


技术领域technical field
本发明涉及电机的PID参数整定技术领域,特别是涉及一种基于闪电搜索算法的PID参数整定方法及系统。The invention relates to the technical field of PID parameter tuning of motors, in particular to a PID parameter tuning method and system based on a lightning search algorithm.
背景技术Background technique
PID(Proportional Integral Derivative)控制也称PID调节,是比例、积分和微分控制的简称。PID控制是先根据被控系统的输入与输出确定比较误差,然后根据比较误差整定PID参数,最后根据整定的PID参数进行控制。在过去的几十年里,随着计算机技术的迅速发展以及智能算法研究的深入和改进,工业过程控制领域的控制理论与控制技术也取得了前所未有的进步。PID (Proportional Integral Derivative) control, also known as PID regulation, is an abbreviation for proportional, integral and derivative control. PID control is to first determine the comparison error according to the input and output of the controlled system, then set the PID parameters according to the comparison error, and finally control according to the set PID parameters. In the past few decades, with the rapid development of computer technology and the deepening and improvement of intelligent algorithm research, the control theory and control technology in the field of industrial process control have also made unprecedented progress.
国际机构对PID控制的应用状况和使用性能进行过统计和评估,调查显示有超过95%的PID控制被广泛应用于冶金、化工、电力、轻工和机械等工业控制领域,而美国的冶金、化工和造纸等18个工业控制领域中,有超过97%的反馈回路采用了PID控制算法。在一些复杂控制系统的基础控制层也采用了PID的控制算法。然而不足的是,60%以上的PID控制在相应工业控制系统中的控制性能并不能达到用户所期望的要求,电机的PID参数整定是一个待完善的问题。International organizations have conducted statistics and evaluations on the application status and performance of PID control. The survey shows that more than 95% of PID control is widely used in industrial control fields such as metallurgy, chemical industry, electric power, light industry and machinery. In 18 industrial control fields such as chemical industry and papermaking, more than 97% of the feedback loops use PID control algorithms. The PID control algorithm is also used in the basic control layer of some complex control systems. However, the disadvantage is that the control performance of more than 60% of the PID control in the corresponding industrial control system cannot meet the requirements expected by users, and the tuning of the PID parameters of the motor is a problem to be improved.
基于上述问题,众多学者和专家对PID控制进行了技术改进,实现面对复杂多变的非线性系统时对PID参数进行整定,以适应动态变化的控制环境,具体包括以下几种方法:Based on the above problems, many scholars and experts have made technical improvements to PID control to realize the tuning of PID parameters in the face of complex and changeable nonlinear systems to adapt to the dynamically changing control environment, including the following methods:
1、基于遗传算法对PID参数整定;采用基于遗传算法能够实现PID控制,但是存在以下缺点:(1)遗传算法的编程复杂,需要对问题进行编码找到最优解后对问题进行解码,进而PID参数整定效率;(2)三个算子的参数太多而且参数设定需要依赖经验;(3)搜索速度慢。1. Tuning PID parameters based on genetic algorithm; PID control can be realized by using genetic algorithm, but it has the following shortcomings: (1) The programming of genetic algorithm is complicated, and it is necessary to encode the problem to find the optimal solution and decode the problem, and then PID Parameter setting efficiency; (2) There are too many parameters for the three operators and the parameter setting needs to rely on experience; (3) The search speed is slow.
2、基于标准粒子群算法对PID参数整定;采用标准粒子群算法能够实现PID控制,但是存在以下缺点:(1)容易陷入局部最优解;(2)算法容易产生早熟收敛;(3)局部寻优能力较差;(4)PID参数整定效率低。2. The PID parameters are tuned based on the standard particle swarm algorithm; the standard particle swarm algorithm can realize PID control, but there are the following disadvantages: (1) it is easy to fall into the local optimal solution; (2) the algorithm is prone to premature convergence; (3) local The ability to search for optimization is poor; (4) The efficiency of PID parameter setting is low.
3、基于蚁群算法对PID参数整定;采用蚁群算法能够实现PID控制,但是存在以下缺点:(1)容易陷入局部最优解;(2)算法容易产生早熟收敛;(3)搜索时间较长;(4)PID参数整定效率低。3. Tuning PID parameters based on ant colony algorithm; PID control can be realized by using ant colony algorithm, but it has the following disadvantages: (1) It is easy to fall into the local optimal solution; (2) The algorithm is prone to premature convergence; (3) The search time is relatively short. (4) The PID parameter setting efficiency is low.
基于上述问题,如何实现全局搜索、提高PID参数整定效率成为本领域亟需解决的问题。Based on the above problems, how to achieve global search and improve the efficiency of PID parameter tuning has become an urgent problem to be solved in this field.
发明内容SUMMARY OF THE INVENTION
本发明的目的是提供一种基于闪电搜索算法的PID参数整定方法及系统,实现全局搜索、提高PID参数整定效率。The purpose of the present invention is to provide a PID parameter setting method and system based on the lightning search algorithm, which can realize global search and improve the PID parameter setting efficiency.
为实现上述目的,本发明提供一种基于闪电搜索算法的PID参数整定方法,所述方法包括:To achieve the above object, the present invention provides a PID parameter tuning method based on a lightning search algorithm, the method comprising:
建立PID参数的数学模型;Establish a mathematical model of PID parameters;
基于闪电搜索算法,对所述PID参数的数学模型进行优化,获得最优PID值。Based on the lightning search algorithm, the mathematical model of the PID parameters is optimized to obtain the optimal PID value.
可选的,所述PID参数的数学模型为:Optionally, the mathematical model of the PID parameters is:
f=∫t|s-sref|dtf=∫t|ssref |dt
其中,S为电机实测速度,Sref为预期速度,t为时间。Among them, S is the measured speed of the motor,Sref is the expected speed, and t is the time.
