Movatterモバイル変換


[0]ホーム

URL:


CN108200607B - Load balancing method, device and system for S-CSCF pool group - Google Patents

Load balancing method, device and system for S-CSCF pool group
Download PDF

Info

Publication number
CN108200607B
CN108200607BCN201611125573.2ACN201611125573ACN108200607BCN 108200607 BCN108200607 BCN 108200607BCN 201611125573 ACN201611125573 ACN 201611125573ACN 108200607 BCN108200607 BCN 108200607B
Authority
CN
China
Prior art keywords
load
cscf
value
pool group
variance
Prior art date
Legal status (The legal status is an assumption and is not a legal conclusion. Google has not performed a legal analysis and makes no representation as to the accuracy of the status listed.)
Active
Application number
CN201611125573.2A
Other languages
Chinese (zh)
Other versions
CN108200607A (en
Inventor
柏果
Current Assignee (The listed assignees may be inaccurate. Google has not performed a legal analysis and makes no representation or warranty as to the accuracy of the list.)
China Mobile Communications Group Co Ltd
China Mobile Group Sichuan Co Ltd
Original Assignee
China Mobile Group Sichuan Co Ltd
China Mobile Communications Corp
Priority date (The priority date is an assumption and is not a legal conclusion. Google has not performed a legal analysis and makes no representation as to the accuracy of the date listed.)
Filing date
Publication date
Application filed by China Mobile Group Sichuan Co Ltd, China Mobile Communications CorpfiledCriticalChina Mobile Group Sichuan Co Ltd
Priority to CN201611125573.2ApriorityCriticalpatent/CN108200607B/en
Publication of CN108200607ApublicationCriticalpatent/CN108200607A/en
Application grantedgrantedCritical
Publication of CN108200607BpublicationCriticalpatent/CN108200607B/en
Activelegal-statusCriticalCurrent
Anticipated expirationlegal-statusCritical

Links

Images

Classifications

Landscapes

Abstract

Translated fromChinese

本发明涉及S‑CSCF池组的负荷均衡方法、装置以及系统。针对以往的负荷均衡时准确率和效率低下的问题,本发明的S‑CSCF池组的负荷均衡方法包括以下步骤:基于S‑CSCF池组中的各S‑CSCF设备的负荷值以及所述S‑CSCF设备的平均负荷值计算负荷方差;判断负荷方差是否是预定阈值以上,如果是预定阈值以上则判断为负荷不均衡;当判断为负荷不均衡时,从S‑CSCF池组中筛选负荷值偏离平均负荷值最大的S‑CSCF设备作为负荷调整设备;计算筛选出的负荷调整设备的负荷影响因素与负荷的相关系数;以及指示根据计算出的相关系数的绝对值大于预定值的、且绝对值最大的负荷影响因素进行负荷调整。从而能够增强网络面对突发冲击时的自动调整能力,实现S‑CSCF池组的最优化管控。

Figure 201611125573

The present invention relates to a load balancing method, device and system for S-CSCF pool groups. Aiming at the problems of low accuracy and efficiency during load balancing in the past, the load balancing method for the S-CSCF pool group of the present invention includes the following steps: based on the load value of each S-CSCF device in the S-CSCF pool group and the S-CSCF pool ‑ Calculate the load variance from the average load value of the CSCF equipment; determine whether the load variance is above a predetermined threshold, and if it is above the predetermined threshold, it is judged that the load is unbalanced; when it is judged that the load is unbalanced, the load value is filtered from the S‑CSCF pool group The S‑CSCF equipment with the largest deviation from the average load value is used as the load adjustment equipment; the correlation coefficient between the load influencing factors and the load of the selected load adjustment equipment is calculated; and the absolute value of the calculated correlation coefficient is greater than the predetermined value, and the absolute value Load adjustment is carried out according to the load influencing factor with the largest value. In this way, the automatic adjustment capability of the network in the face of sudden shocks can be enhanced, and the optimal management and control of the S‑CSCF pool group can be realized.

