




技术领域technical field
本发明涉及一种气溶胶检测仪,尤其是一种气溶胶颗粒物形状与荧光检测仪。The invention relates to an aerosol detector, in particular to an aerosol particle shape and fluorescence detector.
背景技术Background technique
随着我国经济的高速发展,区域性大气气溶胶污染不断加重,一些城市经常出现长时间的雾霾天气,对公众的健康产生了严重的威胁,气溶胶污染已成为热点问题之一。大气气溶胶具有种类繁多的性质,不同种类的气溶胶粒子一般具有不同的粒形,较为简单的粒形包括球形(水滴或油滴)或条形(玻璃纤维)等,许多粒子具有较为复杂的形状,如石棉纤维、规则或不规则的晶体粒子等。With the rapid development of my country's economy, regional atmospheric aerosol pollution continues to increase, and long-term haze weather often occurs in some cities, posing a serious threat to public health. Aerosol pollution has become one of the hot issues. Atmospheric aerosols have a wide variety of properties. Different types of aerosol particles generally have different particle shapes. Simpler particle shapes include spherical (water droplets or oil droplets) or strips (glass fibers). shape, such as asbestos fibers, regular or irregular crystal particles, etc.
空气中有各种各样的悬浮粒子,既有非生物粒子,也有生物粒子,还有生物粒子与非生物粒子吸附在一起的复合体,空气中生物颗粒是导致感染和疾病传播的根源,生物粒子细胞内含有蛋白质、核黄素、氨基酸、酶类等多种成分,其中有些具有标志其固有荧光的特定的激发和发射光谱。核黄素(俗称维生素B2)是一种典型的芳香族荧光物质,所有的活细菌和细菌芽孢都含有核黄素,其激发峰值在325-410nm,荧光发射在480-560nm之间,荧光强度可以作为判断其是否为生物颗粒的依据之一。There are all kinds of suspended particles in the air, including non-biological particles, biological particles, and complexes of biological particles and non-biological particles adsorbed together. Biological particles in the air are the root cause of infection and disease transmission. Particle cells contain proteins, riboflavin, amino acids, enzymes and other components, some of which have specific excitation and emission spectra that mark their intrinsic fluorescence. Riboflavin (commonly known as vitamin B2) is a typical aromatic fluorescent substance, all live bacteria and bacterial spores contain riboflavin, its excitation peak is at 325-410nm, fluorescence emission is between 480-560nm, and the fluorescence intensity It can be used as one of the basis for judging whether it is a biological particle.
目前,人们为了快速、连续地识别气溶胶的种类作了一些有益的尝试和努力,如中国发明专利申请CN 105403489 A于2016年3月16日公布的本申请人的一种大气颗粒物的粒径与形状测量装置。该发明专利申请记载的测量装置由气溶胶束流进出样部件、光学采样部件和控制处理部件组成,其中,光学采样部件中的气溶胶形状光学采样器的采样光路位于气溶胶粒径光学采样器采样光路的下方;测量时,在控制处理部件的控制下,气溶胶束流进出样部件将大气中的气溶胶粒子以单个顺序排队的方式引进测量区后,先由气溶胶粒径光学采样器获得待测气溶胶粒子的空气动力学直径的信息,再由气溶胶形状光学采样器获得待测气溶胶粒子的形状信息。这种装置虽可用于对气溶胶颗粒物的粒径和形状进行实时的探测,却也存在着欠缺之处——不能同时探测气溶胶颗粒物的形状、尺寸和其特征荧光。At present, people have made some beneficial attempts and efforts to quickly and continuously identify the types of aerosols, such as the applicant's particle size of atmospheric particulate matter published on March 16, 2016 in Chinese invention patent application CN 105403489 A with shape measuring device. The measurement device described in the patent application for this invention is composed of aerosol beam flow in-out part, optical sampling part and control processing part, wherein the sampling optical path of the aerosol shape optical sampler in the optical sampling part is located in the aerosol particle size optical sampler Below the sampling optical path; during measurement, under the control of the control processing component, the aerosol beam flows into and out of the sample component to introduce the aerosol particles in the atmosphere into the measurement area in a single sequence, and the aerosol particle size optical sampler Obtain the information of the aerodynamic diameter of the aerosol particles to be measured, and then obtain the shape information of the aerosol particles to be measured by the aerosol shape optical sampler. Although this device can be used for real-time detection of the particle size and shape of aerosol particles, it also has shortcomings—it cannot simultaneously detect the shape, size and characteristic fluorescence of aerosol particles.
