




技术领域technical field
本发明属于大电网稳定与控制技术领域,具体涉及一种基于深度学习电网快速判稳方法和系统。The invention belongs to the technical field of stability and control of large power grids, and in particular relates to a method and system for rapid stability determination of power grids based on deep learning.
背景技术Background technique
随着电网规模的扩大,电网安全稳定性愈加难以掌控。世界上已经发生的多次电网故障表明,输电电压等级的提高、联网规模扩大以及传输容量的增加,都会增大电网故障带来的危害,故障原因和过程也更为复杂。开展对运行电网全面细致的在线监视、分析和控制,保障电力生产、传输和使用的安全是各国电力行业的迫切需求。With the expansion of the power grid, the security and stability of the power grid becomes more and more difficult to control. The many power grid failures that have occurred in the world show that the increase of the transmission voltage level, the expansion of the network scale and the increase of the transmission capacity will increase the harm caused by the power grid failure, and the cause and process of the failure are also more complicated. Carrying out comprehensive and meticulous online monitoring, analysis and control of the operating power grid to ensure the safety of power production, transmission and use is an urgent need of the power industry in various countries.
开展电网在线安全稳定分析工作,计算速度是必须保障的核心指标之一,如果失去计算速度,那么在线分析也就失去了时效性,而变得没有意义。现有在线分析系统主要采用时域仿真方法进行分析,计算量较大,难以进一步提升速度;另一方面,在线分析系统积累了大量的历史仿真样本,其中蕴含了宝贵的电网运行规律,同时又贴近实际运行情况,可作为稳定特征识别的依据。以往有学者采用机器学习方法进行快速判稳,取得了一定效果,但也存在一些局限,包括:过于依赖人工经验,所选特征比较局限,不能自动提取电网稳定特征;采用的机器学习模型多为浅层模型,无法充分建立变量间的关联关系,对于复杂电网稳定问题的表现能力有限。When carrying out the online security and stability analysis of the power grid, the calculation speed is one of the core indicators that must be guaranteed. If the calculation speed is lost, the online analysis will lose its timeliness and become meaningless. The existing online analysis system mainly adopts the time domain simulation method for analysis, which has a large amount of calculation and is difficult to further improve the speed. It is close to the actual operation and can be used as the basis for stable feature identification. In the past, some scholars have used machine learning methods to quickly determine stability and achieved certain results, but there are also some limitations, including: too much reliance on manual experience, the selected features are relatively limited, and the power grid stability features cannot be automatically extracted; the machine learning models used are mostly The shallow model cannot fully establish the correlation between variables, and has limited performance for complex power grid stability problems.
发明内容SUMMARY OF THE INVENTION
为克服上述现有技术的电网稳定性分析不够快速和过于依赖人工经验的问题,本发明提出一种基于深度学习电网快速判稳方法和系统。该方法和系统把大扰动下的三相短路临界切除时间CCT和小扰动下阻尼比作为电网稳定程度指标,利用电力系统在线安全稳定分析系统中产生的历史仿真样本,结合电网结构特点建立深度学习模型,自动发掘电网运行稳态量与稳定程度间的相关性,提取电网稳定的高级特征,实现电网稳定程度的快速判断。In order to overcome the problems that the power grid stability analysis in the above-mentioned prior art is not fast enough and relies too much on manual experience, the present invention proposes a method and system for rapid power grid stability determination based on deep learning. The method and system take the three-phase short-circuit critical cut-off time CCT under large disturbance and the damping ratio under small disturbance as the power grid stability index, use historical simulation samples generated in the power system online security and stability analysis system, and establish deep learning based on the structural characteristics of the power grid The model can automatically discover the correlation between the steady state quantity of the grid operation and the degree of stability, extract the advanced features of the grid stability, and realize the rapid judgment of the degree of grid stability.
实现上述目的所采用的解决方案为:The solutions used to achieve the above goals are:
一种基于深度学习电网快速判稳的方法,其改进之处在于:A method for fast judging stability of power grid based on deep learning, the improvement lies in:
获取电网的厂站输入量数据;Obtain the power grid input data of the power grid;
将所述厂站输入量数据输入预先建立的深度置信网模型,得到所述电网的稳定度判别指标对应的值;Inputting the input data of the power grid into a pre-established deep confidence network model to obtain a value corresponding to the stability discrimination index of the power grid;
根据所述稳定度判别指标值,判断所述电网的稳定度;Judging the stability of the power grid according to the stability judging index value;
所述预先建立的深度置信网模型包括:基于电网拓扑结构构建的层级网络结构。The pre-established deep belief network model includes: a hierarchical network structure constructed based on the topology of the power grid.
本发明提供的第一优选技术方案,其改进之处在于,所述深度置信网模型的建立,包括:The first preferred technical solution provided by the present invention is improved in that the establishment of the deep belief network model includes:
根据电网的拓扑关系,建立层级网络模型;According to the topology relationship of the power grid, a hierarchical network model is established;
获取所述电网的历史仿真样本;obtaining historical simulation samples of the power grid;
将稳定度判别指标作为层级网络模型顶级节点,实例化所述层级网络模型,构建深度置信网模型,所述深度置信网模型包括节点的输入数据和对应的输出值;Taking the stability discrimination index as the top node of the hierarchical network model, instantiating the hierarchical network model, and constructing a deep belief network model, the deep belief network model includes the input data of the node and the corresponding output value;
针对所述深度置信网模型的每个节点,将所述电网的历史仿真样本数据中的所述节点对应的历史厂站输入量数据作为所述节点的输入数据;将所述电网的历史仿真样本数据中与所述顶级节点相应稳定度判别指标值作为顶级节点的输出值;For each node of the deep belief network model, the input data of the historical plant station corresponding to the node in the historical simulation sample data of the power grid is used as the input data of the node; the historical simulation sample of the power grid is used as the input data of the node; The stability discrimination index value corresponding to the top-level node in the data is used as the output value of the top-level node;
所述稳定度判别指标包括三相短路临界切除时间和阻尼比。The stability judging index includes three-phase short-circuit critical cut-off time and damping ratio.
本发明提供的第二优选技术方案,其改进之处在于,所述根据电网的拓扑关系,建立层级网络模型,包括:The second preferred technical solution provided by the present invention is improved in that, according to the topology relationship of the power grid, the establishment of a hierarchical network model includes:
根据电网的拓扑关系,根据电网的第一电压子网建立所述层级网络模型的第一层;According to the topology relationship of the power grid, the first layer of the hierarchical network model is established according to the first voltage sub-network of the power grid;
根据所述电网的第二电压子网建立所述层级网络模型的第二层;establishing a second layer of the hierarchical network model from a second voltage sub-network of the power grid;
根据所述电网建立所述层级网络模型的第三层。A third layer of the hierarchical network model is established from the grid.
本发明提供的第三优选技术方案,其改进之处在于,所述针对所述深度置信网模型的每个节点,将所述电网的历史仿真样本数据中的所述节点对应的历史厂站输入量数据作为所述节点的输入数据,包括:The third preferred technical solution provided by the present invention is improved in that, for each node of the deep belief network model, the historical power station corresponding to the node in the historical simulation sample data of the power grid is input The quantity data is used as the input data of the node, including:
针对所述深度置信网模型的第一层节点,将所述第一层节点对应的第一电压厂站在历史仿真样本数据中的厂站输入量数据作为输入数据;For the first-layer nodes of the deep belief network model, the input data of the first-voltage factory station corresponding to the first-layer node in the historical simulation sample data is used as input data;
若第一层节点的总的输入数据个数不超过预设的个数阈值时,所述第一层节点直接向第二层汇集数据;否则建立第一层受限波尔兹曼机对应所述深度置信网模型的第一层,以所述深度置信网模型第一层节点的输入数据作为所述第一层受限波尔兹曼机的可视层节点的输入数据,将所述第一层受限波尔兹曼机的隐含层节点的数值向第二层汇集。If the total number of input data of the nodes of the first layer does not exceed the preset number threshold, the nodes of the first layer directly collect data to the second layer; otherwise, establish a restricted Boltzmann machine corresponding to the first layer. In the first layer of the deep belief network model, the input data of the nodes in the first layer of the deep belief network model is used as the input data of the nodes in the visible layer of the restricted Boltzmann machine in the first layer. The values of the hidden layer nodes of one layer of restricted Boltzmann machines are aggregated to the second layer.
本发明提供的第四优选技术方案,其改进之处在于,所述针对所述深度置信网模型的每个节点,将所述电网的历史仿真样本数据中的所述节点对应的历史厂站输入量数据作为所述节点的输入数据,包括:The fourth preferred technical solution provided by the present invention is improved in that, for each node of the deep belief network model, the historical power plant station corresponding to the node in the historical simulation sample data of the power grid is input The quantity data is used as the input data of the node, including:
针对所述深度置信网模型的第二层节点,当所述第二层节点对应第二电压厂站时,以所述第二电压厂站在历史仿真样本数据中的厂站输入量数据为输入数据,否则以第一层节点汇集的数据作为输入数据;For the second layer node of the deep belief network model, when the second layer node corresponds to the second voltage plant, the input data of the second voltage plant in the historical simulation sample data is used as the input data, otherwise the data collected by the first layer nodes is used as input data;
若第二层节点的总的输入数据个数不超过预设的个数阈值时,所述第二层节点直接向第三层汇集数据;否则建立第二层受限波尔兹曼机对应所述深度置信网模型的第二层,以所述深度置信网模型第二层节点的输入数据作为所述第二层受限波尔兹曼机的可视层节点的输入数据,将所述第二层受限波尔兹曼机的隐含层节点的数值向第三层汇集。If the total number of input data of the second-layer nodes does not exceed the preset number threshold, the second-layer nodes directly collect data to the third-layer; otherwise, establish the second-layer restricted Boltzmann machine corresponding to the In the second layer of the deep belief network model, the input data of the nodes in the second layer of the deep belief network model is used as the input data of the nodes in the visible layer of the restricted Boltzmann machine of the second layer. The values of the hidden layer nodes of the two-layer restricted Boltzmann machine are aggregated to the third layer.
本发明提供的第五优选技术方案,其改进之处在于,所述针对所述深度置信网模型的每个节点,将所述电网的历史仿真样本数据中的所述节点对应的历史厂站输入量数据作为所述节点的输入数据,包括:The fifth preferred technical solution provided by the present invention is improved in that, for each node of the deep belief network model, the historical power station corresponding to the node in the historical simulation sample data of the power grid is input The quantity data is used as the input data of the node, including:
针对所述深度置信网模型的第三层节点,以第二层节点汇集的数据作为输入数据;For the third layer node of the deep belief network model, the data collected by the second layer node is used as input data;
若第三层节点的总的输入数据个数不超过预设的个数阈值时,所述第三层节点直接向顶级节点汇集数据;否则建立第三层受限波尔兹曼机对应所述深度置信网模型的第三层,以所述深度置信网模型第三层节点的输入数据作为所述第三层受限波尔兹曼机的可视层节点的输入数据,将所述第三层受限波尔兹曼机的隐含层节点的数值向顶级节点汇集。If the total number of input data of the third-layer nodes does not exceed the preset number threshold, the third-layer nodes directly collect data to the top-level nodes; otherwise, establish a third-layer restricted Boltzmann machine corresponding to the In the third layer of the deep belief network model, the input data of the third layer node of the deep belief network model is used as the input data of the visible layer node of the third layer restricted Boltzmann machine, and the third layer The values of the hidden layer nodes of the layer-constrained Boltzmann machine are aggregated to the top-level nodes.