Figure 201611125573

Description

Load balancing method, device and system for S-CSCF (serving-Call Session control function) pool
Technical Field
The present invention relates to the field of data services. In particular to a load balancing method, a device and a system of an S-CSCF pool group.
Background
The Voice over LTE (IMS) core network device includes, for example, an SBC (Session border controller), an I-CSCF (Interrogating Call Session Control Function) device, an S-CSCF (Serving Call Session Control Function) device, a TAS (Telephony Application Server), and the like, because the above devices are very important in a mobile network, a disaster recovery backup is performed in a PooL group (PooL) manner, and after a user accesses the device, the device is uniformly distributed on devices in the PooL group according to a preset round of selection parameters. The I \ S-CSCF Pool group characteristic is that a plurality of I \ S-CSCFs serve the same access area (SBC Pool area) at the same time, all SBCs in the access area translate the same Domain Name into different addresses through ENS (EUNM/DNS, DNS is Domain Name System), ENUM is Telephone Number Mapping working group (ENUM) of the Internet engineering task group, to select different I-CSCFs, the I-CSCFs select S-CSCF devices according to the S-CSCF capability set returned from HSS (Home Subscriber Server), resource sharing and service load sharing are realized among the S-CSCF devices in the S-CSCF Pool group.
When a VoLTE user accesses an IMS (IP Multimedia Subsystem) network from a home location, the user accesses an I-CSCF (home province call session control function) device and then accesses an S-CSCF device in a same machine room priority mode to complete registration; when the VoLTE user accesses from the roaming place, the user accesses the roaming province I-CSCF equipment and then accesses the attribution province S-CSCF equipment in a round-robin mode to complete registration. Two different access modes of a local user and a roaming user, especially when the number of roaming users is increased, more S-CSCF equipment users and lower S-CSCF equipment traffic can be caused, and in addition, different equipment load differences in the same S-CSCF pool group can easily occur due to different user behavior differences, equipment bearing capacity differences, equipment faults and the like, and the adjustment needs to be carried out in time.
In addition, in the S-CSCF pool group, aiming at the local user and the roaming user, an S-CSCF device is selected for the newly accessed user by adopting different priority access modes. Because the I-CSCF equipment is adopted to select the fixed mode set by the S-CSCF equipment after obtaining the capability set from the HSS, only the user is accessed to the S-CSCF pool group to be identified, and the user is not sensed to leave the S-CSCF pool group, the difference of the specific user number and the user behavior registered in real time is larger, especially the load capacity of the equipment in the pool group is different, and the load of individual equipment in the pool group is easily higher.
That is, the capacity of the devices in the current S-CSCF pool does not support dynamic load balancing, but depends on static configuration implementation, and when load imbalance occurs, relative balancing of the load can be achieved only by manually migrating users by repeatedly modifying the distribution ratio and weight of each device, which is very inefficient and accurate.
Disclosure of Invention
In view of the problems existing in the prior art, the present invention proposes the following technical solutions.
The invention provides a load balancing method of an S-CSCF pool group on one hand, which comprises the following steps: a variance calculation step of calculating load variance based on the load value of each S-CSCF device in the S-CSCF pool and the average load value of the S-CSCF device; a judging step of judging whether the load variance is above a predetermined threshold, and if so, judging that the load is unbalanced; a screening step, when the load is judged to be unbalanced, screening S-CSCF equipment with the load value deviating from the average load value to be the maximum from the S-CSCF pool group as load adjusting equipment; a correlation calculation step of calculating a correlation coefficient between the load influence factor of the load adjustment device and the load; and an instruction step of instructing load adjustment according to the load influence factor, the absolute value of which is greater than a predetermined value and the absolute value of which is the largest, of the calculated correlation coefficient.
The method analyzes the load balance of the S-CSCF pool group based on the variance and the correlation coefficient, judges the most needed equipment according to the discrete degree of the load value by taking the load variance as the condition for judging the load balance, performs correlation analysis on various load influence factors by using the correlation coefficient, determines the most main factors influencing the load unbalance, and adjusts the load by adopting corresponding measures according to different reasons. An operator can dynamically adjust the network according to the real-time distribution state of the load of the S-CSCF pool, the automatic adjustment capability of the network in the face of sudden impact is enhanced, and the optimized management and control of the VoLTE equipment are realized.
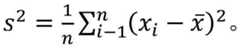
According to the load balancing method, in the variance calculating step, the load value of each S-CSCF device of the S-CSCF pool is obtained, the number of the S-CSCF devices of the S-CSCF pool is set to be n, and the load value of each S-CSCF device is set to be xiWherein i is 1, 2, …, n is a positive integer greater than 1, and the average load value of n S-CSCF devices in the S-CSCF pool set as
Figure BDA0001174960160000031
The load variance s2Is composed of
Figure BDA0001174960160000032
According to the load balancing method described above, in the correlation calculation step, the values z of the load influencing factors of the load adjusting device at m time points are obtainedjAnd the load value yjWherein j is 1, 2, …, m is a positive integer greater than 1, and the value z of the load influencing factor is determinedjIs set as
Figure BDA0001174960160000033
The load value yjIs set as
Figure BDA0001174960160000034
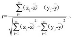
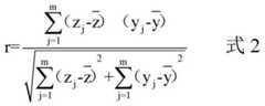
The correlation coefficient r between the load influencing factor and the load is
Figure BDA0001174960160000035
According to the load balancing method, the load influence factors comprise the number of users, the alarm amount and the single board load, and under the condition that the absolute values larger than the preset value are multiple and the same, the adjustment is carried out according to the priority sequence of the number of users, the alarm amount and the single board load.
According to the load balancing method, the load variance is repeatedly calculated at intervals of preset time, and load balancing judgment is executed. Therefore, the condition that the equipment has unbalanced load can be found as early as possible, the adjustment is carried out in time, and the serious unbalance of the load is avoided.
Another aspect of the present invention provides a load balancing apparatus for an S-CSCF pool, comprising: a variance calculating unit, which calculates load variance based on the load value of each S-CSCF device in the S-CSCF pool and the average load value of the S-CSCF device; a judging unit for judging whether the load variance is above a predetermined threshold, and if so, judging that the load is unbalanced; the screening unit is used for screening the S-CSCF equipment with the maximum load value deviating from the average load value from the S-CSCF pool group as load adjusting equipment when the load is judged to be unbalanced; a correlation calculation unit that calculates a correlation coefficient between the load influence factor of the load adjustment device and the load that has been screened out; and an instruction unit that instructs load adjustment according to the load influence factor in which the absolute value of the calculated correlation coefficient is larger than a predetermined value and the absolute value is the largest.
