Movatterモバイル変換


[0]ホーム

URL:


CN108253992B - Step counting method based on walking state - Google Patents

Step counting method based on walking state
Download PDF

Info

Publication number
CN108253992B
CN108253992BCN201711493923.5ACN201711493923ACN108253992BCN 108253992 BCN108253992 BCN 108253992BCN 201711493923 ACN201711493923 ACN 201711493923ACN 108253992 BCN108253992 BCN 108253992B
Authority
CN
China
Prior art keywords
acc
axis
curve
acceleration
walking
Prior art date
Legal status (The legal status is an assumption and is not a legal conclusion. Google has not performed a legal analysis and makes no representation as to the accuracy of the status listed.)
Active
Application number
CN201711493923.5A
Other languages
Chinese (zh)
Other versions
CN108253992A (en
Inventor
包绍骞
蔡春苗
黄练
李鄂江
冯胜利
Current Assignee (The listed assignees may be inaccurate. Google has not performed a legal analysis and makes no representation or warranty as to the accuracy of the list.)
Shenzhen E Scope Space Intelligent Technology Co ltd
Original Assignee
Shenzhen E Scope Space Intelligent Technology Co ltd
Priority date (The priority date is an assumption and is not a legal conclusion. Google has not performed a legal analysis and makes no representation as to the accuracy of the date listed.)
Filing date
Publication date
Application filed by Shenzhen E Scope Space Intelligent Technology Co ltdfiledCriticalShenzhen E Scope Space Intelligent Technology Co ltd
Priority to CN201711493923.5ApriorityCriticalpatent/CN108253992B/en
Publication of CN108253992ApublicationCriticalpatent/CN108253992A/en
Application grantedgrantedCritical
Publication of CN108253992BpublicationCriticalpatent/CN108253992B/en
Activelegal-statusCriticalCurrent
Anticipated expirationlegal-statusCritical

Links

Images

Classifications

Landscapes

Abstract

The invention provides a step counting method based on a walking state, which comprises the following steps: continuously acquiring acceleration data from an acceleration sensor; calculating the global acceleration; then calculates the linear acceleration ACC on three axesx,ACCyAnd ACCz(ii) a ACC determinationx,ACCyAnd ACCzWhether the data exceeds a set threshold value or not, if so, marking the data as abnormal data and clearing; calculating the component of the linear acceleration in the gravity direction to obtain ACCg(ii) a Let ACCgPlotting into a first curve, ACCyDrawing a second curve, and overlapping the first curve and the second curve to form an overlapped image; setting walking determination conditions according to the walking characteristics, analyzing the overlapped images by using the walking determination conditions, and judging whether walking occurs or not; when walking is judged to occur, ACC at walking time is determinedgCalculating the step length and the step frequency to obtain walking data. Compared with the prior art, the invention can eliminate most of equipment shaking interference, can provide step length and step frequency data, and effectively improves step counting precision.