可选的,所述基于闪电搜索算法,对所述PID参数的数学模型进行优化,具体包括:Optionally, based on the lightning search algorithm, the mathematical model of the PID parameters is optimized, specifically including:
A、初始化参数;A. Initialization parameters;
初始化设定迭代次数M、设定通道时间T、种群数目N、初始顶端能量Esl和PID初始值;Initialize and set the number of iterations M, set the channel time T, the population number N, the initial tip energy Esl and the initial value of the PID;
B、随机进行群体空间位置初始化,初始化过渡放电体的位置,根据所述PID参数的数学模型确定待优化的适应度函数,设置当前迭代次数t;B. Randomly initialize the group space position, initialize the position of the transition discharge body, determine the fitness function to be optimized according to the mathematical model of the PID parameters, and set the current iteration number t;
C、利用适应度函数进行性能评估,即评估空间放电体的能量Ep;C. Use the fitness function to evaluate the performance, that is, to evaluate the energy Ep of the space discharge body;
D、更新空间放电体顶端能量Esl;若Ep>Esl或为最优解,则相应的梯级先导sli扩展到一个新的位置sli_new,更新Pis至新空间放电体位置再根据PID映射公式更新每个空间放电体此次迭代的PID值;否则,保持不变,直到下一次迭代;如果延伸到sli_new并优于当前迭代,则空间放电体将变成引导放电体;D. Update the top energy Esl of the space discharge body; if Ep >Esl or is the optimal solution, then the corresponding step leader sli is extended to a new positionsli_new , andP isis updated to the new space discharge position Then update the PID value of this iteration of each space discharge body according to the PID mapping formula; otherwise, remain unchanged until the next iteration; if Extend to sli_new and outperform the current iteration, the space discharger will become a guide discharger;
E、更新引导放电体顶端能量Esl;若Ep>Esl,更新PL至新引导放电体位置若在第t+1次迭代提供了较优解,则相应的梯级先导sli被扩展到新的位置sli_new,且PL更新为再根据PID映射公式更新每个引导放电体此次迭代的PID值;否则,引导放电体位置PL保持不变,直到下一次迭代;E. Update the top energy Esl of the guide discharge body; if Ep >Esl , updatePL to the new guide discharge body position like A better solution is provided at the t+1th iteration, then the corresponding rung leadersli is extended to the new position sli_new, andPL is updated as Then, according to the PID mapping formula, update the PID value of each guide discharge body for this iteration; otherwise, the guide discharge body positionPL remains unchanged until the next iteration;
F、判断通道时间是否达到设定通道时间T;若是,则淘汰最差通道,重置通道时间,并更新空间放电体方向和空间放电能量Ep;若否,则直接更新空间放电体方向和空间放电能量Ep;F. Determine whether the channel time reaches the set channel time T; if so, eliminate the worst channel, reset the channel time, and update the space discharge body direction and space discharge energy Ep ; if not, directly update the space discharge body direction and space discharge energy Ep ;
G、评估空间放电体能量Ep,并扩展通道;若Ep>Esl,则引导放电体进行梯级先导传播或生成通道,淘汰最低能量的通道,且PL更新为再根据PID映射公式更新每个放电体此次迭代的PID值;若Ep≤Esl,则引导放电体位置PL保持不变,直到下一次迭代;G. Evaluate the energy Ep of the space discharge body, and expand the channel; if Ep >Esl , guide the discharge body to carry out cascade pilot propagation or generate channels, eliminate the channel with the lowest energy, andPL is updated as Then update the PID value of each discharge body in this iteration according to the PID mapping formula; if Ep ≤ Esl , the positionPL of the guiding discharge body remains unchanged until the next iteration;
H、判断算法是否达到设定迭代次数M,若满足,则转到I;否则,令t=t+1,重复执行D;H. Determine whether the algorithm has reached the set number of iterations M, and if so, go to I; otherwise, set t=t+1, and execute D repeatedly;
I、输出具有最大能量的引导放电体位置对应的最优PID值。I. Output the optimal PID value corresponding to the position of the guide discharge body with the maximum energy.
可选的,PID映射公式为:Optionally, the PID mapping formula is:
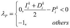
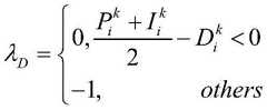
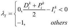
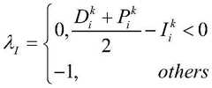
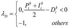
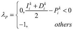
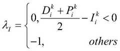
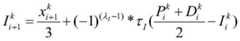
其中,和为对应放电体的PID参数,即为第i+1次迭代的P、I和D;和分别为对应第K个放电体第i次迭代的P、I和D参数,τp,τI和τD分别为P、I和D分离系数;λP,λI和λD分别为映射的方向系数,具体计算公式如下:in, and for the corresponding discharge PID parameters, namely P, I and D of the i+1th iteration; and are the P, I and D parameters corresponding to the i-th iteration of the K-th discharge body, respectively, τp , τI and τD are the separation coefficients of P, I and D, respectively; λP , λI and λD are the mapped The direction coefficient, the specific calculation formula is as follows:
其中,和为对应第k个放电体第i次迭代时的P、I和D参数。in, and are the P, I and D parameters corresponding to the i-th iteration of the k-th discharge body.
本发明还提供一种基于闪电搜索算法的PID参数整定系统,所述系统包括:The present invention also provides a PID parameter tuning system based on a lightning search algorithm, the system comprising:
数学模型建立模块,用于建立PID参数的数学模型;Mathematical model establishment module, used to establish the mathematical model of PID parameters;
数学模型优化模块,用于基于闪电搜索算法,对所述PID参数的数学模型进行优化,获得最优PID值。The mathematical model optimization module is used for optimizing the mathematical model of the PID parameters based on the lightning search algorithm to obtain the optimal PID value.
可选的,所述PID参数的数学模型为:Optionally, the mathematical model of the PID parameters is:
f=∫t|s-sref|dtf=∫t|ssref |dt
其中,S为电机实测速度,Sref为预期速度,t为时间。Among them, S is the measured speed of the motor,Sref is the expected speed, and t is the time.
