Movatterモバイル変換


[0]ホーム

URL:


CN108365615B - Self-adaptive wide area damping controller and control method - Google Patents

Self-adaptive wide area damping controller and control method
Download PDF

Info

Publication number
CN108365615B
CN108365615BCN201810126049.XACN201810126049ACN108365615BCN 108365615 BCN108365615 BCN 108365615BCN 201810126049 ACN201810126049 ACN 201810126049ACN 108365615 BCN108365615 BCN 108365615B
Authority
CN
China
Prior art keywords
signal
adaptive
phase
wide
time delay
Prior art date
Legal status (The legal status is an assumption and is not a legal conclusion. Google has not performed a legal analysis and makes no representation as to the accuracy of the status listed.)
Active
Application number
CN201810126049.XA
Other languages
Chinese (zh)
Other versions
CN108365615A (en
Inventor
李大虎
孙建波
姚伟
曾令康
严才
文劲宇
刘佳
Current Assignee (The listed assignees may be inaccurate. Google has not performed a legal analysis and makes no representation or warranty as to the accuracy of the list.)
Huazhong University of Science and Technology
State Grid Hubei Electric Power Co Ltd
State Grid Corp of China SGCC
Original Assignee
Huazhong University of Science and Technology
State Grid Hubei Electric Power Co Ltd
State Grid Corp of China SGCC
Priority date (The priority date is an assumption and is not a legal conclusion. Google has not performed a legal analysis and makes no representation as to the accuracy of the date listed.)
Filing date
Publication date
Application filed by Huazhong University of Science and Technology, State Grid Hubei Electric Power Co Ltd, State Grid Corp of China SGCCfiledCriticalHuazhong University of Science and Technology
Priority to CN201810126049.XApriorityCriticalpatent/CN108365615B/en
Publication of CN108365615ApublicationCriticalpatent/CN108365615A/en
Application grantedgrantedCritical
Publication of CN108365615BpublicationCriticalpatent/CN108365615B/en
Activelegal-statusCriticalCurrent
Anticipated expirationlegal-statusCritical

Links

Images

Classifications

Landscapes

Abstract

Translated fromChinese

本发明公开了一种自适应广域阻尼控制器及控制方法,控制器包括:自适应时滞补偿器、移相单元以及GrHDP单元;自适应时滞补偿器用于对广域测量信号进行自适应的时滞补偿,得到信号x(t);移相单元用于对信号x(t)进行放大和移相,得到并行移相信号X(t);GrHDP单元基于自适应动态规划根据并行移相信号X(t)得到与电力系统当前运行工况相适应的控制信号u(t);控制方法包括:(1)对广域测量信号进行自适应时滞补偿;(2)通过放大和移相得到并行移相信号;(3)利用GrHDP神经网络得到与电力系统当前运行工况相适应的控制信号u(t)。本发明在不同运行工况和不同通信时滞下,均能有效抑制系统的低频振荡,改善系统的暂态稳定性。

Figure 201810126049

The invention discloses an adaptive wide-area damping controller and a control method. The controller comprises: an adaptive time delay compensator, a phase shift unit and a GrHDP unit; the adaptive time delay compensator is used for self-adapting a wide-area measurement signal The time delay compensation of , obtains the signal x(t); the phase-shifting unit is used to amplify and phase-shift the signal x(t) to obtain the parallel phase-shifted signal X(t); the GrHDP unit is based on the adaptive dynamic programming according to the parallel phase-shifting The signal X(t) obtains a control signal u(t) that is adapted to the current operating conditions of the power system; the control method includes: (1) Adaptive time delay compensation for the wide-area measurement signal; (2) Amplification and phase shifting Obtain the parallel phase-shifted signal; (3) use the GrHDP neural network to obtain the control signal u(t) adapted to the current operating condition of the power system. The invention can effectively suppress the low-frequency oscillation of the system under different operating conditions and different communication time delays, and improve the transient stability of the system.