According to the load balancing device, in the variance calculating unit, the load value of each S-CSCF device in the S-CSCF pool is obtained, the number of S-CSCF devices in the S-CSCF pool is set to n, and the load value of each S-CSCF device is set to xiWherein i is 1, 2, …, n is a positive integer greater than 1, and the average load value of n S-CSCF devices in the S-CSCF pool set as
Figure BDA0001174960160000041
The load variance s2Is composed of
Figure BDA0001174960160000042
According to the above load balancing apparatus, in the correlation calculation unit, the values z of the load influencing factors of the load adjusting device at m time points are obtainedjAnd the load value yjWherein j is 1, 2, …, m is a positive integer greater than 1, and the value z of the load influencing factor is determinedjIs set as
Figure BDA0001174960160000043
The load value yjIs set as
Figure BDA0001174960160000044
The correlation coefficient r between the load influencing factor and the load is
Figure BDA0001174960160000045
According to the load balancing device, the load influencing factors include the number of users, the alarm amount and the board load, and under the condition that the absolute values larger than the preset value are multiple and the same, the adjustment is performed according to the priority order of the number of users, the alarm amount and the board load.
According to the load balancing device, the load variance is repeatedly calculated at intervals of preset time, and load balancing judgment is executed.
Still another aspect of the present invention provides a load balancing system for an S-CSCF pool, comprising: an S-CSCF pool group; and a load balancing device of the S-CSCF pool group in any one of the above.
According to the invention, whether the load is balanced can be accurately judged by introducing the variance, the equipment which seriously influences the load balance is found out under the condition of unbalanced load, and the main factors which influence the load balance can be accurately judged by introducing the correlation, so that the dynamic adjustment can be accurately carried out in a targeted manner, the automatic adjustment capability of a network to the sudden impact is enhanced, and the optimal management and control of the S-CSCF pool group are realized.
Drawings
FIG. 1 is a schematic flow chart of the load balancing method of the S-CSCF pool group of the invention;
fig. 2 is a flowchart of a load balancing method of an S-CSCF device according to an embodiment of the present invention;
fig. 3 is a block diagram of a load balancing apparatus according to an embodiment of the present invention;
fig. 4 is a block diagram of the S-CSCF pool related to the embodiment of the present invention.
Detailed Description
The invention may be better understood by describing specific embodiments thereof in conjunction with the accompanying drawings. Features and exemplary embodiments of various aspects of the present invention will be described in detail below. In the following detailed description, numerous specific details are set forth in order to provide a thorough understanding of the present invention. It will be apparent, however, to one skilled in the art that the present invention may be practiced without some of these specific details. The following description of the embodiments is merely intended to provide a better understanding of the present invention by illustrating examples of the present invention. The present invention is in no way limited to any specific configuration and algorithm set forth below, but rather covers any modification, replacement or improvement of elements, components or algorithms without departing from the spirit of the invention. In the drawings and the following description, well-known structures and techniques are not shown to avoid unnecessarily obscuring the present invention.
The invention provides a load balancing method of an S-CSCF pool group, which introduces load variance to judge load balancing and analyzes main factors causing load imbalance by utilizing correlation so as to adjust the main factors to realize load balancing.
Fig. 1 is a schematic flow chart of the load balancing method of the S-CSCF pool set of the present invention. The load balancing method of fig. 1 includes: step S1, a variance calculation step, which is to calculate load variance based on the load value of each S-CSCF device in the S-CSCF pool and the average load value of the S-CSCF device; step S2, a judgment step of judging whether the load variance is greater than a predetermined threshold, and if so, judging that the load is unbalanced; step S3, a screening step, wherein when the load is judged to be unbalanced, S-CSCF equipment with the load value deviating from the average load value to the maximum is screened from the S-CSCF pool as load adjusting equipment; step S4, a correlation calculation step of calculating a correlation coefficient between the load influence factor of the load adjustment device and the load; and a step S5 of instructing load adjustment based on the load influencing factor in which the absolute value of the correlation coefficient calculated is greater than a predetermined value and the absolute value is the largest.
The following describes the load balancing method of the S-CSCF pool set in the embodiment of the present invention in detail. Fig. 2 is a flowchart illustrating a load balancing method of an S-CSCF device according to an embodiment of the present invention. As shown in step S11 of FIG. 2, all devices in the S-CSCF pool are first computedLoad variance. Setting n S-CSCF devices in a S-CSCF pool, wherein the load value of each device at a certain time is xi(i=1、2、…、n),
Figure BDA0001174960160000062
Representing the average load value of n devices in the S-CSCF pool, i.e.
Figure BDA0001174960160000063
Load variance S of all devices in S-CSCF pool2As shown in equation 1.
Figure BDA0001174960160000061
The smaller the variance is, the more concentrated the load value is, and the more balanced the equipment load in the S-CSCF pool is; the larger the variance is, the more dispersed the load value is, and the more unbalanced the equipment load in the S-CSCF pool is.
In step S12, it is determined whether or not the load variance of the devices in the S-CSCF pool is equal to or greater than a predetermined threshold, and if so, it is determined that the load is unbalanced. Comparing the load variance of the device in the S-CSCF group with a preset threshold value, setting the preset threshold value as K (for example, K is 0.01), and when S is used2If the load is less than K, judging that the load is balanced, and not starting corresponding load reduction measures; when load variance S2And when the load is more than or equal to K, judging that the load is unbalanced, and starting a load reduction measure. The predetermined threshold value can be set according to actual requirements.
Alternatively, in the case of determining load balancing, the above load balancing determination is repeatedly performed at predetermined intervals, that is, the load variance is calculated again, and it is determined whether or not it is a predetermined threshold or more. Therefore, each S-CSCF pool is detected, the load of the equipment is detected once every preset time, and one equipment is selected to be adjusted according to the discrete state of the load under the condition of unbalanced load as described later, so that blind operation caused by unknown reasons is avoided.
