Movatterモバイル変換


[0]ホーム

URL:


CN108279362B - Method for identifying turn-to-turn short circuit fault of rotor winding of marine double-fed motor - Google Patents

Method for identifying turn-to-turn short circuit fault of rotor winding of marine double-fed motor
Download PDF

Info

Publication number
CN108279362B
CN108279362BCN201711348826.7ACN201711348826ACN108279362BCN 108279362 BCN108279362 BCN 108279362BCN 201711348826 ACN201711348826 ACN 201711348826ACN 108279362 BCN108279362 BCN 108279362B
Authority
CN
China
Prior art keywords
rotor
fault
phase
turn
stator
Prior art date
Legal status (The legal status is an assumption and is not a legal conclusion. Google has not performed a legal analysis and makes no representation as to the accuracy of the status listed.)
Active
Application number
CN201711348826.7A
Other languages
Chinese (zh)
Other versions
CN108279362A (en
Inventor
魏书荣
任子旭
符杨
方陈
柳劲松
刘宁
王栋悦
Current Assignee (The listed assignees may be inaccurate. Google has not performed a legal analysis and makes no representation or warranty as to the accuracy of the list.)
Shanghai University of Electric Power
State Grid Shanghai Electric Power Co Ltd
Original Assignee
Shanghai University of Electric Power
State Grid Shanghai Electric Power Co Ltd
Priority date (The priority date is an assumption and is not a legal conclusion. Google has not performed a legal analysis and makes no representation as to the accuracy of the date listed.)
Filing date
Publication date
Application filed by Shanghai University of Electric Power, State Grid Shanghai Electric Power Co LtdfiledCriticalShanghai University of Electric Power
Priority to CN201711348826.7ApriorityCriticalpatent/CN108279362B/en
Publication of CN108279362ApublicationCriticalpatent/CN108279362A/en
Application grantedgrantedCritical
Publication of CN108279362BpublicationCriticalpatent/CN108279362B/en
Activelegal-statusCriticalCurrent
Anticipated expirationlegal-statusCritical

Links

Images

Classifications

Landscapes

Abstract

Translated fromChinese

本发明涉及一种海上双馈电机转子绕组匝间短路故障辨识方法,针对双馈风机转子短路的特点,打破了以往的辨识参数受转差率影响较大的特点,引入磁链诊断,将转子绕组匝间短路故障引起的电压、电流两侧磁链观测差为故障特征量,将故障特征参数放大,该特征量可以精确识别双馈电机转子绕组匝间短路故障,且可以准确定位故障相,在获取特征量时滤除了转速测量误差,从而避免了测量误差对故障辨识的影响,以便及时做出处理,能可靠实现双馈电机转子绕组匝间短路早期故障辨识,提高双馈电机的使用寿命,避免灾难性故障的发生减少因故障造成的经济损失。

Figure 201711348826

The invention relates to a fault identification method for short-circuit between turns of the rotor winding of an offshore doubly-fed generator. Aiming at the characteristics of the short-circuit of the rotor of the doubly-fed generator, it breaks the previous characteristics that the identification parameters are greatly affected by the slip rate. The observed difference between the voltage and current flux linkage on both sides of the winding inter-turn short-circuit fault is the fault characteristic quantity, and the fault characteristic parameter is amplified. This characteristic quantity can accurately identify the inter-turn short-circuit fault of the rotor winding of the DFIG, and can accurately locate the faulty phase. The rotational speed measurement error is filtered out when the characteristic quantity is obtained, thereby avoiding the influence of the measurement error on the fault identification, so as to deal with it in time, and can reliably realize the early fault identification of the inter-turn short circuit of the rotor winding of the doubly-fed motor, and improve the service life of the doubly-fed motor. , to avoid catastrophic failures and reduce economic losses caused by failures.

