Movatterモバイル変換


[0]ホーム

URL:


CN108076237B - Telephone customer service data processing method and device - Google Patents

Telephone customer service data processing method and device
Download PDF

Info

Publication number
CN108076237B
CN108076237BCN201611041779.7ACN201611041779ACN108076237BCN 108076237 BCN108076237 BCN 108076237BCN 201611041779 ACN201611041779 ACN 201611041779ACN 108076237 BCN108076237 BCN 108076237B
Authority
CN
China
Prior art keywords
user
credit
credit score
customer service
telephone
Prior art date
Legal status (The legal status is an assumption and is not a legal conclusion. Google has not performed a legal analysis and makes no representation as to the accuracy of the status listed.)
Active
Application number
CN201611041779.7A
Other languages
Chinese (zh)
Other versions
CN108076237A (en
Inventor
刘龙坡
陈谦
万伟
Current Assignee (The listed assignees may be inaccurate. Google has not performed a legal analysis and makes no representation or warranty as to the accuracy of the list.)
Tencent Technology Shenzhen Co Ltd
Original Assignee
Tencent Technology Shenzhen Co Ltd
Priority date (The priority date is an assumption and is not a legal conclusion. Google has not performed a legal analysis and makes no representation as to the accuracy of the date listed.)
Filing date
Publication date
Application filed by Tencent Technology Shenzhen Co LtdfiledCriticalTencent Technology Shenzhen Co Ltd
Priority to CN201611041779.7ApriorityCriticalpatent/CN108076237B/en
Publication of CN108076237ApublicationCriticalpatent/CN108076237A/en
Application grantedgrantedCritical
Publication of CN108076237BpublicationCriticalpatent/CN108076237B/en
Activelegal-statusCriticalCurrent
Anticipated expirationlegal-statusCritical

Links

Images

Classifications

Landscapes

Abstract

The application discloses a telephone customer service data processing method and a device, aiming at a user initiating a telephone customer service request in a target time period, the credit score of the user is determined according to the basic credit score and historical consultation data, then the users are sorted according to the credit score, the sorting sequence is a response sequence of the request, and because the credit score represents the credibility of the core service consulted by the user, the users are answered in sequence according to the sorting sequence, service can be preferentially provided for the users consulting the relevant problems of the core service, and limited customer service resources are effectively utilized.