Figure 201810126049

Description

Self-adaptive wide area damping controller and control method
Technical Field
The invention belongs to the field of flexible direct current power systems, and particularly relates to a self-adaptive wide area damping controller and a control method.
Background
The flexible direct current transmission technology (VSC-HVDC) has the advantages of flexible control, no phase commutation failure risk, independent reactive power control and the like, and is one of key technologies for new energy grid connection and power supply to a passive system. By adopting a back-to-back flexible direct current transmission technology (BTB-VSC-HVDC), the interconnection of two asynchronously-operated alternating current power grids can be realized, so that the operation controllability of the power grids is improved, and the safe and stable operation risk of the power grids is reduced. By combining with a wide-area measurement system (WAMS) technology, a wide-area damping controller (WADC) is reasonably designed for the back-to-back flexible direct-current power system, and low-frequency oscillation of the power system can be effectively inhibited.
At present, a conventional VSC-HVDC (voltage source-area damping controller, C-WADC) is designed by utilizing a linear mathematical model of a system under a certain typical operation condition, the adaptability to the operation condition of system change is poor, and an accurate mathematical model of an actual power system is difficult to obtain.
In addition, communication time lag inevitably exists in the transmission process of the wide area measurement signal, the time lag influence is not considered in the WADC design in the past, or the time lag is considered to be fixed, however, when the system is disturbed differently, the time lag can be changed; the time-varying skew may cause the performance of the WADC control to degrade and may even threaten the transient stability of the system.
Therefore, it is necessary to adopt a model-independent damping controller to perform adaptive control for different operating conditions, suppress low-frequency oscillation of the system, and provide adaptive compensation capability for communication time lag, so as to perform corresponding compensation for different communication time lags.
Disclosure of Invention
Aiming at the defects and improvement requirements of the prior art, the invention provides a self-adaptive wide area damping controller and a control method, and aims to effectively inhibit low-frequency oscillation of a system and improve the transient stability of the system under different operating conditions and different communication time lags.
To achieve the above object, according to a first aspect of the present invention, there is provided an adaptive wide area damping controller comprising: the device comprises a self-adaptive time lag compensator, a phase shift unit and a GrHDP unit;
an adaptive-delay compensator (ADC) input for receiving wide-area measurement signals
Figure BDA0001573527290000021
Adaptive skew compensator for wide area measurement signals to an electrical power system
Figure BDA0001573527290000022
Carrying out self-adaptive time lag compensation to obtain a signal x (t);
the input end of the phase shifting unit is connected to the output end of the self-adaptive time lag compensator, and the phase shifting unit is used for amplifying and phase-shifting the signal X (t) to obtain a parallel phase-shifted signal X (t);
the input end of the GrHDP unit is connected to the output end of the phase shifting unit, and the GrHDP unit is used for obtaining a control signal u (t) adaptive to the current operation condition of the power system according to the parallel phase shifting signal X (t) so as to realize the adaptive compensation of active power oscillation and reactive power oscillation of the power system, and further effectively inhibit the low-frequency oscillation of the power system.
Further, the adaptive skew compensator includes n skew compensation submodules (sub-delay compensators, SDC); the transfer function of the adaptive skew compensator is a weighted sum of the transfer functions of n skew compensation submodules, and the weight of each skew compensation submodule is combined with the wide-area measurement signal
Figure BDA0001573527290000023
The communication time lag tau is related, so that the self-adaptive time lag compensator can correspondingly compensate different communication time lags, and the communication time lag measurement signal in a wide area can be effectively eliminated
Figure BDA0001573527290000024
The lag phase introduced therein; the number n of the time lag compensation submodules is determined according to the maximum communication time lag of the system, and a trial and error method is generally adopted, and 4-8 time lags are selected.
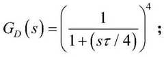
Further, the phase shift unit comprises a first amplifier, a second amplifier and a phase shifter; the first amplifier is used for amplifying the signal x (t) by k1Multiplying to obtain a first path of signal; a second amplifier for amplifying the signal x (t) by k2Multiplying to obtain an intermediate signal x' (t); the input end of the phase shifter is connected to the output end of the second amplifier, and the phase shifter is used for shifting the phase of the intermediate signal x' (t) to obtain a second path of signal; the parallel phase shift signal X (t) comprises a first path of signal and a second path of signal;
further, the mathematical expression of the phase shifter is
Figure BDA0001573527290000031
Wherein, TfThe filter constant is used for preventing the differential link from amplifying high-frequency noise to influence the control effect, and the value range of the filter constant is 0.01-0.05;
further, k is1And k2The normalization coefficient is used for ensuring that the amplitude ranges of the parallel first path of signals and the second path of signals are consistent.
Further, the GrHDP unit realizes the calculation from the parallel phase-shifting signal X (t) to the control signal u (t) based on the self-adaptive dynamic programming algorithm; the control signal u (t) includes an additional active power command value Δ Pref(t) and an additional reactive power command value DeltaQref(t); additional active power command value Δ Pref(t) for compensating for oscillations in active power, adding a reactive power command value DeltaQref(t) for compensating oscillations of the reactive power.
According to a second aspect of the present invention, there is provided a control method based on the adaptive wide-area damping controller provided by the first aspect of the present invention, comprising the steps of:
(1) for wide area measurement signal
Figure BDA0001573527290000032
Carrying out self-adaptive time lag compensation to obtain a signal x (t);
(2) amplifying and phase-shifting the signal X (t) to obtain a parallel phase-shifted signal X (t);
(3) and obtaining a control signal u (t) adaptive to the current operating environment of the power grid according to the parallel phase-shifting signal X (t) so as to realize the self-adaptive compensation of the active power oscillation and the reactive power oscillation of the power grid, thereby effectively inhibiting the low-frequency oscillation of the power system.
Further, the step (1) comprises the following steps:
(11) computing wide area measurement signals
Figure BDA0001573527290000033
Time-lag transfer function G ofd(s); and transfer function G is transformed by using second-order Pade approximationd(s) to obtain a transfer function GD(s), transfer function GDThe calculation formula of(s) is as follows:
Figure BDA0001573527290000041
wherein tau is a wide-area measurement signal
Figure BDA0001573527290000042
Communication skew of (2);
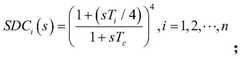
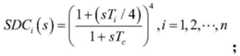
(12) calculating a transfer function and a corresponding weight of each time-lag compensation submodule; the transfer function calculation formula of each time lag compensation submodule is as follows:
Figure BDA0001573527290000043
wherein, TcIs a time constant associated with the steady state behavior of the system; taking into account the steady-state behavior of the system, TcHas a value range of [0.01s,0.1s ]];
The weight calculation formula of the time lag compensation submodule is as follows:
Figure BDA0001573527290000044
wherein, betaiIs the weight value, T, of the ith time lag compensation submoduleiThe time constant of the ith time lag compensation submodule is taken as the time constant of the ith time lag compensation submodule; t isiThe value of (a) is between the maximum communication time lag and the minimum communication time lag of the system, so as to obtain better time lag compensation effect;
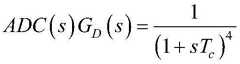
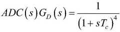
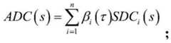
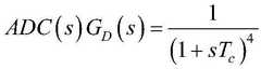
(13) calculating a transfer function ADC(s) of the self-adaptive time-lag compensator according to the transfer function of each time-lag compensation submodule and the corresponding weight; the transfer function ADC(s) of the adaptive skew compensator is calculated as follows:
Figure BDA0001573527290000045
according to the expression
Figure BDA0001573527290000046
It can be seen that after the compensation of the adaptive skew compensator, the phase lag of the wide-area measurement signal is only equal to the fixed time constant TcThe method is related and independent of the time lag tau, so that corresponding compensation can be made for different communication time lags;
(14) according to the expression
Figure BDA0001573527290000047
Obtaining a lag phase of the wide area measurement signal, which is irrelevant to the communication time lag, and compensating;
furthermore, in step (14), according to the frequency range of the system low-frequency oscillation, the lag phase in the frequency range is compensated by the lead-lag element.
