Movatterモバイル変換


[0]ホーム

URL:


CN108314685B - Preparation method of 2-amino-6-chloro-9- (4-acetoxyl-3-acetoxymethyl butyl) purine - Google Patents

Preparation method of 2-amino-6-chloro-9- (4-acetoxyl-3-acetoxymethyl butyl) purine
Download PDF

Info

Publication number
CN108314685B
CN108314685BCN201810218224.8ACN201810218224ACN108314685BCN 108314685 BCN108314685 BCN 108314685BCN 201810218224 ACN201810218224 ACN 201810218224ACN 108314685 BCN108314685 BCN 108314685B
Authority
CN
China
Prior art keywords
amino
chloro
purine
diacetoxy
propanol
Prior art date
Legal status (The legal status is an assumption and is not a legal conclusion. Google has not performed a legal analysis and makes no representation as to the accuracy of the status listed.)
Active
Application number
CN201810218224.8A
Other languages
Chinese (zh)
Other versions
CN108314685A (en
Inventor
陈敖
朱玲
刘可可
陈兰萍
黄立本
宋帅娟
Current Assignee (The listed assignees may be inaccurate. Google has not performed a legal analysis and makes no representation or warranty as to the accuracy of the list.)
Shanghai Pharma Group Changzhou Kony Pharmaceutical Co ltd
Original Assignee
Shanghai Pharma Group Changzhou Kony Pharmaceutical Co ltd
Priority date (The priority date is an assumption and is not a legal conclusion. Google has not performed a legal analysis and makes no representation as to the accuracy of the date listed.)
Filing date
Publication date
Application filed by Shanghai Pharma Group Changzhou Kony Pharmaceutical Co ltdfiledCriticalShanghai Pharma Group Changzhou Kony Pharmaceutical Co ltd
Priority to CN201810218224.8ApriorityCriticalpatent/CN108314685B/en
Publication of CN108314685ApublicationCriticalpatent/CN108314685A/en
Application grantedgrantedCritical
Publication of CN108314685BpublicationCriticalpatent/CN108314685B/en
Activelegal-statusCriticalCurrent
Anticipated expirationlegal-statusCritical

Links

Classifications

Landscapes

Abstract

The invention relates to a preparation process of 2-amino-6-chloro-9- (4-acetoxyl-3-acetoxymethyl butyl) purine, which comprises the following steps: 1, 3-dichloro-2-propanol reacts with acetate to obtain 1, 3-diacetoxy-2-propanol, obtaining 1, 3-diacetyloxy-2-bromopropane through bromination reaction, then reacting with zinc powder to prepare 1, 3-diacetyloxy-2-zinc bromide propyl, then carrying out Negishi Coupling reaction with 2-amino-6-chloro-9-bromoethyl purine to obtain 2-amino-6-chloro-9- (4-acetoxyl-3-acetoxyl methyl butyl) purine, wherein the HPLC purity of the obtained 2-amino-6-chloro-9- (4-acetoxyl-3-acetoxyl methyl butyl) purine is more than 99.5 percent, and the 2-amino-6-chloro-9- (4-acetoxyl-3-acetoxyl methyl butyl) purine can be used for producing famciclovir and penciclovir.

