(CH3) -2' (see, e.g., chattopadhhyaya et al, j. org. chem., 2009, 74, 118-; and 4' -CH2-C(=CH2) -2' (and analogs thereof; see, for example, U.S. patent No. 8,278,426). The entire contents of each of the foregoing are incorporated herein by reference.
Other representative U.S. patents and U.S. patent publications that teach the preparation of nucleotides for locked nucleic acids include, but are not limited to, the following: U.S. Pat. nos. 6,268,490; 6,525,191, respectively; 6,670,461; 6,770,748; 6,794,499, respectively; 6,998,484; 7,053,207, respectively; 7,034,133; 7,084,125, respectively; 7,399,845, respectively; 7,427,672, respectively; 7,569,686, respectively; 7,741,457, respectively; 8,022,193, respectively; 8,030,467, respectively; 8,278,425, respectively; 8,278,426, respectively; 8,278,283, respectively; US 2008/0039618 and US 2009/0012281, the entire contents of each of which are incorporated herein by reference.
Any of the foregoing bicyclic nucleosides can be prepared having one or more stereochemical sugar configurations, including, for example, α -L-ribofuranose and β -D-ribofuranose (see WO 99/14226).
The RNA of the iRNA can also be modified to include one or more restriction enzymes A base nucleotide. As used herein, a "restriction ethyl nucleotide" or "cEt" is a locked nucleic acid comprising a bicyclic sugar moiety comprising a 4' -CH (CH)3) -an O-2' bridge. In one embodiment, the restriction ethyl nucleotide is in the S conformation, referred to herein as "S-cEt".
The iRNA of the invention may also include one or more "conformationally constrained nucleotides" ("CRN"). CRN is a nucleotide analog with a linker that connects the C2 ' and C4 ' carbons of the ribose or the C3 and C5 ' carbons of the ribose. CRN locks the ribose ring in a stable conformation and increases hybridization affinity for mRNA. The linker is of sufficient length to place the oxygen in the optimal position for stability and affinity, resulting in less ribose ring folding.
Representative publications teaching the preparation of certain of the above CRNs include, but are not limited to, U.S. patent publication nos. 2013/0190383; and PCT publication No. WO 2013/036868, the entire contents of each of which are incorporated herein by reference.
In some embodiments, the iRNA of the invention comprises one or more monomers that are nucleotides of UNA (unlocked nucleic acid). UNA is an unlocked acyclic nucleic acid in which any linkage to the sugar has been removed, thereby forming an unlocked "sugar" residue. In one example, UNA also encompasses monomers in which the bonds between C1 '-C4' have been removed (i.e., covalent carbon-oxygen-carbon bonds between C1 'and C4' carbons). In another example, the C2 '-C3' bond (i.e., the covalent carbon-carbon bond between the C2 'and C3' carbons) of the sugar has been removed (see nuc. acids symp. series, 52, 133-134(2008) and Fluiter et al, mol. biosystem., 2009, 10, 1039, which is incorporated herein by reference).
Representative U.S. patent publications teaching the preparation of UNA include, but are not limited to, U.S. patent nos. 8,314,227; and U.S. patent publication No. 2013/0096289; 2013/0011922, respectively; and 2011/0313020, each of which is incorporated by reference herein in its entirety.
Modifications that have potential stabilizing effects on the ends of RNA molecules can include N- (acetylhexanoyl) -4-hydroxyprolinol (Hyp-C6-NHAc), N- (hexanoyl-4-hydroxyprolinol (Hyp-C6), N- (acetyl-4-hydroxyprolinol (Hyp-NHAc), thymidine-2' -0-deoxythymidine (ether), N- (aminocaproyl) -4-hydroxyprolinol (Hyp-C6-amino), 2-docosanoyl-uridine-3 "-phosphate, the trans base dt (idt), etc. the disclosure of such modifications can be found in PCT publication No. WO 2011/005861.
Other modifications of the nucleotides of the irnas of the invention include 5 ' phosphates or 5 ' phosphate mimetics, e.g., 5 ' terminal phosphates or phosphate mimetics on the antisense strand of the iRNA. Suitable phosphate mimetics are disclosed, for example, in U.S. patent publication No. 2012/0157511 (the entire contents of which are incorporated herein by reference).
A. Modified iRNA comprising the motifs of the invention
In certain aspects of the invention, the double stranded RNAi agents described herein include agents having, for example, the chemical modifications disclosed in O2013/075035 (each of which is incorporated herein by reference in its entirety). WO2013/075035 provides a motif with three identical modifications on three consecutive nucleotides to the sense or antisense strand of a dsRNAi agent (at or near the cleavage site). In some embodiments, the sense and antisense strands of the dsRNAi agent can be fully modified. Introduction of these motifs interferes with the modification pattern of the sense or antisense strand, if present. The dsRNAi agent can optionally be conjugated (e.g., on the sense strand) to a GalNAc derivative ligand.
More specifically, gene silencing activity of the dsRNAi agent is observed when the sense and antisense strands of the double stranded RNAi agent are fully modified to have three identically modified motifs or motifs on three consecutive nucleotides at or near the cleavage site of at least one strand of the dsRNAi agent.
Accordingly, the present invention provides double-stranded RNAi agents capable of inhibiting expression of a target gene (i.e., PD-L1 gene) in vivo. The RNAi agent includes a sense strand and an antisense strand. Each strand of the RNAi agent can independently be 12-30 nucleotides in length. For example, each strand may independently be 14-30 nucleotides in length, 17-30 nucleotides in length, 25-30 nucleotides in length, 27-30 nucleotides in length, 17-23 nucleotides in length, 17-21 nucleotides in length, 17-19 nucleotides in length, 19-25 nucleotides in length, 19-23 nucleotides in length, 19-21 nucleotides in length, 21-25 nucleotides in length, or 21-23 nucleotides in length.
The sense and antisense strands typically form double-stranded RNA ("dsRNA") of a duplex, which is also referred to herein as a "dsRNAi agent. The duplex region of the dsRNAi agent can be 12-30 nucleotide pairs in length. For example, the duplex region may be 14-30 nucleotide pairs in length, 17-30 nucleotide pairs in length, 27-30 nucleotide pairs in length, 17-23 nucleotide pairs in length, 17-21 nucleotide pairs in length, 17-19 nucleotide pairs in length, 19-25 nucleotide pairs in length, 19-23 nucleotide pairs in length, 19-21 nucleotide pairs in length, 21-25 nucleotide pairs in length, or 21-23 nucleotide pairs in length. In another example, the duplex region has a length selected from 15, 16, 17, 18, 19, 20, 21, 22, 23, 24, 25, 26, 27, 28, 29, or 30 nucleotides.
In certain embodiments, the sense strand and antisense strand may be longer. For example, in certain embodiments, the sense strand and the antisense strand are independently 25-35 nucleotides in length. In certain embodiments, each of the sense and antisense strands is independently 27-53 nucleotides in length, e.g., 27-49, 31-49, 33-49, 35-49, 37-49, and 39-49 nucleotides in length.
In certain embodiments, the dsRNAi agent can comprise one or more overhang regions or capping groups at the 3 'end, the 5' end, or both ends of one or both strands. The overhangs may independently have a length of 1-6 nucleotides, such as a length of 2-6 nucleotides, a length of 1-5 nucleotides, a length of 2-5 nucleotides, a length of 1-4 nucleotides, a length of 2-4 nucleotides, a length of 1-3 nucleotides, a length of 2-3 nucleotides, or a length of 1-2 nucleotides. In certain embodiments, the overhang region can comprise an extended overhang region provided above. The overhang may be the result of one strand being longer than the other strand, or the result of two strands having the same length being staggered. The overhang may form a mismatch with the target mRNA, or it may be complementary to the targeted gene sequence, or may be another sequence. The first and second strands may also be joined, for example, by additional bases to form a hairpin, or by other non-base linkers.
In certain embodiments, the nucleotides in the overhang region of the dsRNAi agent can each independently be modified or unmodified nucleotides, including, but not limited to, 2 '-sugar modified nucleotides such as 2' -F, 2 '-O-methyl, thymidine (T), 2' -O-methoxyethyl-5-methyluridine (Teo), 2 '-O-methoxyethyl adenosine (Aeo), 2' -O-methoxyethyl-5-methylcytidine (m5Ceo), and any combination thereof. For example, TT may be an overhang sequence at either end of either strand. The overhang may form a mismatch with the target mRNA, or it may be complementary to the targeted gene sequence, or may be another sequence.
The 5 '-or 3' -overhang on the sense strand, antisense strand, or both strands of the dsRNAi agent can be phosphorylated. In some embodiments, the overhang region contains two nucleotides with a phosphorothioate between the two nucleotides, wherein the two nucleotides may be the same or different. In some embodiments, the overhang is present at the 3' end of the sense strand, antisense strand, or both strands. In some embodiments, the 3' -overhang is present on the antisense strand. In some embodiments, the 3' -overhang is present on the sense strand.
The dsRNAi agent can contain only a single overhang that enhances the interfering activity of the RNAi but does not affect its overall stability. For example, the single-stranded overhang may be located at the 3 'terminus of the sense strand, or alternatively, at the 3' terminus of the antisense strand. The RNAi may also have a blunt end located at the 5 'end of the antisense strand (or the 3' end of the sense strand), or vice versa. Typically, the antisense strand of the dsRNAi agent has a nucleotide overhang at the 3 'end, and a blunt end at the 5' end. Without wishing to be bound by theory, the blunt end at the 5 'end of the asymmetric antisense strand and the overhang at the 3' end of the antisense strand facilitate the process of loading the guide strand into the RISC.
In certain embodiments, the dsRNAi agent is a double ended blunt end (double ended blunt) 19 nucleotides in length, wherein the sense strand contains at least one motif with three 2 '-F modifications on three consecutive nucleotides at positions 7, 8, and 9 from the 5' terminus. The antisense strand contains at least one motif having three 2 '-O-methyl modifications on three consecutive nucleotides at positions 11, 12, and 13 from the 5' terminus.
In other embodiments, the dsRNAi agent is a double-ended blunt end of 20 nucleotides in length, wherein the sense strand contains at least one motif having three 2 '-F modifications on three consecutive nucleotides at positions 8, 9, and 10 from the 5' terminus. The antisense strand contains at least one motif having three 2 '-O-methyl modifications on three consecutive nucleotides at positions 11, 12, and 13 from the 5' terminus.
In other embodiments, the dsRNAi agent is a double-ended blunt end of 21 nucleotides in length, wherein the sense strand contains at least one motif having three 2 '-F modifications on three consecutive nucleotides at positions 9, 10, and 11 from the 5' terminus. The antisense strand contains at least one motif having three 2 '-O-methyl modifications on three consecutive nucleotides at positions 11, 12, and 13 from the 5' terminus.
In certain embodiments, the dsRNAi agent comprises a sense strand of 21 nucleotides and an antisense strand of 23 nucleotides, wherein the sense strand contains at least one motif having three 2 '-F modifications on three consecutive nucleotides at positions 9, 10, and 11 from the 5' terminus; the antisense strand contains at least one motif having three 2 '-O-methyl modifications on three consecutive nucleotides at positions 11, 12, and 13 from the 5' terminus, wherein one end of the RNAi agent is blunt and the other end comprises a overhang having 2 nucleotides. Preferably, the overhang having 2 nucleotides is located at the 3' end of the antisense strand.
When the overhang having 2 nucleotides is located at the 3' end of the antisense strand, there may be two phosphorothioate internucleotide linkages between the three nucleotides at the end, where two of the three nucleotides are overhang nucleotides and the third nucleotide is the partner nucleotide adjacent to the overhang nucleotide. In one embodiment, further, the RNAi agent has two phosphorothioate internucleotide linkages between the terminal three nucleotides at the 5 'end of the sense strand and the 5' end of the antisense strand. In certain embodiments, each nucleotide in the sense and antisense strands of the dsRNAi agent, including the nucleotide that is part of the motif, is a modified nucleotide. In certain embodiments, each residue is independently modified with 2 '-O-methyl or 3' -fluoro, e.g., in an alternating motif. Optionally, the dsRNAi agent further comprises a ligand (preferably GalNAc)3)。
In certain embodiments, the dsRNAi agent comprises a sense strand and an antisense strand, wherein the sense strand is 25-30 nucleotide residues in length, wherein positions 1 to 23, starting from the 5' terminal nucleotide (position 1) of the first strand, comprise at least 8 ribonucleotides; the antisense strand is 36-66 nucleotide residues in length and includes at least 8 ribonucleotides, starting at the 3' terminal nucleotide, at positions that pair with positions 1-23 of the sense strand, thereby forming a duplex; wherein at least the 3 ' terminal nucleotide of the antisense strand is unpaired with the sense strand and up to 6 consecutive 3 ' terminal nucleotides are unpaired with the sense strand, thereby forming a 3 ' single stranded overhang having 1-6 nucleotides; wherein the 5 'end of the antisense strand comprises 10-30 contiguous nucleotides that are not paired with the sense strand, thereby forming a single-stranded 5' overhang having 10-30 nucleotides; wherein when the sense and antisense strands are aligned for maximum complementarity, a substantially duplex region is formed between the sense and antisense strands if at least the 5 'and 3' terminal nucleotides of the sense strand base pair with the nucleotides of the antisense strand; and the antisense strand is sufficiently complementary to the target RNA over at least 19 ribonucleotides along the length of the antisense strand to reduce expression of the target gene when the double-stranded nucleic acid is introduced into a mammalian cell; and wherein the sense strand comprises at least one motif comprising three 2' -F modifications on three consecutive nucleotides, wherein at least one of the motifs occurs at or near the cleavage site. The antisense strand has a motif with three 2' -O-methyl modifications on at least one consecutive nucleotide at or near the cleavage site.
In certain embodiments, the dsRNAi agent comprises a sense strand and an antisense strand, wherein the dsRNAi agent comprises a first strand and a second strand, the first strand having a length of at least 25 and at most 29 nucleotides, and the second strand having a length of at most 30 nucleotides, and having at least one motif with three 2 '-O-methyl modifications on three consecutive nucleotides at positions 11, 12, 13 from the 5' terminus; wherein the 3 'end of the first strand and the 5' end of the second strand form a blunt end and the second strand is 1-4 nucleotides longer than the first strand at its 3 'end, wherein the duplex region is at least 25 nucleotides in length and the second strand is sufficiently complementary to the target mRNA over at least 19 ribonucleotides along the length of the second strand to reduce expression of the target gene when the RNAi agent is introduced into a mammalian cell, and wherein cleavage of the dsRNAi agent by Dicer preferentially results in production of siRNA comprising the 3' end of the second strand, thereby reducing expression of the target gene in the mammal. Optionally, the dsRNAi agent further comprises a ligand.
In certain embodiments, the sense strand of the dsRNAi agent contains at least one motif having three identical modifications on three consecutive nucleotides, wherein one of the motifs occurs at the cleavage site of the sense strand.
In certain embodiments, the antisense strand of the dsRNAi agent can also contain at least one motif having three identical modifications on three consecutive nucleotides, wherein one of the motifs occurs at or near the cleavage site of the antisense strand.
For dsRNAi agents having a duplex region 17-23 nucleotides in length, the cleavage site of the antisense strand is typically near positions 10, 11 and 12 from the 5' terminus. Thus, in the case of counting from the first nucleotide at the 5 'end of the antisense strand, or from the first paired nucleotide in the double-stranded region at the 5' end of the antisense strand, motifs with three identical modifications may be at positions 9, 10, 11 of the antisense strand; positions 10, 11 and 12; positions 11, 12 and 13; positions 12, 13 and 14; or at positions 13, 14 and 15. The cleavage site in the antisense strand can also vary depending on the length of the duplex region of the dsRNAi agent from the 5' terminus.
The sense strand of the dsRNAi agent can contain at least one motif having three identical modifications on three consecutive nucleotides at the cleavage site of the strand; and the antisense strand may contain at least one motif having three identical modifications on three consecutive nucleotides at or near the cleavage site of the strand. When the sense strand and the antisense strand form a dsRNA duplex, the sense strand and the antisense strand may be arranged such that one motif with three nucleotides on the sense strand and one motif with three nucleotides on the antisense strand have an overlap of at least one nucleotide, i.e., at least one of the three nucleotides of the motif in the sense strand forms a base pair with at least one of the three nucleotides of the motif in the antisense strand. Alternatively, at least two nucleotides may overlap, or all three nucleotides may overlap.
In some embodiments, the sense strand of the dsRNAi agent can contain more than one motif with three identical modifications on three consecutive nucleotides. The first motif may be present at or near the cleavage site of the strand, while the other motif may be a wing modification. The term "winged modification" as used herein refers to a motif present on another part of the strand that is distinguished from the motif at or near the cleavage site of the same strand. The flanking modifications are either adjacent to the first motif or separated by at least one or more nucleotides. When the motifs are in close proximity to each other, then the chemical properties of the motifs are different from each other, and when the motifs are separated by one or more nucleotides, then the chemical properties may be the same or different. Two or more wing modifications may be present. For example, when there are two flanking modifications, each of the flanking modifications may be present at one end of the first motif, or on both sides of the guide motif, present at or near the cleavage site.
Like the sense strand, the antisense strand of the dsRNAi agent can contain more than one motif with three identical modifications on three consecutive nucleotides, with at least one of the motifs occurring at or near the cleavage site of the strand. Such antisense strands may also comprise one or more flanking modifications, arranged similarly to the flanking modifications on the sense strand.
In some embodiments, the flanking modifications on the sense strand or antisense strand of the dsRNAi agent do not typically include the first one or two terminal nucleotides on the 3 'end, 5' end, or both ends of the strand.
In some embodiments, the flanking modifications on the sense or antisense strand of the dsRNAi agent do not typically include the first one or two paired nucleotides in the duplex region on the 3 'end, 5' end, or both ends of the strand.
When the sense and antisense strands of the dsRNAi agent each comprise at least one flanking modification, the flanking modifications may fall at the same end of the duplex region and have an overlap of one, two, or three nucleotides.
When the sense strand and antisense strand of the dsRNAi agent each comprise at least two flanking modifications, the sense strand and antisense strand can be arranged such that two modifications, each from one strand, fall at one end of the duplex region and have an overlap of one, two, or three nucleotides; two modifications, each from one strand, fall at the other end of the duplex region and have an overlap of one, two, or three nucleotides; the two modifications from one strand flank the guide motif and have an overlap of one, two or three nucleotides in the duplex region.
In some embodiments, each nucleotide in the sense and antisense strands of the dsRNAi agent can be modified, including the nucleotide as part of a motif. Each nucleotide may be modified with the same or different modifications, which may include one or more changes to one or both non-linked phosphate oxygens or one or more linked phosphate oxygens; altering the composition of ribose, e.g., altering the 2' -hydroxyl group on ribose; replacing the phosphate portion in bulk with a "dephosphorized" linker; modifying or replacing a naturally occurring base; and replacement or modification of the ribose phosphate backbone.
Since nucleic acids are polymers of subunits, many modifications occur at repeated positions within the nucleic acid, for example, base modifications, or phosphate moiety modifications, or modifications of non-linked O of the phosphate moiety. In some cases, modifications will occur at all target positions (sites) in the nucleic acid, but in many cases this will not occur. For example, the modification may occur only at the 3 '-or 5' -terminal position, may occur only in the terminal region, e.g., at the terminal nucleotide or on the last 2, 3, 4, 5 or 10 nucleotides of the strand. The modification may occur in the double-stranded region, the single-stranded region, or both. The modification may occur only in the double-stranded region of the dsRNAi agent, or may occur only in the single-stranded region of the dsRNAi agent. For example, phosphorothioate modifications at non-linked O positions may occur only at one or both ends, may occur only in the terminal region, e.g., at the terminal nucleotide, or on the last 2, 3, 4, 5 or 10 nucleotides of the strand, or may occur in double-stranded and single-stranded regions, particularly at the ends. The one or both 5' ends may be phosphorylated.
It is possible, for example, to enhance stability, to include specific bases in the overhang, or to include modified nucleotides or nucleotide substitutes in the single-stranded overhang, for example, in the 5 'or 3' overhang or in both overhangs. For example, it may be desirable to include a purine nucleotide in the overhang. In some embodiments, all or some of the bases in the 3 '-or 5' -overhang may be modified, e.g., with the modifications described herein. Modifications can include, for example, the use of modifications known in the art at the 2 ' position of the ribose sugar, e.g., the use of deoxyribonucleotides modified with 2 ' -deoxy-2 ' -fluoro (2 ' -F) or 2 ' -O-methyl rather than the ribose sugar of the nucleobase, and modifications in the phosphate group (e.g., phosphorothioate modifications). The overhang need not be homologous to the target sequence.
In some embodiments, each residue of the sense and antisense strands is independently LNA modified, CRN modified, cET modified, UNA modified, HNA modified, CeNA modified, 2 ' -methoxyethyl modified, 2 ' -O-methyl modified, 2 ' -O-allyl modified, 2 ' -C-allyl modified, 2 ' -deoxy modified, 2 ' -hydroxy modified, or 2 ' -fluoro modified. The chain may contain more than one modification. In one embodiment, each residue of the sense and antisense strands is independently modified with 2 '-O-methyl or 2' -fluoro.
Typically, there are at least two different modifications on the sense and antisense strands. These two modifications may be 2 '-O-methyl modifications or 2' -fluoro modifications, or others.
In certain embodiments, NaOr NbComprising modifications in alternating form. The term "alternating motif" as used herein refers to a motif having one or more modifications, each modification occurring on alternating nucleotides of one strand. The alternating nucleotides can refer to alternating nucleotides at intervals or every third alternating nucleotide, or other similar patterns. For example, if A, B and C each represent a modification to a nucleotide, the alternating motif can be "abababababab.", "aabbaabbaabbaabb.", "aababaabab.", "aaabaabaabaabaaba.", "aaabaabaabaaba.", "aaabbabaababba.bb." or "abbcabcabcabc." or the like.
The types of modifications contained in the alternating motifs may be the same or different. For example, if A, B, C, D each represents a type of modification on a nucleotide, the alternating pattern (i.e., modifications on every other nucleotide) may be the same, but each sense or antisense strand may be selected from some possible modifications in the alternating motif, e.g., "ababab.
In some embodiments, the dsRNAi agents described herein comprise a pattern of modifications to alternating motifs on the sense strand that are shifted (shift) relative to the pattern of modifications to alternating motifs on the antisense strand. The displacement may be such that the set of modified nucleotides of the sense strand corresponds to the set of nucleotides of the antisense strand modified in a different manner, and vice versa. For example, when a sense strand is paired with an antisense strand in a dsRNA duplex, within the duplex region, the alternating motifs in the sense strand may begin in the "abababa" direction from the 5 'to 3' direction of the strand and the alternating motifs in the antisense strand may begin in the "BABABA" direction from the 5 'to 3' direction of the strand. As another example, within the duplex region, the alternating motif in the sense strand may begin with "AABBAABB" in the 5 'to 3' direction of the strand, and the alternating motif in the antisense strand may begin with "BBAABBAA" in the 5 'to 3' direction of the strand, such that the modification pattern is completely or partially shifted between the sense strand and the antisense strand.
In some embodiments, the dsRNAi agent comprises an alternating motif pattern of 2 '-O-methyl modifications and 2' -F modifications on the original sense strand that is shifted relative to the alternating motif pattern of 2 '-O-methyl modifications and 2' -F modifications on the original antisense strand, i.e., nucleotides modified with 2 '-O-methyl modifications on the sense strand base pair with nucleotides modified with 2' -F on the antisense strand, and vice versa. The 1 st position of the sense strand may begin with a 2 '-F modification and the 1 st position of the antisense strand may begin with a 2' -O-methyl modification.
Introduction of one or more motifs having three identical modifications on three consecutive nucleotides into the sense or antisense strand would disrupt (interrupt) the initial modification pattern present in the sense or antisense strand. This disruption of the modification pattern of the sense strand or antisense strand by introducing one or more motifs having three identical modifications on three consecutive nucleotides into the sense strand or antisense strand can enhance the gene silencing activity on the target gene.
In some embodiments, when a motif having three identical modifications on three consecutive nucleotides is introduced into any strand, the modification to the nucleotide next to the motif is a different modification than the modification of the motif. For example, the sequence portion containing the motif is ". NaYYYNb.., "wherein" Y "represents a modification of the motif having three identical modifications on three consecutive nucleotides, and" Na"and" Nb"represents a modification to the nucleotide immediately following the" YYY "motif, said modification being different from the modification of Y, and wherein N isaAnd NbMay be the same or different modifications. Or, when a winged modification is present, NaOr NbMay or may not be present.
The iRNA may further comprise at least one phosphorothioate or methylphosphonate internucleotide linkage. The modification of the phosphorothioate or methylphosphonate internucleotide linkage may occur on any nucleotide at any position of the sense strand, antisense strand, or both strands. For example, the nucleotide linkage modification may occur on each nucleotide of the sense strand or the antisense strand; each internucleotide linkage modification may occur in alternating pattern on the sense strand or the antisense strand; either the sense strand or the antisense strand may comprise internucleotide linkage modifications in alternating pattern. The alternating pattern of modification of the internucleotide linkages on the sense strand may be the same as or different from the antisense strand, and the alternating pattern of modification of the internucleotide linkages on the sense strand may be shifted relative to the alternating pattern of modification of the internucleotide linkages on the antisense strand. In one embodiment, the double stranded RNAi agent comprises 6-8 phosphorothioate internucleotide linkages. In some embodiments, the antisense strand comprises two phosphorothioate internucleotide linkages at the 5 'terminus and two phosphorothioate internucleotide linkages at the 3' terminus, and the sense strand comprises at least two phosphorothioate internucleotide linkages at the 5 'terminus or the 3' terminus.
In some embodiments, the dsRNAi agent comprises a phosphorothioate or methylphosphonate internucleotide linkage modification in the overhang region. For example, the overhang region may contain two nucleotides with a phosphorothioate or methylphosphonate internucleotide linkage between the two nucleotides. The overhang nucleotide can also be ligated to the end-pairing nucleotide within the duplex region by making internucleotide linkage modifications. For example, at least 2, 3, 4 or all of the overhang nucleotides can be linked by phosphorothioate or methylphosphonate internucleotide linkages, and optionally, additional phosphorothioate or methylphosphonate internucleotide linkages can be present which enable the ligation of an overhang nucleotide to the paired nucleotide next to the overhang nucleotide. For example, there may be at least two phosphorothioate internucleotide linkages between the terminal three nucleotides, where two of the three nucleotides are overhang nucleotides and the third is the pairing nucleotide next to the overhang nucleotide. The three nucleotides at these termini may be located at the 3 'terminus of the antisense strand, the 3' terminus of the sense strand, the 5 'terminus of the antisense strand or the 5' terminus of the sense strand.
In some embodiments, the overhang having 2 nucleotides is at the 3' end of the antisense strand, and there are two phosphorothioate internucleotide linkages between the terminal three nucleotides, wherein two of the three nucleotides are the overhang nucleotides and the third nucleotide is the pairing nucleotide immediately adjacent to the overhang nucleotide. Optionally, additionally, the dsRNAi agent can have two phosphorothioate internucleotide linkages between the 5 'terminus of the sense strand and the terminal three nucleotides at the 5' terminus of the antisense strand.
In one embodiment, the dsRNAi agent comprises a mismatch to the target, a mismatch within a duplex, or a combination thereof. Mismatches may occur in the overhang region or in the duplex region. Pairs can be ordered according to their propensity to promote dissociation or melting (e.g., according to the free energy of binding or dissociation of a particular pair, the simplest approach being to examine pairs on a single pair basis, but proximity analysis or similar analysis can also be used). With respect to promoting dissociation: the ratio of A to U is superior to that of G to C; g: U is superior to G: C; and I: C is better than G: C (I ═ inosine). Mismatches, e.g., non-standard pairings (as described elsewhere herein) or pairings other than standard pairings, are superior to standard pairings (A: T, A: U, G: C); and include pairing of universal bases over standard pairs.
In certain embodiments, the dsRNAi agent comprises at least one of the first 1, 2, 3, 4, or 5 base pairs in the duplex region counted from the 5 'end of the antisense strand, independently selected from a: U, G: U, I: C, and mis-pairings (e.g., non-standard pairings or other pairings in addition to standard pairings or pairings including universal bases), thereby promoting dissociation of the antisense strand at the 5' end of the duplex.
In certain embodiments, the nucleotide atposition 1 in the duplex region counted from the 5' end of the antisense strand is selected from a, dA, dU, U, and dT. Alternatively, at least one of the first 1, 2 or 3 base pairs in the duplex region, counted from the 5' end of the antisense strand, is an AU base pair. For example, the first base pair in the duplex region counted from the 5' end of the antisense strand is an AU base pair.
In other embodiments, the nucleotide at the 3 'terminus of the sense strand is deoxythymine (dT), or the nucleotide at the 3' terminus of the antisense strand is deoxythymine (dT). For example, a short sequence of deoxythymidine nucleotides, e.g., two dT nucleotides, is present on the sense, antisense or both strands.
In certain embodiments, the sense strand sequence is represented by formula (I):
5′np-Na-(X X X)i-Nb-Y Y Y-Nb-(Z Z Z)j-Na-nq3′ (I)
wherein:
i and j are each independently 0 or 1;
p and q are each independently 0 to 6;
each NaEach independently represents an oligonucleotide sequence comprising 0-25 modified nucleotides, each sequence comprising at least two nucleotides modified in a different manner;
each NbEach independently represents an oligonucleotide sequence comprising 0-10 modified nucleotides;
each n ispAnd nqEach independently represents a overhang nucleotide;
wherein N isbAnd Y do not have the same modification; and
XXX, YYY, and ZZZ each independently represent a motif with three identical modifications on three consecutive nucleotides. Preferably, YYY represents nucleotides all modified with 2' -F.
In some embodiments, said N isaOr NbComprising modifications in an alternating pattern.
In some embodiments, the YYY motif is present at or near the cleavage site of the sense strand. For example, when the dsRNAi agent has a duplex region of 17-23 nucleotides in length, the YYY motif can be present at or near the cleavage site of the sense strand (e.g., can be present at positions 6, 7, 8; positions 7, 8, 9; positions 8, 9, 10; positions 9, 10, 11; positions 10, 11, 12; or 11, 12, 13) (counting from the first nucleotide in the 5 'end; or, optionally, counting from the first paired nucleotide in the duplex region from the 5' end).
In one embodiment, i is 1 and j is 0, or i is 0 and j is 1, or both i and j are 1. The sense strand may thus be represented by the formula:
5'np-Na-YYY-Nb-ZZZ-Na-nq 3' (Ib);
5 'np-Na-XXX-Nb-YYY-Na-nq 3' (Ic); or
5'np-Na-XXX-Nb-YYY-Nb-ZZZ-Na-nq 3' (Id)。
When the sense strand is represented by formula (Ib), NbDenotes an oligonucleotide comprising 0-10, 0-7, 0-5, 0-4, 0-2 or 0 modified nucleotidesA nucleotide sequence. Each NaCan independently represent an oligonucleotide sequence comprising 2-20, 2-15 or 2-10 modified nucleotides.
When the sense strand is represented by formula (Ic), NbRepresents an oligonucleotide sequence comprising 0-10, 0-7, 0-5, 0-4, 0-2, or 0 modified nucleotides. Each NaCan independently represent an oligonucleotide sequence comprising 2-20, 2-15 or 2-10 modified nucleotides.
When the sense strand is represented by formula (Id), each NbEach independently represents an oligonucleotide sequence comprising 0-10, 0-7, 0-5, 0-4, 0-2, or 0 modified nucleotides. Preferably, NbIs 0, 1, 2, 3, 4, 5 or 6. Each NaCan independently represent an oligonucleotide sequence comprising 2-20, 2-15 or 2-10 modified nucleotides.
X, Y and Z may each be the same or different from each other.
In other embodiments, i is 0 and j is 0, and the sense strand may be represented by the formula:
5′np-Na-YYY-Na-nq 3′ (Ia)。
when the sense strand is represented by formula (Ia), each NaCan independently represent an oligonucleotide sequence comprising 2-20, 2-15 or 2-10 modified nucleotides.
In one embodiment, the antisense strand sequence of the RNAi can be represented by formula (II):
5′nq’-Na'-(Z’Z′Z′)k-Nb'-Y'Y′Y'-Nb'-(X′X′X′)1-N'a-np′3′ (II)
wherein:
k and 1 are each independently 0 or 1;
p 'and q' are each independently 0 to 6;
each Na' each independently denotes an oligonucleotide sequence comprising 0 to 25 modified nucleotides, each sequence comprising at least two differently modified nucleiA nucleotide;
each Nb' each independently represents an oligonucleotide sequence comprising 0-10 modified nucleotides,
each n isp' and nqEach independently represents a overhang nucleotide;
wherein N isb'and Y' do not have the same modification; and
x ', Y ' and Z ' each independently represent a motif having three identical modifications on three consecutive nucleotides.
In some embodiments, said N isa' or Nb' comprises modifications in an alternating pattern.
The Y' motif is present at or near the cleavage site of the antisense strand. For example, when the dsRNAi agent has a duplex region 17-23 nucleotides in length, the Y' motif can be present at positions 9, 10, 11 of the antisense strand; 10, 11, 12; 11, 12, 13; 12 th, 13 th, 14 th bit; or position 13, 14, 15) (counting from the first nucleotide from the 5' end; or optionally, counting from the 5' end starting with the first paired nucleotide in the duplex region). Preferably, the Y' motif is present at positions 11, 12, 13.
In certain embodiments, the Y 'motifs represent nucleotides that are all modified with 2' -OMe.
In certain embodiments, k is 1 and l is 0, or k is 0 and l is 1, or both k and l are 1.
The antisense strand may thus be represented by the formula:
5′nq’-Na'-Z'Z′Z'-Nb'-Y'Y'Y'-Na'-np’3' (IIb);
5′nq’-Na′-Y′Y′Y′-Nb′-X′X'X'-np,3' (IIc); or
5′nq’-Na'-Z'Z'Z'-Nb'-Y'Y'Y'-Nb'-X'X'X'-Na'-np,3' (IId)。
When the antisense strand is represented by formula (IIb), Nb' denotes an oligonucleotide sequence comprising 0-10, 0-7, 0-5, 0-4, 0-2 or 0 modified nucleotides. Each Na' each independently represents an oligonucleotide sequence comprising 2-20, 2-15 or 2-10 modified nucleotides.
When the antisense strand is represented by formula (IIc), Nb' denotes an oligonucleotide sequence comprising 0-10, 0-7, 0-5, 0-4, 0-2 or 0 modified nucleotides. Each Na' each independently represents an oligonucleotide sequence comprising 2-20, 2-15 or 2-10 modified nucleotides.
When the antisense strand is represented by formula (IId), each Nb' each independently represents an oligonucleotide sequence comprising 0-10, 0-7, 0-5, 0-4, 0-2, or 0 modified nucleotides. Each Na' each independently represents an oligonucleotide sequence comprising 2-20, 2-15 or 2-10 modified nucleotides. Preferably, NbIs 0, 1, 2, 3, 4, 5 or 6.
In other embodiments, k is 0 and 1 is 0, and the antisense strand can be represented by the formula:
5′np’-Na’-Y’Y’Y’-Na’-nq,3' (IIa)。
when the antisense strand is represented by formula (IIa), each Na' each independently represents an oligonucleotide sequence comprising 2-20, 2-15 or 2-10 modified nucleotides.
X ', Y ' and Z ' may each be the same as or different from each other.
Each nucleotide of the sense and antisense strands may be independently modified by LNA, CRN, UNA, cEt, HNA, CeNA, 2 '-methoxyethyl, 2' -O-methyl, 2 '-O-allyl, 2' -C-allyl, 2 '-hydroxy or 2' -fluoro. For example, each nucleotide of the sense and antisense strands is independently modified with 2 '-O-methyl or 2' -fluoro. In particular, each of X, Y, Z, X ', Y ' and Z ' may represent a 2 ' -O-methyl modification or a 2 ' -fluoro modification.
In some embodiments, when the duplex region is 21nt, the sense strand of the dsRNAi agent can comprise the YYY motif present at positions 9, 10, and 11 of the strand (counted starting with the first nucleotide from the 5 'end; or optionally, counted starting with the first paired nucleotide within the duplex region from the 5' end); and Y represents a 2' -F modification. In addition, the sense strand may contain a XXX motif or a ZZZ motif as a flanking modification at the other end of the duplex region; and XXX and ZZZ each independently represent a 2 '-OMe modification or a 2' -F modification.
In some embodiments, the antisense strand may contain a Y ' Y ' Y ' motif present at positions 11, 12 and 13 of the strand (counted starting with the first nucleotide from the 5 ' terminus; or, optionally, counted starting with the first pairing nucleotide within the duplex region from the 5 ' terminus); and Y 'represents a 2' -O-methyl modification. In addition, the antisense strand may contain an X 'motif or a Z' motif as a flap modification at the other end of the duplex region; and X 'X' X 'and Z' each independently represent a 2 '-OMe modification or a 2' -F modification.
The sense strand represented by any of the above formulae (Ia), (Ib), (Ic) and (Id) forms a duplex with the antisense strand represented by any of the formulae (IIa), (IIb), (IIc) and (IId), respectively.
Accordingly, dsRNAi agents for use in the methods of the invention can comprise a sense strand and an antisense strand, each strand having 14 to 30 nucleotides, the iRNA duplex being represented by formula (III):
sense strand: 5' np-Na-(X X X)i-Nb-Y Y Y-Nb-(Z Z Z)j-Na-nq 3′
Antisense strand: 3' np’-Na’-(X’X′X′)k-Nb’-Y′Y′Y′-Nb’-(Z'Z'Z')1-Na’-nq’5'
(III)
Wherein:
i. j, k and 1 are each independently 0 or 1;
p, p ', q and q' are each independently 0 to 6;
each NaAnd Na' each independently denotes an oligonucleotide sequence comprising 0 to 25 modified nucleotides, each sequence comprising at least two nucleotides that are modified in a different manner;
Each NbAnd Nb' each independently denotes an oligonucleotide sequence comprising 0-10 modified nucleotides,
wherein each n isp’、np、nq' and nqEach independently represents a overhang nucleotide, each np’、np、nq' and nqMay or may not be present;
XXX, YYY, ZZZ, X 'X', Y 'Y' Y 'and Z' Z 'Z' each independently represent a motif with three identical modifications on three consecutive nucleotides.
In one embodiment, i is 0 and j is 0; or i is 1 and j is 1; or i is 0 and j is 1; or i and j are both 0; or both i and j are 1. In another embodiment, k is 0 and 1 is 0; or k is 1 and 1 is 0; k is 0 and 1 is 1; or k and 1 are both 0; or k and l are both 1.
Exemplary combinations of sense and antisense strands that form iRNA duplexes include the following formula:
5′np-Na-YYY-Na-nq3′
3′np’-Na’-Y′Y'Y′-Na’nq’5′
(IIIa)
5′np-Na-Y Y Y-Nb-Z Z Z-Na-nq3′
3′np’-Na’-Y'Y'Y′-Nb’-Z'Z′Z′-Na’nq’5′
(IIIb)
5′np-Na-X X X-Nb-Y Y Y-Na-nq3'
3'np’-Na’-X′X′X′-Nb’-Y'Y'Y'-Na’-nq’5′
(IIIc)
5′np-Na-X X X-Nb-Y Y Y-Nb-Z Z Z-Na-nq3'
3'np’-Na’-X'X'X'-Nb’-Y′Y′Y′-Nb’-Z′Z′Z′-Na-nq’5'
(IIId)
when the dsRNAi agent is represented by formula (IIIa), each NaEach independently represents an oligonucleotide sequence comprising 2-20, 2-15 or 2-10 modified nucleotides.
When the dsRNAi agent is represented by formula (IIIb), each NbEach independently represents an oligonucleotide sequence comprising 1-10, 1-7, 1-5, or 1-4 modified nucleotides. Each NaEach independently represents an oligonucleotide sequence comprising 2-20, 2-15 or 2-10 modified nucleotides.
When the dsRNAi agent is represented by formula (IIIc), each Nb、Nb' each independently represents an oligonucleotide sequence comprising 0-10, 0-7, 0-5, 0-4, 0-2, or 0 modified nucleotides. Each NaEach independently represents an oligonucleotide sequence comprising 2-20, 2-15 or 2-10 modified nucleotides.
When the dsRNAi agent is represented by formula (IIId), each Nb、Nb' each independently represents an oligonucleotide sequence comprising 0-10, 0-7, 0-5, 0-4, 0-2, or 0 modified nucleotides. Each Na、Na' each independently represents an oligonucleotide sequence comprising 2-20, 2-15 or 2-10 modified nucleotides. Each Na、Na’、NbAnd Nb' both independently comprise modifications having an alternating pattern。
X, Y and Z in formulas (III), (IIIa), (IIIb), (IIIc) and (IIId) may each be the same as or different from each other.
When the dsRNAi agent is represented by formulas (III), (IIIa), (IIIb), (IIIc), and (IIId), at least one Y nucleotide can form a base pair with one Y' nucleotide. Alternatively, at least two Y nucleotides may form a base pair with a corresponding Y' nucleotide; or all three Y nucleotides form base pairs with the corresponding Y' nucleotide.