发明内容SUMMARY OF THE INVENTION
本发明要解决的技术问题为克服现有技术中的欠缺之处,提供一种结构合理、实用,能同时测定同一单个气溶胶粒子的形状、尺寸和荧光特性的气溶胶颗粒物形状与荧光检测仪。The technical problem to be solved by the present invention is to overcome the deficiencies in the prior art, and to provide a reasonable and practical aerosol particle shape and fluorescence detector capable of simultaneously measuring the shape, size and fluorescence characteristics of the same single aerosol particle .
为解决本发明的技术问题,所采用的技术方案为,气溶胶颗粒物形状与荧光检测仪由连接的气溶胶束流进出样部件、光学采样部件和控制处理部件组成,特别是:In order to solve the technical problem of the present invention, the adopted technical scheme is that the aerosol particle shape and fluorescence detector are composed of connected aerosol beam flow in-out parts, optical sampling parts and control processing parts, especially:
所述光学采样部件由气溶胶形状采样组件和气溶胶荧光采样组件组成;The optical sampling component is composed of an aerosol shape sampling assembly and an aerosol fluorescence sampling assembly;
所述气溶胶形状采样组件为红色激光器及其光路上依次置有的红色激光整形透镜组、气溶胶测量作用区、红色激光吸收器、红色激光线滤光片、方位角选通器、散射光耦合透镜组、滤波光阑、散射光分束聚焦透镜组和三路光电探测阵面;The aerosol shape sampling component is a red laser and a red laser shaping lens group, an aerosol measurement action area, a red laser absorber, a red laser line filter, an azimuth angle gate, and scattered light sequentially arranged on its optical path. Coupling lens group, filter diaphragm, scattered light beam splitting focusing lens group and three-way photoelectric detection front;
所述气溶胶荧光采样组件由气溶胶荧光激发器件和气溶胶荧光测量器件组成,其中,The aerosol fluorescence sampling assembly is composed of an aerosol fluorescence excitation device and an aerosol fluorescence measurement device, wherein,
气溶胶荧光激发器件为紫外激光器及其光路上依次置有的紫外激光整形透镜组、气溶胶测量作用区和紫外激光吸收器,The aerosol fluorescence excitation device is an ultraviolet laser and an ultraviolet laser shaping lens group, an aerosol measurement action area and an ultraviolet laser absorber sequentially arranged on the optical path.
气溶胶荧光测量器件为光电探测器及其接收光路上依次置有的光阑、荧光耦合透镜组和带通滤光片组,其中的荧光耦合透镜组的一个焦点位于光电探测器处、另一个焦点位于气溶胶测量作用区;The aerosol fluorescence measuring device is a photodetector and a diaphragm, a fluorescent coupling lens group and a bandpass filter group arranged in sequence on the photodetector and its receiving light path, wherein one focus of the fluorescent coupling lens group is located at the photodetector, and the other is located at the photodetector. The focus is in the aerosol measurement area;
所述三路光电探测阵面的输出端、光电探测器的输出端与控制处理部件的输入端电连接,控制处理部件的输出端与紫外激光器的控制端电连接,用于当气溶胶形状采样组件获得的气溶胶的形状信息为非球形或尺寸信息≥1μm时,启动紫外激光器3工作,以同时获得气溶胶的荧光信息。The output end of the three-way photoelectric detection front and the output end of the photodetector are electrically connected to the input end of the control processing component, and the output end of the control processing component is electrically connected to the control end of the ultraviolet laser, and is used for sampling the shape of the aerosol. When the shape information of the aerosol obtained by the assembly is non-spherical or the size information is greater than or equal to 1 μm, the
作为气溶胶颗粒物形状与荧光检测仪的进一步改进:As a further improvement of the aerosol particle shape and fluorescence detector:
优选地,红色激光器为输出波长650nm或635nm的半导体连续激光器。Preferably, the red laser is a semiconductor continuous laser with an output wavelength of 650 nm or 635 nm.
优选地,红色激光线滤光片的透射波长为650nm或635nm。Preferably, the transmission wavelength of the red laser line filter is 650 nm or 635 nm.