可选的,所述数学模型优化模块,具体包括:Optionally, the mathematical model optimization module specifically includes:
初始化单元,用于初始化参数;Initialization unit, used to initialize parameters;
初始化设定迭代次数M、设定通道时间T、种群数目N、初始顶端能量Esl和PID初始值;Initialize and set the number of iterations M, set the channel time T, the population number N, the initial tip energy Esl and the initial value of the PID;
优化适应度函数确定单元,用于随机进行群体空间位置初始化,初始化过渡放电体的位置,根据所述PID参数的数学模型确定待优化的适应度函数,设置当前迭代次数t;an optimization fitness function determination unit, used for randomly initializing the group space position, initializing the position of the transition discharge body, determining the fitness function to be optimized according to the mathematical model of the PID parameters, and setting the current iteration number t;
评估单元,用于利用适应度函数进行性能评估,即评估空间放电体的能量Ep;an evaluation unit for performing performance evaluation using the fitness function, that is, evaluating the energy Ep of the space discharge body;
第一判断单元,用于更新空间放电体顶端能量Esl;若Ep>Esl或为最优解,则相应的梯级先导sli扩展到一个新的位置sli_new,更新至新空间放电体位置再根据PID映射公式更新每个空间放电体此次迭代的PID值;否则,保持不变,直到下一次迭代;如果延伸到sli_new并优于当前迭代,则空间放电体将变成引导放电体;The first judgment unit is used to update the top energy Esl of the space discharge body; if Ep >Esl or is the optimal solution, then the corresponding step leadersli is extended to a new position sl i_new, updating To the new space discharge discharge location Then update the PID value of this iteration of each space discharge body according to the PID mapping formula; otherwise, remain unchanged until the next iteration; if Extend to sli_new and outperform the current iteration, the space discharger will become a guide discharger;
第二判断单元,用于更新引导放电体顶端能量Esl;若Ep>Esl,更新PL至新引导放电体位置若在第t+1次迭代提供了较优解,则相应的梯级先导sli被扩展到新的位置sli_new,且PL更新为再根据PID映射公式更新每个引导放电体此次迭代的PID值;否则,引导放电体位置PL保持不变,直到下一次迭代;The second judging unit is used to update the top energy Esl of the guide discharge body; if Ep >Esl , updatePL to the new position of the guide discharge body like A better solution is provided at the t+1th iteration, then the corresponding rung leadersli is extended to the new position sli_new, andPL is updated as Then, according to the PID mapping formula, update the PID value of each guide discharge body for this iteration; otherwise, the guide discharge body positionPL remains unchanged until the next iteration;
第三判断单元,用于判断通道时间是否达到设定通道时间T;若是,则淘汰最差通道,重置通道时间,并更新空间放电体方向和空间放电能量Ep;若否,则直接更新空间放电体方向和空间放电能量Ep;The third judging unit is used to judge whether the channel time reaches the set channel time T; if so, eliminate the worst channel, reset the channel time, and update the direction of the space discharge body and the space discharge energy Ep ; if not, directly update The direction of the space discharge body and the space discharge energy Ep ;
第四判断单元,用于评估空间放电体能量Ep,并扩展通道;若Ep>Esl,则引导放电体进行梯级先导传播或生成通道,淘汰最低能量的通道,且PL更新为再根据PID映射公式更新每个放电体此次迭代的PID值;若Ep≤Esl,则引导放电体位置PL保持不变,直到下一次迭代;The fourth judging unit is used to evaluate the energy Ep of the space discharge body and expand the channel; if Ep >Esl , guide the discharge body to conduct step-leading propagation or generate channels, eliminate the channel with the lowest energy, andPL is updated as Then update the PID value of each discharge body in this iteration according to the PID mapping formula; if Ep ≤ Esl , the positionPL of the guiding discharge body remains unchanged until the next iteration;
第五判断单元,用于判断算法是否达到设定迭代次数M,若满足,则转到I;否则,令t=t+1,重复执行D;The fifth judging unit is used to judge whether the algorithm reaches the set number of iterations M, and if so, go to I; otherwise, let t=t+1, and repeat D;
输出单元,用于输出具有最大能量的引导放电体位置对应的最优PID值。The output unit is used for outputting the optimal PID value corresponding to the position of the guide discharge body with the maximum energy.
可选的,PID映射公式为:Optionally, the PID mapping formula is:
其中,和为对应放电体的PID参数,即为第i+1次迭代的P、I和D;和分别为对应第K个放电体第i次迭代的P、I和D参数,τp,τI和τD分别为P、I和D分离系数;λP,λI和λD分别为映射的方向系数,具体计算公式如下:in, and for the corresponding discharge PID parameters, namely P, I and D of the i+1th iteration; and are the P, I and D parameters corresponding to the i-th iteration of the K-th discharge body, respectively, τp , τI and τD are the separation coefficients of P, I and D, respectively; λP , λI and λD are the mapped The direction coefficient, the specific calculation formula is as follows:
其中,和为对应第k个放电体第i次迭代时的P、I和D参数。in, and are the P, I and D parameters corresponding to the i-th iteration of the k-th discharge body.
根据本发明提供的具体实施例,本发明公开了以下技术效果:According to the specific embodiments provided by the present invention, the present invention discloses the following technical effects:
本发明先建立PID参数的数学模型;然后基于闪电搜索算法,对所述PID参数的数学模型进行优化确定最优PID值具有计算复杂度低,收敛速度快,能够跳出局部最优解,实现全局搜索的能力,提高PID参数整定效率。The invention first establishes the mathematical model of the PID parameters; then based on the lightning search algorithm, the mathematical model of the PID parameters is optimized to determine the optimal PID value, which has the advantages of low computational complexity, fast convergence speed, and can jump out of the local optimal solution and realize the global The ability to search, improve the efficiency of PID parameter tuning.
附图说明Description of drawings
为了更清楚地说明本发明实施例或现有技术中的技术方案,下面将对实施例中所需要使用的附图作简单地介绍,显而易见地,下面描述中的附图仅仅是本发明的一些实施例,对于本领域普通技术人员来讲,在不付出创造性劳动性的前提下,还可以根据这些附图获得其他的附图。In order to more clearly illustrate the embodiments of the present invention or the technical solutions in the prior art, the accompanying drawings required in the embodiments will be briefly introduced below. Obviously, the drawings in the following description are only some of the present invention. In the embodiments, for those of ordinary skill in the art, other drawings can also be obtained according to these drawings without creative labor.
图1为本发明基于闪电搜索算法的PID参数整定方法流程图;Fig. 1 is the flow chart of the PID parameter setting method based on lightning search algorithm of the present invention;
图2为本发明基于闪电搜索算法的PID参数整定方法具体流程图;Fig. 2 is the specific flow chart of the PID parameter setting method based on the lightning search algorithm of the present invention;
图3为本发明基于闪电搜索算法的PID参数整定系统结构图。Fig. 3 is the structure diagram of the PID parameter setting system based on the lightning search algorithm of the present invention.
具体实施方式Detailed ways
下面将结合本发明实施例中的附图,对本发明实施例中的技术方案进行清楚、完整地描述,显然,所描述的实施例仅仅是本发明一部分实施例,而不是全部的实施例。基于本发明中的实施例,本领域普通技术人员在没有做出创造性劳动前提下所获得的所有其他实施例,都属于本发明保护的范围。The technical solutions in the embodiments of the present invention will be clearly and completely described below with reference to the accompanying drawings in the embodiments of the present invention. Obviously, the described embodiments are only a part of the embodiments of the present invention, but not all of the embodiments. Based on the embodiments of the present invention, all other embodiments obtained by those of ordinary skill in the art without creative efforts shall fall within the protection scope of the present invention.
本发明的目的是提供一种基于闪电搜索算法的PID参数整定方法及系统,实现全局搜索、提高PID参数整定效率。The purpose of the present invention is to provide a PID parameter setting method and system based on the lightning search algorithm, which can realize global search and improve the PID parameter setting efficiency.
为使本发明的上述目的、特征和优点能够更加明显易懂,下面结合附图和具体实施方式对本发明作进一步详细的说明。In order to make the above objects, features and advantages of the present invention more clearly understood, the present invention will be described in further detail below with reference to the accompanying drawings and specific embodiments.