Description

Step counting method based on walking state
Technical Field
The invention relates to the technical field of step counting, in particular to a step counting method based on a walking state.
Background
In recent years, various smart phones and wearable devices have become more popular, and among these devices, particularly wearable devices, there are sports and health related applications. One of the core algorithms for these applications is the step-counting algorithm. The existing step counting algorithm adopts a simpler threshold detection method, only provides a step counting function and cannot provide gait information.
The main methods in the prior art are as follows: setting an acceleration threshold and the shortest time interval between the two parts before starting; reading accelerometer data; separating the component of the acceleration in the gravity direction caused by the walking of the user from the accelerometer data, and recording the data as V; it is checked whether two consecutive V values cross the set threshold from low to high. As long as the first value V1 is smaller than the threshold value and the second value V2 is larger than the threshold value, two continuous V values are judged to cross the set threshold value from low to high; and meanwhile, if the time interval between the current time and the last step counting time exceeds the set time length, the step counting is carried out.
However, the prior art has the following disadvantages:
step counting is usually not very accurate, some common interference cannot be eliminated, and the step counting can be caused when a user swings the equipment randomly; although these step-counting algorithms can be applied to some applications with low precision, such as counting the number of steps taken by a user in one day, if the step-counting algorithms are applied to an application similar to PDR (pedestrian dead reckoning), the effect of the error on the result is large.
Too little information is provided; only the most basic step counting function is provided, and more gait information cannot be provided; if more information about the gait of the user is known, more data about the movement of the user can be deduced from this. For example, in a fitness type application, if the approximate step size and frequency of walking of each step of the user can be known, the energy consumed by the user and the total distance walked can be more accurately estimated.
It is necessary to solve these disadvantages.
Disclosure of Invention
The invention aims to provide a step counting method based on a walking state, which aims to solve the technical problems that: step counting is usually not very accurate and provides too little information.
Therefore, the invention provides a step counting method based on a walking state, which comprises the following steps:
step 1: continuously acquiring acceleration data from an acceleration sensor; calculating global acceleration through multiple groups of original acceleration data; calculating linear acceleration ACC on three axes through original acceleration data and global acceleration datax,ACCyAnd ACCz
Step 2: determining linear accelerations ACC on three axesx,ACCyAnd ACCzWhether the data exceeds a set threshold value or not, if so, marking the data as abnormal data and clearing; calculating the component of the linear acceleration in the gravity direction, and performing smooth filtering to obtain ACCg
And step 3: let ACCgPlotting into a first curve, ACCyDrawing a second curve, and overlapping the first curve and the second curve to form an overlapped image;
and 4, step 4: setting walking recognition conditions according to walking characteristics, wherein the walking recognition conditions are ACCgAnd ACCyThe composition of characteristic points, utilize walking to presume the condition analysis and overlap the picture, judge whether takes place walking;
and 5: when walking is judged to occur, ACC at walking time is determinedgValue calculation step size from timestamp of walking moment and last ACCgAnd calculating the step frequency by the timestamp of the wave valley value to obtain walking data.
Further, the step 1 of acquiring a group of raw acceleration data by the acceleration sensor specifically includes: measuring the acceleration on the X axis, the Y axis and the Z axis by using an acceleration sensor to obtain acceleration values on the X axis, the Y axis and the Z axis which are RAW _ ACC respectivelyX,RAW_ACCYAnd RAW _ ACCZ
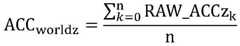
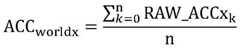
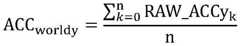
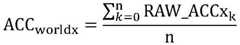
Further, the step of calculating the component of the filtered linear acceleration in the gravity direction and performing parallel filtering specifically comprises: carrying out multiple data measurements by using an acceleration sensor to obtain multiple groups of acceleration values on an X axis, a Y axis and a Z axis; calculating the average value of acceleration values on multiple groups of X-axis, Y-axis and Z-axis to obtain components on the X-axis, Y-axis and Z-axis of global acceleration, and respectively recording the components as ACCworldx、ACCworldyAnd ACCworldzThe method specifically comprises the following steps:
Figure BDA0001536051690000031
Figure BDA0001536051690000032
Figure BDA0001536051690000033
wherein RAW _ ACCX, RAW _ ACCY and RAW _ ACCZ are measured values of the acceleration sensor on the X-axis, Y-axis and Z-axis, respectively.
Further, step 2 specifically comprises: the components of the linear acceleration in the X, Y and Z axes, denoted ACC respectivelyx、ACCyAnd ACCzThe method specifically comprises the following steps:
ACCx=RAW_ACCxk-ACCworldx
ACCy=RAW_ACCyk-ACCworldy
ACCz=RAW_ACCzk-ACCworldz