When the dsRNAi agent is represented by formula (IIIb) or (IIId), at least one Z nucleotide can form a base pair with one Z' nucleotide. Alternatively, at least two Z nucleotides form a base pair with a corresponding Z' nucleotide; or all three Z nucleotides form a base pair with the corresponding Z' nucleotide.
When the dsRNAi agent is represented by formula (IIIc) or (IIId), at least one X nucleotide can form a base pair with one X' nucleotide. Alternatively, at least two X nucleotides form a base pair with a corresponding X' nucleotide; or all three X nucleotides form a base pair with the corresponding X' nucleotide.
In certain embodiments, the modification on the Y nucleotide is different from the modification on the Y ' nucleotide, the modification on the Z nucleotide is different from the modification on the Z ' nucleotide, and/or the modification on the X nucleotide is different from the modification on the X ' nucleotide
In certain embodiments, when the dsRNAi agent is represented by formula (IIId), the N isaThe modification is a 2 '-O-methyl modification or a 2' -fluoro modification. In other embodiments, when the RNAi agent is represented by formula (IIId), N isaThe modification is a 2 '-O-methyl modification or a 2' -fluoro modification, and np' > 0, and at least one np' is linked to an adjacent nucleotide by a phosphorothioate linkage. In other embodiments, when the RNAi agent is represented by formula (IIId), the N isaThe modification is a 2 '-O-methyl modification or a 2' -fluoro modification, np' > 0 and at least one np' is linked to an adjacent nucleotide by a phosphorothioate bond, and the sense strandConjugated with one or more GalNAc derivatives linked by a bivalent or trivalent branched linker (as described below). In other embodiments, when the RNAi agent is represented by formula (IIId), the N isaThe modification is a 2 '-O-methyl modification or a 2' -fluoro modification, np' > 0 and at least one np' is linked to an adjacent nucleotide by a phosphorothioate linkage, the sense strand comprises at least one of said phosphorothioate linkages, and the sense strand is conjugated to one or more GalNAc derivatives linked by a divalent or trivalent branched linker.
In some embodiments, when the RNAi agent is represented by formula (IIIa), the N isaThe modification is a 2 '-O-methyl modification or a 2' -fluoro modification, np' > 0 and at least one np' is linked to an adjacent nucleotide by a phosphorothioate linkage, the sense strand comprises at least one phosphorothioate linkage, and the sense strand is conjugated to one or more GalNAc derivatives linked by a divalent or trivalent branched linker.
In some embodiments, the dsRNAi agent is a multimer comprising at least two duplexes represented by formulas (III), (IIIa), (IIIb), (IIIc), and (IIId), wherein the duplexes are linked by a linker. The linker may be cleavable or non-cleavable. Optionally, the multimer further comprises a ligand. Each of the duplexes may target the same gene or two different genes; or each of the duplexes may target two different target sites of the same gene.
In some embodiments, the dsRNAi agent is a multimer containing three, four, five, six or more duplexes represented by formulas (III), (IIIa), (IIIb), (IIIc), and (IIId), wherein the duplexes are linked by a linker. The linker may be cleavable or non-cleavable. Optionally, the multimer further comprises a ligand. Each of the duplexes may target the same gene or two different genes; or each of the duplexes may target two different target sites of the same gene.
In one embodiment, two dsRNAi agents represented by at least one of formulas (III), (IIIa), (IIIb), (IIIc), and (IIId) are linked to each other at the 5 'end and one or both 3' ends, and optionally conjugated to a ligand. Each of the agents may target the same gene or two different genes; or each of the agents may target two different target sites of the same gene.
Various publications describe multimeric irnas that can be used in the methods of the invention. Such publications include U.S. patent nos. 7,858,769, WO2007/091269, WO2010/141511, WO2007/117686, WO2009/014887 and WO2011/031520, the entire contents of each of which are incorporated herein by reference.
As described in more detail below, irnas containing conjugation between one or more carbohydrate moieties and an iRNA are capable of optimizing one or more properties of the iRNA. In many cases, the carbohydrate moiety will be linked to the modified subunit of the iRNA. For example, the ribose sugar of one or more ribonucleotide subunits of an iRNA can be replaced by another moiety (e.g., a non-carbohydrate (preferably cyclic) cargo linked to a carbohydrate ligand). If the ribose of the subunit in a ribonucleotide subunit has been so substituted, the ribonucleotide subunit is referred to herein as a ribose substitution modification subunit (RRMS). The cyclic cargo may be a carbocyclic ring system (i.e., all ring atoms are carbon atoms) or a heterocyclic ring system (i.e., one or more ring atoms may be a heteroatom, such as nitrogen, oxygen, sulfur). The cyclic cargo may be a monocyclic ring system or may contain two or more rings, for example fused rings. The cyclic cargo may be a fully saturated ring system, or it may contain one or more double bonds.
The ligand may be linked to the polynucleotide via a cargo. The cargo comprises (i) at least one "skeleton attachment point", preferably two "skeleton attachment points", and (ii) at least one "tethering attachment point". As used herein, "backbone attachment point" refers to a functional group, such as a hydroxyl group, or a bond generally useful and suitable for incorporating the cargo into a backbone, e.g., a phosphate bond or a modified phosphate bond, such as a sulfur-containing backbone of ribonucleic acids. In some embodiments, a "tether point" (TAP) refers to a constituent ring atom of a cyclic cargo that connects selected portions, e.g., a carbon atom or a heteroatom (other than the atom that provides the backbone connection point). The moiety may be, for example, a carbohydrate, such as a monosaccharide, disaccharide, trisaccharide, tetrasaccharide, oligosaccharide or polysaccharide. Optionally, the selected portion is connected to the annular cargo by an intervening tether. Thus, the cyclic cargo will typically include a functional group, such as an amino group, or typically provide a bond suitable for incorporating or tethering another chemical entity (e.g., a ligand) into the constitutive ring.
The iRNA may be conjugated to the ligand through a cargo, wherein the cargo may be a cyclic group or an acyclic group; preferably, the cyclic group is selected from the group consisting of: pyrrolidinyl, pyrrolinyl, pyrrolidinyl (pyrazolidinyl), imidazolidinyl, piperidinyl, piperazinyl, [1, 3] dioxolane, oxazolidinyl, isoxazolidinyl, morpholinyl, thiazolidinyl, isothiazolidinyl, quinoxalinyl, pyridazinonyl, tetrahydrofuranyl and decalin; preferably, the acyclic group is a serinol backbone or a diethanolamine backbone.
In certain embodiments, the iRNA is an agent selected from the agents listed in table 3 and table 5. In one embodiment, the iRNA agent targets the sequence of SEQ ID NO: 1, nucleotide 3221-3243. In one embodiment, the RNAi agent is AD-67635 (which targets nucleotide 3224-3243 as set forth in SEQ ID NO: 1). In another embodiment, the RNAi agent is AD-67637 (which targets nucleotides 3223-3242 as set forth in SEQ ID NO: 1). These agents may further comprise a ligand.
Conjugation of iRNA to ligands
Another modification of the RNA of the iRNA of the invention involves chemically linking to the iRNA one or more ligands, moieties (moieities) or conjugates that enhance the activity, cellular distribution or cellular uptake (e.g., uptake into cells) of the iRNA. Such moieties include, but are not limited to, lipid moieties such as cholesterol moieties (Letsinger et al, Proc. Natl. acid. Sci. USA, 1989, 86: 6553-. In certain embodiments, the modifications may include thioethers (e.g., aryl-S-trityl thiols) (Manohara et al, Ann.N.Y.Acad.Sci., 1992, 660: 306-, 36: 3651-3654; shea et al, nuclear. acids res, 1990, 18: 3777-3783), polyamine or polyethylene glycol chains (Manoharan et al, Nucleotides & Nucleotides, 1995, 14: 969-: 3651-3654), palmitoyl moieties (Mishra et al, biochim. biophysis. acta, 1995, 1264: 229-237) or an octadecyl amine or hexylamino-carbonyloxy cholesterol moiety (crook et al, j. pharmacol. exp. ther., 1996, 277: 923-937).
In certain embodiments, the ligand is capable of altering the distribution, targeting, or longevity of the iRNA agent into which it is introduced. In preferred embodiments, the ligands are capable of enhancing affinity for a selected target (e.g., a molecule, cell or cell type, compartment such as a cell or organ compartment, tissue, organ or body region) as compared to a class lacking such ligands, for example. Preferred ligands do not participate in duplex pairing in duplex nucleic acids.
Ligands may include naturally occurring substances, such as proteins (e.g., Human Serum Albumin (HSA), Low Density Lipoprotein (LDL), or globulin); carbohydrates (e.g., dextran, pullulan, chitin, chitosan, inulin, cyclodextrin, N-acetylgalactosamine, or hyaluronic acid); or a lipid. The ligand may also be a recombinant or synthetic molecule, for example a synthetic polymer such as a synthetic polyamino acid. Examples of the polyamino acid include polyamino acids are Polylysine (PLL), poly L-aspartic acid, poly L-glutamic acid, styrene-maleic anhydride copolymer, poly (L-lactide-co-glycolide) copolymer, divinyl ether-maleic anhydride copolymer, N- (2-hydroxypropyl) methacrylamide copolymer (HMPA), polyethylene glycol (PEG), polyvinyl alcohol (PVA), polyurethane, poly (2-ethylacrylic acid), N-isopropylacrylamide polymer, or polyphosphazine. Examples of polyamines include: polyethyleneimine, Polylysine (PLL), spermine, spermidine, polyamine, pseudopeptide-polyamine, peptidomimetic polyamine, dendritic polyamine, arginine, amidine, protamine, cationic lipid, cationic porphyrin, polyamine quaternary salt, or alpha-helical peptide.
The ligand may also include a targeting group, e.g., a targeting agent that binds to a cell or tissue of a particular cell type, such as a kidney cell, e.g., a lectin, glycoprotein, lipid, or protein, e.g., an antibody. The targeting group may be thyrotropin, melanocyte stimulating hormone, lectin, glycoprotein, surfactant protein a, mucin carbohydrate, multivalent lactose, multivalent galactose, monovalent or multivalent N-acetylgalactosamine, N-acetyl-gulosamine multivalent mannose, multivalent fucose, glycosylated polyamino acid, multivalent galactose, transferrin, bisphosphonate, polyglutamic acid, polyaspartic acid, lipid, cholesterol, steroid, bile acid, folic acid, vitamin B12, vitamin a, biotin, or RGD peptide or RGD peptidomimetic. In certain embodiments, the ligand is monovalent or multivalent N-acetylgalactosamine. In certain embodiments, the ligand is cholesterol.
Other examples of ligands include dyes, intercalators (e.g., acridine), cross-linkers (e.g., psoralen, mitomycin C), porphyrins (TPPC4, dactinoporphyrin, Sapphyrin), polycyclic aromatic hydrocarbons (e.g., phenazine, dihydrophenazine), artificial endonucleases (e.g., EDTA), lipophilic molecules such as cholesterol, cholic acid, adamantane acetic acid, 1-pyrenebutyric acid, dihydrotestosterone, 1, 3-bis-O (hexadecyl) glycerol, geranyloxyhexyl, hexadecylglycerol, borneol, menthol, 1, 3-propanediol, heptadecyl glycerol, and mixtures thereof Palmitic acid, myristic acid, (oleoyl) lithocholic acid, O3- (oleoyl) cholic acid, dimethoxytrityl, or phenoxazine) and peptide conjugates (e.g., Drosophila melanogaster podal peptide, Tat peptide), alkylating agents, phosphates, amino groups, thiol groups, PEG (e.g., PEG-40K), MPEG, [ MPEG ] MPEG]2A polyamino group, an alkyl group, a substituted alkyl group, a radiolabeled label, an enzyme, a hapten (e.g., biotin), a transport/absorption enhancer (e.g., aspirin, vitamin E, folic acid), a synthetic ribonuclease (e.g., imidazole, bisimidazole, histamine, an imidazole cluster, an acridine imidazole conjugate, a tetraazamacrocycle Eu3+ complex), dinitrobenzene, HRP, or AP.
The ligand may be a protein (e.g., a glycoprotein) or a peptide (e.g., a molecule having a specific affinity for a co-ligand) or an antibody (e.g., an antibody that binds to a particular cell type, such as a hepatocyte). Ligands may also include hormones and hormone receptors. They may also include non-peptide substances such as lipids, lectins, carbohydrates, vitamins, cofactors, multivalent lactose, multivalent galactose, N-acetylgalactosamine, N-acetylglucosamine multivalent mannose or multivalent fucose. The ligand may be, for example, lipopolysaccharide, an activator of p38 MAP kinase, or an NF-. kappa.B activator.
The ligand may be an agent, such as a drug, capable of enhancing uptake of the iRNA agent by the cell, for example, by disrupting the cytoskeleton of the cell (e.g., by disrupting the microtubules, microwires, or intermediate filaments of the cell). The drug may be, for example, paclitaxel, vincristine, vinblastine, cytochalasin, nocodazole, japlakinolide, latrunculin a (latrunculin a), phalloidin, swinhole a, indocine or myosin (myosevin).
In some embodiments, a ligand linked to an iRNA as described herein can act as a pharmacokinetic modulator (PK modulator). PK modulators include lipophiles, bile acids, steroids, phospholipid analogs, peptides, protein binders, PEG, vitamins, and the like. Exemplary PK modulators include, but are not limited to, cholesterol, fatty acids, cholic acid, lithocholic acid, dialkyl glycerides, diacyl glycerides, phospholipids, sphingolipids, naproxen, ibuprofen, vitamin E, biotin, and the like. Oligonucleotides comprising multiple phosphorothioate linkages are also known to bind to serum proteins, and therefore short oligonucleotides comprising multiple phosphorothioate linkages in the backbone (e.g., oligonucleotides having about 5 bases, 10 bases, 15 bases, or 20 bases) may also be useful ligands (e.g., PK modulating ligands) for use in the invention. Additionally, aptamers that bind serum components (e.g., serum proteins) are also suitable as PK modulating ligands for use in the embodiments described herein.
Ligand-conjugated irnas of the invention can be synthesized using oligonucleotides with pendant reactive functional groups, e.g., derived from the attachment of a linker molecule to an oligonucleotide (as described below). The reactive oligonucleotide can be reacted directly with a commercially available ligand, a synthetic ligand bearing any of a variety of protecting groups, or a ligand to which a linking moiety is attached.
The oligonucleotides used in the conjugates of the invention may be conveniently and routinely prepared by well-known solid phase synthesis techniques. Equipment for such synthesis is sold by several suppliers including, for example, Applied Biosystems (Foster City, CA). Any other means known in the art for such synthesis may additionally or alternatively be used. It is also known that other oligonucleotides, such as phosphorothioates and alkylated derivatives, can be prepared using similar techniques.
In iRNA conjugated to a ligand and the ligand molecule of the invention bearing a sequence-specific linked nucleoside, oligonucleotides and oligonucleotides can be synthesized on a suitable DNA synthesizer using standard nucleotide or nucleoside precursors, or nucleotide or nucleoside conjugate precursors already bearing a linking moiety, or ligand-nucleotide or nucleoside conjugate precursors already bearing the ligand molecule, or building blocks bearing non-nucleoside ligands.
When using nucleotide conjugation precursors that already carry a linking moiety, the ligand molecule is typically reacted with the linking moiety after the nucleoside linked in a sequence-specific manner has been synthesized to form the ligand-conjugated oligonucleotide. In some embodiments, the automated synthesizer synthesizes the oligonucleotides or linked nucleosides of the invention by utilizing phosphoramidites derived from ligand-nucleoside conjugates in addition to standard and non-standard phosphoramidites that are commercially available and are routinely used in oligonucleotide synthesis.
A. Lipid conjugates
In certain embodiments, the ligand or conjugate is a lipid or lipid-based molecule. Such lipids or lipid-based molecules preferably bind to serum proteins, e.g., Human Serum Albumin (HSA). The binding ligand of HAS enables the conjugate to be distributed to a target tissue, e.g., a non-renal target tissue within the body. For example, the target tissue may be the liver, including parenchymal cells of the liver. Other molecules capable of binding to HSA may also be used as ligands. For example, naproxen or aspirin can be used. The lipid or lipid-based ligand can (a) increase resistance to degradation of the conjugate, (b) facilitate targeting or transport to a target cell or cell membrane, or (c) can be used to modulate binding to a serum protein (e.g., HSA).
Lipid-based ligands can be used to inhibit, e.g., control, binding of the conjugate to a target tissue. For example, a lipid or lipid-based ligand that binds HSA more strongly will be less likely to be targeted to the kidney and therefore less likely to be cleared from the body. Lipids or lipid-based ligands that bind weakly to HSA can be used to target the conjugate to the kidney.
In certain embodiments, the lipid-based ligand binds HSA. Preferably, its binding affinity to HAS is sufficient to allow the conjugate to preferentially distribute to non-renal tissue. Preferably, however, the affinity is not so strong that the binding of HSA-ligand cannot be reversed.
In other embodiments, the lipid-based ligand binds HSA weakly or not at all, such that the conjugate preferentially distributes to the kidney. Other moieties that target kidney cells may also be used in place of or as an alternative to the lipid-based ligand.
In another aspect, the ligand is a moiety (e.g., a vitamin) that is taken up by a target cell, e.g., a proliferating cell. These are particularly useful for treating diseases characterized by the proliferation of unwanted cells, e.g., malignant or non-malignant types of cells (e.g., cancer cells). Exemplary vitamins include vitamins A, E and K. Other exemplary vitamins include B vitamins, e.g., folic acid, B12, riboflavin, biotin, pyridoxal, or other vitamins or nutrients that are taken up by target cells, such as hepatocytes. Also included are HSA and Low Density Lipoprotein (LDL).
B. Cell penetrating agent
In another aspect, the ligand is a cell penetrating agent, preferably a helical cell penetrating agent. Preferably, the agent is amphiphilic. Exemplary agents are peptides, such as tat or drosophila antennapedia (antennopedia). If the agent is a peptide, it may be modified, including peptide mimetics, inverted isomers (inversomers), non-peptide or pseudopeptide linkages, and the use of D-amino acids. The helicant is preferably an alpha-helicant, which preferably has a lipophilic phase and a lipophobic phase.
The ligand may be a peptide or peptidomimetic. Peptidomimetics (also referred to herein as oligopeptidomimetics) are molecules that are capable of folding into a well-defined three-dimensional structure similar to a native peptide. The linkage of peptides and peptidomimetics to iRNA agents can affect the pharmacokinetic profile of the iRNA (e.g., by enhancing cell recognition and uptake). The peptide or peptidomimetic moiety can be about 5-50 amino acids in length, for example about 5, 10, 15, 20, 25, 30, 35, 40, 45, or 50 amino acids in length.
The peptide or peptidomimetic can be, for example, a cell penetrating peptide, a cationic peptide, an amphiphilic peptide, or a hydrophobic peptide (e.g., a hydrophobic peptide consisting primarily of Tyr, Trp, or Phc). The peptide moiety may be a dendrimer peptide, a constrained peptide, or a cross-linked peptide. In another alternative, the peptide moiety may include a hydrophobic Membrane Translocation Sequence (MTS). An exemplary hydrophobic MTS-containing peptide is RFGF having the amino acid sequence AAVALLPAVLLALLAP (SEQ ID NO: 14). RFGF analogs containing hydrophobic MTS (e.g., the amino acid sequence of AALLPVLLAAP (SEQ ID NO: 15)) can also be targeting moieties. The peptide moiety may be a "delivery" peptide, which may carry large polar molecules, including peptides, oligonucleotides, and proteins across cell membranes. For example, a peptide derived from the HIV Tat protein (GRKKRRQRRRPPQ (SEQ ID NO: 16) and drosophila antennata (RQIKIWFQNRRMKWKK (SEQ ID NO: 17) the peptide or peptidomimetic can be encoded by a random sequence of DNA, such as a peptide identified from a phage display library, or peptides identified from a one-bead-one-compound (OBOC) combinatorial library (Lam et al, Nature, 354: 82-84, 1991.) examples of peptides or peptidomimetics that are tethered to dsRNA agents for cell targeting purposes by the introduction of monomeric units are arginine-glycine-aspartic acid (RGD) -peptides, peptide moieties may range in length from about 5 amino acids to about 40 amino acids, the peptide moieties may have structural modifications, for example, structural modifications to promote stability or direct conformational properties any of the structural modifications described below may be utilized.
The RGD peptides used in the compositions and methods of the invention may be linear or cyclic and may be modified, for example, by glycosylation or methylation, to facilitate targeting to specific tissues. RGD-containing peptides and peptidomimetics may include D-amino acids as well as synthetic RGD mimetics. In addition to RGD, other moieties targeting integrin ligands can be used. Preferred conjugates of the ligand target PECAM-1 or VEGF.
A "cell penetrating peptide" is capable of penetrating a cell, for example, a microbial cell such as a bacterial or fungal cell, or a mammalian cell such as a human cell. The microbial cell penetrating peptide may be, for example, an alpha-helical linear peptide (e.g., LL-37 or Ceropin P1), a disulfide bond-containing peptide (e.g., alpha-defensin, beta-defensin or bovine antibacterial peptide), or a peptide containing only one or two major amino acids (e.g., PR-39 or indolicin). The cell penetrating peptide may also include a Nuclear Localization Signal (NLS). For example, the cell penetrating peptide may be a bimolecular amphiphilic peptide (e.g., MPG) derived from the fusion peptide domain of HIV-1 gp41 and the NLS of SV40 large T antigen (Simeoni et al, Nucl. acids Res.31: 2717-2724, 2003).
C. Carbohydrate conjugates
In some embodiments of the compositions and methods of the present invention, the iRNA further comprises a carbohydrate. As described herein, the iRNA conjugated to a carbohydrate facilitates delivery of nucleic acids in vivo as well as compositions suitable for in vivo therapy. As used herein, "carbohydrate" refers to a compound that is itself a carbohydrate composed of one or more monosaccharide units having at least 6 carbon atoms (which may be straight, branched, or cyclic), with each carbon atom bonded to an oxygen, nitrogen, or sulfur atom; or a compound having as a part thereof a carbohydrate moiety consisting of one or more monosaccharide units each having at least 6 carbon atoms (which may be straight, branched or cyclic) with each carbon atom bonded to an oxygen, nitrogen or sulfur atom. Representative carbohydrates include sugars (monosaccharides, disaccharides, trisaccharides and oligosaccharides containing about 4, 5, 6, 7, 8 or 9 monosaccharide units) and polysaccharides such as starch, glycogen, cellulose and polysaccharide gums. Specific monosaccharides include HBV and the above-described (e.g., C5, C6, C7 or C8) sugars; disaccharides and trisaccharides include saccharides having two or three monosaccharide units (e.g., C5, C6, C7, or C8).
In one embodiment, the carbohydrate conjugates used in the compositions and methods of the invention are monosaccharides. In another embodiment, the carbohydrate conjugates used in the compositions and methods of the invention are selected from the group consisting of:
in one embodiment, the monosaccharide is N-acetylgalactosamine, e.g.
Another representative carbohydrate conjugate for use in the embodiments described herein includes, but is not limited to,
when one of X or Y is an oligonucleotide, then the other is hydrogen.
In certain embodiments of the invention, the GalNAc or derivative of GalNAc is linked to the iRNA agent of the invention via a monovalent linker. In some embodiments, the GalNAc or derivative of GalNAc is linked to the iRNA agent of the invention via a bivalent linker. In other embodiments of the invention, the GalNAc or derivative of GalNAc is linked to the iRNA agent of the invention via a trivalent linker.
In one embodiment, the double stranded RNAi agent of the invention comprises a GalNAc or GalNAc derivative linked to the iRNA agent. In another embodiment, the double stranded RNAi agent of the invention comprises a plurality (e.g., 2, 3, 4, 5, or 6) of GalNAc or GalNAc derivatives, each of which is independently linked to a plurality of nucleotides of the double stranded RNAi agent by a plurality of monovalent linkers.
In some embodiments, for example, if the two strands of an iRNA agent of the invention are part of a larger molecule that is linked by the nucleotides of an uninterrupted strand between the 3 '-end of one strand and the 5' -end of the opposite strand, forming a hairpin loop comprising a plurality of unpaired nucleotides, each unpaired nucleotide within the hairpin loop can independently comprise GalNAc or a GalNAc derivative linked via a monovalent linker. The hairpin loop may also be formed by an extended overhang in one strand of the duplex.
In some embodiments, the carbohydrate conjugate further comprises one or more additional ligands as described above, such as, but not limited to, a PK modulator or a cell penetrating peptide.
Other carbohydrate conjugates suitable for use in the present invention include those described in PCT publication nos. WO 2014/179620 and WO 2014/179627 (each of which is incorporated herein by reference in its entirety).
D. Joint
In some embodiments, the conjugates or ligands described herein can be linked to the iRNA oligonucleotide via various cleavable or non-cleavable linkers.
The term "linker" or "linking group" refers to an organic moiety that links two parts of a compound (e.g., covalently links two parts of a compound). The linker will typically comprise a direct bond or atom (e.g.oxygen or sulphur), a unit (e.g.NR 8, C (O) NH, SO2、SO2NH) or a chain of atoms such as, but not limited to, substituted or unsubstituted alkyl, substituted or unsubstituted alkenyl, substituted or unsubstituted alkynyl, arylalkyl, arylalkenyl, arylalkynyl, heteroarylalkyl, heteroarylalkenyl, heteroarylalkynyl, heterocyclylalkyl, heterocyclylalkenyl, heterocyclylalkynyl, aryl, heteroaryl, heterocyclyl, cycloalkyl, cycloalkenyl, alkylarylalkyl, alkylarylalkynyl, alkenylarylalkyl, alkenylarylalkenyl, alkenylarylalkynyl, alkynylarylalkyl, alkynylarylalkynyl, alkylheteroarylalkyl, alkylheteroarylalkenyl, alkylheteroarylalkynyl, alkenylheteroarylalkynyl, alkenylheteroarylalkyl, and alkenylheteroarylalkylArylalkenyl, alkenylheteroarylalkynyl, alkynylheteroarylalkyl, alkynylheteroarylalkenyl, alkynylheteroarylalkynyl, alkylheterocyclylalkyl, alkylheterocyclenyl, alkylheterocyclylalkynyl, alkenylheterocyclylalkyl, alkenylheterocyclylalkenyl, alkenylheterocyclylalkynyl, alkynylheterocyclylalkyl, alkynylheterocyclylalkenyl, alkynylheterocyclylalkynyl, alkylaryl, alkenylaryl, alkynylaryl, alkylheteroaryl, alkenylheteroaryl, alkynylheteroaryl (wherein one or more methylene groups may be inserted or are shown at O, S, S (O), SO), and combinations thereof2N (R8), c (o) terminated), substituted or unsubstituted aryl, substituted or unsubstituted heteroaryl, or substituted or unsubstituted heterocyclyl; wherein R8 is hydrogen, acyl, aliphatic or substituted aliphatic. In one embodiment, the linker is between about 1 to 24 atoms, 2 to 24, 3 to 24, 4 to 24, 5 to 24, 6 to 18, 7 to 18, 8 to 18, 7 to 17, 8 to 17, 6 to 16, 7 to 16, or 8 to 16 atoms.
A cleavable linking group is one that is sufficiently stable extracellularly, but once inside the target cell will be cleaved to release the two parts held together by the linker. In preferred embodiments, the cleavable linking group cleaves at least about 10-fold, 20-fold, 30-fold, 40-fold, 50-fold, 60-fold, 70-fold, 80-fold, 90-fold, or 100-fold faster in a target cell or under a first reference condition (e.g., a first reference condition that can be selected to mimic or represent an intracellular condition) than in the blood of a subject or than under a second reference condition (e.g., a second reference condition that can be selected to mimic or represent a condition in the blood or serum).
The cleavable linking group is sensitive to the cleaving agent, such as pH, redox potential, or the presence of a degrading molecule. Typically, the lytic agent is more prevalent or at higher levels within the cell than in serum or blood. Examples of such degradation agents include: a redox agent selected for a particular substrate or a redox agent not having substrate specificity, including, for example, a redox enzyme or reducing agent (e.g., a thiol) present in the cell that can reductively degrade a redox-cleavable linking group; an esterase; endosomes or agents that can create an acidic environment, e.g., agents that result in a pH of 5 or less; enzymes with acid-cleavable linkers can be hydrolyzed or degraded by acting as general acids, peptidases (which may be substrate specific), and phosphatases.
Cleavable linking groups, such as disulfide bonds, may be pH sensitive. The pH of human serum was 7.4, while the intracellular average pH was slightly lower, ranging from about 7.1-7.3. Endosomes have a more acidic pH in the range of 5.5-6.0, and lysosomes have even more acidic pH around 5.0. Some linkers will have a cleavable linking group that is cleaved at a preferred pH, thereby releasing the cationic lipid from the ligand into the cell, or into the desired cellular compartment.
The linker may include a cleavable linking group that is cleaved by a particular enzyme. The type of cleavable linking group incorporated into the linker depends on the cell to be targeted. For example, a ligand that targets the liver may be linked to a cationic lipid through a linker that comprises an ester group. Hepatocytes are rich in esterases and therefore cleavage of the linker will be more efficient in hepatocytes than in cell types that are not rich in esterases. Other esterase-rich cell types include lung cells, renal cortical cells, and testicular cells.
When peptidase-rich cell types (e.g., hepatocytes and synoviocytes) are to be targeted, linkers containing peptide bonds may be used.
In general, the suitability of a candidate cleavable linker can be assessed by testing the ability of the degrading agent (or degradation conditions) to cleave the candidate linker. It is also desirable to test the candidate cleavable linking groups for resistance to cleavage in blood or when in contact with other non-target tissues. The relative sensitivity of the cleavage between a first and a second condition may thereby be determined, wherein the first condition is selected to indicate cleavage in the target cell and the second condition is selected to indicate cleavage in other tissues or biological fluids (e.g., blood or serum). The evaluation can be carried out in a cell-free system, in cells, in cell culture, in organ or tissue culture or in the whole animal body. Preliminary evaluations were not performed in cell-free or culture conditions and confirmed by further evaluations throughout the animal body. In preferred embodiments, useful candidate compounds cleave in cells (or in vitro conditions selected to mimic intracellular conditions) at least about 2-fold, 4-fold, 10-fold, 20-fold, 30-fold, 40-fold, 50-fold, 60-fold, 70-fold, 80-fold, 90-fold, or 100-fold faster than in blood or serum (or in vitro conditions selected to mimic intracellular conditions).
i. Redox cleavable linking groups
In certain embodiments, the cleavable linking group is a redox cleavable linking group that is cleaved upon reduction or oxidation. An example of a reductively cleavable linking group is a disulfide linkage (-S-S-). To determine whether a candidate cleavable linking group is a suitable "reductively cleavable linking group," or, for example, is suitable for a particular iRNA moiety and a particular targeting agent, reference may be made to the methods described herein. For example, a candidate can be evaluated with other reducing agents by incubation with Dithiothreitol (DTT), or by using agents known in the art that mimic the cleavage rate observed in a cell (e.g., a target cell). Candidates may also be evaluated under conditions selected to mimic blood or serum conditions. In one embodiment, the candidate compound is cleaved up to about 10% in blood. In other embodiments, a useful candidate compound degrades in a cell (or under in vitro conditions selected to mimic intracellular conditions) at least about 2-fold, 4-fold, 10-fold, 20-fold, 30-fold, 40-fold, 50-fold, 60-fold, 70-fold, 80-fold, 90-fold, or about 100-fold faster than in blood (or under in vitro conditions selected to mimic extracellular conditions). The cleavage rate of the candidate compound is determined under selected conditions that mimic an intracellular matrix using standard enzyme kinetic assays and compared to selected conditions that mimic an extracellular matrix.
Phosphate-based cleavable linking groups
In other embodiments, the cleavable linker comprises a phosphate-based cleavable linking group. The phosphate-based cleavable linking group may be cleaved by an agent capable of degrading or hydrolyzing the phosphate group. Examples of agents that cleave phosphate groups in cells are enzymes, such as phosphatases in cells. Examples of phosphate-based linkers are-O-P (O) (ORk) -O-, -O-P (S) (SRk) -O-, -S-P (O) (ORk) -O-, -O-P (O) (ORk) -S-, -S-P (O) (ORk) -S-, -O-P (S) (ORk) -S-, -S-P (S) (ORk) -O-, -O-P (O) (Rk) -O-, -O-P (S) (Rk) -O-, -S-P (S) (Rk) -O-), (Rk) S-, -O-P (S) (Rk) S-. Preferred embodiments are-O-P (O) (OH) -O-, -O-P (S) (SH) -O-, -S-P (O) (OH) -O-, -O-P (O) (OH) -S-, -S-P (O) (OH) -S-, -O-P (S) (OH) -S-, -S-P (S) (OH) -O-, -O-P (O) (H) -O-, -O-P (S) (H) -O-, -S-P (O) - (H) -O-, -S-P (S) - (H) -O-, (H-), (H) -S-and-O-P (S) (H) -S-. A preferred embodiment is-O-P (O) (OH) O-. These candidates can be evaluated using methods similar to those described above.
An acid cleavable linking group
In other embodiments, the cleavable linker comprises an acid-cleavable linking group. An acid-cleavable linking group is a linking group that is cleaved under acidic conditions. In preferred embodiments, the acid-cleavable linking group can be cleaved in an acidic environment at a pH of about 6.5 or less (e.g., about 6.0, 5.5, 5.0 or less), or by an agent, such as an enzyme, that can act as a common acid. In cells, certain organelles with low pH values, such as endosomes and lysosomes, can provide a cleavage environment for the acid-cleavable linking group. Examples of acid cleavable linking groups include, but are not limited to, hydrazones, esters with amino acids. The acid cleavable group may have the general formula-C ═ NN-, C (O) O, or-oc (O), and the like. In a preferred embodiment, a carbon aryl, an alternative alkyl or a tertiary alkyl group such as dimethylpentyl or tertiary butyl is attached to the oxygen (alkoxy) group of the ester. These candidates can be evaluated using methods similar to those described above.
Ester-based linking groups
In other embodiments, the cleavable linker comprises an ester-based cleavable linking group. The ester-based cleavable linker can be cleaved by enzymes such as esterases and amidases in the cell. Examples of ester-based cleavable linking groups include, but are not limited to, alkylene esters, alkenylene esters, and alkynylene esters. The ester cleavable linking group has the general formula-c (O) O-or-oc (O) -c. These candidates can be evaluated using methods similar to those described above.
Peptide-based linking groups
In other embodiments, the cleavable linker comprises a peptide-based cleavable linking group. Cleavable linkers based on peptides can be cleaved by enzymes such as peptidases and proteases in cells. A peptide-based cleavable linking group is a peptide bond formed between amino acids to produce oligopeptides (e.g., dipeptides, tripeptides, etc.) and polypeptides. The peptide-based cleavable group does not include an amide group (-C (O) NH-). The amide group may be formed between any alkylene, alkenylene, or alkynylene group. Peptide bonds are a special type of amide bond formed between amino acids to produce peptides and proteins. Peptide-based cleavage groups are generally limited to the peptide bonds (i.e., amide bonds) formed between amino acids to produce peptides and proteins, and do not include the entire amide functionality. The peptide-based cleavable linker has the general formula-NHCHRAC (O) NHCHRBC (O) -where RA and RB are the R groups of the two adjacent amino acids (SEQ ID NO: __). These candidates can be evaluated using methods similar to those described above.
In some embodiments, the iRNA of the invention is conjugated to a carbohydrate via a linker. Non-limiting examples of iRNA carbohydrate conjugates having linkers of the compositions and methods described herein include, but are not limited to,
when one of X or Y is an oligonucleotide, then the other is hydrogen.
In certain embodiments of the compositions and methods of the invention, the ligand is one or more "GalNAc" (N-acetylgalactosamine) derivatives linked by a divalent or trivalent branched linker.
In certain embodiments, the dsRNA of the invention is conjugated to a divalent or trivalent branched linker selected from the group of structures represented by any one of formulae (XXXII) - (XXXV):
wherein:
q2A, q2B, q3A, q3B, q4A, q4B, q5A, q5B and q5C each independently represent 0 to 20 at each occurrence, and wherein the repeating units may be the same or different;
at each occurrence, P2A、P2B、P3A、P3B、p4A、P4B、P5A、P5B、P5C、T2A、T2B、T3A、T3B、T4A、T4B、T4A、T5B、T5CEach independently represents nothing, CO, NH, O, S, OC (O), NHC (O), CH2、CH2NH or CH2O;
At each occurrence, Q2A、Q2B、Q3A、Q3B、Q4A、Q4B、Q5A、Q5B、Q5CEach independently represents a void, alkylene, substituted alkylene wherein one or more methylene groups may be inserted or interrupted by O, S, S (O), SO2、N(RN) C (R') ═ C (R "), C ≡ C, or C (O);
At each occurrence, R2A、R2B、R3A、R3B、R4A、R4B、R5A、R5B、R5CEach independently represents null, NH, O, S, CH2、C(O)O、C(O)NH、NHCH(Ra)C(O)、-C(O)-CH(Ra)-NH-、CO、CH=N-O、
at each occurrence, L2A、L2B、L3A、L3B、L4A、L4B、L5A、L5BAnd L5CRepresents a ligand; i.e. independently represent a monosaccharide (e.g. GalNAc), disaccharide, trisaccharide, tetrasaccharide, oligosaccharide or polysaccharide; and RaIs H or an amino acid side chain. Trivalent conjugated GalNAc derivatives are particularly useful for inhibiting the expression of a target gene in conjunction with RNAi agents, such as GalNAc derivatives represented by formula (XXXV):
wherein L is5A、L5BAnd L5CRepresents a monosaccharide, such as a GalNAc derivative.
Examples of suitable divalent and trivalent branched linking groups conjugated to GalNAc derivatives include, but are not limited to, the structures shown in formulas II, VII, XI, X and XIII above.
Representative U.S. patents teaching the preparation of RNA conjugates include, but are not limited to, U.S. patent nos. 4,828,979; 4,948,882, respectively; 5,218,105; 5,525,465, respectively; 5,541,313, respectively; 5,545,730, respectively; 5,552,538, respectively; 5,578,717, 5,580,731; 5,591,584, respectively; 5,109,124, respectively; 5,118,802, respectively; 5,138,045; 5,414,077, respectively; 5,486,603, respectively; 5,512,439, respectively; 5,578,718, respectively; 5,608,046, respectively; 4,587,044, respectively; 4,605,735, respectively; 4,667,025, respectively; 4,762,779, respectively; 4,789,737, respectively; 4,824,941, respectively; 4,835,263, respectively; 4,876,335, respectively; 4,904,582, respectively; 4,958,013, respectively; 5,082,830; 5,112,963, respectively; 5,214,136, respectively; 5,082,830; 5,112,963, respectively; 5,214,136, respectively; 5,245,022, respectively; 5,254,469, respectively; 5,258,506, respectively; 5,262,536, respectively; 5,272,250, respectively; 5,292,873, respectively; 5,317,098, respectively; 5,371,241, 5,391,723; 5,416,203, 5,451, 463; 5,510,475, respectively; 5,512,667, respectively; 5,514,785, respectively; 5,565,552; 5,567,810; 5,574,142; 5,585,481; 5,587,371; 5,595,726, respectively; 5,597,696; 5,599,923, respectively; 5,599,928, respectively; 5,688,941, respectively; 6,294,664, respectively; 6,320,017; 6,576,752, respectively; 6,783,931, respectively; 6,900,297, respectively; 7,037,646, respectively; and 8,106,022, the entire contents of each of which are incorporated herein by reference.
It is not necessary that all positions in a given compound be uniformly modified, and in fact, more than one of the above-described modifications can be incorporated into a single compound, or even into a single nucleoside in an iRNA. The invention also includes iRNA compounds as chimeric compounds.
In the context of the present invention, a "chimeric" iRNA compound or "chimera" is an iRNA compound, preferably a dsRNAi agent, comprising two or more chemically distinct regions, each region consisting of at least one monomeric unit, i.e. nucleotides in the case of dsRNA compounds. These irnas typically contain at least one region in which the RNA has been modified to increase resistance of the iRNA to nuclease degradation, increase cellular uptake, or increase binding affinity for a target nucleic acid. Additional regions of the iRNA may serve as substrates for enzymes capable of cleaving RNA: DNA or RNA: RNA hybrids. For example, RNase H is a cellular endonuclease that cleaves the RNA strand of an RNA: DNA duplex. Thus, the activation of RNase H results in cleavage of the RNA target, greatly increasing the efficiency of iRNA inhibition of gene expression. Thus, when chimeric dsrnas are used, generally shorter irnas can be used to achieve comparable results with phosphorothioate deoxydsrnas that hybridize to the same target region. Cleavage of the RNA target can be routinely detected by gel electrophoresis and, if necessary, by related nucleic acid hybridization techniques known in the art.