Further, the step (2) comprises the following steps:
(21) amplifying the signal x (t) by k1Multiplying to obtain a first path of signal;
(22) amplifying the signal x (t) by k2Multiplying to obtain an intermediate signal x' (t);
(23) phase shifting the intermediate signal x' (t) to obtain a second path of signal;
(24) outputting a signal vector formed by the first path of signal and the second path of signal as a parallel phase-shifting signal X (t);
further, the mathematical expression of the phase shift in step (23) is
Figure BDA0001573527290000051
Wherein, TfThe filter constant is used for preventing the differential link from amplifying high-frequency noise to influence the control effect, and the value range of the filter constant is 0.01-0.05;
further, k is1And k2The normalization coefficient is used for ensuring that the amplitude ranges of the parallel first path of signals and the second path of signals are consistent.
Further, the step (3) comprises the following steps:
(31) setting parameters of a GrHDP neural network;
(32) randomly setting an initial weight of the GrHDP neural network, and performing off-line training on the GrHDP neural network by using the initial weight; taking the trained neural network weight as an initial weight for online learning;
(33) taking the parallel phase-shift signal X (t) as the input of a GrHDP neural network, taking the control signal u (t) as the output of the GrHDP neural network, and carrying out online application on the GrHDP neural network to obtain an optimized control signal; wherein the control signal u (t) includes an additional active power command value Δ Pref(t) and an additional reactive power command value DeltaQref(t) adding the active power command value Δ Pref(t) for compensating for oscillations in active power, adding a reactive power command value DeltaQref(t) for compensating oscillations of reactive power;
further, the parameters of the GrHDP neural network set in step (31) include: the number of input layer nodes, the number of hidden layer nodes, the number of output layer nodes, the learning rate, the upper limit of iteration times, the error tolerance and the weight range of the execution network; evaluating the number of nodes of an input layer, the number of nodes of a hidden layer, the number of nodes of an output layer, the learning rate, the upper limit of iteration times, the error tolerance and the weight range of the network; the number of nodes of an input layer, the number of nodes of a hidden layer, the number of nodes of an output layer, the learning rate, the upper limit of iteration times, the error tolerance and the weight range of the target network.
Generally, by the above technical solution conceived by the present invention, the following beneficial effects can be obtained:
(1) the method comprises the following steps that a wide-area measurement signal is used as an input, calculation from a parallel phase-shifting signal X (t) to a control signal u (t) is realized by a GrHDP unit based on a self-adaptive dynamic programming algorithm, and adaptive control can be performed on the current operation condition of a system without constructing a mathematical model of the system, so that the low-frequency oscillation of the system can be effectively inhibited through wide-area damping control under different operation conditions and fault disturbance of the system;
(2) the adaptive time lag compensator can effectively compensate the communication time lag of the wide area measurement signal, so that the adaptive wide area damping controller can keep good low-frequency oscillation suppression capability under different communication time lags, and the transient stability of the system is improved;
(3) the output control signal u (t) includes an additional active power command value Δ Pref(t) and an additional reactive power command value DeltaQref(t), an active control loop and a reactive control loop of the power system can be adjusted simultaneously, the damping ratio of a controlled module of the system is obviously improved, and the transient stability of the system is improved;
(4) parallel input signals are provided for the GrHDP neural network through phase shifting, so that the execution network can flexibly perform phase compensation on the input signals through weight adjustment, and the self-adaptive wide-area damping controller can better inhibit low-frequency oscillation of the system.
Drawings
FIG. 1 is a schematic diagram of an equivalent simplified model structure of a two-end alternating current system containing Yubei back-to-back flexible direct current;
FIG. 2 is a block diagram of an adaptive wide area damping controller provided in an embodiment of the present invention;
FIG. 3 is a flowchart of a control method according to an embodiment of the present invention;
fig. 4 is a transient characteristic curve diagram of the Hubei equivalent power grid, (a) is a transient characteristic curve diagram of the Hubei equivalent power grid under the situation I, and (b) is a transient characteristic curve diagram of the Hubei equivalent power grid under the situation II;
FIG. 5 is a diagram of an adaptive wide area damping controller internal variable curve under scenario II; (a) error E for implementing networkaA change curve; (b) is a variation curve of an external reinforcement learning function r (t); (c)is a variation curve of an internal reinforcement learning function S (t); (d) is the variation curve of the cost function J (t); (e) for performing weighting W from input layer to hidden layer of networka(1)A change curve; (f) for performing weights W from hidden layer to output layer of networka(2)A change curve;
FIG. 6 is a schematic diagram of the control performance of the adaptive wide-area damping controller provided in the embodiment of the present invention at a fixed time lag; (a) the fixed time lag is 100 ms; (b) the fixed time lag is 150 ms;
fig. 7 is a schematic diagram of the control performance of the adaptive controller provided in the embodiment of the present invention under a small range of random time lag;
fig. 8 is a graph illustrating weight variation of a time lag compensation submodule in the adaptive time lag compensator according to the embodiment of the present invention; (a) the random time lag range is 100 +/-20 ms; (b) the random time lag range is 100 +/-40 ms;
FIG. 9 is a schematic diagram of the control performance of the adaptive wide-area damping controller provided in the embodiment of the present invention under a large range of random time lags;
FIG. 10 is a diagram illustrating a random skew variation curve and a weight variation of a skew compensation sub-module in an adaptive skew compensator; (a) the change curve of the random time lag of the system is shown; (b) the weight value change curve of the time lag compensation submodule is obtained.
Detailed Description
In order to make the objects, technical solutions and advantages of the present invention more apparent, the present invention is described in further detail below with reference to the accompanying drawings and embodiments. It should be understood that the specific embodiments described herein are merely illustrative of the invention and are not intended to limit the invention. In addition, the technical features involved in the embodiments of the present invention described below may be combined with each other as long as they do not conflict with each other.
The two-end alternating current system containing the Yubei back-to-back flexible direct current shown in the figure 1 comprises 4 current conversion units of +/-420 kV/1250MW, and the total transmission power reaches 5000 MW; the inversion side alternating current system is an equivalent model of a power grid in Hubei province and comprises 5 equivalent generators and 4 equivalent loads; the provincial section tide of the power grid in the north of the lake and the adjacent provinces of the power grids in the south of the river, the west of the river and the south of the lake is equivalent to load, and 4 returns to the power grid in the north of the lakeThe China east power grid and the three gorges direct current transmission project from 1 back to the Guangdong are also equivalent to loads; g5、G6、G7、G8And G9The power generation system is characterized by comprising 5 equivalent generators in a power grid in the northlake, and lines 11-113 are power transmission lines in the power grid in the northlake; the rectification side alternating current system is an equivalent model of a southwest power grid (Sichuan and Chongqing power grids), and comprises 4 generators and 3 loads; the direct current engineering from 3 times in the Sichuan power grid to the east China power grid is equivalent according to the load; g1、G2、G3And G4The power generation system comprises 4 equivalent generators in a southwest power grid respectively, and lines 1-5 are power transmission lines in the southwest power grid; the minimum value of the communication time lag of the actual power grid is 50ms, and the maximum value is 500 ms; equivalent simplified system models of a southwest power grid and a Hubei power grid of a back-to-back flexible direct current transmission system containing Yubei shown in figure 1 are constructed in MATLAB/Simulink to serve as a test system of the embodiment of the invention.
The self-adaptive dynamic programming algorithm can learn an optimal control strategy through real-time interaction with the system; the GrHDP neural network realizes an adaptive dynamic programming algorithm based on the neural network, and comprises the following steps: an execution network, a target network and an evaluation network; the execution network is used for generating an output signal according to the input signal; the evaluation network is a function approximator, the output of the evaluation network is a cost function J (t), the cost function J (t) is used for evaluating the quality of the current output signal and guiding the execution network to carry out weight correction, so that the output signal is optimized; the target network is used for automatically generating the internal enhanced signal S (t) to replace the external enhanced signal r (t), so that the mapping relation between the input signal and the output signal is better reflected, and the cost function J (t) can better evaluate the quality of the output signal.