PID控制技术是最简单的闭环控制技术之一,一般都是利用单反馈或者多反馈来实现对控制对象的调节,实现被控对象的可控性和可预知性的控制,使得设备运行的更加的可靠,合理且平稳。PID的全称为比例积分微分控制,P即为比例,即为积分,D即为微分。PID往往都是应用于惰性系统,所谓惰性系统就是变化较慢且无法精确控制和调节的对象,其中最最重要的特点就是变化速度慢,调节速度慢,控制周期较长,最经典的控制对象就为温度的温控。下面就举一个简单的例子进行说明:比如我们要对一个水箱里面的水进行加热,我们的目标加热温度为100℃,首先我们不用闭环对水温进行加热,也就是说我们只是靠人为观察温度计的温度值来对加热器进行人工的干预。当温度加热到100℃以后,我们就停止加热,这个时候,虽然水温已经到达100且加热器已经不再通电加热,但是由于加热器的预热和水本身传递温度的惰性,导致水温会继续上升,经过一段时间后,水温会继续升高,并且超过100℃,那么该系统就无法达到我们所预期的要求。这个时候,停止加热后本身会继续散热继续升温,那等到温度到90摄氏度左右以后,我们停止加热,然后利用水的惰性和加热器的散热,让水温继续升温,正好达到100℃,这样不就解决问题了吗?这么想是对的,但是水温要达到90几度的时候我们停止加热呢?还有就是从停止加热到100℃的时间是多少?经过一段时间后,温度没有达到100℃,而是小于100摄氏度以后温度就达到了顶峰,这样怎么办?上述所有的办法,可能能够解决水温到达100℃的要求,但是其中很多环节很多结果都是无法预测和无法控制的,即便经历了很麻烦的人为干预同时经过了一个较长的时间达到了我们对水温加热到100℃的要求,也要经历一个相当复杂和相当漫长的时间才能达到,并且整个过程一直要有人为的干预,实在是属于劳民伤财.不只是对温度的控制,还有其他很多领域的过程控制,都遇到了这些让人很困惑问题,所以科学家就针对此类问题发明了闭环控制原理,其中最经典最简单最实用的就是PID闭环控制。该控制原理简单可靠,参数调整简便,实用性强,广泛的受到人们的支持。PID control technology is one of the simplest closed-loop control technologies. Generally, single feedback or multiple feedbacks are used to realize the adjustment of the control object, to realize the controllability and predictability of the controlled object, and to make the equipment run more smoothly. reliable, reasonable and stable. The full name of PID is proportional-integral-derivative control, P is proportional, which is integral, and D is differential. PID is often used in inertial systems. The so-called inertial system is an object that changes slowly and cannot be accurately controlled and adjusted. The most important features are slow change speed, slow adjustment speed, and long control period. The most classic control object It's temperature control. Let's take a simple example to illustrate: For example, we want to heat the water in a water tank, and our target heating temperature is 100 °C. First of all, we do not need to close the loop to heat the water temperature, that is to say, we only rely on human observation of the thermometer. temperature value for manual intervention on the heater. When the temperature reaches 100°C, we stop heating. At this time, although the water temperature has reached 100°C and the heater is no longer energized for heating, the water temperature will continue to rise due to the preheating of the heater and the inertia of the water itself. , after a period of time, the water temperature will continue to rise and exceed 100 ℃, then the system cannot meet the requirements we expected. At this time, after the heating is stopped, it will continue to dissipate heat and continue to heat up. When the temperature reaches about 90 degrees Celsius, we stop the heating, and then use the inertia of the water and the heat dissipation of the heater to let the water temperature continue to heat up, just reaching 100 degrees Celsius. Did you solve the problem? It's right to think so, but what if we stop the heating when the water temperature reaches 90 degrees? And what is the time from stop heating to 100℃? After a period of time, the temperature does not reach 100 degrees Celsius, but the temperature reaches its peak when it is less than 100 degrees Celsius. What should I do? All the above methods may be able to solve the requirement that the water temperature reaches 100°C, but many of the results in many links are unpredictable and uncontrollable, even after a very troublesome human intervention and a long time to reach our expectations. The requirement of heating the water temperature to 100°C has to go through a very complicated and long time to achieve, and the whole process always requires human intervention, which is really a waste of money. Process control has encountered these confusing problems, so scientists have invented closed-loop control principles for such problems. The most classic, simple and practical is PID closed-loop control. The control principle is simple and reliable, the parameter adjustment is simple, the practicability is strong, and it is widely supported by people.
PID(Proportional Integral Derivative)控制也称PID调节,是比例、积分和微分控制的简称,实际应用中也有双作用的PI控制和PD控制。PID控制是根据被控系统的输入与输出的比较误差,通过对误差的比例、积分、微分计算出控制量进行控制的。在过去的几十年里,随着计算机技术的迅速发展以及智能算法研究的深入和改进,工业过程控制领域的控制理论与控制技术也取得了前所未有的进步,虽然一些先进的控制策略在近十几年中不断推出,但基于反馈回路,应用输出和输入的比较偏差来进行系统调节的PID控制器依然在工业过程控制中占据95%以上的市场,被广泛应用于冶金、化工、电力、轻工和机械等工业控制领域。因此,如何实现全局搜索、提高PID参数整定效率成为本领域亟需解决的技术问题。PID (Proportional Integral Derivative) control, also known as PID regulation, is the abbreviation of proportional, integral and differential control. In practical applications, there are also double-acting PI control and PD control. PID control is based on the comparison error between the input and output of the controlled system, and calculates the control amount through the proportion, integration and differentiation of the error. In the past few decades, with the rapid development of computer technology and the deepening and improvement of intelligent algorithm research, the control theory and control technology in the field of industrial process control have also made unprecedented progress. It has been introduced continuously for several years, but based on the feedback loop, the PID controller that uses the comparative deviation of output and input to adjust the system still occupies more than 95% of the market in industrial process control, and is widely used in metallurgy, chemical industry, electric power, light industry, etc. Industrial control fields such as engineering and machinery. Therefore, how to realize the global search and improve the efficiency of PID parameter tuning has become an urgent technical problem to be solved in this field.
图1为本发明基于闪电搜索算法的PID参数整定方法流程图;图2为本发明基于闪电搜索算法的PID参数整定方法具体流程图;如图1-图2所示,本发明提供一种基于闪电搜索算法的PID参数整定方法,所述方法包括:Fig. 1 is the flow chart of the PID parameter tuning method based on the lightning search algorithm of the present invention; Fig. 2 is the specific flow chart of the PID parameter tuning method based on the lightning search algorithm of the present invention; as shown in Figs. A PID parameter tuning method for a lightning search algorithm, the method comprising:
步骤11:建立PID参数的数学模型;Step 11: establish a mathematical model of PID parameters;
所述PID参数的数学模型为:The mathematical model of the PID parameters is:
f=∫t|s-sref|dtf=∫t|ssref |dt
其中,S为电机实测速度,Sref为预期速度,t为时间。Among them, S is the measured speed of the motor,Sref is the expected speed, and t is the time.
