Movatterモバイル変換


[0]ホーム

URL:


CN108173585B - Multi-user hybrid linear nonlinear precoding method - Google Patents

Multi-user hybrid linear nonlinear precoding method
Download PDF

Info

Publication number
CN108173585B
CN108173585BCN201810202689.4ACN201810202689ACN108173585BCN 108173585 BCN108173585 BCN 108173585BCN 201810202689 ACN201810202689 ACN 201810202689ACN 108173585 BCN108173585 BCN 108173585B
Authority
CN
China
Prior art keywords
user
group
matrix
users
correlation
Prior art date
Legal status (The legal status is an assumption and is not a legal conclusion. Google has not performed a legal analysis and makes no representation as to the accuracy of the status listed.)
Active
Application number
CN201810202689.4A
Other languages
Chinese (zh)
Other versions
CN108173585A (en
Inventor
李勇朝
李婷
刘灿
卜林菁
邬永强
李兆刚
章为昆
Current Assignee (The listed assignees may be inaccurate. Google has not performed a legal analysis and makes no representation or warranty as to the accuracy of the list.)
Zhejiang Wellsun Intelligent Technology Co Ltd
Original Assignee
Zhejiang Wellsun Intelligent Technology Co Ltd
Priority date (The priority date is an assumption and is not a legal conclusion. Google has not performed a legal analysis and makes no representation as to the accuracy of the date listed.)
Filing date
Publication date
Application filed by Zhejiang Wellsun Intelligent Technology Co LtdfiledCriticalZhejiang Wellsun Intelligent Technology Co Ltd
Priority to CN201810202689.4ApriorityCriticalpatent/CN108173585B/en
Publication of CN108173585ApublicationCriticalpatent/CN108173585A/en
Application grantedgrantedCritical
Publication of CN108173585BpublicationCriticalpatent/CN108173585B/en
Activelegal-statusCriticalCurrent
Anticipated expirationlegal-statusCritical

Links

Images

Classifications

Landscapes

Abstract

The invention relates to a multi-user mixed linear nonlinear precoding method, which solves the technical problems of large interference among user groups and low transmission efficiency in the groups, and comprises the following steps: step 1, each user terminal estimates a downlink channel matrix of the user terminal, calculates a correlation matrix, and feeds back the correlation matrix of the downlink channel to a base station for a long time; step 2, the base station defines standard correlation and standard orthogonality according to the received correlation matrix sent by each user side, the user sides with the correlation larger than the standard correlation are collected into a user group, and the user sides with the orthogonality larger than the standard orthogonality are not in the same user group; step 3, performing channel dimensionality reduction between different user groups through block diagonalized first-layer linear precoding; and 4, scheduling a plurality of users in the same user group to perform second-layer nonlinear precoding, so as to realize the technical scheme of multi-user downlink transmission, better solve the problem and be used in a large-scale MIMO system.

