Movatterモバイル変換


[0]ホーム

URL:


CN108154537B - Correction method of large-visual-field rapid detection system - Google Patents

Correction method of large-visual-field rapid detection system
Download PDF

Info

Publication number
CN108154537B
CN108154537BCN201711416063.5ACN201711416063ACN108154537BCN 108154537 BCN108154537 BCN 108154537BCN 201711416063 ACN201711416063 ACN 201711416063ACN 108154537 BCN108154537 BCN 108154537B
Authority
CN
China
Prior art keywords
correction
visual
upper computer
detection system
rapid detection
Prior art date
Legal status (The legal status is an assumption and is not a legal conclusion. Google has not performed a legal analysis and makes no representation as to the accuracy of the status listed.)
Active
Application number
CN201711416063.5A
Other languages
Chinese (zh)
Other versions
CN108154537A (en
Inventor
陈叶金
Current Assignee (The listed assignees may be inaccurate. Google has not performed a legal analysis and makes no representation or warranty as to the accuracy of the list.)
Nanjing Xinyecheng Intelligent Technology Co ltd
Original Assignee
Nanjing Xinyecheng Intelligent Technology Co ltd
Priority date (The priority date is an assumption and is not a legal conclusion. Google has not performed a legal analysis and makes no representation as to the accuracy of the date listed.)
Filing date
Publication date
Application filed by Nanjing Xinyecheng Intelligent Technology Co ltdfiledCriticalNanjing Xinyecheng Intelligent Technology Co ltd
Priority to CN201711416063.5ApriorityCriticalpatent/CN108154537B/en
Publication of CN108154537ApublicationCriticalpatent/CN108154537A/en
Application grantedgrantedCritical
Publication of CN108154537BpublicationCriticalpatent/CN108154537B/en
Activelegal-statusCriticalCurrent
Anticipated expirationlegal-statusCritical

Links

Images

Classifications

Landscapes

Abstract

The invention discloses a correction method of a large-visual-field rapid detection system, which belongs to the technical field of image measurement and comprises the steps of establishing the large-visual-field rapid detection system, using a glass plate of a micron-sized array circle as a correction sheet, obtaining a pixel coordinate value of the circle center of the array circle of the correction sheet, calculating a measured value of a world coordinate system of the circle center of the array circle of the correction sheet by adopting an approximation function, and solving the technical problem of image breadth correction in the large-visual-field rapid detection system by approximating the error value of the measured value of the world coordinate system of the circle center of the array circle and an actual value to the required precision; the invention can finish the correction of the error of the single hardware of the whole system and the error in the combination process at one time through one-time correction, thereby avoiding the complexity of multiple corrections, and the correction precision can be approximated by adjusting the order of the correction algorithm according to the actual requirement; the invention can save the correction coefficient, and the correction is not needed again as long as the charge-coupled device of the system imaging component and the lens are relatively unchanged.