When it is determined that the load is unbalanced, the S-CSCF device having the largest load value deviated from the average load value is selected from the S-CSCF pool as the load adjusting device in step S13. Namely, the difference between the load values of all the S-CSCF devices and the average load value of the S-CSCF devices in the S-CSCF pool is respectively calculated, and the S-CSCF device with the largest difference is selected as the load adjusting device needing load adjustment.
After the load adjustment devices are screened out, the correlation coefficient between the load influencing factors and the loads of the screened-out load adjustment devices is calculated as shown in step S14 of fig. 2. The load influence factor refers to a factor capable of influencing the equipment load, such as the number of users, the alarm amount, the board load and the like. In step S15, the load is adjusted based on the load influencing factor whose absolute value is greater than the predetermined value and whose absolute value is the largest.
The correlation coefficient in statistics, also called pearson correlation coefficient, can determine how close the relationship between the load influencing factors and the load is. The correlation coefficient r varies in the range of-1 to +1, and the closer the absolute value is to 1, the more closely the linear correlation between the factor and the load of the equipment is represented; closer to 0, it means that the factor is less closely related linearly to the load of the device. A predetermined value (for example, 0.7) may be appropriately set according to actual needs, and when the absolute value of the correlation coefficient r is larger than the predetermined value, it indicates that the degree of correlation is high, and it is taken as an alternative load factor, otherwise, the load factor is not considered. The factor with the largest absolute value among the candidate load-affecting factors is determined as the primary cause of the load-affecting superelevation, and the adjustment is performed. Specifically, the values of the load influencing factors at m time points of the load adjusting equipment and the load values of the load adjusting equipment at the corresponding time points are collected, the values of the load influencing factors are set as z, and the values of the load influencing factors at m different time points are set as zj(j is 1, 2, …, m), and the average value of the values of the load influencing factors at m different time points is
Figure BDA0001174960160000071
Figure BDA0001174960160000072
The load value of the equipment at the m different time points is yj(j is 1, 2, …, m), and the average of the load values at m different time points is
Figure BDA0001174960160000073
The calculation formula of the correlation coefficient r between the load influencing factor of the load adjusting equipment and the load is shown as formula 2.
Figure BDA0001174960160000074
And analyzing the correlation between the number of users and the load value. And taking the hour as the granularity, collecting a value z when the number of the users residing in the S-CSCF equipment with the largest load deviation is taken as a load influence factor and a load value y of the S-CSCF equipment at a corresponding time point, calculating the average value of the counted number of the users and the load value, and substituting the average value into the correlation coefficient calculation formula. When the absolute value of the correlation coefficient r is larger than a predetermined value (for example, larger than 0.7), the number of users is listed as an alternative cause of the load imbalance. And if the absolute value of the correlation coefficient r is less than or equal to a predetermined value, the influence of the number of the users on the load imbalance of the S-CSCF equipment is not considered.
And analyzing the correlation between the alarm amount and the load value. And collecting a value z when the load adjusting equipment generates the alarm amount as a load influence factor and a load value y of the S-CSCF equipment at a corresponding time point by taking the hour as the granularity, calculating the respective average values of the alarm amount and the load value which are counted, and substituting the average values into the correlation coefficient calculation formula. When the absolute value of the correlation coefficient r is larger than a predetermined value (for example, larger than 0.7), the alarm amount is listed as an alternative cause of the load imbalance. And if the absolute value of the correlation coefficient r is less than or equal to a predetermined value, the influence of the alarm quantity on the load imbalance of the S-CSCF equipment is not considered.
And analyzing the correlation between the single board load and the load value. The board load is the load capacity of the processor in the load adjusting device. And taking the hour as the granularity, acquiring a value z when the single board load in the load adjusting equipment is taken as a load influence factor and a load value y of the equipment at a corresponding time point, calculating the respective average values of the single board load and the load value which are counted, and substituting the average values into the correlation coefficient calculation formula. When the absolute value of the correlation coefficient r is larger than a predetermined value (for example, larger than 0.7), the cell load is listed as an alternative cause of the load imbalance. And if the absolute value of the correlation coefficient r is less than or equal to a preset value, the influence of the single board load on the load imbalance of the S-CSCF equipment is not considered.
The predetermined value to which the correlation coefficient r is compared may be set according to actual requirements.
Optionally, under the condition that the absolute values of the correlation coefficients of the load influencing factors are all larger than the predetermined value and the absolute values of the correlation coefficients are the same, the load influencing factors are preferentially adjusted according to the sequence of the number of users > the alarm amount > the board load.
Optionally, the load influencing factors may also include other factors, such as factors of a peer device outside the S-CSCF pool. Specifically, for example, the VoLTE radio access rate of the peer device base station, the TAS initial registration success rate, and the like are given. And taking hours as granularity, collecting the value z of other factors as load influence factors and the load value y of the equipment at the corresponding time point, calculating respective average values, and substituting the average values into the correlation coefficient calculation formula. When the absolute value of the correlation coefficient r is larger than a predetermined value (for example, larger than 0.7), other factors are listed as the candidate causes of the load imbalance. And if the absolute value of the correlation coefficient r is less than or equal to a predetermined value, the influence of other factors on the load imbalance of the S-CSCF equipment is not considered. Under the condition of considering other factors, under the condition that the absolute values of the correlation coefficients of all the load influencing factors are larger than the preset value and the absolute values of the correlation coefficients are the same, aiming at the load influencing factors, the adjustment is preferentially carried out according to the sequence of the number of users > the alarm amount > the single-board load > the other factors.
The adjustment of the selected load influencing factor will be explained below.