Description

Multi-user hybrid linear nonlinear precoding method
Technical Field
The invention relates to the technical field of communication, in particular to a multi-user hybrid linear nonlinear precoding method.
Background
The Multiple-Input Multiple-Output (MIMO) technology can make full use of spatial multipath transmission, provide diversity gain, multiplexing gain, array gain, and the like, greatly improve the reliability and effectiveness of the system, and become a key technology for future wireless communication. In recent years, the research of MIMO technology has been extended from a point-to-point single-user MIMO system to a point-to-multipoint multi-user MIMO system. In a multi-user MIMO system, because a plurality of user information are transmitted in the same time-frequency resource block, the frequency spectrum efficiency is improved, and the co-channel interference among users is inevitably introduced. Since the multi-user MIMO system is limited by the conditions of receiving end cost, power consumption, geographical location dispersion, etc., it is difficult to apply some complex signal detection techniques to the receiving end.
The prior art generally adopts precoding at a transmitting end to eliminate co-channel interference. The linear block diagonalization precoding algorithm enables a precoding matrix of each user to be positioned on a null space of channel matrixes of other users, so that signal interference among the users is eliminated, the multi-user MIMO system is further decomposed into a plurality of parallel single-user MIMO channels, and the number of the transmission users is limited. In addition, the multi-user transmission method adopting user grouping can further reduce the complexity of the system, but the current grouping method has the technical problems of large interference among groups and poor viscosity in the groups, so that the number of users simultaneously transmitted is far less than that of base station antennas, and the advantages of the MIMO system cannot be exerted. Therefore, it is necessary to provide a multi-user hybrid linear nonlinear precoding method with small inter-group interference and high intra-group communication efficiency.
Disclosure of Invention
The technical problems to be solved by the invention are that the interference among all user groups is large and the transmission efficiency in the group is low in the prior art. The method has the characteristics of high orthogonality of users among groups, small interference, high transmission efficiency after dimension reduction, high correlation of users in the groups and convenience in transmission.
In order to solve the technical problems, the technical scheme is as follows:
a multi-user mixed linear nonlinear precoding method is used for a large-scale MIMO system, a base station in the large-scale MIMO system is a large-scale linear antenna array, and the multi-user mixed linear nonlinear precoding method comprises the following steps:
step 1, each user terminal estimates a downlink channel matrix of the user terminal, calculates a correlation matrix, and feeds back the correlation matrix of the downlink channel to a base station for a long time;
step 2, the base station defines standard correlation and standard orthogonality according to the received correlation matrix sent by each user side, and carries out user grouping, wherein the user sides with the correlation larger than the standard correlation are gathered into a user group, and the user sides with the orthogonality larger than the standard orthogonality are not in the same user group;
step 3, performing channel dimensionality reduction between different user groups through block diagonalized first-layer linear precoding;
and 4, scheduling a plurality of users in the same user group to perform second-layer nonlinear precoding, so as to realize multi-user downlink transmission.
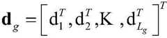
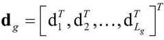
In the above scheme, for optimization, further, the downlink channel matrix of user k in step 1 is
Figure BDA0001594464900000031
The correlation matrix for user k is
Figure BDA0001594464900000032
Where user k has only one antenna, NtThe number of antenna elements of the large-scale linear antenna array; h islFor the channel response between the first antenna of the base station and the antenna of user K, l is 1,2, K, NtK is the number of users, K is more than or equal to 1 and less than or equal to K, (. DEG)HIndicating that the matrix is conjugate transformed.