本发明提供的第六优选技术方案,其改进之处在于,还包括优化所述深度置信网模型的参数:The sixth preferred technical solution provided by the present invention is improved in that it further includes optimizing the parameters of the deep belief network model:
用接近0的随机数初始化所述深度置信网模型中第一层受限波尔兹曼机、第二层受限波尔兹曼机和第三层受限波尔兹曼机的参数,所述参数包括受限波尔兹曼机隐含层与可视层之间的权值矩阵和隐含层节点的偏置;The parameters of the first-layer restricted Boltzmann machine, the second-layer restricted Boltzmann machine and the third-layer restricted Boltzmann machine in the deep belief network model are initialized with random numbers close to 0, so The above parameters include the weight matrix between the hidden layer and the visible layer of the restricted Boltzmann machine and the bias of the hidden layer nodes;
采用对比散度算法从第一层受限波尔兹曼机到第三层受限波尔兹曼机逐层无监督训练所述深度置信网模型中各层受限波尔兹曼机的参数;Using Contrastive Divergence Algorithm to Unsupervised Training Layer-by-Layer from the First-layer Restricted Boltzmann Machine to the Third-layer Restricted Boltzmann Machine ;
以历史厂站输入量数据作为所述深度置信网模型的输入数据,以所述历史厂站输入量数据对应的稳定度判别指标值作为所述深度置信网模型的输出数据,采用反向传播算法,对所述深度置信网模型中经过无监督训练的各受限玻尔兹曼机的参数进行有监督调优。Taking the historical plant input data as the input data of the deep belief network model, and using the stability discrimination index value corresponding to the historical plant input data as the output data of the deep belief network model, the back propagation algorithm is used. , and supervised tuning is performed on the parameters of each restricted Boltzmann machine that has undergone unsupervised training in the deep belief network model.
本发明提供的第七优选技术方案,其改进之处在于,所述厂站输入量数据包括:In the seventh preferred technical solution provided by the present invention, the improvement lies in that the input quantity data of the factory station includes:
当连接至所述电网的厂站为变电站时,所述厂站输入量数据包括所述变电站的总功率、总负荷和所述变电站到上级相连单元的电气距离;When the plant connected to the power grid is a substation, the plant input data includes the total power of the substation, the total load and the electrical distance from the substation to the upper-level connected unit;
当连接至所述电网的厂站为发电厂时,所述厂站输入量数据包括所述发电厂内每台机组的投运状态、有功、机端电压和所述发电厂到上级相连单元的电气距离。When the plant connected to the power grid is a power plant, the input data of the plant include the commissioning status, active power, machine terminal voltage of each unit in the power plant, and the connection between the power plant and the upper-level connected units. electrical distance.
本发明提供的第八优选技术方案,其改进之处在于,获取电网的厂站输入量数据,包括:In the eighth preferred technical solution provided by the present invention, the improvement lies in that the acquisition of the power grid input data of the power grid includes:
如下式将所述厂站输入量数据归一化:The plant input data is normalized as follows:
V’=(V-Vmin)/(Vmax-Vmin)V'=(VVmin )/(Vmax -Vmin )
其中V表示厂站输入量数据,Vmin表示V的历史最小值,Vmax表示V的历史最大值,V’表示归一化后的V,V的历史值存储在预设的样本库中。Where V represents the input data of the factory, Vmin represents the historical minimum value of V, Vmax represents the historical maximum value of V, V' represents the normalized V, and the historical value of V is stored in the preset sample library.
本发明提供的第九优选技术方案,其改进之处在于,所述将所述厂站输入量数据输入预先建立的深度置信网模型,得到所述电网的稳定度判别指标对应的值,包括:In the ninth preferred technical solution provided by the present invention, the improvement lies in that the input data of the plant and station is input into the pre-established deep confidence network model, and the value corresponding to the stability discrimination index of the power grid is obtained, including:
将所述厂站输入量数据,输入到电网的稳定度判别指标对应的深度置信网模型中;Input the input quantity data of the power grid into the deep confidence network model corresponding to the stability discrimination index of the power grid;
基于所述厂站输入量数据,从第一层到第三层逐层计算所述深度置信网模型各层向更上一层汇集的数据;Calculate the data collected from each layer of the deep belief network model to the upper layer layer by layer from the first layer to the third layer based on the input data of the plant;
根据所述深度置信网模型第三层向顶级节点汇集的数据,得到顶级节点的输出数据,作为所述电网的稳定度判别指标对应的值。According to the data collected from the top-level node in the third layer of the deep belief network model, the output data of the top-level node is obtained as the value corresponding to the stability discrimination index of the power grid.
本发明提供的第十优选技术方案,其改进之处在于,所述根据所述稳定度判别指标值,判断所述电网的稳定度,包括:According to the tenth preferred technical solution provided by the present invention, the improvement lies in that the determining the stability of the power grid according to the stability determination index value includes:
当所述稳定度判别指标为三相短路临界切除时间时,若三相短路临界切除时间的值小于预设的正常保护动作时间,则判断所述电网不稳,否则判断所述电网稳定;When the stability judging index is the three-phase short-circuit critical cut-off time, if the value of the three-phase short-circuit critical cut-off time is less than the preset normal protection action time, it is judged that the power grid is unstable; otherwise, the power grid is judged to be stable;
当所述稳定度判别指标为阻尼比时,若阻尼比的值小于预设阻尼比阈值,则判断所述电网不稳,否则判断所述电网稳定。When the stability judging index is the damping ratio, if the value of the damping ratio is less than the preset damping ratio threshold, it is determined that the power grid is unstable; otherwise, the power grid is determined to be stable.
一种基于深度学习电网快速判稳系统,其改进之处在于,包括数据采集模块、稳定度判别指标计算模块和判稳模块;A rapid stability judgment system based on deep learning, which is improved in that it includes a data acquisition module, a stability judgment index calculation module and a stability judgment module;
所述数据采集模块用于获取电网的厂站输入量数据;The data acquisition module is used to acquire the power grid input data of the power grid;
所述稳定度判别指标计算模块用于将所述厂站输入量数据输入预先建立的深度置信网模型,得到所述电网的稳定度判别指标对应的值;所述预先建立的深度置信网模型包括:基于电网拓扑结构构建的层级网络结构;The stability discrimination index calculation module is used to input the input data of the power plant into a pre-established deep confidence network model to obtain a value corresponding to the stability discrimination index of the power grid; the pre-established deep confidence network model includes : Hierarchical network structure based on grid topology;
所述判稳模块用于根据所述稳定度判别指标值,判断所述电网的稳定度。The stability judging module is used for judging the stability of the power grid according to the stability judging index value.
本发明提供的第十一优选技术方案,其改进之处在于,所述系统还包括建模模块,所述建模模块包括层级网络单元、历史仿真样本获取单元、深度置信网模型单元和深度置信网模型设置单元;The eleventh preferred technical solution provided by the present invention is improved in that the system further includes a modeling module, and the modeling module includes a hierarchical network unit, a historical simulation sample acquisition unit, a deep belief network model unit and a deep belief network unit. Net model setting unit;
所述层级网络单元用于根据所述电网的拓扑关系,建立层级网络模型;The hierarchical network unit is configured to establish a hierarchical network model according to the topology relationship of the power grid;
所述历史仿真样本获取单元用于获取所述电网的历史仿真样本;The historical simulation sample acquisition unit is configured to acquire historical simulation samples of the power grid;
所述深度置信网模型单元用于将稳定度判别指标作为层级网络模型顶级节点,实例化所述层级网络模型,构建深度置信网模型,所述深度置信网模型包括节点的输入数据和对应的输出值;The deep belief network model unit is used to use the stability discrimination index as the top node of the hierarchical network model, instantiate the hierarchical network model, and construct a deep belief network model, and the deep belief network model includes the input data of the node and the corresponding output. value;
所述深度置信网模型设置单元用于针对所述深度置信网模型的每个节点,将所述电网的历史仿真样本数据中的所述节点对应的历史厂站输入量数据作为所述节点的输入数据;将所述电网的历史仿真样本数据中与所述顶级节点相应稳定度判别指标值作为顶级节点的输出值;The deep belief network model setting unit is configured to, for each node of the deep belief network model, use the historical power station input data corresponding to the node in the historical simulation sample data of the power grid as the input of the node data; take the value of the stability discrimination index corresponding to the top node in the historical simulation sample data of the power grid as the output value of the top node;
所述稳定度判别指标包括三相短路临界切除时间和阻尼比。The stability judging index includes three-phase short-circuit critical cut-off time and damping ratio.
本发明提供的第十二优选技术方案,其改进之处在于,所述层级网络单元包括第一层建立子单元、第二层建立子单元和第三层建立子单元;The twelfth preferred technical solution provided by the present invention is improved in that the hierarchical network unit includes a first-layer establishment subunit, a second-layer establishment subunit and a third-layer establishment subunit;
所述第一层建立子单元用于根据电网的拓扑关系,根据电网的第一电压子网建立所述层级网络模型的第一层;The first layer establishment subunit is configured to establish the first layer of the hierarchical network model according to the topological relationship of the power grid and according to the first voltage sub-network of the power grid;
所述第二层建立子单元用于根据所述电网的第二电压子网建立所述层级网络模型的第二层;The second layer establishment subunit is configured to establish the second layer of the hierarchical network model according to the second voltage sub-network of the power grid;
所述第三层建立子单元根据所述电网建立所述层级网络模型的第三层。The third layer establishment subunit establishes the third layer of the hierarchical network model according to the power grid.