Description

Telephone customer service data processing method and device
Technical Field
The present application relates to the field of data processing technologies, and in particular, to a method and an apparatus for processing telephone service data.
Background
Telephone and IM customer service systems have become the main channels of enterprise after-sale service and government public service, and users generally make calls for customer service to solve emergency situations such as product problems, complaints or fault reports, and some people can chat and do some things irrelevant to customer service by using telephone channels.
The existing customer service system mainly comprises manual service and machine service, the manual service resources are limited, the machine service mainly completes some simple consultation and inquiry problems, and core business problems related to business are mainly solved by the manual service. In the prior art, manual service generally performs telephone service in sequence according to the order of initiation time for customer service requests initiated by a plurality of users within a period of time. However, the problem consulted by some users who initiate the customer service request in advance may not be related to the core service, even the harassing call is dialed, the waste of the customer service resources will be caused according to the processing mode of the prior art, so that the limited customer service resources can not be effectively utilized.
Disclosure of Invention
In view of this, the present application provides a method and an apparatus for processing telephone customer service data, which are used to solve the problem that the existing telephone customer service response policy cannot effectively utilize customer service resources.
In order to achieve the above object, the following solutions are proposed:
a telephone customer service data processing method comprises the following steps:
acquiring basic credit score and historical consultation data of a user initiating a telephone customer service request in a target time period;
aiming at each user, determining the credit score of the user according to the basic credit score and the historical consultation data of the user, wherein the credit score represents the credibility of the consultation core service of the user;
and sequencing the users according to the sequence of credit scores from high to low, wherein the sequencing sequence of the users is the response sequence of the telephone customer service request initiated by the corresponding user.
A telephone customer service data processing apparatus comprising:
the data acquisition unit is used for acquiring the basic credit score and the historical consultation data of the user initiating the telephone customer service request in the target time period;
the credit score determining unit is used for determining the credit score of each user according to the basic credit score and the historical consultation data of the user, wherein the credit score represents the credibility of the consultation core service of the user;
and the sequencing unit is used for sequencing the users according to the sequence of the credit scores from high to low, wherein the sequencing sequence of the users is the response sequence of the telephone customer service requests initiated by the corresponding users.
The method for processing the telephone customer service data, provided by the embodiment of the application, comprises the steps of obtaining basic credit scores and historical consultation data of a user initiating a telephone customer service request in a target time period; aiming at each user, determining the credit score of the user according to the basic credit score and the historical consultation data of the user, wherein the credit score represents the credibility of the consultation core service of the user; and sequencing the users according to the sequence of credit scores from high to low, wherein the sequencing sequence of the users is the response sequence of the telephone customer service request initiated by the corresponding user. Therefore, the method and the device can determine the credit score of the user initiating the telephone customer service request in the target time period according to the basic credit score and the historical consultation data, and then sort the users according to the credit score, wherein the sorting sequence is the response sequence of the request, and because the credit score represents the credibility of the consultation core service of the user, the users are answered in sequence according to the sorting sequence, so that the service can be preferentially provided for the users consulting the relevant problems of the core service, and the limited customer service resources are effectively utilized.
Drawings
In order to more clearly illustrate the embodiments of the present application or the technical solutions in the prior art, the drawings needed to be used in the description of the embodiments or the prior art will be briefly introduced below, it is obvious that the drawings in the following description are only embodiments of the present application, and for those skilled in the art, other drawings can be obtained according to the provided drawings without creative efforts.
Fig. 1 is a diagram of a system architecture for implementing a method for processing telephone customer service data according to an embodiment of the present application;
fig. 2 is a flowchart of a method for processing telephone customer service data according to an embodiment of the present application;
FIG. 3 is a flowchart of a method for determining a credit score of a user as disclosed in an embodiment of the present application;
FIG. 4 is a flow chart of another method for processing telephone customer service data disclosed in the embodiments of the present application;
FIG. 5 is a flow chart of another method for processing telephone customer service data according to the embodiment of the present application;
FIG. 6 is a flow chart of another method for processing telephone customer service data according to the embodiment of the present application;
fig. 7 is a schematic structural diagram of a telephone customer service data processing apparatus according to an embodiment of the present application;
fig. 8 is a schematic diagram of a customer service platform hardware structure disclosed in an embodiment of the present application.
Detailed Description
The technical solutions in the embodiments of the present application will be clearly and completely described below with reference to the drawings in the embodiments of the present application, and it is obvious that the described embodiments are only a part of the embodiments of the present application, and not all of the embodiments. All other embodiments, which can be derived by a person skilled in the art from the embodiments given herein without making any creative effort, shall fall within the protection scope of the present application.
Fig. 1 is a schematic diagram of a system for implementing a telephone customer service data processing method according to an embodiment of the present application, and referring to fig. 1, the system may include:
aterminal 10, acustomer service platform 20, ahistory consultation database 30 and acredit investigation database 40.
Theterminal 10 may be a device having a call function such as a mobile phone, a landline phone, a network phone, or a virtual client. Generally, a user uses a terminal to make a call to a customer service platform to inquire about a question.
If theterminal 10 is a communication device such as a mobile phone or a landline, a call can be made to the customer service platform based on the communication network of the communication carrier. If theterminal 10 is a web phone, the internet phone may be dialed to the customer service platform based on the internet communications capability.
Thecustomer service platform 20 is an after-sales service platform of an enterprise or a public service platform of a government department, and can provide a channel for solving product problems, complaints, fault repair and the like. Customer service personnel at the customer service platform side can access the telephone customer service request initiated by the user through the platform.
Thehistory consultation database 30 stores the questions consulted by each user which thecustomer service platform 20 has historically answered, such as the user identification which initiates the telephone customer service request, the content, the category, the call duration and other data of the consulted questions. The historicaladvisory database 30 may be invoked by thecustomer service platform 20.
Thecredit investigation database 40 is a database for recording credit investigation scores of the respective users. The credit-assessing index of the user gives different scores according to the information of the borrower, such as the loan and debt history, the debt condition and the like, and is used for determining whether to approve the new loan or the statistics and the evaluation of the credit line. The credit investigation score of the user can be directly obtained by a third party, such as a bank, a shop and the like. Certainly, the credit investigation score of the user can be obtained by establishing a user credit investigation score prediction model, further importing behavior data of the user in finance, network social contact and other dimensions into the user credit investigation score prediction model and calculating. The credit score of the user may be stored in thecredit database 40.
In the embodiment of the present application, thecustomer service platform 20 determines a user who initiates a telephone customer service request within a period of time; and then, the historical consultation data of the user is obtained in thehistorical consultation database 30, the credit score of the user is obtained in thecredit score database 40, the credit score is used as the basic credit score of the user, and the historical consultation data is collected to determine the credit score of the user. The credit score represents the trustworthiness of the user to consult the core service. Thecustomer service platform 20 may rank the users in order of highest credit score and respond to the telephone customer service requests initiated by the users in order of rank. The aim of providing service for the user with high credit score is achieved, and limited customer service resources are effectively utilized.
Next, the present application introduces a telephone customer service data processing method from the perspective of a customer service platform, and as shown in fig. 2, the method includes:
s200, acquiring basic credit scores and historical consultation data of a user initiating a telephone customer service request in a target time period;
specifically, the method can divide a day into a plurality of continuous time periods according to a set time length in advance, for example, a time period is obtained by dividing every half hour and is used as a target time period. Furthermore, the customer service platform takes the telephone customer service requests initiated in the target time period as processing objects, and processes each telephone customer service request initiated in the next target time period after all telephone customer service requests initiated in one target time period are processed.
It should be noted that, after the processing is completed, all the telephone customer service requests initiated within one target time period may be all the telephone customer service requests initiated within the target time period, such as answering. In addition, a processing method such as rejection can be selected.
In this step, the customer service platform obtains the basic credit score and the historical consultation data of the user who initiates the telephone customer service request in the target time period.
The basic credit score of the user can be a credit score of the user, and the credit score is acquired from a credit database. Since the user initiates the telephone customer service request generally by dialing a telephone, the telephone number can be used as the user's identity. Based on this, the credit investigation database may record the corresponding relationship between each telephone number and credit investigation division. Similarly, the historical consulting database may also record the corresponding relationship between each telephone number and the historical consulting data.
In this step, the credit investigation score of the user corresponding to the target telephone number may be obtained according to the target telephone number initiating the telephone customer service request within the target time period, and the credit investigation score may be determined as the basic credit score of the corresponding user. And acquiring stored historical consultation data corresponding to the target telephone number.
It can be understood that, if a certain user initiates a telephone customer service request to the customer service platform for the first time, the historical consultation data corresponding to the user is not stored in the historical consultation database, so that the process of acquiring the historical consultation data can be omitted.
Step S210, aiming at each user, determining the credit score of the user according to the basic credit score and the historical consultation data of the user;
wherein the credit score represents a trustworthiness of the user to consult the core service. The higher the credit score of the user, the higher the trustworthiness of the user in consulting the core services.
In this step, the credit score of the user is determined comprehensively according to the historical consultation data and the basic credit score of the user.
And step S220, sequencing the users according to the sequence of the credit scores from high to low, wherein the sequencing sequence of the users is the response sequence of the telephone customer service requests initiated by the corresponding users.
Specifically, a user with a higher credit score dials a customer service phone number to solve some core service related problems, and the customer service platform should give better manual service to answer the user preferentially; the user with lower credit score may only use the customer service telephone to do some irrelevant things, and the customer service platform should give general manual service or finish the call quickly, so as to give different service policies to different users and maximize the utilization of customer service resources.