Description

Preparation method of 2-amino-6-chloro-9- (4-acetoxyl-3-acetoxymethyl butyl) purine
Technical Field
The invention belongs to the technical field of chemical synthesis, and relates to a preparation method of 2-amino-6-chloro-9- (4-acetoxyl-3-acetoxymethyl butyl) purine.
Background
Penciclovir and famciclovir are antiviral drugs developed by SmithKline Beecham in UK in 20 actual 90 s, play antiviral roles mainly by inhibiting virus DNA replication, and are suitable for treating severe herpes zoster patients and virus infections such as primary genital herpes. Famciclovir is the first oral drug approved for herpes labialis and genital herpes in the united states and is also the only antiviral drug for reducing postherpetic neuralgia, and further research shows that famciclovir has a broad-spectrum antiviral effect and has activity on herpes viruses, hepatitis b viruses, cytomegaloviruses, epstein barr viruses and the like. Penciclovir is the active metabolite of famciclovir in human body, and famciclovir has better oral bioavailability.
In the currently widely adopted preparation methods of famciclovir and penciclovir, 2-amino-6-chloro-9- (4-acetoxyl-3-acetoxyl methyl butyl) purine is prepared as a key intermediate, and the preparation of famciclovir from 2-amino-6-chloro-9- (4-acetoxyl-3-acetoxyl methyl butyl) purine requires a further hydrogenation reaction and a further two-step reaction, so that the quality and cost of 2-amino-6-chloro-9- (4-acetoxyl-3-acetoxyl methyl butyl) purine have a great influence on the quality and cost of famciclovir and penciclovir.
There are three methods for preparing 2-amino-6-chloro-9- (4-acetoxy-3-acetoxymethylbutyl) purine that are widely used at present:
in the first method, 2-amino-6-chloropurine and 3-bromopropane-1, 1, 1-triethyl tricarboxylate are subjected to condensation reaction to obtain 2-amino-6-chloro-9- (2, 2-diethoxycarbonyl ethyl butyrate-4-yl) purine; then decarboxylating with sodium alkoxide to obtain 2-amino-6-chloro-9- (2-ethoxycarbonylbutyrate-4-yl) purine; then reducing with sodium borohydride to obtain 2-amino-6-chloro-9- (4-hydroxy-3-hydroxymethyl butyl) purine; then reacting with acetic anhydride to obtain 2-amino-6-chloro-9- (4-acetoxyl-3-acetoxymethyl butyl) purine.
The reaction route is as follows:
Figure GDA0002519920210000021
the method has the advantages that the isomer of 2-amino-6-chloro-7- (2, 2-diethoxycarbonyl ethyl butyrate-4-yl) purine generated in the preparation of 2-amino-6-chloro-9- (2, 2-diethoxycarbonyl ethyl butyrate-4-yl) purine is very few, and the method is widely adopted in the industry at present. However, the disadvantage of this route is that the key material 2-amino-6-chloropurine is reacted in the first step and then undergoes decarboxylation, reduction and esterification, and the utilization rate of 2-amino-6-chloropurine is not high, resulting in high overall cost of the final product.
In the second method, 2-amino-6-chloropurine reacts with bromoethanol or 1, 2-dibromoethane to obtain 2-amino-6-chloro-9-bromoethyl purine, then the 2-amino-6-chloro-9- (2-ethoxycarbonylethyl butyrate-4-yl) purine is obtained by condensation with diethyl malonate, and the 2-amino-6-chloro-9- (4-acetoxyl-3-acetoxymethylbutyl) purine is obtained by reduction with sodium borohydride and esterification with acetic anhydride.
The reaction route is as follows:
Figure GDA0002519920210000031
compared with the first method, the decarboxylation reaction step is omitted, but the condensation reaction of the 2-amino-6-chloro-9-bromoethyl purine and diethyl malonate is difficult to carry out, and the yield is not high.
In the method, tri-2-amino-6-chloropurine and 3-bromopropane-1, 1-diethyl dicarboxylate are subjected to condensation reaction, N-7 isomer 2-amino-6-chloro-7- (2-ethoxycarbonylethyl butyrate-4-yl) purine is separated through recrystallization to obtain 2-amino-6-chloro-9- (2-ethoxycarbonylethyl butyrate-4-yl) purine, and the 2-amino-6-chloro-9- (4-acetoxyl-3-acetoxymethylbutyl) purine is obtained through sodium borohydride reduction and acetic anhydride esterification.