优选地,方位角选通器为其上置有等方位角设置的三只通光孔的遮光板。Preferably, the azimuth angle gate is a light-shielding plate with three light-transmitting holes arranged at equal azimuth angles on it.
优选地,散射光分束聚焦透镜组为位于三只通光孔后续光路上的三只分束透镜。Preferably, the scattered light beam splitting focusing lens group is three beam splitting lenses located on the subsequent optical paths of the three light-passing holes.
优选地,三路光电探测阵面为分别位于三只分束透镜焦点处的三只光电倍增管。Preferably, the three photodetector fronts are three photomultiplier tubes respectively located at the focal points of the three beam splitting lenses.
优选地,紫外激光器为输出波长349nm的脉冲激光器。Preferably, the ultraviolet laser is a pulsed laser with an output wavelength of 349 nm.
优选地,带通滤光片组的透射波长为420-600nm。Preferably, the transmission wavelength of the bandpass filter set is 420-600 nm.
优选地,气溶胶束流进出样部件的组成为,六面棱柱腔的上端置有气溶胶束流进样口、下端置有气溶胶束流抽气出口,位于两者间的气溶胶测量作用区中的待测气溶胶粒子的采样流量为1-1.2L/min。Preferably, the aerosol beam flow inlet and outlet components are composed of an aerosol beam flow inlet at the upper end of the hexagonal prism cavity, an aerosol beam flow suction outlet at the lower end, and an aerosol measurement function located between the two. The sampling flow rate of the aerosol particles to be measured in the zone is 1-1.2 L/min.
优选地,红色激光器的红色激光束的焦点位于气溶胶束流进样口的下端0.5-1mm处,紫外激光器的紫外激光束的焦点位于红色激光束焦点的下方0.2-0.4mm处。Preferably, the focus of the red laser beam of the red laser is located at 0.5-1 mm at the lower end of the aerosol beam flow injection port, and the focus of the ultraviolet laser beam of the ultraviolet laser is located 0.2-0.4 mm below the focus of the red laser beam.
相对于现有技术的有益效果是:The beneficial effects relative to the prior art are:
采用这样的结构后,本发明对同一单个气溶胶粒子的形状、尺寸和荧光特性能同时实时测定,尤为通过测定的荧光强度可以判断出其是否为对人们的健康产生严重威胁的根源——生物气溶胶。After adopting such a structure, the present invention can simultaneously measure the shape, size and fluorescence characteristics of the same single aerosol particle in real time, especially through the measured fluorescence intensity, it can be judged whether it is the source of serious threat to people's health - biological Aerosol.
本发明将探测同一单个气溶胶粒子的形状、尺寸和荧光特性进行有机的结合,并基于对形状参数和尺寸参数的判断,既减小了环境背景颗粒物——球形液滴和较小尺寸粒子的干扰,又提高了气溶胶类别检测的效率,从而极大地提升了对生物气溶胶的检测与识别能力;使其在环境大气污染探测,尤其是人为致病气溶胶的探测方面,有着广泛的应用前景。The invention organically combines the shape, size and fluorescence characteristics of the detection of the same single aerosol particle, and based on the judgment of the shape parameters and size parameters, it not only reduces the environmental background particles - spherical droplets and smaller size particles It also improves the efficiency of aerosol category detection, thereby greatly improving the detection and identification capabilities of biological aerosols; it has a wide range of applications in the detection of environmental air pollution, especially the detection of human pathogenic aerosols prospect.
附图说明Description of drawings
图1是本发明的一种基本结构示意图。FIG. 1 is a schematic diagram of a basic structure of the present invention.
图2是本发明中气溶胶束流进出样部件的一种基本结构示意图。Fig. 2 is a schematic diagram of a basic structure of the aerosol beam flowing in and out of the sample part in the present invention.
图3是本发明探测气溶胶单个粒子后获取的四路光散射信号图之一。图中的曲线30-1、曲线30-2和曲线30-3分别为气溶胶形状采样组件中的三只光电倍增管的输出;曲线30为气溶胶形状采样组件中三只光电倍增管输出的总和;曲线40为气溶胶荧光测量器件中的光电探测器的输出。FIG. 3 is one of the four-way light scattering signal diagrams obtained after detecting a single aerosol particle according to the present invention. Curve 30-1, curve 30-2 and curve 30-3 in the figure are the outputs of the three photomultiplier tubes in the aerosol shape sampling assembly respectively; the
图4是本发明实测气溶胶粒子形状的结果图之一。FIG. 4 is one of the results of the actual measurement of the shape of the aerosol particles according to the present invention.