本发明提供的第十三优选技术方案,其改进之处在于,所述深度置信网模型设置单元包括第一层设置子单元、第二层设置子单元和第三层设置子单元;The thirteenth preferred technical solution provided by the present invention is improved in that the deep belief network model setting unit includes a first-layer setting subunit, a second-layer setting subunit, and a third-layer setting subunit;
所述第一层设置子单元用于针对所述深度置信网模型的第一层节点,将所述第一层节点对应的第一电压厂站在历史仿真样本数据中的厂站输入量数据作为输入数据;若第一层节点的总的输入数据个数不超过预设的个数阈值时,所述第一层节点直接向第二层汇集数据;否则建立第一层受限波尔兹曼机对应所述深度置信网模型的第一层,以所述深度置信网模型第一层节点的输入数据作为所述第一层受限波尔兹曼机的可视层节点的输入数据,将所述第一层受限波尔兹曼机的隐含层节点的数值向第二层汇集;The first-layer setting subunit is used for the first-layer nodes of the deep belief network model to use the factory input data of the first voltage factory station corresponding to the first-layer node in the historical simulation sample data as Input data; if the total number of input data of the first-layer nodes does not exceed the preset number threshold, the first-layer nodes directly collect data to the second-layer; otherwise, the first-layer restricted Boltzmann is established The machine corresponds to the first layer of the deep belief network model, and the input data of the first layer node of the deep belief network model is used as the input data of the visible layer node of the first layer restricted Boltzmann machine. The values of the hidden layer nodes of the first-layer restricted Boltzmann machine are collected to the second layer;
所述第二层设置子单元用于针对所述深度置信网模型的第二层节点,当所述第二层节点对应第二电压厂站时,以所述第二电压厂站在历史仿真样本数据中的厂站输入量数据为输入数据,否则以第一层节点汇集的数据作为输入数据;若第二层节点的总的输入数据个数不超过预设的个数阈值时,所述第二层节点直接向第三层汇集数据;否则建立第二层受限波尔兹曼机对应所述深度置信网模型的第二层,以所述深度置信网模型第二层节点的输入数据作为所述第二层受限波尔兹曼机的可视层节点的输入数据,将所述第二层受限波尔兹曼机的隐含层节点的数值向第三层汇集;The second layer setting subunit is used for the second layer node of the deep belief network model, when the second layer node corresponds to the second voltage plant, use the second voltage plant as a historical simulation sample The input data of the factory station in the data is the input data, otherwise, the data collected by the nodes of the first layer is used as the input data; if the total number of input data of the nodes of the second layer does not exceed the preset number threshold, the The second-layer nodes directly collect data to the third-layer; otherwise, the second-layer restricted Boltzmann machine is established corresponding to the second layer of the deep belief network model, and the input data of the second-layer nodes of the deep belief network model is used as the input data The input data of the visible layer nodes of the second-layer restricted Boltzmann machine, and the values of the hidden layer nodes of the second-layer restricted Boltzmann machine are collected to the third layer;
所述第三层设置子单元用于针对所述深度置信网模型的第三层节点,以第二层节点汇集的数据作为输入数据;若第三层节点的总的输入数据个数不超过预设的个数阈值时,所述第三层节点直接向顶级节点汇集数据;否则建立第三层受限波尔兹曼机对应所述深度置信网模型的第三层,以所述深度置信网模型第三层节点的输入数据作为所述第三层受限波尔兹曼机的可视层节点的输入数据,将所述第三层受限波尔兹曼机的隐含层节点的数值向顶级节点汇集。The third-layer setting subunit is used for the third-layer nodes of the deep belief network model, and the data collected by the second-layer nodes is used as input data; if the total number of input data of the third-layer nodes does not exceed the preset When the number threshold is set, the third-layer nodes directly collect data to the top-level nodes; otherwise, a third-layer restricted Boltzmann machine is established corresponding to the third layer of the deep belief network model, with the deep belief network The input data of the nodes in the third layer of the model is used as the input data of the nodes in the visible layer of the restricted Boltzmann machine in the third layer, and the numerical value of the nodes in the hidden layer of the restricted Boltzmann machine in the third layer is used as the input data. Assemble to top-level nodes.
本发明提供的第十四优选技术方案,其改进之处在于,所述建模模块还包括用于优化所述深度置信网模型参数的参数优化单元,所述参数优化单元包括:随机初始化子单元、无监督训练子单元和有监督调优子单元;The fourteenth preferred technical solution provided by the present invention is improved in that the modeling module further includes a parameter optimization unit for optimizing the parameters of the deep belief network model, and the parameter optimization unit includes: a random initialization subunit , unsupervised training subunit and supervised tuning subunit;
所述随机初始化子单元用于用接近0的随机数初始化所述深度置信网模型中第一层受限波尔兹曼机、第二层受限波尔兹曼机和第三层受限波尔兹曼机的参数,所述参数包括受限波尔兹曼机隐含层与可视层之间的权值矩阵和隐含层节点的偏置;The random initialization subunit is used to initialize the first-layer restricted Boltzmann machine, the second-layer restricted Boltzmann machine and the third-layer restricted wave in the deep belief network model with a random number close to 0 The parameters of the Boltzmann machine, the parameters include the weight matrix between the hidden layer and the visible layer of the restricted Boltzmann machine and the bias of the hidden layer nodes;
所述无监督训练子单元用于采用对比散度算法从第一层受限波尔兹曼机到第三层受限波尔兹曼机逐层无监督训练所述深度置信网模型中各层受限波尔兹曼机的参数;The unsupervised training subunit is used for unsupervised training layer-by-layer unsupervised training of each layer in the deep belief network model from the first-layer restricted Boltzmann machine to the third-layer restricted Boltzmann machine using a contrastive divergence algorithm. the parameters of the restricted Boltzmann machine;
所述有监督调优子单元用于以历史厂站输入量数据作为所述深度置信网模型的输入数据,以所述历史厂站输入量数据对应的稳定度判别指标值作为所述深度置信网模型的输出数据,采用反向传播算法,对所述深度置信网模型中经过无监督训练的各受限玻尔兹曼机的参数进行有监督调优。The supervised tuning subunit is used to use historical plant input data as the input data of the deep confidence network model, and use the stability discrimination index value corresponding to the historical plant input data as the deep confidence network. For the output data of the model, a back-propagation algorithm is used to perform supervised tuning on the parameters of each restricted Boltzmann machine that has undergone unsupervised training in the deep belief network model.
本发明提供的第十五优选技术方案,其改进之处在于,所述数据采集模块包括变电站采集单元和发电厂采集单元;The fifteenth preferred technical solution provided by the present invention is improved in that the data acquisition module includes a substation acquisition unit and a power plant acquisition unit;
所述变电站采集单元用于当连接至所述电网的厂站为变电站时,采集所述变电站的总功率、总负荷和所述变电站到上级相连单元的电气距离;The substation collection unit is configured to collect the total power, the total load of the substation and the electrical distance from the substation to the upper-level connected unit when the power plant connected to the power grid is a substation;
所述发电厂采集单元用于当连接至所述电网的厂站为变电站时,采集所述发电厂内每台机组的投运状态、有功、机端电压和所述发电厂到上级相连单元的电气距离。The power plant collection unit is used to collect the commissioning status, active power, machine terminal voltage of each unit in the power plant, and the connection between the power plant and the upper-level connected unit when the power plant connected to the power grid is a substation. electrical distance.
本发明提供的第十六优选技术方案,其改进之处在于,所述数据采集模块还包括归一化单元;The sixteenth preferred technical solution provided by the present invention is improved in that the data acquisition module further includes a normalization unit;
所述归一化单元用于如下式将所述厂站输入量数据归一化:The normalization unit is used to normalize the input data of the plant as follows:
V’=(V-Vmin)/(Vmax-Vmin)V'=(VVmin )/(Vmax -Vmin )
其中V表示厂站输入量数据,Vmin表示V的历史最小值,Vmax表示V的历史最大值,V’表示归一化后的V,V的历史值存储在预设的样本库中。Where V represents the input data of the factory, Vmin represents the historical minimum value of V, Vmax represents the historical maximum value of V, V' represents the normalized V, and the historical value of V is stored in the preset sample library.
本发明提供的第十七优选技术方案,其改进之处在于,所述稳定度判别指标计算模块包括数据输入单元、逐层计算单元和稳定度判别指标计算单元;The seventeenth preferred technical solution provided by the present invention is improved in that the stability discrimination index calculation module includes a data input unit, a layer-by-layer calculation unit and a stability discrimination index calculation unit;
所述数据输入单元用于将所述厂站输入量数据,输入到电网的稳定度判别指标对应的深度置信网模型中;The data input unit is used for inputting the input quantity data of the power grid into the deep confidence network model corresponding to the stability discrimination index of the power grid;
所述逐层计算单元用于基于所述厂站输入量数据,从第一层到第三层逐层计算所述深度置信网模型各层向更上一层汇集的数据;The layer-by-layer computing unit is configured to calculate, layer by layer, data collected from each layer of the deep belief network model to a higher layer from the first layer to the third layer based on the input data of the plant;
所述稳定度判别指标计算单元用于根据所述深度置信网模型第三层向顶级节点汇集的数据,得到顶级节点的输出数据,作为所述电网的稳定度判别指标对应的值。The stability discrimination index calculation unit is configured to obtain the output data of the top node according to the data collected from the third layer of the deep belief network model to the top node, as the value corresponding to the stability discrimination index of the power grid.
本发明提供的第十八优选技术方案,其改进之处在于,所述判稳模块包括三相短路临界切除时间判断单元和阻尼比判断单元;The eighteenth preferred technical solution provided by the present invention is improved in that the stability judging module includes a three-phase short-circuit critical cut-off time judging unit and a damping ratio judging unit;
所述三相短路临界切除时间判断单元用于当所述稳定度判别指标为三相短路临界切除时间时,若三相短路临界切除时间的值小于预设的正常保护动作时间,则判断所述电网不稳,否则判断所述电网稳定;The three-phase short-circuit critical cut-off time judgment unit is configured to, when the stability judgment index is the three-phase short-circuit critical cut-off time, if the value of the three-phase short-circuit critical cut-off time is less than the preset normal protection action time, judge the The power grid is unstable, otherwise it is judged that the power grid is stable;
所述阻尼比判断单元用于当所述稳定度判别指标为阻尼比时,若阻尼比的值小于预设阻尼比阈值,则判断所述电网不稳,否则判断所述电网稳定。The damping ratio judging unit is configured to judge that the power grid is unstable if the value of the damping ratio is less than a preset damping ratio threshold when the stability judgment index is the damping ratio; otherwise, judge that the power grid is stable.
与最接近的现有技术相比,本发明具有的有益效果如下:Compared with the closest prior art, the present invention has the following beneficial effects:
1、本发明通过建立深度置信网模型,实现了电网的稳定度判别指标值的快速计算,提高了电网在线安全稳定分析的实效性。1. The present invention realizes the rapid calculation of the stability discrimination index value of the power grid by establishing a deep confidence network model, and improves the effectiveness of the online security and stability analysis of the power grid.
2、本发明利用电力系统在线安全稳定分析系统中产生的历史仿真样本,结合电网结构特点建立深度学习模型,自动发掘电网运行稳态量与稳定程度间的相关性,不依赖人工经验提取电网稳定的高级特征,实现电网稳定程度的快速判断。2. The present invention utilizes the historical simulation samples generated in the power system on-line security and stability analysis system, establishes a deep learning model in combination with the structural characteristics of the power grid, automatically discovers the correlation between the steady state quantity of the power grid operation and the degree of stability, and does not rely on manual experience to extract the power grid stability. The advanced features of the power grid can realize the rapid judgment of the stability of the power grid.
附图说明Description of drawings
图1为本发明提供的一种基于深度学习电网快速判稳的方法流程示意图;1 is a schematic flowchart of a method for fast judging stability of a power grid based on deep learning provided by the present invention;
图2为受限波尔兹曼机示意图;Figure 2 is a schematic diagram of a restricted Boltzmann machine;
图3为深度置信网分类模型示意图;3 is a schematic diagram of a deep belief network classification model;
图4为层级电网模型示意图;Figure 4 is a schematic diagram of a hierarchical power grid model;
图5为深度置信网模型示意图。Figure 5 is a schematic diagram of a deep belief network model.