In some cases, the RNA of the iRNA may be modified with non-ligand groups. To enhance iRNA activity, cellular distribution or cellular uptake, a number of non-ligand molecules have been conjugated to iRNA, and steps for performing such conjugation can be found in the scientific literature. Such non-ligand moieties include lipid moieties such as cholesterol (Kubo, T. et al, biochem. Biophys. Res. Comm., 2007, 365 (1): 54-61; Letsinger et al, Proc. Natl. Acad. Sci. USA, 1989, 86: 6553) which may be used in the reagents of the invention. Other non-ligand moieties include lipid moieties, cholic acids (Manohara et al, bioorg.Med.chem.Lett., 1994, 4: 1053), thioethers such as hexyl-S-tritylthiol (Manohara et al, Ann.N.Y.Acad.Sci., 1992, 660: 306; Manohara et al, bioorg.Med.chem.Let., 1993, 3: 2765), thiocholesterols (Oberhauser et al, Nucl.acids Res., 1992, 20: 533), aliphatic chains such as dodecanediol or undecyl residues (Saison-Behmoars et al, EMBO J., 1991, 10: 111; Kabanov et al, FEtt. S., 1990, 259: 327; Svinahuk et al, Biorchie, 1993, 75: 49), phospholipids such as diglycerol or cetyl-racemic-1, cetyl-1-cetyl-2-cetyl-L.1990, cetyl phosphonate, L.51-L., 1990, L.51: 36, L., 1990, L.S. 3, L., 1995, 3-L., 4: 10551, L., 4: 36, L., racemic-cetyl-L., 2000, 4: 1052, racemic-L., 2000, racemic-L., 4: 306, racemic-L., 2, racemic-L., 2, L., 2, 4, L., 3, 4, 2, 4, 3, L., 2000, 2, L., 2000, 2, L., 2000, 2, 4, L., 2000, 2, L., 3, 2, L., 3, 2, 3, 2, 3, 2, 3, 2, 3, 2, polyamine or polyethylene glycol chains (Manohara et al, Nucleotides & Nucleotides, 1995, 14: 969), or adamantane acetic acid (Manohara et al, Tetrahedron Lett., 1995, 36: 3651), palmityl moieties (Mishra et al, Biochim. Biophys. acta, 1995, 1264: 229) or octadecylamine or hexylamino-carbonyl-hydroxycholesterol moieties (crook et al, J.Pharmacol. exp. Ther., 1996, 277: 923). Representative U.S. patents teaching the preparation of such RNA conjugates are listed above. A common conjugation procedure involves the synthesis of RNA bearing an amino linker at one or more positions of the sequence. The amino group is then reacted with the conjugated molecule by using a suitable coupling or activation reagent. The conjugation reaction can be performed in solution phase with the RNA still bound to the solid support, or after cleavage of the RNA. Purification of the RNA conjugate by HPLC generally provides a pure conjugate.
Delivery of iRNAs of the invention
Delivery of irnas of the invention to a cell, e.g., a cell in a subject, such as a human subject (e.g., a subject in need thereof, e.g., a subject having a disease, disorder or condition associated with gene expression of PD-L1), can be achieved in a number of different ways. For example, delivery can be performed by contacting a cell with an iRNA of the invention in vitro or in vivo. In vivo delivery can also be performed directly by administering a composition comprising an iRNA, e.g., dsRNA, to a subject. Alternatively, in vivo delivery can be performed indirectly by administering one or more vectors that encode and direct the expression of irnas. These alternatives are discussed further below.
In general, any method of delivering nucleic acid molecules (in vitro or in vivo) can be adapted for use with the iRNAs of the present invention (see, e.g., Akhtar S. and Julian RL. (1992) Trends cell. biol.2 (5): 139-144 and WO94/02595, the entire contents of which are incorporated herein by reference). For in vivo delivery, factors considered for delivery of iRNA molecules include, for example, biological stability of the delivered molecule, prevention of non-specific effects, and accumulation of the delivered molecule in the target tissue. Nonspecific effects of irnas can be minimized by topical administration, e.g., by direct injection or implantation into tissue or topical administration of the formulation. Local administration to the treatment site maximizes the local concentration of the agent, limits exposure of the agent to systemic tissues (which might otherwise damage the tissue or degrade the agent), and allows for the administration of lower total doses of iRNA molecules. Several studies have shown success in reducing gene products when dsRNAi agents are administered locally. For example, the intraocular delivery of VEGF dsRNA by intravitreal injection into cynomolgus monkeys (Tolentino, MJ et al, (2004) Retina 24: 132-138) and subretinal injection into mice (Reich, SJ. et al, (2003) mol. Vis.9: 210-216) has been shown to prevent neovascularization in experimental models of age-related macular degeneration. Furthermore, direct intratumoral injection of dsRNA into mice could reduce tumor volume (Pille, J. et al, (2005) mol. Ther.11: 267-274) and prolong the survival time of tumor-bearing mice (Kim, WJ. et al, (2006) mol. Ther.14: 343-350; Li, S. et al, (2007) mol. Ther.15: 515-523). RNA interference has also been shown to be successfully delivered locally by direct injection to the CNS (Dorn, G.et al, (2004) Nucleic Acids 32: e 49; Tan, PH. et al, (2005) Gene Ther.12: 59-66; Makimura, H.et al, (2002) BMC neurosci.3: 18; Shishkina, GT. et al, (2004) Neuroscience 129: 521-. For systemic administration of irnas to treat diseases, drug delivery systems can be used to modify or deliver RNAs; both methods serve to prevent rapid in vivo degradation of dsRNA by endonucleases and exonucleases. Modifications to the RNA or drug carrier may also allow targeting of the iRNA to the target tissue and avoid undesirable off-target effects. iRNA molecules can be modified by chemical conjugation with lipophilic groups (e.g., cholesterol) to enhance cellular uptake and prevent degradation. For example, systemic injection of iRNA for ApoB conjugated to a lipophilic cholesterol moiety into mice resulted in a reduction of apoB mRNA in the liver and jejunum (Sotschek, J. et al, (2004) Nature 432: 173-178). Conjugation of iRNA to aptamers has been shown to inhibit tumor growth and mediate tumor regression in mouse models of prostate cancer (McNamara, JO et al, (2006) nat. Biotechnol. 24: 1005-1015). In alternative embodiments, the iRNA may be delivered using a drug delivery system such as a nanoparticle, dendrimer, polymer, liposome, or cationic delivery system. The positively charged cation delivery system facilitates the binding of iRNA molecules (negatively charged) and also enhances interactions on the negatively charged cell membrane to allow efficient uptake of iRNA by the cell. Cationic lipids, dendrimers or polymers can bind to iRNA or be induced to form vesicles or micelles that encapsulate iRNA (see, e.g., Kim SH et al, (2008) Journal of Controlled Release 129 (2): 107-. The formation of vesicles or micelles further prevents the degradation of iRNA upon systemic administration. Methods for preparing and administering cation-iRNA complexes are well within the purview of those skilled in the art (see, e.g., Sorensen, DR et al, (2003) J.mol.biol 327: 761-766; Verma, UN et al, (2003) Clin.cancer Res.9: 1291-1300; Arnold, AS et al, (2007) J.Hypertens.25: 197-205, the entire contents of which are incorporated herein by reference). Some non-limiting examples of drug delivery systems that may be used to deliver iRNA systemically include DOTAP (Sorensen, DR. et al, (2003), supra; Verma, UN et al, (2003), supra), Oligofectamine, "solid nucleic acid lipid particles" (Zimmermann, TS et al, (2006) Nature 441: 111-114), cardiolipin (Chien, PY et al, (2005) Cancer Gene Ther.12: 321-328; Pal, A et al, (2005) Int J.Oncol.26: 1087-1091), polyethyleneimine (Bonnet ME et al, (2008) Pharm.Res.8.16.16.16.16.early on-line; Aigner, A. (2006) J.biomed.Biotechnol.71659), Arg-Gly-RGD peptide (Asp, S. (Pharmm) Mognel.3: 487) and Polyamid H19: 35-35, Biochem et al, (1999) polyamide 19. 35: Tomana. (Yomend.35-35). In some embodiments, the iRNA forms a complex with a cyclodextrin for systemic administration. Methods of administration and pharmaceutical compositions of irnas and cyclodextrins can be found in U.S. patent No. 7,427,605 (incorporated herein by reference in its entirety).
A. iRNA encoded by the vectors of the invention
iRNAs targeting the PD-L1 gene can be expressed from transcription units inserted into DNA or RNA vectors (see, e.g., Couture, A et al, TIG. (1996), 12: 5-10; Skillren, A et al, International PCT publication No. WO 00/22113, Conrad, International PCT publication No. WO 00/22114, and Conrad, U.S. Pat. No. 6,054,299). Expression may be transient (hours to weeks) or sustained (weeks to months or longer), depending on the particular construct and target tissue or target cell type used. These transgenes may be introduced into linear constructs, circular plasmids or viral vectors, which may be integrative or non-integrative. The transgene can also be constructed to enable it to be inherited as an extrachromosomal plasmid (Gassmann et al, Proc. Natl. Acad. Sci. USA (1995) 92: 1292).
A single strand or multiple strands of an iRNA can be transcribed from a promoter on an expression vector. When two separate strands are to be expressed to produce, for example, dsRNA, the two separate expression vectors can be co-introduced (e.g., co-introduced by transfection or infection) into the target cell. Alternatively, each single strand of the dsRNA may be transcribed by a promoter, both located on the same expression plasmid. In one embodiment, the dsRNA is expressed as inverted repeat polynucleotides linked by a linker polynucleotide sequence such that the dsRNA has a stem structure and a loop structure.
iRNA expression vectors are typically DNA plasmids or viral vectors. Expression vectors compatible with eukaryotic cells, preferably expression vectors compatible with vertebrate cells, can be used to generate recombinant constructs for expression of the irnas described herein. Eukaryotic expression vectors are well known in the art and are available from many commercial sources. Typically, vectors are provided that contain restriction sites to facilitate insertion of the desired nucleic acid fragment. Delivery of the iRNA expression vector can be systemic, for example, by intravenous or intramuscular administration, by administration to target cells transplanted from a patient and then introducing the target cells into the patient, or by any other means that allows for their introduction into the desired target cells.
Viral vector systems that can be used with the methods and compositions described herein include, but are not limited to, (a) adenoviral vectors; (b) retroviral vectors, including but not limited to lentiviral vectors, Moloney murine leukemia virus, etc.; (c) adeno-associated virus vectors; (d) a herpes simplex virus vector; (e) an SV 40 vector; (f) a polyoma viral vector; (g) a papilloma virus vector; (h) a picornavirus vector; (i) poxvirus vectors such as vaccinia virus, e.g., vaccinia virus vector or avipox virus vector, e.g., canarypox or fowlpox virus vector; and (j) helper-dependent or entero-free adenovirus. Replication-defective viruses may also be advantageous. The different vectors may or may not be incorporated into the genome of the cell. The construct may include viral sequences for transfection, if desired. Alternatively, the constructs may be incorporated into vectors capable of episomal replication, e.g., EPV and EBV vectors. Constructs for recombinant expression of iRNA typically require regulatory elements, e.g., promoters, enhancers, etc., to ensure expression of the iRNA in the target cell. Other considerations regarding vectors and constructs are known in the art.
V. pharmaceutical composition of the invention
The invention also includes pharmaceutical compositions and formulations comprising the irnas of the invention. In one embodiment, provided herein is a pharmaceutical composition comprising an iRNA described herein and a pharmaceutically acceptable carrier. The pharmaceutical compositions containing the irnas may be used to treat diseases or disorders associated with the expression or activity of the PD-L1 gene. Such pharmaceutical compositions are formulated based on the mode of delivery. One example is a composition formulated for systemic administration by parenteral delivery (e.g., by Subcutaneous (SC) or Intravenous (IV) delivery). The pharmaceutical composition of the present invention may be administered in a dose sufficient to inhibit the expression of the PD-L1 gene.
The pharmaceutical composition of the present invention may be administered in a dose sufficient to inhibit the expression of the PD-L1 gene. In general, suitable dosages of the iRNA of the invention should be in the range of about 0.001 to about 200.0 milligrams per kilogram of recipient body weight per day, typically in the range of about 1 to 50 milligrams per kilogram of recipient body weight per day. Generally, suitable dosages of the iRNAs of the present invention will range from about 0.1mg/kg to about 5.0mg/kg, e.g., about 0.3mg/kg and about 3.0 mg/kg. Repeated dosage regimens may include periodic administration of therapeutic amounts of iRNA, e.g., once every other day or once a year. In certain embodiments, the iRNA is administered from about once a month to about once a quarter (i.e., about once every three months).
The treatment may be administered less frequently following the initial treatment regimen. For example, administration may be repeated once a month for six months or a year after once a week or once every two weeks for three months; or longer.
The pharmaceutical composition may be administered once daily, or the iRNA may be administered in two, three or more sub-doses at appropriate intervals throughout the day, or even by controlled release formulation using continuous infusion or delivery. In this case, to achieve a total daily dose, the iRNA contained in each sub-dose must be correspondingly smaller. Dosage units can also be formulated for delivery over several days, for example, using conventional sustained release formulations that can provide sustained release of iRNA over a period of several days. Sustained release formulations are well known in the art and are particularly suitable for delivering an agent at a specific site, for example, as may be used with the agents of the present invention. In this embodiment, the dosage unit contains the corresponding multiple of the daily dose.
In other embodiments, a single dose of the pharmaceutical composition may be long-lasting, such that subsequent doses are administered at intervals of no more than 3 days, 4 days, or 5 days, or at intervals of no more than 1 week, 2 weeks, 3 weeks, or 4 weeks. In some embodiments of the invention, a single dose of a pharmaceutical composition of the invention is administered once per week. In other embodiments of the invention, a single dose of the pharmaceutical composition of the invention is administered once every two months. In certain embodiments, the iRNA is administered from about once a month to about once a quarter (i.e., about once every three months).
One skilled in the art will recognize that certain factors will affect the dosage and time required to effectively treat a subject, including but not limited to the severity of the disease or disorder, previous treatments, the general health or age of the subject, and other diseases present. Moreover, treating a subject with a therapeutically effective amount of the composition can include a single treatment or a series of treatments. The effective dose and in vivo half-life of an individual iRNA encompassed by the present invention can be estimated using conventional methodologies, or on the basis of in vivo assays using appropriate animal models, as is known in the art.
For example, animal models of hepatitis B virus infection are known in the art, including transgenic mouse models of chimpanzees, woodchucks, and HBV (Wieland, 2015, Cold Spring Harb. Perspect. Med., 5: a021469, 2015; Tennant and Gerin, 2001.ILAR Journal, 42: 89-102; and Moriyama et al, 1990.Science, 248: 361 364). Chimpanzee models can also be used as models of hepatitis delta infection. A number of cancer models are known in the art, including chemically induced tumor models and xenograft tumor models.
The pharmaceutical composition of the present invention may be administered in a variety of ways depending on whether local or systemic treatment is required and the area to be treated. Administration can be topical (e.g., via transdermal patch), pulmonary, e.g., by inhalation or insufflation of powders or aerosols, including by nebulizer; intratracheal, intranasal, epidermal and transdermal, oral or parenteral. Parenteral administration includes intravenous, intraarterial, subcutaneous, intraperitoneal or intramuscular injection or infusion; subcutaneous administration, e.g., by an implanted device; or intracranial administration, e.g., by intraparenchymal, intrathecal, or intraventricular administration.
The iRNA can be delivered in a manner that targets a particular tissue (e.g., hepatocytes).
Pharmaceutical compositions and formulations for topical or transdermal administration may include transdermal patches, ointments, lotions, creams, gels, drops, suppositories, sprays, liquids and powders. Conventional pharmaceutical carriers, aqueous, powder or oily bases, thickeners and the like may be necessary or desirable. Coated condoms, gloves and the like may also be useful. Suitable topical dosage forms include those which are: which contains the iRNA of the invention in admixture with a local delivery agent (e.g., lipids, liposomes, fatty acids, fatty acid esters, steroids, chelators, and surfactants). Suitable lipids and liposomes include neutral lipids and liposomes (e.g., dioleoylphosphatidylethanolamine DOPE, dimyristoylphosphatidylcholine DMPC, distearoylphosphatidylcholine), negative lipids and liposomes (e.g., dimyristoylphosphatidylglycerol DMPG), and cationic lipids and liposomes (e.g., dioleoyltrimethylaminopropyl DOTAP and dioleoylphosphatidylethanolamine DOTMA). The iRNA of the present invention may be encapsulated within liposomes or may form complexes therewith, particularly with cationic liposomes. Alternatively, the iRNA may be complexed with a lipid, particularly a cationic lipid. Suitable fatty acids and esters include, but are not limited to, arachidonic acid, oleic acid, eicosanoic acid, lauric acid, caprylic acid, capric acid, myristic acid, palmitic acid, stearic acid, linoleic acid, linolenic acid, dicaprate, tricaprate, glycerol monooleate, glyceryl cinnamate, 1-decanoic acid monoglyceride, 1-dodecylheterocycloheptane-2 -ketones, acylcarnitines, acylcholines or C1-20Alkyl esters (e.g., isopropyl myristate IPM), monoglycerides, diglycerides, or pharmaceutically acceptable salts thereof. Topical dosage forms are described in detail in U.S. patent No. 6,747,014 (which is incorporated herein by reference).
A. iRNA formulations comprising membrane molecule assemblies
The irnas used in the compositions and methods of the invention can be formulated for delivery in membrane molecule assemblies (e.g., liposomes or micelles). The term "liposome" as used herein refers to a vesicle composed of amphiphilic lipids arranged in at least one bilayer (e.g., a bilayer or bilayers). Liposomes include unilamellar and multilamellar vesicles having membranes formed from lipophilic substances and an aqueous interior. The aqueous portion contains iRNA. The lipophilic material isolates an aqueous interior from an aqueous exterior, where the aqueous exterior generally does not include an iRNA composition, but in some instances may include an iRNA composition. Liposomes can be used to transfer and deliver active ingredients to the site of action. Since the liposome membrane is similar in structure to a biological membrane, the liposome bilayer fuses with the cell membrane bilayer when the liposome is applied to a tissue. With continued incorporation of liposomes and cells, the internal aqueous content, including the iRNA, is delivered into cells where the iRNA can specifically bind to a target RNA and can mediate RNA interference. In some cases, for example, to direct iRNA to a particular cell type, liposomes can also be specifically targeted.
Liposomes containing iRNA agents can be prepared by a variety of methods. In one example, the lipid component of the liposome is dissolved in a detergent, thereby forming micelles with the lipid component. For example, the lipid component may be an amphiphilic cationic lipid or a lipid conjugate. The detergent may have a higher critical micelle concentration and may be non-ionic. Exemplary detergents include cholate, CHAPS, octyl glucoside, deoxycholate, and lauroylsarcosine. The iRNA agent formulation is then added to a micelle that includes a lipid component. Cationic groups on the lipid interact with and condense around the iRNA agent to form a liposome. After condensation, the detergent is removed, e.g., by dialysis, to produce a liposomal formulation of iRNA agent.
If desired, a carrier compound which facilitates condensation may be added during the condensation reaction, for example, by controlled addition. For example, the carrier compound can be a polymer other than a nucleic acid (e.g., spermine or spermidine). The pH may also be adjusted to promote condensation.
Methods for producing stable polynucleotide delivery vehicles incorporating polynucleotide/cationic lipid complexes as a structural component of the delivery vehicle are further described, for example, in WO 96/37194 (the entire contents of which are incorporated herein by reference). The formation of liposomes may also include one or more aspects of the exemplary methods described below: felgner, p.l. et al, proc.natl.acad.sci., USA 8: 7413-7417, 1987; U.S. patent nos. 4,897,355; U.S. patent nos. 5,171,678; bangham et al, m.mol.biol.23: 238, 1965; olson et al, biochim. biophysis. acta 557: 9,1979, respectively; szoka et al, proc.natl.acad.sci.75: 4194, 1978; mayhew et al, biochim. biophysis. acta 775: 169, 1984; kim et al, biochim. biophysis. acta 728: 339, 1983; and Fukunaga et al, endocrinol.115: 757, 1984. Common techniques for preparing lipid aggregates of appropriate size for use as delivery vehicles include sonication and freeze-thaw plus extrusion (see, e.g., Mayer et al, biochim. biophysis. acta 858: 161, 1986). When consistent relatively small (50 to 200nm) and relatively uniform aggregates are desired, microfluidization processing can be used (Mayhew et al, Biochim. Biophys. acta 775: 169, 1984). These methods are well suited for packaging iRNA agent formulations into liposomes.
Liposomes fall into two broad categories. Cationic liposomes are positively charged liposomes that interact with negatively charged nucleic acid molecules to form stable complexes. The positively charged nucleic acid/liposome complex binds to the negatively charged cell surface and is internalized into the endosome. Due to the acidic pH within the endosome, the liposomes are disrupted, releasing their contents into the cytoplasm of the cell (Wang et al, biochem. Biophys. Res. Commun., 1987, 147, 980-985).
Liposomes that are pH sensitive or negatively charged encapsulate the nucleic acid rather than complex with it. Since both nucleic acids and lipids have similar charge profiles, repulsion occurs without complex formation. Nevertheless, some nucleic acids are entrapped within the aqueous interior of these liposomes. Liposomes sensitive to pH have been used to deliver nucleic acids encoding thymidine kinase genes to cultured cell monolayers. Expression of the foreign gene was detected in the target cells (Zhou et al, Journal of Controlled Release, 1992, 19, 269-274).
One major type of liposome composition includes phospholipids, with the exception of phosphatidylcholine, which is naturally derived. For example, a neutral liposome composition can be formed from Dimyristoylphosphatidylcholine (DMPC) or Dipalmitoylphosphatidylcholine (DPPC). Anionic liposome compositions are typically formed from dimyristoyl phosphatidylglycerol, whereas anionic fusogenic liposomes are formed primarily from dioleoyl phosphatidylethanolamine (DOPE). Another type of liposome composition is formed from Phosphatidylcholine (PC) (e.g., soy PC and egg PC). The other type is formed from a mixture of two or more of phospholipids, phosphatidylcholine and cholesterol.
Examples of other methods of introducing liposomes into cells in vitro and in vivo include U.S. patent nos. 5,283,185 and 5,171,678; WO 94/00569; WO 93/24640; WO 91/16024; felgner, j.biol.chem.269: 2550, 1994; nabel, proc.natl.acad.sci.90: 11307, 1993; nabel, Human Gene ther.3: 649, 1992; gershon, biochem.32: 7143, 1993; and Strauss, EMBO J.11: 417, 1992.
The non-ionic liposomal system (particularly the system comprising non-ionic surfactant and cholesterol) was also examined to determine its usefulness in delivering drugs to the skin. Use includes NovasomeTMI (glyceryl dilaurate/Cholesterol/polyoxyethylene-10-Steareyl Ether) and NovasomeTMII (glyceryl distearate/Cholesterol/polyoxyethylene-10-stearyl ether) nonionic Liposome formulation for delivery of Cyclosporin A toDermis of mouse skin. The results indicate that this nonionic liposome system is effective in promoting cyclosporin a deposition in different layers of the skin (Hu et al, s.t.p.pharma.sci., 1994, 4(6) 466).
Liposomes also include "sterically stabilized" liposomes, which term is used herein to refer to liposomes comprising one or more specialized lipids that, when incorporated into the liposome, result in an increase in the circulation life relative to liposomes lacking such specialized lipids. Examples of sterically stable liposomes are liposomes: wherein part of the vesicle-forming lipid fraction of the liposomes (A) comprises one or more glycolipids, e.g. monosialoganglioside GM1Or (B) derivatized by using one or more hydrophilic polymers, e.g., polyethylene glycol (PEG) moieties. While not wishing to be bound by any particular theory, it is believed in the art that the enhanced circulating half-life of these sterically stabilized liposomes, at least for sterically stabilized liposomes containing gangliosides, sphingomyelin, or PEG derivatized lipids, results from a reduction in cellular uptake by the reticuloendothelial system (RES) (Allen et al, FEBS Letters, 1987, 223, 42; Wu et al, Cancer Research, 1993, 53, 3765).
Various liposomes comprising one or more glycolipids are known in the art. Papahadjopoulos et al (Ann.N.Y.Acad.Sci., 1987, 507, 64) reported that monosialoganglioside GM1Galactocerebroside sulfate and phosphatidylinositol improve the ability of the liposomes to have a half-life in blood. These findings are addressed by Gabizon et al (Proc. Natl. Acad. Sci. U.S.A., 1988, 85, 6949). U.S. Pat. No. 4,837,028 and WO 88/04924 to Allen et al disclose compositions comprising (1) sphingomyelin and (2) ganglioside GM1Or liposomes of galactocerebroside sulfate. U.S. Pat. No. 5,543,152(Webb et al) discloses liposomes comprising sphingomyelin. WO 97/13499(Lim et al) discloses liposomes comprising 1, 2-sn-dimyristoylphosphatidylcholine.
In some embodiments, cationic liposomes are used. Cationic liposomes have the advantage of being able to fuse with cell membranes. Non-cationic liposomes, while not efficiently fused to the plasma membrane, are taken up by macrophages in vivo and can be used to deliver iRNA agents to macrophages.
Other advantages of liposomes include: liposomes obtained from natural phospholipids are biocompatible and biodegradable; liposomes can incorporate a variety of water-soluble and lipid-soluble drugs; liposomes protect the iRNA encapsulated in their internal compartments from metabolism and degradation (Rosoff, "Pharmaceutical delivery Forms", Lieberman, Rieger and Bank (eds.), 1988, Vol.1, p.245). Important considerations in the preparation of liposomal formulations are lipid surface charge, vesicle size, and the water content of the liposomes.
Positively charged synthetic cationic lipid N- [1- (2, 3-dioleoyloxy) propyl ] -N, N-trimethylammonium chloride (DOTMA) can be used to form small liposomes that spontaneously interact with nucleic acids to form lipid-nucleic acid complexes that are capable of fusing with negatively charged lipids of cell membranes of tissue culture cells to deliver iRNA agents (see, e.g., Feigner, p.l. et al, proc. natl. acad. sci., USA 8: 7413-7417, 1987, and U.S. patent No. 4,897,355 for a description of DOTMA and its use with DNA).
The analog of DOTMA, 1, 2-bis (oleoyloxy) -3- (trimethylammonio) propane (DOTAP), can be used in combination with phospholipids to form DNA complex vesicles. LipofectinTM(Bethesda Research Laboratories, Gaithersburg, Md.) is an effective agent for delivering higher anionic nucleic acids into biopsy cells, LipofectinTMComprising positively charged DOTMA liposomes that spontaneously interact with negatively charged polynucleotides to form complexes. When a sufficient number of positively charged liposomes are used, the net charge of the resulting complex is also positive. The positively charged complexes prepared in this manner spontaneously attach to negatively charged cell surfaces, fuse with the plasma membrane, and efficiently deliver functional nucleic acids, for example, to tissue culture cells. Another commercially available cationic lipid, 1, 2-bis (oleoyloxy) -3, 3- (trimethylammonio) propane ("DOTAP") (Boehringer Mannhe)im, Indianapolis, Indiana) differs from DOTMA in that the oleoyl moiety is linked by an ester bond, rather than by an ether bond.
Other reported cationic lipid compounds include cationic lipid compounds that have been conjugated to various moieties, including, for example, conjugated to one of two classes of lipids and including, for example, 5-carboxyargininglycine dioctyl oleamide ("DOGS") (Transfectam)TMCarboxyspermine of compounds such as Promega, Madison, Wisconsin) and dipalmitoylphosphatidylethanolamine 5-carboxysperminamide ("DPPES") (see, e.g., U.S. patent No. 5,171,678).
Another cationic lipid conjugate includes a lipid derivative of cholesterol ("DC-Chol") that has been formulated into liposomes in combination with DOPE (see Gao, x. and Huang, l., biochim. biophysis. res. commun.179: 280, 1991). Lipopolysysine prepared by conjugating polylysine to DOPE has been reported to be effective for transfection in the presence of serum (Zhou, X. et al, Biochim. Biophys. acta 1065: 8, 1991). For certain cell lines, these liposomes containing conjugated cationic lipids can exhibit lower toxicity and can provide more efficient transfection than compositions containing DOTMA. Other commercially available cationic lipid products include DMRIE and DMRIE-HP (Vical, La Jolla, California) and Lipofectamine (DOSPA) (Life Technology, Inc., Gaithersburg, Maryland). Other cationic lipids suitable for delivery of oligonucleotides are described in WO 98/39359 and WO 96/37194.
Liposome formulations are particularly suitable for topical administration, and liposomes have several advantages over other formulations. These advantages include reduction of side effects associated with higher systemic absorption of the administered drug, enhanced accumulation of the administered drug at the desired site, and the ability to apply the iRNA agent into the skin. In some embodiments, liposomes are used to deliver the iRNA agent to epidermal cells, and also to enhance penetration of the iRNA agent into skin tissue, e.g., skin. For example, the liposomes can be applied topically. For the topical delivery of drugs formulated as liposomes to the skin, this has been described in the literature (see, e.g., Weiner et al, Journal of Drug Targeting, 1992, vol.2, 405. Asca. 410 and du Plessi et al, anti viral Research, 18, 1992, 259. Asca. 265; Mannino, R.J. and Fould-Fogerite, S.A., Biotechniques 6: 682. 690, 1988; Itani, T. et al, Gene 56: 267-276.1987; Nicolau, C. et al, meth.Enz. 149: 157. Asa. 176, 1987; Strauger, R.M.and Pahadjollos, D.Enz. 101: 512. Asa. 527, 1983; Wang, C.Y. and Huang, L. Acang. L. 7884. Nat. USA: 51. USA).
Non-ionic liposomal systems, particularly systems comprising non-ionic surfactants and cholesterol, were also examined to determine their utility in delivering drugs into the skin. Using a package containing NovasomeTMI (glyceryl dilaurate/Cholesterol/polyoxyethylene-10-stearyl ether) and NovasomeTMII (glyceryl distearate/cholesterol/polyoxyethylene-10-stearyl ether) non-ionic liposomal formulation delivers the drug to the dermis of the skin of the mice. Such formulations with iRNA agents are useful for treating skin disorders.
Liposomes containing iRNA can be made highly deformable. This deformable property allows liposomes to pass through pores that are smaller than the average radius of the liposome. For example, the transporter is a deformable liposome. The transfer bodies may be prepared by adding a surface-edge-active agent, typically a surfactant, to a standard liposome composition. iRNA can be delivered to keratinocytes in the skin, for example, by delivering a transfer comprising iRNA as a subcutaneous infection. In order to cross intact mammalian skin, lipid vesicles must pass through a series of fine pores under the influence of an appropriate transdermal gradient. Each having a diameter of less than 50 nm. Furthermore, given the nature of lipids, these transporters can self-optimize (adapt to the shape of the pores, e.g. the shape of skin pores), self-repair, and can frequently encounter their target without fragmentation, and are usually self-loaded.
Other formulations suitable for use in the present invention are described in WO/2008/042973.
Transfersomes are also another type of liposome and are highly deformable lipid aggregates that are strong candidates for drug delivery excipients. The transfer body may be described as a lipid droplet which is so easily deformable that it can easily pass through a smaller aperture than the lipid droplet. The transfer body is able to adapt to its environment of use, for example, it is able to self-optimize (adapt to the shape of skin pores), self-repair, can frequently hit its target without fragmentation, and is usually self-loading. In the process of making the transfersomes, a surface-edge-active agent (typically a surfactant) may be added to a standard liposome composition. Transfersomes have been used to deliver serum albumin to the skin. Transporter-mediated delivery of serum albumin has been shown to be as effective as subcutaneous injection of a solution containing serum albumin.
Surfactants are widely used in formulations such as emulsions (including microemulsions) and liposomes. The most common way to classify and rank the properties of many different types of surfactants, both natural and synthetic, is through the use of the hydrophilic/lipophilic balance (HLB). The nature of the hydrophilic group (also called the "head") is the most useful means of classifying the different surfactants used in the formulation (Rieger, in "Pharmaceutical Dosage Forms", Marcel Dekker, inc., New York, n.y., 1988, page 285).
If the surfactant molecule is non-ionized, it is classified as a non-ionic surfactant. Nonionic surfactants are widely used in pharmaceutical products and cosmetics and are available at a variety of pH values. Generally, their HLB values range from about 2 to about 18, depending on their structure. Nonionic surfactants include nonionic esters such as ethylene glycol esters, propylene glycol esters, glycerol esters, polyglycerol esters, sorbitan esters, sucrose esters, and ethoxylated esters. This class also includes non-ionic alkanolamides and ethers such as fatty alcohol ethoxylates, propoxylated alcohols, and ethoxylated/propoxylated block polymers. Polyoxyethylene surfactants are the most popular members of the class of nonionic surfactants.
Surfactants are classified as anionic surfactants if the surfactant molecule has a negative charge when dissolved or dispersed in water. Anionic surfactants include carboxylates such as soaps, acyl lactylates, acyl amides of amino acids, sulfates such as alkyl sulfates and ethoxylated alkyl sulfates, sulfonates such as alkylbenzene sulfonates, acyl isethionates, acyl taurates and sulfosuccinates, and phosphates. The most important members of the anionic surfactant class are alkyl sulfates and soaps.
Surfactants are classified as cationic surfactants if the surfactant molecule is positively charged when dissolved or dispersed in water. Cationic surfactants include quaternary ammonium salts and ethoxylated amines. Quaternary ammonium salts are the most commonly used members of this class.
Surfactants are classified as amphoteric surfactants if the surfactant molecule has the ability to carry both positive and negative charges. Amphoteric surfactants include acrylic acid derivatives, substituted alkylamides, N-alkylbetaines and phospholipids.
The use of surfactants in Pharmaceutical products, formulations and emulsions has been reviewed (Rieger, in "Pharmaceutical Dosage Forms", Marcel Dekker, Inc., New York, N.Y., 1988, p.285).
The iRNA used in the methods of the invention can also be a micellar preparation. "micelle" herein means a particular type of molecular assembly in which amphiphilic molecules are arranged in a spherical structure such that all hydrophobic parts of the molecules have an inward orientation, thereby bringing hydrophilic parts into contact with the surrounding aqueous phase. If the environment is hydrophobic, the opposite arrangement exists.
Can be prepared by mixing an aqueous solution of iRNA and an alkali metal C8-C22Alkyl sulfates and micelle-forming compounds to produce mixed micelle formulations suitable for delivery through transdermal membranes. Exemplary micelle-forming compounds include lecithin, hyaluronic acid, pharmaceutically acceptable salts of hyaluronic acid, glycolic acid, lactic acid, chamomile extract, cucumber extract, oleic acid, linoleic acid, linolenic acid, glycerol monooleate, monolaurate, borage oil, evening primrose oilMenthol, trihydroxyoxocholanglycine and pharmaceutically acceptable salts thereof, glycerol, polyglycerol, lysine, polylysine, triolein, polyoxyethylene ethers and analogs thereof, polidocanol alkyl ethers and analogs thereof, chenodeoxycholate, deoxycholate, and mixtures thereof. The micelle-forming compound may be added simultaneously with or after the addition of the alkali metal alkyl sulfate. Basically, mixing the components in various ways can form mixed micelles, but if micelles of smaller size are desired, vigorous mixing is required.
In one method, a first micelle composition is prepared that contains RNAi and at least an alkali metal alkyl sulfate. The first micelle composition is then mixed with at least three micelle-forming compounds to form a mixed micelle composition. In another method, the micelle composition is prepared by mixing the RNAi, the alkali metal alkyl sulfate, and at least one micelle-forming compound, and then adding the remaining micelle-forming compound with vigorous mixing.
Phenol or m-cresol may be added to the mixed micelle composition to stabilize the formulation and prevent bacterial growth. Alternatively, phenol or m-cresol may be added together with the micelle-forming ingredients. An isotonic agent such as glycerol may also be added after the mixed micelle composition is formed.
To deliver the micelle formulation in the form of a spray, the formulation may be placed in an aerosol dispenser and the dispenser loaded with a propellant. In the dispenser, the propellant is in a liquid state under pressure. The proportions of the ingredients are adjusted so that the aqueous phase and the propellant phase become one, i.e. there is one phase. If two phases are present, it may be necessary to shake the dispenser before, for example, dispensing a portion of the contents through a metering valve. The dose of medicament is expelled from the metering valve in the form of a precision spray.
Propellants may include hydrochlorofluorocarbons, hydrofluorocarbons, dimethyl ether, and diethyl ether. In certain embodiments, HFA 134a (1, 1, 1, 2-tetrafluoroethane) may be used.
The specific concentration of the essential ingredient can be determined by relatively simple experimentation. For absorption through the oral cavity, it is generally necessary to use, for example, at least two or three times the dose administered by injection or through the gastrointestinal tract.
B. Lipid particles
The iRNA, e.g., a dsRNAi agent as described herein, can be completely encapsulated in a lipid formulation, e.g., LNP, or other nucleic acid-lipid particles.
The term "LNP" as used herein refers to a stable nucleic acid-lipid particle. LNPs typically contain a cationic lipid, a non-cationic lipid, and a lipid that prevents aggregation of the particle (e.g., a PEG-lipid conjugate). LNP is very useful for systemic applications because it exhibits an extended circulatory life following intravenous (i.v.) injection and accumulates at a remote site (e.g., a site physically separate from the site of administration). LNPs include "psplps," which include encapsulated condensing agent-nucleic acid complexes as shown in PCT publication No. WO 00/03683. The particles of the present invention generally have an average diameter of from about 50nm to about 150nm, more typically from about 60nm to about 130nm, more typically from about 70nm to about 110nm, and most typically from about 70nm to about 90nm, and are substantially non-toxic. In addition, when the nucleic acid is present in the nucleic acid-lipid particle of the present invention, it is resistant to degradation by nucleases in aqueous solution. In, for example, U.S. patent nos. 5,976,567; 5,981,501, respectively; 6,534,484, respectively; 6,586,410, respectively; 6,815,432, respectively; U.S. publication No. 2010/0324120 and PCT publication No. WO 96/40964 disclose nucleic acid-lipid particles and methods of making the same.
In one embodiment, the lipid to drug ratio (mass/mass ratio) (e.g., the ratio of lipid to dsRNA) will be in the range of from about 1: 1 to about 50: 1, from about 1: 1 to about 25: 1, from about 3: 1 to about 15: 1, from about 4: 1 to about 10: 1, from about 5: 1 to about 9: 1, or from about 6: 1 to about 9: 1. Ranges intermediate to the above-described ranges are also intended to be part of the present invention.
The cationic lipid can be, for example, N, N-dioleyl-N, N-dimethylammonium chloride (DODAC), N, N-distearyl-N, N-dimethylammonium bromide (DDAB), N- (I- (2, 3-dioleoyloxy) propyl) -N, N, N-trimethylammonium chloride (DOTAP), N- (I- (2, 3-dioleoyloxy) propyl) -N, N, N-trimethylammonium chloride (DOTMA), N, N-dimethyl-2, 3-dioleyloxy) propylamine (DODMA), 1, 2-dioleyl-N, N-dimethylaminopropane (DLindMA), 1, 2-dioleyl-N, N-dimethylaminopropane (DLenDMA), 1, 2-dioleyl-carbamoyloxy-3-dimethylaminopropane (DLin-C) -DAP), 1, 2-dioleoyl carbamoyloxy-3- (dimethylamino) acetoxypropane (DLin-DAC), 1, 2-dioleoyl carbamoyloxy-3-morpholinopropane (DLin-MA), 1, 2-dioleoyl-3-dimethylaminopropane (DLInDAP), 1, 2-dioleoylthio-3-dimethylaminopropane (DLin-S-DMA), 1-linoleoyl-2-linoleoxy-3-dimethylaminopropane (DLin-2-DMAP), 1, 2-dioleoxy-3-trimethylaminopropane chloride (DLin-TMA. Cl), 1, 2-dioleoyl-3-trimethylaminopropane chloride (DLin-TAP. Cl), 1, 2-dioleyloxy-3- (N-methylpiperazino) propane (DLin-MPZ) or 3- (N, N-dioleylamido) -1, 2-propanediol (DLINAP), 3- (N, N-dioleylamino) -1, 2-propanediol (DOAP), 1, 2-dioleyloxy-3- (2-N, N-dimethylamino) ethoxypropane (DLin-EG-DMA), 1, 2-dilinolyloxy-N, N-dimethylaminopropane (DLINDMA), 2-dioleyl-4-dimethylaminomethyl- [1, 3] -dioxolane (DLin-K-DMA) or analogs thereof, (3aR, 5s, 6aS) -N, n-dimethyl-2, 2-bis ((9Z, 12Z) -octadec-9, 12-dienyl) tetrahydro-3 aH-cyclopenta [ d ] [1, 3] dioxol-5-amine (ALN100), (6Z, 9Z, 28Z, 31Z) -thirty-seven carbon-6, 9, 28, 31-tetraen-19-yl 4- (dimethylamino) butanoate (MC3), 1' - (2- (4- (2- ((2- (bis (2-hydroxydodecyl) amino) ethyl) piperazin-1-yl) ethylazophenyl) didodecan-2-ol (Tech G1), or mixtures thereof. The cationic lipid may comprise from about 20 mol% to about 50 mol% or about 40 mol% of the total lipid present in the particle.