Description

Correction method of large-visual-field rapid detection system
Technical Field
The invention belongs to the field of image measurement, and particularly relates to a correction method of a large-visual-field rapid detection system.
Background
With the rapid development of industry 4.0, the precision detection industry is increasingly required to develop in a rapid and accurate direction, and the precision detection industry is used as three major components for image measurement: the charge coupled devices, lenses, and light sources are also beginning to develop towards large fields of view. Charge coupled devices have evolved from the traditional million to the million, billion pixels; the lens field of vision also develops from millimeter level to hundreds of millimeters; lamp sources are also beginning to evolve in the direction of large area arrays.
The development of the above technologies brings a qualitative leap for the precision detection industry, a piece of glass with the traditional detection efficiency of 4.3 inches needs more than 1 minute, but the whole detection efficiency is shortened to less than 3 seconds due to the large visual field, and the large visual field also brings several problems:
1. the single pixel resolution is reduced;
2. within the field range, the precision grades of all the areas are different;
3. the traditional linear correction approach has not been suitable for use in this system.
Disclosure of Invention
The invention aims to provide a correction method of a large-visual-field quick detection system, which solves the technical problem of breadth correction of an image in the large-visual-field quick detection system.
In order to achieve the purpose, the invention adopts the following technical scheme:
a correction method of a large-visual-field rapid detection system comprises the following steps:
step 1: establishing a large-visual-field rapid detection system, wherein the large-visual-field rapid detection system comprises a camera for product imaging, a telecentric lens, a correction sheet, a jig platform module, a bracket, a parallel backlight source for increasing light intensity and an image processing module for communicating with an upper computer;
step 2: sequentially mounting a camera, a telecentric lens, a correcting piece, a jig platform module and a parallel backlight source on a bracket from top to bottom; the correcting sheet is a glass plate with a micron-sized array circle;
and step 3: the image processing module is connected with an upper computer;
and 4, step 4: the large-visual-field rapid detection system acquires a picture of the correction sheet and transmits the picture to the upper computer;
and 5: the upper computer performs correction steps as follows:
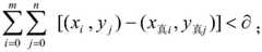
step A: the upper computer processes the acquired picture of the correction sheet, takes the array circle on the correction sheet as a processing object, and obtains the image coordinate value (u) of the center of the array circle of the correction sheet in the picturei,vj) Setting (x)i,yj) A measurement of the world coordinate system as the center of the circle of the correction chip array, f (x)i,yj) To approximate the function, set (x)True i,yTrue j) For correcting the actual value of the world coordinate system of the center of the array circle of the chip, the upper computer calculates the deviation and derivation of all the array centers according to the following formula to make the error value approximate to the required precision, thereby calculating (x)i,yj):
Figure GDA0002410550400000021
Wherein
Figure GDA0002410550400000022
For the required precision, i and j are respectively the row number and the column number of the array circle;
and B: the upper computer calculates a binomial multi-order coefficient A according to the following formula:
Figure GDA0002410550400000023
wherein n and m are orders and integers, n is more than or equal to 1 and less than or equal to 5, and m is less than n;
step 6: the upper computer judges whether the correction is the first correction: if yes, executing step 7; if not, executing step 8;
and 7: using an approximation function f (x)i,yj)Step 5, performing correction calculation according to the method instep 5 to obtain a correction result, that is, calculating a binomial multi-order coefficient a, and performing step 9;
and 8: increasing the approximation function f (x)i,yj) Increasing the value of n, performing correction calculation according to the method in thestep 5 to obtain a correction result, namely calculating a binomial multi-order coefficient A, and executing a step 9;
and step 9: and judging a correction result: meeting less than required precision
Figure GDA0002410550400000032
Performing step 10; precision less than required
Figure GDA0002410550400000031
Performingstep 6;
step 10: the upper computer corrects the image of the large-visual-field rapid detection system according to the position coordinates of the correction sheet:
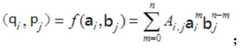
firstly, a large-visual-field rapid detection system collects an image, an upper computer processes the collected image, and then the coordinate of any point on the collected image is set as (a)i,bj) The upper computer calculates the measurement coordinate (q) of the point according to the following formulai,qj):
Figure GDA0002410550400000041
Wherein i and j are the row number and the column number of the array circle respectively;
step 11: and the upper computer generates a correction document according to the method from the step 4 to the step 10 and stores the correction document.
The camera is a 2900W pixel CCD camera; the telecentric lens is a field lens of 192mm multiplied by 168 mm; the parallel backlight is a 172mm by 172mm parallel backlight.
Accuracy of the demand
Figure GDA0002410550400000042
Is a set precision.
The image processing module is an ARM9 controller.