Fig. 2 illustrates an adaptive wide-area damping controller according to an embodiment of the present invention, including: the device comprises a self-adaptive time lag compensator, a phase shift unit and a GrHDP unit; the input end of the self-adaptive time lag compensator is used for receiving wide-area measurement signals
Figure BDA0001573527290000081
Adaptive skew compensator for wide area measurement signals to an electrical power system
Figure BDA0001573527290000091
Carrying out self-adaptive time lag compensation to obtain a signal x (t); the input end of the phase shifting unit is connected to the output end of the self-adaptive time lag compensator, and the phase shifting unit is used for amplifying and phase-shifting the signal X (t) to obtain a parallel phase-shifted signal X (t); the input end of the GrHDP unit is connected to the output end of the phase shifting unit, and the GrHDP unit is used for obtaining a control signal u (t) adaptive to the current operation condition of the power system according to the parallel phase shifting signal X (t) so as to realize adaptive compensation of active power and reactive power of the power system and effectively inhibit low-frequency oscillation of the power system;
the adaptive compensator comprises n time lag compensation submodules, the transfer function of the adaptive compensator is the weighted sum of the transfer functions of the n time lag compensation submodules, and the weight value of each time lag compensation submodule and the wide-area measurement signal
Figure BDA0001573527290000092
The communication time lag tau is related, so that the self-adaptive time lag compensator can correspondingly compensate different communication time lags, and the communication time lag measurement signal in a wide area can be effectively eliminated
Figure BDA0001573527290000093
The lag phase introduced therein; in this embodiment, n takes the value of 5;
the phase shifting unit comprises a first amplifier, a second amplifier and a phase shifter; the first amplifier is used for amplifying the signal x (t) by k1Multiplying to obtain a first path of signal; a second amplifier for amplifying the signal x (t) by k2Multiplying to obtain an intermediate signal x' (t); the input end of the phase shifter is connected to the output end of the second amplifier, and the phase shifter is used for shifting the phase of the intermediate signal x' (t) to obtain a second path of signal; the parallel phase shift signal X (t) comprises a first path of signal and a second path of signal; the mathematical expression of the phase shifter is
Figure BDA0001573527290000094
Wherein, TfAs filter constants for preventing the differential element from amplifying high-frequency noiseThe control effect is influenced, and the value range is 0.01-0.05; k is a radical of1And k2The normalization coefficient is used for ensuring that the amplitude ranges of the parallel first path of signals and the second path of signals are consistent;
the GrHDP unit realizes the calculation from the parallel phase-shifting signal X (t) to the control signal u (t) based on the self-adaptive dynamic programming algorithm; the control signal u (t) includes an additional active power command value Δ Pref(t) and an additional reactive power command value DeltaQref(t); additional active power command value Δ Pref(t) for compensating for oscillations in active power, adding a reactive power command value DeltaQref(t) for compensating oscillations of the reactive power.
Wide area measurement signal
Figure BDA0001573527290000095
The method is characterized in that the method is acquired by a Wide Area Measurement System (WAMS), and specific signal components are determined according to the control requirements of a power system.
Fig. 3 shows a control method based on the adaptive wide-area damping controller shown in fig. 2, which includes the following steps:
(1) for wide area measurement signal
Figure BDA0001573527290000101
Carrying out self-adaptive time lag compensation to obtain a signal x (t); the method specifically comprises the following steps:
(11) computing wide area control signals
Figure BDA0001573527290000102
Time-lag transfer function G ofd(s); and transfer function G is transformed by using second-order Pade approximationd(s) to obtain a transfer function GD(s), transfer function GDThe calculation formula of(s) is as follows:
Figure BDA0001573527290000103
wherein tau is a wide-area measurement signal
Figure BDA0001573527290000104
Communication skew of (2);
(12) calculating a transfer function and a corresponding weight of each time-lag compensation submodule; the transfer function calculation formula of each time lag compensation submodule is as follows:
Figure BDA0001573527290000105
wherein, TcIs a time constant associated with the steady state behavior of the system; taking into account the steady-state behavior of the system, TcThe value of (a) is 0.02 s;
the weight calculation formula of the time lag compensation submodule is as follows:
Figure BDA0001573527290000106
wherein, betaiIs the weight value, T, of the ith time lag compensation submoduleiThe time constant of the ith time lag compensation submodule is taken as the time constant of the ith time lag compensation submodule; t isiThe value of (1) is between the maximum communication time lag and the minimum communication time lag of the system so as to obtain a better time lag compensation effect; considering that the minimum value of the communication time lag of the actual power grid is 50ms and the maximum value is 500ms, setting T1=0.1s,T2=0.2s,T3=0.3s,T4=0.4s,T5=0.5s;
(13) Calculating a transfer function ADC(s) of the self-adaptive time-lag compensator according to the transfer function of each time-lag compensation submodule and the corresponding weight; the transfer function ADC(s) of the adaptive skew compensator is calculated as follows:
Figure BDA0001573527290000111
according to the expression
Figure BDA0001573527290000112
It can be seen that after the compensation of the adaptive skew compensator, the phase lag of the wide-area measurement signal is only equal to the fixed time constant TcThe method is related and independent of the time lag tau, so that corresponding compensation can be made for different communication time lags;
(14) according to the expression
Figure BDA0001573527290000113
Obtaining phase lag of the wide area measurement signal, which is irrelevant to communication time lag, and compensating the phase lag in a frequency range through a lead-lag link according to the frequency range of low-frequency oscillation of the system;
(2) amplifying and phase-shifting the signal X (t) to obtain a parallel phase-shifted signal X (t); the method specifically comprises the following steps:
(21) amplifying the signal x (t) by k1Multiplying to obtain a first path of signal;
(22) amplifying the signal x (t) by k2Multiplying to obtain an intermediate signal x' (t); k is a radical of1And k2The normalization coefficient is used for ensuring that the amplitude ranges of the parallel first path of signals and the second path of signals are consistent;
(23) phase shifting the intermediate signal x' (t) to obtain a second path of signal; the mathematical expression for the phase shift is
Figure BDA0001573527290000114
Wherein, TfThe filter constant is used for preventing the differential link from amplifying high-frequency noise to influence the control effect, and the value range of the filter constant is 0.01-0.05;
(24) outputting a signal vector formed by the first path of signal and the second path of signal as a parallel phase-shifting signal X (t);
(3) obtaining a control signal u (t) adaptive to the current operation environment of the power grid according to the parallel phase-shift signal X (t) so as to realize the adaptive compensation of the active power and the reactive power of the power grid, thereby effectively inhibiting the low-frequency oscillation of the power system; the method specifically comprises the following steps:
(31) the parameters of the GrHDP neural network are set, and the specific settings are shown in table 1:
TABLE 1 parameter settings for GrHDP neural networks
Executive networkEvaluation networkTarget network
Number of nodes ofinput layer254
Number of hiddenlayer nodes333
Number ofoutput layer nodes212
Learning rate0.020.010.01
Upper limit of iteration number505050
Margin of error1e-81e-81e-8
Weight range±5±5±5
(32) Randomly setting an initial weight of the GrHDP neural network, and performing off-line training on the GrHDP neural network by using the initial weight; taking the trained neural network weight as an initial weight for online learning;
(33) taking the parallel phase-shift signal X (t) as the input of a GrHDP neural network, taking the control signal u (t) as the output of the GrHDP neural network, and carrying out online application on the GrHDP neural network to obtain an optimized control signal; wherein the control signal u (t) includes an additional active power command value Δ Pref(t) and an additional reactive power command value DeltaQref(t) adding the active power command value Δ Pref(t) for compensating for oscillations in active power, adding a reactive power command value DeltaQref(t) for compensating oscillations of the reactive power.
Setting a first example for verifying the adaptability of the adaptive wide area damping controller to the system working condition; a second example is provided for verifying the effect of the adaptive skew compensator in compensating for system signal communication skews.