In some embodiments, thecompound 2, 2-dioleyl-4-dimethylaminoethyl- [1, 3] -dioxolane can be used to prepare lipid-siRNA nanoparticles.
In some embodiments, the lipid-siRNA particles comprise 40% 2, 2-dioleyl-4-dimethylaminoethyl- [1, 3] -dioxolane: 10% DSPC: 40% cholesterol: 10% PEG-C-DOMG (mole percent) had both a particle size of 63.0 + -20 nm and a siRNA/lipid ratio of 0.027.
The ionizable/noncationic lipid may be an anionic lipid or a neutral lipid, including, but not limited to, Dipalmitoylphosphatidylcholine (DSPC), Dioleoylphosphatidylcholine (DOPC), Dipalmitoylphosphatidylglycerol (DOPG), Dipalmitoylphosphatidylglycerol (DPPG), Dioleoylphosphatidylethanolamine (DOPE), palmitoylphosphatidylcholine (POPC), palmitoyloleoylphosphatidylethanolamine (POPE), dioleoylphosphatidylethanolamine-4- (N-maleimido) -cyclohexane-1-carboxylic acid (DOPE-mal), Dipalmitoylphosphatidylethanolamine (DPPE), Dimyristoylphosphatidylethanolamine (DMPE), distearoyl-phosphatidylethanolamine (DSPE), 16-O-monomethyl PE, 16-O-dimethyl PE, 18-1-trans PE, 1-stearoyl-2-oleoyl-phosphatidylethanolamine (SOPE), cholesterol, or mixtures thereof. The cationic lipid may comprise from about 5 mol% to about 90 mol%, about 10 mol%, or (where cholesterol is included) to about 58 mol% of all lipids present in the particle.
The conjugated lipid that inhibits aggregation of particles can be, for example, a polyethylene glycol (PEG) -lipid, including, but not limited to, PEG-Diacylglycerol (DAG), PEG-Dialkoxypropyl (DAA), PEG-phospholipid, PEG-ceramide (Cer), or mixtures thereof. The PEG-DAA conjugate can be, for example, PEG-dilauryloxypropyl (Ci)2) PEG-dimyristyloxypropyl (Ci)4) PEG-dipalmitoyloxypropyl (Ci)6) Or PEG-distearyloxypropyl (Ci)8). The conjugated lipid capable of preventing aggregation of the particle may be 0 mol% to about 20 mol% or about 2 mol% of the total lipid present in the particle.
In some embodiments, the nucleic acid-lipid particle further comprises cholesterol, for example, from about 10 mol% to about 60 mol% or about 48 mol% of the total lipid present in the particle.
In one embodiment, lipid-dsRNA nanoparticles (i.e., LNP01 particles) can be prepared using the lipid ND98 · 4HCl (MW1487) (see US20090023673, which is incorporated herein by reference), cholesterol (Sigma-Aldrich), and PEG-ceramide C16(Avanti polar lipid). Each ethanol stock solution may be prepared as follows: ND98, 133 mg/ml; cholesterol, 25mg/ml, PEG-ceramide C16, 100 mg/ml. Stock solutions of ND98, cholesterol, and PEG-ceramide C16 may then be combined in, for example, a molar ratio of 42: 48: 10. The combined lipid solution can be mixed with the aqueous dsRNA (e.g., in sodium acetate at pH 5) such that the final ethanol concentration is about 35-45% and the final sodium acetate concentration is about 100-300 mM. lipid-dsRNA nanoparticles will typically form spontaneously upon mixing. Depending on the desired particle size distribution, the resulting nanoparticle mixture can be extruded through a polycarbonate membrane (e.g., 100nm cutoff) using, for example, a hot barrel extruder (thermobarrel extruders) such as the Lipex extruder (Northern Lipids, Inc). In some cases, this step of extrusion may be omitted. Removal of ethanol and simultaneous buffer exchange can be accomplished by, for example, dialysis or tangential flow filtration. Phosphoric acid of, for example, about pH 7 (e.g., about pH 6.9, about pH 7.0, about pH 7.1, about pH 7.2, about pH 7.3, or about pH 7.4) can be used
LNP01 formulations are described, for example, in international application publication No. WO 2008/042973 (which is incorporated herein by reference).
Additional exemplary lipid-dsRNA formulations are described in table 1.
TABLE 1 exemplary lipid formulations
DSPC: distearoyl phosphatidylcholine
DPPC: dipalmitoylphosphatidylcholine PEG-DMG: PEG-dimyristoyl glycerol (C14-PEG or PEG-C14) (PEG has an average molecular weight of 2000)
PEG-DSG: PEG-Distyryl Glycerol (C18-PEG or PEG-C18) (average molecular weight of PEG 2000)
PEG-cDMA: PEG-carbamoyl-1, 2-dimyristyloxypropylamine (average molecular weight of PEG 2000)
Formulations comprising SNALP (1, 2-diiminoxy-N, N-dimethylaminopropane (DLinDMA)) are described in international publication No. WO 2009/127060, the entire contents of which are incorporated herein by reference.
Formulations comprising XTC are described in PCT publication No. WO 2010/088537, the entire contents of which are incorporated herein by reference.
Formulations comprising MC3 are described, for example, in U.S. patent publication No. 2010/0324120 filed on 10/6/2010, the entire contents of which are incorporated herein by reference.
Formulations comprising ALNY-100 are described, for example, in PCT publication No. WO 2010/054406, which is incorporated herein by reference in its entirety.
Formulations comprising C12-200 are described, for example, in PCT publication No. WO 2010/129709, the entire contents of which are incorporated herein by reference.
i. Synthesis of ionizable/cationic lipids
Any compound used in the nucleic acid-lipid particles of the present invention, such as cationic lipids and the like, can be prepared by known organic synthesis techniques.
Formulations prepared by standard or non-extrusion methods can be characterized in a similar manner. For example, formulations are typically characterized by visual inspection. It should be a white translucent solution free of aggregates or precipitates. The particle size and particle size distribution of the lipid-nanoparticles can be measured by light scattering using, for example, Malvern Zetasizer Nano ZS (Malvern, USA). The size of the particles should be about 20-300nm, e.g. 40-100 nm. The particle size distribution should be monomodal. Dye exclusion assays were used to estimate total dsRNA concentration in the formulation as well as the retention rate. May or may not be presentSurfactant in the breaking preparation (e.g., 0.5%)

-X100), the formulated dsRNA sample is incubated with an RNA binding dye, e.g. Ribogreen (Molecular Probes). The total dsRNA in the formulation can be determined by the signal from the surfactant-containing sample relative to a standard curve. The retention rate was determined by subtracting the "free" dsRNA content (measured by signal in the absence of surfactant) from the total dsRNA content. The percentage of dsRNA retained is typically > 85%. For a SNALP formulation, the particle size is at least 30nm, 40nm, 50nm, 60nm, 70nm, 80nm, 90nm, 100nm, 110nm, or 120 nm. Suitable ranges are typically 50nm to 110nm, 60nm to 100nm, or 80nm to 90 nm.
Compositions and formulations for oral administration include powders or granules, microparticles, nanoparticles, suspensions or aqueous or non-aqueous media, capsules, gel capsules, granules, tablets or mini-tablets. Thickeners, flavoring agents, diluents, emulsifiers, dispersing aids or binders may be required. In some embodiments, the oral formulation is an oral formulation that: wherein the dsRNA of the invention is administered together with one or more penetration enhancer surfactants and a chelating agent. Suitable surfactants include fatty acids or esters or salts thereof, bile acids or salts thereof. Suitable bile acids/salts include chenodeoxycholic acid (CDCA) and ursodeoxycholic acid (UDCA), cholic acid, dehydrocholic acid, deoxycholic acid, glycocholic acid, glycodeoxycholic acid, taurocholic acid, taurodeoxycholic acid, sodium tauro-24, 25-dihydrofusidate and sodium glycin dihydrofrastat. Suitable fatty acids include arachidonic acid, undecanoic acid, oleic acid, lauric acid, caprylic acid, capric acid, myristic acid, palmitic acid, stearic acid, linoleic acid, linolenic acid, didecanoic acid, tridecanoic acid, glycerol monooleate, dilaurin, glycerol 1-decanoate, 1-dodecylazacycloheptan-2-one, acylcarnitines, acylcholines or monoglycerides, diglycerides, or pharmaceutically acceptable salts thereof (e.g., sodium). In some embodiments, a combination of permeation enhancers is used, for example a combination of a fatty acid/salt and a bile acid/salt. An exemplary combination is sodium laurate, capric acid and UDCA. Other penetration enhancers include polyoxyethylene-9-lauryl ether, polyoxyethylene-20-cetyl ether. The dsRNA of the invention can be delivered orally in particulate form (including spray-form dried particles) or complexed to form microparticles or nanoparticles. Complexing agents for DsRNA include polyamino acids; a polyimine; a polyacrylate; polyalkylacrylates, polyoxyethylenes, polyalkylcyanoacrylates; cationized gelatin, albumin, starch, acrylates, polyethylene glycol (PEG), and starch; polyalkylcyanoacrylate; DEAE-derived polyimines, pullulan, cellulose and starch. Suitable complexing agents include chitosan, N-trimethyl chitosan, poly-L-lysine, polyhistidine, polyornithine, polyspermine, protamine, polyvinylpyridine, polythiodiethylaminomethyl ethylene P (TDAE), polyaminostyrene (e.g., para-amino), polyethyl cyanoacrylate, polybutyl cyanoacrylate, polyisobutyl cyanoacrylate, polyisohexyl cyanoacrylate, DEAE-methacrylate, DEAE-hexyl acrylate, DEAE-acrylamide, DEAE-albumin and DEAE-dextran, polymethacrylates, polyhexamethyl acrylate, poly (D, L-lactic acid), poly (DL-lactic acid-co-glycolic acid (PLGA), alginate and polyethylene glycol (PEG) oral formulations of dsRNA and methods of preparation thereof are described in detail in U.S. Pat. No. 6,887,906, U.S. publication No. 20030027780, and U.S. Pat. No. 6,747,014, each of which is incorporated herein by reference.
Compositions and formulations for parenteral, intraparenchymal (intracerebral), intrathecal, intraventricular, or intrahepatic administration may include sterile aqueous solutions which may also contain buffers, diluents, and other suitable additives such as, but not limited to, penetration enhancers, carrier compounds, and other pharmaceutically acceptable carriers or excipients.
The pharmaceutical compositions of the present invention include, but are not limited to, solutions, emulsions, and liposome-containing formulations. These compositions can be prepared from a variety of components, including, but not limited to, preformed liquids, self-emulsifying solids, and self-emulsifying semisolids. The preparation includes a preparation targeting liver in the treatment of liver diseases such as liver cancer.
The pharmaceutical formulations of the present invention may be prepared according to conventional techniques well known in the pharmaceutical industry and may be conveniently presented in unit dosage form. These techniques include the step of bringing into association the active ingredient with a pharmaceutical carrier or excipient. In general, the formulations are prepared by uniformly and intimately bringing into association the active ingredient with liquid carriers or finely divided solid carriers or both, and then, if necessary, shaping the product.
The compositions of the present invention may be formulated into any of a number of possible dosage forms, such as, but not limited to, tablets, capsules, gel capsules, liquid syrups, soft gels, suppositories, and enemas. The compositions of the present invention may also be formulated as suspensions in aqueous, non-aqueous or mixed media. Aqueous suspensions may further contain substances which increase the viscosity of the suspension, including, for example, sodium carboxymethyl cellulose, sorbitol, or dextran. The suspension may also contain a stabilizer.
C. Other formulations
i. Emulsion formulation
The irnas of the present invention can be prepared and formulated as emulsions. Emulsions are typically heterogeneous Systems in which one liquid is dispersed in another liquid in the form of droplets (typically in excess of 0.1 μm in diameter) (see, for example, Ansel's Pharmaceutical Dosage Forms and Drug Delivery Systems, Allen, LV., Popovich NG., and Ansel HC., 2004, Lippincott Williams & Wilkins (8 th edition), New York, NY; Idson, in Pharmaceutical Dosage Forms, Lieberman, Rieger and Bank (Eds.), 1988, Marcel Dekker, Inc., New York, N.Y., Vol.1, Vol.199; Rosoff, in Pharmaceutical Dosage Forms, Lieberman and Rieger (Eeger, Inc.), Marcel Dekker, N.Y., Vol.1, Vol.199; Rosoff, in Pharmaceutical Dosage Forms, Leeber and Rieger and U.S. (Egger., 1988, Maruker, Inc., pages 1985, J.C., Egger.52, N.C., Eggen., Vol.5, pages 1988, J.C., Eggen.C., Eggen., Vol.52, pages, N.C., Eggen., Vol.52, et al., Eben., Vol.C. Emulsions are generally biphasic systems comprising two mutually incompatible liquid phases intimately mixed and dispersed in each other. In general, emulsions may be of the water-in-oil (w/o) or oil-in-water (o/w) variety. When the aqueous phase is subdivided into tiny droplets and dispersed into a bulk oil phase in the form of tiny droplets, the resulting composition is called a water-in-oil (w/o) emulsion. Alternatively, when the oil phase is subdivided into tiny droplets and dispersed into a bulk aqueous phase in the form of tiny droplets, the resulting composition is referred to as an oil-in-water (o/w) emulsion. In addition to the dispersed phase, the emulsion may contain other components, as well as the active agent, which may be present in solution in the aqueous phase, the oil phase, or in the form of a separate phase on its own. Pharmaceutical excipients such as emulsifiers, stabilizers, dyes and antioxidants may also be present in the emulsion as desired. The pharmaceutical emulsion may also be a multiple emulsion consisting of more than two phases, as is the case, for example, with oil-in-water-in-oil (o/w/o) and water-in-oil-in-water (w/o/w) emulsions. Such complex formulations often have certain advantages not possessed by simple binary emulsions. The single oil droplet of the o/w emulsion in the multiple emulsion closes the water droplet and constitutes the w/o/w emulsion. Likewise, oil droplets are enclosed in water droplets stabilized by an oily continuous phase to form an o/w/o emulsion system.
Emulsions are characterized by having little or no thermodynamic stability. Generally, the dispersed or discontinuous phase of the emulsion disperses well into the external or continuous phase and is maintained in this form by means of an emulsifier or the viscosity of the formulation. Either phase of the emulsion may be semi-solid or solid, as may the base and cream of the emulsion-type ointment. Other methods for stabilizing emulsions require the use of emulsifiers, which may be incorporated into either phase of the emulsion. Emulsifiers can be broadly divided into four categories: synthetic surfactants, naturally occurring emulsifiers, absorption matrices and finely divided solids (see, e.g., Ansel's Pharmaceutical Dosage Forms and Drug Delivery Systems, Allen, LV., Popovich NG. and Ansel HC., 2004, Lippincott Williams & Wilkins (8 th edition), New York, NY; Idson, in Pharmaceutical Dosage Forms, Lieberman, Rieger and Bank (Eds.), 1988, Marcel Dekker, Inc., New York, N.Y., Vol.1, page 199).
Synthetic surfactants, also known as surface active agents, have been widely used in emulsion formulations and have been reviewed in the literature (see, e.g., Ansel's Pharmaceutical Dosage Forms and Drug Delivery Systems, Allen, LV., Popovich NG. and Ansel HC., 2004, Lippincott Williams & Wilkins (8 th edition), New York, NY; Rieger, in Pharmaceutical Dosage Forms, Lieberman, Rieger and Bank (Eds.), 1988, Marcel Dekker, Inc., New York, N.Y., Vol.1, p.285; Idson, in Pharmaceutical Dosage Forms, Lieberman, Rieger and Bank (Eds.), 1988, Marcel Dekker, Inc., Markker, N.Y., Vol.1, p.285; Idson, in Pharmaceutical Dosage Forms, Lieberman, Rieger and Bank (Egds., Ekker, Markker, N.199, N.8, N.C.199). The surfactant is typically an amphiphilic surfactant and includes hydrophilic and hydrophobic portions. The ratio of hydrophilicity to hydrophobicity of a surfactant is called the hydrophilic-lipophilic balance (HLB) and is a powerful tool for classifying and selecting surfactants during the preparation of formulations. Surfactants can be classified into different classes depending on the nature of the hydrophilic group: nonionic, anionic, cationic, and amphoteric surfactants (see, e.g., Ansel's Pharmaceutical facial Forms and Drug Delivery Systems, Allen, LV., Popovich NG. and Ansel HC., 2004, Lippincott Williams & Wilkins (8 th edition), New York, NY Rieger, in Pharmaceutical facial Forms, Lieberman, Rieger and Bank (Eds.), 1988, Marcel Dekker, Inc., New York, N.Y., Vol.1, page 285).
Naturally occurring emulsion formulations used in emulsion formulations include lanolin, beeswax, phosphatides, lecithin and acacia. The absorbent matrix is hydrophilic in nature, which allows it to absorb water to form a w/o emulsion while still retaining its semi-solid consistency, such as anhydrous lanolin and hydrophilic petrolatum. Finely divided solids can also be used as good emulsifiers, especially when used in combination with surfactants and in viscous formulations. These include polar inorganic solids, for example heavy metal hydroxides, non-swelling clays such as bentonite, attapulgite, hectorite, kaolin, montmorillonite, colloidal aluminium silicates and colloidal magnesium aluminium silicates, pigments and non-polar solids such as carbon or glycerol tristearate.
Various non-emulsifying materials are also included in the emulsion formulation and contribute to the properties of forming the emulsion. These non-emulsifying materials include fats, oils, waxes, fatty acids, fatty alcohols, fatty esters, humectants, hydrocolloids, preservatives and antioxidants (Block, in Pharmaceutical Dosage Forms, Lieberman, Rieger and Bank (Eds.), 1988, Marcel Dekker, Inc., New York, N.Y., Vol.1, p.335; Idson, in Pharmaceutical Dosage Forms, Lieberman, Rieger and Bank (Eds.), 1988, Marcel Dekker, Inc., New York, N.Y., Vol.1, p.199).
Hydrocolloids or hydrocolloids include naturally occurring gums and synthetic polymers such as polysaccharides (e.g., acacia, agar, alginic acid, carrageenan, guar gum, karaya gum, and tragacanth), cellulose derivatives (e.g., carboxymethylcellulose and carboxypropylcellulose), and synthetic polymers (e.g., carbomers, cellulose ethers, and carboxyvinyl polymers). They disperse or swell in water to form colloidal solutions that stabilize emulsions by forming strong interfacial films around the dispersed phase droplets and by raising the viscosity of the external phase.
Since emulsions typically contain many ingredients that support microbial growth well, such as carbohydrates, proteins, sterols, and phospholipids, these formulations often contain preservatives. Common preservatives included in the emulsion formulation include methylparaben, propylparaben, quaternary ammonium salts, benzalkonium chloride, esters of paraben, and boric acid. Antioxidants are also commonly added to emulsion formulations to prevent the formulation from deteriorating. The antioxidant used may be a radical scavenger such as tocopherol, alkyl gallate, butylated hydroxyanisole, butylated hydroxytoluene, or a reducing agent such as ascorbic acid and sodium metabisulfite, and an antioxidant synergist such as citric acid, tartaric acid and lecithin.
There are reviews in the literature of the use of emulsion formulations via dermatological, oral and parenteral routes and methods for their preparation (see, e.g., Ansel's Pharmaceutical Delivery Forms and Drug Delivery Systems, Allen, LV., Popovich NG., and Ansel HC., 2004, Lippincott Williams & Wilkins (8 th edition), New York, NY; Idson, in Pharmaceutical Delivery Forms, Lieberman, Rieger and Bank (Eds.), 1988, Marcel Dekker, Inc., New York, N.Y., Vol.1, page 199). Emulsion formulations for oral Delivery are widely used due to their simple formulation and efficacy in terms of absorption and bioavailability (see, e.g., Ansel's Pharmaceutical Delivery Systems and Drug Delivery Systems, Allen, LV., Popovich NG., and Ansel HC., 2004, Lippincott Williams & Wilkins (8 th edition), New York, NY; Rosoff, in Pharmaceutical Delivery Systems, Lieberman, Rieger and Bank (Eds.), 1988, Marcel Dekker, Inc., New York, N.Y., Vol.1, Vol.245, Idson, in Pharmaceutical Delivery Systems, Lieberman, Rieger and Bank (Eds.), 1988, Markel Dekker, Inc., New York, N.Y., Vol.199, N.199). Materials commonly administered orally in the form of o/w emulsions include mineral oil based laxatives, oil soluble vitamins and high fat nutritional formulations.
Micro-emulsion ii
In one embodiment of the invention, the iRNA is formulated as a microemulsion. Microemulsions may be defined as Systems of water, oil and amphiphiles that are optically isotropic and thermodynamically stable as a single liquid solution (see, e.g., Ansel's Pharmaceutical Delivery Forms and Drug Delivery Systems, Allen, LV. Popovich NG. and Ansel HC., 2004, Lippincott Williams & Wilkins (8th ed.), New York, NY; Rosoff, in Pharmaceutical Delivery Forms, Lieberman, Rieger and Bank (Eds.), 1988, Marcel Dekker, Inc., New York, N.Y., Vol.1, page 245). Typically, microemulsions are systems prepared by first dispersing the oil in an aqueous surfactant solution and then adding a sufficient amount of the fourth component (usually a medium chain alcohol to form a clear system). Microemulsions are therefore also described as thermodynamically stable, isotropic, clear dispersions formed from two immiscible solutions which are stabilized by an interfacial film of surface active molecules (Leung and Shah, in: Controlled Release of Drugs: Polymers and Aggregate Systems, Rosoff, M., Ed., 1989, VCH Publishers, New York, pages 185-. Microemulsions are typically prepared by combining three to five components, including oil, water, surfactant, co-surfactant, and electrolyte. Whether a microemulsion is of the water-in-oil (w/o) or oil-in-water (o/w) type depends on the nature of the oil and surfactant used, as well as the structure and geometric packaging of the polar head and hydrocarbon tail of the surfactant (Schott, in Remington's Pharmaceutical Sciences, Mack Publishing co., Easton, Pa., 1985, p.271).
Phenomenological segments using phase diagrams have been extensively studied and provide those skilled in the art with relatively comprehensive knowledge of how to formulate microemulsions (see, e.g., Ansel's Pharmaceutical Dosage Forms and Drug Delivery Systems, Allen, LV., Popovich NG. and Ansel HC., 2004, Lippincott Williams & Wilkins (8th ed.), New York, NY; Rosoff, in Pharmaceutical Dosage Forms, Lieberman, Rieger and Bank (Eds.), 1988, Marcel Dekker, Inc., New York, N.Y., Vol.1, Vol.245; Block, in Pharmaceutical Dosage, Liebman, Rieger Bank (Egger, N.Y.), Vol.1, Vol.245; Block, in Pharmaceutical formulations, Liebman, Rieger Bank, N.Y., Vol.335). Microemulsions have the advantage of enabling water-insoluble drugs to be dissolved in spontaneously formed thermodynamically stable droplet formulations, as compared to conventional emulsions.
Surfactants useful in preparing microemulsions include, but are not limited to, ionic surfactants, nonionic surfactants, surfactants,

96. Polyoxyethylene oleyl ether, polyglycerin fatty acid ester, tetraglycerol monolaurate (ML310), tetraglycerol monooleate (MO310), hexaglycerol monooleate (PO310), and hexaglycerol pentaoleate (P) O500), decaglycerol monodecanoate (MCA750), decaglycerol monooleate (MO750), decaglycerol sesquioleate (SO750), decaglycerol decadecanoate (DAO750), alone or in combination with a co-surfactant. The co-surfactant is generally a short chain alcohol such as ethanol, 1-propanol and 1-butanol, which acts to improve interfacial fluidity by penetrating into the film of the surfactant and then creating a disordered film, and due to voids created between surfactant molecules. However, it is known in the art that microemulsions can be prepared without the use of cosurfactants and alcohol-free self-emulsifying microemulsion systems. The aqueous phase may typically be, but is not limited to, water, aqueous solutions of drugs, glycerol, PEG300, PEG400, polyglycerol, propylene glycol, and derivatives of ethylene glycol. The oil phase may include, but is not limited to, such as

300、
355、
MCM, fatty acid esters, medium chain (C8-C12) monoglycerides, diglycerides and triglycerides, polyoxyethylated glycerol fatty acid esters, fatty alcohols, pegylated glycerides, saturated pegylated C8-C10 glycerides, vegetable oils and silicone oils.
Microemulsions are particularly interesting from the standpoint of drug dissolution and enhanced drug absorption. Lipid-based microemulsions (o/w and w/o) have been proposed to enhance the oral bioavailability of drugs, including peptides (see, e.g., U.S. Pat. No. 6,191,105; 7,063,860; 7,070,802; 7,157,099; Constantidines et al, Pharmaceutical Research, 1994, 11, 1385-. Microemulsions have the following advantages: improved drug solubility, protection of the drug from enzymatic hydrolysis, enhanced drug absorption due to surfactant-induced changes in membrane fluidity and permeability, ease of preparation, ease of oral administration, improved clinical efficacy and reduced toxicity compared to solid dosage forms (see, e.g., U.S. Pat. Nos. 6,191,105; 7,063,860; 7,070,802; 7,157,099; Constantides et al, Pharmaceutical Research, 1994, 11, 1385; Ho et al, J.Pharm. Sci., 1996, 85, 138-charge 143). Microemulsions often form spontaneously when the components of the microemulsion are mixed together at ambient temperature. This is particularly advantageous for formulating heat labile drugs, peptides or irnas. Microemulsions can also be effectively used for transdermal delivery of active ingredients in cosmetic and pharmaceutical applications. The microemulsion compositions and formulations of the present invention are expected to promote enhanced systemic absorption of iRNA and nucleic acids from the gastrointestinal tract, as well as improved local cellular uptake of iRNA and nucleic acids.
The microemulsions of the present invention may also contain additional components and additives, such as sorbitan monostearate: (b)
3)、
And a penetration enhancer, thereby improving the properties of the formulation and enhancing the uptake of the iRNA and nucleic acids of the invention. Penetration enhancers for use in microemulsions according to the present invention may be divided into one of five broad categories- -surfactants, fatty acids, bile salts, chelating agents and non-chelating non-surfactants (Lee et al, clinical Reviews in Therapeutic Drug carriers Systems, 1991, page 92). Each of these categories has been discussed above.
iii. microparticles
The irnas of the invention can be incorporated into particles (e.g., microparticles). The microparticles may be produced by spray drying, but may also be produced by other methods, including lyophilization, evaporation, fluidized bed drying, vacuum drying, or a combination of these techniques.
Penetration enhancers
In one embodiment, the present invention employs various permeation enhancers to achieve efficient delivery of nucleic acids (particularly iRNA) to the skin of an animal. Most drugs exist in solution in both ionized and non-ionized forms. However, generally only lipid soluble or lipophilic drugs can easily cross cell membranes. It has been found that even non-lipophilic drugs can cross the cell membrane if the membrane to be crossed is treated with a permeation enhancer. In addition to helping the non-lipophilic drugs diffuse across the cell membrane, permeation enhancers also enhance the permeability of lipophilic drugs.
Penetration enhancers can be divided into one of five broad classes, namely surfactants, fatty acids, bile salts, chelators, and non-chelating non-surfactants (see, e.g., Malmsten, M.surfactants and polymers in Drug delivery, information Health Care, New York, NY, 2002; Lee et al, clinical Reviews in Therapeutic Drug Carriers Systems, 1991, page 92). Such compounds are well known in the art.
v. cargo
Certain compositions described herein also incorporate carrier compounds in the formulation. As used herein, a "carrier compound" or "cargo" may refer to a nucleic acid, or an analog thereof, that is inert (i.e., not biologically active per se), but may be recognized as a nucleic acid by an in vivo process that reduces the bioavailability of a biologically active nucleic acid by, for example, degrading the biologically active nucleic acid or facilitating removal of the biologically active nucleic acid from circulation. Co-administration of the nucleic acid and the carrier compound (usually in excess of the latter substance) can result in a significant reduction in the amount of nucleic acid recovered in the liver, kidney or other external circulatory reservoirs, possibly due to competition between the carrier compound and the nucleic acid for a common receptor. For example, when a part of phosphorothioate dsRNA is co-administered with polyinosinic acid, dextran sulfate, polycytidylic acid or 4-acetamido-4 '-isothiocyanato-stilbene-2, 2' -disulfonic acid, the recovery in liver tissue can be reduced (Miyao et al, DsRNA Res. Dev., 1995, 5, 115-Ampere. 121; Takakura et al, DsRNA & Nucl. acid Drug Dev., 1996, 6, 177-Ampere. 183).
vi. adjuvants
In contrast to a carrier compound, a "pharmaceutical carrier" or "adjuvant" is a pharmaceutically acceptable solvent, suspending agent, or any other pharmacologically inert excipient used to deliver one or more nucleic acids to an animal. The excipient may be a liquid or solid and is selected according to the intended mode of administration so that it provides the desired volume, consistency, etc. when combined with the nucleic acid and other components of a given pharmaceutical composition. Typical pharmaceutical carriers include, but are not limited to, binders (e.g., pregelatinized corn starch, polyvinylpyrrolidone, or hydroxypropyl methylcellulose, etc.); fillers (e.g., lactose and other sugars, microcrystalline cellulose, pectin, gelatin, calcium sulfate, ethylcellulose, polyacrylates, dibasic calcium phosphate, etc.); lubricants (e.g., magnesium stearate, talc, silicon dioxide, colloidal silicon dioxide, stearic acid, metallic stearates, hydrogenated vegetable oils, corn starch, polyethylene glycol, sodium benzoate, sodium acetate, etc.); disintegrants (e.g., starch, sodium starch glycolate, etc.); and wetting agents (e.g., sodium lauryl sulfate, etc.).
The compositions of the invention may also be formulated using pharmaceutically acceptable organic or inorganic adjuvants suitable for non-parenteral administration which do not deleteriously react with the nucleic acid. Suitable pharmaceutically acceptable carriers include, but are not limited to, water, saline solutions, ethanol, polyethylene glycol, gelatin, lactose, amylose, magnesium stearate, talc, silicic acid, viscous paraffin, hydroxymethyl cellulose, polyvinylpyrrolidone, and the like.
Dosage forms for topical administration of nucleic acids may include sterile and non-sterile aqueous solutions, non-aqueous solutions with commonly used solvents such as ethanol, or liquid or solid oil-based solutions of nucleic acids. The solution may also contain buffers, diluents and other suitable additives. Pharmaceutically acceptable organic or inorganic adjuvants suitable for non-parenteral administration which do not deleteriously react with the nucleic acid may be used.
Suitable pharmaceutically acceptable excipients include, but are not limited to, water, salt solutions, ethanol, polyethylene glycol, gelatin, lactose, amylose, magnesium stearate, talc, silicic acid, viscous paraffin, hydroxymethyl cellulose, polyvinylpyrrolidone, and the like.
Other Components
The compositions of the present invention may additionally contain other auxiliary components conventionally present in pharmaceutical compositions at levels determined for use in the art. Thus, for example, the compositions may contain additional compatible pharmaceutically active materials such as, for example, antipruritics, astringents, local anesthetics, or anti-inflammatory agents, or may contain other materials useful in the physical formulation of various dosage forms of the compositions, for example, dyes, flavoring agents, preservatives, antioxidants, opacifiers, thickeners, and stabilizers. However, these materials should not unduly interfere with the biological activity of the components of the compositions of the present invention when added. The dosage form may be sterilized and, if desired, mixed with adjuvants which do not adversely interact with the nucleic acid of the dosage form, such as lubricants, preservatives, stabilizers, wetting agents, emulsifiers, salts for influencing osmotic pressure, buffers, colorants, flavors and/or aromatic substances and the like.
Aqueous suspensions may contain substances which increase the viscosity of the suspension, including, for example, sodium carboxymethyl cellulose, sorbitol, or dextran. The suspension may also contain stabilizers.
In some embodiments, the pharmaceutical compositions of the invention comprise (a) one or more irnas and (b) one or more agents that act by non-iRNA mechanisms and that can be used to treat PD-L1-related diseases.
Toxicity and therapeutic efficacy of such compounds can be determined by standard pharmaceutical procedures conducted in cell cultures or experimental animals, e.g., for determining LD50 (the dose lethal to 50% of the population) and ED50 (the therapeutically effective amount in 50% of the population). The dose ratio between toxic and therapeutic effects is the therapeutic index and can be expressed as the ratio LD50/ED 50. Compounds that exhibit a higher therapeutic index are preferred.
Data obtained from cell culture assays and animal studies can be used to formulate a range of doses for use in humans. The dosage of the compositions of the present invention is generally within the circulating concentration range (including ED50) with little or no toxicity. The dosage may vary within this range depending upon the dosage form employed and the route of administration utilized. For any compound used in the methods of the invention, the therapeutically effective dose can be estimated initially from cell culture assays. The dose can be formulated in animal models to have a circulating plasma concentration range of the compound, or polypeptide product of the target sequence where appropriate (e.g., to achieve a reduced polypeptide concentration), as measured in cell culture assays, that includes IC50 (i.e., the concentration of the test compound that produces half-maximal inhibition of symptoms). This information can be used to more accurately determine useful doses in humans. Plasma levels can be measured, for example, by high performance liquid chromatography.
In addition to the modes of administration thereof discussed above, the irnas of the invention may be administered in combination with other agents known to be effective in treating pathological processes mediated by the expression of PD-L1. In any event, the attending physician can adjust the amount and time of iRNA administration based on results observed using standard potency measurements known in the art or described herein.
Methods of inhibiting expression of PD-L1
The invention also provides methods of inhibiting the expression of the PD-L1 gene in a cell. The method comprises contacting a cell with an RNAi agent (e.g., a double stranded RNAi agent) in an amount effective to inhibit expression of PD-L1 in the cell, thereby inhibiting expression of PD-L1 in the cell. In certain embodiments of the invention, it is preferred to inhibit PD-L1 expression in hepatocytes.
Contacting the cell with an iRNA (e.g., a double stranded RNAi agent) can be performed in vitro or in vivo. Contacting a cell with the iRNA in vivo comprises contacting a cell or population of cells in a subject (e.g., a human subject) with the iRNA. It is also possible to combine in vitro and in vivo cell contacting methods. As described above, the cells may be contacted directly or indirectly. Furthermore, can be replaced by Ligands with targeting properties (including any ligand described herein or known in the art) are used to effect contact with the cells. In preferred embodiments, the targeting ligand is a carbohydrate moiety, e.g., GalNAc3A ligand or any other ligand that directs an RNAi agent to a target site of interest.
As used herein, the term "inhibit" may be used interchangeably with "reduce", "silence", "downregulate", "inhibit" and other similar terms, and includes any level of inhibition.
The phrase "inhibiting expression of PD-L1" is intended to mean inhibiting expression of any of the PD-L1 gene (such as, for example, the mouse PD-L1 gene, the rat PD-L1 gene, the monkey PD-L1 gene, or the human PD-L1 gene), as well as variants or mutants of the PD-L1 gene. Thus, the PD-L1 gene may be a wild-type PD-L1 gene, a mutated PD-L1 gene, a transgenic PD-L1 gene in the context of genetically manipulating cells, cell populations, or organisms.
"inhibiting the expression of the PD-L1 gene" includes any level of inhibition of the PD-L1 gene, for example, at least partial inhibition of the expression of the PD-L1 gene. Expression of the PD-L1 gene can be assessed based on the level or change in level of any variable associated with expression of the PD-L1 gene, such as mRNA level of PD-L1 or protein level of PD-L1. The levels can be assessed in a single cell or a group of cells (including, for example, in a sample from a subject). It is understood that expression of PD-L1 may be near or below detection levels in normal subjects, in many cell types and body fluids. Thus, for example, with respect to the inhibition of PD-L1 expression, the levels of PD-L1 in the liver before and after treatment with an agent that inhibits PD-L1, or the levels of PD-L1 in the tumor before and after treatment with an agent that inhibits PD-L1, of a subject infected with hepatitis virus can be compared.
In certain embodiments, surrogate markers may be used to detect inhibition of PD-L1. For example, it is understood that downregulation of the clinical relevance of PD-L1 can be demonstrated by demonstrating effective treatment of infection (e.g., hepatitis virus infection) with agents that reduce the expression of PD-L1 using acceptable diagnostic and monitoring criteria. It is understood that the stabilization or reduction of tumor burden in a subject with cancer, as determined by RECIST criteria, following treatment with an agent capable of reducing PD-L1, may also show a down-regulation of the clinical relevance of PD-L1.
Inhibition can be assessed by a decrease in the absolute or relative level of one or more variables associated with PD-L1 expression, as compared to a control level. The control level can be any type of control level used in the art, e.g., a pre-dose baseline level, or a level determined in a similar subject (e.g., a historical control), cell, or sample that has not been treated or treated with a control (such as, e.g., a buffer-only control or an inactive reagent control).
In some embodiments of the methods of the invention, expression of the PD-L1 gene is inhibited by at least 20%, 25%, 30%, 35%, 40%, 45%, 50%, 55%, 60%, 65%, 70%, 75%, 80%, 85%, 90%, or 95%, or to a level below that detected by the assay. In certain embodiments, the methods comprise clinically-relevant inhibition of PD-L1 expression, e.g., inhibition evidenced by clinically-relevant results after treatment of a subject with an agent that reduces PD-L1 expression.
Inhibition of expression of the PD-L1 gene may be manifested by a reduction in the amount of mRNA expressed by the first cell or first population of cells (such cells may be present, for example, in a sample derived from the subject), the PD-L1 gene is transcribed in the first cell or first population of cells and has been treated (e.g., by contacting the cells with an iRNA of the invention, or by administering an iRNA of the invention to a subject in or in the past with the cells), such that the expression of the PD-L1 gene is suppressed relative to the second cell or the second cell population, the second cell or second population of cells is substantially identical to the first cell or first population of cells, but has not been so treated (control cells that have not been treated with an iRNA or control cells that have not been treated with an iRNA that targets a gene of interest). In a preferred embodiment, inhibition in RKO human colon cancer cells treated with 10nM iRNA was evaluated by the method provided in example 2 and the mRNA level in the treated cells was expressed as a percentage of the mRNA level in control cells using the formula:
in other embodiments, inhibition of PD-L1 gene expression may be assessed by a decrease in a parameter that has a functional linkage to PD-L1 gene expression (e.g., PD-L1 protein expression or PD-L1 signaling pathway). Silencing of the PD-L1 gene can be determined in any cell expressing PD-L1 (homologous or heterologous to the expression construct) and by any assay known in the art.
Inhibition of PD-L1 protein expression may be manifested by a decrease in the level of PD-L1 protein expressed by the cell or population of cells (e.g., the level of protein expressed in a sample derived from the subject). As explained above, for the assessment of mRNA inhibition, the inhibition of the level of protein expression in the treated cell or cell population can similarly be expressed as a percentage of the level of protein in the control cell or cell population.
Control cells or cell populations useful for assessing inhibition of PD-L1 gene expression include cells or cell populations that have not been contacted with an RNAi agent as described herein. For example, a control cell or population of cells can be obtained from the individual subject (e.g., a human or animal subject) prior to treating the subject with the RNAi agent.
The level of PD-L1 mRNA expressed by a cell or population of cells can be determined using any method known in the art for assessing mRNA expression. In one embodiment, the expression level of PD-L1 in the sample is determined by detecting the transcribed polynucleotide or portion thereof, e.g., mRNA of the PD-L1 gene. RNA can be extracted from cells using RNA extraction techniques including, for example, using acidic phenol/guanidinium isothiocyanate extraction (RNAzol B; Biogenesis), RNeasy
TMRNA preparation kit
Or PAXgene (PreAnalytix, Switzerland). Common assay formats for hybridization using ribonucleic acids include nuclear-transport assays, RT-PCR, RNase protection assays, northern blotting, in situ hybridization, and microarray analysis. Circulating PD-L1 mRNA can be detected using the methods described in PCT publication WO2012/177906 (the entire contents of which are incorporated herein by reference).
In some embodiments, the expression level of PD-L1 is determined using a nucleic acid probe. The term "probe" as used herein refers to any molecule capable of selectively binding to a particular PD-L1. Probes may be synthesized by one skilled in the art or derived from an appropriate biological agent. The probe may be specifically designed to be labeled. Examples of molecules that can be used as probes include, but are not limited to, RNA, DNA, proteins, antibodies, and organic molecules.
The isolated mRNA can be used in hybridization or amplification assays, which include, but are not limited to, Southern or Northern analyses, Polymerase Chain Reaction (PCR) analyses, and probe arrays. One method for determining mRNA levels involves contacting the isolated mRNA with a nucleic acid molecule (probe) capable of hybridizing to PD-L1 mRNA. In one embodiment, the mRNA is immobilized on a solid surface and contacted with a probe, for example, by running the isolated mRNA on an agarose gel and transferring the mRNA from the gel to a membrane (e.g., nitrocellulose). In an alternative embodiment, in, for example, Affymetrix
In the array, the probes are immobilized on a solid surface and the mRNA is contacted with the probes. The skilled person can readily adapt known mRNA detection methods for determining the level of PD-L1 mRNA.