Figure 201711348826

Description

Method for identifying turn-to-turn short circuit fault of rotor winding of marine double-fed motor
Technical Field
The invention relates to a motor fault identification technology, in particular to a method for identifying turn-to-turn short circuit faults of a rotor winding of an offshore double-fed motor based on bilateral flux linkage observation difference.
Background
In recent years, with the increasing prominence of global energy supply, energy safety, ecological environment and other problems, the development and utilization of renewable energy sources become important ways of energy strategies of all countries in the world and important directions for implementing sustainable development strategies. Especially, offshore wind power is favored by various coastal countries due to the characteristics of abundant offshore wind energy resources and proximity to a load center. China has 300 ten thousand square kilometers of Liaoning wide sea area, and offshore wind energy resources are rich, thus having good conditions for developing offshore wind power. By the middle of 2016, the global wind installed capacity has reached 456GW, with the total offshore wind installed capacity reaching 14384 MW. Accounting for 3.15% of the total installed capacity worldwide. However, the offshore wind power plant has a severe environment and complicated and changeable climate, and is far away from the land, so that the offshore wind turbine has high failure rate, inconvenient maintenance and large failure shutdown loss. Early fault identification of the wind power plant is therefore crucial in order to avoid unplanned shutdowns and to reduce maintenance costs of the wind power system.
The stator turn-to-turn short circuit has been widely noticed by researchers at home and abroad, and there are several common characteristic quantities such as negative sequence current, power spectrum, impedance change and the like when identifying the turn-to-turn short circuit fault of the double-fed asynchronous motor, however, the study on the turn-to-turn short circuit of the rotor winding is relatively less, because ① is influenced by the slip ratio of the double-fed motor, the slip power is smaller under the condition that the slip power is closer to the synchronous speed, the rotor turn-to-turn short circuit is smaller compared with fault information generated by the stator turn-to-turn short circuit, and fault characteristics are weaker, the fault characteristic quantity is not easy to extract due to the rotor winding rotating ②, so that difficulty is increased for diagnosing the rotor turn-to-turn short circuit, electric faults in the offshore wind turbine are discovered early stage, destructive accidents caused by the leak judgment of the fault initial stage are avoided, the researchers of li-he, li-mi, Jung J H and the like propose several characteristic quantities of the rotor turn-to-rotor turn short circuit of the double-fed asynchronous motor, and the rotor and the study on the rotor on-rotor frequency spectrum analysis of the double-fed rotor and the harmonic-fed rotor and the on-fed rotor instantaneous rotor power simulation method for realizing the analysis of the double-fed rotor and rotor harmonic-fed rotor short circuit.
Disclosure of Invention
The invention provides a method for identifying turn-to-turn short circuit faults of a rotor winding of an offshore double-fed motor aiming at the problems of few diagnosis methods and high difficulty of the rotor turn-to-turn short circuit of the double-fed asynchronous motor, and aims at the characteristic of the rotor short circuit of a double-fed fan, the characteristic that the conventional identification parameters are greatly influenced by the slip ratio is broken through, and flux linkage diagnosis is introduced. And amplifying the fault characteristic parameters through calculation of the flux linkage. A new fault characteristic quantity, namely a bilateral flux linkage observation difference is provided. Firstly, a mathematical model of the turn-to-turn short circuit fault of a rotor winding of the doubly-fed motor is established, and then a flux linkage difference expression under different working conditions is deduced according to the fault state of the motor; finally, simulation and experimental analysis verify that the double-side flux linkage observation difference provided by the method can reliably realize the early fault identification of the turn-to-turn short circuit of the rotor winding of the double-fed motor.
The technical scheme of the invention is as follows: a method for identifying turn-to-turn short circuit faults of a rotor winding of an offshore double-fed motor specifically comprises the following steps:
1) acquiring three-phase voltage, three-phase current and rotating speed of a stator and a rotor of the marine double-fed motor to be fault-identified;
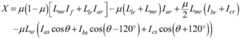
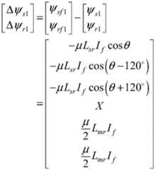
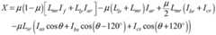
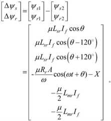
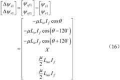
2) and (3) calculating the effective value delta psi of the double-side flux linkage observation difference caused by the turn-to-turn short circuit fault of the rotor winding by using a flux linkage extraction method for the three-phase voltage and the three-phase current of the rotor:
Figure BDA0001509842710000021
wherein
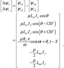
Figure BDA0001509842710000022
Wherein △ psisThe difference between the observed value of current-side flux linkage and the observed value of voltage-side flux linkage of the stator winding is △ psirFor current-side flux linkage of rotor windingsThe difference value between the observed value and the voltage side flux linkage observed value, mu is the ratio of the number of short circuit turns to the total number of turns of the rotor winding, LlsFor stator winding leakage inductance, LlrFor leakage inductance of rotor winding, LmsMutual inductance value of stator and rotor, Iar、Ibr、IcrThe currents of the rotor a, b and c are respectivelyas、Ibs、IcsThe current of the stator is A, B, C phase, theta is the included angle between the stator and the rotor, omega is the angular speed of the rotor current, A is the amplitude of the rotor current, and theta isrA rotor current t is equal to 0 time phase angle;