The reaction route is as follows:
Figure GDA0002519920210000032
compared with the first method, the decarboxylation reaction step is omitted, but in the condensation reaction process, a great amount of N-7 isomer 2-amino-6-chloro-7- (2-ethoxycarbonylethyl butyrate-4-yl) purine is generated and needs to be separated through recrystallization, and the total yield is not high.
The common characteristics of the preparation methods are that 2-amino-6-chloro-9- (2-ethoxycarbonyl ethyl butyrate-4-yl) purine is prepared, and then is subjected to sodium borohydride reduction and acetic anhydride esterification to obtain 2-amino-6-chloro-9- (4-acetoxy-3-acetoxymethyl butyl) purine.
Disclosure of Invention
The technical problem to be solved by the invention is as follows: in view of the above problems, the present invention provides a method for producing 2-amino-6-chloro-9- (4-acetoxy-3-acetoxymethylbutyl) purine.
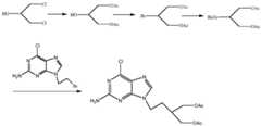
The technical scheme adopted by the invention for solving the technical problems is as follows: reacting 1, 3-dichloro-2-propanol with acetate to obtain 1, 3-diacetoxy-2-propanol, obtaining 1, 3-diacetoxy-2-bromopropane through bromination, then reacting with zinc powder to prepare 1, 3-diacetoxy-2-zinc bromide-based propane, and then carrying out Negishi Coupling reaction with 2-amino-6-chloro-9-bromoethyl purine to obtain 2-amino-6-chloro-9- (4-acetoxy-3-acetoxymethylbutyl) purine, wherein the reaction route is shown as the following figure:
Figure GDA0002519920210000041
the method specifically comprises the following steps:
(1) reacting 1, 3-dichloro-2-propanol with acetate in the presence of a strong acid weak base salt to obtain 1, 3-diacetoxy-2-propanol;
(2) reacting 1, 3-diacetoxy-2-propanol with a bromization reagent to obtain 1, 3-diacetoxy-2-bromopropane;
(3) reacting 1, 3-diacetoxy-2-bromopropane with zinc powder under the action of anhydrous lithium bromide or anhydrous lithium chloride serving as an activating agent and trimethylchlorosilane serving as an initiator to obtain 1, 3-diacetoxy-2-bromozinc propane; the amount of the activating agent is 5-15% of the mass of the 1, 3-diacetoxy-2-bromopropane, the amount of the initiator is 1-5% of the mass of the 1, 3-diacetoxy-2-bromopropane, and the amount of the zinc powder is 25-35% of the mass of the 1, 3-diacetoxy-2-bromopropane.
(4) Carrying out coupling reaction on 1, 3-diacetyloxy-2-zinc bromide propane and 2-amino-6-chloro-9-bromoethyl purine under the catalysis of a palladium acetate catalyst taking S-Phos (2-dicyclohexylphosphine-2 ',6' -dimethoxybiphenyl) as a ligand to obtain 2-amino-6-chloro-9- (4-acetoxy-3-acetoxymethylbutyl) purine; the molar ratio of the 1, 3-diacetyloxy-2-zinc bromide propane to the 2-amino-6-chloro-9-bromoethylpurine is 1.1-2: 1.
further, in the step (1), the strong acid and weak base salt is ammonium sulfate or ammonium chloride, and the molar ratio of the strong acid and weak base salt to the 1, 3-dichloro-2-propanol is 0.8-1.2: 1. the strong acid weak base salt is added into the reaction system to change the pH value of the reaction system so as to reduce the occurrence of side reactions.
Further, in the step (1), the acetate is sodium acetate or potassium acetate, and the molar ratio of the acetate to the 1, 3-dichloro-2-propanol is 2.5-3.5: 1.
further, in the step (2), the brominating agent is triethylamine hydrobromide or pyridine hydrobromide, and the molar ratio of the brominating agent to 1, 3-dichloro-2-propanol is 1.3-1.8: 1.
further, in the step (4), the HPLC purity of 2-amino-6-chloro-9- (4-acetoxy-3-acetoxymethylbutyl) purine is 99.5% or more.