The correction method of the large-visual-field rapid detection system solves the technical problem of breadth correction of images in the large-visual-field rapid detection system; the invention can finish the correction of the error of the single hardware of the whole system and the error in the combination process at one time through one-time correction, thereby avoiding the complexity of multiple corrections, and the correction precision can be approximated by adjusting the order of the correction algorithm according to the actual requirement; the invention can save the correction coefficient, and the correction is not needed again as long as the charge-coupled device of the system imaging component and the lens are relatively unchanged; the invention can ensure the precision of each area in the visual field to reach the expected level.
Drawings
FIG. 1 is a schematic structural diagram of a calibration mode of the large-field rapid detection system according to the present invention;
FIG. 2 is a flow chart of the present invention;
in the figure:camera 1,telecentric lens 2,correction piece 3, tool platform module 4,parallel backlight 5,support 6.
Detailed Description
The calibration method of the large-field-of-view rapid detection system shown in fig. 1-2 is characterized in that: the method comprises the following steps:
step 1: establishing a large-visual-field rapid detection system, wherein the large-visual-field rapid detection system comprises an ultrahigh-resolution camera 1 for product imaging, a large-visual-fieldtelecentric lens 2, acorrection sheet 3, a jig platform module 4, asupport 6, aparallel backlight source 5 for increasing light intensity and an image processing module for communicating with an upper computer; thesupport 6 is a column and base module installation module.
The large-visual-field rapid detection system is full-size detection equipment of an LPA series.
Step 2: thecamera 1, thetelecentric lens 2, the correctingsheet 3, the jig platform module 4 and theparallel backlight source 5 are sequentially arranged on thebracket 6 from top to bottom; thecorrection sheet 3 is a glass plate with a micron-sized array circle;
and step 3: the image processing module is connected with an upper computer;
and 4, step 4: the large-visual-field rapid detection system acquires a picture of thecorrection sheet 3 and transmits the picture to the upper computer;
and 5: the upper computer performs correction steps as follows:
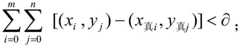
step A: the upper computer processes the acquired picture of thecorrection sheet 3, takes the array circle on thecorrection sheet 3 as a processing object, and obtains the image coordinate value (u) of the center of the array circle of thecorrection sheet 3 in the picturei,vj) Setting (x)i,yj) A measurement value f (x) of a world coordinate system which is the center of the array circle of thecorrection sheet 3i,yj) To approximate the function, set (x)True i,yTrue j) For the actual value of the world coordinate system of the center of the array circle of thecorrection sheet 3, the upper computer calculates the deviation and derivation of all the array centers according to the following formula to make the error value approximate to the required precision, thereby calculating (x)i,yj):
Figure GDA0002410550400000061
Wherein
Figure GDA0002410550400000062
For the required precision, i and j are respectively the row number and the column number of the array circle;
and B: the upper computer calculates a binomial multi-order coefficient A according to the following formula:
Figure GDA0002410550400000063
wherein n and m are orders and integers, n is more than or equal to 1 and less than or equal to 5, and m is less than n;
step 6: the upper computer judges whether the correction is the first correction: if yes, executing step 7; if not, executing step 8;
and 7: using an approximation function f (x)i,yj)Step 5, performing correction calculation according to the method instep 5 to obtain a correction result, that is, calculating a binomial multi-order coefficient a, and performing step 9;
and 8: increasing the approximation function f (x)i,yj) Increasing the value of n, performing correction calculation according to the method in thestep 5 to obtain a correction result, namely calculating a binomial multi-order coefficient A, and executing a step 9;
and step 9: and judging a correction result: meeting less than required precision
Figure GDA0002410550400000064
Performing step 10; precision less than required
Figure GDA0002410550400000065
Performingstep 6;
step 10: the upper computer corrects the image of the large-view rapid detection system according to the position coordinates of the correction sheet 3:
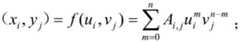
firstly, a large-visual-field rapid detection system collects an image, an upper computer processes the collected image, and then the coordinate of any point on the collected image is set as (a)i,bj) The upper computer calculates the measurement coordinate (q) of the point according to the following formulai,pj):
Figure GDA0002410550400000071
Wherein i and j are the row number and the column number of the array circle respectively;
step 11: and the upper computer generates a correction document according to the method from the step 4 to the step 10 and stores the correction document.
Thecamera 1 is a 2900W pixel CCD camera; thetelecentric lens 2 is a field lens of 192mm multiplied by 168 mm; theparallel backlight 5 is a 172mm by 172mmparallel backlight 5.
Accuracy of the demand
Figure GDA0002410550400000072
Is a set precision.
The image processing module is an ARM9 controller.
The correction method of the large-visual-field rapid detection system solves the technical problem of breadth correction of images in the large-visual-field rapid detection system; the invention can finish the correction of the error of the single hardware of the whole system and the error in the combination process at one time through one-time correction, thereby avoiding the complexity of multiple corrections, and the correction precision can be approximated by adjusting the order of the correction algorithm according to the actual requirement; the invention can save the correction coefficient, and the correction is not needed again as long as the charge-coupled device of the system imaging component and the lens are relatively unchanged; the invention can ensure the precision of each area in the visual field to reach the expected level.