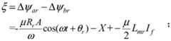
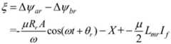
3) the difference between the faulted phase and the non-faulted phase, delta psi, is calculated to filter out the measurement error, resulting in a fault severity factor ξ, assuming rotor phase a as the faulted phase,
Figure BDA0001509842710000031
4) judging whether the fault severity factor ξ reaches a fault early warning value, if so, executing the step 5), otherwise, returning to the step 1);
5) and the marine double-fed motor to be subjected to fault identification generates a stator winding turn-to-turn short circuit fault, and carries out fault processing. The flux linkage extraction method in the step 2) comprises the following specific steps:
201) acquiring three-phase signals of the offshore double-fed motor to be fault-identified, wherein the three-phase signals comprise stator three-phase voltage, rotor three-phase voltage, stator three-phase current, rotor three-phase current and rotor rotating speed;
202) calculating to obtain current side flux linkage psi according to stator and rotor three-phase current and motor intrinsic parameters1
Figure BDA0001509842710000032
Wherein the stator is from the inductive array
Figure BDA0001509842710000033
Rotor self-inductance array
Figure BDA0001509842710000034
Mutual inductance array of rotor to stator
Figure BDA0001509842710000041
203) Calculating to obtain voltage side magnetic linkage psi according to three-phase voltage, current and motor impedance parameters of the stator and the rotor2
Figure BDA0001509842710000042
In the formula, p is a differential sign;
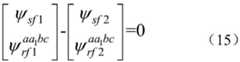
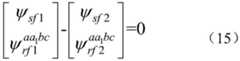
204) calculating the observed difference value delta psi of each phase flux linkage12
205) 202) because the calculation is complex, introducing a rotor winding turn-to-turn short circuit fault working condition f during theoretical derivation, and assuming that a phase of the rotor is a fault phase, the fault working condition meets a double-fed motor fault equation:
Figure BDA0001509842710000043
Figure BDA0001509842710000044
Figure BDA0001509842710000045
ψffor flux linkage matrices derived from fault equations
Figure BDA0001509842710000046
Voltage and current U of winding due to turn-to-turn short circuitar1、Iar1Internal voltage and current generated by turn-to-turn short circuit are not easy to measure, and psi is ignored by the magnetic linkage matrixar1When the motor fails, the flux linkage change value of each phase calculated through the fault equation and the normal equation can be obtained according to the following formula:
Figure BDA0001509842710000051
206) for 203) an intermediate process rotor winding turn-to-turn short circuit fault condition f is also introduced,
Figure BDA0001509842710000052
let Iar=Asin(ωt+θr) (18)
Then
Figure BDA0001509842710000053
Figure BDA0001509842710000054
207) Subtracting the results of 205) and 206) can eliminate the intermediate process f, and obtain the required flux linkage difference of each phase:
Figure BDA0001509842710000061
the invention has the beneficial effects that: according to the method for identifying the turn-to-turn short circuit fault of the rotor winding of the offshore double-fed motor, the observation difference of the magnetic linkage at two sides of voltage and current caused by the turn-to-turn short circuit fault of the rotor winding is taken as the fault characteristic quantity, the characteristic quantity can accurately identify the turn-to-turn short circuit fault of the rotor winding of the double-fed motor, the fault phase can be accurately positioned, and the rotating speed measurement error is filtered when the characteristic quantity is obtained, so that the influence of the measurement error on the fault identification is avoided, the timely processing is facilitated, the service life of the double-fed motor is prolonged, the occurrence of catastrophic faults is avoided, and the economic loss caused by.
Drawings
FIG. 1 is a diagram showing a simulation result of flux linkage difference change of each phase when a double-fed motor of the present invention fails;
FIG. 2 is a flow chart of a method for identifying turn-to-turn short circuit faults of a rotor winding of an offshore double-fed motor according to the invention;
FIG. 3 is a diagram showing the experimental result of flux linkage difference change of each phase when the doubly-fed motor of the present invention fails;
FIG. 4 is a diagram showing a simulation result of flux linkage differences of each phase of the doubly-fed motor under a 1.43% fault degree according to the present invention;
FIG. 5 is a diagram showing the experimental result of flux linkage difference of each phase of the doubly-fed motor under the 3.57% fault degree of the present invention;
FIG. 6 is a diagram of a simulation result of doubly-fed motor fault phase flux linkage difference with measurement error filtered under different short-circuit coefficients.
Detailed Description
There are many methods for establishing a fault model of a doubly-fed motor, such as a multi-loop method, a finite element method, and the like. However, the structure is complex and is not beneficial to online diagnosis, so that the engineering is rarely applied to online diagnosis. The existing mathematical model of the stator a-phase turn-to-turn short circuit fault of the doubly-fed asynchronous motor under a three-phase static coordinate system (abc coordinate system) can accurately identify the early turn-to-turn short circuit fault, but is not suitable for the working condition of rotor short circuit.
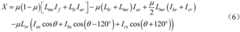
Therefore, the existing stator winding turn-to-turn short circuit mathematical model is improved into a rotor winding turn-to-turn short circuit model. Assuming that the motor is in an ideal state of symmetrical magnetic circuit and uniform air gap distribution, a mathematical model containing a rotor winding fault short circuit loop is established, and a schematic diagram of a phase turn-to-turn short circuit of a rotor of the doubly-fed asynchronous motor is shown in fig. 1.