When the number of users is the preferred reason causing high load, in the adjustment, the average number of registered users in the S-CSCF pool is calculated according to the number of users registered by n devices in the S-CSCF pool counted when the variance of the load is calculated, the difference between the number of users of the screened load adjusting devices and the average number of registered users is determined as the number of users needing to be transferred, and the users are transferred to other S-CSCF devices in the pool according to the proportion. Namely: the number of users to be transferred is the number of registered users of the load adjusting device-the average number of registered users of the devices in the pool, and the proportion of the users to be transferred is the number of users to be transferred/the number of registered users of the devices.
In the case where the alarm amount is the primary cause of the high load, it is described that the load rise of the equipment with the largest load deviation is closely related to the equipment failure. In the adjustment, the alarm level is judged, the alarm processing sequence is emergency alarm, important alarm, general alarm and indication alarm in sequence, and the load is reduced by processing faults.
When the board load is the preferred cause of high load, it is described that the equipment load is increased due to the higher board load, and the problem needs to be solved by the capacity expansion of the equipment. In the adjustment, the number of the single boards needing capacity expansion is calculated. The number of the single plates needing to be expanded is { the load of the single plate x the number of the single plates/the mean value of the loads of the single plates of other devices in the pool group-the number of the single plates }.
Under the condition that other equipment factors are the first-choice reason causing high load, the load is reduced by solving the problem of the base station or other core equipment through optimization and adjustment according to the parameters corresponding to the performance indexes.
Through the method, the main S-CSCF equipment causing the unbalanced load of the S-CSCF pool can be selected, and the load influence factor which has the largest influence on the unbalanced load is determined for the S-CSCF equipment to adjust, so that the load balance can be realized.
Optionally, after the above process is completed, recalculating the load balance in the S-CSCF pool, and if the load variance is smaller than a predetermined threshold, determining that the load balance in the pool is present and the system is stable; if the load is larger than or equal to the preset threshold value, continuing to perform load balancing operation according to the process until the load in the S-CSCF pool is balanced and stable.
Through the above, if the load imbalance is caused by the number of the users, the difference value between the number of the users of the load adjusting equipment and the average number of the users is calculated, and the users with the number of the difference value are transferred to the equipment with the low number of the users in the pool group to carry out load reduction operation, so that the relative balance of the equipment load is achieved; if the alarm quantity is caused, the load needs to be reduced by processing faults; if the load of the single board is caused, the capacity expansion is needed to be carried out through the calculated number of the single boards needing to be expanded; if other factors cause the load imbalance, other equipment issues need to be addressed to reduce the load. Thus, load balancing can be efficiently achieved with pertinence.
According to the load balancing method, if the load variance of each device in the S-CSCF pool is in the range of the preset threshold value, corresponding load reduction measures are not started in the period. If the load variance of all the devices in the pool is greater than or equal to the preset threshold, a load balancing process is started, the load influence factor with the maximum correlation is calculated, and the high load of the devices is reduced through corresponding measures, so that the relative balance of the device load is achieved.
Therefore, the method has the advantages that the loads of all the devices in the S-CSCF pool can be monitored in a quasi-real-time manner according to different set monitoring periods, different solutions are made according to different reasons, and corresponding dynamic load balancing processes are started, so that the loads of all the devices are judged and adjusted, the situations that part of the devices are too high in load and part of the devices are too low in load are prevented, the implementation efficiency and the accuracy are high, the maintenance efficiency is greatly improved, the workload of maintenance personnel is reduced, and the service life of the devices is prolonged.
In addition, according to the embodiment of the invention, a load balancing device of the S-CSCF pool group is provided.
Fig. 3 is a block diagram of a load balancing apparatus according to an embodiment of the present invention. The load balancing apparatus 100 includes: a variance calculation unit 101 that calculates a load variance based on the load value of each S-CSCF device in the S-CSCF pool and the average load value of the S-CSCF devices; a judging unit 102 that judges whether or not the load variance is equal to or greater than a predetermined threshold, and if so, judges that the load is unbalanced; a screening unit 103, configured to screen, when it is determined that the load is unbalanced, S-CSCF devices having a load value that deviates from the average load value by a maximum value from the S-CSCF pool as load adjusting devices; a correlation calculation unit 104 that calculates a correlation coefficient between the load influence factor of the load adjustment device and the load that has been screened out; and an instruction unit 105 that instructs load adjustment based on the load influencing factor in which the absolute value of the calculated correlation coefficient is larger than a predetermined value and the absolute value is the largest.
The operation methods of the units of the load balancing apparatus 100 are the same as those described above, and are not described herein again.
The embodiment of the invention also provides a load balancing system 1000 of the S-CSCF pool group. Fig. 4 is a block diagram of a load balancing system according to an embodiment of the present invention. The load balancing system 1000 includes an S-CSCF pool 200 and the load balancing apparatus 100 of the S-CSCF pool described above.
According to the invention, whether the load is balanced or not can be accurately judged by introducing the variance, the equipment which seriously influences the load balance is found out, and the main factors which influence the load balance can be accurately judged by introducing the correlation, so that the dynamic adjustment can be accurately carried out in a targeted manner, the automatic adjustment capability of a network in the case of sudden impact is enhanced, and the optimized management and control of the S-CSCF pool are realized.
The present invention may be embodied in other specific forms without departing from its spirit or essential characteristics. The present embodiments are therefore to be considered in all respects as illustrative and not restrictive, the scope of the invention being indicated by the appended claims rather than by the foregoing description, and all changes which come within the meaning and range of equivalency of the claims are therefore intended to be embraced therein. Also, different features that are present in different embodiments may be combined to advantage. Other variations to the disclosed embodiments can be understood and effected by those skilled in the art upon studying the drawings, the specification, and the claims.