步骤12:基于闪电搜索算法,对所述PID参数的数学模型进行优化,获得最优PID值。具体包括:Step 12: Based on the lightning search algorithm, the mathematical model of the PID parameters is optimized to obtain the optimal PID value. Specifically include:
步骤121:初始化参数;Step 121: Initialize parameters;
初始化设定迭代次数M、设定通道时间T、种群数目N、初始顶端能量Esl和PID初始值;Initialize and set the number of iterations M, set the channel time T, the population number N, the initial tip energy Esl and the initial value of the PID;
步骤122:随机进行群体空间位置初始化,初始化过渡放电体的位置,根据所述PID参数的数学模型确定待优化的适应度函数,设置当前迭代次数t;Step 122: Randomly initialize the group space position, initialize the position of the transition discharge body, determine the fitness function to be optimized according to the mathematical model of the PID parameters, and set the current iteration number t;
步骤123:利用适应度函数进行性能评估,即评估空间放电体的能量Ep;Step 123: Use the fitness function to perform performance evaluation, that is, to evaluate the energy Ep of the space discharge body;
步骤124:更新空间放电体顶端能量Esl;若Ep>Esl或为最优解,则相应的梯级先导sli扩展到一个新的位置sli_new,更新至新空间放电体位置再根据PID映射公式更新每个空间放电体此次迭代的PID值;否则,保持不变,直到下一次迭代;如果延伸到sli_new并优于当前迭代,则空间放电体将变成引导放电体;Step 124: Update the top energy Esl of the space discharge body; if Ep >Esl or is the optimal solution, then the corresponding step leadersli is extended to a new position sl i_new, updating To the new space discharge discharge location Then update the PID value of this iteration of each space discharge body according to the PID mapping formula; otherwise, remain unchanged until the next iteration; if Extend to sli_new and outperform the current iteration, the space discharger will become a guide discharger;
步骤125:更新引导放电体顶端能量Esl;若Ep>Esl,更新PL至新引导放电体位置若在第t+1次迭代提供了较优解,则相应的梯级先导sli被扩展到新的位置sli_new,且PL更新为再根据PID映射公式更新每个引导放电体此次迭代的PID值;否则,引导放电体位置PL保持不变,直到下一次迭代;Step 125: Update the top energy Esl of the guide discharge body; if Ep >Esl , updatePL to the new guide discharge body position like A better solution is provided at the t+1th iteration, then the corresponding rung leadersli is extended to the new position sli_new, andPL is updated as Then, according to the PID mapping formula, update the PID value of each guide discharge body for this iteration; otherwise, the guide discharge body positionPL remains unchanged until the next iteration;
步骤126:判断通道时间是否达到设定通道时间T;若是,则淘汰最差通道,重置通道时间,并更新空间放电体方向和空间放电能量Ep;若否,则直接更新空间放电体方向和空间放电能量Ep;Step 126: Determine whether the channel time reaches the set channel time T; if so, eliminate the worst channel, reset the channel time, and update the direction of the space discharge body and the space discharge energy Ep ; if not, directly update the direction of the space discharge body and space discharge energy Ep ;
步骤127:评估空间放电体能量Ep,并扩展通道;若Ep>Esl,则引导放电体进行梯级先导传播或生成通道,淘汰最低能量的通道,且PL更新为再根据PID映射公式更新每个放电体此次迭代的PID值;若Ep≤Esl,则引导放电体位置PL保持不变,直到下一次迭代;Step 127 : Evaluate the energy Ep of the space discharge body, and expand the channel; if Ep >Esl , guide the discharge body to conduct step-leading propagation or generate channels, eliminate the channel with the lowest energy, and updatePL as Then update the PID value of each discharge body in this iteration according to the PID mapping formula; if Ep ≤ Esl , the positionPL of the guiding discharge body remains unchanged until the next iteration;
步骤128:判断算法是否达到设定迭代次数M,若满足,则转到I;否则,令t=t+1,重复执行D;Step 128: Determine whether the algorithm has reached the set number of iterations M, and if so, go to I; otherwise, set t=t+1, and execute D repeatedly;
步骤129:输出具有最大能量的引导放电体位置对应的最优PID值。Step 129: Output the optimal PID value corresponding to the position of the guide discharge body with the maximum energy.
所述PID映射公式为:The PID mapping formula is:
其中,和为对应放电体的PID参数,即为第i+1次迭代的P、I和D;和分别为对应第K个放电体第i次迭代的P、I和D参数,τp,τI和τD分别为P、I和D分离系数;λP,λI和λD分别为映射的方向系数,具体计算公式如下:in, and for the corresponding discharge PID parameters, namely P, I and D of the i+1th iteration; and are the P, I and D parameters corresponding to the i-th iteration of the K-th discharge body, respectively, τp , τI and τD are the separation coefficients of P, I and D, respectively; λP , λI and λD are the mapped The direction coefficient, the specific calculation formula is as follows:
其中,和为对应第k个放电体第i次迭代时的P、I和D参数。in, and are the P, I and D parameters corresponding to the i-th iteration of the k-th discharge body.
图3为本发明基于闪电搜索算法的PID参数整定系统结构图。如图3所示,本发明还提供一种基于闪电搜索算法的PID参数整定系统,所述系统包括:Fig. 3 is the structure diagram of the PID parameter setting system based on the lightning search algorithm of the present invention. As shown in Figure 3, the present invention also provides a PID parameter tuning system based on a lightning search algorithm, the system comprising:
数学模型建立模块31,用于建立PID参数的数学模型。The mathematical
所述PID参数的数学模型为:The mathematical model of the PID parameters is:
f=∫t|s-sref|dtf=∫t|ssref |dt
其中,S为电机实测速度,Sref为预期速度,t为时间。Among them, S is the measured speed of the motor,Sref is the expected speed, and t is the time.