As shown in a diagram of a simulation result of flux linkage difference change of each phase when the doubly-fed motor fails in FIG. 1, the horizontal axis is time t/s, and the vertical axis is flux linkage difference/Wb. The left side is sequentially provided with a stator ABC three-phase flux linkage difference from top to bottom, and the right side is sequentially provided with a rotor ABC three-phase flux linkage difference from top to bottom. For the operation condition of fig. 1, the mathematical model of the turn-to-turn short circuit of the rotor winding of the doubly-fed motor is as follows:
Figure BDA0001509842710000071
Figure BDA0001509842710000072
in the formula, p is a differential sign;
Us=[UasUbsUcs]Tis a stator winding voltage matrix, Uas、Ubs、UcsStator A, B, C three-phase voltages respectively;
Ur=[UarUar1UbrUcr]Tis a rotor winding voltage matrix, Uar、Ubr、UcrThree-phase voltages of rotor a, b and c, Uar1Voltage of winding of turn-to-turn short circuit part;
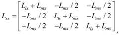
Rs=Rsdiag[1 1 1]a stator winding resistance matrix;
Rr=Rrdiag[1-μ μ 1 1]a rotor winding resistance matrix;
Rris the rotor resistance; rsIs a stator resistor;
ψs=[ψasψbsψcs]t is stator winding flux linkage matrix psias、ψbs、ψcsStator A, B, C three-phase flux linkage respectively;
ψr=[(1-μ)ψarμψarψbrψcr]for a rotor winding flux matrix, psiar、ψbr、ψcrThe three-phase magnetic flux linkages of the rotors a, b and c are respectively, and mu is a short-circuit coefficient, namely the ratio of the number of short-circuit turns to the total number of turns of the rotor winding;
Is=[IasIbsIcs]Tis a stator winding current matrix, Ias、Ibs、IcsStator A, B, C three-phase current;
Ir=[IarIar-IfIbrIcr]Tis a rotor winding current matrix, Iae、Ibr、IcrThree-phase currents of rotors a, b, c, IfIs the rotor short circuit current;
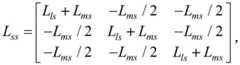
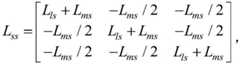
stator self-inductance array:
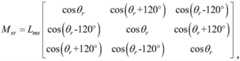
Figure BDA0001509842710000081
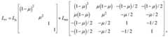
rotor self-inductance array:
Figure BDA0001509842710000082
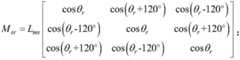
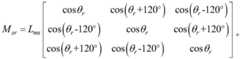
mutual inductance array of rotor to stator:
Figure BDA0001509842710000083
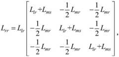
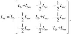
wherein L islsFor stator winding leakage inductance, LlrFor leakage inductance of rotor winding, LmsThe mutual inductance value of the stator and the rotor is theta, which is the included angle of the stator and the rotor.
In order to quickly detect and identify the turn-to-turn short circuit fault, a method for observing the difference of the bilateral magnetic linkage is provided. And establishing a motor dynamic model in a normal state, comparing the motor dynamic model with the flux linkage difference of the fault double-fed motor to obtain the flux linkage observation difference at two sides, and filtering the flux linkage observation difference to remove measurement errors so as to identify the fault.
Detecting three-phase currents and rotating speeds of the stator and the rotor, and calculating a current side flux linkage observed value psi according to the following formula1
Figure BDA0001509842710000084
Wherein the stator is from the inductive array
Figure BDA0001509842710000091
Rotor self-inductance array
Figure BDA0001509842710000092
Mutual inductance array of rotor to stator
Figure BDA0001509842710000093
θrThe phase angle at the moment when the rotor current t is equal to 0, and theta is equal to thetar
Detecting three-phase voltage and current of stator and rotor, and calculating differential p psi of voltage side flux linkage observed value by the following formula2
Figure BDA0001509842710000094
In the formula, p is a differential sign; for p psi2Integrating to obtain voltage measurement magnetic chain observation value psi2
Calculating the observed difference value delta psi of each phase flux linkage12
Figure BDA0001509842710000095
Wherein
Figure BDA0001509842710000096
△ψsThe difference between the observed value of current-side flux linkage and the observed value of voltage-side flux linkage of the stator winding is △ psirThe difference value of the flux linkage observed value on the current side of the rotor winding and the flux linkage observed value on the voltage side is shown, theta is the included angle of the stator and the rotor, omega is the angular velocity of the rotor current, and A is the amplitude of the rotor current.
It can be seen that: each phase flux linkage is related to a short-circuit coefficient and a short-circuit current, the short-circuit current is mainly influenced by the short-circuit coefficient and a short-circuit additional resistance, the magnitude of flux linkage difference is mainly related to the short-circuit coefficient on the assumption that the short-circuit additional resistance is unchanged, and the larger the short-circuit coefficient is, the larger the flux linkage difference value is.
When the rotor A phase fails, the flux linkage change rules of all phases of the stator are the same; the rotor a phase flux linkage is clearly distinguished from the other phase changes. The fault characteristic quantity can distinguish and determine the rotor fault and can accurately position the fault phase, so the fault characteristic quantity is used for diagnosing the turn-to-turn short circuit fault of the rotor.
Considering the parameter change of the motor influenced by the environment in engineering and the error of signal detection, the flux linkage difference value when the motor is normal is not zero. If the flux linkage difference is directly used as a fault criterion, the accuracy of fault judgment is possibly influenced. Therefore, in order to ensure the reliability and accuracy of the diagnosis result, the initial error of the flux linkage difference needs to be filtered.
Calculate the difference between the faulted phase and the non-faulted phase Δ ψ to filter out the measurement error, resulting in a fault severity factor ξ (assuming rotor phase a is the faulted phase)
Figure BDA0001509842710000101
Therefore, as shown in fig. 2, a flowchart of a method for identifying a turn-to-turn short circuit fault of a stator winding of an offshore doubly-fed motor according to the present invention is shown, and the method includes the following steps:
step 1: acquiring three-phase voltage, three-phase current and rotating speed of a stator and a rotor of the marine double-fed motor to be fault-identified;