wherein ACCworldx、ACCworldyAnd ACCworldzComponents on the global acceleration X-axis, Y-axis and Z-axis, respectively; the RAW _ ACCX, RAW _ ACCY, and RAW _ ACCZ are measured values of the acceleration sensor on the X-axis, Y-axis, and Z-axis, respectively.
Further, step 2 specifically comprises:
Figure BDA0001536051690000034
wherein ACCx、ACCyAnd ACCzThe components of the linear acceleration on the X-axis, the Y-axis and the Z-axis respectively;
normalizing the global acceleration, specifically:
Figure BDA0001536051690000035
measurement values of the acceleration sensor:
RAW_ACC=[RAW_ACCx RAW_ACCy RAW_ACCz]
transposing the measured value matrix of the acceleration sensor, multiplying the transposed measured value matrix by the global acceleration normalization value to obtain the dot product of two space vectors, and subtracting the global accelerationModeling to obtain linear acceleration values in the gravity direction, accumulating linear acceleration values in n gravity directions to obtain ACCg
Figure BDA0001536051690000041
Wherein n is 10.
Further, a plurality of ACCsgDrawing a first curve, and drawing multiple ACCsyDrawing a second curve, and overlapping the first curve and the second curve to form an overlapped image;
the walking characteristics are as follows: between the trough of the first curve and the first crest after the trough, the corresponding second curve has a crest and the value of the crest is larger than zero; when the first curve is at a peak, the ACC at the peakgACC on the second curve of its corresponding positionyIs a negative value; when the wave crest on the second curve and the close wave trough are within a set time threshold value;
the specific setting of the walking determination conditions according to the walking characteristics is as follows:
ACC when in the first curvegACC in the second curve at peakyIs a negative value; while ACC in the second curveyHas a peak time stamp greater than ACC in the first curvegA trough timestamp of; while ACC in the second curveyACC in first curve of peak and adjacent peakgThe time interval between the wave crests does not exceed a set threshold; while ACC in the first curvegWave trough and its adjacent ACCgThe time interval between wave crests exceeds a set threshold; again, ACC in the first curvegThe time interval between the peak and the last invalid data exceeds the set threshold.
Further, step size and step frequency are calculated, wherein the step size LestComprises the following steps:
Figure BDA0001536051690000042
wherein ACCgFor linear acceleration values in n directions of gravityAn accumulated value of (d);
to LestAnd (3) constraining to obtain a final step length L:
Figure BDA0001536051690000043
the step frequency F can be obtained according to the following formula:
Figure BDA0001536051690000051
wherein, TpeakDenotes ACCgTime stamp of wave crest, TtroughRepresenting corresponding ACCsgTime stamp of one ACCg trough on the peak.
The beneficial effect of above-mentioned scheme: most of equipment shaking interference can be eliminated, whether a user really walks or not is detected, wrong step counting under some abnormal conditions is eliminated, and information such as step length, step frequency and the like is provided; the step counting precision can be effectively improved.
Drawings
FIG. 1 is a flow chart of a step counting method based on walking status according to the present invention;
FIG. 2 is a schematic view of a first curve of the present invention;
FIG. 3 is a schematic view of an overlay image formed by a first curve and a second curve according to the present invention;
FIG. 4 is a schematic step-counting diagram according to an embodiment of the present invention;
FIG. 5 is a schematic diagram of the step-counting effect under abnormal interference according to the present invention.
Detailed Description
The present invention will be described in detail below with reference to the accompanying drawings.
As shown in fig. 1 to 5, the step counting method based on the walking state includes the following steps:
step 1: continuously acquiring acceleration data from an acceleration sensor; calculating global acceleration through multiple groups of original acceleration data; calculating linear acceleration ACC on three axes through original acceleration data and global acceleration datax,ACCyAnd ACCz
Step 2: determining linear accelerations ACC on three axesx,ACCyAnd ACCzWhether the data exceeds a set threshold value or not, if so, marking the data as abnormal data and clearing; calculating the component of the linear acceleration in the gravity direction, and performing smooth filtering to obtain ACCg
And step 3: let ACCgPlotting into a first curve, ACCyDrawing a second curve, and overlapping the first curve and the second curve to form an overlapped image;
and 4, step 4: setting walking recognition conditions according to walking characteristics, wherein the walking recognition conditions are ACCgAnd ACCyThe composition of characteristic points, utilize walking to presume the condition analysis and overlap the picture, judge whether takes place walking;
and 5: when walking is judged to occur, ACC at walking time is determinedgValue calculation step size from timestamp of walking moment and last ACCgAnd calculating the step frequency by the timestamp of the wave valley value to obtain walking data.
In the above embodiment, the step 1 of acquiring a group of raw acceleration data by the acceleration sensor specifically includes: measuring the acceleration on the X axis, the Y axis and the Z axis by using an acceleration sensor to obtain acceleration values on the X axis, the Y axis and the Z axis which are RAW _ ACC respectivelyX,RAW_ACCYAnd RAW _ ACCZ