In the first example, the variation working condition deviating from the typical operation working condition of the WADC is obtained by adjusting the output and active load of the generator in the Hubei equivalent power grid; under the changing working condition, the linear modal analysis is carried out on the Hubei equivalent power grid when the WADC is not put into the power grid, the damping ratio of themode 1 is-1.88 percent, and a negative damping state is presented; in order to verify the adaptability of the A-WADC to the system working condition, two sets of scenarios are respectively set:
scenario I: under a typical operation condition, at 1 second, in the Hubei equivalent power grid, a permanent three-phase short circuit fault occurs at a position, close to a bus 18, of one circuit in double-circuit power transmission lines 19-111, and the fault circuit is cut off within 1.1 second;
scenario II: under the condition of changing operation conditions, instantaneous three-phase short-circuit faults occur at the positions, close to the bus 18, of the power transmission lines 17-18 in the Hubei equivalent power grid at 1 second, the fault lines are cut off at 1.1 second, and reclosing is successful at 1.8 seconds.
Comparing transient response characteristics of the system after system failure when different damping controllers are put into operation respectively, and fig. 4 shows a relative power angle change curve of the generator G5 and the generator G9 under two situations; fig. 5 shows an internal variable curve of a-WADC under scenario II, which includes an execution network error Ea, an external reinforcement learning function r (t), an internal reinforcement learning function S (t), a cost function J (t), a weight Wa (1) from an execution network input layer to a hidden layer, and a weight Wa (2) from the execution network hidden layer to an output layer.
As shown in fig. 4, under the typical condition of the scenario I, when a conventional wide-area damping controller (C-WADC) and a trained adaptive wide-area damping controller (a-WADC) are put into operation, the low-frequency oscillation of the system can be quickly settled, and the control performance of the two controllers is substantially the same. Under the condition that the scene II changes the operation condition, when no damping controller is put into the system, the system presents the characteristic of amplified oscillation. When C-WADC or A-WADC is put into use, the oscillation of the system can be effectively subsided, and the control effect of the A-WADC is obviously better than that of the C-WADC. The reason is that the control parameters of the C-WADC designed based on the typical operation working condition cannot change along with the change of the system operation working condition, and when the system deviates from the typical operation working condition, the control performance of the C-WADC is reduced; the A-WADC can adapt to the changing operation condition of the system by updating the weight of the neural network on line, thereby keeping better oscillation suppression effect.
When the system is disturbed and the running state is changed, the input signal of the A-WADC generates low-frequency oscillation as shown in figure 4; at this time, as shown in fig. 5, the external reinforcement learning function r (t), the internal reinforcement learning function S (t), and the cost function J (t) also fluctuate accordingly, so that the error Ea of the execution network exceeds the error tolerance value, and the execution network starts to correct the weight Wa (1) and the weight Wa (2); in the process, the output control signal of the A-WADC is optimized, the weight correction of the execution network is basically finished within about 4 seconds, the A-WADC adapts to the new system running state again, and meanwhile, the low-frequency oscillation of the system is basically subsided. Simulation results verify that the A-WADC can realize online self-learning through updating of weights of the neural network, further adapt to changes of system operation conditions, and can keep good low-frequency oscillation suppression capability of the system under different conditions and different faults.
In the second example, in order to verify the compensation effect of the ADC module on the system communication skew, the following three scenarios are set respectively:
scenario III: fixed time lag
The communication skew of the system is set to 100ms and 150ms, respectively. The operation condition and the fault setting of the system are the same as those of the scenario II, and the transient response characteristics of the system under different fixed communication time lags after the system is in fault are compared when different damping controllers are put into the system. Fig. 6 shows the relative power angle curves of the generators G5 and G9 at different fixed time lag levels.
As shown in fig. 6(a), when the time lag is 100ms, the a-WADC with the ADC can suppress the low frequency oscillation of the system more rapidly than the a-WADC without the ADC, and when the C-WADC is applied, the low frequency oscillation of the system decays very slowly; as shown in fig. 6(b), when the time lag is 150ms, when the a-WADC including the ADC is input, the low-frequency oscillation of the system can still be rapidly subsided, and when the a-WADC and the C-WADC not including the ADC are input, the system respectively generates amplified oscillation and constant-amplitude oscillation, which shows that the communication time lag at this time seriously affects the weight correction process of the a-WADC and the control effect of the C-WADC.
Therefore, as the communication time lag is increased, the effect of the damping controller without the time lag compensation capability on inhibiting the low-frequency oscillation of the system is reduced; when the communication time lag increases to a certain degree, the transient stability of the system is even deteriorated; meanwhile, the simulation result shown in fig. 6 also shows that the adaptive skew compensator can well compensate different fixed communication skews, so that the a-WADC including the ADC maintains a good capability of suppressing the low-frequency oscillation of the system, and the transient stability of the system is improved.
Scenario IV: small range random communication time lag
Setting the random range of the communication time lag of the system as 100 plus or minus 0ms (fixed time lag), 100 plus or minus 20ms, 100 plus or minus 40ms and 100 plus or minus 60ms respectively; the operation condition and the fault setting of the system are the same as those in the scenario II, at the moment, the back-to-back flexible direct system is put into the A-WADC containing the ADC, and after the system is disturbed, the transient response characteristics of the system under different random communication time lags are compared; FIG. 7 shows the relative power angle curves of generators G5 and G9 at different random communication skew levels; fig. 8 is a graph showing the variation of weights of the skew compensation sub-modules in the ADC under different random communication skew levels.
As shown in fig. 7, the control effect under the fixed communication time lag is better than the control effect with the random communication time lag under different random ranges, and the effect of the controller shows a decreasing trend as the random range of the communication time lag increases; in addition, under different random communication time lag ranges, the A-WADC containing the ADC can quickly inhibit the low-frequency oscillation of the system, which shows that the ADC has better capability of compensating the small-range random time lag.
As shown in fig. 8(a), theweight β 1 fluctuates around 1, the weights of other SDCs fluctuate around 0, and the fluctuation amplitude appears β2345The rule of (2); as the random range of time lag is increased, the fluctuation amplitude of 5 weights is also increased; the ADC realizes the compensation of random time lag just by continuously adjusting the weight of the SDC.
Scene V: large range random communication skew
Setting the random range of communication time lag of the system to be 50-500 ms, setting the operation working condition and the fault setting of the system to be the same as the setting of a scene II, and comparing the transient response characteristics of the system after the fault when different damping controllers are put into use; FIG. 9 shows the relative power angle curves of generators G5 and G9 under the control of different damping controllers; fig. 10 is a graph showing the random communication time lag and the weight variation of the time lag compensation submodule in the ADC.
As shown in fig. 9, under the influence of large-scale random time lag, when C-WADC and a-WADC without ADC are used, the system has amplified oscillation, and compared with the transient characteristic of the system without WADC, it is shown that the transient characteristics of the system cannot be improved by the two controllers at this time; the A-WADC containing the ADC can still quickly inhibit the low-frequency oscillation of the system, which shows that the ADC has better capability of compensating large-range random time lag.
Fig. 10(a) is a graph showing a change in random communication time lag; fig. 10(b) is a weight variation curve of the skew compensation submodule in the corresponding ADC; as shown in fig. 10, when the random skew fluctuates in a large range, the ADC can still better compensate the skew of the wide-area control signal by adjusting the weight of each SDC on line, and maintain the control performance of the a-WADC.
It will be understood by those skilled in the art that the foregoing is only a preferred embodiment of the present invention, and is not intended to limit the invention, and that any modification, equivalent replacement, or improvement made within the spirit and principle of the present invention should be included in the scope of the present invention.