step 2: calculating the rotor three-phase voltage and the rotor three-phase current by a flux linkage extraction method to obtain a bilateral flux linkage observation difference effective value delta psi caused by the turn-to-turn short circuit fault of a rotor winding:
Figure BDA0001509842710000111
wherein
Figure BDA0001509842710000112
And 3, calculating the difference between the fault phase and the non-fault phase delta psi to filter out measurement errors to obtain a fault severity factor ξ (assuming that the rotor a phase is the fault phase)
Figure BDA0001509842710000113
Step 4, judging whether the fault severity factor ξ reaches a fault early warning value, if so, executing thestep 5, otherwise, returning to thestep 1;
and 5: and the marine double-fed motor to be subjected to fault identification generates a stator winding turn-to-turn short circuit fault, and carries out fault processing.
Thestep 2 specifically comprises the following steps:
(201) acquiring three-phase signals of the offshore double-fed motor to be fault-identified, wherein the three-phase signals comprise stator three-phase voltage, rotor three-phase voltage, stator three-phase current, rotor three-phase current and rotor rotating speed;
(202) calculating to obtain a current side magnetic linkage psi according to the three-phase currents of the stator and the rotor and the intrinsic parameters (leakage inductance, mutual inductance and the like) of the motor1
Figure BDA0001509842710000114
Wherein
Figure BDA0001509842710000121
Figure BDA0001509842710000122
Figure BDA0001509842710000123
(203) Calculating to obtain voltage side magnetic linkage psi according to three-phase voltage, current and motor impedance parameters of the stator and the rotor2
Figure BDA0001509842710000124
In the formula, p is a differential sign;
(204) calculating the observed difference value delta psi of each phase flux linkage12
(205) Wherein (202) because of the complex calculation, the turn-to-turn short circuit fault working condition f of the rotor winding is introduced in theoretical derivation, (assuming that the a phase of the rotor is a fault phase)
The fault working condition meets the fault equation of the doubly-fed motor:
Figure BDA0001509842710000125
Figure BDA0001509842710000126
Figure BDA0001509842710000131
ψffor flux linkage matrices derived from fault equations
Figure BDA0001509842710000132
Voltage and current U of winding due to turn-to-turn short circuitar1、Iar1Internal voltage and current generated by turn-to-turn short circuit are not easy to measure, and a fault equation (magnetic linkage matrix neglects psi) is passed when the motor is in faultar1) The flux linkage change value of each phase calculated by the normal equation can be obtained by the following formula:
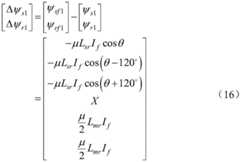
Figure BDA0001509842710000133
(206) aiming at (203) the condition f of turn-to-turn short circuit fault of the rotor winding in the middle process is also introduced,
Figure BDA0001509842710000134
let Iar=Asin(ωt+θ) (18)
Then
Figure BDA0001509842710000135
Figure BDA0001509842710000141
(207) The intermediate process f can be eliminated by subtracting the results of 205 and 206, and the required flux linkage difference of each phase is obtained:
Figure BDA0001509842710000142
aiming at simulation and experiment without filtering error processing, the working condition is that the grid voltage is symmetrical three-phase voltage, the rotor slip is 10 percent, the sampling period Ts is 50 mu s during signal measurement, the active power of the stator is given as-3000W (the power flowing into the motor is taken as the positive direction) during normal work, and the reactive power is given as 0varWhen in simulation, the motor short-circuit coefficient is t equal to 5When s is changed from 0.0143 to 0.0357, the same type of fault occurs when t is about 6.25s in experiments, in order to protect experimental equipment, the system is derated to operate in fault, namely, when turn-to-turn short circuit fault occurs, the active power of a stator is given to-2700W, and the reactive power is given to 0var. The simulation and experiment results are shown in fig. 1 and 3.
As can be seen from fig. 1 and 3, the simulation is substantially consistent with the experimental results. Compared with a formula, the three-phase flux linkage difference amplitude of the stator is basically consistent; the rotor fault phase is obviously different from other phases, and the amplitude phase angle of the rotor non-fault phase is consistent and is obviously smaller than that of the fault phase. Simulation and experimental results prove the correctness of the theoretical derivation.
Fig. 4 and 5 show the simulated and experimental flux linkage differences under different fault severity degrees. Due to the limitation of experimental conditions (the rotor has only two short-circuit taps), the experiment can only realize the simulation of two fault degrees of 1.43% and 3.57%.
Because simulation aims at an ideal motor, and the parameters of the real motor are influenced by the operating environment and measurement errors, the flux linkage difference value obtained by the experiment is slightly larger than a simulation ideal value. But the change rule of the two is consistent.
The correctness of the fault model and the mathematical derivation of the fault characteristic quantity is verified by the aid of the method shown in the figures 1 and 3, and the method can be used for distinguishing and determining turn-to-turn short circuit faults of rotor windings and accurately positioning fault phases. The method can be suitable for early diagnosis of the turn-to-turn short circuit of the rotor winding.
Fig. 6 is a simulation result of filtering out errors by using an equation (9) when a detection error exists in a rotating speed signal, and it can be seen that a fault threshold of a fault severity factor ξ is set to be 0.005Wb, so that short circuits with more than 2 turns can be accurately identified, and misjudgment caused by over sensitivity is avoided.
In summary, by eliminating the influence of the inherent error, the diagnosis method provided herein can accurately identify the turn-to-turn short circuit fault of the rotor winding of the doubly-fed motor, can accurately locate the fault phase, and has robustness to the measurement error of the rotating speed signal.