Further, step 2 further comprises:
step A, defining the number of user groups as G, optionally selecting G users from K users, and taking the G users to send related matrixes as an initial group center matrix V1,V2,...,VG
Step B, calculating a correlation matrix R of the user kkGroup center matrix V from the g-th groupgThe distance between the users k and the g group of users is measured, and the correlation is as follows:
Figure BDA0001594464900000033
wherein R isk=UkΛkUkFor eigenvalue decomposition, | | | | | non-calculationFIs F norm, G is more than or equal to 1 and less than or equal to G;
and C, repeating the step B, adding the user k into the user group with the maximum correlation, and adding all the users into the user group:
Figure BDA0001594464900000034
d, updating the group center matrix of each group according to the divided user group result; according to the average correlation matrix R of users in the g groupgUpdating the central matrix of the g-th group with the feature vectors and the feature values:
Figure BDA0001594464900000041
Figure BDA0001594464900000042
step E, executing step B until the grouping results of the two times are consistent;
wherein, KgIs the number of users in the g-th group.
Further, the first layer linear dimension reduction precoding method includes:
step A, dividing the G user groups in step 3 into 2 subsets, including:
(i) SVD is carried out on the group center matrix of the g user group, and right singular vectors corresponding to non-zero singular values are taken to form a main singular vector set of the g user group
Figure BDA0001594464900000043
(ii) Calculate the arbitrary g1Group and g2Chordal distance between groups:
Figure BDA0001594464900000044
wherein g is1,g21,2, G, and G1≠g2
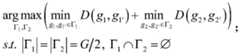
(iii) The sum of two groups of minimum chord distances is maximized by averagely dividing the G groups into two subsets1And2
Figure BDA0001594464900000045
s.t.|1|=|2|=G/2,12=φ;
and step B, carrying out approximate block diagonalization precoding on the two subsets.
Further, the approximate block diagonalization precoding includes:
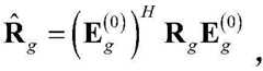
(i) definition of
Figure BDA0001594464900000046
Set of interference singular vectors of g-th group, pair xigPerforming SVD with left singular matrix of
Figure BDA0001594464900000047
Wherein
Figure BDA0001594464900000048
Is a singular vector set corresponding to a zero singular value;
(ii) definition of
Figure BDA0001594464900000051
To pair
Figure BDA0001594464900000052
Performing EVD decomposition with a feature matrix of
Figure BDA0001594464900000053
Wherein
Figure BDA0001594464900000054
Is that
Figure BDA0001594464900000055
The characteristic vector set corresponding to the non-zero characteristic value;
(iii) the approximate block diagonalized precoding matrix of the g-th group is
Figure BDA0001594464900000056
Further, the nonlinear precoding method in the second layer group is as follows:
step A, calculating the signal-to-interference ratio of a g group of users k:
Figure BDA0001594464900000057
selecting users according to the signal-to-interference ratio in the g-th group, arranging the users in the group according to the descending order of the signal-to-interference ratio, and selecting the front LgThe individual users are used as service users of the g group;
wherein L isg=min(Kg,bg),KgIs the number of users of the g-th group, bgIs a dimension reduction matrix BgThe number of columns;
step B, within the g-th group, for the top L selected in step 5agCarrying out THP precoding on each user;
step C, calculating the signals finally received by the users in the group g as:
Figure BDA0001594464900000058
wherein P is the total transmitting power of the base station, L is the number of scheduled users,
Figure BDA0001594464900000059
Figure BDA00015944649000000510
the group g is subjected to THP precoding to obtain a transmission vector, pigIs a weighting matrix obtained in THP precoding, ngThe noise vector of the user is served for the g-th group.
Further, the THP precoding includes:
(i) and (3) calculating the equivalent channel matrix of the selected user k in the group g:
Hg,k=Hg,kBg
feeding back the equivalent channel matrix after dimension reduction to a base station end;