图5是本发明实测气溶胶粒子荧光的结果图之一。由其可看出,当被测气溶胶粒子——核黄素气溶胶粒子的形状为非球形时,其荧光强度非常强且分布宽,最大可达到64通道。FIG. 5 is one of the results of the actual measurement of the fluorescence of aerosol particles according to the present invention. It can be seen that when the measured aerosol particle, the riboflavin aerosol particle, has a non-spherical shape, its fluorescence intensity is very strong and widely distributed, and the maximum can reach 64 channels.
具体实施方式Detailed ways
下面结合附图对本发明的优选方式作进一步详细的描述。The preferred modes of the present invention will be described in further detail below with reference to the accompanying drawings.
参见图1和图2,气溶胶颗粒物形状与荧光检测仪的构成如下:Referring to Figure 1 and Figure 2, the composition of the aerosol particle shape and fluorescence detector is as follows:
检测仪由连接的气溶胶束流进出样部件、光学采样部件和控制处理部件组成,其中:The detector is composed of connected aerosol beam flow in and out parts, optical sampling parts and control processing parts, among which:
气溶胶束流进出样部件的组成为,六面棱柱溶胶测量作用区5中的待测气溶胶粒子22的采样流量为1(可为1-1.2)L/min。The composition of the aerosol beam flowing in and out of the sample part is that the sampling flow rate of the
红色激光器1的红色激光束19的焦点位于气溶胶束流进样口21的下端0.8(可为0.5-1)mm处,紫外激光器3的紫外激光束20的焦点位于红色激光束19焦点的下方0.3(可为0.2-0.4)mm处。The focus of the
光学采样部件由气溶胶形状采样组件和气溶胶荧光采样组件组成;其中的,The optical sampling component is composed of an aerosol shape sampling component and an aerosol fluorescence sampling component; among them,
气溶胶形状采样组件为红色激光器1及其光路上依次置有的红色激光整形透镜组2、气溶胶测量作用区5、红色激光吸收器8、红色激光线滤光片9、方位角选通器10、散射光耦合透镜组11、滤波光阑12、散射光分束聚焦透镜组13和三路光电探测阵面14。其中,红色激光器1为输出波长650(或635)nm的半导体连续激光器;红色激光线滤光片9的透射波长为650(或635)nm;方位角选通器10为其上置有等方位角设置的三只通光孔的遮光板;散射光分束聚焦透镜组13为位于三只通光孔后续光路上的三只分束透镜;三路光电探测阵面14为分别位于三只分束透镜焦点处的三只光电倍增管。The aerosol shape sampling component is a red laser 1 and a red laser
气溶胶荧光采样组件由气溶胶荧光激发器件和气溶胶荧光测量器件组成;其中,The aerosol fluorescence sampling component is composed of an aerosol fluorescence excitation device and an aerosol fluorescence measurement device; wherein,
气溶胶荧光激发器件为紫外激光器3及其光路上依次置有的紫外激光整形透镜组4、气溶胶测量作用区5和紫外激光吸收器7。其中,紫外激光器3为输出波长349nm的脉冲激光器。The aerosol fluorescence excitation device is an
气溶胶荧光测量器件为光电探测器18及其接收光路上依次置有的光阑17、荧光耦合透镜组16和带通滤光片组15。其中,荧光耦合透镜组16的一个焦点位于光电探测器18处、另一个焦点位于气溶胶测量作用区5;带通滤光片组15的透射波长为420-600nm。The aerosol fluorescence measuring device is a
控制处理部件为计算机,其输入端与三路光电探测阵面14的输出端、光电探测器18的输出端电连接,输出端与紫外激光器3的控制端电连接。The control processing part is a computer, and its input end is electrically connected to the output end of the three-way
气溶胶颗粒物形状与荧光检测仪的测量过程及其结果参见图1、图2、图3、图4和图5。The measurement process and results of the aerosol particle shape and fluorescence detector are shown in Figure 1, Figure 2, Figure 3, Figure 4 and Figure 5.