Claims (2)

1. A method for identifying turn-to-turn short circuit faults of a rotor winding of an offshore double-fed motor is characterized by comprising the following steps:
1) acquiring three-phase voltage, three-phase current and rotating speed of a stator and a rotor of the marine double-fed motor to be fault-identified;
2) and (3) calculating the effective value delta psi of the double-side flux linkage observation difference caused by the turn-to-turn short circuit fault of the rotor winding by using a flux linkage extraction method for the three-phase voltage and the three-phase current of the rotor:
Figure FDA0002300786220000011
wherein
Figure FDA0002300786220000012
Wherein △ psisThe difference between the observed value of current-side flux linkage and the observed value of voltage-side flux linkage of the stator winding is △ psirIs the difference value of the flux linkage observed value of the current side and the flux linkage observed value of the voltage side of the rotor winding, mu is the ratio of the number of short circuit turns to the total number of turns of the rotor winding, IfFor short-circuit currents of the rotor, LlrFor leakage inductance of rotor winding, LsrFor mutual inductance value of stator and rotor, Iar、Ibr、IcrThe currents of the rotor a, b and c are respectivelyas、Ibs、IcsThe current of the stator is A, B, C phase, theta is the included angle between the stator and the rotor, omega is the angular speed of the rotor current, A is the amplitude of the rotor current, and theta isrA rotor current t is equal to 0 time phase angle;
3) the difference between the faulted phase and the non-faulted phase, delta psi, is calculated to filter out the measurement error, resulting in a fault severity factor ξ, assuming rotor phase a as the faulted phase,
Figure FDA0002300786220000013
4) judging whether the fault severity factor ξ reaches a fault early warning value, if so, executing the step 5), otherwise, returning to the step 1);
5) and the marine double-fed motor to be subjected to fault identification generates a rotor winding turn-to-turn short circuit fault and carries out fault processing.
2. The method for identifying turn-to-turn short circuit faults of the marine doubly-fed motor rotor winding according to claim 1, wherein the flux linkage extraction method in the step 2) comprises the following specific steps:
201) acquiring three-phase signals of the offshore double-fed motor to be fault-identified, wherein the three-phase signals comprise stator three-phase voltage, rotor three-phase voltage, stator three-phase current, rotor three-phase current and rotor rotating speed;
202) calculating to obtain current side flux linkage psi according to stator and rotor three-phase current and motor intrinsic parameters1
Figure FDA0002300786220000021
Wherein the stator is from the inductive array
Figure FDA0002300786220000022
Rotor self-inductance array
Figure FDA0002300786220000023
Mutual inductance array of rotor to stator
Figure FDA0002300786220000024
203) Calculating to obtain voltage side magnetic linkage psi according to three-phase voltage, current and motor impedance parameters of the stator and the rotor2
Figure FDA0002300786220000025
In the formula, p is a differential sign;
204) calculating the observed difference value delta psi of each phase flux linkage12
205) 202) because the calculation is complex, introducing a rotor winding turn-to-turn short circuit fault working condition f during theoretical derivation, and assuming that a phase of the rotor is a fault phase, the fault working condition meets a double-fed motor fault equation:
Figure FDA0002300786220000031
Figure FDA0002300786220000032
Figure FDA0002300786220000033
when the motor fails, the flux linkage change value of each phase calculated through a fault equation and a normal equation is obtained according to the following formula:
Figure FDA0002300786220000034
206) for 203) an intermediate process rotor winding turn-to-turn short circuit fault condition f is also introduced,
Figure FDA0002300786220000035
let Iar=Asin(ωt+θr)
Then
Figure FDA0002300786220000036
Figure FDA0002300786220000041
207) Subtracting the results of 205) and 206) can eliminate the intermediate process f, and obtain the required flux linkage difference of each phase:
Figure FDA0002300786220000042
CN201711348826.7A2017-12-152017-12-15Method for identifying turn-to-turn short circuit fault of rotor winding of marine double-fed motorActiveCN108279362B (en)