(ii) the equivalent channel matrix of the users in the g-th group is
Figure BDA0001594464900000061
To pair
Figure BDA0001594464900000062
Carrying out QR decomposition:
Figure BDA0001594464900000063
then there is a weighting matrix
Figure BDA0001594464900000064
Wherein r is11,K,
Figure BDA0001594464900000065
Is an element on the main diagonal of the matrix R, the feedback matrix phig=ΠgRg(:,1:Lg)HFeed forward matrix Fg=Qg
(iii) Original data signal
Figure BDA0001594464900000066
The sending signals obtained after the modulus taking and the continuous interference elimination are as follows:
Figure BDA0001594464900000067
wherein,
Figure BDA0001594464900000068
(iv) the transmission vector obtained by THP precoding is:
Figure BDA0001594464900000069
the invention has the beneficial effects that:
the method has the advantages that the multi-user mixed linear nonlinear precoding is adopted, so that the orthogonality of users among groups and the correlation of users in the groups are improved while the users are ensured to access at any time, and the high-efficiency transmission is realized while the interference is reduced;
compared with the existing situation that the number of the antennas is more than the number of the users, the number of the users is consistent with the number of the antennas, and the cost is low.
Drawings
The invention is further illustrated with reference to the following figures and examples.
Fig. 1 is a schematic diagram of a hybrid linear nonlinear precoding method in embodiment 1.
Detailed Description
In order to make the objects, technical solutions and advantages of the present invention more apparent, the present invention is further described in detail with reference to the following embodiments. It should be understood that the specific embodiments described herein are merely illustrative of the invention and are not intended to limit the invention.
Example 1
The embodiment provides a multi-user hybrid linear nonlinear precoding method, which is used in a large-scale MIMO system, where a base station in the large-scale MIMO system is a large-scale linear antenna array, as shown in fig. 1, the multi-user hybrid linear nonlinear precoding method includes:
step 1, each user terminal estimates a downlink channel matrix of the user terminal, calculates a correlation matrix, and feeds back the correlation matrix of the downlink channel to a base station for a long time;
the downlink channel matrix of user k is
Figure BDA0001594464900000071
The correlation matrix for user k is
Figure BDA0001594464900000072
Where user k has only one antenna, NtThe number of antenna elements of the large-scale linear antenna array; h islFor the channel response between the first antenna of the base station and the antenna of user K, l is 1,2, K, NtK is the number of users, K is more than or equal to 1 and less than or equal to K, (. DEG)HRepresenting conjugate transformation of the matrix;
step 2, the base station defines standard correlation and standard orthogonality according to the received correlation matrix sent by each user side, the user sides with the correlation larger than the standard correlation are collected into a user group, and the user sides with the orthogonality larger than the standard orthogonality are not in the same user group;
step A, defining the number of user groups as G, optionally selecting G users from K users, and taking the G users to send related matrixes as an initial group center matrix V1,V2,...,VG
Step B, calculating a correlation matrix R of the user kkGroup center matrix V from the g-th groupgThe distance between the users k and the g group of users is measured, and the correlation is as follows:
Figure BDA0001594464900000081
wherein R isk=UkΛkUkFor eigenvalue decomposition, | | | | | non-calculationFIs F norm, G is more than or equal to 1 and less than or equal to G;
and C, repeating the step B, adding the user k into the user group with the maximum correlation, and adding all the users into the user group:
Figure BDA0001594464900000082
step D, according to the divided user groupsUpdating the group center matrix of each group as a result; according to the average correlation matrix R of users in the g groupgUpdating the central matrix of the g-th group with the feature vectors and the feature values:
Figure BDA0001594464900000083
Figure BDA0001594464900000084
step E, executing step B until the grouping results of the two times are consistent;