In the above embodiment, the calculating the component of the filtered linear acceleration in the gravity direction, and performing parallel filtering specifically includes: carrying out multiple data measurements by using an acceleration sensor to obtain multiple groups of acceleration values on an X axis, a Y axis and a Z axis; calculating the average value of acceleration values on multiple groups of X-axis, Y-axis and Z-axis to obtain components on the X-axis, Y-axis and Z-axis of global acceleration, and respectively recording the components as ACCworldx、ACCworldyAnd ACCworldzThe method specifically comprises the following steps:
Figure BDA0001536051690000061
Figure BDA0001536051690000062
Figure BDA0001536051690000063
wherein RAW _ ACCX, RAW _ ACCY and RAW _ ACCZ are measured values of the acceleration sensor on the X-axis, Y-axis and Z-axis, respectively.
In the above embodiment, step 2 specifically includes: the components of the linear acceleration in the X, Y and Z axes, denoted ACC respectivelyx、ACCyAnd ACCzThe method specifically comprises the following steps:
ACCx=RAW_ACCxk-ACCworldx
ACCy=RAW_ACCyk-ACCworldy
ACCz=RAW_ACCzk-ACCworldz
wherein ACCworldx、ACCworldyAnd ACCworldzComponents on the global acceleration X-axis, Y-axis and Z-axis, respectively; the RAW _ ACCX, RAW _ ACCY, and RAW _ ACCZ are measured values of the acceleration sensor on the X-axis, Y-axis, and Z-axis, respectively.
In the above embodiment, step 2 specifically includes:
Figure BDA0001536051690000071
wherein ACCx、ACCyAnd ACCzThe components of the linear acceleration on the X-axis, the Y-axis and the Z-axis respectively;
normalizing the global acceleration, specifically:
Figure BDA0001536051690000072
measurement values of the acceleration sensor:
RAW_ACC=[RAW_ACCx RAW_ACCy RAW_ACCz]
transmitting accelerationThe measurement values of the sensors are subjected to matrix transposition and multiplied by the global acceleration normalization value to obtain a dot product of two space vectors, then a mode of the global acceleration is subtracted to obtain linear acceleration values in the gravity direction, and the linear acceleration values in n gravity directions are accumulated to obtain ACCg
Figure BDA0001536051690000073
Wherein n is 10.
In the above-described embodiment of the present invention,
multiple ACCsgDrawing a first curve, and drawing multiple ACCsyDrawing a second curve, and overlapping the first curve and the second curve to form an overlapped image;
the walking characteristics are as follows: between the trough of the first curve and the first crest after the trough, the corresponding second curve has a crest and the value of the crest is larger than zero; when the first curve is at a peak, the ACC at the peakgACC on the second curve of its corresponding positionyIs a negative value; when the wave crest on the second curve and the close wave trough are within a set time threshold value;
the specific setting of the walking determination conditions according to the walking characteristics is as follows:
ACC when in the first curvegAt peak, corresponding to ACC in the second curveyIs a negative value; while ACC in the second curveyHas a peak time stamp greater than ACC in the first curvegA trough timestamp of; while ACC in the second curveyACC in first curve of peak and adjacent peakgThe time interval between the wave crests does not exceed a set threshold; while ACC in the first curvegWave trough and its adjacent ACCgThe time interval between wave crests exceeds a set threshold; again, ACC in the first curvegThe time interval between the peak and the last invalid data exceeds a set threshold;
wherein the maximum value of the linear acceleration is 6.8;
ACCgthe peak range of the wave is 3.3-45;
ACCgthe wave trough range of (1) is-45 to-3.3;
ACCgthe maximum time interval between the wave peak and the last ACCY wave peak is 350 ms;
ACCg200ms of minimum time interval between the trough and its adjacent ACCg peak;
ACCgthe maximum time interval between the peak and the last invalid data is 850 ms.
ACC when in the first curvegACC in the second curve at peakyAnd the negative value is used for filtering the error step counting caused by the abnormal shaking of the equipment.
In the above embodiment, the step size and the step frequency are calculated, wherein the step size LestComprises the following steps:
Figure BDA0001536051690000081
wherein ACCgIs the accumulated value of linear acceleration values in n gravity directions;
to LestAnd (3) constraining to obtain a final step length L:
Figure BDA0001536051690000082
the step frequency F can be obtained according to the following formula:
Figure BDA0001536051690000083
wherein, TpeakDenotes ACCgTime stamp of wave crest, TtroughRepresenting an ACC on the corresponding ACCg peakgThe time stamp of the trough.
FIG. 4 is a schematic diagram of an implementation of step counting; each vertical line in the graph represents one step counting, and the characters below display information such as step length, step frequency and the like; FIG. 5 is a schematic diagram of the step counting effect performed under abnormal disturbance, which is an image generated by the human shaking device, and it can be seen that the waveform generated under abnormal disturbance is similar to the waveform generated under normal walking, but the step counting is not caused (which can be compared with the step counting schematic diagram performed under normal state); the technical scheme can calculate the step size and the step frequency, can eliminate most of equipment shaking interference, detect whether a user is really walking or not, eliminate wrong step counting under some abnormal conditions, and provide information such as the step size, the step frequency and the like; the step counting precision can be effectively improved.
The above description is only for the purpose of illustrating the preferred embodiments of the present invention and is not to be construed as limiting the invention, and any modifications, equivalents, improvements and the like that fall within the spirit and principle of the present invention are intended to be included therein.