具体实施方式Detailed ways
下面结合附图对本发明的具体实施方式做进一步的详细说明。The specific embodiments of the present invention will be further described in detail below with reference to the accompanying drawings.
本发明提供的一种基于深度学习的基于深度学习电网快速判稳的方法流程示意图如图1所示,包括:A schematic flowchart of a deep learning-based deep learning-based power grid rapid stability determination method provided by the present invention is shown in FIG. 1 , including:
获取电网的厂站输入量数据;Obtain the power grid input data of the power grid;
将厂站输入量数据输入预先建立的深度置信网模型,得到电网的稳定度判别指标对应的值;Input the input data of the power grid into the pre-established deep confidence network model to obtain the value corresponding to the stability discrimination index of the power grid;
根据稳定度判别指标值,判断电网的稳定度;According to the stability judgment index value, judge the stability of the power grid;
其中,预先建立的深度置信网模型包括:基于电网拓扑结构构建的层级网络结构。Wherein, the pre-established deep belief network model includes: a hierarchical network structure constructed based on the topology structure of the power grid.
下面对本发明的相关概念进行说明。The related concepts of the present invention will be described below.
A暂态稳定:A Transient Stability:
电力系统暂态稳定是指电力系统受到大干扰(电网故障)后,各同步发电机保持同步运行并过渡到新的或恢复到原来稳态运行方式的能力。电力系统遭受大干扰之后是否能继续保持稳定运行的主要标志:一是各机组之间的相对角摇摆是否逐步衰减;二是局部地区的电压是否崩溃。三相短路故障是电力系统中最典型的故障形式,而三相短路临界切除时间(CCT,critical clearing time)是指电网发生三相短路故障后,保证系统稳定的最大的故障切除时间。临界切除时间代表了系统稳定和不稳定的边界,可用于表征电力系统发生指定故障的稳定程度,临界切除时间越大,表示该短路故障对系统影响越小,系统就越稳定。如果三相短路临界切除时间小于正常的保护动作时间,则说明该故障会造成系统失稳,即系统存在安全隐患。Power system transient stability refers to the ability of each synchronous generator to maintain synchronous operation and transition to a new or return to the original steady-state operation mode after the power system is subjected to a large disturbance (grid failure). The main indicators of whether the power system can continue to maintain stable operation after a large disturbance is: first, whether the relative angular swing between units is gradually attenuated; second, whether the voltage in local areas collapses. Three-phase short-circuit fault is the most typical fault form in power system, and three-phase short-circuit critical clearing time (CCT, critical clearing time) refers to the maximum fault clearing time to ensure system stability after three-phase short-circuit fault occurs in the power grid. The critical cut-off time represents the boundary between the stability and instability of the system, and can be used to characterize the stability of the power system when a specified fault occurs. If the critical cut-off time of the three-phase short circuit is less than the normal protection action time, it means that the fault will cause system instability, that is, the system has potential safety hazards.
B小干扰稳定:B small disturbance stability:
电力系统小干扰稳定是指系统受到小干扰后,不发生自发振荡或非周期性失步,自动恢复到起始运行状态的能力。系统小干扰稳定性取决于系统的固有特性,与扰动的大小无关。电力系统小干扰稳定性既包括系统中同步发电机之间因同步力矩不足或电压崩溃造成的非周期失去稳定,即通常所指的“静态稳定”,也包括因系统动态过程阻尼不足造成的周期性发散失去稳定,即通常所指的“动态稳定”。电力系统小干扰稳定重点关注电网固有的主要振荡模式,而阻尼比就是表征小干扰稳定程度的主要指标,阻尼比表示振荡衰减的情况。阻尼比越小,电网越容易不稳。The small disturbance stability of the power system refers to the ability of the system to automatically return to the initial operating state without spontaneous oscillation or aperiodic out-of-step after a small disturbance. The stability of the system with small disturbance depends on the inherent characteristics of the system and has nothing to do with the magnitude of the disturbance. The small disturbance stability of the power system includes not only the aperiodic destabilization caused by insufficient synchronous torque or voltage collapse between the synchronous generators in the system, which is usually referred to as "static stability", but also the period caused by insufficient damping of the dynamic process of the system. Sexual divergence is destabilized, commonly referred to as "dynamic stabilization". The small disturbance stability of the power system focuses on the main oscillation mode inherent in the power grid, and the damping ratio is the main indicator to characterize the degree of small disturbance stability, and the damping ratio represents the oscillation attenuation. The smaller the damping ratio, the easier the grid is unstable.
C受限波尔兹曼机C Restricted Boltzmann Machine
受限波尔兹曼机是一种随机神经网络的概率图模型,它的目的是对原始特征的概率分布进行建模。受限波尔兹曼机只有两层结构,并不是一种真正的深度学习模型,但是可以用作基本模块来构造自编码器、深度置信网等深度学习模型。A restricted Boltzmann machine is a probabilistic graphical model of a stochastic neural network whose purpose is to model the probability distribution of raw features. The restricted Boltzmann machine has only two layers and is not a true deep learning model, but can be used as a basic module to construct deep learning models such as autoencoders and deep belief networks.
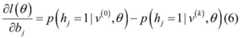
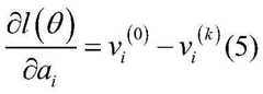
受限波尔兹曼机的第一层称为可视层,第二层称为隐含层,如图2所示。可视层和隐含层内部没有连接,只允许可视层和隐含层之间的节点连接。设可视向量为v=(v1,v2,...,vm),隐含向量为h=(h1,h2,...,hn),在标准的受限波尔兹曼机中,可视节点和隐含节点均为二值向量(0或者1),ai:1≤i≤m为可视节点vi的偏置,bj:1≤j≤n为隐含节点hj的偏置,wij表示可视节点vi与隐含节点hj之间的权值,w为可视层和隐含层之间的权值矩阵。令θ={wij,ai,bj:1≤i≤m,1≤j≤n}表示所有的参数。其中m为可视节点个数,n为隐含节点个数。The first layer of the restricted Boltzmann machine is called the visible layer, and the second layer is called the hidden layer, as shown in Figure 2. There is no internal connection between the visible layer and the hidden layer, and only node connections between the visible layer and the hidden layer are allowed. Let the visible vector be v=(v1 ,v2 ,...,vm ) and the implicit vector be h=(h1 ,h2 ,...,hn ), in the standard restricted Boolean In the Zman machine, both the visible node and the hidden node are binary vectors (0 or 1), ai : 1≤i≤m is the bias of the visible node vi , and bj : 1≤j≤n is The bias of the hidden node hj , wij represents the weight between the visible node vi and the hidden node hj , and w is the weight matrix between the visible layer and the hidden layer. Let θ={wij , ai , bj : 1≤i≤m, 1≤j≤n} denote all parameters. where m is the number of visible nodes and n is the number of hidden nodes.
受限波尔兹曼机是概率图模型,其隐含节点和可视节点的条件概率分别为:The restricted Boltzmann machine is a probabilistic graphical model, and the conditional probabilities of its hidden nodes and visible nodes are:
其中,p(hj=1|v,θ)表示给定v和θ,hj=1的概率,p(vi=1|h,θ)表示给定h和θ,vi=1的概率。Among them, p(hj =1|v, θ) represents the probability of given v and θ, hj =1, p(vi =1|h, θ) represents the given h and θ, the probability of
受限波尔兹曼机的学习就是对模型参数集θ进行计算,其基本思想是用梯度上升算法迭代优化θ以最大化总体对数似然函数l(θ):The learning of the restricted Boltzmann machine is to calculate the model parameter set θ. The basic idea is to use the gradient ascent algorithm to iteratively optimize θ to maximize the overall log-likelihood function l(θ):
其中N表示所有用于训练的样本数。直接计算l(θ)对各参数的偏导数效率非常低,通常的方法是使用k步对比散度算法CD-k近似计算其偏导数,其中通常k取为1。其大致的过程如下:where N represents the number of all samples used for training. It is very inefficient to directly calculate the partial derivative of l(θ) with respect to each parameter. The usual method is to use the k-step contrast divergence algorithm CD-k to approximate the partial derivative, where k is usually taken as 1. The general process is as follows:
C-1将v的初始值记为v(0),代入式(1)中,求得p(h|v(0),θ),其中θ预先随机初始化,采样得到h(0);C-1 records the initial value of v as v(0) , and substitutes it into formula (1) to obtain p(h|v(0) , θ), where θ is randomly initialized in advance, and h(0) is obtained by sampling;
C-2再将h(0)代入式(2)中,求得p(v|h(0),θ),采样得到v(1);C-2 then substitute h(0) into formula (2), obtain p(v|h(0) , θ), and obtain v(1) by sampling;
C-3重复上述两步,直到生成v(k)。C-3 repeats the above two steps until v(k) is generated.
上述过程会生成一个k步吉布斯链,根据这个吉布斯链,即可近似计算对数似然函数的偏导数:The above process will generate a k-step Gibbs chain, according to which the partial derivative of the log-likelihood function can be approximately calculated:
再根据上述偏导数按照梯度上升算法更新参数集θ即可。Then, according to the above partial derivatives, the parameter set θ can be updated according to the gradient ascent algorithm.
上述讨论的是标准受限波尔兹曼机,其可视层只能是二值,为了将其用于实数数据,可使用其推广模型:高斯受限波尔兹曼机,其可视层可以为任意实数,隐含层仍然只能取0或1。The above discussion is the standard restricted Boltzmann machine, and its visual layer can only be binary. In order to use it for real data, its generalized model can be used: Gaussian restricted Boltzmann machine, its visual layer It can be any real number, and the hidden layer can still only take 0 or 1.
D深度置信网D Deep Belief Net
深度置信网是一种经典的深度学习模型,对深度学习的创立和发展都起过举足轻重的作用,它可以用来对数据的概率分布进行建模,也可用来对数据进行分类。本发明只讨论其分类模型,对应的模型结构图如图3所示,其中x为可视层,h1,h2,...hr为隐含层,y为分类标签向量。Deep Belief Network is a classic deep learning model, which plays a pivotal role in the creation and development of deep learning. It can be used to model the probability distribution of data, and it can also be used to classify data. The present invention only discusses its classification model, and the corresponding model structure diagram is shown in Figure 3, where x is the visible layer, h1 , h2 ,...hr are the hidden layers, and y is the classification labelvector .
深度置信网分类模型可以看成多个受限波尔兹曼机的叠加,其学习过程分为两个阶段:先用受限波尔兹曼机进行逐层无监督训练,再用反向传播BP算法进行有监督调优。The deep belief network classification model can be regarded as the superposition of multiple restricted Boltzmann machines, and its learning process is divided into two stages: firstly, the restricted Boltzmann machine is used for layer-by-layer unsupervised training, and then backpropagation is used. The BP algorithm performs supervised tuning.