Claims (11)

Translated fromChinese
1.一种S-CSCF池组的负荷均衡方法,其特征在于,包括:1. a load balancing method of S-CSCF pool group, is characterized in that, comprises:方差计算步骤,基于所述S-CSCF池组中的各S-CSCF设备的负荷值以及所述S-CSCF设备的平均负荷值计算负荷方差;A variance calculation step, calculating a load variance based on the load value of each S-CSCF device in the S-CSCF pool group and the average load value of the S-CSCF device;判断步骤,判断所述负荷方差是否是预定阈值以上,如果是所述预定阈值以上则判断为负荷不均衡;Judging step, judging whether the load variance is above a predetermined threshold, and if it is above the predetermined threshold, it is judged that the load is unbalanced;筛选步骤,当判断为负荷不均衡时,从所述S-CSCF池组中筛选负荷值偏离所述平均负荷值最大的S-CSCF设备作为负荷调整设备;In the screening step, when it is judged that the load is unbalanced, the S-CSCF device whose load value deviates from the average load value is the largest from the S-CSCF pool group is selected as a load adjustment device;相关性计算步骤,计算筛选出的所述负荷调整设备的负荷影响因素与所述负荷的相关系数;以及a correlation calculation step of calculating a correlation coefficient between the load influencing factors of the load adjustment equipment and the load selected; and指示步骤,指示根据计算出的所述相关系数的绝对值大于预定值的、且所述绝对值最大的所述负荷影响因素进行负荷调整;an instructing step, instructing to perform load adjustment according to the load influencing factor for which the calculated absolute value of the correlation coefficient is greater than a predetermined value and the absolute value is the largest;所述负荷影响因素包括用户数量,所述用户数量为所述S-CSCF设备中驻留的用户数量。The load influencing factor includes the number of users, and the number of users is the number of users residing in the S-CSCF device.2.根据权利要求1所述的S-CSCF池组的负荷均衡方法,其特征在于,2. the load balancing method of S-CSCF pool group according to claim 1, is characterized in that,在所述方差计算步骤中,获取所述S-CSCF池组的各所述S-CSCF设备的负荷值,将所述S-CSCF池组的所述S-CSCF设备的数目设为n个,将各所述S-CSCF设备的负荷值设为xi,其中i=1、2、…、n,n为大于1的正整数,将所述S-CSCF池组内n个所述S-CSCF设备的平均负荷值设为
Figure FDA0002892674860000011
则所述负荷方差s2为In the variance calculation step, the load value of each of the S-CSCF devices in the S-CSCF pool group is obtained, and the number of the S-CSCF devices in the S-CSCF pool group is set to n, Set the load value of each of the S-CSCF devices as xi , where i=1, 2, ..., n, where n is a positive integer greater than 1, and set the n S-CSCF pools The average load value of CSCF equipment is set to
Figure FDA0002892674860000011
Then the load variance s2 is
Figure FDA0002892674860000012
Figure FDA0002892674860000012
3.根据权利要求1所述的S-CSCF池组的负荷均衡方法,其特征在于,3. the load balancing method of S-CSCF pool group according to claim 1, is characterized in that,在所述相关性计算步骤中,获取所述负荷调整设备在m个时间点的所述负荷影响因素的值zj以及所述负荷值yj,其中,j=1、2、…,m,m为大于1的正整数,将所述负荷影响因素的值zj的平均值设为
Figure FDA0002892674860000013
将所述负荷值yj的平均值设为
Figure FDA0002892674860000014
则所述负荷影响因素与所述负荷之间的相关系数r为
In the correlation calculation step, the value zj of the load influencing factor and the load value yj of the load adjustment device at m time points are obtained, where j=1, 2, . . . , m, m is a positive integer greater than 1, and the average value of the value zj of the load influencing factor is set as
Figure FDA0002892674860000013
The average value of the load values yj is set as
Figure FDA0002892674860000014
Then the correlation coefficient r between the load influencing factor and the load is
Figure FDA0002892674860000015
Figure FDA0002892674860000015
4.根据权利要求1所述的S-CSCF池组的负荷均衡方法,其特征在于,4. the load balancing method of S-CSCF pool group according to claim 1, is characterized in that,所述负荷影响因素包括报警量以及单板负荷,The load influencing factors include the alarm amount and the board load,在大于所述预定值的所述绝对值是多个且相同的情况下,按照用户数量、报警量、单板负荷的优先顺序进行调整。In the case where the absolute values greater than the predetermined value are multiple and the same, adjustment is performed according to the priority order of the number of users, the alarm amount, and the load of the single board.5.根据权利要求1所述的S-CSCF池组的负荷均衡方法,其特征在于,5. the load balancing method of S-CSCF pool group according to claim 1, is characterized in that,间隔预定时间重复计算所述负荷方差,执行负荷均衡判断。The load variance is repeatedly calculated at predetermined time intervals, and the load balance judgment is performed.6.