数学模型优化模块32,用于基于闪电搜索算法,对所述PID参数的数学模型进行优化,获得最优PID值。The mathematical
所述数学模型优化模块32,具体包括:The mathematical
初始化单元,用于初始化参数;Initialization unit, used to initialize parameters;
初始化设定迭代次数M、设定通道时间T、种群数目N、初始顶端能量Esl和PID初始值;Initialize and set the number of iterations M, set the channel time T, the population number N, the initial tip energy Esl and the initial value of the PID;
优化适应度函数确定单元,用于随机进行群体空间位置初始化,初始化过渡放电体的位置,根据所述PID参数的数学模型确定待优化的适应度函数,设置当前迭代次数t;an optimization fitness function determination unit, used for randomly initializing the group space position, initializing the position of the transition discharge body, determining the fitness function to be optimized according to the mathematical model of the PID parameters, and setting the current iteration number t;
评估单元,用于利用适应度函数进行性能评估,即评估空间放电体的能量Ep;an evaluation unit for performing performance evaluation using the fitness function, that is, evaluating the energy Ep of the space discharge body;
第一判断单元,用于更新空间放电体顶端能量Esl;若Ep>Esl或为最优解,则相应的梯级先导sli扩展到一个新的位置sli_new,更新至新空间放电体位置再根据PID映射公式更新每个空间放电体此次迭代的PID值;否则,保持不变,直到下一次迭代;如果延伸到sli_new并优于当前迭代,则空间放电体将变成引导放电体;The first judgment unit is used to update the top energy Esl of the space discharge body; if Ep >Esl or is the optimal solution, then the corresponding step leadersli is extended to a new position sl i_new, updating To the new space discharge discharge location Then update the PID value of this iteration of each space discharge body according to the PID mapping formula; otherwise, remain unchanged until the next iteration; if Extend to sli_new and outperform the current iteration, the space discharger will become a guide discharger;
第二判断单元,用于更新引导放电体顶端能量Esl;若Ep>Esl,更新PL至新引导放电体位置若在第t+1次迭代提供了较优解,则相应的梯级先导sli被扩展到新的位置sli_new,且PL更新为再根据PID映射公式更新每个引导放电体此次迭代的PID值;否则,引导放电体位置PL保持不变,直到下一次迭代;The second judging unit is used to update the top energy Esl of the guide discharge body; if Ep >Esl , updatePL to the new position of the guide discharge body like A better solution is provided at the t+1th iteration, then the corresponding rung leadersli is extended to the new position sli_new, andPL is updated as Then, according to the PID mapping formula, update the PID value of each guide discharge body for this iteration; otherwise, the guide discharge body positionPL remains unchanged until the next iteration;
第三判断单元,用于判断通道时间是否达到设定通道时间T;若是,则淘汰最差通道,重置通道时间,并更新空间放电体方向和空间放电能量Ep;若否,则直接更新空间放电体方向和空间放电能量Ep;The third judging unit is used to judge whether the channel time reaches the set channel time T; if so, eliminate the worst channel, reset the channel time, and update the direction of the space discharge body and the space discharge energy Ep ; if not, directly update The direction of the space discharge body and the space discharge energy Ep ;
第四判断单元,用于评估空间放电体能量Ep,并扩展通道;若Ep>Esl,则引导放电体进行梯级先导传播或生成通道,淘汰最低能量的通道,且PL更新为再根据PID映射公式更新每个放电体此次迭代的PID值;若Ep≤Esl,则引导放电体位置PL保持不变,直到下一次迭代;The fourth judging unit is used to evaluate the energy Ep of the space discharge body and expand the channel; if Ep >Esl , guide the discharge body to conduct step-leading propagation or generate channels, eliminate the channel with the lowest energy, andPL is updated as Then update the PID value of each discharge body in this iteration according to the PID mapping formula; if Ep ≤ Esl , the positionPL of the guiding discharge body remains unchanged until the next iteration;
第五判断单元,用于判断算法是否达到设定迭代次数M,若满足,则转到I;否则,令t=t+1,重复执行D;The fifth judging unit is used to judge whether the algorithm reaches the set number of iterations M, and if so, go to I; otherwise, let t=t+1, and repeat D;
输出单元,用于输出具有最大能量的引导放电体位置对应的最优PID值。The output unit is used for outputting the optimal PID value corresponding to the position of the guide discharge body with the maximum energy.
所述PID映射公式为:The PID mapping formula is:
其中,和为对应放电体的PID参数,即为第i+1次迭代的P、I和D;和分别为对应第K个放电体第i次迭代的P、I和D参数,τp,τI和τD分别为P、I和D分离系数;λP,λI和λD分别为映射的方向系数,具体计算公式如下:in, and for the corresponding discharge PID parameters, namely P, I and D of the i+1th iteration; and are the P, I and D parameters corresponding to the i-th iteration of the K-th discharge body, respectively, τp , τI and τD are the separation coefficients of P, I and D, respectively; λP , λI and λD are the mapped The direction coefficient, the specific calculation formula is as follows:
其中,和为对应第k个放电体第i次迭代时的P、I和D参数。in, and are the P, I and D parameters corresponding to the i-th iteration of the k-th discharge body.
闪电搜索算法(LSA)的基本原理:The basic principle of Lightning Search Algorithm (LSA):
闪电放电的概率特性和曲折特征源自雷电。在闪电常见表现形式中,下行负地闪是雷电研究中研究最多的自然现象之一。LSA是基于从下行负地闪梯级先导传播机制归纳而来,其主要通过3种放电体的数学模型模拟来实现,即过渡放电体、试图成为领先者的空间放电体、源于过渡放电体群并代表最佳位置的引导放电体。LSA依据3种放电体的放电概率特性和曲折特征来创建随机分布函数进行待优化问题的求解。The probabilistic and tortuous characteristics of lightning discharges are derived from lightning. Among the common manifestations of lightning, downward negative ground lightning is one of the most studied natural phenomena in lightning research. LSA is based on the induction of the descending negative-to-ground lightning cascade pilot propagation mechanism, which is mainly realized by the mathematical model simulation of three types of dischargers, namely, the transition discharger, the space discharger trying to become the leader, and the group of transition dischargers. And represents the best position of the guide discharge. LSA creates a random distribution function based on the discharge probability characteristics and tortuosity characteristics of the three discharge bodies to solve the problem to be optimized.
基本定义为:The basic definition is:
①将源于雷电自然现象,并基于梯级先导传播机制的闪电快速粒子定义为放电体,该放电体的概念与PSO中使用的“粒子”术语相似①Define lightning fast particles originating from the natural phenomenon of lightning and based on the cascade leader propagation mechanism as a discharge body, the concept of which is similar to the term "particle" used in PSO
②假定每个放电体包含一个梯级先导者和一个通道,过渡放电体的数量代表初始群体规模,且每个放电体个体均表示一组待优化问题的空间随机候选解②Assume that each discharge body contains a cascade leader and a channel, the number of transition discharge bodies represents the initial population size, and each discharge body individual represents a set of spatial random candidate solutions to the problem to be optimized
③在本专利中,待优化问题的空间最优解即为当前最大能量的引导放电体所处的顶端位置。③ In this patent, the optimal spatial solution of the problem to be optimized is the top position of the current maximum energy guiding discharge.
1)放电体特性1) Discharger characteristics
在正常情况下,穿过大气的放电体在与空气中的分子和原子弹性碰撞时将失去其动能,放电体的速度可表示为:Under normal circumstances, the discharge body passing through the atmosphere will lose its kinetic energy when elastically colliding with the molecules and atoms in the air, and the speed of the discharge body can be expressed as:
式中:vp和v0分别为放电体当前速度和初始速度;c为光速;F为恒定电离速率;m为放电体质量;s为所经过的路径的长度。where vp and v0 are the current velocity and initial velocity of the discharge body, respectively; c is the speed of light; F is the constant ionization rate; m is the mass of the discharge body; s is the length of the path traversed.
式(1)表明:速度是梯级先导顶端位置能量和放电体质量的函数,当质量小或者行进路径较长时放电体几乎没有电离或探测大空间的潜能,它只能电离或开发附近的空间。因此,LSA的探索和开发能力可以通过梯级先导的相对能量来控制。Equation (1) shows that the velocity is a function of the energy at the top of the step leader and the mass of the discharge body. When the mass is small or the travel path is long, the discharge body has almost no potential to ionize or detect large spaces, and it can only ionize or develop nearby spaces. . Therefore, the exploration and development capabilities of LSAs can be controlled by the relative energy of the step leader.