无监督预训练过程:Unsupervised pre-training process:
D-1用接近于0的随机数初始化参数(wi,bi),1≤i≤r+1;D-1 initializes the parameters (wi , bi ) with random numbers close to 0, 1≤i≤r+1;
D-2使用CD-k算法逐层训练每个受限波尔兹曼机:第1个受限波尔兹曼机可视层为x,隐含层为h1,依此类推,第i个受限波尔兹曼机可视层为hi-1,隐含层为hi,1≤i≤r-1;D-2 uses the CD-k algorithm to train each Restricted Boltzmann Machine layer by layer: the visible layer of the 1st Restricted Boltzmann Machine is x, the hidden layer is h1 , and so on, the i-th The visible layer of a restricted Boltzmann machine is hi-1 , and the hidden layer is hi , 1≤i≤r-1;
D-3最后一个受限波尔兹曼机稍有不同,将hr-1和y一起作为可视层,hr作为隐含层,使用标签CD-k算法进行训练。D-3 The last restricted Boltzmann machine is slightly different, with hr-1 and y together as the visible layer andhr as the hidden layer, trained using the labelled CD-k algorithm.
有监督调优过程:Supervised tuning process:
D-4根据上述预训练得到的参数(wi,bi),1≤i≤r+1,计算预测的分类标签向量将其与真实的y进行对比生成代价函数,如和y的交叉熵;D-4 calculates the predicted classification label vector according to the parameters (wi ,bi ) obtained by the above pre-training, 1≤i≤r+1 Compare it with the real y to generate a cost function, such as and the cross entropy of y;
D-5使用BP算法最小化代价函数来更新(wi,bi),1≤i≤r+1。D-5 uses the BP algorithm to minimize the cost function to update (wi ,bi ), 1≤i≤r+1.
E电网分层特性E-grid stratification characteristics
电力系统输电网络结构本身存在明显的分层特性,包括:The power system transmission network structure itself has obvious layered characteristics, including:
E-1区域电网间采用直流系统或特高压交流互联,为非同步电网或弱连接的同步电网;The E-1 regional power grids are interconnected by DC system or UHV AC, which are asynchronous power grids or weakly connected synchronous power grids;
E-2区域内省级电网间大多采用500kV或1000kV的交流互联,省间电气距离通常比省内要大;Most of the provincial power grids in the E-2 area use 500kV or 1000kV AC interconnection, and the electrical distance between provinces is usually larger than that within the province;
E-3省内主要以500kV为主干网络,相互间联系较为紧密,部分省内也可分为内部联系更加紧密的子群;E-3 province mainly uses 500kV as the backbone network, which is closely connected with each other, and some provinces can also be divided into subgroups with closer internal connection;
E-4 220kV网络比较多样,省内一般包含若干个220kV子网,这些子网多则包含几十甚至上百个厂站,少则只有一个厂站,各个子网分别连接至一个或多个500kV厂站E-4 220kV networks are quite diverse. The province generally includes several 220kV subnets. Most of these subnets contain dozens or even hundreds of plant stations, or at least one plant station. Each subnet is connected to one or more plants. 500kV plant station
本发明基于电网连接关系的特点,构建层级网络模型,并结合深度置信网的思想进行电网稳定程度快速判别模型搭建和训练,具体步骤包括:Based on the characteristics of the connection relationship of the power grid, the present invention constructs a hierarchical network model, and combines the idea of a deep belief network to construct and train a model for rapid discrimination of the stability of the power grid. The specific steps include:
1、建立层级网络模型1. Establish a hierarchical network model
根据电力系统在线分析数据特点,以厂站作为最小单元,把电网从下到上分为第一电压子网、第二电压电网和电网三个层次;区域电网可设为省级电网,第一电压可设为200KV,第二电压可设为500KV。通过对电网拓扑分析,建立三个层次网络之间所属关系,例如某省内电网包含下属的全部500kV厂站,某500kV厂站包含下面连接的220kV子网,220kV子网包含子网内的全部220kV厂站。这样形成一个树状的网络模型,称为层级网络模型HierarchyNet Model。如图4所示。According to the characteristics of the online analysis data of the power system, the power grid is divided into three levels: the first voltage sub-network, the second voltage grid and the power grid from bottom to top, with the plant station as the smallest unit; the regional power grid can be set as a provincial power grid, the first The voltage can be set to 200KV, and the second voltage can be set to 500KV. By analyzing the topology of the power grid, the relationship between the three-level networks is established. For example, the power grid in a province includes all the subordinate 500kV plants, a 500kV plant includes the 220kV sub-network connected below, and the 220kV sub-network includes all the sub-networks. 220kV plant station. In this way, a tree-like network model is formed, which is called the HierarchyNet Model. As shown in Figure 4.
2、构建深度置信网模型2. Build a deep belief network model
层级网络的最小单元是厂站,厂站可以包含若干属性:如果厂站为变电站,则包含厂站的总功率和总负荷;如果厂站是发电厂,则包含厂内每台机组的投运状态、有功和机端电压;此外,所有厂站包含到上级相连单元的电气距离。这样,第一层(220kV层)的输入数据全部为厂站输入量,第二层(省内500kV层)的输入数据既包括从第一层汇聚上来的数据,又包括厂站输入量(500kV发电厂或变电站),第三层(区域电网)的输入数据全部为从第二层汇聚上来的数据。获取电力系统在线安全稳定分析系统中产生的历史仿真样本用于对本发明的电网稳定程度快速判别模型进行训练,其中,历史仿真样本包括连接至电网的各厂站的历史厂站输入量数据和这些数据对应的稳定度判别指标值,电网稳定程度快速判别模型即为深度置信网模型。The smallest unit of the hierarchical network is the plant, which can contain several attributes: if the plant is a substation, it includes the total power and load of the plant; if the plant is a power plant, it includes the commissioning of each unit in the plant Status, active power and terminal voltage; in addition, all plant stations include electrical distances to higher-level connected units. In this way, the input data of the first layer (220kV layer) is all the input data of the factory station, and the input data of the second layer (the 500kV layer in the province) includes not only the data gathered from the first layer, but also the input value of the factory station (500kV layer). Power plants or substations), the input data of the third layer (regional grid) is all the data gathered from the second layer. The historical simulation samples generated in the power system on-line security and stability analysis system are obtained for training the fast discrimination model of the stability of the power grid of the present invention, wherein the historical simulation samples include the historical input data of each power grid connected to the power grid and these data. The stability discrimination index value corresponding to the data, and the rapid discrimination model of the grid stability degree is the deep belief network model.
对于每一个厂站输入量数据,应先进行归一化处理,按照该厂站输入量在预设的样本库中的最大值和最小值来映射到[0,1]的区间内,映射关系为公式(7):For the input data of each plant, normalization should be performed first, and the maximum and minimum values of the input of the plant in the preset sample library should be mapped to the interval [0,1]. The mapping relationship is formula (7):
V’=(V-Vmin)/(Vmax-Vmin) (7)V'=(VVmin )/(Vmax -Vmin ) (7)
其中V表示厂站输入量,Vmin表示V的历史最小值,Vmax表示V的历史最大值,V’表示归一化后的V,V的历史值存储在预设的样本库中。对于某个厂站输入量在样本库中全部为同一数值的情况,由于该厂站输入量对于模型训练没有任何帮助,可以直接去掉。Where V represents the input of the factory, Vmin represents the historical minimum value of V, Vmax represents the historical maximum value of V, V' represents the normalized V, and the historical value of V is stored in the preset sample library. For the case where the input quantities of a certain plant are all the same value in the sample library, since the input of the plant does not help model training, it can be removed directly.
将稳定度判别指标作为层级网络模型顶级节点,实例化层级网络模型,构建深度置信网模型,深度置信网模型结构如图5所示。其中深度置信网模型包括节点的输入数据和对应的输出值;当选择的稳定度判别指标为三相短路临界切除时间时,深度置信网模型即为用于计算三相短路临界切除时间的模型;当选择的稳定度判别指标为阻尼比时,深度置信网模型即为用于计算阻尼比的模型。The stability discriminant index is used as the top node of the hierarchical network model, the hierarchical network model is instantiated, and the deep belief network model is constructed. The structure of the deep belief network model is shown in Figure 5. The deep belief network model includes the input data of the node and the corresponding output value; when the selected stability criterion is the three-phase short-circuit critical cut-off time, the deep-confidence network model is the model used to calculate the three-phase short-circuit critical cut-off time; When the selected stability criterion is the damping ratio, the deep belief network model is the model used to calculate the damping ratio.
对第一层的每个220kv子网,当该子网对应的输入数据个数大于预设的个数阈值时,建立一个层叠受限波尔兹曼机形成的子网,即第一层受限波尔兹曼机,通常为1-2层即可,用于对输入数据进行降维,受限波尔兹曼机的隐含层数值为该子网向第二层汇集的数据,其中,受限波尔兹曼机的可视层对应为第一层子网;否则直接将输入数据直接向第二层汇集。第二层和第三层也做类似处理:For each 220kv subnet in the first layer, when the number of input data corresponding to the subnet is greater than the preset number threshold, a sub-network formed by stacking restricted Boltzmann machines is established, that is, the first layer is subject to The limited Boltzmann machine, usually 1-2 layers, is used to reduce the dimension of the input data. The value of the hidden layer of the limited Boltzmann machine is the data collected by the subnet to the second layer, where , the visible layer of the restricted Boltzmann machine corresponds to the first layer subnet; otherwise, the input data is directly collected to the second layer. The second and third layers are also treated similarly:
当第二层节点对应500kv电压厂站时,以500kv厂站在历史仿真样本数据中的厂站输入量数据为输入数据,否则以第一层节点汇集的数据作为输入数据;When the second-level node corresponds to a 500kv voltage plant, the input data of the plant in the historical simulation sample data of the 500kv plant is used as the input data, otherwise, the data collected by the first-level nodes is used as the input data;
若第二层节点的总的输入数据个数不超过预设的个数阈值时,第二层节点直接向第三层汇集数据;否则建立第二层受限波尔兹曼机对应深度置信网模型的第二层,以深度置信网模型第二层节点的输入数据作为第二层受限波尔兹曼机的可视层节点的输入数据,将第二层受限波尔兹曼机的隐含层节点的数值向第三层汇集。If the total number of input data of the second-layer nodes does not exceed the preset number threshold, the second-layer nodes directly collect data to the third-layer; otherwise, a deep belief network corresponding to the second-layer restricted Boltzmann machine is established In the second layer of the model, the input data of the second layer node of the deep belief network model is used as the input data of the visible layer node of the second layer restricted Boltzmann machine, and the second layer restricted Boltzmann machine is used. The values of hidden layer nodes are aggregated to the third layer.