一种S-CSCF池组的负荷均衡装置,其特征在于,包括:6. a load balancing device of S-CSCF pool group, is characterized in that, comprises:方差计算单元,基于所述S-CSCF池组中的各S-CSCF设备的负荷值以及所述S-CSCF设备的平均负荷值计算负荷方差;A variance calculation unit, which calculates the load variance based on the load value of each S-CSCF device in the S-CSCF pool group and the average load value of the S-CSCF device;判断单元,判断所述负荷方差是否是预定阈值以上,如果是所述预定阈值以上则判断为负荷不均衡;a judgment unit, for judging whether the load variance is above a predetermined threshold, and if it is above the predetermined threshold, it is judged that the load is unbalanced;筛选单元,当判断为负荷不均衡时,从所述S-CSCF池组中筛选负荷值偏离所述平均负荷值最大的S-CSCF设备作为负荷调整设备;The screening unit, when judging that the load is unbalanced, selects the S-CSCF device with the largest load value deviating from the average load value from the S-CSCF pool group as a load adjustment device;相关性计算单元,计算筛选出的所述负荷调整设备的负荷影响因素与所述负荷的相关系数;以及a correlation calculation unit, which calculates a correlation coefficient between the load influencing factor of the load adjustment device and the load selected; and指示单元,指示根据计算出的所述相关系数的绝对值大于预定值的、且所述绝对值最大的所述负荷影响因素进行负荷调整;an instructing unit, instructing to perform load adjustment according to the load influencing factor for which the calculated absolute value of the correlation coefficient is greater than a predetermined value and the absolute value is the largest;所述相关性计算单元中的所述负荷影响因素包括用户数量,所述用户数量为所述S-CSCF设备中驻留的用户数量。The load influencing factor in the correlation calculation unit includes the number of users, and the number of users is the number of users residing in the S-CSCF device.7.根据权利要求6所述的S-CSCF池组的负荷均衡装置,其特征在于,7. the load balancing device of S-CSCF pool group according to claim 6, is characterized in that,在所述方差计算单元中,获取所述S-CSCF池组的各所述S-CSCF设备的负荷值,将所述S-CSCF池组的所述S-CSCF设备的数目设为n个,将各所述S-CSCF设备的负荷值设为xi,其中i=1、2、…、n,n为大于1的正整数,将所述S-CSCF池组内n个所述S-CSCF设备的平均负荷值设为
Figure FDA0002892674860000021
则所述负荷方差s2
In the variance calculation unit, the load value of each of the S-CSCF devices in the S-CSCF pool group is obtained, and the number of the S-CSCF devices in the S-CSCF pool group is set to n, Set the load value of each of the S-CSCF devices as xi , where i=1, 2, ..., n, where n is a positive integer greater than 1, and set the n S-CSCF pools The average load value of CSCF equipment is set to
Figure FDA0002892674860000021
Then the load variance s2 is
Figure FDA0002892674860000022
Figure FDA0002892674860000022
8.根据权利要求6所述的S-CSCF池组的负荷均衡装置,其特征在于,8. the load balancing device of S-CSCF pool group according to claim 6, is characterized in that,在所述相关性计算单元中,获取所述负荷调整设备在m个时间点的所述负荷影响因素的值zj以及所述负荷值yj,其中,j=1、2、…,m,m为大于1的正整数,将所述负荷影响因素的值zj的平均值设为
Figure FDA0002892674860000031
将所述负荷值yj的平均值设为
Figure FDA0002892674860000032
则所述负荷影响因素与所述负荷之间的相关系数r为
In the correlation calculation unit, the value zj of the load influencing factor and the load value yj of the load adjustment device at m time points are acquired, where j=1, 2, . . . , m, m is a positive integer greater than 1, and the average value of the value zj of the load influencing factor is set as
Figure FDA0002892674860000031
The average value of the load values yj is set as
Figure FDA0002892674860000032
Then the correlation coefficient r between the load influencing factor and the load is
Figure FDA0002892674860000033
Figure FDA0002892674860000033
9.根据权利要求6所述的S-CSCF池组的负荷均衡装置,其特征在于,9. the load balancing device of S-CSCF pool group according to claim 6, is characterized in that,所述负荷影响因素包括报警量以及单板负荷,The load influencing factors include the alarm amount and the board load,在大于所述预定值的所述绝对值是多个且相同的情况下,按照用户数量、报警量、单板负荷的优先顺序进行调整。In the case where the absolute values greater than the predetermined value are multiple and the same, adjustment is performed according to the priority order of the number of users, the alarm amount, and the load of the single board.10.根据权利要求6所述的S-CSCF池组的负荷均衡装置,其特征在于,10. the load balancing device of S-CSCF pool group according to claim 6, is characterized in that,间隔预定时间重复计算所述负荷方差,执行负荷均衡判断。The load variance is repeatedly calculated at predetermined time intervals, and the load balance judgment is performed.11.一种S-CSCF池组的负荷均衡系统,其特征在于,包括:11. a load balancing system of S-CSCF pool group, is characterized in that, comprises:S-CSCF池组;以及S-CSCF pools; and权利要求6-10中任一项所述的S-CSCF池组的负荷均衡装置。The load balancing device of the S-CSCF pool group according to any one of claims 6-10.
CN201611125573.2A2016-12-082016-12-08 Load balancing method, device and system for S-CSCF pool groupActiveCN108200607B (en)