Claims (4)

1. A correction method of a large-visual-field rapid detection system is characterized by comprising the following steps: the method comprises the following steps:
step 1: establishing a large-visual-field rapid detection system, wherein the large-visual-field rapid detection system comprises a camera (1) for product imaging, a telecentric lens (2), a correction sheet (3), a jig platform module (4), a bracket (6), a parallel backlight source (5) for increasing light intensity and an image processing module for communicating with an upper computer;
step 2: the camera (1), the telecentric lens (2), the correcting sheet (3), the jig platform module (4) and the parallel backlight source (5) are sequentially arranged on the bracket (6) from top to bottom; the correction sheet (3) is a micron-sized glass plate with an array circle;
and step 3: the image processing module is connected with an upper computer;
and 4, step 4: the large-visual-field rapid detection system acquires a picture of the correction sheet (3) and transmits the picture to the upper computer;
and 5: the upper computer performs correction steps as follows:
step A: the upper computer processes the acquired picture of the correction sheet (3), and the array circle on the correction sheet (3) is taken as a processing object to obtain the image coordinate value (u) of the center of the array circle of the correction sheet (3) in the picturei,vj) Setting (x)i,yj) Is a measurement value of a world coordinate system of the center of the array circle of the correction sheet (3), f (x)i,yj) To approximate the function, set (x)True i,yTrue j) For the actual value of the world coordinate system of the circle center of the array circle of the correction sheet (3), the upper computer calculates the deviation and the derivation of all the array circle centers according to the following formula to ensure that the error value approaches the required precision, thereby calculating (x)i,yj):
Figure FDA0002410550390000011
Wherein
Figure FDA0002410550390000021
For the required precision, i and j are respectively the row number and the column number of the array circle;
and B: the upper computer calculates a binomial multi-order coefficient A according to the following formula:
Figure FDA0002410550390000022
wherein n and m are orders and integers, n is more than or equal to 1 and less than or equal to 5, and m is less than or equal to n;
step 6: the upper computer judges whether the correction is the first correction: if yes, executing step 7; if not, executing step 8;
and 7: using an approximation function f (x)i,yj) Step 5, performing correction calculation according to the method in step 5 to obtain a correction result, that is, calculating a binomial multi-order coefficient a, and performing step 9;
and 8: increasing the approximation function f (x)i,yj) Increasing the value of n, and performing correction calculation according to the method in step 5 to obtain a correction result, i.e. calculating a binomial multi-order coefficientA, executing step 9;
and step 9: and judging a correction result: meeting less than required precision
Figure FDA0002410550390000024
Performing step 10; precision less than required
Figure FDA0002410550390000023
Performing step 6;
step 10: the upper computer corrects the image of the large-visual-field rapid detection system according to the position coordinates of the correction sheet (3):
firstly, a large-visual-field rapid detection system collects an image, an upper computer processes the collected image, and then the coordinate of any point on the collected image is set as (a)i,bj) The upper computer calculates the measurement coordinate (q) of the point according to the following formulai,pj):
Figure FDA0002410550390000031
Wherein i and j are the row number and the column number of the array circle respectively;
step 11: and the upper computer generates a correction document according to the method from the step 4 to the step 10 and stores the correction document.
2. The correction method of the large-visual-field rapid detection system according to claim 1, wherein the camera (1) is a 2900W pixel CCD camera; the telecentric lens (2) is a field lens of 192mm multiplied by 168 mm; the parallel backlight source (5) is a 172mm × 172mm parallel backlight source (5).
3. The method of claim 1, wherein the required accuracy is higher than a predetermined value
Figure FDA0002410550390000032
Is a set precision.
4. The method as claimed in claim 1, wherein the image processing module is an ARM9 controller.
CN201711416063.5A2017-12-252017-12-25Correction method of large-visual-field rapid detection systemActiveCN108154537B (en)

Priority Applications (1)

Application NumberPriority DateFiling DateTitle
CN201711416063.5ACN108154537B (en)2017-12-252017-12-25Correction method of large-visual-field rapid detection system

Applications Claiming Priority (1)

Application NumberPriority DateFiling DateTitle
CN201711416063.5ACN108154537B (en)2017-12-252017-12-25Correction method of large-visual-field rapid detection system

Publications (2)

Publication NumberPublication Date
CN108154537A CN108154537A (en)2018-06-12
CN108154537Btrue CN108154537B (en)2020-09-29

Family

ID=62464458

Family Applications (1)

Application NumberTitlePriority DateFiling Date
CN201711416063.5AActiveCN108154537B (en)2017-12-252017-12-25Correction method of large-visual-field rapid detection system

Country Status (1)

CountryLink
CN (1)CN108154537B (en)

Families Citing this family (1)

* Cited by examiner, † Cited by third party
Publication numberPriority datePublication dateAssigneeTitle
CN109146956B (en)*2018-08-092021-11-16厦门市计量检定测试院Method for obtaining linear error correction coefficient of visual positioning system