放电体的另一个重要特征是分叉,分叉通过创建对称通道实现,见式(2):Another important feature of the discharge body is the bifurcation, which is achieved by creating a symmetrical channel, see equation (2):
式中:pi分别为一维问题中相对的两个放电体;a、b分别为范围边界。where:pi are the two opposite discharge bodies in the one-dimensional problem; a and b are the range boundaries respectively.
2)放电体建模和梯级先导移动2) Discharge body modeling and step leader movement
I.过渡放电体。设一个群体规模为N的梯级先导sl=[sl1,sl2,...,slN],其满足待优化问题解得N个随机放电体位置pT,表示从表示解空间的随机空间中利用标准均匀分布概率来创建过渡放电体的概率密度函数f(xT),其标准均匀分布概率密度函数f(xT)可以表示为:I. Transition discharger. Assume a step leader sl=[sl1 , sl2 ,..., slN ] with a population size of N, which satisfies the problem to be optimized and solves N random discharge body positions pT , representing From the random space representing the solution space, the probability density function f(xT ) of the transition discharge is created by using the standard uniform distribution probability, and its standard uniform distribution probability density function f(xT ) can be expressed as:
式中:xT为可提供候选解或梯级先导sli的初始顶端能量的随机数;a,b分别为解空间的边界范围。In the formula: xT is the initial tip energy that can provide candidate solutions or step leaders slii The random numbers of ; a and b are the boundary ranges of the solution space, respectively.
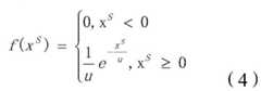
II.空间放电体。设空间放电体位置为利用具有形状参数u的指数分布函数的随机生成数来进行数学建模,期指数分布概率密度函数f(xs)由下式给出:II. Space discharge body. Let the position of the space discharge body be Mathematically modeled using the randomly generated numbers of an exponential distribution function with shape parameter u, the exponential distribution probability density function f(xs ) is given by:
式(4)表明:空间放电体的位置或下一次迭代的方向可以通过形状参数u来控制。在LSA中ui为引导放电体pL和空间放电体pSi之间的距离。依据这一定义pSi在第t+1次迭代位置可以描述为:Equation (4) shows that the position of the space discharge body or the direction of the next iteration can be controlled by the shape parameter u. In LSA,ui is the distance between the lead discharge body pL and the space discharge body pSi. According to this definition pSi at the t+1th iteration position can be described as:
PSi_new=PSi±exp(rand(ui)) (5)PSi_new = PSi ±exp(rand(ui )) (5)
式中exp(rand(ui))为随机指数。where exp(rand(ui )) is a random exponent.
III引导放电体。利用形状参数u和尺度参数σ的标准正态分布生成的苏技术进行数学建模,其正态分布概率密度函数f(xL)表示为:III leads the discharge body. Mathematical modeling is performed using the Su technique generated by the standard normal distribution of the shape parameter u and the scale parameter σ, and the normal distribution probability density function f(xL ) is expressed as:
式(6)表明:随机生成的引导放电体可以从形状参数所定义的当前位置的所有方向进行搜索,并且可通过尺度参数定义其开采功能。引导放电体pL在第t+1次迭代位置可以描述为:Equation (6) shows that the randomly generated guide discharge can be searched from all directions of the current position defined by the shape parameter, and its mining function can be defined by the scale parameter. The guiding discharge body pL at the t+1th iteration position can be described as:
PLi_new=PL+norm(rand(uL,σL))PLi_new =PL +norm(rand(uL ,σL ))
式中,norm(rand())为由正态分布函数生成的随机数。where norm(rand()) is a random number generated by a normal distribution function.
该算法已经被证明在大量基准测试问题和工程实际问题上优于许多前沿的启发式优化算法。该算法寻优能力强,计算复杂度低,收敛速度快,能够进行全局搜索,跳出局部最优解的能力。闪电搜索算法进行PID分离参数整定是首次提出。The algorithm has been shown to outperform many state-of-the-art heuristic optimization algorithms on a large number of benchmark problems and practical engineering problems. The algorithm has strong optimization ability, low computational complexity, fast convergence speed, and the ability to perform global search and jump out of the local optimal solution. The lightning search algorithm for PID separation parameter tuning is proposed for the first time.
本发明公开了一种基于闪电搜索算法PID分离的参数整定方法,包括以下步骤:初始化算法参数,具体包括最大迭代次数M,通道时间T,放电体种群大小N,初始顶端能量Esl,即PID初始值;随机生成过渡放电体的位置;利用待优化适应度函数进行性能评估,即评估放电体的能量;更新空间放电体顶端能量;更新引导放电体顶端能量;判断是否达到最大通道时间;评估放电体能量,并扩展通道;重复迭代,直到迭代结束;输出全局最优PID参数值和对应的PID值。本发明在闪电搜索算法中加入了PID映射的算法,具有较高的收敛速度,提高了PID参数整定的效率。The invention discloses a parameter setting method based on the PID separation of the lightning search algorithm, which includes the following steps: initializing the algorithm parameters, specifically including the maximum iteration number M, the channel time T, the discharge cell population size N, and the initial top energy Esl, that is, the initial PID initial energy. value; randomly generate the position of the transition discharge body; use the fitness function to be optimized for performance evaluation, that is, evaluate the energy of the discharge body; update the top energy of the space discharge body; update the top energy of the guide discharge body; judge whether the maximum channel time is reached; evaluate the discharge body energy, and expand the channel; repeat the iteration until the end of the iteration; output the global optimal PID parameter value and the corresponding PID value. The invention adds the PID mapping algorithm into the lightning search algorithm, has a high convergence speed, and improves the efficiency of PID parameter setting.
本说明书中各个实施例采用递进的方式描述,每个实施例重点说明的都是与其他实施例的不同之处,各个实施例之间相同相似部分互相参见即可。对于实施例公开的系统而言,由于其与实施例公开的方法相对应,所以描述的比较简单,相关之处参见方法部分说明即可。The various embodiments in this specification are described in a progressive manner, and each embodiment focuses on the differences from other embodiments, and the same and similar parts between the various embodiments can be referred to each other. For the system disclosed in the embodiment, since it corresponds to the method disclosed in the embodiment, the description is relatively simple, and the relevant part can be referred to the description of the method.