Claims (8)

Translated fromChinese
1.一种自适应广域阻尼控制器,其特征在于,包括:自适应时滞补偿器、移相单元以及GrHDP单元;1. An adaptive wide-area damping controller, characterized in that, comprising: an adaptive time-delay compensator, a phase-shifting unit and a GrHDP unit;所述自适应时滞补偿器的输入端用于接收广域测量信号
Figure FDA0002396027400000011
所述自适应时滞补偿器用于对电力系统的广域测量信号
Figure FDA0002396027400000012
进行自适应的时滞补偿,得到信号x(t);The input end of the adaptive skew compensator is used to receive the wide-area measurement signal
Figure FDA0002396027400000011
The adaptive skew compensator is used for wide-area measurement signals of power systems
Figure FDA0002396027400000012
Perform adaptive time delay compensation to obtain signal x(t);所述移相单元的输入端连接至所述自适应时滞补偿器的输出端,所述移相单元用于对信号x(t)进行放大和移相处理,得到并行移相信号X(t);The input end of the phase shifting unit is connected to the output end of the adaptive skew compensator, and the phase shifting unit is used to amplify and phase shift the signal x(t) to obtain a parallel phase shifted signal X(t );所述GrHDP单元的输入端连接至所述移相单元的输出端,所述GrHDP单元用于根据所述并行移相信号X(t)得到与电力系统当前运行工况相适应的控制信号u(t),以实现对电力系统有功功率振荡和无功功率振荡的自适应补偿,从而有效抑制电力系统的低频振荡;所述控制信号u(t)包括附加有功功率指令值ΔPref(t)和附加无功功率指令值ΔQref(t);所述附加有功功率指令值ΔPref(t)用于补偿有功功率的振荡,所述附加无功功率指令值ΔQref(t)用于补偿无功功率的振荡;The input end of the GrHDP unit is connected to the output end of the phase shifting unit, and the GrHDP unit is used to obtain a control signal u ( t), to realize adaptive compensation to the active power oscillation and reactive power oscillation of the power system, thereby effectively suppressing the low-frequency oscillation of the power system; the control signal u(t) includes the additional active power command value ΔPref (t) and Additional reactive power command value ΔQref (t); the additional active power command value ΔPref (t) is used to compensate for the oscillation of active power, and the additional reactive power command value ΔQref (t) is used to compensate for reactive power oscillation of power;其中,所述电力系统为含渝鄂背靠背柔性直流的两端交流系统,所述自适应时滞补偿器所补偿的时滞为
Figure FDA0002396027400000013
Tc为与系统稳态特性相关的时间常数。
Wherein, the power system is a two-end AC system with back-to-back flexible DC in Chongqing and Hubei, and the time delay compensated by the self-adaptive time delay compensator is:
Figure FDA0002396027400000013
Tc is a time constant related to the steady state characteristics of the system.
2.如权利要求1所述的自适应广域阻尼控制器,其特征在于,所述自适应时滞补偿器包括n个时滞补偿子模块;所述自适应时滞补偿器的传递函数为n个时滞补偿子模块的传递函数的加权和,并且每一个时滞补偿子模块的权值与广域测量信号
Figure FDA0002396027400000014
的通信时滞τ相关,使得所述自适应时滞补偿器对不同的通信时滞均能做出相应的补偿,以有效消除通信时滞在广域测量信号
Figure FDA0002396027400000015
中引入的滞后相位。
2 . The adaptive wide-area damping controller according to claim 1 , wherein the adaptive delay compensator comprises n delay compensation sub-modules; the transfer function of the adaptive delay compensator is: 2 . The weighted sum of the transfer functions of n delay compensation sub-modules, and the weight of each delay compensation sub-module is related to the wide-area measurement signal
Figure FDA0002396027400000014
The communication time delay τ is correlated with the communication time delay τ, so that the adaptive time delay compensator can make corresponding compensation for different communication time delays, so as to effectively eliminate the communication time delay in the wide-area measurement signal
Figure FDA0002396027400000015
The lag phase introduced in .
3.如权利要求1所述的自适应广域阻尼控制器,其特征在于,所述移相单元包括第一放大器、第二放大器以及移相器;3. The adaptive wide-area damping controller according to claim 1, wherein the phase shifting unit comprises a first amplifier, a second amplifier and a phase shifter;所述第一放大器用于将所述信号x(t)放大k1倍得到第一路信号;The first amplifier is used to amplify the signal x(t) by k1 times to obtain the first signal;所述第二放大器用于将所述信号x(t)放大k2倍得到中间信号x'(t);The second amplifier is used to amplify the signal x(t) by k2 times to obtain an intermediate signal x'(t);所述移相器的输入端连接至所述第二放大器的输出端,所述移相器用于对所述中间信号x'(t)进行移相,得到第二路信号;The input end of the phase shifter is connected to the output end of the second amplifier, and the phase shifter is used to shift the phase of the intermediate signal x'(t) to obtain a second signal;所述并行移相信号X(t)包括所述第一路信号和所述第二路信号;The parallel phase-shifted signal X(t) includes the first signal and the second signal;其中,k1和k2为归一化系数,用于保证并行的所述第一路信号与所述第二路信号的幅值范围一致。Wherein, k1 and k2 are normalization coefficients, which are used to ensure that the amplitude ranges of the parallel signals of the first channel and the signals of the second channel are consistent.4.一种基于权利要求1-3任一项所述的自适应广域阻尼控制器的控制方法,其特征在于,包括如下步骤:4. A control method based on the adaptive wide-area damping controller according to any one of claims 1-3, characterized in that, comprising the steps of:(1)对广域测量信号
Figure FDA0002396027400000021
进行自适应时滞补偿,得到信号x(t);
(1) For wide-area measurement signals
Figure FDA0002396027400000021
Perform adaptive time delay compensation to obtain signal x(t);
(2)对所述信号x(t)进行放大与移相,得到并行移相信号X(t);(2) Amplify and phase-shift the signal x(t) to obtain a parallel phase-shifted signal X(t);(3)根据所述并行移相信号X(t)得到与电网当前运行环境相适应的控制信号u(t),以实现对电网有功功率振荡和无功功率振荡的自适应补偿,从而有效抑制电力系统的低频振荡。(3) Obtain a control signal u(t) adapted to the current operating environment of the power grid according to the parallel phase-shifted signal X(t), so as to realize adaptive compensation for the active power oscillation and reactive power oscillation of the power grid, thereby effectively suppressing the Low frequency oscillations in power systems.
5.如权利要求4所述的控制方法,其特征在于,所述步骤(1)包括如下步骤:5. The control method according to claim 4, wherein the step (1) comprises the following steps:(11)计算所述广域测量信号