Priority Applications (1)

Application NumberPriority DateFiling DateTitle
CN201611125573.2ACN108200607B (en)2016-12-082016-12-08 Load balancing method, device and system for S-CSCF pool group

Applications Claiming Priority (1)

Application NumberPriority DateFiling DateTitle
CN201611125573.2ACN108200607B (en)2016-12-082016-12-08 Load balancing method, device and system for S-CSCF pool group

Publications (2)

Publication NumberPublication Date
CN108200607A CN108200607A (en)2018-06-22
CN108200607Btrue CN108200607B (en)2021-07-02

Family

ID=62572613

Family Applications (1)

Application NumberTitlePriority DateFiling Date
CN201611125573.2AActiveCN108200607B (en)2016-12-082016-12-08 Load balancing method, device and system for S-CSCF pool group

Country Status (1)

CountryLink
CN (1)CN108200607B (en)

Families Citing this family (4)

* Cited by examiner, † Cited by third party
Publication numberPriority datePublication dateAssigneeTitle
CN110858956B (en)*2018-08-232022-04-01中国移动通信集团四川有限公司Processing method, device, equipment and medium for IP short message gateway load unbalance
CN109995765A (en)*2019-03-112019-07-09河北远东通信系统工程有限公司A kind of dual-homed register method of IMS network AGCF
CN113133042A (en)*2019-12-302021-07-16中国移动通信集团四川有限公司Load fluctuation adjusting method, device, equipment and storage medium
CN114615698B (en)*2020-12-092023-07-18中国移动通信集团四川有限公司 A method and device for adjusting the load of an IBCF interworking gateway

Citations (4)

* Cited by examiner, † Cited by third party
Publication numberPriority datePublication dateAssigneeTitle
CN101925123A (en)*2009-06-122010-12-22中国移动通信集团设计院有限公司 A method, system and related functional entities for realizing load balancing in regional pools
CN104134096A (en)*2014-06-122014-11-05国网安徽省电力公司Intelligent load prediction method based on province and prefecture integration
CN104636187A (en)*2015-02-152015-05-20浙江大学Virtual machine scheduling method in NUMA (non uniform memory access) architecture and based on load prediction
US9106482B1 (en)*2012-07-242015-08-11Google Inc.Systems and methods for proxy-less load balancing

Patent Citations (4)

* Cited by examiner, † Cited by third party
Publication numberPriority datePublication dateAssigneeTitle
CN101925123A (en)*2009-06-122010-12-22中国移动通信集团设计院有限公司 A method, system and related functional entities for realizing load balancing in regional pools
US9106482B1 (en)*2012-07-242015-08-11Google Inc.Systems and methods for proxy-less load balancing
CN104134096A (en)*2014-06-122014-11-05国网安徽省电力公司Intelligent load prediction method based on province and prefecture integration
CN104636187A (en)*2015-02-152015-05-20浙江大学Virtual machine scheduling method in NUMA (non uniform memory access) architecture and based on load prediction

Non-Patent Citations (1)

* Cited by examiner, † Cited by third party
Title
OpenMP多线程负载均衡分析方法及调度策略研究;唐玲;《中国优秀硕士学位论文全文数据库信息科技辑2011年第4期》;20110415;第3.3节到结论部分*

Also Published As

Publication numberPublication date
CN108200607A (en)2018-06-22

Similar Documents

PublicationPublication DateTitle
CN108200607B (en) Load balancing method, device and system for S-CSCF pool group
US11805015B2 (en)System and method for intent based network slice assignment
US9693237B2 (en)Optimization of cellular network architecture based on device type-specific traffic dynamics
KR101450494B1 (en)Service performance in communications network
US9906422B2 (en)Distributed system to determine a server's health
US11122467B2 (en)Service aware load imbalance detection and root cause identification
US7826390B2 (en)Method and apparatus for providing a distributed subscriber load distribution
CN113475123A (en)Method and system for Local Area Data Network (LADN) selection based on dynamic network conditions
US8861360B2 (en)Device and method for network troubleshooting
US11706108B2 (en)Method and system for determining a quality of experience during a real-time communication session
US9462049B2 (en)Method and apparatus for providing a centralized subscriber load distribution
JP2006197583A (en) Network delay measuring method and apparatus
US7580716B2 (en)Method and apparatus for load balancing in a wireless network
CN111611072A (en) Cloud game service resource allocation method, device, storage medium and system
US9723501B2 (en)Fault analytics framework for QoS based services
US10749699B1 (en)Predictive indicator based on network performance
CN110858956B (en)Processing method, device, equipment and medium for IP short message gateway load unbalance
EP3675461B1 (en)Electronic communication node load balancing system and method
US11711719B2 (en)Systems and methods for device-anonymous performance monitoring in a wireless network
WO2012175140A1 (en)Gateway selection for load balancing
CN116113003A (en)Method and device for controlling VoWiFi switching, electronic equipment and storage medium
JP6020088B2 (en) Load balancing control method and system
US12341699B2 (en)Systems and methods for monitoring network devices based on predictive analysis
JP2017163285A (en)Load analysis apparatus, load distribution control device and load analysis method
WO2021160270A1 (en)Technique for determining an impact of a failure in a mobile communication network

Legal Events

DateCodeTitleDescription
PB01Publication
PB01Publication
SE01Entry into force of request for substantive examination
SE01Entry into force of request for substantive examination
GR01Patent grant
GR01Patent grant

[8]ページ先頭

©2009-2025 Movatter.jp