针对深度置信网模型的第三层节点,以第二层节点汇集的数据作为输入数据;For the third-layer nodes of the deep belief network model, the data collected by the second-layer nodes is used as input data;
若第三层节点的总的输入数据个数不超过预设的个数阈值时,第三层节点直接向顶级节点汇集数据;否则建立第三层受限波尔兹曼机对应深度置信网模型的第三层,以深度置信网模型第三层节点的输入数据作为第三层受限波尔兹曼机的可视层节点的输入数据,将第三层受限波尔兹曼机的隐含层节点的数值向顶级节点汇集。If the total number of input data of the third-layer nodes does not exceed the preset number threshold, the third-layer nodes directly collect data to the top-level nodes; otherwise, a deep belief network model corresponding to the third-layer restricted Boltzmann machine is established In the third layer, the input data of the third layer node of the deep belief network model is used as the input data of the visible layer node of the third layer restricted Boltzmann machine, and the hidden layer of the third layer restricted Boltzmann machine is used. The values of the layer-containing nodes are aggregated to the top-level nodes.
一个子网当输入数据个数大于预设的个数阈值时,建立一个层叠受限波尔兹曼机进行降维。个数阈值可设为50。When the number of input data in a sub-network is greater than the preset number threshold, a cascade restricted Boltzmann machine is established for dimension reduction. The number threshold can be set to 50.
4、深度置信网模型的初始化4. Initialization of the deep belief network model
根据厂站输入量数据初始化深度置信网模型的参数,其中,深度置信网模型的参数包括深度置信网模型中受限波尔兹曼机各层之间的权值矩阵w和隐含层节点的偏置b。The parameters of the deep belief network model are initialized according to the input data of the plant, wherein the parameters of the deep belief network model include the weight matrix w between the layers of the restricted Boltzmann machine in the deep belief network model and the hidden layer nodes. Bias b.
首先用接近0的随机数初始化深度置信网模型中第一层受限波尔兹曼机、第二层受限波尔兹曼机和第三层受限波尔兹曼机的w和b;First, initialize w and b of the first-layer restricted Boltzmann machine, the second-layer restricted Boltzmann machine and the third-layer restricted Boltzmann machine in the deep belief network model with random numbers close to 0;
根据历史厂站输入量数据中220kv厂站的输入量数据输入深度置信网模型的第一层,采用比散度算法CD-k无监督训练第一层受限波尔兹曼机的参数;According to the input data of the 220kv factory station in the historical factory station input data, enter the first layer of the deep belief network model, and use the ratio divergence algorithm CD-k to unsupervised training the parameters of the first layer of the restricted Boltzmann machine;
根据训练好的第一层中各受限波尔兹曼机的参数和第一层的输入数据,计算第一层向第二层汇集的数据,并结合根据历史厂站输入量数据中500kv厂站的输入量数据,采用CD-k无监督训练第二层受限波尔兹曼机的参数;According to the parameters of each restricted Boltzmann machine in the trained first layer and the input data of the first layer, calculate the data collected from the first layer to the second layer, and combine the 500kv factory with the input data according to the historical factory station. The input data of the station, the parameters of the second-layer restricted Boltzmann machine are trained by CD-k unsupervised training;
根据训练好的第二层中各受限波尔兹曼机的参数和第二层的输入数据,计算第二层汇集的数据输入第三层,采用CD-k无监督训练深度置信网模型第三层受限波尔兹曼机的参数。According to the parameters of each restricted Boltzmann machine in the trained second layer and the input data of the second layer, the data collected by the second layer is calculated and input to the third layer. Parameters of a three-layer restricted Boltzmann machine.
以各子网的w和b作为整个深度置信网网络参数的初值。The w and b of each sub-network are used as the initial values of the network parameters of the entire deep belief network.
4、深度置信网模型参数的寻优4. Optimization of the parameters of the deep belief network model
以历史厂站输入量数据为输入,以历史厂站输入量数据对应的稳定度判别指标值为输出,采用反向传播BP算法进行有监督调优,优化训练整个深度置信网模型的参数w和b,形成深度置信网模型。Taking the input data of historical plants and stations as the input, and taking the stability discrimination index corresponding to the input data of historical plants and stations as the output, the back-propagation BP algorithm is used for supervised optimization, and the parameters w and b, Form a deep belief network model.
对电网进行快速判稳时,先获取电网实时的厂站输入量数据,将厂站输入量数据输入经过优化的深度置信网模型,得到电网的稳定度判别指标值,最后根据稳定度判别指标值,判断电网的稳定度。具体过程包括:When quickly judging the stability of the power grid, first obtain the real-time power plant input data of the power grid, input the power plant input data into the optimized deep confidence network model, and obtain the stability judgment index value of the power grid, and finally judge the index value according to the stability degree. , to judge the stability of the power grid. The specific process includes:
实时获取厂站输入量数据,并将厂站输入量数据归一化;Real-time acquisition of plant input data, and normalization of plant input data;
将厂站输入量数据输入到电网的稳定度判别指标对应的深度置信网模型中;Input the input data of the power grid into the deep confidence network model corresponding to the stability discrimination index of the power grid;
基于厂站输入量数据,从第一层到第三层逐层计算深度置信网模型各层向更上一层汇集的数据;Based on the input data of the factory station, from the first layer to the third layer, the data collected from each layer of the deep belief network model to the upper layer is calculated layer by layer;
根据深度置信网模型第三层向顶级节点汇集的数据,得到顶级节点的输出数据,作为电网的稳定度判别指标对应的值。According to the data collected by the third layer of the deep belief network model to the top node, the output data of the top node is obtained as the value corresponding to the stability discrimination index of the power grid.
电网的稳定度判别指标为CCT和阻尼比。当稳定度判别指标为CCT时,若CCT小于预设的正常的保护动作时间,则判断电网不稳,否则判断电网稳定;The stability criteria of the power grid are CCT and damping ratio. When the stability judging index is CCT, if the CCT is less than the preset normal protection action time, it is judged that the power grid is unstable; otherwise, it is judged that the power grid is stable;
当稳定度判别指标为阻尼比时,若阻尼比小于预设阈值,则判断电网不稳,否则判断电网稳定。其中,阻尼比的阈值可设为3%。When the stability judging index is the damping ratio, if the damping ratio is less than the preset threshold, it is judged that the power grid is unstable; otherwise, the power grid is judged to be stable. Among them, the threshold value of the damping ratio can be set to 3%.
以国家电网公司某年1-10月在线计算数据为基础,验证本发明方法的有效性。当月华北-华中处于联网运行状态,因此在线数据中包含国调直调以及华北、华中所有220kV以上的电网设备。每个断面的输入量为11992个,如下表所示,去除其中重复数据或坏数据较多的情况,最后剩余8772个输入量;有效样本数(断面数)为23321个。即形成一个23321*8772的输入矩阵。The effectiveness of the method of the present invention is verified based on the online calculation data of the State Grid Corporation of China from January to October in a certain year. North China-Central China was in networked operation that month, so the online data includes national power transmission, direct transmission, and all power grid equipment above 220kV in North China and Central China. The input volume of each section is 11,992, as shown in the table below. After removing the duplicate data or bad data, there are 8,772 inputs left at the end; the number of valid samples (the number of sections) is 23,321. That is, an input matrix of 23321*8772 is formed.
表1电网状态量和统计量列表Table 1 List of power grid state quantities and statistics
(1)暂态稳定CCT(1) Transient stable CCT
采用上述模型对葛岗线等10条重要线路的CCT进行快速判别,结果如下表所示。从结果中可以看到,平均误差率都在4%以下;平均单位故障的判别时间都在2毫秒以下,计算精度和速度基本满足在线分析的要求。The above model is used to quickly discriminate the CCT of 10 important lines such as the Gegang Line, and the results are shown in the following table. It can be seen from the results that the average error rate is below 4%; the average unit failure discrimination time is below 2 milliseconds, and the calculation accuracy and speed basically meet the requirements of online analysis.
表2电网重要线路的CCT误差列表Table 2 List of CCT errors of important lines in the power grid
(2)小干扰稳定频率和阻尼比(2) Small disturbance stable frequency and damping ratio
采用上述深度学习模型对华北-华中振荡模式的阻尼比进行快速判别,结果如下表所示。The above deep learning model is used to quickly discriminate the damping ratio of the North China-Central China oscillation mode, and the results are shown in the following table.
表3华北-华中振荡模式的阻尼比误差列表Table 3 List of Damping Ratio Errors for North China-Central China Oscillation Modes
基于同一发明构思,本发明还提供了一种基于深度学习电网快速判稳系统,由于这些设备解决技术问题的原理与基于深度学习电网快速判稳方法相似,重复之处不再赘述。Based on the same inventive concept, the present invention also provides a system for rapid stability determination of power grid based on deep learning. Since the principle of these devices for solving technical problems is similar to the method for rapid stability determination of power grid based on deep learning, the repetition will not be repeated.
该系统包括:The system includes:
数据采集模块、稳定度判别指标计算模块和判稳模块;Data acquisition module, stability discrimination index calculation module and stability judgment module;
其中,数据采集模块用于获取电网的厂站输入量数据;Among them, the data acquisition module is used to obtain the power grid input data of the power grid;
稳定度判别指标计算模块用于将厂站输入量数据输入预先建立的深度置信网模型,得到电网的稳定度判别指标对应的值;预先建立的深度置信网模型包括:基于电网拓扑结构构建的层级网络结构;The stability discriminant index calculation module is used to input the input data of the power plant into the pre-established deep confidence network model to obtain the value corresponding to the stability discriminating index of the power grid; the pre-established deep confidence network model includes: based on the grid topology structure network structure;
判稳模块用于根据稳定度判别指标值,判断电网的稳定度。The stability judging module is used for judging the stability of the power grid by judging the index value according to the stability.
其中,该系统还包括建模模块,建模模块包括层级网络单元、历史仿真样本获取单元、深度置信网模型单元和深度置信网模型设置单元;Wherein, the system further includes a modeling module, and the modeling module includes a hierarchical network unit, a historical simulation sample acquisition unit, a deep belief network model unit and a deep belief network model setting unit;
层级网络单元用于根据电网的拓扑关系,建立层级网络模型;The hierarchical network unit is used to establish a hierarchical network model according to the topology relationship of the power grid;
历史仿真样本获取单元用于获取电网的历史仿真样本;The historical simulation sample acquisition unit is used to acquire historical simulation samples of the power grid;
深度置信网模型单元用于将稳定度判别指标作为层级网络模型顶级节点,实例化层级网络模型,构建深度置信网模型,深度置信网模型包括节点的输入数据和对应的输出值;The deep belief network model unit is used to use the stability discrimination index as the top node of the hierarchical network model, instantiate the hierarchical network model, and construct a deep belief network model. The deep belief network model includes the input data of the node and the corresponding output value;
深度置信网模型设置单元用于针对深度置信网模型的每个节点,将电网的历史仿真样本数据中的节点对应的历史厂站输入量数据作为节点的输入数据;将电网的历史仿真样本数据中与顶级节点相应稳定度判别指标值作为顶级节点的输出值;The deep belief network model setting unit is used for each node of the deep belief network model to take the input data of the historical plant and station corresponding to the node in the historical simulation sample data of the power grid as the input data of the node; The stability discrimination index value corresponding to the top node is taken as the output value of the top node;
稳定度判别指标包括三相短路临界切除时间和阻尼比。The stability criterion includes the critical cut-off time of the three-phase short circuit and the damping ratio.