Figure FDA0002396027400000022
的时滞传递函数Gd(s);并利用二阶Pade近似变换对所述传递函数Gd(s)进行化简,得到传递函数GD(s),所述传递函数GD(s)的计算公式如下:
(11) Calculate the wide-area measurement signal
Figure FDA0002396027400000022
The time-delay transfer functionGd(s ) of The calculation formula is as follows:
Figure FDA0002396027400000023
Figure FDA0002396027400000023
其中,τ为所述广域测量信号
Figure FDA0002396027400000024
的通信时滞;
where τ is the wide-area measurement signal
Figure FDA0002396027400000024
communication time lag;
(12)计算每一个时滞补偿子模块的传递函数及对应的权值;每一个时滞补偿子模块的传递函数计算公式如下:(12) Calculate the transfer function and corresponding weight of each time delay compensation sub-module; the transfer function calculation formula of each time delay compensation sub-module is as follows:
Figure FDA0002396027400000031
Figure FDA0002396027400000031
其中,Tc为与系统稳态特性相关的时间常数;Among them, Tc is the time constant related to the steady-state characteristics of the system;时滞补偿子模块的权值计算公式如下:The weight calculation formula of the delay compensation sub-module is as follows:
Figure FDA0002396027400000032
Figure FDA0002396027400000032
其中,βi为第i个时滞补偿子模块的权值,Ti为第i个时滞补偿子模块的时间常数;Ti的取值介于系统最大通信时滞与最小通信时滞之间,以获得较好的时滞补偿效果;Among them, βi is the weight of the ith time delay compensation sub-module, Ti is the time constant of the ith time delay compensation sub-module; the value of Ti is between the maximum communication time delay and the minimum communication time delay of the system time to obtain a better time delay compensation effect;(13)根据每一个时滞补偿子模块的传递函数及对应的权值,计算自适应时滞补偿器的传递函数ADC(s);自适应时滞补偿器的传递函数ADC(s)的计算公式如下:(13) Calculate the transfer function ADC(s) of the adaptive delay compensator according to the transfer function and the corresponding weight of each delay compensation sub-module; Calculation of the transfer function ADC(s) of the adaptive delay compensator The formula is as follows:
Figure FDA0002396027400000033
Figure FDA0002396027400000033
(14)根据表达式
Figure FDA0002396027400000034
得到广域测量信号的与通信时滞无关的滞后相位,并进行补偿。
(14) According to the expression
Figure FDA0002396027400000034
The lag phase of the wide-area measurement signal independent of the communication time lag is obtained and compensated.
6.如权利要求4所述的控制方法,其特征在于,所述步骤(2)具体包括如下步骤:6. The control method according to claim 4, wherein the step (2) specifically comprises the following steps:(21)将所述信号x(t)放大k1倍得到第一路信号;(21) amplify the signal x(t) by k1 times to obtain the first signal;(22)将所述信号x(t)放大k2倍得到中间信号x'(t);(22) Amplify the signal x(t) by k2 times to obtain an intermediate signal x'(t);(23)对所述中间信号x'(t)进行移相,得到第二路信号;(23) phase-shifting the intermediate signal x'(t) to obtain a second signal;(24)将所述第一路信号与所述第二路信号所组成的信号向量作为并行移相信号X(t)输出;(24) outputting the signal vector formed by the first signal and the second signal as the parallel phase-shifted signal X(t);其中,k1和k2为归一化系数,用于保证并行的所述第一路信号与所述第二路信号的幅值范围一致。Wherein, k1 and k2 are normalization coefficients, which are used to ensure that the amplitude ranges of the parallel signals of the first channel and the signals of the second channel are consistent.7.如权利要求4所述的控制方法,其特征在于,所述步骤(3)具体包括如下步骤:7. The control method according to claim 4, wherein the step (3) specifically comprises the following steps:(31)设定GrHDP神经网络的参数;(31) setting the parameters of the GrHDP neural network;(32)随机设定GrHDP神经网络的初始权值,并利用初始权值对GrHDP神经网络进行离线训练;将训练好的神经网络权值作为在线学习的初始权值;(32) Randomly set the initial weights of the GrHDP neural network, and use the initial weights to perform offline training on the GrHDP neural network; use the trained neural network weights as the initial weights of online learning;(33)将所述并行移相信号X(t)作为GrHDP神经网络的输入,将所述控制信号u(t)作为GrHDP神经网络的输出,并对GrHDP神经网络进行在线应用以获得经过优化的控制信号;其中,所述控制信号u(t)包括附加有功功率指令值ΔPref(t)和附加无功功率指令值ΔQref(t),所述附加有功功率指令值ΔPref(t)用于补偿有功功率的振荡,所述附加无功功率指令值ΔQref(t)用于补偿无功功率的振荡。(33) Use the parallel phase-shifted signal X(t) as the input of the GrHDP neural network, use the control signal u(t) as the output of the GrHDP neural network, and apply the GrHDP neural network online to obtain an optimized A control signal; wherein, the control signal u(t) includes an additional active power command value ΔPref (t) and an additional reactive power command value ΔQref (t), and the additional active power command value ΔPref (t) uses In order to compensate the oscillation of the active power, the additional reactive power command value ΔQref (t) is used to compensate the oscillation of the reactive power.8.如权利要求7所述的控制方法,其特征在于,所述步骤(31)中,设定的神经网络的参数包括:执行网络的输入层节点数、隐含层节点数、输出层节点数、学习速率、迭代次数上限、误差容限以及权值范围;评价网络的输入层节点数、隐含层节点数、输出层节点数、学习速率、迭代次数上限、误差容限以及权值范围;目标网络的输入层节点数、隐含层节点数、输出层节点数、学习速率、迭代次数上限、误差容限以及权值范围。8. The control method according to claim 7, wherein in the step (31), the parameters of the set neural network include: the number of input layer nodes, the number of hidden layer nodes, and the output layer nodes of the execution network number, learning rate, upper limit of iterations, error tolerance and weight range; the number of input layer nodes, hidden layer nodes, output layer nodes, learning rate, upper limit of iterations, error tolerance and weight range of the evaluation network ; The number of input layer nodes, the number of hidden layer nodes, the number of output layer nodes, the learning rate, the upper limit of the number of iterations, the error tolerance and the weight range of the target network.
CN201810126049.XA2018-02-082018-02-08Self-adaptive wide area damping controller and control methodActiveCN108365615B (en)