Another method for determining the expression level of PD-L1 in a sample involves, for example, self-sustained sequence replication by RT-PCR (Mullis, 1987, Experimental embodiment shown in U.S. Pat. No. 4,683,202), ligase chain reaction (Barany (1991) Proc. Natl.Acad.Sci.USA 88: 189-l.acad.sci.usa 87: 1874-1878), transcription amplification systems (Kwoh et al, (1989) proc.natl.acad.sci.usa 86: 1173-: 1197) rolling circle replication (Lizardi et al, U.S. Pat. No. 5,854,033) or any other nucleic acid amplification method, nucleic acid amplification and/or reverse transcriptase (used to make cDNA) of the mRNA sample in the sample, followed by detection of the amplified molecules using techniques well known to those skilled in the art. These detection schemes may be particularly useful for detecting nucleic acid molecules if such molecules are present in very low numbers. In a specific aspect of the invention, the PCR is performed by quantitative fluorescent RT-PCR (i.e., TaqMan
TMSystem) or Dual-
Luciferase assay to determine the expression level of PD-L1.
The expression level of PD-L1mRNA can be monitored using membrane blots (e.g., membrane blots for northern, Southern, dot blot, etc. hybridization analysis), or microwells, sample tubes, gels, beads, or fibers (or any solid support including bound nucleic acids). See U.S. Pat. nos. 5,770,722, 5,874,219, 5,744,305, 5,677,195, and 5,445,934, which are incorporated herein by reference. The determination of the expression level of PD-L1 may also include the use of nucleic acid probes in solution.
In preferred embodiments, mRNA expression levels are assessed using a branched dna (bdna) assay or real-time pcr (qpcr). The use of this PCR method is described and exemplified in the examples provided herein. Such methods may also be used to detect pathogen nucleic acids, e.g., hepatitis virus nucleic acids.
The expression level of PD-L1 protein can be determined using any method known in the art for measuring protein levels. Such methods include, for example, electrophoresis, capillary electrophoresis, High Performance Liquid Chromatography (HPLC), Thin Layer Chromatography (TLC), ultra-diffusion chromatography, fluid or gel precipitin reactions, absorption spectroscopy, colorimetric assays, spectrophotometry, flow cytometry, immunodiffusion (single or double immunodiffusion) methods, immunoelectrophoresis, western blotting, Radioimmunoassay (RIA) methods, enzyme-linked immunosorbent assay (ELISA) methods, immunofluorescence assays, electrochemiluminescence assays, and the like. Such assays may also be used to detect proteins, e.g., viral proteins, that are indicative of the presence or replication of a pathogen.
In some embodiments, the reduction in PD-L1mRNA levels (obtained by liver biopsy) is used to assess the efficacy of the methods of the invention in treating PD-L1-related diseases.
In some embodiments, the efficacy of the methods of the invention in treating HBV infection is monitored by assessing the combination of serological markers described below. The efficacy of treating a subject with HBV can be monitored by detecting the level of the hepatitis b antibody HBsAg or HBeAg in the subject, wherein a decrease in the level of HBsAg or HBeAg (e.g. in serum) is indicative of an effective treatment of the disease. In preferred embodiments, the reduction in HBsAg or HbeAg levels is clinically relevant, e.g., comparable to the reduction observed with the standard of care. Therapeutic efficacy may also be determined by a clinically relevant reduction in HBV DNA levels in a subject, e.g., comparable to the reduction observed with standard of care, e.g., at least 4log inhibition10IU/mL, preferably at least 5log10IU/mL (Dienstag, Hepatology, 2009, 49: S112-S121). Therapeutic efficacy can also be determined by the presence of anti-HBsAg antibodies.
In some embodiments, the efficacy of the methods of the invention in treating cancer can be monitored by assessing the subject to maintain or preferably reduce tumor burden or prevent metastasis of a primary or metastatic tumor. Methods for detecting and monitoring tumor burden are known in the art, for example, in Eisenhauer et al, 2009, New response evaluation criteria in solid tumors: revised RECIST guideline (version 1.1), eur.j.cancer.45: 228-.
In some embodiments of the methods of the invention, the iRNA is administered to a subject such that the iRNA is delivered to a specific site within the subject. Inhibition of PD-L1 expression can be assessed by measuring the level or change in level of PD-L1 mRNA or PD-L1 protein in a sample from a particular location (e.g., liver) of the subject. In certain embodiments, the methods comprise clinically relevant inhibition of PD-L1 expression, e.g., inhibition of PD-L1 expression as evidenced by clinically relevant results after treatment of a subject with an agent that reduces PD-L1 expression.
It is to be understood that the term detecting or determining an analyte level as used herein refers to performing a step to determine whether material (e.g., protein, RNA, etc.) is present. A method of detection or determination as used herein includes detecting or determining a level of an analyte that is lower than the detection level of the method used.
Animal models of PD-L1-related diseases are well known in the art. For example, animal models of hepatitis B virus infection are known in the art, including chimpanzee, woodchuck and HBV transgenic mouse models (Wieland, 2015.Cold Spring Harb. Perspectrum. Med., 5: a021469, 2015; Tennant and Gerin, 2001.ILAR Journal, 42: 89-102; and Moriyama et al, 1990.Science, 248: 361-. Chimpanzee models can also be used as models of hepatitis delta infection. A comparative model of chronic versus acute lymphocytic choriomeningitis virus (LCMV) infection can be used to study immune failure (Matloubaian et al, 1994, J.Virol.68: 8056-8063). A number of cancer models, including PD-L1-expressing tumors, are known in the art (Iwai et al, 2002, PNAS, 99: 12293-.
Methods of treating or preventing PD-L1-related disorders
The invention also provides methods of using the iRNA of the invention or compositions comprising the iRNA of the invention to reduce or inhibit expression of PD-L1 in a cell. The method comprises contacting the cell with the dsRNA of the invention and maintaining the cell for a time sufficient to obtain degradation of the mRNA transcript of the PD-L1 gene, thereby inhibiting expression of the PD-L1 gene in the cell. The reduction in gene expression can be assessed by any method known in the art. For example, the mRNA expression level of PD-L1 can be determined by using methods that are routine to those of ordinary skill in the art (e.g., Northern blotting, qRT-PCR as set forth in example 2); the reduction in PD-L1 expression is determined by measuring the protein level of PD-L1 using methods that are routine to those of ordinary skill in the art (e.g., Western blot, immunological techniques). The reduction in PD-L1 expression may also be assessed indirectly by measuring a reduction in PD-L1 biological activity or measuring the level of PD-L1 in a sample (e.g., a serum sample) from the subject. The reduction in PD-L1 expression may also be assessed indirectly by measuring or observing a change, preferably a clinically relevant change, in at least one sign or symptom of a PD-L1-associated disease.
In the methods of the invention, the cell may be contacted in vitro or in vivo, i.e., the cell may be in a subject.
Cells suitable for treatment using the methods of the invention may be any cell expressing the PD-L1 gene, typically hepatocytes. Cells suitable for use in the methods of the invention can be mammalian cells, e.g., primate cells (e.g., human cells or non-human primate cells, e.g., monkey cells or chimpanzee cells), non-primate cells (e.g., bovine cells, pig cells, camel cells, llama cells, horse cells, goat cells, rabbit cells, sheep cells, hamster cells, guinea pig cells, cat cells, dog cells, rat cells, mouse cells, lion cells, tiger cells, bear cells, or buffalo cells), bird cells (e.g., duck cells or goose cells), or whale cells, so long as the target gene sequence has sufficiently high complementarity to the iRNA agent to facilitate reduction of the target. In one embodiment, the cell is a human cell, such as a human hepatocyte.
Expression of PD-L1 is inhibited in the cell by at least 20%, 25%, preferably at least 30%, 35%, 40%, 45%, 50%, 55%, 60%, 65%, 70%, 75%, 80%, 85%, 90% or 95%, or to a level below the detection level of the assay. In certain embodiments, the methods comprise clinically relevant inhibition of PD-L1 expression, e.g., as evidenced by clinically relevant results after treatment of a subject with an agent that decreases PD-L1 expression.
The in vivo methods of the invention may comprise administering to a subject a composition comprising an iRNA, wherein the iRNA comprises a nucleotide sequence that is complementary to at least a portion of an RNA transcript of the PD-L1 gene of the mammal to be treated. When the organism to be treated is a mammal (e.g., a human), the composition can be administered by any means known in the art, including, but not limited to, oral, intraperitoneal, or parenteral routes, including intracranial (e.g., intraventricular, intraparenchymal, and intrathecal) administration, intravenous administration, intramuscular administration, subcutaneous administration, transdermal administration, airway (aerosol) administration, nasal administration, rectal administration, and topical (including buccal and sublingual) administration. In certain embodiments, the composition is administered by intravenous infusion or injection. In certain embodiments, the composition is administered by subcutaneous injection.
In some embodiments, the administration is by depot injection. Depot injections can release iRNA in a consistent manner over a long period of time. Thus, depot injections can reduce the dose frequency required to achieve a desired effect (e.g., a desired inhibition of PD-L1) or therapeutic effect. Depot injections may also provide more consistent serum concentrations. Depot injections may include subcutaneous injections or intramuscular injections. In a preferred embodiment, the depot injection is a subcutaneous injection.
In some embodiments, the administering is by a pump. The pump may be an external pump or a surgically implanted pump. In certain embodiments, the pump is a subcutaneously implanted osmotic pump. In other embodiments, the pump is an infusion pump. The infusion pump may be used for intravenous, subcutaneous, arterial or epidural infusion. In a preferred embodiment, the infusion pump is a subcutaneous infusion pump. In other embodiments, the pump is a surgically implanted pump that delivers iRNA to the liver.
The mode of administration may be selected according to whether local or systemic treatment is required and based on the area to be treated. The route and site of administration can be selected to enhance targeting.
In one aspect, the invention also provides methods for inhibiting the expression of the PD-L1 gene in a mammal. The method comprises administering to the mammal a composition comprising a dsRNA targeting a PD-L1 gene in a cell of the mammal and maintaining the mammal for a time sufficient to achieve degradation of an mRNA transcript of the PD-L1 gene, thereby inhibiting expression of the PD-L1 gene in the cell. The reduction in gene expression can be assessed by any method known in the art and by methods described herein, such as qRT-PCR. The reduction in protein production can be assessed by any method known in the art and by the herein described e.g. ELISA methods. In one embodiment, a punch liver biopsy sample is used as the tissue material for monitoring reduced expression of the PD-L1 gene or protein. In certain embodiments, inhibition of PD-L1 expression is confirmed by observing clinically relevant results.
The invention further provides methods of treating a subject in need of such treatment. The therapeutic methods of the invention comprise administering the iRNA of the invention to a subject, e.g., those capable of benefiting from a reduction or inhibition of PD-L1 expression, in the form of a therapeutically effective amount of an iRNA targeting the PD-L1 gene or a pharmaceutical composition comprising an iRNA targeting the PD-L1 gene.
The irnas of the invention can be administered as "free irnas". Free iRNA is administered in the absence of a pharmaceutical composition. The naked iRNA can be in a suitable buffer solution. The buffer solution may include acetate, citrate, prolamin, carbonate, or phosphate, or any combination thereof. In one embodiment, the buffer solution is Phosphate Buffered Saline (PBS). The pH and osmolarity of the buffered solution containing the iRNA can be adjusted to make it suitable for administration to a subject.
Alternatively, the iRNA of the invention can be administered as a pharmaceutical composition (e.g., a liposomal formulation of dsRNA).
A subject that is capable of benefiting from a reduction or inhibition of PD-L1 gene expression is a subject suffering from a condition that would benefit from an increased immune response (e.g., an infectious disease such as a viral disease, e.g., hepatitis; or cancer).
The iRNA and additional therapeutic agent can be administered simultaneously or in the same composition, e.g., parenterally, or the additional therapeutic agent can be administered as part of separate compositions or at separate times, or by another method known in the art or described herein.
In one embodiment, the method comprises administering a composition described herein such that expression of the target PD-L1 gene is reduced, e.g., reduced by about 1 hour, 2 hours, 3 hours, 4 hours, 5 hours, 6 hours, 7 hours, 8 hours, 12 hours, 16 hours, 18 hours, 24 hours, 28 hours, 32 hours, or about 36 hours. In one embodiment, the reduction in expression of the target PD-L1 gene lasts for a long period of time, e.g., at least about 2 days, 3 days, 4 days, or longer, e.g., about 1 week, 2 weeks, 3 weeks, or 4 weeks or longer, e.g., about 1 month, 2 months, or 3 months.
Preferably, the iRNA used in the methods and compositions described herein specifically targets the target RNA (primary or processed RNA) of the PD-L1 gene. Compositions and methods for inhibiting expression of these genes using irnas can be prepared and performed as described herein.
Administration of iRNA according to the methods of the invention results in a reduction in the severity, signs, symptoms, or markers of such diseases or disorders in patients with, for example, elevated PD-L1 or PD-L1 responsive tumors. By "reduced" herein is meant a statistically significant reduction in such levels, e.g., levels of an indicator of the presence of a pathogen in a subject, e.g., HBsAg, HBeAg, or HB eeeDNA in the serum of a subject infected with hepatitis b. The reduction may be, for example, at least about 20%, 25%, preferably at least 30%, 35%, 40%, 45%, 50%, 55%, 60%, 65%, 70%, 75%, 80%, 85%, 90% or 95% reduction, or to a level below detection of the assay used. In certain embodiments, an increase in a marker, e.g., an anti-HBs antibody, is indicative of a decrease in the severity of the disease. Thus, an increase may be a statistically significant increase in the level of an antibody in a subject, e.g., to a detectable level.
The efficacy of treating or preventing a disease can be assessed, for example, by detecting disease progression, disease remission, symptom severity, pain reduction, quality of life, dosage of medication required to maintain therapeutic effect, disease marker levels, or any other measurable parameter suitable for the particular disease being treated or targeted for prophylactic purposes. It is well within the ability of those skilled in the art to monitor the efficacy of a treatment or prophylaxis by measuring any one or any combination of these parameters. For example, the therapeutic efficacy of a condition that can benefit from an increased immune response (e.g., an infectious disease such as a viral disease, e.g., hepatitis; or cancer).
Therapeutic efficacy against infectious diseases can be demonstrated, for example, by a reduction in the amount of infectious agent present, which can be demonstrated by the inability to culture the infectious agent from a sample from the subject. The efficacy of treatment of infectious diseases can be demonstrated, for example, by a reduction in the amount of infectious agent present, which can be demonstrated by a reduction in the presence of proteins, nucleic acids or carbohydrates in the infectious agent. Therapeutic efficacy can be demonstrated, for example, by the presence of an immune response, as evidenced by the presence of antibodies or immune cells that target the infectious agent. Therapeutic efficacy for an infectious disease can be evidenced by a reduction in the amount of infectious agent present, which can be evidenced by, for example, a reduction in one or more signs or symptoms of the infection (e.g., fever, pain, nausea, vomiting, blood chemistry abnormalities, weight loss). The particular signs or symptoms will depend on the particular pathogen. The therapeutic efficacy of infectious diseases can be demonstrated by the production of antibodies or immune cells targeting the pathogen.
The therapeutic efficacy of cancer can be demonstrated by the stabilization or reduction of tumor burden as evidenced by the stabilization or reduction of tumor burden of a primary tumor, a metastatic tumor, or the delay or prevention of tumor metastasis. Diagnostic and monitoring methods, e.g., RECIST criteria, are provided herein.
Comparing subsequent readings with the initial readings can provide the physician with an indication as to whether the treatment is effective. It is well within the ability of those skilled in the art to monitor the efficacy of a treatment or prophylaxis by measuring any one or any combination of these parameters. With respect to administering iRNA targeting PD-L1 or a pharmaceutical composition thereof, "effective against" a PD-L1-associated disease indicates that administration in a clinically appropriate manner can produce beneficial effects for at least a statistically significant portion of patients, such as improving symptoms, curing or reducing disease, prolonging life, improving quality of life, or other effects that are generally considered positive by physicians familiar with treatment of PD-L1-associated diseases (e.g., PD-L1-associated diseases in the HBV diagnostic criteria provided herein).
A therapeutic or prophylactic effect is evident if there is a statistically significant improvement in one or more parameters of the disease state, or if there is no worsening or no progression of the desired symptoms. For example, a favorable change of at least 10% (preferably at least 20%, 30%, 40%, 50% or more) in a measurable parameter of the disease may indicate an effective treatment. The efficacy of a given iRNA agent or dosage form of the agent can also be judged by using experimental animal models of a given disease known in the art. When using experimental animal models, treatment efficacy is demonstrated when a statistically significant reduction in marker or symptom is observed.
Alternatively, efficacy can be measured by a reduction in disease severity determined by one skilled in the diagnostic art based on clinically accepted disease severity grading criteria. Any positive change that results in, for example, a reduction in disease severity as measured using the appropriate scale, represents sufficient treatment using iRNA or iRNA dosage forms described herein.
A therapeutic amount (e.g., about 0.01mg/kg to about 200mg/kg) of iRNA can be administered to a subject.
iRNA can be infused intravenously over a period of time in a periodic manner. In certain embodiments, the treatment may be administered less frequently after the initial treatment regimen. Administration of the iRNA can reduce, e.g., PD-L1 levels in a patient's cells or tissues by at least about 20%, 25%, 30%, 35%, 40%, 45%, 50%, 55%, 60%, 65%, 70%, 75%, 80%, 85%, 90%, or 95%, or to a level below that detected by the assay used. In certain embodiments, administration results in clinical stabilization (or preferably a clinically relevant reduction) of at least one sign or symptom of a PD-L1-associated disease.
In certain embodiments, a smaller dose, e.g., 5% of infusion reactions, relative to the full dose of iRNA, may be administered to a patient and adverse reactions, e.g., allergic reactions, monitored. In another example, the patient may be monitored for an undesired (unwanted) immunostimulatory effect, such as an elevated level of a cytokine (e.g., TNF- α or INF- α).
Alternatively, the iRNA may be administered subcutaneously, i.e., by subcutaneous injection. The desired daily dose of iRNA can be delivered to the subject using one or more injections. The injection may be repeated over a period of time. The application may be repeated periodically. In certain embodiments, the treatment may be administered less frequently after the initial treatment regimen. Repeated dosing regimens may include periodic administration of therapeutic amounts of iRNA, e.g., once every other day or year. In certain embodiments, the iRNA is administered from about once a month to about once a quarter (i.e., about once every three months).
Diagnostic criteria and treatment of PD-L1 related diseases
Exemplary diagnostic and monitoring criteria for various PD-L1-related diseases are provided below.
A. Hepatitis B
Hepatitis is a general term, representing inflammation of the liver, and can be caused by a number of different viruses, such as hepatitis a, b, c, d and e. Since the development of jaundice is a characteristic feature of liver disease, correct diagnosis can only be made by detecting the presence of specific anti-viral antigens or antibodies in the serum of a patient. Serious pathological consequences of persistent HBV infection include the development of chronic hepatic insufficiency, cirrhosis, and hepatocellular carcinoma (HCC). In addition, HBV carriers can transmit disease over many years.
HBV is a large virus and does not cross the placenta, however, pregnant women infected with HBV transmit the disease to the infant at birth. Many of these infants develop lifelong HBV infection if not vaccinated at birth, and many later develop liver failure or liver cancer. After acute HBV infection, the risk of developing chronic infection is inversely proportional to age. The incidence of chronic HBV infection is about 90% in infants infected at birth, 25-50% in children infected at the age of 1-5 years, and about 1-5% in older children and adults. Chronic HBV infection is also common in immunodeficient persons (hepatitis b: world health organization infectious disease monitoring and emergency department, acquisition address www.who.int/csr/disease/hepatities b _ whocdsclyo 2002_2.pdfua ═ 1, which is incorporated herein by reference).
During the incubation period of the disease (6 to 24 weeks), the patient may feel discomfort and nausea, vomiting, diarrhea, anorexia and headache may occur. While low fever and loss of appetite may improve, jaundice occurs in the patient at a later time. Sometimes HBV infection does not produce jaundice nor obvious symptoms. Asymptomatic cases can be identified by detecting biochemical or virus-specific serological changes in their blood. Such asymptomatic individuals may become silent carriers of the virus and constitute a further reservoir for transmission to others.
Most adult patients will recover completely from HBV infection, but the other about 5% to 10% of patients cannot clear the virus and will develop asymptomatic carriers or develop chronic hepatitis that may lead to cirrhosis or liver cancer. Rarely, some patients may develop fulminant hepatitis and die. Persistent or chronic HBV infection is the most common persistent viral infection in humans. It is estimated that more than 3.5 million people worldwide are currently persistently infected with HBV. A large part of these are located in africa regions of east asia and sub-saharan, where complications associated with chronic liver disease and liver cancer are the most important health problems.
Three standard blood tests for hepatitis B (HB antigen, anti-HB antibodies, and HBc antigen) enable one to determine whether a person is currently infected with HBV, has recovered, is a chronic carrier, or is susceptible to HBV infection.
The source is as follows: hollinger FB, Liang tj. hepatitis B virus. in: knipe DM et al, eds. fields Virology, 4 th edition, Philadelphia, Lippincott Williams & Wilkins, 2001: 2971-3036.
Further serological tests may be performed to differentiate patients with chronic or acute hepatitis b, or possible carriers. Many vaccines against HBV are available and are currently more effective and cost effective than therapeutics.
Currently, there is no treatment for acute hepatitis b. Can be used for symptomatic treatment of nausea, anorexia, emesis and other symptoms.
The goal of treating chronic hepatitis b is to eliminate infectivity by eliminating markers of HBV replication in serum and liver (like HBV DNA, HBeAg and HBcAg) to prevent transmission and spread of HBV, halt progression of liver disease and improve clinical and histological images, and prevent HCC from continuing to develop. These virological changes are often accompanied by normalization of ALT activity, regression of liver inflammation and improvement of patient symptoms. However, currently available treatments for HBV rarely cure the disease. Patients must receive treatment indefinitely to inhibit the disease and prevent transmission.
There are two main treatment methods: antiviral drug approaches aimed at inhibiting or destroying HBV by interfering with viral replication and immunomodulator approaches aimed at helping the human immune system defend against viruses. Either induced enhancement of corticosteroids expressing viral and viral antigens and inhibition of T lymphocyte function, or arabinoside, acyclovir or dideoxyinosine, showed no benefit for the treatment of chronic hepatitis b.
Interferons are currently used to treat chronic hepatitis b to modulate immune responses. The only approved interferons are interferon-alpha-2 a and interferon-alpha-2 b. Interferons have a variety of properties, including antiviral, immunomodulatory and antiproliferative effects. These effects enhance the activity of helper T cells, cause B lymphocytes to mature, inhibit T cell suppressors, and enhance the expression of the hla i type. Patients eligible for interferon treatment should have a record of infection for at least 6 months, elevated liver enzymes (AST and ALT), and their blood for the presence of actively dividing viruses (HBeAg and/or HBV DNA positive detection). Patients with acute infections, end-stage cirrhosis or other major diseases should not receive treatment. Interferon- α provides long lasting relief in 35% of chronic hepatitis b patients, while normalizing liver enzymes and eliminating all three markers of active infection (HBeAg, HBV DNA and HBsAg). In some carefully selected patients, the virus can be eliminated completely.
Interferon therapy for patients with HBV-associated cirrhosis can significantly reduce the incidence of HCC, particularly in patients with higher amounts of serum HBV DNA. In patients with HBeAg-positive compensatory cirrhosis, virologic and biochemical remission correlates with improved survival following interferon treatment. Clearance of HBeAg following treatment with interferon- α correlates with improved clinical outcome in patients with chronic HBV infection.
Interferon-alpha (intron a (interferon-alpha-2 b), Schering Plough and Roferon, (interferon-alpha-2 a) Roche Labs) is the main treatment for chronic hepatitis B. The standard duration of treatment is generally considered to be 16 weeks. Patients who exhibit low levels of viral replication at the end of the standard regimen most benefit from long-term treatment.
Nucleotide and nucleoside analogs have long been used in the treatment of HBV. Currently available and under-developed compounds include lamivudine, adefovir, entecavir, telbivudine, tenofovir, emtricitabine, cladribine, ritonavir, docusate, lobecarvir, famvir, FTC, N-acetylcysteine (NAC), PC1323, theradigm-HBV, thymosin-alpha and ganciclovir. Some of these compounds are useful against infection by other viruses (e.g., HCV, HIV), while others are primarily used for the treatment of HBV.
Permanent elimination of HBV DNA and HBeAg is considered the ultimate goal of antiviral therapy as this result is associated with improved necrotic inflammatory lesions and reduced infectivity.
B. Hepatitis D
Hepatitis Delta Virus (HDV) is a defective virus that is only infectious in the presence of active HBV infection. HDV infection can be either co-infected with HBV or double-infected with HBV carriers. Co-infections can usually be resolved. However, double infection often causes chronic HDV infection and chronic active hepatitis. Both infections may lead to fulminant hepatitis.
The transmission pathway is similar to that of HBV. Prevention of acute and chronic HBV infection in susceptible populations by vaccination will also prevent HDV infection. Certain HBV treatments are also effective in treating HDV, e.g., interferon- α with or without adefovir. However, other drugs, such as lamivudine, which is an inhibitor of HBV-DNA replication, are not effective in treating chronic hepatitis D.
C. Tuberculosis (TB)
Tuberculosis is a disease caused by mycobacterium tuberculosis. Tuberculosis is associated with the following symptoms: including weight loss of unknown origin, loss of appetite, night sweats, fever, fatigue, coughing for more than three weeks, hemoptysis (hemoptysis) and chest pain. There are two tests that can be used to determine whether a person is infected with TB bacteria: tuberculin skin test and TB blood test, including
TB Gold In-Tube test (QFT-GIT) and T-
TB test (T-Spot). However, these tests do not indicate active TB infection. Diagnosis of TB infection includes assessing medical history, physical examination, chest radiography, and diagnostic microbiological culture assays, including analysis for drug resistance. Those skilled in the art haveAbility to assess clinically relevant changes in signs or symptoms of TB.
D. Cancer treatment
Cancer refers to any of a variety of malignancies characterized by the proliferation of anaplastic cells that tend to invade surrounding tissues and metastasize to new body sites, and also to pathological conditions characterized by the growth of such malignancies. The cancer may be a tumor or hematological malignancy and includes, but is not limited to, all types of lymphomas/leukemias, carcinomas, and sarcomas. In certain embodiments, the cancer comprises liver cancer. In certain embodiments, the cancer comprises hepatocellular carcinoma (HCC).
RECIST criteria are clinically accepted evaluation criteria, are standard methods for providing measurements of solid tumors, and provide definitions for objectively evaluating changes in tumor size for clinical trials. Such criteria may also be used to monitor the response of an individual receiving treatment for a solid tumor. RECIST 1.1 criteria are described in Eisenhauer et al, New response evaluation criteria in solid tumors: revised RECIST guideline (version 1.1), eur.j.cancer.45: 228-. The response criteria for the target lesion include:
complete Response (CR): all target lesions have disappeared. Any pathological lymph node (whether a target lesion or a non-target lesion) must be shortened to < 10mm in the short axis.
Partial Response (PR): the sum of the diameters of the target lesions is reduced by at least 30% with reference to the sum of the baseline diameters.
Progressive Disease (PD): the sum of the diameters of the target lesions rose by at least 20% with the smallest sum in the study as a reference (including the baseline sum if it was the smallest sum in the study). In addition to the relative rise of 20%, the sum must also exhibit an absolute increase of at least 5 mm. (Note: the appearance of one or more new lesions should also be an advance.)
Stability Disease (SD): the minimum sum diameter in the study was taken as the reference, i.e., no shrinkage sufficient to reach PR occurred, nor an increase sufficient to reach PD occurred.
RECIST 1.1 criteria also considers non-target lesions, which are defined as lesions that are measurable but need not be measured and that should only be assessed qualitatively at the desired time point. Response criteria for non-target lesions include:
complete Response (CR): all non-target lesions had disappeared and tumor marker levels normalized. All lymph nodes must be of non-pathological size (< 10mm on the minor axis).
non-CR/non-PD: the persistent presence of one or more non-target lesions and/or tumor marker levels is maintained above normal limits.
Progressive Disease (PD): there are clear advances in existing non-target lesions. Progression may also be the appearance of one or more new lesions. "clear progression" on the basis of non-target disease means that the overall level of non-target disease must significantly worsen, even if SD or PR is present in the target disease, but the overall tumor burden has increased sufficiently to require discontinuation of treatment to be more beneficial. Moderate "increase" in progression of one or more non-target lesions is generally not sufficient to have a definite progression status. Thus, in the presence of SD or PR in a target disease, it is very rare to specify overall progression based solely on changes in non-target disease.
The clinically acceptable criteria for acute leukemia therapeutic response are as follows:
complete Remission (CR): the patient must be free of leukemia-related symptoms and have an absolute neutrophil count>1.0x 109L, platelet count>100x 109L, normal bone marrow has < 5% of primitive cells and no Auer bodies.
Complete remission with incomplete recovery of blood counts (Cri): as with CE, but thrombocytopenia (platelet count < 100X 10) remains9/L)) or with residual neutropenia (absolute neutrophil count < 1.0x 10)9/L)。
Partial Remission (PR): bone marrow primary cell depletion>50%, abnormal cells in bone marrow are reduced by 5% to 25%; or CR has the same property if Auer corpuscle is present<5% of primary cells.
Failure of treatment: treatment failed to reach CR, Cri or PR. And (5) relapse.
Confirmation of recurrence after CR: the leukemia blasts reappear in the peripheral blood or in the bone marrow>5% of the primitive cells cannot be attributed to any other cause (e.g. bone marrow regeneration after consolidation of treatment) or new abnormal changes occur.
Uses of the compositions and methods described herein include achieving stable disease in a subject with a solid tumor for at least a sufficient period of time to meet RECIST criteria for defining stable disease. In certain embodiments, the use of the compositions and methods described herein comprises achieving a partial response in a subject with a solid tumor for a sufficient period of time to meet the criteria for RECIST to define stable disease.
The use of the compositions and methods described herein comprises achieving partial remission in a subject with acute leukemia for at least a sufficient period of time to meet the criteria for RECIST to define stable disease. In certain embodiments, the use of the compositions and methods described herein comprises achieving complete remission in a subject with acute leukemia for at least a sufficient period of time and with incomplete recovery of blood counts to meet the criteria of RECIST for defining stable disease.
The following examples further illustrate the invention and should not be construed as limiting. All references, patents, and published patent applications cited throughout this application, as well as the sequence listing, are incorporated herein by reference in their entirety.
Examples
Example 1 Synthesis of iRNA
Sources of reagents
If the source of the reagent is not specifically given herein, such reagents may be obtained from any molecular biological reagent supplier and have quality/purity criteria that meet molecular biological applications.
Transcript
Design of siRNA
A set of siRNAs targeting human PD-L1/CD274 (human: NCBI refseq NM-001267706; NCBI GeneID: 29126; SEQ ID NO: 1), and the orthologue of toxicological species PD-L1 (mouse: XM-006527249 (SEQ ID NO: 3); rat, XM-006231248 (SEQ ID NO: 5); and cynomolgus monkey: XM-005581779 (SEQ ID NO: 7)) was designed using custom R and Python scripts. The REFSEQ mRNA of human PD-L1 has a length of 3349 bases. The basic principle and method of this group of siRNA design are as follows: the predicted potency of each potential 19mer siRNA from position 109 through position 3349 (coding region and 3' UTR) was determined using a linear model derived by directly measuring the knock-down effect on mRNA of over 20,000 different siRNA designs targeting many vertebrate genes. The designed subset of PD-L1 sirnas had a perfect or near perfect match between human and cynomolgus monkeys. An additional group was designed that had a perfect or near perfect match with the mouse and rat PD-L1 ortholog. Yet another group was designed to have a perfect or near perfect match with the PD-L1 ortholog of human, cynomolgus monkey, mouse and rat.
For each strand of the siRNA, a brute force search was performed using a custom Python script to measure the number and location of mismatches between the siRNA and all possible alignments in the target species transcriptome. Additional weights are given to mismatches in the seed region, defined herein as positions 2-9 of the antisense oligonucleotide, and to the cleavage site of the siRNA, defined herein as positions 10-11 of the antisense oligonucleotide. For seed mismatches, cleavage sites and other positions up to position 19 of the antisense strand, the relative weight of the mismatches is 2.8: 1.2: 1. Mismatches at the first position are ignored. The specificity score for each strand was calculated by adding the values for each weighted mismatch. Such siRNA is preferably considered: its antisense score in humans and cynomolgus monkeys was > ═ 3.0 and predicted efficacy as a decrease in PD-L1 transcript of > ═ 70%.
A detailed list of unmodified PD-L1 sense and antisense strand sequences is shown in table 3. A detailed list of modified PD-L1 sense and antisense strand sequences is shown in table 5.
Synthesis of siRNA
Phosphoramidites mediated using solid supportsChemical methods, PD-L1 siRNA sequences were synthesized on a Mermade 192 synthesizer (BioAutomation) at a scale of 1. mu. mol. The solid support is either controlled porous glass (500A) loaded with a customized GalNAc ligand or a universal solid support (AM biochemicalal). Auxiliary synthetic reagents 2 '-F and 2' -O-methyl RNA and deoxyphosphoramidite were obtained from Thermo-

(Milwaukee, Wis.) and Hongnee (China). The corresponding phosphoramidites were used to introduce 2 ' F2 ' -O-methyl, GNA (ethylene glycol nucleic acid), 5 ' -phosphate and other modifications. The synthesis of 3' GalNAc conjugated single-chain was done on a CPG support modified with GalNAc. Customized CPG universal solid supports were used to synthesize antisense single strands. The coupling time for all phosphoramidites (100 mM in acetonitrile) was 5 minutes using 5-ethylthio-1H-tetrazole (ETT) as the activator (0.6M in acetonitrile). 3- ((dimethylamino-methylene) amino) -3H-1, 2, 4-dithiazole-3-thione (DDTT), obtained from 50 mM
(Wilmington, MA, USA)) anhydrous acetonitrile/pyridine (1: 1 v/v) solution produced phosphorothioate linkages. The oxidation time was 3 minutes. All sequences were synthesized with the last removal of the DMT group ("no DMT").
After completion of the solid phase synthesis, the oligoribonucleotides were cleaved from the solid support and deprotected using 200 μ L of aqueous methylamine reagent at 60 ℃ for 20 minutes in a sealed 96-well deep-well plate. For sequences containing a 2 'ribose residue (2' -OH) protected by a t-butyldimethylsilyl (TBDMS) group, a second deprotection step was performed using tea.3hf (triethylamine trihydrofluoride) reagent. To the methylamine deprotection solution was added 200. mu.L dimethyl sulfoxide (DMSO) and 300. mu.l TEA.3HF reagent, and the solution was incubated at 60 ℃ for another 20 min. At the end of the cleavage and deprotection steps, the synthesis plate was brought to room temperature and precipitated by adding 1mL of acetonitrile: ethanol mixture (9: 1). The plate was cooled at-80 ℃ for 2 hours and the supernatant carefully removed by means of a multichannel pipette. Resuspending the oligonucleotide pellet In 20mM NaOAc buffer, and
5mL on the purification system
Desalting with a size exclusion column (GE Healthcare), said
The purification system was equipped with an a905 autosampler and Frac 950 fraction collector. The desalted sample was collected in a 96-well plate. For samples from each sequence, their identity was confirmed by LC-MS analysis, quantified by UV (260nm), and a selected set of samples was analyzed by 1EX chromatography to determine purity.
In that
PD-L1 single strand annealing was performed on the liquid handling robot. An equimolar mixture of the sense and antisense single strands was combined and annealed in a 96-well plate. After combining the complementary single strands, the 96-well plate was sealed and heated in an oven at 100 ℃ for 10 minutes and slowly returned to room temperature over 2-3 hours. The concentration of each duplex was normalized to 10 μ M in 1 × PBS.
Example 2-in vitro screening:
for Dual-
Cell culture and plasmid/transfection of assays:
bringing Cos7 cells (
Manassas, VA) in DMEM supplemented with 10% FBS
In culture medium, at 37 ℃ and 5% CO
2Grown to near saturation under atmosphere and then digested by trypsinIs released from the plate. Cloning of the complete human CD274 reference sequence (NM-001267706.1) into the Dual-luciferase psiCHECK2 Using three constructs (SEQ ID NOs: 11-13) with inserts of approximately 750bp, 1.4kb and 1.4kb length
TMIn a carrier. Using Lipofectamine
TM 2000(Invitrogen TM,Invitrogen
TMCat #11668-019) co-transfected the dual luciferase plasmid with siRNA into 15x10
3In individual cells. For each well of a 96-well plate, 0.2. mu.l of Lipofectamine was added
TMAdding into 14.8 μ l of Opti-
And allowed to complex for 15 minutes at room temperature. The mixture was then added to the cells resuspended in 80. mu.l of fresh complete medium. Cells were incubated for 48 hours and luciferase was then measured. Single dose experiments were performed at final duplex concentrations of 10nM and 0.1 nM.
Firefly (transfection control) luciferase and renilla (fused to PD-L1 target sequence in the 3' UTR) luciferase were measured 48 hours after siRNA transfection. First, the culture solution is removed from the cells. Then by adding 75. mu.l of Dual-
Luciferase reagents and mixing to measure firefly luciferase activity. The mixture was incubated at room temperature for 30 minutes and then at
(Molecular
) The luminescence (500nm) was measured to detect the firefly luciferase signal. By adding 75 μ l of room temperature Dual-
Stop&
The reagent measures renilla luciferase activity and the plates are incubated for 10-15 minutes and then the luminosity is measured again to determine the signal of renilla luciferase. Dual-
Stop&
The reagent quenches the firefly luciferase signal and allows the renilla luciferase reaction to continue to emit light. siRNA activity was determined by benchmarking the renilla (PD-L1) signal versus the firefly (control) signal in each well. The magnitude of the siRNA activity was then assessed in comparison to cells transfected with the same vector but without siRNA treatment or with non-targeting siRNA treatment. All transfections were performed in triplicate.
Cell culture and transfection for qPCR:
reacting RKO human colon carcinoma cells (II)
Manassas, VA) in DMEM supplemented with 10% FBS
In culture medium, at 37 ℃ and 5% CO
2Growth was carried out under atmosphere to near saturation, which was then released from the plate by trypsinization.
Mu.l of Opti-MEM/well and 0.1. mu.l of LipofectamineTMRNAiMax (Invitrogen TM, Carlsbad CA. cat # 13778-. Then 40. mu.l of a solution containing-5X 103Individual cells of DMEM were added to the siRNA mixture. Cells were incubated for 24 hours, followed by RNA purification. Single dose experiments were performed at duplex final concentrations of 10nM and 0.1 nM.
Use of
mRNA isolation kit total RNA isolation:
use on the BioTek-EL406 platform
(Invitrogen
TMCat #61012) utilizes an automated protocol to isolate RNA. Briefly, 50. mu.l lysis/binding buffer and 25. mu.l lysis buffer containing 3. mu.l magnetic beads were added to the plate containing the cells. The plate was incubated on an electromagnetic shaker at room temperature for 10 minutes, then the magnetic beads were captured and the supernatant removed. The RNA bound to the beads was washed 2 times with 150. mu.l of washing buffer A and once with washing buffer B. The beads were then washed with 150 μ l of elution buffer, the beads were recaptured, and the supernatant was removed.
Using ABI
TMHigh capacity cDNA reverse transcription kit (Applied)
Foster City, CA, Cat #4368813) synthesized cDNA:
each reaction will contain 1. mu.l 10 Xbuffer, 0.4. mu.l 25 XdNTPs, 1. mu.l 10 Xrandom primers, 0.5. mu.l reverse transcriptase, 0.5. mu.l RNase inhibitor and 6.6. mu. l H2Mu.l of the master mix of O was added to the above isolated RNA. The plates were sealed, mixed and incubated on an electromagnetic shaker for 10 minutes at room temperature, then incubated for 2 hours at 37 ℃. The plates were then incubated at 81 ℃ for 5 min.
Real-time PCR:
mu.l of cDNA was added to each well of 384-well plates containing 0.5. mu.l of GAPDH
Probe (Hs99999905), 0.5. mu.l of CD274 probe (Hs01125301_ m1, CD274) and 5. mu.l
Master mix of 480 Probe Master solution (Roche Cat #04887301001)In the above-mentioned material. Using a delta Ct (RQ) assay in
Real-time PCR was performed in 48 real-time PCR System (Roche). Each duplex was tested in four independent transfections.
To calculate relative fold-change, real-time data was analyzed using the Δ Δ Ct method and normalized based on detection using 10nM AD-1955 transfected cells or mock transfected cells.
TABLE 2 abbreviations for the nucleotide monomers used to represent the nucleic acid sequences. It will be appreciated that these monomers, when present in the oligonucleotide, are interconnected by a 5 '-3' -phosphodiester linkage.
TABLE 4 CD274Dual-
Luciferase and qPCR data
Data are expressed as percentage of remaining information relative to non-targeting controls.
Equivalents of
Those skilled in the art will recognize, or be able to ascertain using no more than routine experimentation, many equivalents to the specific embodiments and methods described herein. Such equivalents are intended to be encompassed by the scope of the following claims.