其中,层级网络单元包括第一层建立子单元、第二层建立子单元和第三层建立子单元;Wherein, the hierarchical network unit includes a first-layer establishment subunit, a second-layer establishment subunit and a third-layer establishment subunit;
第一层建立子单元用于根据电网的拓扑关系,根据电网的第一电压子网建立层级网络模型的第一层;The first layer establishment subunit is used to establish the first layer of the hierarchical network model according to the first voltage sub-network of the power grid according to the topology relationship of the power grid;
第二层建立子单元用于根据电网的第二电压子网建立层级网络模型的第二层;The second layer establishment subunit is used to establish the second layer of the hierarchical network model according to the second voltage sub-network of the power grid;
第三层建立子单元根据电网建立层级网络模型的第三层。The third layer builds the subunit to build the third layer of the hierarchical network model according to the power grid.
其中,深度置信网模型设置单元包括第一层设置子单元、第二层设置子单元和第三层设置子单元;Wherein, the deep belief network model setting unit includes a first-layer setting subunit, a second-layer setting subunit and a third-layer setting subunit;
第一层设置子单元用于针对深度置信网模型的第一层节点,将第一层节点对应的第一电压厂站在历史仿真样本数据中的厂站输入量数据作为输入数据;若第一层节点的总的输入数据个数不超过预设的个数阈值时,第一层节点直接向第二层汇集数据;否则建立第一层受限波尔兹曼机对应深度置信网模型的第一层,以深度置信网模型第一层节点的输入数据作为第一层受限波尔兹曼机的可视层节点的输入数据,将第一层受限波尔兹曼机的隐含层节点的数值向第二层汇集;The first-layer setting subunit is used for the first-layer nodes of the deep belief network model to take the input data of the first voltage plant in the historical simulation sample data corresponding to the first-layer nodes as input data; When the total number of input data of layer nodes does not exceed the preset number threshold, the first layer nodes directly collect data to the second layer; otherwise, the first layer of the restricted Boltzmann machine corresponding to the depth belief network model of the first layer is established. In the first layer, the input data of the first layer node of the deep belief network model is used as the input data of the visible layer node of the first layer restricted Boltzmann machine, and the hidden layer of the first layer restricted Boltzmann machine is used as the input data. The value of the node is collected to the second layer;
第二层设置子单元用于针对深度置信网模型的第二层节点,当第二层节点对应第二电压厂站时,以第二电压厂站在历史仿真样本数据中的厂站输入量数据为输入数据,否则以第一层节点汇集的数据作为输入数据;若第二层节点的总的输入数据个数不超过预设的个数阈值时,第二层节点直接向第三层汇集数据;否则建立第二层受限波尔兹曼机对应深度置信网模型的第二层,以深度置信网模型第二层节点的输入数据作为第二层受限波尔兹曼机的可视层节点的输入数据,将第二层受限波尔兹曼机的隐含层节点的数值向第三层汇集;The second-level setting subunit is used for the second-level nodes of the deep belief network model. When the second-level nodes correspond to the second voltage plant, use the plant input data in the historical simulation sample data of the second voltage plant is the input data, otherwise the data collected by the first-layer nodes is used as the input data; if the total number of input data of the second-layer nodes does not exceed the preset number threshold, the second-layer nodes directly collect data to the third-layer ; otherwise, establish the second layer of the second layer of restricted Boltzmann machine corresponding to the deep belief network model, and use the input data of the second layer node of the deep belief network model as the visual layer of the second layer of restricted Boltzmann machine The input data of the node, the value of the hidden layer node of the second layer of restricted Boltzmann machine is collected to the third layer;
第三层设置子单元用于针对深度置信网模型的第三层节点,以第二层节点汇集的数据作为输入数据;若第三层节点的总的输入数据个数不超过预设的个数阈值时,第三层节点直接向顶级节点汇集数据;否则建立第三层受限波尔兹曼机对应深度置信网模型的第三层,以深度置信网模型第三层节点的输入数据作为第三层受限波尔兹曼机的可视层节点的输入数据,将第三层受限波尔兹曼机的隐含层节点的数值向顶级节点汇集。The third-layer setting subunit is used for the third-layer nodes of the deep belief network model, and the data collected by the second-layer nodes is used as input data; if the total number of input data of the third-layer nodes does not exceed the preset number When the threshold is set, the third-layer nodes directly collect data to the top-level nodes; otherwise, the third-layer restricted Boltzmann machine corresponding to the third layer of the deep belief network model is established, and the input data of the third-layer nodes of the deep belief network model is used as the first layer. The input data of the nodes in the visible layer of the three-layer restricted Boltzmann machine is collected, and the values of the nodes in the hidden layer of the third-layer restricted Boltzmann machine are aggregated to the top-level nodes.
其中,建模模块还包括用于优化深度置信网模型参数的参数优化单元,参数优化单元包括:随机初始化子单元、无监督训练子单元和有监督调优子单元;Wherein, the modeling module further includes a parameter optimization unit for optimizing the parameters of the deep belief network model, and the parameter optimization unit includes: a random initialization subunit, an unsupervised training subunit, and a supervised tuning subunit;
随机初始化子单元用于用接近0的随机数初始化深度置信网模型中第一层受限波尔兹曼机、第二层受限波尔兹曼机和第三层受限波尔兹曼机的参数,参数包括受限波尔兹曼机隐含层与可视层之间的权值矩阵和隐含层节点的偏置;The random initialization subunit is used to initialize the first-layer restricted Boltzmann machine, the second-layer restricted Boltzmann machine and the third-layer restricted Boltzmann machine in the deep belief network model with random numbers close to 0 The parameters of the restricted Boltzmann machine include the weight matrix between the hidden layer and the visible layer of the restricted Boltzmann machine and the bias of the hidden layer nodes;
无监督训练子单元用于采用对比散度算法从第一层受限波尔兹曼机到第三层受限波尔兹曼机逐层无监督训练深度置信网模型中各层受限波尔兹曼机的参数;The unsupervised training subunit is used for layer-by-layer unsupervised training of each layer of constrained Boltzmann machines in a deep belief net model using the contrastive divergence algorithm from a first-layer restricted Boltzmann machine to a third-layer restricted Boltzmann machine The parameters of the Zman machine;
有监督调优子单元用于以历史厂站输入量数据作为深度置信网模型的输入数据,以历史厂站输入量数据对应的稳定度判别指标值作为深度置信网模型的输出数据,采用反向传播算法,对深度置信网模型中经过无监督训练的各受限玻尔兹曼机的参数进行有监督调优。The supervised tuning sub-unit is used to use the historical plant input data as the input data of the deep confidence network model, and use the stability discrimination index value corresponding to the historical plant input data as the output data of the deep confidence network model. Propagation algorithm for supervised tuning of the parameters of each Restricted Boltzmann Machine trained unsupervised in the Deep Belief Network model.
其中,数据采集模块包括变电站采集单元和发电厂采集单元;Wherein, the data acquisition module includes a substation acquisition unit and a power plant acquisition unit;
变电站采集单元用于当连接至电网的厂站为变电站时,采集变电站的总功率、总负荷和变电站到上级相连单元的电气距离;The substation acquisition unit is used to collect the total power, total load of the substation and the electrical distance from the substation to the upper-level connected unit when the plant connected to the power grid is a substation;
发电厂采集单元用于当连接至电网的厂站为变电站时,采集发电厂内每台机组的投运状态、有功、机端电压和发电厂到上级相连单元的电气距离。The power plant collection unit is used to collect the commissioning status, active power, machine terminal voltage and electrical distance from the power plant to the upper-level connected unit of each unit in the power plant when the power plant connected to the power grid is a substation.
其中,数据采集模块还包括归一化单元;Wherein, the data acquisition module further includes a normalization unit;
归一化单元用于如下式将厂站输入量数据归一化:The normalization unit is used to normalize the input data of the plant as follows:
V’=(V-Vmin)/(Vmax-Vmin)V'=(VVmin )/(Vmax -Vmin )
其中V表示厂站输入量数据,Vmin表示V的历史最小值,Vmax表示V的历史最大值,V’表示归一化后的V,V的历史值存储在预设的样本库中。Where V represents the input data of the factory, Vmin represents the historical minimum value of V, Vmax represents the historical maximum value of V, V' represents the normalized V, and the historical value of V is stored in the preset sample library.
其中,稳定度判别指标计算模块包括数据输入单元、逐层计算单元和稳定度判别指标计算单元;Wherein, the stability discrimination index calculation module includes a data input unit, a layer-by-layer calculation unit and a stability discrimination index calculation unit;
数据输入单元用于将厂站输入量数据,输入到电网的稳定度判别指标对应的深度置信网模型中;The data input unit is used to input the input quantity data of the power grid into the deep confidence network model corresponding to the stability discrimination index of the power grid;
逐层计算单元用于基于厂站输入量数据,从第一层到第三层逐层计算深度置信网模型各层向更上一层汇集的数据;The layer-by-layer calculation unit is used to calculate the data collected from each layer of the deep belief network model to the upper layer from the first layer to the third layer based on the input data of the factory station;
稳定度判别指标计算单元用于根据深度置信网模型第三层向顶级节点汇集的数据,得到顶级节点的输出数据,作为电网的稳定度判别指标对应的值。The stability discrimination index calculation unit is used to obtain the output data of the top node according to the data collected from the third layer of the deep belief network model to the top node, as the value corresponding to the stability discrimination index of the power grid.
其中,判稳模块包括三相短路临界切除时间判断单元和阻尼比判断单元;The stability judging module includes a three-phase short-circuit critical cut-off time judgment unit and a damping ratio judgment unit;
三相短路临界切除时间判断单元用于当稳定度判别指标为三相短路临界切除时间时,若三相短路临界切除时间的值小于预设的正常保护动作时间,则判断电网不稳,否则判断电网稳定;The three-phase short-circuit critical cut-off time judgment unit is used to judge that the power grid is unstable when the stability judgment index is the three-phase short-circuit critical cut-off time, if the value of the three-phase short-circuit critical cut-off time is less than the preset normal protection action time, otherwise judge grid stability;
阻尼比判断单元用于当稳定度判别指标为阻尼比时,若阻尼比的值小于预设阻尼比阈值,则判断电网不稳,否则判断电网稳定。The damping ratio judgment unit is used for judging that the power grid is unstable if the value of the damping ratio is less than the preset damping ratio threshold when the stability judgment index is the damping ratio; otherwise, the power grid is judged to be stable.
本领域内的技术人员应明白,本申请的实施例可提供为方法、系统、或计算机程序产品。因此,本申请可采用完全硬件实施例、完全软件实施例、或结合软件和硬件方面的实施例的形式。而且,本申请可采用在一个或多个其中包含有计算机可用程序代码的计算机可用存储介质(包括但不限于磁盘存储器、CD-ROM、光学存储器等)上实施的计算机程序产品的形式。As will be appreciated by those skilled in the art, the embodiments of the present application may be provided as a method, a system, or a computer program product. Accordingly, the present application may take the form of an entirely hardware embodiment, an entirely software embodiment, or an embodiment combining software and hardware aspects. Furthermore, the present application may take the form of a computer program product embodied on one or more computer-usable storage media (including, but not limited to, disk storage, CD-ROM, optical storage, etc.) having computer-usable program code embodied therein.