Priority Applications (1)

Application NumberPriority DateFiling DateTitle
CN201810126049.XACN108365615B (en)2018-02-082018-02-08Self-adaptive wide area damping controller and control method

Applications Claiming Priority (1)

Application NumberPriority DateFiling DateTitle
CN201810126049.XACN108365615B (en)2018-02-082018-02-08Self-adaptive wide area damping controller and control method

Publications (2)

Publication NumberPublication Date
CN108365615A CN108365615A (en)2018-08-03
CN108365615Btrue CN108365615B (en)2021-02-09

Family

ID=63005069

Family Applications (1)

Application NumberTitlePriority DateFiling Date
CN201810126049.XAActiveCN108365615B (en)2018-02-082018-02-08Self-adaptive wide area damping controller and control method

Country Status (1)

CountryLink
CN (1)CN108365615B (en)

Families Citing this family (8)

* Cited by examiner, † Cited by third party
Publication numberPriority datePublication dateAssigneeTitle
CN109785289B (en)*2018-12-182021-07-20中国科学院深圳先进技术研究院 A transmission line defect detection method, system and electronic device
CN109725534A (en)*2018-12-292019-05-07云南电网有限责任公司电力科学研究院 Adaptive dynamic programming method for STATCOM controller based on MMC
CN109742773B (en)*2019-01-292020-07-28华中科技大学 An Adaptive Wide Area Damping Controller
WO2020214913A1 (en)2019-04-182020-10-22University Of WashingtonSystems and methods for power system stabilization and oscillation damping control
CN112350343A (en)*2019-08-092021-02-09国家电网公司华东分部Controllable phase shifter damping control method taking power as input quantity
CN111384717B (en)*2020-01-152022-02-18华中科技大学 An adaptive damping control method and system for resisting false data injection attacks
CN112186781A (en)*2020-09-232021-01-05中国电力科学研究院有限公司Power control method and system for inhibiting low-frequency oscillation of alternating current power grid
CN115833179A (en)*2022-12-162023-03-21阳光电源(南京)有限公司 A low-frequency oscillation control method and system

Family Cites Families (3)

* Cited by examiner, † Cited by third party
Publication numberPriority datePublication dateAssigneeTitle
CN101465550B (en)*2007-12-212011-01-26清华大学 Delay Processing and Compensation System for Wide Area Damping Control in Power System
CN102624013B (en)*2012-04-062015-01-07湖北省电力公司Phase compensation principle-based design method for energy storage damping controller
CN105117535B (en)*2015-08-122018-05-08浙江工业大学Suitable for the electrical power system wide-area PID damping controller design methods of stochastic Time-Delay

Also Published As

Publication numberPublication date
CN108365615A (en)2018-08-03

Similar Documents

PublicationPublication DateTitle
CN108365615B (en)Self-adaptive wide area damping controller and control method
Shen et al.Adaptive supplementary damping control of VSC-HVDC for interarea oscillation using GrHDP
Zhao et al.Improved synergetic excitation control for transient stability enhancement and voltage regulation of power systems
Li et al.An adaptive strategy based on repetitive predictive control for improving adaptability of LCL-type grid-connected inverters under weak grid
Tiwari et al.Neural network predictive control of UPFC for improving transient stability performance of power system
CN105958515B (en)Fixed time dynamic surface high-order sliding-mode suppression method for chaotic oscillation of power system
Surinkaew et al.Inter-area oscillation damping control design considering impact of variable latencies
CN107453412A (en)Based on VSG control device and methods, more VSG presynchronization combination methods
CN109742773B (en) An Adaptive Wide Area Damping Controller
Dehkordi et al.Voltage and frequency consensusability of autonomous microgrids over fading channels
CN115473237A (en) A Method for Suppressing Low Frequency Oscillation of Output Power of Virtual Synchronous Generator Grid-connected System
Zheng et al.HPF-LADRC for DFIG-based wind farm to mitigate subsynchronous control interaction
Sharma et al.Enhanced modular multi-level converter-based static synchronous compensator with social ski-driver optimized adaptive neuro-fuzzy inference system controller for power quality enhancement
CN119298024A (en) A method for suppressing low-frequency oscillation of DC voltage synchronous inverter based on torque quantization
Wen et al.Cascaded sliding-mode observer and its applications in output feedback control part II: Adaptive output feedback control
Lazrak et al.An improved control strategy for DFIG wind turbine to ride-through voltage dips
Hossen et al.Tunicate swarm algorithm for power system stability enhancement in a smib-upfc network
Zhang et al.Study on improved droop control strategy of MMC-MTDC system based on novel sliding mode control
Roy et al.Hybrid robust adaptive backstepping sliding mode controller design for mitigating SSR in series-compensated DFIG-based wind generation systems
Bhadu et al.Design and analysis of noise extenuation techniques in modern LFC system
CN118539460B (en)VSG secondary control method based on improved model reference self-adaption
Muppoori et al.Critical Assessment and Comparative Study of PID and ADRC Approaches Applied to AGC in Multi-Source Single Area Power System
Sati et al.Intelligent Low-Bandwidth Frequency Controller for VSGs at Economic Dispatch in Islanded Microgrid
CN119944804B (en)Multi-model LQR control method of grid-connected inverter under weak current network
Naqvi et al.Grid integration of a three phase multifunctional SECS using Lorentzian adaptive filter based control with impulsive disturbance rejection capability

Legal Events

DateCodeTitleDescription
PB01Publication
PB01Publication
SE01Entry into force of request for substantive examination
SE01Entry into force of request for substantive examination
GR01Patent grant
GR01Patent grant

[8]ページ先頭

©2009-2025 Movatter.jp