Sequence listing
<110> Alnilam pharmaceuticals, Ltd
<120> iRNA compositions ofprogrammed cell death 1 ligand 1 (PD-L1) and methods of use thereof
<130> 121301-04220
<140>
<141>
<150> 62/213,224
<151> 2015-09-02
<160> 221
<170> PatentIn 3.5 edition
<210> 1
<211> 3349
<212> DNA
<213> Intelligent people
<400> 1
ggcgcaacgc tgagcagctg gcgcgtcccg cgcggcccca gttctgcgca gcttcccgag 60
gctccgcacc agccgcgctt ctgtccgcct gcagggcatt ccagaaagat gaggatattt 120
gctgtcttta tattcatgac ctactggcat ttgctgaacg ccccatacaa caaaatcaac 180
caaagaattt tggttgtgga tccagtcacc tctgaacatg aactgacatg tcaggctgag 240
ggctacccca aggccgaagt catctggaca agcagtgacc atcaagtcct gagtggtaag 300
accaccacca ccaattccaa gagagaggag aagcttttca atgtgaccag cacactgaga 360
atcaacacaa caactaatga gattttctac tgcactttta ggagattaga tcctgaggaa 420
aaccatacag ctgaattggt catcccagaa ctacctctgg cacatcctcc aaatgaaagg 480
actcacttgg taattctggg agccatctta ttatgccttg gtgtagcact gacattcatc 540
ttccgtttaa gaaaagggag aatgatggat gtgaaaaaat gtggcatcca agatacaaac 600
tcaaagaagc aaagtgatac acatttggag gagacgtaat ccagcattgg aacttctgat 660
cttcaagcag ggattctcaa cctgtggttt aggggttcat cggggctgag cgtgacaaga 720
ggaaggaatg ggcccgtggg atgcaggcaa tgtgggactt aaaaggccca agcactgaaa 780
atggaacctg gcgaaagcag aggaggagaa tgaagaaaga tggagtcaaa cagggagcct 840
ggagggagac cttgatactt tcaaatgcct gaggggctca tcgacgcctg tgacagggag 900
aaaggatact tctgaacaag gagcctccaa gcaaatcatc cattgctcat cctaggaaga 960
cgggttgaga atccctaatt tgagggtcag ttcctgcaga agtgcccttt gcctccactc 1020
aatgcctcaa tttgttttct gcatgactga gagtctcagt gttggaacgg gacagtattt 1080
atgtatgagt ttttcctatt tattttgagt ctgtgaggtc ttcttgtcat gtgagtgtgg 1140
ttgtgaatga tttcttttga agatatattg tagtagatgt tacaattttg tcgccaaact 1200
aaacttgctg cttaatgatt tgctcacatc tagtaaaaca tggagtattt gtaaggtgct 1260
tggtctcctc tataactaca agtatacatt ggaagcataa agatcaaacc gttggttgca 1320
taggatgtca cctttattta acccattaat actctggttg acctaatctt attctcagac 1380
ctcaagtgtc tgtgcagtat ctgttccatt taaatatcag ctttacaatt atgtggtagc 1440
ctacacacat aatctcattt catcgctgta accaccctgt tgtgataacc actattattt 1500
tacccatcgt acagctgagg aagcaaacag attaagtaac ttgcccaaac cagtaaatag 1560
cagacctcag actgccaccc actgtccttt tataatacaa tttacagcta tattttactt 1620
taagcaattc ttttattcaa aaaccattta ttaagtgccc ttgcaatatc aatcgctgtg 1680
ccaggcattg aatctacaga tgtgagcaag acaaagtacc tgtcctcaag gagctcatag 1740
tataatgagg agattaacaa gaaaatgtat tattacaatt tagtccagtg tcatagcata 1800
aggatgatgc gaggggaaaa cccgagcagt gttgccaaga ggaggaaata ggccaatgtg 1860
gtctgggacg gttggatata cttaaacatc ttaataatca gagtaatttt catttacaaa 1920
gagaggtcgg tacttaaaat aaccctgaaa aataacactg gaattccttt tctagcatta 1980
tatttattcc tgatttgcct ttgccatata atctaatgct tgtttatata gtgtctggta 2040
ttgtttaaca gttctgtctt ttctatttaa atgccactaa attttaaatt catacctttc 2100
catgattcaa aattcaaaag atcccatggg agatggttgg aaaatctcca cttcatcctc 2160
caagccattc aagtttcctt tccagaagca actgctactg cctttcattc atatgttctt 2220
ctaaagatag tctacatttg gaaatgtatg ttaaaagcac gtatttttaa aatttttttc 2280
ctaaatagta acacattgta tgtctgctgt gtactttgct atttttattt attttagtgt 2340
ttcttatata gcagatggaa tgaatttgaa gttcccaggg ctgaggatcc atgccttctt 2400
tgtttctaag ttatctttcc catagctttt cattatcttt catatgatcc agtatatgtt 2460
aaatatgtcc tacatataca tttagacaac caccatttgt taagtatttg ctctaggaca 2520
gagtttggat ttgtttatgt ttgctcaaaa ggagacccat gggctctcca gggtgcactg 2580
agtcaatcta gtcctaaaaa gcaatcttat tattaactct gtatgacaga atcatgtctg 2640
gaacttttgt tttctgcttt ctgtcaagta taaacttcac tttgatgctg tacttgcaaa 2700
atcacatttt ctttctggaa attccggcag tgtaccttga ctgctagcta ccctgtgcca 2760
gaaaagcctc attcgttgtg cttgaaccct tgaatgccac cagctgtcat cactacacag 2820
ccctcctaag aggcttcctg gaggtttcga gattcagatg ccctgggaga tcccagagtt 2880
tcctttccct cttggccata ttctggtgtc aatgacaagg agtaccttgg ctttgccaca 2940
tgtcaaggct gaagaaacag tgtctccaac agagctcctt gtgttatctg tttgtacatg 3000
tgcatttgta cagtaattgg tgtgacagtg ttctttgtgt gaattacagg caagaattgt 3060
ggctgagcaa ggcacatagt ctactcagtc tattcctaag tcctaactcc tccttgtggt 3120
gttggatttg taaggcactt tatccctttt gtctcatgtt tcatcgtaaa tggcataggc 3180
agagatgata cctaattctg catttgattg tcactttttg tacctgcatt aatttaataa 3240
aatattctta tttattttgt tacttggtac accagcatgt ccattttctt gtttattttg 3300
tgtttaataa aatgttcagt ttaacatccc agtggagaaa gttaaaaaa 3349
<210> 2
<211> 3349
<212> DNA
<213> Intelligent people
<400> 2
ttttttaact ttctccactg ggatgttaaa ctgaacattt tattaaacac aaaataaaca 60
agaaaatgga catgctggtg taccaagtaa caaaataaat aagaatattt tattaaatta 120
atgcaggtac aaaaagtgac aatcaaatgc agaattaggt atcatctctg cctatgccat 180
ttacgatgaa acatgagaca aaagggataa agtgccttac aaatccaaca ccacaaggag 240
gagttaggac ttaggaatag actgagtaga ctatgtgcct tgctcagcca caattcttgc 300
ctgtaattca cacaaagaac actgtcacac caattactgt acaaatgcac atgtacaaac 360
agataacaca aggagctctg ttggagacac tgtttcttca gccttgacat gtggcaaagc 420
caaggtactc cttgtcattg acaccagaat atggccaaga gggaaaggaa actctgggat 480
ctcccagggc atctgaatct cgaaacctcc aggaagcctc ttaggagggc tgtgtagtga 540
tgacagctgg tggcattcaa gggttcaagc acaacgaatg aggcttttct ggcacagggt 600
agctagcagt caaggtacac tgccggaatt tccagaaaga aaatgtgatt ttgcaagtac 660
agcatcaaag tgaagtttat acttgacaga aagcagaaaa caaaagttcc agacatgatt 720
ctgtcataca gagttaataa taagattgct ttttaggact agattgactc agtgcaccct 780
ggagagccca tgggtctcct tttgagcaaa cataaacaaa tccaaactct gtcctagagc 840
aaatacttaa caaatggtgg ttgtctaaat gtatatgtag gacatattta acatatactg 900
gatcatatga aagataatga aaagctatgg gaaagataac ttagaaacaa agaaggcatg 960
gatcctcagc cctgggaact tcaaattcat tccatctgct atataagaaa cactaaaata 1020
aataaaaata gcaaagtaca cagcagacat acaatgtgtt actatttagg aaaaaaattt 1080
taaaaatacg tgcttttaac atacatttcc aaatgtagac tatctttaga agaacatatg 1140
aatgaaaggc agtagcagtt gcttctggaa aggaaacttg aatggcttgg aggatgaagt 1200
ggagattttc caaccatctc ccatgggatc ttttgaattt tgaatcatgg aaaggtatga 1260
atttaaaatt tagtggcatt taaatagaaa agacagaact gttaaacaat accagacact 1320
atataaacaa gcattagatt atatggcaaa ggcaaatcag gaataaatat aatgctagaa 1380
aaggaattcc agtgttattt ttcagggtta ttttaagtac cgacctctct ttgtaaatga 1440
aaattactct gattattaag atgtttaagt atatccaacc gtcccagacc acattggcct 1500
atttcctcct cttggcaaca ctgctcgggt tttcccctcg catcatcctt atgctatgac 1560
actggactaa attgtaataa tacattttct tgttaatctc ctcattatac tatgagctcc 1620
ttgaggacag gtactttgtc ttgctcacat ctgtagattc aatgcctggc acagcgattg 1680
atattgcaag ggcacttaat aaatggtttt tgaataaaag aattgcttaa agtaaaatat 1740
agctgtaaat tgtattataa aaggacagtg ggtggcagtc tgaggtctgc tatttactgg 1800
tttgggcaag ttacttaatc tgtttgcttc ctcagctgta cgatgggtaa aataatagtg 1860
gttatcacaa cagggtggtt acagcgatga aatgagatta tgtgtgtagg ctaccacata 1920
attgtaaagc tgatatttaa atggaacaga tactgcacag acacttgagg tctgagaata 1980
agattaggtc aaccagagta ttaatgggtt aaataaaggt gacatcctat gcaaccaacg 2040
gtttgatctt tatgcttcca atgtatactt gtagttatag aggagaccaa gcaccttaca 2100
aatactccat gttttactag atgtgagcaa atcattaagc agcaagttta gtttggcgac 2160
aaaattgtaa catctactac aatatatctt caaaagaaat cattcacaac cacactcaca 2220
tgacaagaag acctcacaga ctcaaaataa ataggaaaaa ctcatacata aatactgtcc 2280
cgttccaaca ctgagactct cagtcatgca gaaaacaaat tgaggcattg agtggaggca 2340
aagggcactt ctgcaggaac tgaccctcaa attagggatt ctcaacccgt cttcctagga 2400
tgagcaatgg atgatttgct tggaggctcc ttgttcagaa gtatcctttc tccctgtcac 2460
aggcgtcgat gagcccctca ggcatttgaa agtatcaagg tctccctcca ggctccctgt 2520
ttgactccat ctttcttcat tctcctcctc tgctttcgcc aggttccatt ttcagtgctt 2580
gggcctttta agtcccacat tgcctgcatc ccacgggccc attccttcct cttgtcacgc 2640
tcagccccga tgaaccccta aaccacaggt tgagaatccc tgcttgaaga tcagaagttc 2700
caatgctgga ttacgtctcc tccaaatgtg tatcactttg cttctttgag tttgtatctt 2760
ggatgccaca ttttttcaca tccatcattc tcccttttct taaacggaag atgaatgtca 2820
gtgctacacc aaggcataat aagatggctc ccagaattac caagtgagtc ctttcatttg 2880
gaggatgtgc cagaggtagt tctgggatga ccaattcagc tgtatggttt tcctcaggat 2940
ctaatctcct aaaagtgcag tagaaaatct cattagttgt tgtgttgatt ctcagtgtgc 3000
tggtcacatt gaaaagcttc tcctctctct tggaattggt ggtggtggtc ttaccactca 3060
ggacttgatg gtcactgctt gtccagatga cttcggcctt ggggtagccc tcagcctgac 3120
atgtcagttc atgttcagag gtgactggat ccacaaccaa aattctttgg ttgattttgt 3180
tgtatggggc gttcagcaaa tgccagtagg tcatgaatat aaagacagca aatatcctca 3240
tctttctgga atgccctgca ggcggacaga agcgcggctg gtgcggagcc tcgggaagct 3300
gcgcagaact ggggccgcgc gggacgcgcc agctgctcag cgttgcgcc 3349
<210> 3
<211> 3566
<212> DNA
<213> mouse
<400> 3
tggtccccaa gcctcatgcc aggctgcact tgcacgtcgc gggccagtct cctcgcctgc 60
agcgtttact atcacggctc caaaggactt gtacgtggtg gagtatggca gcaacgtcac 120
gatggagtgc agattccctg tagaacggga gctggacctg cttgcgttag tggtgtactg 180
ggaaaaggaa gatgagcaag tgattcagtt tgtggcagga gaggaggacc ttaagcctca 240
gcacagcaac ttcaggggga gagcctcgct gccaaaggac cagcttttga agggaaatgc 300
tgcccttcag atcacagacg tcaagctgca ggacgcaggc gtttactgct gcataatcag 360
ctacggtggt gcggactaca agcgaatcac gctgaaagtc aatgccccat accgcaaaat 420
caaccagaga atttccgtgg atccagccac ttctgagcat gaactaatat gtcaggccga 480
gggttatcca gaagctgagg taatctggac aaacagtgac caccaacccg tgagtgggaa 540
gagaagtgtc accacttccc ggacagaggg gatgcttctc aatgtgacca gcagtctgag 600
ggtcaacgcc acagcgaatg atgttttcta ctgtacgttt tggagatcac agccagggca 660
aaaccacaca gcggagctga tcatcccaga actgcctgca acacatcctc cacagaacag 720
gactcactgg gtgcttctgg gatccatcct gttgttcctc attgtagtgt ccacggtcct 780
cctcttcttg agaaaacaag tgagaatgct agatgtggag aaatgtggcg ttgaagatac 840
aagctcaaaa aaccgaaatg atacacaatt cgaggagacg taagcagtgt tgaaccctct 900
gatcgtcgat tggcagcttg tggtctgtga aagaaagggc ccatgggaca tgagtccaaa 960
gactcaagat ggaacctgag ggagagaacc aagaaagtgt tgggagagga gcctggaaca 1020
acggacattt tttccaggga gacactgcta agcaagttgc ccatcagtcg tcttgggaaa 1080
tggattgagg gttcctggct tagcagctgg tccttgcaca gtgacctttt cctctgctca 1140
gtgccgggat gagagatgga gtcatgagtg ttgaagaata agtgccttct atttattttg 1200
agtctgtgtg ttctcacttt gggcatgtaa ttatgactgg tgaattctga cgacatgata 1260
gatcttaaga tgtagtcacc aaactcaact gctgcttagc atcctccgta actactgata 1320
caagcaggga acacagaggt cacctgcttg gtttgacagg ctcttgctgt ctgactcaaa 1380
taatctttat ttttcagtcc tcaaggctct tcgatagcag ttgttctgta tcagccttat 1440
aggtgtcagg tatagcactc aacatctcat ctcattacaa tagcaaccct catcaccata 1500
gcaacagcta acctctgtta tcctcacttc atagccagga agctgagcga ctaagtcact 1560
tgcccacaga gtatcagctc tcagatttct gttcttcagc cactgtcctt tcaggataga 1620
atttgtcgtt aagaaattaa tttaaaaact gattattgag tagcattgta tatcaatcac 1680
aacatgcctt gtgcactgtg ctggcctctg agcataaaga tgtacgccgg agtaccggtc 1740
ggacatgttt atgtgtgtta aatactcaga gaaatgttca ttaacaagga gcttgcattt 1800
tagagacact ggaaagtaac tccagttcat tgtctagcat tacatttacc tcatttgcta 1860
tccttgccat acagtctctt gttctccatg aagtgtcatg aatcttgttg aatagttctt 1920
ttatttttta aatgtttcta tttaaatgat attgacatct gaggcgatag ctcagttggt 1980
aaaacccttt cctcacaagt gtgaaaccct gagtcttatc cctagaaccc acataaaaaa 2040
cagttgcgta tgtttgtgca tgcttttgat cccagcacta gggaggcaga ggcaggcaga 2100
tcctgagctc tcattgacca cccagcctag cctacatggt tagctccagg cctacaggag 2160
ctggcagagc ctgaaaaacg atgcctagac acacacacac acacacacac acacacacac 2220
acacacacac accatgtact catagaccta agtgcaccct cctacacatg cacacacata 2280
caattcaaac acaaatcaac agggaattgt ctcagaatgg tccccaagac aaagaagaag 2340
aaaaacacca aaccagctct attccctcag cctatcctct ctactccttc ctagaagcaa 2400
ctactattgt ttttgtatat aaatttaccc aacgacagtt aatatgtaga atatatatta 2460
aagtgtctgt caatatatat tatctctttc tttctttctt cctttctttc tttctttctt 2520
tctttctttc tttctttctt tctttctttc ttccttcctt ccttccttcc ttccttcctt 2580
ccttcctttc tttctttctt tctttttttc tgtctatctg tacctaaatg gttgctcact 2640
atgcattttc tgtgctcttc gcccttttta tttaatgtat ggatatttat gctgcttcca 2700
gaatggatct aaagctcttt gtttctaggt tttctccccc atccttctag gcatctctca 2760
cactgtctag gccagacacc atgtctgctg cctgaatctg tagacaccat ttataaagca 2820
cgtactcacc gagtttgtat ttggcttgtt ctgtgtctga ttaaagggag accatgagtc 2880
cccagggtac actgagttac cccagtacca agggggagcc ttgtttgtgt ctccatggca 2940
gaagcaggcc tggagccatt ttggtttctt ccttgacttc tctcaaacac agacgcctca 3000
cttgctcatt acaggttctc ctttgggaat gtcagcattg ctccttgact gctggctgcc 3060
ctggaaggag cccattagct ctgtgtgagc ccttgacagc tactgcctct ccttaccaca 3120
ggggcctcta agatactgtt acctagaggt cttgaggatc tgtgttctct ggggggagga 3180
aaggaggagg aacccagaac tttcttacag ttttccttgt tctgtcacat gtcaagactg 3240
aaggaacagg ctgggctacg tagtgagatc ctgtctcaaa ggaaagacga gcatagccga 3300
acccccggtg gaaccccctc tgttacctgt tcacacaagc ttattgatga gtctcatgtt 3360
aatgtcttgt ttgtatgaag tttaagaaaa tatcgggttg ggcaacacat tctatttatt 3420
cattttattt gaaatcttaa tgccatctca tggtgttgga ttggtgtggc actttattct 3480
tttgtgttgt gtataaccat aaattttatt ttgcatcaga ttgtcaatgt attgcattaa 3540
tttaataaat atttttattt attaaa 3566
<210> 4
<211> 3566
<212> DNA
<213> mouse
<400> 4
tttaataaat aaaaatattt attaaattaa tgcaatacat tgacaatctg atgcaaaata 60
aaatttatgg ttatacacaa cacaaaagaa taaagtgcca caccaatcca acaccatgag 120
atggcattaa gatttcaaat aaaatgaata aatagaatgt gttgcccaac ccgatatttt 180
cttaaacttc atacaaacaa gacattaaca tgagactcat caataagctt gtgtgaacag 240
gtaacagagg gggttccacc gggggttcgg ctatgctcgt ctttcctttg agacaggatc 300
tcactacgta gcccagcctg ttccttcagt cttgacatgt gacagaacaa ggaaaactgt 360
aagaaagttc tgggttcctc ctcctttcct ccccccagag aacacagatc ctcaagacct 420
ctaggtaaca gtatcttaga ggcccctgtg gtaaggagag gcagtagctg tcaagggctc 480
acacagagct aatgggctcc ttccagggca gccagcagtc aaggagcaat gctgacattc 540
ccaaaggaga acctgtaatg agcaagtgag gcgtctgtgt ttgagagaag tcaaggaaga 600
aaccaaaatg gctccaggcc tgcttctgcc atggagacac aaacaaggct cccccttggt 660
actggggtaa ctcagtgtac cctggggact catggtctcc ctttaatcag acacagaaca 720
agccaaatac aaactcggtg agtacgtgct ttataaatgg tgtctacaga ttcaggcagc 780
agacatggtg tctggcctag acagtgtgag agatgcctag aaggatgggg gagaaaacct 840
agaaacaaag agctttagat ccattctgga agcagcataa atatccatac attaaataaa 900
aagggcgaag agcacagaaa atgcatagtg agcaaccatt taggtacaga tagacagaaa 960
aaaagaaaga aagaaagaaa ggaaggaagg aaggaaggaa ggaaggaagg aaggaagaaa 1020
gaaagaaaga aagaaagaaa gaaagaaaga aagaaagaaa gaaaggaaga aagaaagaaa 1080
gagataatat atattgacag acactttaat atatattcta catattaact gtcgttgggt 1140
aaatttatat acaaaaacaa tagtagttgc ttctaggaag gagtagagag gataggctga 1200
gggaatagag ctggtttggt gtttttcttc ttctttgtct tggggaccat tctgagacaa 1260
ttccctgttg atttgtgttt gaattgtatg tgtgtgcatg tgtaggaggg tgcacttagg 1320
tctatgagta catggtgtgt gtgtgtgtgt gtgtgtgtgt gtgtgtgtgt gtgtgtgtct 1380
aggcatcgtt tttcaggctc tgccagctcc tgtaggcctg gagctaacca tgtaggctag 1440
gctgggtggt caatgagagc tcaggatctg cctgcctctg cctccctagt gctgggatca 1500
aaagcatgca caaacatacg caactgtttt ttatgtgggt tctagggata agactcaggg 1560
tttcacactt gtgaggaaag ggttttacca actgagctat cgcctcagat gtcaatatca 1620
tttaaataga aacatttaaa aaataaaaga actattcaac aagattcatg acacttcatg 1680
gagaacaaga gactgtatgg caaggatagc aaatgaggta aatgtaatgc tagacaatga 1740
actggagtta ctttccagtg tctctaaaat gcaagctcct tgttaatgaa catttctctg 1800
agtatttaac acacataaac atgtccgacc ggtactccgg cgtacatctt tatgctcaga 1860
ggccagcaca gtgcacaagg catgttgtga ttgatataca atgctactca ataatcagtt 1920
tttaaattaa tttcttaacg acaaattcta tcctgaaagg acagtggctg aagaacagaa 1980
atctgagagc tgatactctg tgggcaagtg acttagtcgc tcagcttcct ggctatgaag 2040
tgaggataac agaggttagc tgttgctatg gtgatgaggg ttgctattgt aatgagatga 2100
gatgttgagt gctatacctg acacctataa ggctgataca gaacaactgc tatcgaagag 2160
ccttgaggac tgaaaaataa agattatttg agtcagacag caagagcctg tcaaaccaag 2220
caggtgacct ctgtgttccc tgcttgtatc agtagttacg gaggatgcta agcagcagtt 2280
gagtttggtg actacatctt aagatctatc atgtcgtcag aattcaccag tcataattac 2340
atgcccaaag tgagaacaca cagactcaaa ataaatagaa ggcacttatt cttcaacact 2400
catgactcca tctctcatcc cggcactgag cagaggaaaa ggtcactgtg caaggaccag 2460
ctgctaagcc aggaaccctc aatccatttc ccaagacgac tgatgggcaa cttgcttagc 2520
agtgtctccc tggaaaaaat gtccgttgtt ccaggctcct ctcccaacac tttcttggtt 2580
ctctccctca ggttccatct tgagtctttg gactcatgtc ccatgggccc tttctttcac 2640
agaccacaag ctgccaatcg acgatcagag ggttcaacac tgcttacgtc tcctcgaatt 2700
gtgtatcatt tcggtttttt gagcttgtat cttcaacgcc acatttctcc acatctagca 2760
ttctcacttg ttttctcaag aagaggagga ccgtggacac tacaatgagg aacaacagga 2820
tggatcccag aagcacccag tgagtcctgt tctgtggagg atgtgttgca ggcagttctg 2880
ggatgatcag ctccgctgtg tggttttgcc ctggctgtga tctccaaaac gtacagtaga 2940
aaacatcatt cgctgtggcg ttgaccctca gactgctggt cacattgaga agcatcccct 3000
ctgtccggga agtggtgaca cttctcttcc cactcacggg ttggtggtca ctgtttgtcc 3060
agattacctc agcttctgga taaccctcgg cctgacatat tagttcatgc tcagaagtgg 3120
ctggatccac ggaaattctc tggttgattt tgcggtatgg ggcattgact ttcagcgtga 3180
ttcgcttgta gtccgcacca ccgtagctga ttatgcagca gtaaacgcct gcgtcctgca 3240
gcttgacgtc tgtgatctga agggcagcat ttcccttcaa aagctggtcc tttggcagcg 3300
aggctctccc cctgaagttg ctgtgctgag gcttaaggtc ctcctctcct gccacaaact 3360
gaatcacttg ctcatcttcc ttttcccagt acaccactaa cgcaagcagg tccagctccc 3420
gttctacagg gaatctgcac tccatcgtga cgttgctgcc atactccacc acgtacaagt 3480
cctttggagc cgtgatagta aacgctgcag gcgaggagac tggcccgcga cgtgcaagtg 3540
cagcctggca tgaggcttgg ggacca 3566
<210> 5
<211> 3706
<212> DNA
<213> Brown rat
<400> 5
tctttgctac ggataagacc aggaaatcgc cctccccagc ctccagccag gctgcagcta 60
cgcgacttgc cagtctcctc gcctacaggt aagtctcaaa ccatgaggat atttgctgtc 120
cttatagtca cagcctgcag tcacgtgcta gcggcattta ccatcacagc tccaaaggac 180
ctgtacgtgg tggagtatgg cagcaatgtc acgatggaat gcagattccc agtagaacag 240
aaattggacc tgcttgcctt agtggtgtac tgggaaaagg aagacaagga agttattcag 300
tttgtggagg gagaggagga cctgaagcct caacacagca gcttcagggg gagagccttc 360
ttgccaaagg accagctttt gaaggggaac gcggtgcttc agatcacaga tgtcaagctg 420
caggacgcag gtgtctactg ctgcatgatc agctatggtg gagcggacta caagcgaatc 480
acattgaaag tcaacgctcc ataccgcaaa atcaaccaaa gaatttccat ggatccagcc 540
acttctgagc atgaactaat gtgccaggct gagggttacc cagaagccga agtgatctgg 600
acaaacagtg accaccagtc cctgagtggg gaaacaactg tcaccacttc ccagactgag 660
gagaagcttc tcaacgtgac cagcgttctg agggtcaacg caacagctaa tgatgttttc 720
cactgtacgt tctggagagt acactcaggg gagaaccaca cggctgaact gatcatccca 780
gaactgcctg taccacgtct cccacataac aggacacact gggtactcct gggatccgtc 840
cttttgttcc tcatcgtggg gttcaccgtc ttcttctgct tgagaaaaca agtgagaatg 900
ctagatgtgg aaaaatgcgg cttcgaagat agaaattcaa agaaccgaaa tgatacacag 960
ttcgaggaga cgtaagcagt gttgaaccct ctgagcctcg aggcgggatt ggcagcttgt 1020
ggtctgtgaa agaaagggcc cgtgggacat gggtccaggg actcaaaaat ggaaccggag 1080
aggagaagag aacaaagaaa gtgttggaag aggagcctgg gacgaaagac atttctacag 1140
gagacactgc taagcaagtt acccatcagt catctcgggc aataagttga gggttcctca 1200
ttttaacagc tggtcctcgc acaagtgacc tttctctcta cccagtgcct ggatgagagg 1260
cagagtcaca agtgttgaag tgtgagtgcc ttctatttac ttccagtccg tgtgttcttg 1320
ctgtgggcat gtggttatga ctagtgacat aataggcgtt aaaatgcagt caccaaactc 1380
aactgctgct tagcatcctc tgtaactact ggcacaagca ggaaacgtgg aggtcacatg 1440
gttcgtttga cgggctcttg ctgtccgact tgagtaatct tcattctcag gcctcaaggt 1500
tctgcagtag tagttgttct ctttaaatat ctgctttaca agtgttgggt actatactca 1560
aacatcttat ttcatcacca tggcaaccct catactaacc tctgtcatac tcccttcata 1620
gccaagacgc tgagtgtctg agtaacttga ccacaaaatg acagctatca gatttctatt 1680
tttcagacac tgtcctttca ggatagaatt tgtagctaag aatttaataa taaaaaaaaa 1740
accccgctta ttaggcactt ccacaccaca ccatgccttg tgcactgctc tggcctctga 1800
cagagaagga agccagagtg ccggtcggat ttgcttatgt gtgttcaata ctcaaatcaa 1860
tgctcattaa catggagtct gcattttaaa gacactctcc agttctttgt ctagcattat 1920
atttacctct aatctgttat ccctgccaaa caatctcatg ttctccatga agtgtctagt 1980
cttgttgagt agttcttttt tttttttttc tatttaaatg atattgacat ctgaggagac 2040
agctcagttg gtagaattct ttccttacaa gtgggaaacc ctgttttatc cccagaaccc 2100
acataaaaaa cagttgcgta tatctgtgca tgcttaatcc aagcactagg gaggcagaga 2160
caggcagatc tctagctctc accgatcagc cagctccagg tctacaagag ctgacagtgc 2220
ctgagaaaca tgtctacaca cacacacata cacactctca catacatgga ccatgtactc 2280
atacacctaa gtggactctc ttagtgaaca cacatacaat ggtccccaag acaaaacaaa 2340
acaaaaaaaa aataaaccaa actagctcta ttccatcagc ctagccatgc tactcccttc 2400
ccagaagcaa ctgctattgt ttttgcacat atattttctt aaagacagtt aatatgtata 2460
aatctttgtt aaagtatgtc tgtctgtctg cctgcctgcc tacctatcta cctatctatc 2520
tatccatcca tccatccatc catccaccca tctgtccatc cgtctgtctg tccatctgtc 2580
tgtctatcta cctatctacc tacctacata cctatcatct gtctgtctgt ctttcctaaa 2640
tggtatagga aaactgtacg ttttctatgc actttgccct tttcatttag tgtattgata 2700
cttatgctgc ttccagactg atctaaagat ccataaagag aactgcctca tttctaggtt 2760
ttctttccca tccctctagg cacctctcac actgtctagg ccagacactt gctgcctgta 2820
tctgtagaca tcatttataa agtgtgtact caccgagttt gtgtctactc aaagggaggc 2880
catgggtccc cagggtcact gagtcaaccc agtaccaagg tggagccttg tatctccatg 2940
gcagaagcaa atctggggcc atttctgttt cttccttgac ttcttttcta aaacacagat 3000
gctctaatta cttattacag gttgtccctg gtaatgtcag cattgctcct agacttctgg 3060
gtgccctgga aaagcccgtt agctctgtgt gaacccttaa ggcagctgtc tctccttacc 3120
tcatagacac tgtttcctgg agggtttgag atactgtttc caaaaggtgt tcacttgggc 3180
gaggagggga gggggagccc agaactttgt tactattttc tttgttttgt cacatgtcaa 3240
ggctgaagaa agagcctggg tatgttggcg catgtctcca gttgcaggca gaggcaggtg 3300
gatctctgtg agtttgtggc cagcctggtc tccatagtga attctaagcc agccagggct 3360
cggttacata gtgagatccc gtctcaaagg aaagactggc ctatcagaac ccccagtgaa 3420
accccttctg ttacttgttc acacatgttt gttgatgatt ctcgtgttaa tgtcttgttt 3480
gtatgacgtt caagaaaaga tctggttggg caacacattg tatttattca tcttattcaa 3540
aatcttaatg ccatctcatg gcattggatt ggtatggcac tttattcttt tgtgttctgt 3600
ataaccacaa atggaaattt tattttgtgt ctgattgtca ttgtattgca ttaatttaat 3660
aagatattat ttattaaaaa catttgattt ttttcttttt taaaaa 3706
<210> 6
<211> 3706
<212> DNA
<213> Brown rat
<400> 6
tttttaaaaa agaaaaaaat caaatgtttt taataaataa tatcttatta aattaatgca 60
atacaatgac aatcagacac aaaataaaat ttccatttgt ggttatacag aacacaaaag 120
aataaagtgc cataccaatc caatgccatg agatggcatt aagattttga ataagatgaa 180
taaatacaat gtgttgccca accagatctt ttcttgaacg tcatacaaac aagacattaa 240
cacgagaatc atcaacaaac atgtgtgaac aagtaacaga aggggtttca ctgggggttc 300
tgataggcca gtctttcctt tgagacggga tctcactatg taaccgagcc ctggctggct 360
tagaattcac tatggagacc aggctggcca caaactcaca gagatccacc tgcctctgcc 420
tgcaactgga gacatgcgcc aacataccca ggctctttct tcagccttga catgtgacaa 480
aacaaagaaa atagtaacaa agttctgggc tccccctccc ctcctcgccc aagtgaacac 540
cttttggaaa cagtatctca aaccctccag gaaacagtgt ctatgaggta aggagagaca 600
gctgccttaa gggttcacac agagctaacg ggcttttcca gggcacccag aagtctagga 660
gcaatgctga cattaccagg gacaacctgt aataagtaat tagagcatct gtgttttaga 720
aaagaagtca aggaagaaac agaaatggcc ccagatttgc ttctgccatg gagatacaag 780
gctccacctt ggtactgggt tgactcagtg accctgggga cccatggcct ccctttgagt 840
agacacaaac tcggtgagta cacactttat aaatgatgtc tacagataca ggcagcaagt 900
gtctggccta gacagtgtga gaggtgccta gagggatggg aaagaaaacc tagaaatgag 960
gcagttctct ttatggatct ttagatcagt ctggaagcag cataagtatc aatacactaa 1020
atgaaaaggg caaagtgcat agaaaacgta cagttttcct ataccattta ggaaagacag 1080
acagacagat gataggtatg taggtaggta gataggtaga tagacagaca gatggacaga 1140
cagacggatg gacagatggg tggatggatg gatggatgga tggatagata gataggtaga 1200
taggtaggca ggcaggcaga cagacagaca tactttaaca aagatttata catattaact 1260
gtctttaaga aaatatatgt gcaaaaacaa tagcagttgc ttctgggaag ggagtagcat 1320
ggctaggctg atggaataga gctagtttgg tttatttttt ttttgttttg ttttgtcttg 1380
gggaccattg tatgtgtgtt cactaagaga gtccacttag gtgtatgagt acatggtcca 1440
tgtatgtgag agtgtgtatg tgtgtgtgtg tagacatgtt tctcaggcac tgtcagctct 1500
tgtagacctg gagctggctg atcggtgaga gctagagatc tgcctgtctc tgcctcccta 1560
gtgcttggat taagcatgca cagatatacg caactgtttt ttatgtgggt tctggggata 1620
aaacagggtt tcccacttgt aaggaaagaa ttctaccaac tgagctgtct cctcagatgt 1680
caatatcatt taaatagaaa aaaaaaaaaa agaactactc aacaagacta gacacttcat 1740
ggagaacatg agattgtttg gcagggataa cagattagag gtaaatataa tgctagacaa 1800
agaactggag agtgtcttta aaatgcagac tccatgttaa tgagcattga tttgagtatt 1860
gaacacacat aagcaaatcc gaccggcact ctggcttcct tctctgtcag aggccagagc 1920
agtgcacaag gcatggtgtg gtgtggaagt gcctaataag cggggttttt tttttattat 1980
taaattctta gctacaaatt ctatcctgaa aggacagtgt ctgaaaaata gaaatctgat 2040
agctgtcatt ttgtggtcaa gttactcaga cactcagcgt cttggctatg aagggagtat 2100
gacagaggtt agtatgaggg ttgccatggt gatgaaataa gatgtttgag tatagtaccc 2160
aacacttgta aagcagatat ttaaagagaa caactactac tgcagaacct tgaggcctga 2220
gaatgaagat tactcaagtc ggacagcaag agcccgtcaa acgaaccatg tgacctccac 2280
gtttcctgct tgtgccagta gttacagagg atgctaagca gcagttgagt ttggtgactg 2340
cattttaacg cctattatgt cactagtcat aaccacatgc ccacagcaag aacacacgga 2400
ctggaagtaa atagaaggca ctcacacttc aacacttgtg actctgcctc tcatccaggc 2460
actgggtaga gagaaaggtc acttgtgcga ggaccagctg ttaaaatgag gaaccctcaa 2520
cttattgccc gagatgactg atgggtaact tgcttagcag tgtctcctgt agaaatgtct 2580
ttcgtcccag gctcctcttc caacactttc tttgttctct tctcctctcc ggttccattt 2640
ttgagtccct ggacccatgt cccacgggcc ctttctttca cagaccacaa gctgccaatc 2700
ccgcctcgag gctcagaggg ttcaacactg cttacgtctc ctcgaactgt gtatcatttc 2760
ggttctttga atttctatct tcgaagccgc atttttccac atctagcatt ctcacttgtt 2820
ttctcaagca gaagaagacg gtgaacccca cgatgaggaa caaaaggacg gatcccagga 2880
gtacccagtg tgtcctgtta tgtgggagac gtggtacagg cagttctggg atgatcagtt 2940
cagccgtgtg gttctcccct gagtgtactc tccagaacgt acagtggaaa acatcattag 3000
ctgttgcgtt gaccctcaga acgctggtca cgttgagaag cttctcctca gtctgggaag 3060
tggtgacagt tgtttcccca ctcagggact ggtggtcact gtttgtccag atcacttcgg 3120
cttctgggta accctcagcc tggcacatta gttcatgctc agaagtggct ggatccatgg 3180
aaattctttg gttgattttg cggtatggag cgttgacttt caatgtgatt cgcttgtagt 3240
ccgctccacc atagctgatc atgcagcagt agacacctgc gtcctgcagc ttgacatctg 3300
tgatctgaag caccgcgttc cccttcaaaa gctggtcctt tggcaagaag gctctccccc 3360
tgaagctgct gtgttgaggc ttcaggtcct cctctccctc cacaaactga ataacttcct 3420
tgtcttcctt ttcccagtac accactaagg caagcaggtc caatttctgt tctactggga 3480
atctgcattc catcgtgaca ttgctgccat actccaccac gtacaggtcc tttggagctg 3540
tgatggtaaa tgccgctagc acgtgactgc aggctgtgac tataaggaca gcaaatatcc 3600
tcatggtttg agacttacct gtaggcgagg agactggcaa gtcgcgtagc tgcagcctgg 3660
ctggaggctg gggagggcga tttcctggtc ttatccgtag caaaga 3706
<210> 7
<211> 3909
<212> DNA
<213> crab eating macaque
<400> 7
aaatcaaggt gcgttcagat gttggcttgt tgtaaatttc tgtttatatt aataacatac 60
caaatgtgga tttgttttaa tcttcggaac tctttccggt gaaaacctca tttacaagaa 120
aactggactg acaggtttca ctttctgttt catttctata catagcttta ttcctaggac 180
accaacacca ctcgctaccc aaactgaaag cttccccgat tccgccgaag gtcaggaaag 240
tccaatgccg ggcaaactgg atttgctgcc ttgcgcagag gtgggcggga ccccgcctcc 300
gggccgggcg ccaagttgag cagctggcac gcctcgcgaa gccccagtcc tgaagcccca 360
gtcctgcgct gcttcccgag gctccgcacc agccgcgctt ctctctgcct gcagcacatt 420
ccagaaagat gaggatattt gctgtcttta tattcacgat ctactggcat ttgctgaatg 480
catttactgt cacggttccc aaggacctat atgtggtaga gtatggcagc aatatgacaa 540
ttgaatgcaa attcccagta gaaaaacaat tagacctgac ttcactaatt gtctattggg 600
aaatggagga taagaacatt attcaatttg tgcatggaga ggaagacctg aaggttcagc 660
atagtaacta cagacagagg gcccagctgt tgaaggacca gctctccctg ggaaatgctg 720
cacttcggat cacagatgtg aaattgcagg atgcaggggt ttaccgctgc atgatcagct 780
atggtggtgc cgactacaag cggattaccg tgaaagtcaa tgctccatac aacaaaatca 840
accaaagaat tttggttgtc gatccagtca cctctgaaca tgaactaaca tgtcaggctg 900
agggctaccc caaggccgaa gtcatttgga caagcagtga ccatcaagtc ctgagtggta 960
agaccaccac caccaattcc aagagagagg agaagctttt aaatgtgacc agcacactga 1020
gaatcaacac aacagctaat gagattttct actgcatttt taggagatta gatcctgagg 1080
aaaaccatac agctgaattg gtcatcccag aactacctct ggcgcttcct ccaaatgaaa 1140
ggactcactt ggtaattctg ggagccatct ttttactcct tggtgtagca ctgacattca 1200
tcttctattt aagaaaaggg agaatgatgg atatgaaaaa atgtggcatt cgagttacaa 1260
actcaaagaa gcaacgtgat acacaattgg aggagacgta atccagcatt ggaacttctg 1320
atcttcaagc agggattctc agcctgtggt ttgggggttc gtcagggctg agcatgacca 1380
gaggaatgaa tgggcccgtg ggatgcatgc agtatgggac ttaaaaggcc caagcactga 1440
aaatggaacc tggcgaaagc agaggaggag aatgaagaaa aatggagttg aacagggagc 1500
gtggagggag accttgatac tttcaaatgc ctgaggggct catcggtgca tgtgacaggg 1560
agaaaggata cttctgaaca aggagcctcc aagcaaatca tccactgctc atcttaggaa 1620
aacgggttga gaatccctaa tttgagggtc agttcctgca gaagtgccct ttgcctccac 1680
tcaatgcctc aatttgtttt ctgcgtgact gagggtccca gtgttggaac agtatttatg 1740
tatgagattt tcctatttat tttgagtctg tgaggtcttc ttgtcatggg agtgtggttg 1800
tgaatgattt cttttgaaga tatattgtag tagatgttac aattttgtcg ccaaactaaa 1860
cttgatgctt aatgacttgc tcacatctag taaaacatgg agtatttgta aggtgcttgg 1920
tctcctctat aactacaagt acacattgga agcataaaga tcaaaccgtt gatttgtata 1980
ggatgtcacc tttatttaac ccattaatac tctgattgac ttaatcttat tctcagacct 2040
caagtgtctg tgcagtatct gttccattta aatatcagct ttataattat gtggtaccat 2100
acacacataa tctcctttca tcgctgtaac caccctgttg tgatgaccac tattatttta 2160
cccattgtac agctgaggaa gcaaacagat taagtaactt gccaaaacca gtaaatagca 2220
gagctcagac tgccacccac tgtcctttta taatacaatt tacagctata ttttacttta 2280
agcaattcat ttattcaaaa cccatttatt aagtgccctt gcaatatcaa tcactgtacc 2340
aggcattgaa tctacagatg tgagcaagag aaagtacctg tcctcaagga gcttggagta 2400
taataaggag attaataaga aaatatatta ttacaatcta gtccagtgtc atagcataag 2460
gatgatgtga ggagaaaagc tgagcagtgt tgccaagagg aggaaatagg ccaatgtggt 2520
ctgggacagt tgaatgtatt taaacatctt aataatcaaa gtaattttca tttacaaaga 2580
gaagtcagta cttaaaataa ccctgaaaaa taacactgga attccttttc tagcattata 2640
tttatccctg atttgccttt gccatacaat ctaatgcttg tttatatagt gtctgatatt 2700
gtttaacagt tctgtctttt ctattcaaat gctattaaat tttaaattca tacctttcca 2760
tgattcaaaa ttcaaaagat cccatgggag atggtttgaa aatctccact tcatcctcca 2820
agccattcaa gtttcctttc cagaagcaac tgctactgcc ttttattcat atgttcttct 2880
aaagatagtc tacatttgga aatgtatgtt aaaagcatat atttttaaat ttttttccct 2940
aaatagtaac acattatatg tctgctgtgc actttgctat ttttatttat tgtagtgttt 3000
cttatgtagc agatggaatg aatttgaagc tcccaagggt caggacacat gccttctttg 3060
tttctaagtt atctttccca tagcttttca taatctttca tatgatttag tacatgttaa 3120
atatgtgcta catatacatt tagacaacca gcatttgtta agtatttgct ctaggactga 3180
gtttggattt atgtttgctc aaaaggagac ccatgggctc tccagggtgc actgagtcaa 3240