The invention has the beneficial effects that: the preparation method of 2-amino-6-chloro-9- (4-acetoxyl-3-acetoxymethyl butyl) purine is the most different from the method reported in the literature in that the step of using 2-amino-6-chloropurine is relatively late, so that the raw material cost can be effectively reduced; the preparation of 2-amino-6-chloro-9- (4-hydroxy-3-hydroxymethyl butyl) purine as an intermediate is not needed, the reduction reaction and esterification reaction processes are avoided, the process safety is better, the amount of high-concentration salt-containing wastewater is greatly reduced, and the method is more suitable for large-scale industrial production. The famciclovir and penciclovir are produced by using the 2-amino-6-chloro-9- (4-acetoxyl-3-acetoxymethyl butyl) purine prepared by the method, and the product quality meets the requirements of European and American pharmacopoeia standards.
Detailed Description
The invention will now be further illustrated by reference to specific examples, which are intended to be illustrative of the invention and are not intended to be a further limitation of the invention.
Examples
(1) 129g of 1, 3-dichloro-2-propanol, 1000ml of DMF, 300g of potassium acetate and 53.5g of ammonium chloride are put into a 2000ml reaction bottle, and stirred and reacted for 10 hours at the temperature of 100-110 ℃. After heat preservation, cooling to room temperature, filtering out solids in the system, decompressing and concentrating filtrate to remove DMF, adding 1000ml ethyl acetate to dissolve concentrated solution, washing for 2 times by using water, drying by using anhydrous sodium sulfate, adding 270g of triethylamine hydrobromide, heating to 70-80 ℃, stirring, preserving heat, reacting for 5-6 hours, cooling to room temperature, filtering out solids in the system, washing for 2 times by using saturated sodium chloride solution, decompressing and concentrating to remove ethyl acetate, and then rectifying to obtain 110g of 1, 3-diacetoxy-2-bromopropane with the GC content of 90.4%.
(2) Adding THF 100ml, anhydrous lithium bromide 9g and zinc powder 33g into a reaction bottle, performing nitrogen replacement for 3 times, adding 1, 3-diacetoxy-2-bromopropane 100g, finally adding TMSCl (trimethylchlorosilane) 2.3g, heating to 50 ℃, reacting for 1-3 h at 50-55 ℃, heating to 60-65 ℃, reacting for 15-24 h at the temperature, detecting by GC, and finishing the reaction when the GC peak area is 1, 3-diacetoxy-2-bromopropane/1, 3-diacetoxy-2-zinc bromide propane < 5%, thus obtaining a zinc reagent (1, 3-diacetoxy-2-zinc bromide propane) for later use.
(3) Adding THF (5 ml) into a reaction bottle, replacing 3 times with nitrogen, adding palladium acetate 0.15g and S-Phos (2-dicyclohexylphosphine-2 ',6' -dimethoxybiphenyl) 1.1g at room temperature, and stirring for 20-30 minutes under the protection of nitrogen to obtain a catalyst for later use.
(4) Adding 375ml of tetrahydrofuran and 75g of 2-amino-6-chloro-9-bromoethyl purine into a reaction bottle, adding a newly prepared catalyst under the protection of nitrogen, heating to 50-60 ℃, slowly dropwise adding a newly prepared zinc reagent, reacting for 10 hours at 50-60 ℃ after dropwise adding, cooling to 15-20 ℃, dropwise adding 10ml of ethanol, and stirring for 2 hours. Concentrating under reduced pressure to dryness, adding 500ml of dichloromethane, 300ml of water and 50ml of glacial acetic acid, stirring for 20-30 minutes, demixing, washing an organic layer with a sodium bicarbonate solution for 2 times, then washing with water for 2 times, concentrating to dryness, recrystallizing a concentrate with ethanol, and drying under reduced pressure to obtain about 80g of 2-amino-6-chloro-9- (4-acetoxy-3-acetoxymethylbutyl) purine with the HPLC purity of more than 99.5%.
In light of the foregoing description of the preferred embodiment of the present invention, many modifications and variations will be apparent to those skilled in the art without departing from the spirit and scope of the invention. The technical scope of the present invention is not limited to the content of the specification, and must be determined according to the scope of the claims.