Claims (6)

1. The step counting method based on the walking state is characterized by comprising the following steps of:
step 1: continuously acquiring acceleration data from an acceleration sensor; calculating global acceleration through multiple groups of original acceleration data; calculating linear acceleration ACC on three axes through original acceleration data and global acceleration datax,ACCyAnd ACCz
Step 2: judging whether the linear acceleration values on the three axes exceed a set threshold value, if so, marking the group of data as abnormal data, and clearing; calculating the component of the linear acceleration in the gravity direction, and performing smooth filtering to obtain an ACCg
And step 3: drawing the ACCG into a first curve, drawing the ACCY into a second curve, and overlapping the first curve and the second curve to form an overlapped image;
and 4, step 4: setting walking determination conditions, wherein the walking determination conditions consist of ACCG and ACCY characteristic points, and analyzing the overlapped images by using the walking determination conditions to judge whether walking occurs or not;
and 5: when walking is judged to occur, calculating the step length according to the ACCg value at the walking time, and calculating the step frequency according to the timestamp at the walking time and the timestamp of the last ACCg wave valley value to obtain walking data;
wherein the step length LestComprises the following steps:
Figure FDA0003058125830000011
wherein ACCgIs the accumulated value of linear acceleration values in n gravity directions;
to LestAnd (3) constraining to obtain a final step length L:
Figure FDA0003058125830000012
the step frequency F can be obtained according to the following formula:
Figure FDA0003058125830000013
where Tpeak represents the timestamp of the ACCg peak, and Ttrough represents the timestamp of the last ACCg trough of the ACCg peak.
2. The step counting method based on the walking state according to claim 1, wherein the step 1 of acquiring a group of raw acceleration data by the acceleration sensor comprises: measuring the acceleration on the X axis, the Y axis and the Z axis by using an acceleration sensor to obtain acceleration values on the X axis, the Y axis and the Z axis which are RAW _ ACC respectivelyX,RAW_ACCYAnd RAW _ ACCZ
3. The step counting method based on the walking state according to claim 2, wherein the step of calculating the component of the filtered linear acceleration in the gravity direction and performing the parallel filtering specifically comprises: carrying out multiple data measurements by using an acceleration sensor to obtain multiple groups of acceleration values on an X axis, a Y axis and a Z axis; calculating the average value of acceleration values on multiple groups of X-axis, Y-axis and Z-axis to obtain components on the X-axis, Y-axis and Z-axis of global acceleration, and respectively recording the components as ACCworldx、ACCworldyAnd ACCworldzThe method specifically comprises the following steps:
Figure FDA0003058125830000021
Figure FDA0003058125830000022
Figure FDA0003058125830000023
wherein RAW _ ACCX, RAW _ ACCY and RAW _ ACCZ are measured values of the acceleration sensor on the X-axis, Y-axis and Z-axis, respectively.
4. The step counting method based on the walking state according to claim 3, wherein the step 2 is specifically: the components of the linear acceleration in the X, Y and Z axes, denoted ACC respectivelyx、ACCyAnd ACCzThe method specifically comprises the following steps:
ACCx=RAW_ACCxk-ACCworldx
ACCy=RAW_ACCyk-ACCworldy
ACCz=RAW_ACCzk-ACCworldz
wherein ACCworldx、ACCworldyAnd ACCworldzComponents on the global acceleration X-axis, Y-axis and Z-axis, respectively; the RAW _ ACCX, RAW _ ACCY, and RAW _ ACCZ are measured values of the acceleration sensor on the X-axis, Y-axis, and Z-axis, respectively.
5. The step counting method based on the walking state according to claim 4, wherein the step 2 is specifically:
Figure FDA0003058125830000031
wherein ACCx、ACCyAnd ACCzThe components of the linear acceleration on the X-axis, the Y-axis and the Z-axis respectively;
normalizing the global acceleration, specifically:
Figure FDA0003058125830000032
measurement values of the acceleration sensor:
RAW_ACC=[RAW_ACCx RAW_ACCy RAW_ACCz]
transposing a measurement value matrix of the acceleration sensor, multiplying the transposed measurement value matrix by a global acceleration normalization value to obtain a dot product of two space vectors, subtracting a modulus of the global acceleration to obtain linear acceleration values in the gravity direction, and accumulating the linear acceleration values in n gravity directions to obtain an ACCg
Figure FDA0003058125830000033
Wherein n is 10.
6. The walking state-based step counting method according to claim 5, wherein a plurality of ACCs are providedgDrawing a first curve, and drawing multiple ACCsyDrawing a second curve, and overlapping the first curve and the second curve to form an overlapped image;
the walking characteristics are as follows: between the trough of the first curve and the first crest after the trough, the corresponding second curve has a crest and the value of the crest is larger than zero; when the first curve is at a peak, the ACC at the peakgACC on the second curve of its corresponding positionyIs a negative value; when the wave crest on the second curve and the close wave trough are within a set time threshold value;
the specific setting of the walking determination conditions according to the walking characteristics is as follows:
ACC when in the first curvegACC in the second curve at peakyIs a negative value; at the same time the second songIn-line ACCyHas a peak time stamp greater than ACC in the first curvegA trough timestamp of; while ACC in the second curveyACC in first curve of peak and adjacent peakgThe time interval between the wave crests does not exceed a set threshold; while ACC in the first curvegWave trough and its adjacent ACCgThe time interval between wave crests exceeds a set threshold; again, ACC in the first curvegThe time interval between the peak and the last invalid data exceeds the set threshold.
CN201711493923.5A2017-12-312017-12-31Step counting method based on walking stateActiveCN108253992B (en)