wherein, KgIs the number of users in the g-th group;
step 3, performing signal dimension reduction between different user groups through block diagonalized first-layer linear precoding;
the first layer linear dimension reduction precoding method comprises the following steps:
step A, dividing the G user groups in step 3 into 2 subsets, including:
(i) SVD is carried out on the group center matrix of the g user group, and right singular vectors corresponding to non-zero singular values are taken to form a main singular vector set of the g user group
Figure BDA0001594464900000091
(ii) Calculate the arbitrary g1Group and g2Chordal distance between groups:
Figure BDA0001594464900000092
wherein g is1,g21,2, G, and G1≠g2
(iii) The sum of two groups of minimum chord distances is maximized by averagely dividing the G groups into two subsets1And2
Figure BDA0001594464900000093
s.t.|1|=|2|=G/2,12=φ;
and step B, carrying out approximate block diagonalization precoding on the two subsets, wherein the approximate block diagonalization precoding comprises the following steps:
(i) definition of
Figure BDA0001594464900000094
Set of interference singular vectors of g-th group, pair xigPerforming SVD with left singular matrix of
Figure BDA0001594464900000095
Wherein
Figure BDA0001594464900000096
Is a singular vector set corresponding to a zero singular value;
(ii) definition of
Figure BDA0001594464900000097
To pair
Figure BDA0001594464900000098
Performing EVD decomposition with a feature matrix of
Figure BDA0001594464900000099
Wherein
Figure BDA00015944649000000910
Is that
Figure BDA00015944649000000911
The characteristic vector set corresponding to the non-zero characteristic value;
(iii) the approximate block diagonalized precoding matrix of the g-th group is
Figure BDA00015944649000000912
Step 4, scheduling a plurality of users in the same user group to perform second layer nonlinear precoding, and realizing multi-user downlink transmission, wherein the nonlinear precoding method in the second layer group comprises the following steps:
step A, calculating the signal-to-interference ratio of a g group of users k:
Figure BDA00015944649000000913
selecting users according to the signal-to-interference ratio in the g-th group, arranging the users in the group according to the descending order of the signal-to-interference ratio, and selecting the front LgThe individual users are used as service users of the g group;
wherein L isg=min(Kg,bg),KgIs the number of users of the g-th group, bgIs a dimension reduction matrix BgThe number of columns;
step B, within the g-th group, for the top L selected in step 5agCarrying out THP precoding on each user; the THP precoding includes:
(i) and (3) calculating the equivalent channel matrix of the selected user k in the group g:
Hg,k=Hg,kBg
feeding back the equivalent channel matrix after dimension reduction to a base station end;
(ii) the equivalent channel matrix of the users in the g-th group is
Figure BDA0001594464900000101
To pair
Figure BDA0001594464900000102
Carrying out QR decomposition:
Figure BDA0001594464900000103
then there is a weighting matrix
Figure BDA0001594464900000104
Wherein r is11,K,
Figure BDA0001594464900000105
Is an element on the main diagonal of the matrix R, the feedback matrix phig=ΠgRg(:,1:Lg)HFeed forward matrix Fg=Qg
(iii) Original data signal
Figure BDA0001594464900000106
The sending signals obtained after the modulus taking and the continuous interference elimination are as follows:
Figure BDA0001594464900000107
wherein,
Figure BDA0001594464900000108
(iv) the transmission vector obtained by THP precoding is:
Figure BDA0001594464900000109
step C, calculating the signals finally received by the users in the group g as:
Figure BDA00015944649000001010
wherein P is the total transmitting power of the base station, L is the number of scheduled users,
Figure BDA0001594464900000111
ngthe noise vector of the user is served for the g-th group.
Although the illustrative embodiments of the present invention have been described above to enable those skilled in the art to understand the present invention, the present invention is not limited to the scope of the embodiments, and it is apparent to those skilled in the art that all the inventive concepts using the present invention are protected as long as they can be changed within the spirit and scope of the present invention as defined and defined by the appended claims.