Claims (5)

1. A preparation method of 2-amino-6-chloro-9- (4-acetoxyl-3-acetoxymethyl butyl) purine is characterized by comprising the following steps: the method comprises the following steps:
(1) reacting 1, 3-dichloro-2-propanol with acetate in the presence of a strong acid weak base salt to obtain 1, 3-diacetoxy-2-propanol;
(2) reacting 1, 3-diacetoxy-2-propanol with a bromization reagent to obtain 1, 3-diacetoxy-2-bromopropane;
(3) reacting 1, 3-diacetoxy-2-bromopropane with zinc powder under the action of anhydrous lithium bromide or anhydrous lithium chloride serving as an activating agent and trimethylchlorosilane serving as an initiator to obtain 1, 3-diacetoxy-2-bromozinc propane; the amount of the activating agent is 5-15% of the mass of the 1, 3-diacetoxy-2-bromopropane, the amount of the initiator is 1-5% of the mass of the 1, 3-diacetoxy-2-bromopropane, and the amount of the zinc powder is 25-35% of the mass of the 1, 3-diacetoxy-2-bromopropane;
(4) carrying out coupling reaction on 1, 3-diacetyloxy-2-zinc bromide propane and 2-amino-6-chloro-9-bromoethyl purine under the catalysis of a palladium acetate catalyst taking S-Phos (2-dicyclohexylphosphine-2 ',6' -dimethoxybiphenyl) as a ligand to obtain 2-amino-6-chloro-9- (4-acetoxy-3-acetoxymethylbutyl) purine; the molar ratio of the 1, 3-diacetyloxy-2-zinc bromide propane to the 2-amino-6-chloro-9-bromoethylpurine is 1.1-2: 1.
2. the process according to claim 1, wherein the 2-amino-6-chloro-9- (4-acetoxy-3-acetoxymethylbutyl) purine is prepared by: in the step (1), the strong acid and weak base salt is ammonium sulfate or ammonium chloride, and the molar ratio of the strong acid and weak base salt to the 1, 3-dichloro-2-propanol is 0.8-1.2: 1.
3. the process according to claim 1, wherein the 2-amino-6-chloro-9- (4-acetoxy-3-acetoxymethylbutyl) purine is prepared by: in the step (1), the acetate is sodium acetate or potassium acetate, and the molar ratio of the acetate to the 1, 3-dichloro-2-propanol is 2.5-3.5: 1.
4. the process according to claim 1, wherein the 2-amino-6-chloro-9- (4-acetoxy-3-acetoxymethylbutyl) purine is prepared by: in the step (2), the brominating agent is triethylamine hydrobromide or pyridine hydrobromide, and the molar ratio of the brominating agent to 1, 3-dichloro-2-propanol is 1.3-1.8: 1.
5. the process according to claim 1, wherein the 2-amino-6-chloro-9- (4-acetoxy-3-acetoxymethylbutyl) purine is prepared by: in the step (4), the HPLC purity of the 2-amino-6-chloro-9- (4-acetoxy-3-acetoxymethylbutyl) purine is more than 99.5 percent.
CN201810218224.8A2018-03-162018-03-16Preparation method of 2-amino-6-chloro-9- (4-acetoxyl-3-acetoxymethyl butyl) purineActiveCN108314685B (en)

Priority Applications (1)

Application NumberPriority DateFiling DateTitle
CN201810218224.8ACN108314685B (en)2018-03-162018-03-16Preparation method of 2-amino-6-chloro-9- (4-acetoxyl-3-acetoxymethyl butyl) purine

Applications Claiming Priority (1)

Application NumberPriority DateFiling DateTitle
CN201810218224.8ACN108314685B (en)2018-03-162018-03-16Preparation method of 2-amino-6-chloro-9- (4-acetoxyl-3-acetoxymethyl butyl) purine

Publications (2)

Publication NumberPublication Date
CN108314685A CN108314685A (en)2018-07-24
CN108314685Btrue CN108314685B (en)2020-08-25

Family

ID=62898821

Family Applications (1)

Application NumberTitlePriority DateFiling Date
CN201810218224.8AActiveCN108314685B (en)2018-03-162018-03-16Preparation method of 2-amino-6-chloro-9- (4-acetoxyl-3-acetoxymethyl butyl) purine

Country Status (1)