Citations (5)

* Cited by examiner, † Cited by third party
Publication numberPriority datePublication dateAssigneeTitle
CN102878948A (en)*2012-09-262013-01-16哈尔滨工业大学Visual measuring device and visual measuring method for coordinates of surface of target based on round light spot marks
CN104251671A (en)*2014-09-192014-12-31七海测量技术(深圳)有限公司Real-timely corrected high-precision measurement method and device
CN205664783U (en)*2016-06-032016-10-26绵阳市维博电子有限责任公司Vision measuring device based on two telecentric mirror heads
CN106500625A (en)*2016-12-232017-03-15中国人民解放军国防科学技术大学A kind of telecentricity stereo vision measuring apparatus and its method for being applied to the measurement of object dimensional pattern micron accuracies
CN107025670A (en)*2017-03-232017-08-08华中科技大学A kind of telecentricity camera calibration method

Family Cites Families (1)

* Cited by examiner, † Cited by third party
Publication numberPriority datePublication dateAssigneeTitle
US9915857B2 (en)*2013-12-092018-03-13Geo Semiconductor Inc.System and method for automated test-pattern-free projection calibration

Patent Citations (5)

* Cited by examiner, † Cited by third party
Publication numberPriority datePublication dateAssigneeTitle
CN102878948A (en)*2012-09-262013-01-16哈尔滨工业大学Visual measuring device and visual measuring method for coordinates of surface of target based on round light spot marks
CN104251671A (en)*2014-09-192014-12-31七海测量技术(深圳)有限公司Real-timely corrected high-precision measurement method and device
CN205664783U (en)*2016-06-032016-10-26绵阳市维博电子有限责任公司Vision measuring device based on two telecentric mirror heads
CN106500625A (en)*2016-12-232017-03-15中国人民解放军国防科学技术大学A kind of telecentricity stereo vision measuring apparatus and its method for being applied to the measurement of object dimensional pattern micron accuracies
CN107025670A (en)*2017-03-232017-08-08华中科技大学A kind of telecentricity camera calibration method

Also Published As

Publication numberPublication date
CN108154537A (en)2018-06-12

Similar Documents

PublicationPublication DateTitle
US8077909B2 (en)Apparatus and method for testing infrared camera
CN110225336B (en)Method and device for evaluating image acquisition precision, electronic equipment and readable medium
WO2017088469A1 (en)High-precision automatic optical detection system and method based on mechanical arm
CN111986267B (en)Coordinate system calibration method of multi-camera vision system
CN111351431A (en)Correction method of detection system for multi-hole sites on PCB
CN111047586B (en) A Pixel Equivalent Measurement Method Based on Machine Vision
CN113781434B (en) A defect detection method, device, intelligent terminal and computer readable storage medium
CN103377474A (en)Camera lens shadow correction coefficient determination method and device, and camera lens shadow correction method and device
CN104034259B (en) A method for calibrating an image measuring instrument
CN108986170A (en)A kind of line-scan digital camera method for correcting flat field suitable for field working conditions
TWI512276B (en)Method of measuring optical axis of light-emitting diode module
TWI832205B (en) Optical measurement device and measurement method
CN106525864A (en)Light source compensation device for image grayscale and compensation method
CN118509576A (en)Method and device for measuring optical center position of camera module
WO2024027058A1 (en)Calibration method for through hole positions of workpiece, and detection apparatus
CN108154537B (en)Correction method of large-visual-field rapid detection system
CN108010071B (en)System and method for measuring brightness distribution by using 3D depth measurement
KR102692769B1 (en)Display apparatus inspection system, inspection method of display apparatus and display apparatus using the same
CN111965960A (en)3D mobile phone cover plate glass exposure device and method based on linear array imaging assembly
US20110234860A1 (en)Solid-state imaging device
CN113483655A (en)PCB detection system and method
CN106768891B (en)Special equipment for detecting object surface normal error based on reflection image method
CN112964639B (en)LCM detection method and equipment
CN108898585A (en)A kind of axial workpiece detection method and its device
CN115661078A (en)Detection method after MiniLED mounting and related equipment

Legal Events

DateCodeTitleDescription
PB01Publication
PB01Publication
SE01Entry into force of request for substantive examination
SE01Entry into force of request for substantive examination
GR01Patent grant
GR01Patent grant

[8]ページ先頭

©2009-2025 Movatter.jp