Claims (3)

1. A multi-user mixed linear nonlinear precoding method is used for a large-scale MIMO system, and a base station in the large-scale MIMO system is a large-scale linear antenna array, and is characterized in that: the multi-user hybrid linear nonlinear precoding method comprises the following steps:
step 1, each user terminal estimates a downlink channel matrix of the user terminal, calculates a correlation matrix, and feeds back the correlation matrix of the downlink channel to a base station for a long time;
step 2, the base station defines standard correlation and standard orthogonality according to the received correlation matrix sent by each user side, and carries out user grouping, wherein the user sides with the correlation larger than the standard correlation are gathered into a user group, and the user sides with the orthogonality larger than the standard orthogonality are not in the same user group;
step 3, performing channel dimensionality reduction between different user groups through block diagonalized first-layer linear precoding;
step 4, scheduling a plurality of users in the same user group to perform second-layer nonlinear precoding to realize multi-user downlink transmission;
the downlink channel matrix of user k in step 1 is
Figure FDA0002609724690000011
The correlation matrix for user k is
Figure FDA0002609724690000012
Where user k has only one antenna, NtThe number of antenna elements of the large-scale linear antenna array; h islIs the channel response between the first antenna of the base station and the antenna of user k, i 1,2tK is the number of users, K is more than or equal to 1 and less than or equal to K, (. DEG)HRepresenting conjugate transformation of the matrix;
in step 2, the user grouping method includes:
step A, defining the number of user groups as G, optionally selecting G users from K users, and selecting G usersSending the correlation matrix as an initial set of central matrices V1,V2,...,VG
Step B, calculating a correlation matrix R of the user kkGroup center matrix V from the g-th groupgThe distance between the users k and the g group of users is measured, and the correlation is as follows:
Figure FDA0002609724690000021
wherein R isk=UkΛkUkFor eigenvalue decomposition, | | | | | non-calculationFIs F norm, G is more than or equal to 1 and less than or equal to G;
and C, repeating the step B, adding the user k into the user group with the maximum correlation, and adding all the users into the user group:
Figure FDA0002609724690000022
d, updating the group center matrix of each group according to the divided user group result; according to the average correlation matrix R of users in the g groupgUpdating the central matrix of the g-th group with the feature vectors and the feature values:
Figure FDA0002609724690000023
Figure FDA0002609724690000024
step E, executing step B until the grouping results of the two times are consistent;
wherein, KgIs the number of users in the g-th group;
in step 3, the first layer linear dimension reduction precoding method includes:
step A, dividing the G user groups in step 3 into 2 subsets, including:
(i) SVD is carried out on the group center matrix of the g user group, and right singular vectors corresponding to non-zero singular values are taken to form a main singular vector set of the g user group
Figure FDA0002609724690000025
(ii) Calculate the arbitrary g1Group and g2Chordal distance between groups:
Figure FDA0002609724690000031
wherein g is1,g21,2, G, and G1≠g2
(iii) The sum of two groups of minimum chord distances is maximized by averagely dividing the G groups into two subsets1And2
Figure FDA0002609724690000032
step B, carrying out approximate block diagonalization precoding on the two subsets;
approximating block diagonalization precoding includes:
(i) definition of
Figure FDA0002609724690000033
Set of interference singular vectors of g-th group, pair xigSingular value decomposition is carried out, and a left singular matrix is
Figure FDA0002609724690000034
Wherein
Figure FDA0002609724690000035
Is a singular vector set corresponding to a zero singular value;
(ii) definition of
Figure FDA0002609724690000036
To pair
Figure FDA0002609724690000037
Performing eigenvalue decomposition with an eigenvalue matrix of
Figure FDA0002609724690000038
Wherein
Figure FDA0002609724690000039
Is that
Figure FDA00026097246900000310
The characteristic vector set corresponding to the non-zero characteristic value;
(iii) the approximate block diagonalized precoding matrix of the g-th group is
Figure FDA00026097246900000311
2. The multi-user hybrid linear nonlinear precoding method of claim 1, wherein:
in step 4, the nonlinear precoding method in the second layer group is as follows:
step A, calculating the signal-to-interference ratio of a g group of users k:
Figure FDA00026097246900000312
selecting users according to the signal-to-interference ratio in the g-th group, arranging the users in the group according to the descending order of the signal-to-interference ratio, and selecting the front LgThe individual users are used as service users of the g group;
wherein L isg=min(Kg,bg),KgIs the number of users of the g-th group, bgIs a dimension reduction matrix BgThe number of columns;
step B, within the g group, for the first L selected in step AgCarrying out THP precoding on each user;
step C, calculating the signals finally received by the users in the group g as:
Figure FDA0002609724690000041
wherein P is the total transmitting power of the base station, L is the number of scheduled users,
Figure FDA0002609724690000042
nga noise vector for serving users of the g-th group;
Πgis a weighting matrix;
Figure FDA0002609724690000043
and the transmission vectors obtained by the group g through THP precoding.
3. The multi-user hybrid linear nonlinear precoding method of claim 2, wherein: the THP precoding includes:
(i) and (3) calculating the equivalent channel matrix of the selected user k in the group g:
Hg,k=Hg,kBg
feeding back the equivalent channel matrix after dimension reduction to a base station end;
(ii) the equivalent channel matrix of the users in the g-th group is
Figure FDA0002609724690000044
To pair
Figure FDA0002609724690000045
Carrying out QR decomposition:
Figure FDA0002609724690000046
then there is a weighting matrix
Figure FDA0002609724690000047
Wherein,
Figure FDA0002609724690000048
is an element on the main diagonal of the matrix R, the feedback matrix phig=ΠgRg(:,1:Lg)HFeed forward matrix Fg=Qg
(iii) Original data signal
Figure FDA0002609724690000051
The sending signals obtained after the modulus taking and the continuous interference elimination are as follows:
Figure FDA0002609724690000052
wherein,
Figure FDA0002609724690000053
Figure FDA0002609724690000054
m is the modulation order of the original data signal,
Figure FDA0002609724690000055
and
Figure FDA0002609724690000056
respectively representing the extraction of real and imaginary parts of the complex numbers in brackets;
[xg]lthe vector is obtained after the signal of the first user of the g group is subjected to modulus extraction and continuous interference elimination;
(iv) the transmission vector obtained by THP precoding is:
Figure FDA0002609724690000057
CN201810202689.4A2018-03-122018-03-12Multi-user hybrid linear nonlinear precoding methodActiveCN108173585B (en)