CountryLink
CN (1)CN108314685B (en)

Citations (4)

* Cited by examiner, † Cited by third party
Publication numberPriority datePublication dateAssigneeTitle
EP0141927B1 (en)*1983-08-181991-10-30Beecham Group PlcAntiviral guanine derivatives
CN1150427A (en)*1994-04-191997-05-21史密斯克莱·比奇曼公司Preparation of purines
EP1288215B1 (en)*2001-08-302004-12-15Ajinomoto Co., Inc.Production method of famciclovir and production and crystallization method of intermediate therefor
CN100455583C (en)*2003-06-132009-01-28京东制药株式会社2-amino-9- (2-substituted ethyl) purines and methods of using same to prepare 9- [ 4-acetoxy-3- (acetoxymethyl) butan-1-yl ] -2-aminopurine

Patent Citations (4)

* Cited by examiner, † Cited by third party
Publication numberPriority datePublication dateAssigneeTitle
EP0141927B1 (en)*1983-08-181991-10-30Beecham Group PlcAntiviral guanine derivatives
CN1150427A (en)*1994-04-191997-05-21史密斯克莱·比奇曼公司Preparation of purines
EP1288215B1 (en)*2001-08-302004-12-15Ajinomoto Co., Inc.Production method of famciclovir and production and crystallization method of intermediate therefor
CN100455583C (en)*2003-06-132009-01-28京东制药株式会社2-amino-9- (2-substituted ethyl) purines and methods of using same to prepare 9- [ 4-acetoxy-3- (acetoxymethyl) butan-1-yl ] -2-aminopurine

Also Published As

Publication numberPublication date
CN108314685A (en)2018-07-24

Similar Documents

PublicationPublication DateTitle
CN105669733A (en)Synthetic method of 1-methyl-1H-pyrazole-3-boronic acid pinacol ester
CN114591355B (en)Preparation method of clenbuterol
JPS6121938B2 (en)
CN108314685B (en)Preparation method of 2-amino-6-chloro-9- (4-acetoxyl-3-acetoxymethyl butyl) purine
CN110218189B (en)Abelide intermediate and simple preparation method of Abelide
CN109897874A (en)A method of preparing chiral isoquinolinecarboxylic acid
CN108484605B (en)Preparation method of 2-amino-6-chloro-9- (4-acetoxyl-3-acetoxymethyl butyl) purine
CN114044777A (en)Preparation method of tricitabinib phosphate
CN107848958B (en)Preparation method of citalopram diol intermediate
CN110256434B (en)Method for preparing high-purity diprophylline
CN116496223A (en) A kind of preparation method of 5-bromo-4-methyl-2-trifluoromethylpyrimidine
CN114560894B (en)Preparation method of anti-new crown medicine Molnupiravir
CN105968109B (en)A kind of method for preparing Pa Boxini intermediates
CN102875344B (en)A kind of preparation method of 2,3,4-TMB
CN105348254A (en)Method for preparing 1,3-propane sultone
CN111635358B (en)Preparation method of hydroxychloroquine
CN106008499A (en)Method for preparing CDK46 kinase inhibitor Palbociclib
CN108084238A (en)A kind of preparation method of canrenone intermediate
CN109305992A (en)A kind of preparation method of azacitidine
CN104910209B (en)A kind of method for preparing tenofovir
CN114702425A (en)Preparation method of (S) -2-amino- (S) -3- [ pyrrolidone-2&#39; ] alanine derivative and intermediate
CN102617486A (en)Process for preparing 6-chlorine-1,3-dimethyl uracil
CN114249723A (en)Preparation method of zolpidem and key intermediate thereof
CN105949189B (en)A kind of preparation method for being used to treat the Pa Boxini of breast cancer
CN111303039A (en)Preparation method of imidazole antiviral compound

Legal Events

DateCodeTitleDescription
PB01Publication
PB01Publication
SE01Entry into force of request for substantive examination
SE01Entry into force of request for substantive examination
GR01Patent grant
GR01Patent grant

[8]ページ先頭

©2009-2025 Movatter.jp