在控制处理部件的控制之下,含有待测气溶胶粒子22的束流自气溶胶束流进样口21流出,经过气溶胶测量作用区5后,由气溶胶束流抽气出口23被泵出。Under the control of the control processing component, the beam containing the
含有待测气溶胶粒子22的束流在途经气溶胶测量作用区5时,其中的待测气溶胶粒子22首先与气溶胶形状采样组件的红色激光整形透镜组2输出的红色激光束19作用,其散射光经红色激光线滤光片9滤除干扰光后,通过方位角选通器10上等方位角设置的三只通光孔选通透射,再经散射光耦合透镜组11、滤波光阑12和散射光分束聚焦透镜组13到达三路光电探测阵面14,由三路光电探测阵面14将其转化为如图3中的曲线30-1、曲线30-2和曲线30-3所示的电信号。该三路光电探测阵面14输出总和的电信号如曲线30所示。When the beam containing the
之后,待测气溶胶粒子22于气溶胶测量作用区5中继续向下运动,途经气溶胶荧光激发器件的紫外激光整形透镜组4输出的紫外激光束20的焦点中时,紫外激光作用于待测气溶胶粒子22,使其产生荧光。该荧光被气溶胶荧光测量器件中的荧光耦合透镜组16收集并送至光电探测器18,由光电探测器18将其转化为如图3中的曲线40所示的电信号。After that, the
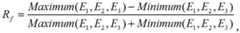
控制处理部件收到信号30-1、信号30-2和信号30-3后,先基于这三只光电倍增管输出的电信号和其相对的位置信息,由公式After the control processing unit receives the signal 30-1, the signal 30-2 and the signal 30-3, based on the electrical signals output by the three photomultiplier tubes and their relative position information, formula
式中的E1、E2、E3分别为三只光电倍增管输出的电信号强度,得出待测气溶胶粒子22的形状,即,当待测气溶胶粒子22的形状为球形时,因为E1=E2=E3,则Rf=0;当待测气溶胶粒子22的形状为非球形粒子时,粒子的纵横比越大,则Rf值就越大。本发明采用的是三个像元光电倍增管来探测信号强度值,以计算变化因子Rf。如图4所示,本发明实测多分散性油酸及核黄素气溶胶粒子的结果为,油酸(球形)气溶胶粒子的Rf值的中心为10,其Rf范围在0-25之间;核黄素(非球形)气溶胶粒子Rf值的中心为80,Rf范围在30-90之间。In the formula, E1 , E2 , and E3 are the electrical signal intensities output by the three photomultiplier tubes, respectively, and the shape of the
控制处理部件再根据三只光电倍增管输出的总和——如图3中的曲线30所示,来参照气溶胶标准粒子的粒径得出待测气溶胶粒子22的粒径。The control and processing component then obtains the particle size of the
当测定的待测气溶胶粒子22的形状信息为非球形或尺寸信息≥1μm时,控制处理部件启动紫外激光器3工作,以由光电探测器18处得到如图3中的曲线40所示的电信号,并由其得出气溶胶的荧光信息。When the measured shape information of the
显然,本领域的技术人员可以对本发明的气溶胶颗粒物形状与荧光检测仪进行各种改动和变型而不脱离本发明的精神和范围。这样,倘若对本发明的这些修改和变型属于本发明权利要求及其等同技术的范围之内,则本发明也意图包含这些改动和变型在内。Obviously, those skilled in the art can make various changes and modifications to the aerosol particle shape and fluorescence detector of the present invention without departing from the spirit and scope of the present invention. Thus, provided that these modifications and variations of the present invention fall within the scope of the claims of the present invention and their equivalents, the present invention is also intended to include these modifications and variations.