Priority Applications (1)

Application NumberPriority DateFiling DateTitle
CN201810202689.4ACN108173585B (en)2018-03-122018-03-12Multi-user hybrid linear nonlinear precoding method

Applications Claiming Priority (1)

Application NumberPriority DateFiling DateTitle
CN201810202689.4ACN108173585B (en)2018-03-122018-03-12Multi-user hybrid linear nonlinear precoding method

Publications (2)

Publication NumberPublication Date
CN108173585A CN108173585A (en)2018-06-15
CN108173585Btrue CN108173585B (en)2020-12-01

Family

ID=62511030

Family Applications (1)

Application NumberTitlePriority DateFiling Date
CN201810202689.4AActiveCN108173585B (en)2018-03-122018-03-12Multi-user hybrid linear nonlinear precoding method

Country Status (1)

CountryLink
CN (1)CN108173585B (en)

Families Citing this family (3)

* Cited by examiner, † Cited by third party
Publication numberPriority datePublication dateAssigneeTitle
CN111224697A (en)2018-11-272020-06-02索尼公司Electronic device, method, and storage medium for wireless communication system
CN109787665B (en)*2019-02-262020-11-06上海交通大学Method and system for grouping and precoding massive MIMO (multiple input multiple output) users in stratosphere
CN114448481B (en)*2022-01-202023-05-05重庆工程学院Large-scale MIMO precoding method based on user scheduling under Internet of vehicles

Family Cites Families (5)

* Cited by examiner, † Cited by third party
Publication numberPriority datePublication dateAssigneeTitle
CN105027457B (en)*2013-05-102018-05-29华为技术有限公司 Method for determining precoding matrix indication, user equipment and base station
CN104901736B (en)*2015-05-192018-10-16华中科技大学Downlink transmission method based on statistic channel information under a kind of extensive antenna scene
CN106330271B (en)*2015-06-192019-11-26中国移动通信集团公司The nonopiate sending method of multi-antenna multi-user, base station, blind checking method, terminal
CN106060950B (en)*2016-05-252019-09-10重庆邮电大学It is a kind of that data transmission method in the cellular downlink channel of alignment is interfered based on chance
CN107086886B (en)*2017-04-142020-06-16重庆邮电大学Double-layer precoding design for large-scale MIMO system fusion zero forcing and Taylor series expansion

Also Published As

Publication numberPublication date
CN108173585A (en)2018-06-15

Similar Documents

PublicationPublication DateTitle
CN100574145C (en)The method and apparatus of transmission/reception data in multiple-input-multiple-output communication system
CN101394254B (en)Linear pre-coding method in multi-user MIMO system
JP5666581B2 (en) Precoding method for transmitter of MU-MIMO communication system
CN102893537A (en)Alternate feedback types for downlink multiple user mimo configurations
Zhang et al.Near-optimal design for hybrid beamforming in mmWave massive multi-user MIMO systems
CN108063634B (en) An optimal regularized precoding method for low-precision quantized massive MIMO
CN104486044A (en)Broadband module mixing pretreatment method for large-scale MIMO system
CN107086886A (en) Double-layer precoding design for massive MIMO system combining zero-forcing and Taylor series expansion
CN110943767B (en) Precoding Design Method Based on Channel Partial Reciprocity in FDD Massive MIMO System
CN103825678A (en)Three-dimensional multi-user multi-input and multi-output (3D MU-MIMO) precoding method based on Khatri-Rao product
CN108173585B (en)Multi-user hybrid linear nonlinear precoding method
CN104158573A (en)Precoding method and precoding system for eliminating interference
CN102404031A (en)Self-adaptive user scheduling method based on maximum throughput
CN104168091A (en)Multicast-service-oriented multi-antenna grouping pre-coding method
CN101378282B (en)Method and apparatus for processing signal of multi-input multi-output system
CN101378281B (en)Method and apparatus for processing signal of multi-input multi-output system
CN112702092B (en)Channel estimation method in FDD downlink multi-user large-scale MIMO system
CN107659348B (en)SLNR and THP mixed adaptive precoding design method
CN102104879B (en)Multi-cell cooperative transmission method
Jung et al.Zero-forcing beamforming with user grouping in spatially correlated channel environments
CN104753573A (en)Space division multiplexing implementation method, system, base station and terminal
Kammoun et al.Asymptotic analysis of regularized zero-forcing in double scattering channels
CN110445519B (en)Method and device for resisting inter-group interference based on signal-to-interference-and-noise ratio constraint
Saatlou et al.User selection for MU-MIMO based on channel estimation and spatial orthogonality
Sun et al.Beamforming design via deep learning for underwater acoustic communications

Legal Events

DateCodeTitleDescription
PB01Publication
SE01Entry into force of request for substantive examination
SE01Entry into force of request for substantive examination
GR01Patent grant
GR01Patent grant

[8]ページ先頭

©2009-2025 Movatter.jp