Priority Applications (1)

Application NumberPriority DateFiling DateTitle
CN201711348826.7ACN108279362B (en)2017-12-152017-12-15Method for identifying turn-to-turn short circuit fault of rotor winding of marine double-fed motor

Applications Claiming Priority (1)

Application NumberPriority DateFiling DateTitle
CN201711348826.7ACN108279362B (en)2017-12-152017-12-15Method for identifying turn-to-turn short circuit fault of rotor winding of marine double-fed motor

Publications (2)

Publication NumberPublication Date
CN108279362A CN108279362A (en)2018-07-13
CN108279362Btrue CN108279362B (en)2020-04-10

Family

ID=62801678

Family Applications (1)

Application NumberTitlePriority DateFiling Date
CN201711348826.7AActiveCN108279362B (en)2017-12-152017-12-15Method for identifying turn-to-turn short circuit fault of rotor winding of marine double-fed motor

Country Status (1)

CountryLink
CN (1)CN108279362B (en)

Families Citing this family (4)

* Cited by examiner, † Cited by third party
Publication numberPriority datePublication dateAssigneeTitle
CN109100608A (en)*2018-07-232018-12-28华北电力大学(保定)A kind of diagnostic method of the double-fed fan stator shorted-turn fault based on D-S information fusion algorithm
CN109342877B (en)*2018-09-142021-03-26中国科学院电工研究所Winding turn-to-turn short circuit fault detection device and method for fractional-slot concentrated winding permanent magnet motor
CN111650439A (en)*2020-06-012020-09-11神华国能集团有限公司Rotor winding alternating current impedance detection circuit and device
CN113992084B (en)*2021-12-292022-04-01苏州乾能电气有限公司Method, system, device and medium for inhibiting generator vibration

Citations (8)

* Cited by examiner, † Cited by third party
Publication numberPriority datePublication dateAssigneeTitle
US4808932A (en)*1987-05-151989-02-28Electric Power Research Institute, Inc.Rotor fault and location detector for induction motors
EP0552991A2 (en)*1992-01-231993-07-28Ontario HydroMethod and apparatus for detecting stator faults in rotary dynamoelectric machines
CN101977006A (en)*2010-10-282011-02-16天津大学Method for controlling double-fed wind driven generator in power grid faults
CN103955572A (en)*2014-04-232014-07-30国家电网公司Modeling method for electromechanical transient model of doubly-fed wind power generator set
CN104777396A (en)*2015-03-122015-07-15浙江大学Rotor fault diagnosis method giving comprehensive consideration to current and voltage of motor
CN106292629A (en)*2016-08-182017-01-04南京航空航天大学 A composite fault simulation method for high-speed rail traction motors
CN107132450A (en)*2017-04-272017-09-05上海电力学院A kind of marine double feedback electric engine stator winding inter-turn short circuit initial failure discrimination method
CN107462807A (en)*2017-08-162017-12-12济南大学A kind of electric automobile permanent-magnetic synchronous motor stator winding failure diagnostic method