Priority Applications (1)

Application NumberPriority DateFiling DateTitle
CN201711493923.5ACN108253992B (en)2017-12-312017-12-31Step counting method based on walking state

Applications Claiming Priority (1)

Application NumberPriority DateFiling DateTitle
CN201711493923.5ACN108253992B (en)2017-12-312017-12-31Step counting method based on walking state

Publications (2)

Publication NumberPublication Date
CN108253992A CN108253992A (en)2018-07-06
CN108253992Btrue CN108253992B (en)2021-07-02

Family

ID=62725604

Family Applications (1)

Application NumberTitlePriority DateFiling Date
CN201711493923.5AActiveCN108253992B (en)2017-12-312017-12-31Step counting method based on walking state

Country Status (1)

CountryLink
CN (1)CN108253992B (en)

Families Citing this family (4)

* Cited by examiner, † Cited by third party
Publication numberPriority datePublication dateAssigneeTitle
CN109212260B (en)*2018-09-072021-06-25青岛迈金智能科技有限公司Motion frequency calculation method and device
CN109870172B (en)*2019-02-252020-12-18广州市香港科大霍英东研究院 Pedometer detection method, device, equipment and storage medium
CN109883531A (en)*2019-03-052019-06-14广州亚美信息科技有限公司Vehicle vibration kind identification method and system based on acceleration transducer
CN115540899A (en)*2021-06-302022-12-30北京小米移动软件有限公司Step counting method, step counting device, step counting equipment and storage medium

Citations (9)

* Cited by examiner, † Cited by third party
Publication numberPriority datePublication dateAssigneeTitle
EP1271099A2 (en)*2001-06-292003-01-02Nokia CorporationMethod and arrangement for determining movement
WO2006073219A1 (en)*2005-01-042006-07-13Healthpia Co., Ltd.Mobile communication terminal having exercise quantity measurement function and method of measuring exercise quantity using the same
CN101694499A (en)*2009-10-222010-04-14浙江大学Pedestrian gait detection-based system and method of walking speed measurement and transmission
CN101750096A (en)*2008-11-282010-06-23佛山市顺德区顺达电脑厂有限公司Step-counting processing system and method
CN102564449A (en)*2010-11-172012-07-11索尼公司Walking situation detection device, walking situation detection method, and walking situation detection program
CN103792386A (en)*2013-11-212014-05-14清华大学Walking direction detection method and device
CN103997572A (en)*2014-06-032014-08-20深圳市爱康伟达智能医疗科技有限公司Step counting method and device based on data of acceleration sensor of mobile phone
CN106123897A (en)*2016-06-142016-11-16中山大学Indoor fusion and positioning method based on multiple features
CN107250727A (en)*2014-09-152017-10-13牛津大学创新有限公司 Determine the location of a mobile device within a geographic area