tctagtccta aaaagcaatc ttattattaa ctctgtatga cagaatcata tctggaactt 3300
ttgttttctg ctttctgtca agtataaact tcactttgat gctgtacttg caaaatcaca 3360
ttttctttct ggaaattcca gtagtgtacc ttgactgcta gttaccctgt gccagaaaag 3420
cctcattcgt tgtgcttgaa ccctttaatg ccaccagctg tcatcactac acaggcctcc 3480
taagaggctt cctggaggtt ttgagattca gatgccctga gagatcccag agtttccttt 3540
ccctcttggc cacattctgg tgtcagtgac aaggaatacc ttcgctttgc cacccgtcaa 3600
ggttgaagaa acagcgtctc caacagagct ccttgtgtta tctgtttgta catgtgcatt 3660
tgtacagtaa tttgtgtgac agtgttcttt gtgtgaatta caggcaagaa ctgtggctga 3720
gcaaggcaca tagtctactc agtctattcc taactcctcc ttttggtgtt ggatttgtaa 3780
ggcactttat cccttttgtc tcatgtttca tcgtaaatgg cataggcaga gatgatatct 3840
aattctgcat ttgattgtca ctttttgtac ctgcattaat ttaataaaat atccttattt 3900
attttgtta 3909
<210> 8
<211> 3909
<212> DNA
<213> crab eating macaque
<400> 8
taacaaaata aataaggata ttttattaaa ttaatgcagg tacaaaaagt gacaatcaaa 60
tgcagaatta gatatcatct ctgcctatgc catttacgat gaaacatgag acaaaaggga 120
taaagtgcct tacaaatcca acaccaaaag gaggagttag gaatagactg agtagactat 180
gtgccttgct cagccacagt tcttgcctgt aattcacaca aagaacactg tcacacaaat 240
tactgtacaa atgcacatgt acaaacagat aacacaagga gctctgttgg agacgctgtt 300
tcttcaacct tgacgggtgg caaagcgaag gtattccttg tcactgacac cagaatgtgg 360
ccaagaggga aaggaaactc tgggatctct cagggcatct gaatctcaaa acctccagga 420
agcctcttag gaggcctgtg tagtgatgac agctggtggc attaaagggt tcaagcacaa 480
cgaatgaggc ttttctggca cagggtaact agcagtcaag gtacactact ggaatttcca 540
gaaagaaaat gtgattttgc aagtacagca tcaaagtgaa gtttatactt gacagaaagc 600
agaaaacaaa agttccagat atgattctgt catacagagt taataataag attgcttttt 660
aggactagat tgactcagtg caccctggag agcccatggg tctccttttg agcaaacata 720
aatccaaact cagtcctaga gcaaatactt aacaaatgct ggttgtctaa atgtatatgt 780
agcacatatt taacatgtac taaatcatat gaaagattat gaaaagctat gggaaagata 840
acttagaaac aaagaaggca tgtgtcctga cccttgggag cttcaaattc attccatctg 900
ctacataaga aacactacaa taaataaaaa tagcaaagtg cacagcagac atataatgtg 960
ttactattta gggaaaaaaa tttaaaaata tatgctttta acatacattt ccaaatgtag 1020
actatcttta gaagaacata tgaataaaag gcagtagcag ttgcttctgg aaaggaaact 1080
tgaatggctt ggaggatgaa gtggagattt tcaaaccatc tcccatggga tcttttgaat 1140
tttgaatcat ggaaaggtat gaatttaaaa tttaatagca tttgaataga aaagacagaa 1200
ctgttaaaca atatcagaca ctatataaac aagcattaga ttgtatggca aaggcaaatc 1260
agggataaat ataatgctag aaaaggaatt ccagtgttat ttttcagggt tattttaagt 1320
actgacttct ctttgtaaat gaaaattact ttgattatta agatgtttaa atacattcaa 1380
ctgtcccaga ccacattggc ctatttcctc ctcttggcaa cactgctcag cttttctcct 1440
cacatcatcc ttatgctatg acactggact agattgtaat aatatatttt cttattaatc 1500
tccttattat actccaagct ccttgaggac aggtactttc tcttgctcac atctgtagat 1560
tcaatgcctg gtacagtgat tgatattgca agggcactta ataaatgggt tttgaataaa 1620
tgaattgctt aaagtaaaat atagctgtaa attgtattat aaaaggacag tgggtggcag 1680
tctgagctct gctatttact ggttttggca agttacttaa tctgtttgct tcctcagctg 1740
tacaatgggt aaaataatag tggtcatcac aacagggtgg ttacagcgat gaaaggagat 1800
tatgtgtgta tggtaccaca taattataaa gctgatattt aaatggaaca gatactgcac 1860
agacacttga ggtctgagaa taagattaag tcaatcagag tattaatggg ttaaataaag 1920
gtgacatcct atacaaatca acggtttgat ctttatgctt ccaatgtgta cttgtagtta 1980
tagaggagac caagcacctt acaaatactc catgttttac tagatgtgag caagtcatta 2040
agcatcaagt ttagtttggc gacaaaattg taacatctac tacaatatat cttcaaaaga 2100
aatcattcac aaccacactc ccatgacaag aagacctcac agactcaaaa taaataggaa 2160
aatctcatac ataaatactg ttccaacact gggaccctca gtcacgcaga aaacaaattg 2220
aggcattgag tggaggcaaa gggcacttct gcaggaactg accctcaaat tagggattct 2280
caacccgttt tcctaagatg agcagtggat gatttgcttg gaggctcctt gttcagaagt 2340
atcctttctc cctgtcacat gcaccgatga gcccctcagg catttgaaag tatcaaggtc 2400
tccctccacg ctccctgttc aactccattt ttcttcattc tcctcctctg ctttcgccag 2460
gttccatttt cagtgcttgg gccttttaag tcccatactg catgcatccc acgggcccat 2520
tcattcctct ggtcatgctc agccctgacg aacccccaaa ccacaggctg agaatccctg 2580
cttgaagatc agaagttcca atgctggatt acgtctcctc caattgtgta tcacgttgct 2640
tctttgagtt tgtaactcga atgccacatt ttttcatatc catcattctc ccttttctta 2700
aatagaagat gaatgtcagt gctacaccaa ggagtaaaaa gatggctccc agaattacca 2760
agtgagtcct ttcatttgga ggaagcgcca gaggtagttc tgggatgacc aattcagctg 2820
tatggttttc ctcaggatct aatctcctaa aaatgcagta gaaaatctca ttagctgttg 2880
tgttgattct cagtgtgctg gtcacattta aaagcttctc ctctctcttg gaattggtgg 2940
tggtggtctt accactcagg acttgatggt cactgcttgt ccaaatgact tcggccttgg 3000
ggtagccctc agcctgacat gttagttcat gttcagaggt gactggatcg acaaccaaaa 3060
ttctttggtt gattttgttg tatggagcat tgactttcac ggtaatccgc ttgtagtcgg 3120
caccaccata gctgatcatg cagcggtaaa cccctgcatc ctgcaatttc acatctgtga 3180
tccgaagtgc agcatttccc agggagagct ggtccttcaa cagctgggcc ctctgtctgt 3240
agttactatg ctgaaccttc aggtcttcct ctccatgcac aaattgaata atgttcttat 3300
cctccatttc ccaatagaca attagtgaag tcaggtctaa ttgtttttct actgggaatt 3360
tgcattcaat tgtcatattg ctgccatact ctaccacata taggtccttg ggaaccgtga 3420
cagtaaatgc attcagcaaa tgccagtaga tcgtgaatat aaagacagca aatatcctca 3480
tctttctgga atgtgctgca ggcagagaga agcgcggctg gtgcggagcc tcgggaagca 3540
gcgcaggact ggggcttcag gactggggct tcgcgaggcg tgccagctgc tcaacttggc 3600
gcccggcccg gaggcggggt cccgcccacc tctgcgcaag gcagcaaatc cagtttgccc 3660
ggcattggac tttcctgacc ttcggcggaa tcggggaagc tttcagtttg ggtagcgagt 3720
ggtgttggtg tcctaggaat aaagctatgt atagaaatga aacagaaagt gaaacctgtc 3780
agtccagttt tcttgtaaat gaggttttca ccggaaagag ttccgaagat taaaacaaat 3840
ccacatttgg tatgttatta atataaacag aaatttacaa caagccaaca tctgaacgca 3900
ccttgattt 3909
<210> 9
<211> 3691
<212> DNA
<213> Intelligent people
<400> 9
ggcgcaacgc tgagcagctg gcgcgtcccg cgcggcccca gttctgcgca gcttcccgag 60
gctccgcacc agccgcgctt ctgtccgcct gcagggcatt ccagaaagat gaggatattt 120
gctgtcttta tattcatgac ctactggcat ttgctgaacg catttactgt cacggttccc 180
aaggacctat atgtggtaga gtatggtagc aatatgacaa ttgaatgcaa attcccagta 240
gaaaaacaat tagacctggc tgcactaatt gtctattggg aaatggagga taagaacatt 300
attcaatttg tgcatggaga ggaagacctg aaggttcagc atagtagcta cagacagagg 360
gcccggctgt tgaaggacca gctctccctg ggaaatgctg cacttcagat cacagatgtg 420
aaattgcagg atgcaggggt gtaccgctgc atgatcagct atggtggtgc cgactacaag 480
cgaattactg tgaaagtcaa tgccccatac aacaaaatca accaaagaat tttggttgtg 540
gatccagtca cctctgaaca tgaactgaca tgtcaggctg agggctaccc caaggccgaa 600
gtcatctgga caagcagtga ccatcaagtc ctgagtggta agaccaccac caccaattcc 660
aagagagagg agaagctttt caatgtgacc agcacactga gaatcaacac aacaactaat 720
gagattttct actgcacttt taggagatta gatcctgagg aaaaccatac agctgaattg 780
gtcatcccag aactacctct ggcacatcct ccaaatgaaa ggactcactt ggtaattctg 840
ggagccatct tattatgcct tggtgtagca ctgacattca tcttccgttt aagaaaaggg 900
agaatgatgg atgtgaaaaa atgtggcatc caagatacaa actcaaagaa gcaaagtgat 960
acacatttgg aggagacgta atccagcatt ggaacttctg atcttcaagc agggattctc 1020
aacctgtggt ttaggggttc atcggggctg agcgtgacaa gaggaaggaa tgggcccgtg 1080
ggatgcaggc aatgtgggac ttaaaaggcc caagcactga aaatggaacc tggcgaaagc 1140
agaggaggag aatgaagaaa gatggagtca aacagggagc ctggagggag accttgatac 1200
tttcaaatgc ctgaggggct catcgacgcc tgtgacaggg agaaaggata cttctgaaca 1260
aggagcctcc aagcaaatca tccattgctc atcctaggaa gacgggttga gaatccctaa 1320
tttgagggtc agttcctgca gaagtgccct ttgcctccac tcaatgcctc aatttgtttt 1380
ctgcatgact gagagtctca gtgttggaac gggacagtat ttatgtatga gtttttccta 1440
tttattttga gtctgtgagg tcttcttgtc atgtgagtgt ggttgtgaat gatttctttt 1500
gaagatatat tgtagtagat gttacaattt tgtcgccaaa ctaaacttgc tgcttaatga 1560
tttgctcaca tctagtaaaa catggagtat ttgtaaggtg cttggtctcc tctataacta 1620
caagtataca ttggaagcat aaagatcaaa ccgttggttg cataggatgt cacctttatt 1680
taacccatta atactctggt tgacctaatc ttattctcag acctcaagtg tctgtgcagt 1740
atctgttcca tttaaatatc agctttacaa ttatgtggta gcctacacac ataatctcat 1800
ttcatcgctg taaccaccct gttgtgataa ccactattat tttacccatc gtacagctga 1860
ggaagcaaac agattaagta acttgcccaa accagtaaat agcagacctc agactgccac 1920
ccactgtcct tttataatac aatttacagc tatattttac tttaagcaat tcttttattc 1980
aaaaaccatt tattaagtgc ccttgcaata tcaatcgctg tgccaggcat tgaatctaca 2040
gatgtgagca agacaaagta cctgtcctca aggagctcat agtataatga ggagattaac 2100
aagaaaatgt attattacaa tttagtccag tgtcatagca taaggatgat gcgaggggaa 2160
aacccgagca gtgttgccaa gaggaggaaa taggccaatg tggtctggga cggttggata 2220
tacttaaaca tcttaataat cagagtaatt ttcatttaca aagagaggtc ggtacttaaa 2280
ataaccctga aaaataacac tggaattcct tttctagcat tatatttatt cctgatttgc 2340
ctttgccata taatctaatg cttgtttata tagtgtctgg tattgtttaa cagttctgtc 2400
ttttctattt aaatgccact aaattttaaa ttcatacctt tccatgattc aaaattcaaa 2460
agatcccatg ggagatggtt ggaaaatctc cacttcatcc tccaagccat tcaagtttcc 2520
tttccagaag caactgctac tgcctttcat tcatatgttc ttctaaagat agtctacatt 2580
tggaaatgta tgttaaaagc acgtattttt aaaatttttt tcctaaatag taacacattg 2640
tatgtctgct gtgtactttg ctatttttat ttattttagt gtttcttata tagcagatgg 2700
aatgaatttg aagttcccag ggctgaggat ccatgccttc tttgtttcta agttatcttt 2760
cccatagctt ttcattatct ttcatatgat ccagtatatg ttaaatatgt cctacatata 2820
catttagaca accaccattt gttaagtatt tgctctagga cagagtttgg atttgtttat 2880
gtttgctcaa aaggagaccc atgggctctc cagggtgcac tgagtcaatc tagtcctaaa 2940
aagcaatctt attattaact ctgtatgaca gaatcatgtc tggaactttt gttttctgct 3000
ttctgtcaag tataaacttc actttgatgc tgtacttgca aaatcacatt ttctttctgg 3060
aaattccggc agtgtacctt gactgctagc taccctgtgc cagaaaagcc tcattcgttg 3120
tgcttgaacc cttgaatgcc accagctgtc atcactacac agccctccta agaggcttcc 3180
tggaggtttc gagattcaga tgccctggga gatcccagag tttcctttcc ctcttggcca 3240
tattctggtg tcaatgacaa ggagtacctt ggctttgcca catgtcaagg ctgaagaaac 3300
agtgtctcca acagagctcc ttgtgttatc tgtttgtaca tgtgcatttg tacagtaatt 3360
ggtgtgacag tgttctttgt gtgaattaca ggcaagaatt gtggctgagc aaggcacata 3420
gtctactcag tctattccta agtcctaact cctccttgtg gtgttggatt tgtaaggcac 3480
tttatccctt ttgtctcatg tttcatcgta aatggcatag gcagagatga tacctaattc 3540
tgcatttgat tgtcactttt tgtacctgca ttaatttaat aaaatattct tatttatttt 3600
gttacttggt acaccagcat gtccattttc ttgtttattt tgtgtttaat aaaatgttca 3660
gtttaacatc ccagtggaga aagttaaaaa a 3691
<210> 10
<211> 3691
<212> DNA
<213> Intelligent people
<400> 10
ttttttaact ttctccactg ggatgttaaa ctgaacattt tattaaacac aaaataaaca 60
agaaaatgga catgctggtg taccaagtaa caaaataaat aagaatattt tattaaatta 120
atgcaggtac aaaaagtgac aatcaaatgc agaattaggt atcatctctg cctatgccat 180
ttacgatgaa acatgagaca aaagggataa agtgccttac aaatccaaca ccacaaggag 240
gagttaggac ttaggaatag actgagtaga ctatgtgcct tgctcagcca caattcttgc 300
ctgtaattca cacaaagaac actgtcacac caattactgt acaaatgcac atgtacaaac 360
agataacaca aggagctctg ttggagacac tgtttcttca gccttgacat gtggcaaagc 420
caaggtactc cttgtcattg acaccagaat atggccaaga gggaaaggaa actctgggat 480
ctcccagggc atctgaatct cgaaacctcc aggaagcctc ttaggagggc tgtgtagtga 540
tgacagctgg tggcattcaa gggttcaagc acaacgaatg aggcttttct ggcacagggt 600
agctagcagt caaggtacac tgccggaatt tccagaaaga aaatgtgatt ttgcaagtac 660
agcatcaaag tgaagtttat acttgacaga aagcagaaaa caaaagttcc agacatgatt 720
ctgtcataca gagttaataa taagattgct ttttaggact agattgactc agtgcaccct 780
ggagagccca tgggtctcct tttgagcaaa cataaacaaa tccaaactct gtcctagagc 840
aaatacttaa caaatggtgg ttgtctaaat gtatatgtag gacatattta acatatactg 900
gatcatatga aagataatga aaagctatgg gaaagataac ttagaaacaa agaaggcatg 960
gatcctcagc cctgggaact tcaaattcat tccatctgct atataagaaa cactaaaata 1020
aataaaaata gcaaagtaca cagcagacat acaatgtgtt actatttagg aaaaaaattt 1080
taaaaatacg tgcttttaac atacatttcc aaatgtagac tatctttaga agaacatatg 1140
aatgaaaggc agtagcagtt gcttctggaa aggaaacttg aatggcttgg aggatgaagt 1200
ggagattttc caaccatctc ccatgggatc ttttgaattt tgaatcatgg aaaggtatga 1260
atttaaaatt tagtggcatt taaatagaaa agacagaact gttaaacaat accagacact 1320
atataaacaa gcattagatt atatggcaaa ggcaaatcag gaataaatat aatgctagaa 1380
aaggaattcc agtgttattt ttcagggtta ttttaagtac cgacctctct ttgtaaatga 1440
aaattactct gattattaag atgtttaagt atatccaacc gtcccagacc acattggcct 1500
atttcctcct cttggcaaca ctgctcgggt tttcccctcg catcatcctt atgctatgac 1560
actggactaa attgtaataa tacattttct tgttaatctc ctcattatac tatgagctcc 1620
ttgaggacag gtactttgtc ttgctcacat ctgtagattc aatgcctggc acagcgattg 1680
atattgcaag ggcacttaat aaatggtttt tgaataaaag aattgcttaa agtaaaatat 1740
agctgtaaat tgtattataa aaggacagtg ggtggcagtc tgaggtctgc tatttactgg 1800
tttgggcaag ttacttaatc tgtttgcttc ctcagctgta cgatgggtaa aataatagtg 1860
gttatcacaa cagggtggtt acagcgatga aatgagatta tgtgtgtagg ctaccacata 1920
attgtaaagc tgatatttaa atggaacaga tactgcacag acacttgagg tctgagaata 1980
agattaggtc aaccagagta ttaatgggtt aaataaaggt gacatcctat gcaaccaacg 2040
gtttgatctt tatgcttcca atgtatactt gtagttatag aggagaccaa gcaccttaca 2100
aatactccat gttttactag atgtgagcaa atcattaagc agcaagttta gtttggcgac 2160
aaaattgtaa catctactac aatatatctt caaaagaaat cattcacaac cacactcaca 2220
tgacaagaag acctcacaga ctcaaaataa ataggaaaaa ctcatacata aatactgtcc 2280
cgttccaaca ctgagactct cagtcatgca gaaaacaaat tgaggcattg agtggaggca 2340
aagggcactt ctgcaggaac tgaccctcaa attagggatt ctcaacccgt cttcctagga 2400
tgagcaatgg atgatttgct tggaggctcc ttgttcagaa gtatcctttc tccctgtcac 2460
aggcgtcgat gagcccctca ggcatttgaa agtatcaagg tctccctcca ggctccctgt 2520
ttgactccat ctttcttcat tctcctcctc tgctttcgcc aggttccatt ttcagtgctt 2580
gggcctttta agtcccacat tgcctgcatc ccacgggccc attccttcct cttgtcacgc 2640
tcagccccga tgaaccccta aaccacaggt tgagaatccc tgcttgaaga tcagaagttc 2700
caatgctgga ttacgtctcc tccaaatgtg tatcactttg cttctttgag tttgtatctt 2760
ggatgccaca ttttttcaca tccatcattc tcccttttct taaacggaag atgaatgtca 2820
gtgctacacc aaggcataat aagatggctc ccagaattac caagtgagtc ctttcatttg 2880
gaggatgtgc cagaggtagt tctgggatga ccaattcagc tgtatggttt tcctcaggat 2940
ctaatctcct aaaagtgcag tagaaaatct cattagttgt tgtgttgatt ctcagtgtgc 3000
tggtcacatt gaaaagcttc tcctctctct tggaattggt ggtggtggtc ttaccactca 3060
ggacttgatg gtcactgctt gtccagatga cttcggcctt ggggtagccc tcagcctgac 3120
atgtcagttc atgttcagag gtgactggat ccacaaccaa aattctttgg ttgattttgt 3180
tgtatggggc attgactttc acagtaattc gcttgtagtc ggcaccacca tagctgatca 3240
tgcagcggta cacccctgca tcctgcaatt tcacatctgt gatctgaagt gcagcatttc 3300
ccagggagag ctggtccttc aacagccggg ccctctgtct gtagctacta tgctgaacct 3360
tcaggtcttc ctctccatgc acaaattgaa taatgttctt atcctccatt tcccaataga 3420
caattagtgc agccaggtct aattgttttt ctactgggaa tttgcattca attgtcatat 3480
tgctaccata ctctaccaca tataggtcct tgggaaccgt gacagtaaat gcgttcagca 3540
aatgccagta ggtcatgaat ataaagacag caaatatcct catctttctg gaatgccctg 3600
caggcggaca gaagcgcggc tggtgcggag cctcgggaag ctgcgcagaa ctggggccgc 3660
gcgggacgcg ccagctgctc agcgttgcgc c 3691
<210> 11
<211> 753
<212> DNA
<213> Intelligent people
<400> 11
ctcgagggcg caacgctgag cagctggcgc gtcccgcgcg gccccagttc tgcgcagctt 60
cccgaggctc cgcaccagcc gcgcttctgt ccgcctgcag ggcattccag aaagatgagg 120
atatttgctg tctttatatt catgacctac tggcatttgc tgaacgcccc atacaacaaa 180
atcaaccaaa gaattttggt tgtggatcca gtcacctctg aacatgaact gacatgtcag 240
gctgagggct accccaaggc cgaagtcatc tggacaagca gtgaccatca agtcctgagt 300
ggtaagacca ccaccaccaa ttccaagaga gaggagaagc ttttcaatgt gaccagcaca 360
ctgagaatca acacaacaac taatgagatt ttctactgca cttttaggag attagatcct 420
gaggaaaacc atacagctga attggtcatc ccagaactac ctctggcaca tcctccaaat 480
gaaaggactc acttggtaat tctgggagcc atcttattat gccttggtgt agcactgaca 540
ttcatcttcc gtttaagaaa agggagaatg atggatgtga aaaaatgtgg catccaagat 600
acaaactcaa agaagcaaag tgatacacat ttggaggaga cgtaatccag cattggaact 660
tctgatcttc aagcagggat tctcaacctg tggtttaggg gttcatcggg gctgagcgtg 720
acaagaggaa ggaatgggcc cgtgggcggc cgc 753
<210> 12
<211> 1418
<212> DNA
<213> Intelligent people
<400> 12
ctcgagtcca gcattggaac ttctgatctt caagcaggga ttctcaacct gtggtttagg 60
ggttcatcgg ggctgagcgt gacaagagga aggaatgggc ccgtgggatg caggcaatgt 120
gggacttaaa aggcccaagc actgaaaatg gaacctggcg aaagcagagg aggagaatga 180
agaaagatgg agtcaaacag ggagcctgga gggagacctt gatactttca aatgcctgag 240
gggctcatcg acgcctgtga cagggagaaa ggatacttct gaacaaggag cctccaagca 300
aatcatccat tgctcatcct aggaagacgg gttgagaatc cctaatttga gggtcagttc 360
ctgcagaagt gccctttgcc tccactcaat gcctcaattt gttttctgca tgactgagag 420
tctcagtgtt ggaacgggac agtatttatg tatgagtttt tcctatttat tttgagtctg 480
tgaggtcttc ttgtcatgtg agtgtggttg tgaatgattt cttttgaaga tatattgtag 540
tagatgttac aattttgtcg ccaaactaaa cttgctgctt aatgatttgc tcacatctag 600
taaaacatgg agtatttgta aggtgcttgg tctcctctat aactacaagt atacattgga 660
agcataaaga tcaaaccgtt ggttgcatag gatgtcacct ttatttaacc cattaatact 720
ctggttgacc taatcttatt ctcagacctc aagtgtctgt gcagtatctg ttccatttaa 780
atatcagctt tacaattatg tggtagccta cacacataat ctcatttcat cgctgtaacc 840
accctgttgt gataaccact attattttac ccatcgtaca gctgaggaag caaacagatt 900
aagtaacttg cccaaaccag taaatagcag acctcagact gccacccact gtccttttat 960
aatacaattt acagctatat tttactttaa gcaattcttt tattcaaaaa ccatttatta 1020
agtgcccttg caatatcaat cgctgtgcca ggcattgaat ctacagatgt ggcaagacaa 1080
agtacctgtc ctcaaggagc tcatagtata atgaggagat taacaagaaa atgtattatt 1140
acaatttagt ccagtgtcat agcataagga tgatgcgagg ggaaaacccg agcagtgttg 1200
ccaagaggag gaaataggcc aatgtggtct gggacggttg gatatactta aacatcttaa 1260
taatcagagt aattttcatt tacaaagaga ggtcggtact taaaataacc ctgaaaaata 1320
acactggaat tccttttcta gcattatatt tattcctgat ttgcctttgc catataatct 1380
aatgcttgtt tatatagtgt ctggtattgt gcggccgc 1418
<210> 13
<211> 1419
<212> DNA
<213> Intelligent people
<400> 13
ctcgagctga aaaataacac tggaattcct tttctagcat tatatttatt cctgatttgc 60
ctttgccata taatctaatg cttgtttata tagtgtctgg tattgtttaa cagttctgtc 120
ttttctattt aaatgccact aaattttaaa ttcatacctt tccatgattc aaaattcaaa 180
agatcccatg ggagatggtt ggaaaatctc cacttcatcc tccaagccat tcaagtttcc 240
tttccagaag caactgctac tgcctttcat tcatatgttc ttctaaagat agtctacatt 300
tggaaatgta tgttaaaagc acgtattttt aaaatttttt tcctaaatag taacacattg 360
tatgtctgct gtgtactttg ctatttttat ttattttagt gtttcttata tagcagatgg 420
aatgaatttg aagttcccag ggctgaggat ccatgccttc tttgtttcta agttatcttt 480
cccatagctt ttcattatct ttcatatgat ccagtatatg ttaaatatgt cctacatata 540
catttagaca accaccattt gttaagtatt tgctctagga cagagtttgg atttgtttat 600
gtttgctcaa aaggagaccc atgggctctc cagggtgcac tgagtcaatc tagtcctaaa 660
aagcaatctt attattaact ctgtatgaca gaatcatgtc tggaactttt gttttctgct 720
ttctgtcaag tataaacttc actttgatgc tgtacttgca aaatcacatt ttctttctgg 780
aaattccggc agtgtacctt gactgctagc taccctgtgc cagaaaagcc tcattcgttg 840
tgcttgaacc cttgaatgcc accagctgtc atcactacac agccctccta agaggcttcc 900
tggaggtttc gagattcaga tgccctggga gatcccagag tttcctttcc ctcttggcca 960
tattctggtg tcaatgacaa ggagtacctt ggctttgcca catgtcaagg ctgaagaaac 1020
agtgtctcca acagagctcc ttgtgttatc tgtttgtaca tgtgcatttg tacagtaatt 1080
ggtgtgacag tgttctttgt gtgaattaca ggcaagaatt gtggctgagc aaggcacata 1140
gtctactcag tctattccta agtcctaact cctccttgtg gtgttggatt tgtaaggcac 1200
tttatccctt ttgtctcatg tttcatcgta aatggcatag gcagagatga tacctaattc 1260
tgcatttgat tgtcactttt tgtacctgca ttaatttaat aaaatattct tatttatttt 1320
gttacttggt acaccagcat gtccattttc ttgtttattt tgtgtttaat aaaatgttca 1380
gtttaacatc ccagtggaga aagttaaaaa agcggccgc 1419
<210> 14
<211> 16
<212> PRT
<213> unknown
<220>
<221> sources
<223 >/note = "description unknown:
RFGF peptides "
<400> 14
Ala Ala Val Ala Leu Leu Pro Ala Val Leu Leu Ala Leu Leu Ala Pro
1 5 10 15
<210> 15
<211> 11
<212> PRT
<213> unknown
<220>
<221> sources
<223 >/note = "description unknown:
RFGF analog peptides "
<400> 15
Ala Ala Leu Leu Pro Val Leu Leu Ala Ala Pro
1 5 10
<210> 16
<211> 13
<212> PRT
<213> human immunodeficiency virus
<400> 16
Gly Arg Lys Lys Arg Arg Gln Arg Arg Arg Pro Pro Gln
1 5 10
<210> 17
<211> 16
<212> PRT
<213> Drosophila
<400> 17
Arg Gln Ile Lys Ile Trp Phe Gln Asn Arg Arg Met Lys Trp Lys Lys
1 5 10 15
<210> 18
<211> 21
<212> RNA
<213> Artificial sequence
<220>
<221> sources
<223 >/Note = "description of Artificial sequence-synthetic
Oligonucleotides "
<400> 18
gaagcuuuuc aaugugacca a 21
<210> 19
<211> 23
<212> RNA
<213> Artificial sequence
<220>
<221> sources
<223 >/Note = "description of Artificial sequence-synthetic
Oligonucleotides "
<400> 19
uuggucacau ugaaaagcuu cuc 23
<210> 20
<211> 21
<212> RNA
<213> Artificial sequence
<220>
<221> sources
<223 >/Note = "description of Artificial sequence-synthetic
Oligonucleotides "
<400> 20
gaagcuuuuc aaugugacca a 21
<210> 21
<211> 23
<212> RNA
<213> Artificial sequence
<220>
<221> sources
<223 >/Note = "description of Artificial sequence-synthetic
Oligonucleotides "
<400> 21
uuggucacau ugaaaagcuu cuc 23
<210> 22
<211> 21
<212> RNA
<213> Artificial sequence
<220>
<221> sources
<223 >/Note = "description of Artificial sequence-synthetic
Oligonucleotides "
<400> 22
gaagcuuuuc aaugugacca a 21
<210> 23
<211> 23
<212> RNA
<213> Artificial sequence
<220>
<221> sources
<223 >/Note = "description of Artificial sequence-synthetic
Oligonucleotides "
<400> 23
uuggucacau ugaaaagcuu cuc 23
<210> 24
<211> 21
<212> RNA
<213> Artificial sequence
<220>
<221> sources
<223 >/Note = "description of Artificial sequence-synthetic
Oligonucleotides "
<400> 24
agcuuuucaa ugugaccagc a 21
<210> 25
<211> 23
<212> RNA
<213> Artificial sequence
<220>
<221> sources
<223 >/Note = "description of Artificial sequence-synthetic
Oligonucleotides "
<400> 25
ugcuggucac auugaaaagc uuc 23
<210> 26
<211> 21
<212> RNA
<213> Artificial sequence
<220>
<221> sources
<223 >/Note = "description of Artificial sequence-synthetic
Oligonucleotides "
<400> 26
agcuuuucaa ugugaccagc a 21
<210> 27
<211> 23
<212> RNA
<213> Artificial sequence
<220>
<221> sources
<223 >/Note = "description of Artificial sequence-synthetic
Oligonucleotides "
<400> 27
ugcuggucac auugaaaagc uuc 23
<210> 28
<211> 21
<212> RNA
<213> Artificial sequence
<220>
<221> sources
<223 >/Note = "description of Artificial sequence-synthetic
Oligonucleotides "
<400> 28
agcuuuucaa ugugaccagc a 21
<210> 29
<211> 23
<212> RNA
<213> Artificial sequence
<220>
<221> sources
<223 >/Note = "description of Artificial sequence-synthetic
Oligonucleotides "
<400> 29
ugcuggucac auugaaaagc uuc 23
<210> 30
<211> 21
<212> RNA
<213> Artificial sequence
<220>
<221> sources
<223 >/Note = "description of Artificial sequence-synthetic
Oligonucleotides "
<400> 30
gcuuuucaau gugaccagca a 21
<210> 31
<211> 23
<212> RNA
<213> Artificial sequence
<220>
<221> sources
<223 >/Note = "description of Artificial sequence-synthetic
Oligonucleotides "
<400> 31
uugcugguca cauugaaaag cuu 23
<210> 32
<211> 21
<212> RNA
<213> Artificial sequence
<220>
<221> sources
<223 >/Note = "description of Artificial sequence-synthetic
Oligonucleotides "
<400> 32
gcuuuucaau gugaccagca a 21
<210> 33
<211> 23
<212> RNA
<213> Artificial sequence
<220>
<221> sources
<223 >/Note = "description of Artificial sequence-synthetic
Oligonucleotides "
<400> 33
uugcugguca cauugaaaag cuu 23
<210> 34
<211> 21
<212> RNA
<213> Artificial sequence
<220>
<221> sources
<223 >/Note = "description of Artificial sequence-synthetic
Oligonucleotides "
<400> 34
gcuuuucaau gugaccagca a 21
<210> 35
<211> 23
<212> RNA
<213> Artificial sequence
<220>
<221> sources
<223 >/Note = "description of Artificial sequence-synthetic
Oligonucleotides "
<400> 35
uugcugguca cauugaaaag cuu 23
<210> 36
<211> 21
<212> RNA
<213> Artificial sequence
<220>
<221> sources
<223 >/Note = "description of Artificial sequence-synthetic
Oligonucleotides "
<400> 36
cacacugaga aucaacacaa a 21
<210> 37
<211> 23
<212> RNA
<213> Artificial sequence
<220>
<221> sources
<223 >/Note = "description of Artificial sequence-synthetic
Oligonucleotides "
<400> 37
uuuguguuga uucucagugu gcu 23
<210> 38
<211> 21
<212> RNA
<213> Artificial sequence
<220>
<221> sources
<223 >/Note = "description of Artificial sequence-synthetic
Oligonucleotides "
<400> 38
ccaaaugaaa ggacucacuu a 21
<210> 39
<211> 23
<212> RNA
<213> Artificial sequence
<220>
<221> sources
<223 >/Note = "description of Artificial sequence-synthetic
Oligonucleotides "
<400> 39
uaagugaguc cuuucauuug gag 23
<210> 40
<211> 21
<212> RNA
<213> Artificial sequence
<220>
<221> sources
<223 >/Note = "description of Artificial sequence-synthetic
Oligonucleotides "
<400> 40
uacacauuug gaggagacgu a 21
<210> 41
<211> 23
<212> RNA
<213> Artificial sequence
<220>
<221> sources
<223 >/Note = "description of Artificial sequence-synthetic
Oligonucleotides "
<400> 41
uacgucuccu ccaaaugugu auc 23
<210> 42
<211> 21
<212> RNA
<213> Artificial sequence
<220>
<221> sources
<223 >/Note = "description of Artificial sequence-synthetic
Oligonucleotides "
<400> 42
uacacauuug gaggagacgu a 21
<210> 43
<211> 23
<212> RNA
<213> Artificial sequence
<220>
<221> sources
<223 >/Note = "description of Artificial sequence-synthetic
Oligonucleotides "
<400> 43
uacgucuccu ccaaaugugu auc 23
<210> 44
<211> 21
<212> RNA
<213> Artificial sequence
<220>
<221> sources
<223 >/Note = "description of Artificial sequence-synthetic
Oligonucleotides "
<400> 44
uacacauuug gaggagacgu a 21
<210> 45
<211> 23
<212> RNA
<213> Artificial sequence
<220>
<221> sources
<223 >/Note = "description of Artificial sequence-synthetic
Oligonucleotides "
<400> 45
uacgucuccu ccaaaugugu auc 23
<210> 46
<211> 21
<212> RNA
<213> Artificial sequence
<220>
<221> sources
<223 >/Note = "description of Artificial sequence-synthetic
Oligonucleotides "
<400> 46
acacauuugg aggagacgua a 21
<210> 47
<211> 23
<212> RNA
<213> Artificial sequence
<220>
<221> sources
<223 >/Note = "description of Artificial sequence-synthetic
Oligonucleotides "
<400> 47
uuacgucucc uccaaaugug uau 23
<210> 48
<211> 21
<212> RNA
<213> Artificial sequence
<220>
<221> sources
<223 >/Note = "description of Artificial sequence-synthetic
Oligonucleotides "
<400> 48
acacauuugg aggagacgua a 21
<210> 49
<211> 23
<212> RNA
<213> Artificial sequence
<220>
<221> sources
<223 >/Note = "description of Artificial sequence-synthetic
Oligonucleotides "
<400> 49
uuacgucucc uccaaaugug uau 23
<210> 50
<211> 21
<212> RNA
<213> Artificial sequence
<220>
<221> sources
<223 >/Note = "description of Artificial sequence-synthetic
Oligonucleotides "
<400> 50
acacauuugg aggagacgua a 21
<210> 51
<211> 23
<212> RNA
<213> Artificial sequence
<220>
<221> sources
<223 >/Note = "description of Artificial sequence-synthetic
Oligonucleotides "
<400> 51
uuacgucucc uccaaaugug uau 23
<210> 52
<211> 21
<212> RNA
<213> Artificial sequence
<220>
<221> sources
<223 >/Note = "description of Artificial sequence-synthetic
Oligonucleotides "
<400> 52
cacauuugga ggagacguaa u 21
<210> 53
<211> 23
<212> RNA
<213> Artificial sequence
<220>
<221> sources
<223 >/Note = "description of Artificial sequence-synthetic
Oligonucleotides "
<400> 53
auuacgucuc cuccaaaugu gua 23
<210> 54
<211> 21
<212> RNA
<213> Artificial sequence
<220>
<221> sources
<223 >/Note = "description of Artificial sequence-synthetic
Oligonucleotides "
<400> 54
cacauuugga ggagacguaa u 21
<210> 55
<211> 23
<212> RNA
<213> Artificial sequence
<220>
<221> sources
<223 >/Note = "description of Artificial sequence-synthetic
Oligonucleotides "
<400> 55
auuacgucuc cuccaaaugu gua 23
<210> 56
<211> 21
<212> RNA
<213> Artificial sequence
<220>
<221> sources
<223 >/Note = "description of Artificial sequence-synthetic
Oligonucleotides "
<400> 56
cacauuugga ggagacguaa u 21
<210> 57
<211> 23
<212> RNA
<213> Artificial sequence
<220>
<221> sources
<223 >/Note = "description of Artificial sequence-synthetic
Oligonucleotides "
<400> 57
auuacgucuc cuccaaaugu gua 23
<210> 58
<211> 21
<212> RNA
<213> Artificial sequence
<220>
<221> sources
<223 >/Note = "description of Artificial sequence-synthetic
Oligonucleotides "
<400> 58
gagaccuuga uacuuucaaa u 21
<210> 59
<211> 23
<212> RNA
<213> Artificial sequence
<220>
<221> sources
<223 >/Note = "description of Artificial sequence-synthetic
Oligonucleotides "
<400> 59
auuugaaagu aucaaggucu ccc 23
<210> 60
<211> 21
<212> RNA
<213> Artificial sequence
<220>
<221> sources
<223 >/Note = "description of Artificial sequence-synthetic
Oligonucleotides "
<400> 60
uaauuugagg gucaguuccu a 21
<210> 61
<211> 23
<212> RNA
<213> Artificial sequence
<220>
<221> sources
<223 >/Note = "description of Artificial sequence-synthetic
Oligonucleotides "
<400> 61
uaggaacuga cccucaaauu agg 23
<210> 62
<211> 21
<212> RNA
<213> Artificial sequence
<220>
<221> sources
<223 >/Note = "description of Artificial sequence-synthetic
Oligonucleotides "
<400> 62
uuccuauuua uuuugagucu a 21
<210> 63
<211> 23
<212> RNA
<213> Artificial sequence
<220>
<221> sources
<223 >/Note = "description of Artificial sequence-synthetic
Oligonucleotides "
<400> 63
uagacucaaa auaaauagga aaa 23
<210> 64
<211> 21
<212> RNA
<213> Artificial sequence
<220>
<221> sources
<223 >/Note = "description of Artificial sequence-synthetic
Oligonucleotides "
<400> 64
uuccuauuua uuuugagucu a 21
<210> 65
<211> 23
<212> RNA
<213> Artificial sequence
<220>
<221> sources
<223 >/Note = "description of Artificial sequence-synthetic
Oligonucleotides "
<400> 65
uagacucaaa auaaauagga aaa 23
<210> 66
<211> 21
<212> RNA
<213> Artificial sequence
<220>
<221> sources
<223 >/Note = "description of Artificial sequence-synthetic
Oligonucleotides "
<400> 66
uuccuauuua uuuugagucu a 21
<210> 67
<211> 23
<212> RNA
<213> Artificial sequence
<220>
<221> sources
<223 >/Note = "description of Artificial sequence-synthetic
Oligonucleotides "
<400> 67
uagacucaaa auaaauagga aaa 23
<210> 68
<211> 21
<212> RNA
<213> Artificial sequence
<220>
<221> sources
<223 >/Note = "description of Artificial sequence-synthetic
Oligonucleotides "
<400> 68
uccuauuuau uuugagucug u 21
<210> 69
<211> 23
<212> RNA
<213> Artificial sequence
<220>
<221> sources
<223 >/Note = "description of Artificial sequence-synthetic
Oligonucleotides "
<400> 69
acagacucaa aauaaauagg aaa 23
<210> 70
<211> 21
<212> RNA
<213> Artificial sequence
<220>
<221> sources
<223 >/Note = "description of Artificial sequence-synthetic
Oligonucleotides "
<400> 70
uccuauuuau uuugagucug u 21
<210> 71
<211> 23
<212> RNA
<213> Artificial sequence
<220>
<221> sources