Patent Citations (8)

* Cited by examiner, † Cited by third party
Publication numberPriority datePublication dateAssigneeTitle
US4808932A (en)*1987-05-151989-02-28Electric Power Research Institute, Inc.Rotor fault and location detector for induction motors
EP0552991A2 (en)*1992-01-231993-07-28Ontario HydroMethod and apparatus for detecting stator faults in rotary dynamoelectric machines
CN101977006A (en)*2010-10-282011-02-16天津大学Method for controlling double-fed wind driven generator in power grid faults
CN103955572A (en)*2014-04-232014-07-30国家电网公司Modeling method for electromechanical transient model of doubly-fed wind power generator set
CN104777396A (en)*2015-03-122015-07-15浙江大学Rotor fault diagnosis method giving comprehensive consideration to current and voltage of motor
CN106292629A (en)*2016-08-182017-01-04南京航空航天大学 A composite fault simulation method for high-speed rail traction motors
CN107132450A (en)*2017-04-272017-09-05上海电力学院A kind of marine double feedback electric engine stator winding inter-turn short circuit initial failure discrimination method
CN107462807A (en)*2017-08-162017-12-12济南大学A kind of electric automobile permanent-magnetic synchronous motor stator winding failure diagnostic method

Also Published As

Publication numberPublication date
CN108279362A (en)2018-07-13

Similar Documents

PublicationPublication DateTitle
CN107132450B (en) A method for early fault identification of inter-turn short circuit in stator windings of offshore doubly-fed generators
CN108279362B (en)Method for identifying turn-to-turn short circuit fault of rotor winding of marine double-fed motor
CN105375532B (en)A kind of fault phase-selecting method suitable for double-fed fan motor field interconnection
CN107783006B (en) Fault detection method for inter-turn short circuit of rotor winding of hydro-generator
CN110649846B (en) Fault detection method of doubly fed induction generator based on sliding mode observer
CN102360054B (en)Diagnostic method for estimating turn-to-turn short circuit fault degree of large generator exciting windings
CN108170981B (en)Method for diagnosing turn-to-turn short circuit fault of stator of double-fed asynchronous wind driven generator
CN103713235B (en)Rotor of steam turbo generator interturn short-circuit failure diagnosing method based on end distortion effect
CN103487719B (en)A kind of method distinguishing permanent-magnetic synchronous motor stator winding failure type
CN112162218B (en) A method for diagnosing open-circuit faults of multi-power tubes in converters of direct-drive permanent magnet wind turbines
CN103149494B (en)Three-phase power grid voltage short-circuit fault diagnosis method
CN107728063B (en)A kind of direct-drive permanent magnet wind turbine generator group current transformer open-circuit fault diagnostic method
CN106054078A (en)Fault identification method for inter-turn short circuit of stator windings in doubly-fed motor at sea
CN111664062B (en) Fault detection method for doubly-fed induction generator based on switchable sliding mode approach rate
Fu et al.Using flux linkage difference vector in early inter-turn short circuit detection for the windings of offshore wind DFIGs
CN105548799A (en)Method for online monitoring on generator rotor winding inter-turn short circuit faults
CN107024655A (en)A kind of permanent-magnetic synchronous motor stator winding failure diagnostic method
CN109297716A (en)Vibration fault diagnosis method for double-fed wind driven generator
CN103925155A (en)Self-adaptive detection method for abnormal wind turbine output power
CN110837046A (en) Fault detection and diagnosis method of converter switch tube based on mechanical vibration signal
CN106019073B (en)A kind of permanent-magnetic synchronous motor stator winding resistance imbalance fault diagnosis method based on signal injection
Hare et al.A review of faults and fault diagnosis in micro-grids electrical energy infrastructure
Dong et al.Fault detection of interturn short circuit in induction motors under nonstationary conditions and unbalanced supply voltage
CN117235504B (en) A DFIG rotor resistance imbalance fault diagnosis method and system
CN108535582B (en)Stator winding turn-to-turn short circuit fault identification method based on positive sequence impedance angle

Legal Events

DateCodeTitleDescription
PB01Publication
PB01Publication
SE01Entry into force of request for substantive examination
SE01Entry into force of request for substantive examination
GR01Patent grant
GR01Patent grant

[8]ページ先頭

©2009-2025 Movatter.jp