本申请是参照根据本申请实施例的方法、设备(系统)、和计算机程序产品的流程图和/或方框图来描述的。应理解可由计算机程序指令实现流程图和/或方框图中的每一流程和/或方框、以及流程图和/或方框图中的流程和/或方框的结合。可提供这些计算机程序指令到通用计算机、专用计算机、嵌入式处理机或其他可编程数据处理设备的处理器以产生一个机器,使得通过计算机或其他可编程数据处理设备的处理器执行的指令产生用于实现在流程图一个流程或多个流程和/或方框图一个方框或多个方框中指定的功能的装置。The present application is described with reference to flowchart illustrations and/or block diagrams of methods, apparatus (systems), and computer program products according to embodiments of the present application. It will be understood that each flow and/or block in the flowchart illustrations and/or block diagrams, and combinations of flows and/or blocks in the flowchart illustrations and/or block diagrams, can be implemented by computer program instructions. These computer program instructions may be provided to the processor of a general purpose computer, special purpose computer, embedded processor or other programmable data processing device to produce a machine such that the instructions executed by the processor of the computer or other programmable data processing device produce Means for implementing the functions specified in a flow or flow of a flowchart and/or a block or blocks of a block diagram.
这些计算机程序指令也可存储在能引导计算机或其他可编程数据处理设备以特定方式工作的计算机可读存储器中,使得存储在该计算机可读存储器中的指令产生包括指令装置的制造品,该指令装置实现在流程图一个流程或多个流程和/或方框图一个方框或多个方框中指定的功能。These computer program instructions may also be stored in a computer-readable memory capable of directing a computer or other programmable data processing apparatus to function in a particular manner, such that the instructions stored in the computer-readable memory result in an article of manufacture comprising instruction means, the instructions The apparatus implements the functions specified in the flow or flow of the flowcharts and/or the block or blocks of the block diagrams.
这些计算机程序指令也可装载到计算机或其他可编程数据处理设备上,使得在计算机或其他可编程设备上执行一系列操作步骤以产生计算机实现的处理,从而在计算机或其他可编程设备上执行的指令提供用于实现在流程图一个流程或多个流程和/或方框图一个方框或多个方框中指定的功能的步骤。These computer program instructions can also be loaded on a computer or other programmable data processing device to cause a series of operational steps to be performed on the computer or other programmable device to produce a computer-implemented process such that The instructions provide steps for implementing the functions specified in the flow or blocks of the flowcharts and/or the block or blocks of the block diagrams.
最后应当说明的是:以上实施例仅用于说明本申请的技术方案而非对其保护范围的限制,尽管参照上述实施例对本申请进行了详细的说明,所属领域的普通技术人员应当理解:本领域技术人员阅读本申请后依然可对申请的具体实施方式进行种种变更、修改或者等同替换,但这些变更、修改或者等同替换,均在申请待批的权利要求保护范围之内。Finally, it should be noted that: the above embodiments are only used to illustrate the technical solutions of the present application rather than limitations of its protection scope, although the present application has been described in detail with reference to the above embodiments, those of ordinary skill in the art should understand: After reading this application, those skilled in the art can still make various changes, modifications or equivalent replacements to the specific embodiments of the application, but these changes, modifications or equivalent replacements are all within the protection scope of the pending claims.
| Application Number | Priority Date | Filing Date | Title |
|---|---|---|---|
| CN201810082877.8ACN108183481B (en) | 2018-01-29 | 2018-01-29 | Method and system for rapidly judging stability of power grid based on deep learning |
| Application Number | Priority Date | Filing Date | Title |
|---|---|---|---|
| CN201810082877.8ACN108183481B (en) | 2018-01-29 | 2018-01-29 | Method and system for rapidly judging stability of power grid based on deep learning |
| Publication Number | Publication Date |
|---|---|
| CN108183481A CN108183481A (en) | 2018-06-19 |
| CN108183481Btrue CN108183481B (en) | 2022-04-29 |
| Application Number | Title | Priority Date | Filing Date |
|---|---|---|---|
| CN201810082877.8AActiveCN108183481B (en) | 2018-01-29 | 2018-01-29 | Method and system for rapidly judging stability of power grid based on deep learning |
| Country | Link |
|---|---|
| CN (1) | CN108183481B (en) |
| Publication number | Priority date | Publication date | Assignee | Title |
|---|---|---|---|---|
| CN109638883B (en)* | 2018-12-29 | 2020-12-22 | 国网陕西省电力公司 | Grid voltage control method, device, computer equipment and storage medium |
| CN111612213B (en)* | 2020-04-10 | 2023-10-10 | 中国南方电网有限责任公司 | Section constraint intelligent early warning method and system based on deep learning |
| Publication number | Priority date | Publication date | Assignee | Title |
|---|---|---|---|---|
| CN102570459A (en)* | 2012-02-15 | 2012-07-11 | 中国电力科学研究院 | Method for monitoring voltage quality |
| CN104538957A (en)* | 2014-12-31 | 2015-04-22 | 江苏省电力公司 | Power grid model self-adaptive processing method for counting low-frequency low-voltage load shedding capacity |
| CN104794534A (en)* | 2015-04-16 | 2015-07-22 | 国网山东省电力公司临沂供电公司 | Power grid security situation predicting method based on improved deep learning model |
| CN105676018A (en)* | 2015-11-23 | 2016-06-15 | 江苏省电力公司 | Power grid low-frequency oscillation fuzzy comprehensive early-warning method based on steady-state learning mechanism |
| US9569589B1 (en)* | 2015-02-06 | 2017-02-14 | David Laborde | System, medical item including RFID chip, data collection engine, server and method for capturing medical data |
| CN106504116A (en)* | 2016-10-31 | 2017-03-15 | 山东大学 | Based on the stability assessment method that operation of power networks is associated with transient stability margin index |
| CN106877501A (en)* | 2017-03-03 | 2017-06-20 | 上海交通大学 | DC Substation Hierarchical Operation System and Method Based on the Concept of Control and Maintenance Integration |
| Publication number | Priority date | Publication date | Assignee | Title |
|---|---|---|---|---|
| US10256628B2 (en)* | 2015-10-23 | 2019-04-09 | Eaton Intelligent Power Limited | Controller and method of controlling power supplied from a small power source to a power grid |
| CN106503800B (en)* | 2016-10-11 | 2018-11-30 | 天津大学 | Deep learning model based on complex network and the application in measuring signal analysis |
| CN107391852B (en)* | 2017-07-26 | 2020-07-10 | 清华大学 | Real-time evaluation method and device for transient stability based on deep belief network |
| Publication number | Priority date | Publication date | Assignee | Title |
|---|---|---|---|---|
| CN102570459A (en)* | 2012-02-15 | 2012-07-11 | 中国电力科学研究院 | Method for monitoring voltage quality |
| CN104538957A (en)* | 2014-12-31 | 2015-04-22 | 江苏省电力公司 | Power grid model self-adaptive processing method for counting low-frequency low-voltage load shedding capacity |
| US9569589B1 (en)* | 2015-02-06 | 2017-02-14 | David Laborde | System, medical item including RFID chip, data collection engine, server and method for capturing medical data |
| CN104794534A (en)* | 2015-04-16 | 2015-07-22 | 国网山东省电力公司临沂供电公司 | Power grid security situation predicting method based on improved deep learning model |
| CN105676018A (en)* | 2015-11-23 | 2016-06-15 | 江苏省电力公司 | Power grid low-frequency oscillation fuzzy comprehensive early-warning method based on steady-state learning mechanism |
| CN106504116A (en)* | 2016-10-31 | 2017-03-15 | 山东大学 | Based on the stability assessment method that operation of power networks is associated with transient stability margin index |
| CN106877501A (en)* | 2017-03-03 | 2017-06-20 | 上海交通大学 | DC Substation Hierarchical Operation System and Method Based on the Concept of Control and Maintenance Integration |
| Publication number | Publication date |
|---|---|
| CN108183481A (en) | 2018-06-19 |
| Publication | Publication Date | Title |
|---|---|---|
| CN108551167B (en) | XGboost algorithm-based power system transient stability discrimination method | |
| CN107274105B (en) | Linear discriminant analysis-based multi-attribute decision tree power grid stability margin evaluation method | |
| CN112541546B (en) | Photovoltaic power station typical scene generation method based on multi-scene model | |
| CN108089099A (en) | The diagnostic method of distribution network failure based on depth confidence network | |
| CN109687438B (en) | A method for identifying vulnerable lines in the power grid considering the impact load of high-speed rail | |
| CN105069704B (en) | A fast traversal distribution network reconfiguration method to improve the penetration rate of distributed power | |
| CN114006370A (en) | A kind of power system transient stability analysis and evaluation method and system | |
| CN105529714B (en) | Quick probability load flow calculation method based on normal distribution assemblage characteristic | |
| CN109033507A (en) | A kind of Model in Reliability Evaluation of Power Systems method considering the failure of information system function for monitoring | |
| CN117131407A (en) | Relay protection strategy generation method, device, electronic equipment and storage medium | |
| CN108183481B (en) | Method and system for rapidly judging stability of power grid based on deep learning | |
| CN111861256B (en) | A method and system for active distribution network reconstruction decision-making | |
| CN116979617A (en) | Power distribution network weakness evaluation method and device considering photovoltaic large-scale access | |
| CN115081483B (en) | Hydro-generator rotor fault diagnosis method based on feature selection and GWO-BP | |
| CN116093930A (en) | Power system transient stability prevention and control method for high proportion of wind power grid-connected | |
| CN119667366A (en) | A method for locating fault sections in distribution networks considering dynamic switching of distributed generation | |
| CN114781244A (en) | Grouping and parameter optimization method in wind power plant | |
| Zhang et al. | ELM model for power system transient stability assessment | |
| CN117150393B (en) | A method and system for identifying weak branches in power systems based on decision trees | |
| CN108090616A (en) | A kind of electric system Active Splitting optimal section searching method | |
| CN117134371A (en) | A power stabilization control method based on deep reinforcement learning and graph attention mechanism | |
| CN116384122A (en) | Target backbone network frame optimization method for power system restoration decision support | |
| CN113488989B (en) | Local hybrid linear state estimation method based on stream calculation | |
| Zhou et al. | Oscillation Source Location of Ultra-low Frequency Oscillations Based on Random Forest Algorithm | |
| CN111368933A (en) | Power distribution network transient process fault classification method and system based on Softmax regression |
| Date | Code | Title | Description |
|---|---|---|---|
| PB01 | Publication | ||
| PB01 | Publication | ||
| SE01 | Entry into force of request for substantive examination | ||
| SE01 | Entry into force of request for substantive examination | ||
| GR01 | Patent grant | ||
| GR01 | Patent grant |