| Application Number | Priority Date | Filing Date | Title |
|---|---|---|---|
| CN201711364267.9ACN108169084B (en) | 2017-12-18 | 2017-12-18 | Aerosol particle shape and fluorescence detector |
| Application Number | Priority Date | Filing Date | Title |
|---|---|---|---|
| CN201711364267.9ACN108169084B (en) | 2017-12-18 | 2017-12-18 | Aerosol particle shape and fluorescence detector |
| Publication Number | Publication Date |
|---|---|
| CN108169084A CN108169084A (en) | 2018-06-15 |
| CN108169084Btrue CN108169084B (en) | 2021-04-20 |
| Application Number | Title | Priority Date | Filing Date |
|---|---|---|---|
| CN201711364267.9AExpired - Fee RelatedCN108169084B (en) | 2017-12-18 | 2017-12-18 | Aerosol particle shape and fluorescence detector |
| Country | Link |
|---|---|
| CN (1) | CN108169084B (en) |
| Publication number | Priority date | Publication date | Assignee | Title |
|---|---|---|---|---|
| CN109957496A (en)* | 2019-04-17 | 2019-07-02 | 苏州雅睿生物技术有限公司 | Portable PCR real-time fluorescence detection system |
| CN110967284A (en)* | 2019-05-17 | 2020-04-07 | 南京工业大学 | Double-channel bioaerosol real-time monitor |
| CN111504869B (en)* | 2020-05-15 | 2021-06-08 | 中国计量科学研究院 | Flow type aggregate impurity analyzer |
| CN114965182A (en)* | 2021-03-25 | 2022-08-30 | 中国人民解放军军事科学院军事医学研究院 | Double-channel biological aerosol particle identification system and identification method |
| Publication number | Priority date | Publication date | Assignee | Title |
|---|---|---|---|---|
| CN102519850B (en)* | 2011-11-07 | 2013-04-24 | 南通大学 | Optical sensor capable of detecting granularity and shape feature of particles in real time |
| CN105403489B (en)* | 2015-12-17 | 2017-12-22 | 中国科学院合肥物质科学研究院 | The particle diameter and form measuring instrument of Atmospheric particulates |
| Publication number | Publication date |
|---|---|
| CN108169084A (en) | 2018-06-15 |
| Publication | Publication Date | Title |
|---|---|---|
| CN108169084B (en) | Aerosol particle shape and fluorescence detector | |
| EP3183555B1 (en) | Devices, systems and methods for detecting particles | |
| CN104849444B (en) | Cell counting device and method for simultaneous measurement of fluorescence and occlusion | |
| US9739700B2 (en) | Method for detecting nano-particles using a lens imaging system with a field stop | |
| JP2019520551A (en) | Real-time optical system method and system for detecting and classifying biological and non-biological particles | |
| CN103940709A (en) | Real-time microbial particle counter | |
| CN104807738B (en) | Device for detecting shapes of single aerosol particles in real time | |
| CN108375530A (en) | Laser-induced fluorescence-based bioaerosol real-time detection method and device | |
| CN105910968A (en) | Bioaerosol laser monitoring and early warning and identification device and method | |
| CN106483052A (en) | A kind of PM2.5 detector based on light scattering method | |
| CN101498646A (en) | Forward-scattering signal inspection device and method, cell or particle analyzer | |
| CN104833620B (en) | A kind of monitoring device of atmosphere particle concentration | |
| CN102012368A (en) | Up-conversion luminescent particle multi-parameter detection system and method | |
| CN105628658A (en) | Optical detection system for bioaerosol and detection method | |
| CN103487359A (en) | Full-automatic measuring device for form and distribution of laser excitated cells and particles | |
| CN105403489A (en) | Apparatus for measuring particle size and shape of atmospheric particulate matters | |
| CN115266491A (en) | Method and device for online detection of microorganisms in water | |
| CN103822868A (en) | A device for detecting particle size of phytoplankton in seawater and its detection method | |
| CN206557053U (en) | A kind of oil quality detection means | |
| CN114088622A (en) | A near-ultraviolet laser-induced chlorophyll fluorescence detection device and method for water algae concentration | |
| CN103293089A (en) | Reticulocyte analyzer | |
| CN206420774U (en) | A kind of air microbe device for fast detecting | |
| CN201130141Y (en) | Dust Particle Counter Optical Sensor | |
| CN105259143A (en) | Rapid microorganism detection equipment based on Mie scattering and spatial light modulator | |
| CN203908913U (en) | Real-time counter for microbe particles |
| Date | Code | Title | Description |
|---|---|---|---|
| PB01 | Publication | ||
| PB01 | Publication | ||
| SE01 | Entry into force of request for substantive examination | ||
| SE01 | Entry into force of request for substantive examination | ||
| GR01 | Patent grant | ||
| GR01 | Patent grant | ||
| CF01 | Termination of patent right due to non-payment of annual fee | Granted publication date:20210420 | |
| CF01 | Termination of patent right due to non-payment of annual fee |