<223 >/Note = "description of Artificial sequence-synthetic
Oligonucleotides "
<400> 71
acagacucaa aauaaauagg aaa 23
<210> 72
<211> 21
<212> RNA
<213> Artificial sequence
<220>
<221> sources
<223 >/Note = "description of Artificial sequence-synthetic
Oligonucleotides "
<400> 72
uugaagauau auuguaguag a 21
<210> 73
<211> 23
<212> RNA
<213> Artificial sequence
<220>
<221> sources
<223 >/Note = "description of Artificial sequence-synthetic
Oligonucleotides "
<400> 73
ucuacuacaa uauaucuuca aaa 23
<210> 74
<211> 21
<212> RNA
<213> Artificial sequence
<220>
<221> sources
<223 >/Note = "description of Artificial sequence-synthetic
Oligonucleotides "
<400> 74
auuguaguag auguuacaau u 21
<210> 75
<211> 23
<212> RNA
<213> Artificial sequence
<220>
<221> sources
<223 >/Note = "description of Artificial sequence-synthetic
Oligonucleotides "
<400> 75
aauuguaaca ucuacuacaa uau 23
<210> 76
<211> 21
<212> RNA
<213> Artificial sequence
<220>
<221> sources
<223 >/Note = "description of Artificial sequence-synthetic
Oligonucleotides "
<400> 76
guauuuguaa ggugcuuggu a 21
<210> 77
<211> 23
<212> RNA
<213> Artificial sequence
<220>
<221> sources
<223 >/Note = "description of Artificial sequence-synthetic
Oligonucleotides "
<400> 77
uaccaagcac cuuacaaaua cuc 23
<210> 78
<211> 21
<212> RNA
<213> Artificial sequence
<220>
<221> sources
<223 >/Note = "description of Artificial sequence-synthetic
Oligonucleotides "
<400> 78
aagcauaaag aucaaaccgu u 21
<210> 79
<211> 23
<212> RNA
<213> Artificial sequence
<220>
<221> sources
<223 >/Note = "description of Artificial sequence-synthetic
Oligonucleotides "
<400> 79
aacgguuuga ucuuuaugcu ucc 23
<210> 80
<211> 21
<212> RNA
<213> Artificial sequence
<220>
<221> sources
<223 >/Note = "description of Artificial sequence-synthetic
Oligonucleotides "
<400> 80
ccuuuauuua acccauuaau a 21
<210> 81
<211> 23
<212> RNA
<213> Artificial sequence
<220>
<221> sources
<223 >/Note = "description of Artificial sequence-synthetic
Oligonucleotides "
<400> 81
uauuaauggg uuaaauaaag gug 23
<210> 82
<211> 21
<212> RNA
<213> Artificial sequence
<220>
<221> sources
<223 >/Note = "description of Artificial sequence-synthetic
Oligonucleotides "
<400> 82
aggaagcaaa cagauuaagu a 21
<210> 83
<211> 23
<212> RNA
<213> Artificial sequence
<220>
<221> sources
<223 >/Note = "description of Artificial sequence-synthetic
Oligonucleotides "
<400> 83
uacuuaaucu guuugcuucc uca 23
<210> 84
<211> 21
<212> RNA
<213> Artificial sequence
<220>
<221> sources
<223 >/Note = "description of Artificial sequence-synthetic
Oligonucleotides "
<400> 84
caggcauuga aucuacagau a 21
<210> 85
<211> 23
<212> RNA
<213> Artificial sequence
<220>
<221> sources
<223 >/Note = "description of Artificial sequence-synthetic
Oligonucleotides "
<400> 85
uaucuguaga uucaaugccu ggc 23
<210> 86
<211> 21
<212> RNA
<213> Artificial sequence
<220>
<221> sources
<223 >/Note = "description of Artificial sequence-synthetic
Oligonucleotides "
<400> 86
ugauucaaaa uucaaaagau a 21
<210> 87
<211> 23
<212> RNA
<213> Artificial sequence
<220>
<221> sources
<223 >/Note = "description of Artificial sequence-synthetic
Oligonucleotides "
<400> 87
uaucuuuuga auuuugaauc aug 23
<210> 88
<211> 21
<212> RNA
<213> Artificial sequence
<220>
<221> sources
<223 >/Note = "description of Artificial sequence-synthetic
Oligonucleotides "
<400> 88
ucuaaagaua gucuacauuu a 21
<210> 89
<211> 23
<212> RNA
<213> Artificial sequence
<220>
<221> sources
<223 >/Note = "description of Artificial sequence-synthetic
Oligonucleotides "
<400> 89
uaaauguaga cuaucuuuag aag 23
<210> 90
<211> 21
<212> RNA
<213> Artificial sequence
<220>
<221> sources
<223 >/Note = "description of Artificial sequence-synthetic
Oligonucleotides "
<400> 90
ggaaauguau guuaaaagca a 21
<210> 91
<211> 23
<212> RNA
<213> Artificial sequence
<220>
<221> sources
<223 >/Note = "description of Artificial sequence-synthetic
Oligonucleotides "
<400> 91
uugcuuuuaa cauacauuuc caa 23
<210> 92
<211> 21
<212> RNA
<213> Artificial sequence
<220>
<221> sources
<223 >/Note = "description of Artificial sequence-synthetic
Oligonucleotides "
<400> 92
uguuuucugc uuucugucaa a 21
<210> 93
<211> 23
<212> RNA
<213> Artificial sequence
<220>
<221> sources
<223 >/Note = "description of Artificial sequence-synthetic
Oligonucleotides "
<400> 93
uuugacagaa agcagaaaac aaa 23
<210> 94
<211> 21
<212> RNA
<213> Artificial sequence
<220>
<221> sources
<223 >/Note = "description of Artificial sequence-synthetic
Oligonucleotides "
<400> 94
uuucugucaa guauaaacuu a 21
<210> 95
<211> 23
<212> RNA
<213> Artificial sequence
<220>
<221> sources
<223 >/Note = "description of Artificial sequence-synthetic
Oligonucleotides "
<400> 95
uaaguuuaua cuugacagaa agc 23
<210> 96
<211> 21
<212> RNA
<213> Artificial sequence
<220>
<221> sources
<223 >/Note = "description of Artificial sequence-synthetic
Oligonucleotides "
<400> 96
uucugucaag uauaaacuuc a 21
<210> 97
<211> 23
<212> RNA
<213> Artificial sequence
<220>
<221> sources
<223 >/Note = "description of Artificial sequence-synthetic
Oligonucleotides "
<400> 97
ugaaguuuau acuugacaga aag 23
<210> 98
<211> 21
<212> RNA
<213> Artificial sequence
<220>
<221> sources
<223 >/Note = "description of Artificial sequence-synthetic
Oligonucleotides "
<400> 98
guacuugcaa aaucacauuu u 21
<210> 99
<211> 23
<212> RNA
<213> Artificial sequence
<220>
<221> sources
<223 >/Note = "description of Artificial sequence-synthetic
Oligonucleotides "
<400> 99
aaaaugugau uuugcaagua cag 23
<210> 100
<211> 21
<212> RNA
<213> Artificial sequence
<220>
<221> sources
<223 >/Note = "description of Artificial sequence-synthetic
Oligonucleotides "
<400> 100
uucuuugugu gaauuacagg a 21
<210> 101
<211> 23
<212> RNA
<213> Artificial sequence
<220>
<221> sources
<223 >/Note = "description of Artificial sequence-synthetic
Oligonucleotides "
<400> 101
uccuguaauu cacacaaaga aca 23
<210> 102
<211> 21
<212> RNA
<213> Artificial sequence
<220>
<221> sources
<223 >/Note = "description of Artificial sequence-synthetic
Oligonucleotides "
<400> 102
ugugguguug gauuuguaag a 21
<210> 103
<211> 23
<212> RNA
<213> Artificial sequence
<220>
<221> sources
<223 >/Note = "description of Artificial sequence-synthetic
Oligonucleotides "
<400> 103
ucuuacaaau ccaacaccac aag 23
<210> 104
<211> 21
<212> RNA
<213> Artificial sequence
<220>
<221> sources
<223 >/Note = "description of Artificial sequence-synthetic
Oligonucleotides "
<400> 104
ucccuuuugu cucauguuuc a 21
<210> 105
<211> 23
<212> RNA
<213> Artificial sequence
<220>
<221> sources
<223 >/Note = "description of Artificial sequence-synthetic
Oligonucleotides "
<400> 105
ugaaacauga gacaaaaggg aua 23
<210> 106
<211> 21
<212> RNA
<213> Artificial sequence
<220>
<221> sources
<223 >/Note = "description of Artificial sequence-synthetic
Oligonucleotides "
<400> 106
cugcauuuga uugucacuuu u 21
<210> 107
<211> 23
<212> RNA
<213> Artificial sequence
<220>
<221> sources
<223 >/Note = "description of Artificial sequence-synthetic
Oligonucleotides "
<400> 107
aaaagugaca aucaaaugca gaa 23
<210> 108
<211> 21
<212> RNA
<213> Artificial sequence
<220>
<221> sources
<223 >/Note = "description of Artificial sequence-synthetic
Oligonucleotides "
<400> 108
uaccugcauu aauuuaauaa a 21
<210> 109
<211> 23
<212> RNA
<213> Artificial sequence
<220>
<221> sources
<223 >/Note = "description of Artificial sequence-synthetic
Oligonucleotides "
<400> 109
uuuauuaaau uaaugcaggu aca 23
<210> 110
<211> 21
<212> RNA
<213> Artificial sequence
<220>
<221> sources
<223 >/Note = "description of Artificial sequence-synthetic
Oligonucleotides "
<400> 110
uaccugcauu aauuuaauaa a 21
<210> 111
<211> 23
<212> RNA
<213> Artificial sequence
<220>
<221> sources
<223 >/Note = "description of Artificial sequence-synthetic
Oligonucleotides "
<400> 111
uuuauuaaau uaaugcaggu aca 23
<210> 112
<211> 21
<212> RNA
<213> Artificial sequence
<220>
<221> sources
<223 >/Note = "description of Artificial sequence-synthetic
Oligonucleotides "
<400> 112
uaccugcauu aauuuaauaa a 21
<210> 113
<211> 23
<212> RNA
<213> Artificial sequence
<220>
<221> sources
<223 >/Note = "description of Artificial sequence-synthetic
Oligonucleotides "
<400> 113
uuuauuaaau uaaugcaggu aca 23
<210> 114
<211> 21
<212> RNA
<213> Artificial sequence
<220>
<221> sources
<223 >/Note = "description of Artificial sequence-synthetic
Oligonucleotides "
<400> 114
accugcauua auuuaauaaa a 21
<210> 115
<211> 23
<212> RNA
<213> Artificial sequence
<220>
<221> sources
<223 >/Note = "description of Artificial sequence-synthetic
Oligonucleotides "
<400> 115
uuuuauuaaa uuaaugcagg uac 23
<210> 116
<211> 21
<212> RNA
<213> Artificial sequence
<220>
<221> sources
<223 >/Note = "description of Artificial sequence-synthetic
Oligonucleotides "
<400> 116
accugcauua auuuaauaaa a 21
<210> 117
<211> 23
<212> RNA
<213> Artificial sequence
<220>
<221> sources
<223 >/Note = "description of Artificial sequence-synthetic
Oligonucleotides "
<400> 117
uuuuauuaaa uuaaugcagg uac 23
<210> 118
<211> 21
<212> RNA
<213> Artificial sequence
<220>
<221> sources
<223 >/Note = "description of Artificial sequence-synthetic
Oligonucleotides "
<400> 118
accugcauua auuuaauaaa a 21
<210> 119
<211> 23
<212> RNA
<213> Artificial sequence
<220>
<221> sources
<223 >/Note = "description of Artificial sequence-synthetic
Oligonucleotides "
<400> 119
uuuuauuaaa uuaaugcagg uac 23
<210> 120
<211> 22
<212> RNA
<213> Artificial sequence
<220>
<221> sources
<223 >/Note = "description of Artificial sequence-synthetic
Oligonucleotides "
<220>
<221> modified base
<222> (1)..(1)
<223> reverse abasic nucleotides
<400> 120
ngaagcuuuu caaugugacc aa 22
<210> 121
<211> 23
<212> RNA
<213> Artificial sequence
<220>
<221> sources
<223 >/Note = "description of Artificial sequence-synthetic
Oligonucleotides "
<400> 121
uuggucacau ugaaaagcuu cuc 23
<210> 122
<211> 21
<212> RNA
<213> Artificial sequence
<220>
<221> sources
<223 >/Note = "description of Artificial sequence-synthetic
Oligonucleotides "
<400> 122
gaagcuuuuc aaugugacca a 21
<210> 123
<211> 23
<212> RNA
<213> Artificial sequence
<220>
<221> sources
<223 >/Note = "description of Artificial sequence-synthetic
Oligonucleotides "
<400> 123
uuggucacau ugaaaagcuu cuc 23
<210> 124
<211> 21
<212> RNA
<213> Artificial sequence
<220>
<221> sources
<223 >/Note = "description of Artificial sequence-synthetic
Oligonucleotides "
<400> 124
gaagcuuuuc aaugugacca a 21
<210> 125
<211> 23
<212> RNA
<213> Artificial sequence
<220>
<221> sources
<223 >/Note = "description of Artificial sequence-synthetic
Oligonucleotides "
<400> 125
uuggucacau ugaaaagcuu cuc 23
<210> 126
<211> 22
<212> RNA
<213> Artificial sequence
<220>
<221> sources
<223 >/Note = "description of Artificial sequence-synthetic
Oligonucleotides "
<220>
<221> modified base
<222> (1)..(1)
<223> reverse abasic nucleotides
<400> 126
nagcuuuuca augugaccag ca 22
<210> 127
<211> 23
<212> RNA
<213> Artificial sequence
<220>
<221> sources
<223 >/Note = "description of Artificial sequence-synthetic
Oligonucleotides "
<400> 127
ugcuggucac auugaaaagc uuc 23
<210> 128
<211> 21
<212> RNA
<213> Artificial sequence
<220>
<221> sources
<223 >/Note = "description of Artificial sequence-synthetic
Oligonucleotides "
<400> 128
agcuuuucaa ugugaccagc a 21
<210> 129
<211> 23
<212> RNA
<213> Artificial sequence
<220>
<221> sources
<223 >/Note = "description of Artificial sequence-synthetic
Oligonucleotides "
<400> 129
ugcuggucac auugaaaagc uuc 23
<210> 130
<211> 21
<212> RNA
<213> Artificial sequence
<220>
<221> sources
<223 >/Note = "description of Artificial sequence-synthetic
Oligonucleotides "
<400> 130
agcuuuucaa ugugaccagc a 21
<210> 131
<211> 23
<212> RNA
<213> Artificial sequence
<220>
<221> sources
<223 >/Note = "description of Artificial sequence-synthetic
Oligonucleotides "
<400> 131
ugcuggucac auugaaaagc uuc 23
<210> 132
<211> 22
<212> RNA
<213> Artificial sequence
<220>
<221> sources
<223 >/Note = "description of Artificial sequence-synthetic
Oligonucleotides "
<220>
<221> modified base
<222> (1)..(1)
<223> reverse abasic nucleotides
<400> 132
ngcuuuucaa ugugaccagc aa 22
<210> 133
<211> 23
<212> RNA
<213> Artificial sequence
<220>
<221> sources
<223 >/Note = "description of Artificial sequence-synthetic
Oligonucleotides "
<400> 133
uugcugguca cauugaaaag cuu 23
<210> 134
<211> 21
<212> RNA
<213> Artificial sequence
<220>
<221> sources
<223 >/Note = "description of Artificial sequence-synthetic
Oligonucleotides "
<400> 134
gcuuuucaau gugaccagca a 21
<210> 135
<211> 23
<212> RNA
<213> Artificial sequence
<220>
<221> sources
<223 >/Note = "description of Artificial sequence-synthetic
Oligonucleotides "
<400> 135
uugcugguca cauugaaaag cuu 23
<210> 136
<211> 21
<212> RNA
<213> Artificial sequence
<220>
<221> sources
<223 >/Note = "description of Artificial sequence-synthetic
Oligonucleotides "
<400> 136
gcuuuucaau gugaccagca a 21
<210> 137
<211> 23
<212> RNA
<213> Artificial sequence
<220>
<221> sources
<223 >/Note = "description of Artificial sequence-synthetic
Oligonucleotides "
<400> 137
uugcugguca cauugaaaag cuu 23
<210> 138
<211> 21
<212> RNA
<213> Artificial sequence
<220>
<221> sources
<223 >/Note = "description of Artificial sequence-synthetic
Oligonucleotides "
<400> 138
cacacugaga aucaacacaa a 21
<210> 139
<211> 23
<212> RNA
<213> Artificial sequence
<220>
<221> sources
<223 >/Note = "description of Artificial sequence-synthetic
Oligonucleotides "
<400> 139
uuuguguuga uucucagugu gca 23
<210> 140
<211> 21
<212> RNA
<213> Artificial sequence
<220>
<221> sources
<223 >/Note = "description of Artificial sequence-synthetic
Oligonucleotides "
<400> 140
ccaaaugaaa ggacucacuu a 21
<210> 141
<211> 23
<212> RNA
<213> Artificial sequence
<220>
<221> sources
<223 >/Note = "description of Artificial sequence-synthetic
Oligonucleotides "
<400> 141
uaagugaguc cuuucauuug gag 23
<210> 142
<211> 22
<212> RNA
<213> Artificial sequence
<220>
<221> sources
<223 >/Note = "description of Artificial sequence-synthetic
Oligonucleotides "
<220>
<221> modified base
<222> (1)..(1)
<223> reverse abasic nucleotides
<400> 142
nuacacauuu ggaggagacg ua 22
<210> 143
<211> 23
<212> RNA
<213> Artificial sequence
<220>
<221> sources
<223 >/Note = "description of Artificial sequence-synthetic
Oligonucleotides "
<400> 143
uacgucuccu ccaaaugugu auc 23
<210> 144
<211> 21
<212> RNA
<213> Artificial sequence
<220>
<221> sources
<223 >/Note = "description of Artificial sequence-synthetic
Oligonucleotides "
<400> 144
uacacauuug gaggagacgu a 21
<210> 145
<211> 23
<212> RNA
<213> Artificial sequence
<220>
<221> sources
<223 >/Note = "description of Artificial sequence-synthetic
Oligonucleotides "
<400> 145
uacgucuccu ccaaaugugu auc 23
<210> 146
<211> 21
<212> RNA
<213> Artificial sequence
<220>
<221> sources
<223 >/Note = "description of Artificial sequence-synthetic
Oligonucleotides "
<400> 146
uacacauuug gaggagacgu a 21
<210> 147
<211> 23
<212> RNA
<213> Artificial sequence
<220>
<221> sources
<223 >/Note = "description of Artificial sequence-synthetic
Oligonucleotides "
<400> 147
uacgucuccu ccaaaugugu auc 23
<210> 148
<211> 22
<212> RNA
<213> Artificial sequence
<220>
<221> sources
<223 >/Note = "description of Artificial sequence-synthetic
Oligonucleotides "
<220>
<221> modified base
<222> (1)..(1)
<223> reverse abasic nucleotides
<400> 148
nacacauuug gaggagacgu aa 22
<210> 149
<211> 23
<212> RNA
<213> Artificial sequence
<220>
<221> sources
<223 >/Note = "description of Artificial sequence-synthetic
Oligonucleotides "
<400> 149
uuacgucucc uccaaaugug uau 23
<210> 150
<211> 21
<212> RNA
<213> Artificial sequence
<220>
<221> sources
<223 >/Note = "description of Artificial sequence-synthetic
Oligonucleotides "
<400> 150
acacauuugg aggagacgua a 21
<210> 151
<211> 23
<212> RNA
<213> Artificial sequence
<220>
<221> sources
<223 >/Note = "description of Artificial sequence-synthetic
Oligonucleotides "
<400> 151
uuacgucucc uccaaaugug uau 23
<210> 152
<211> 21
<212> RNA
<213> Artificial sequence
<220>
<221> sources
<223 >/Note = "description of Artificial sequence-synthetic
Oligonucleotides "
<400> 152
acacauuugg aggagacgua a 21
<210> 153
<211> 23
<212> RNA
<213> Artificial sequence
<220>
<221> sources
<223 >/Note = "description of Artificial sequence-synthetic
Oligonucleotides "
<400> 153
uuacgucucc uccaaaugug uau 23
<210> 154
<211> 22
<212> RNA
<213> Artificial sequence
<220>
<221> sources
<223 >/Note = "description of Artificial sequence-synthetic
Oligonucleotides "
<220>
<221> modified base
<222> (1)..(1)
<223> reverse abasic nucleotides
<400> 154
ncacauuugg aggagacgua au 22
<210> 155
<211> 23
<212> RNA
<213> Artificial sequence
<220>
<221> sources
<223 >/Note = "description of Artificial sequence-synthetic
Oligonucleotides "
<400> 155
auuacgucuc cuccaaaugu gua 23
<210> 156
<211> 21
<212> RNA
<213> Artificial sequence
<220>
<221> sources
<223 >/Note = "description of Artificial sequence-synthetic
Oligonucleotides "
<400> 156
cacauuugga ggagacguaa u 21
<210> 157
<211> 23
<212> RNA
<213> Artificial sequence
<220>
<221> sources
<223 >/Note = "description of Artificial sequence-synthetic
Oligonucleotides "
<400> 157
auuacgucuc cuccaaaugu gua 23
<210> 158
<211> 21
<212> RNA
<213> Artificial sequence
<220>
<221> sources
<223 >/Note = "description of Artificial sequence-synthetic
Oligonucleotides "
<400> 158
cacauuugga ggagacguaa u 21
<210> 159
<211> 23
<212> RNA
<213> Artificial sequence
<220>
<221> sources
<223 >/Note = "description of Artificial sequence-synthetic
Oligonucleotides "
<400> 159
auuacgucuc cuccaaaugu gua 23
<210> 160
<211> 21
<212> RNA
<213> Artificial sequence
<220>
<221> sources
<223 >/Note = "description of Artificial sequence-synthetic
Oligonucleotides "
<400> 160
gagaccuuga uacuuucaaa u 21
<210> 161
<211> 23
<212> RNA
<213> Artificial sequence
<220>
<221> sources
<223 >/Note = "description of Artificial sequence-synthetic
Oligonucleotides "
<400> 161
auuugaaagu aucaaggucu ccc 23
<210> 162
<211> 21
<212> RNA
<213> Artificial sequence
<220>
<221> sources
<223 >/Note = "description of Artificial sequence-synthetic
Oligonucleotides "
<400> 162
uaauuugagg gucaguuccu a 21
<210> 163
<211> 23
<212> RNA
<213> Artificial sequence
<220>
<221> sources
<223 >/Note = "description of Artificial sequence-synthetic
Oligonucleotides "
<400> 163
uaggaacuga cccucaaauu agg 23
<210> 164
<211> 22
<212> RNA
<213> Artificial sequence
<220>
<221> sources
<223 >/Note = "description of Artificial sequence-synthetic
Oligonucleotides "
<220>
<221> modified base
<222> (1)..(1)
<223> reverse abasic nucleotides
<400> 164
nuuccuauuu auuuugaguc ua 22
<210> 165
<211> 23
<212> RNA
<213> Artificial sequence
<220>
<221> sources
<223 >/Note = "description of Artificial sequence-synthetic
Oligonucleotides "
<400> 165
uagacucaaa auaaauagga aaa 23
<210> 166
<211> 21
<212> RNA
<213> Artificial sequence
<220>
<221> sources
<223 >/Note = "description of Artificial sequence-synthetic
Oligonucleotides "
<400> 166
uuccuauuua uuuugagucu a 21
<210> 167
<211> 23
<212> RNA
<213> Artificial sequence
<220>
<221> sources
<223 >/Note = "description of Artificial sequence-synthetic
Oligonucleotides "
<400> 167
uagacucaaa auaaauagga aaa 23
<210> 168
<211> 21
<212> RNA
<213> Artificial sequence
<220>
<221> sources
<223 >/Note = "description of Artificial sequence-synthetic
Oligonucleotides "
<400> 168
uuccuauuua uuuugagucu a 21
<210> 169
<211> 23
<212> RNA
<213> Artificial sequence
<220>
<221> sources
<223 >/Note = "description of Artificial sequence-synthetic
Oligonucleotides "
<400> 169
uagacucaaa auaaauagga aaa 23
<210> 170
<211> 21
<212> RNA
<213> Artificial sequence
<220>
<221> sources
<223 >/Note = "description of Artificial sequence-synthetic
Oligonucleotides "
<400> 170
uccuauuuau uuugagucug u 21
<210> 171
<211> 23
<212> RNA
<213> Artificial sequence
<220>
<221> sources
<223 >/Note = "description of Artificial sequence-synthetic
Oligonucleotides "
<400> 171
acagacucaa aauaaauagg aaa 23
<210> 172
<211> 21
<212> RNA
<213> Artificial sequence
<220>
<221> sources
<223 >/Note = "description of Artificial sequence-synthetic
Oligonucleotides "
<400> 172
uccuauuuau uuugagucug u 21
<210> 173
<211> 23
<212> RNA
<213> Artificial sequence
<220>
<221> sources
<223 >/Note = "description of Artificial sequence-synthetic
Oligonucleotides "
<400> 173
acagacucaa aauaaauagg aaa 23
<210> 174
<211> 21
<212> RNA
<213> Artificial sequence
<220>
<221> sources
<223 >/Note = "description of Artificial sequence-synthetic
Oligonucleotides "
<400> 174
uugaagauau auuguaguag a 21
<210> 175
<211> 23
<212> RNA
<213> Artificial sequence
<220>
<221> sources
<223 >/Note = "description of Artificial sequence-synthetic
Oligonucleotides "
<400> 175
ucuacuacaa uauaucuuca aaa 23
<210> 176
<211> 21
<212> RNA
<213> Artificial sequence
<220>
<221> sources
<223 >/Note = "description of Artificial sequence-synthetic
Oligonucleotides "
<400> 176
auuguaguag auguuacaau u 21
<210> 177
<211> 23
<212> RNA
<213> Artificial sequence
<220>
<221> sources
<223 >/Note = "description of Artificial sequence-synthetic
Oligonucleotides "
<400> 177
aauuguaaca ucuacuacaa uau 23
<210> 178
<211> 21
<212> RNA
<213> Artificial sequence
<220>
<221> sources
<223 >/Note = "description of Artificial sequence-synthetic
Oligonucleotides "
<400> 178
guauuuguaa ggugcuuggu a 21
<210> 179
<211> 23
<212> RNA
<213> Artificial sequence
<220>
<221> sources
<223 >/Note = "description of Artificial sequence-synthetic
Oligonucleotides "
<400> 179
uaccaagcac cuuacaaaua cuc 23
<210> 180
<211> 21
<212> RNA
<213> Artificial sequence
<220>
<221> sources
<223 >/Note = "description of Artificial sequence-synthetic
Oligonucleotides "
<400> 180
aagcauaaag aucaaaccgu a 21
<210> 181
<211> 23
<212> RNA
<213> Artificial sequence
<220>
<221> sources
<223 >/Note = "description of Artificial sequence-synthetic
Oligonucleotides "
<400> 181
aacgguuuga ucuuuaugcu uca 23
<210> 182
<211> 21
<212> RNA
<213> Artificial sequence
<220>
<221> sources
<223 >/Note = "description of Artificial sequence-synthetic
Oligonucleotides "
<400> 182
ccuuuauuua acccauuaau a 21
<210> 183
<211> 23
<212> RNA
<213> Artificial sequence
<220>
<221> sources
<223 >/Note = "description of Artificial sequence-synthetic
Oligonucleotides "
<400> 183
uauuaauggg uuaaauaaag gug 23
<210> 184
<211> 21
<212> RNA
<213> Artificial sequence
<220>
<221> sources
<223 >/Note = "description of Artificial sequence-synthetic
Oligonucleotides "
<400> 184
aggaagcaaa cagauuaagu a 21
<210> 185
<211> 23
<212> RNA
<213> Artificial sequence
<220>
<221> sources
<223 >/Note = "description of Artificial sequence-synthetic
Oligonucleotides "
<400> 185
uacuuaaucu guuugcuucc uca 23
<210> 186
<211> 21
<212> RNA
<213> Artificial sequence
<220>
<221> sources
<223 >/Note = "description of Artificial sequence-synthetic
Oligonucleotides "
<400> 186
caggcauuga aucuacagau a 21
<210> 187
<211> 23
<212> RNA
<213> Artificial sequence
<220>
<221> sources
<223 >/Note = "description of Artificial sequence-synthetic
Oligonucleotides "
<400> 187
uaucuguaga uucaaugccu ggc 23
<210> 188
<211> 21
<212> RNA
<213> Artificial sequence
<220>
<221> sources
<223 >/Note = "description of Artificial sequence-synthetic
Oligonucleotides "
<400> 188
ugauucaaaa uucaaaagau a 21
<210> 189
<211> 23
<212> RNA
<213> Artificial sequence
<220>
<221> sources
<223 >/Note = "description of Artificial sequence-synthetic
Oligonucleotides "
<400> 189
uaucuuuuga auuuugaauc aug 23
<210> 190
<211> 21
<212> RNA
<213> Artificial sequence
<220>
<221> sources
<223 >/Note = "description of Artificial sequence-synthetic
Oligonucleotides "
<400> 190
ucuaaagaua gucuacauuu a 21
<210> 191
<211> 23
<212> RNA
<213> Artificial sequence
<220>
<221> sources
<223 >/Note = "description of Artificial sequence-synthetic
Oligonucleotides "
<400> 191
uaaauguaga cuaucuuuag aag 23
<210> 192
<211> 21
<212> RNA
<213> Artificial sequence
<220>
<221> sources
<223 >/Note = "description of Artificial sequence-synthetic
Oligonucleotides "
<400> 192
ggaaauguau guuaaaagca a 21
<210> 193
<211> 23
<212> RNA
<213> Artificial sequence
<220>
<221> sources
<223 >/Note = "description of Artificial sequence-synthetic
Oligonucleotides "
<400> 193
uugcuuuuaa cauacauuuc caa 23
<210> 194
<211> 21
<212> RNA
<213> Artificial sequence
<220>
<221> sources
<223 >/Note = "description of Artificial sequence-synthetic
Oligonucleotides "
<400> 194
uguuuucugc uuucugucaa a 21
<210> 195
<211> 23
<212> RNA
<213> Artificial sequence
<220>
<221> sources
<223 >/Note = "description of Artificial sequence-synthetic
Oligonucleotides "
<400> 195
uuugacagaa agcagaaaac aaa 23
<210> 196
<211> 21
<212> RNA
<213> Artificial sequence
<220>
<221> sources
<223 >/Note = "description of Artificial sequence-synthetic
Oligonucleotides "
<400> 196
uuucugucaa guauaaacuu a 21
<210> 197
<211> 23
<212> RNA
<213> Artificial sequence
<220>
<221> sources
<223 >/Note = "description of Artificial sequence-synthetic
Oligonucleotides "
<400> 197
uaaguuuaua cuugacagaa agc 23
<210> 198
<211> 21
<212> RNA
<213> Artificial sequence
<220>
<221> sources
<223 >/Note = "description of Artificial sequence-synthetic
Oligonucleotides "
<400> 198
uucugucaag uauaaacuuc a 21
<210> 199
<211> 23
<212> RNA
<213> Artificial sequence
<220>
<221> sources
<223 >/Note = "description of Artificial sequence-synthetic
Oligonucleotides "
<400> 199
ugaaguuuau acuugacaga aag 23
<210> 200
<211> 21
<212> RNA
<213> Artificial sequence
<220>
<221> sources
<223 >/Note = "description of Artificial sequence-synthetic
Oligonucleotides "
<400> 200
guacuugcaa aaucacauuu u 21
<210> 201
<211> 23
<212> RNA
<213> Artificial sequence
<220>
<221> sources
<223 >/Note = "description of Artificial sequence-synthetic
Oligonucleotides "
<400> 201
aaaaugugau uuugcaagua cag 23
<210> 202
<211> 21
<212> RNA
<213> Artificial sequence
<220>
<221> sources
<223 >/Note = "description of Artificial sequence-synthetic
Oligonucleotides "
<400> 202
uucuuugugu gaauuacagg a 21
<210> 203
<211> 23
<212> RNA
<213> Artificial sequence
<220>
<221> sources
<223 >/Note = "description of Artificial sequence-synthetic
Oligonucleotides "
<400> 203
uccuguaauu cacacaaaga aca 23
<210> 204
<211> 21
<212> RNA
<213> Artificial sequence
<220>
<221> sources
<223 >/Note = "description of Artificial sequence-synthetic
Oligonucleotides "
<400> 204
ugugguguug gauuuguaag a 21
<210> 205
<211> 23
<212> RNA
<213> Artificial sequence
<220>
<221> sources
<223 >/Note = "description of Artificial sequence-synthetic
Oligonucleotides "
<400> 205
ucuuacaaau ccaacaccac aag 23
<210> 206
<211> 21
<212> RNA
<213> Artificial sequence
<220>
<221> sources
<223 >/Note = "description of Artificial sequence-synthetic
Oligonucleotides "
<400> 206
ucccuuuugu cucauguuuc a 21
<210> 207
<211> 23
<212> RNA
<213> Artificial sequence
<220>
<221> sources
<223 >/Note = "description of Artificial sequence-synthetic
Oligonucleotides "
<400> 207
ugaaacauga gacaaaaggg aua 23
<210> 208
<211> 21
<212> RNA
<213> Artificial sequence
<220>
<221> sources
<223 >/Note = "description of Artificial sequence-synthetic
Oligonucleotides "
<400> 208
cugcauuuga uugucacuuu u 21
<210> 209
<211> 23
<212> RNA
<213> Artificial sequence
<220>
<221> sources
<223 >/Note = "description of Artificial sequence-synthetic
Oligonucleotides "
<400> 209
aaaagugaca aucaaaugca gaa 23
<210> 210
<211> 22
<212> RNA
<213> Artificial sequence
<220>
<221> sources
<223 >/Note = "description of Artificial sequence-synthetic
Oligonucleotides "
<220>
<221> modified base
<222> (1)..(1)
<223> reverse abasic nucleotides
<400> 210
nuaccugcau uaauuuaaua aa 22
<210> 211
<211> 23
<212> RNA
<213> Artificial sequence
<220>
<221> sources
<223 >/Note = "description of Artificial sequence-synthetic
Oligonucleotides "
<400> 211
uuuauuaaau uaaugcaggu aca 23
<210> 212
<211> 21
<212> RNA
<213> Artificial sequence
<220>
<221> sources
<223 >/Note = "description of Artificial sequence-synthetic
Oligonucleotides "
<400> 212
uaccugcauu aauuuaauaa a 21
<210> 213
<211> 23
<212> RNA
<213> Artificial sequence
<220>
<221> sources
<223 >/Note = "description of Artificial sequence-synthetic
Oligonucleotides "
<400> 213
uuuauuaaau uaaugcaggu aca 23
<210> 214
<211> 21
<212> RNA
<213> Artificial sequence
<220>
<221> sources
<223 >/Note = "description of Artificial sequence-synthetic
Oligonucleotides "
<400> 214
uaccugcauu aauuuaauaa a 21
<210> 215
<211> 23
<212> RNA
<213> Artificial sequence
<220>
<221> sources
<223 >/Note = "description of Artificial sequence-synthetic
Oligonucleotides "
<400> 215
uuuauuaaau uaaugcaggu aca 23
<210> 216
<211> 22
<212> RNA
<213> Artificial sequence
<220>
<221> sources
<223 >/Note = "description of Artificial sequence-synthetic
Oligonucleotides "
<220>
<221> modified base
<222> (1)..(1)
<223> reverse abasic nucleotides
<400> 216
naccugcauu aauuuaauaa aa 22
<210> 217
<211> 23
<212> RNA
<213> Artificial sequence
<220>
<221> sources
<223 >/Note = "description of Artificial sequence-synthetic
Oligonucleotides "
<400> 217
uuuuauuaaa uuaaugcagg uac 23
<210> 218
<211> 21
<212> RNA
<213> Artificial sequence
<220>
<221> sources
<223 >/Note = "description of Artificial sequence-synthetic
Oligonucleotides "
<400> 218
accugcauua auuuaauaaa a 21
<210> 219
<211> 23
<212> RNA
<213> Artificial sequence
<220>
<221> sources
<223 >/Note = "description of Artificial sequence-synthetic
Oligonucleotides "
<400> 219
uuuuauuaaa uuaaugcagg uac 23
<210> 220
<211> 21
<212> RNA
<213> Artificial sequence
<220>
<221> sources
<223 >/Note = "description of Artificial sequence-synthetic
Oligonucleotides "
<400> 220
accugcauua auuuaauaaa a 21
<210> 221
<211> 23
<212> RNA
<213> Artificial sequence
<220>
<221> sources
<223 >/Note = "description of Artificial sequence-synthetic
Oligonucleotides "
<400> 221
uuuuauuaaa uuaaugcagg uac 23