本文中应用了具体个例对本发明的原理及实施方式进行了阐述,以上实施例的说明只是用于帮助理解本发明的方法及其核心思想;同时,对于本领域的一般技术人员,依据本发明的思想,在具体实施方式及应用范围上均会有改变之处。综上所述,本说明书内容不应理解为对本发明的限制。In this paper, specific examples are used to illustrate the principles and implementations of the present invention. The descriptions of the above embodiments are only used to help understand the methods and core ideas of the present invention; meanwhile, for those skilled in the art, according to the present invention There will be changes in the specific implementation and application scope. In conclusion, the contents of this specification should not be construed as limiting the present invention.
| Application Number | Priority Date | Filing Date | Title |
|---|---|---|---|
| CN201810092413.5ACN108303872B (en) | 2018-01-31 | 2018-01-31 | PID parameter setting method and system based on lightning search algorithm |
| Application Number | Priority Date | Filing Date | Title |
|---|---|---|---|
| CN201810092413.5ACN108303872B (en) | 2018-01-31 | 2018-01-31 | PID parameter setting method and system based on lightning search algorithm |
| Publication Number | Publication Date |
|---|---|
| CN108303872A CN108303872A (en) | 2018-07-20 |
| CN108303872Btrue CN108303872B (en) | 2020-10-02 |
| Application Number | Title | Priority Date | Filing Date |
|---|---|---|---|
| CN201810092413.5AActiveCN108303872B (en) | 2018-01-31 | 2018-01-31 | PID parameter setting method and system based on lightning search algorithm |
| Country | Link |
|---|---|
| CN (1) | CN108303872B (en) |
| Publication number | Priority date | Publication date | Assignee | Title |
|---|---|---|---|---|
| CN112580936A (en)* | 2020-11-30 | 2021-03-30 | 江苏科技大学 | Fault isolation and power grid recovery method in medium-voltage direct-current networking ship power grid |
| Publication number | Priority date | Publication date | Assignee | Title |
|---|---|---|---|---|
| CN101216715A (en)* | 2008-01-11 | 2008-07-09 | 宁波大学 | PID Controlled Temperature Instrument and Its Control Method Using Neural Network to Adjust Parameters |
| CN106094910A (en)* | 2016-08-22 | 2016-11-09 | 湖南科技大学 | A kind of parameter tuning method separated based on particle cluster algorithm PID |
| CN106647242A (en)* | 2016-12-15 | 2017-05-10 | 东华大学 | Multivariable PID controller parameter setting method |
| Publication number | Priority date | Publication date | Assignee | Title |
|---|---|---|---|---|
| TWI255397B (en)* | 2004-05-19 | 2006-05-21 | Cheng-Ching Yu | Method and apparatus for PID controllers with adjustable dead time compensation |
| Publication number | Priority date | Publication date | Assignee | Title |
|---|---|---|---|---|
| CN101216715A (en)* | 2008-01-11 | 2008-07-09 | 宁波大学 | PID Controlled Temperature Instrument and Its Control Method Using Neural Network to Adjust Parameters |
| CN106094910A (en)* | 2016-08-22 | 2016-11-09 | 湖南科技大学 | A kind of parameter tuning method separated based on particle cluster algorithm PID |
| CN106647242A (en)* | 2016-12-15 | 2017-05-10 | 东华大学 | Multivariable PID controller parameter setting method |
| Title |
|---|
| lightning search algorithm;Hussain shareef* etc.;《applied soft computing》;20150804;第36卷;第315-333页* |
| Optimized Speed Controller for Induction Motor Drive Using Quantum Lightning Search Algorithm;Jamal Abd Ali1 etc.;《2016 IEEE International Conference on Power and Energy》;20170619;第511-516页* |
| Publication number | Publication date |
|---|---|
| CN108303872A (en) | 2018-07-20 |
| Publication | Publication Date | Title |
|---|---|---|
| Si et al. | Performance indices and evaluation of algorithms in building energy efficient design optimization | |
| Zhang et al. | An adaptive particle swarm optimization algorithm for reservoir operation optimization | |
| CN104460318B (en) | A kind of forward path model multi objective optimization setting method information constrained based on closed loop procedure | |
| CN107943045A (en) | A kind of method for planning path for mobile robot based on ant colony genetic fusion algorithm | |
| Nair et al. | Combining approximation concepts with genetic algorithm-based structural optimization procedures | |
| Wang et al. | Optimization of airflow distribution in mine ventilation networks using the modified sooty tern optimization algorithm | |
| Gai et al. | An improved grey wolf algorithm for global optimization | |
| Shi et al. | Tracking the global maximum power point of a photovoltaic system under partial shading conditions using a modified firefly algorithm | |
| CN108808693A (en) | Power distribution network wattles power economic equivalent control method | |
| CN112966419A (en) | Multi-field coupling effect structure design method combining topology optimization and shape optimization | |
| CN108303872B (en) | PID parameter setting method and system based on lightning search algorithm | |
| Carreras et al. | Rippling modes in the edge of a tokamak plasma | |
| CN104156779B (en) | A kind of basin step power generation Flood Optimal Scheduling method based on plan data fields mechanism | |
| CN118192268A (en) | Temperature control method of resistance heating furnace based on whale optimization algorithm improvement | |
| Pandey | Optimization of PID controller parameters for speed control of DC motor using firefly and fminsearch algorithms | |
| CN113517723A (en) | A reactive power and voltage optimization method for a distribution network system with a small hydropower station | |
| Xueyan et al. | Swarm size and inertia weight selection of particle swarm optimizer in system identification | |
| Anand et al. | Deep Learning Framework for Design and Optimization of Rotor Blades | |
| CN113408160B (en) | Motor parameter design method based on multi-objective optimization | |
| Boyer | Toward fusion plasma scenario planning for NSTX-U using machine-learning-accelerated models | |
| CN113868916B (en) | LFVPSO-BPNN-based multi-loop groove cabling temperature rise prediction method | |
| CN108197695A (en) | A kind of individualized learning method for optimizing route based on lightning searching algorithm | |
| Feng et al. | Fuzzy Control of Drilling Rig Winch Motor Based on SAWS-SSA Algorithm | |
| Wei et al. | A novel multi-objective decomposition particle swarm optimization based on comprehensive learning strategy | |
| Kahrom et al. | Optimization of heat transfer enhancement of a flat plate based on pareto genetic algorithm |
| Date | Code | Title | Description |
|---|---|---|---|
| PB01 | Publication | ||
| PB01 | Publication | ||
| SE01 | Entry into force of request for substantive examination | ||
| SE01 | Entry into force of request for substantive examination | ||
| GR01 | Patent grant | ||
| GR01 | Patent grant | ||
| TR01 | Transfer of patent right | Effective date of registration:20241210 Address after:Unit 7, 6th Floor, No. 2, Caicai Street, Xudong Community, Wuchang District, Wuhan City, Hubei Province 430000 Patentee after:Wuhan Youlan Fangshuo Technology Co.,Ltd. Country or region after:China Address before:430000 South Eru 28, Hongshan District, Wuhan, Hubei Patentee before:HUBEI University OF TECHNOLOGY Country or region before:China | |
| TR01 | Transfer of patent right |