Family Cites Families (1)

* Cited by examiner, † Cited by third party
Publication numberPriority datePublication dateAssigneeTitle
JP4126388B2 (en)*2002-04-082008-07-30カシオ計算機株式会社 Walking direction detecting device and program

Patent Citations (9)

* Cited by examiner, † Cited by third party
Publication numberPriority datePublication dateAssigneeTitle
EP1271099A2 (en)*2001-06-292003-01-02Nokia CorporationMethod and arrangement for determining movement
WO2006073219A1 (en)*2005-01-042006-07-13Healthpia Co., Ltd.Mobile communication terminal having exercise quantity measurement function and method of measuring exercise quantity using the same
CN101750096A (en)*2008-11-282010-06-23佛山市顺德区顺达电脑厂有限公司Step-counting processing system and method
CN101694499A (en)*2009-10-222010-04-14浙江大学Pedestrian gait detection-based system and method of walking speed measurement and transmission
CN102564449A (en)*2010-11-172012-07-11索尼公司Walking situation detection device, walking situation detection method, and walking situation detection program
CN103792386A (en)*2013-11-212014-05-14清华大学Walking direction detection method and device
CN103997572A (en)*2014-06-032014-08-20深圳市爱康伟达智能医疗科技有限公司Step counting method and device based on data of acceleration sensor of mobile phone
CN107250727A (en)*2014-09-152017-10-13牛津大学创新有限公司 Determine the location of a mobile device within a geographic area
CN106123897A (en)*2016-06-142016-11-16中山大学Indoor fusion and positioning method based on multiple features

Also Published As

Publication numberPublication date
CN108253992A (en)2018-07-06

Similar Documents

PublicationPublication DateTitle
CN108253992B (en)Step counting method based on walking state
US9791295B2 (en)Step counting method and a pedometer based on a 3-axis accelerometer
CN103323615B (en)A kind of mobile terminal and method being calculated walking speed by acceleration transducer
US9228836B2 (en)Inference of vehicular trajectory characteristics with personal mobile devices
Le Sage et al.Embedded programming and real-time signal processing of swimming strokes
Jensen et al.Classification of kinematic swimming data with emphasis on resource consumption
CN109145696B (en)Old people falling detection method and system based on deep learning
CN107393260B (en)Sedentariness reminding method and device and wrist type sedentariness reminder
CN108900864B (en) Full-reference video quality assessment method based on motion trajectory
CN109916485B (en)Dynamic vehicle weighing method and device
US20150198625A1 (en)Estimation of direction of motion of users on mobile devices
CN106725495A (en)A kind of fall detection method, apparatus and system
CN103562730A (en) Fall determination device and fall determination method
US20150241243A1 (en)Method for counting steps and electronic apparatus using the same
JP3702260B2 (en) Target angular velocity measuring device and target angular velocity measuring method
CN111274852A (en)Target object key point detection method and device
US20170311899A1 (en)Apparatus and method for identifying movement in a patient
CN107392106A (en)A kind of physical activity end-point detecting method based on double threshold
CN104880198A (en) Pedometer method and electronic device thereof
CN112933579B (en)Motion quality evaluation method and device and storage medium
Hölzke et al.Step detection through ultra-low complexity zero crossing analysis
US10467462B2 (en)System and method for detecting at least one transient phase in a steady activity of an animated being
JP5815866B2 (en) Method for evaluating output signal of yaw rate sensor unit and yaw rate sensor unit
CN108519100A (en)For the method for estimating step length, cloud system, equipment and computer program product
CN110766252B (en)Method and device for calculating waiting time and computing equipment

Legal Events

DateCodeTitleDescription
PB01Publication
PB01Publication
SE01Entry into force of request for substantive examination
SE01Entry into force of request for substantive examination
GR01Patent grant
GR01Patent grant

[8]ページ先頭

©2009-2025 Movatter.jp