The method for processing the telephone customer service data, provided by the embodiment of the application, comprises the steps of obtaining basic credit scores and historical consultation data of a user initiating a telephone customer service request in a target time period; aiming at each user, determining the credit score of the user according to the basic credit score and the historical consultation data of the user, wherein the credit score represents the credibility of the consultation core service of the user; and sequencing the users according to the sequence of credit scores from high to low, wherein the sequencing sequence of the users is the response sequence of the telephone customer service request initiated by the corresponding user. Therefore, the method and the device can determine the credit score of the user initiating the telephone customer service request in the target time period according to the basic credit score and the historical consultation data, and then sort the users according to the credit score, wherein the sorting sequence is the response sequence of the request, and because the credit score represents the credibility of the consultation core service of the user, the users are answered in sequence according to the sorting sequence, so that the service can be preferentially provided for the users consulting the relevant problems of the core service, and the limited customer service resources are effectively utilized.
Optionally, in the embodiment of the present application, the service types of the problems of the user historical consultation may be counted in advance, and a service label is formulated according to the service types, where different service labels correspond to the service types of different consultation problems.
In an alternative, the pre-established service labels include, but are not limited to, the following: harassment calls, simple information inquiry, business consultation, business handling, fault reporting, complaints and the like. It can be seen that different types of service labels indicate the importance of the questions consulted by the user.
Based on this, the historical consultation data stored in the historical consultation database can include service tags of historical consultation problems corresponding to each telephone number. The process of acquiring the stored historical consultation data corresponding to the target phone number in the above steps may include:
and acquiring the stored service label of each historical consultation problem corresponding to the target telephone number.
By formulating service labels, the consultation problems are more clearly classified, different types of service labels indicate that the importance of the problems consulted by the user is different, and the credit score of the user can be determined based on the service labels of the problems consulted by the user history and the basic credit score of the user so as to represent the credibility of the core service consulted by the user.
On the basis, after responding to the telephone customer service request of the user, the service platform can record the service label corresponding to the problem consulted by the user, establish the corresponding relation between the telephone number for identifying the user identity and the service label and store the corresponding relation into the historical consultation database.
Further optionally, the historical consulting data may further include the call duration of the historical consulting questions. That is, after responding to the telephone customer service request of the user, the service platform can record the call duration of the user consultation problem, establish a corresponding relation between the telephone number for identifying the user identity and the call duration, and store the corresponding relation into the historical consultation database.
It will be appreciated that the longer the time at the same time, the longer the overall waiting time of the user waiting for service later becomes, and therefore, in order to maximize the utilization of the customer service resources and reduce the overall waiting time of all users, the user's historical call duration may be further considered in determining the credit score of the user.
On the basis that the historical consulting data can also include the call duration of the historical consulting questions, the process of acquiring the stored historical consulting data corresponding to the target telephone number in the above steps may include:
and acquiring a stored service label of each historical consultation problem corresponding to the target telephone number and the call duration of each historical consultation problem.
Based on the historical consulting data described in the above embodiments, the present embodiment describes a process in which the customer service platform determines the credit score of the user according to the basic credit score of the user and the historical consulting data thereof, as shown in fig. 3, the method may include:
step S300, aiming at each user, determining credit score adjustment quantity corresponding to each service label according to the service label of each historical consultation problem of the user;
specifically, according to different types of service labels, credit score adjustment amounts corresponding to the service labels are preset.
The credit adjustment amount may be an increase credit or a decrease credit. And, the credit adjustment amount is different according to the difference of the service label.
In an alternative embodiment, the service tag comprises: l 1: nuisance calls, l 2: simple information query, h 1: business consultation, h 2: business handling, h 3: fault reporting, h 4: and (6) complaints. The credit adjustment amount corresponding to each service label can be referred to as shown in table 1 below:
Figure BDA0001156564140000071
TABLE 1
Wherein the magnitude of Δ s can be set by the user.
Of course, the above only illustrates the service tag and an alternative form of the credit adjustment amount, other kinds of service tags may exist, and the credit adjustment amount corresponding to the service tag may have other values.
When setting the corresponding relationship between the service label and the credit adjustment amount, the aim is that the more relevant service label to the consultation problem and the core service, the larger the added value of the corresponding credit adjustment amount is, and vice versa.
In one practical application scenario:
the customer a complains about the service by telephone, indicating that the customer is more likely to value the service, and therefore the credit score for the customer a is increased by 4 Δ s. The user B makes a harassing call to the customer service through a telephone, which indicates that the credit score of the user B is lower, so that the credit score of the user B is reduced by 2 deltas.
Step S310, determining credit score adjustment quantity corresponding to each call duration according to the call duration of each consultation question of the user history;
specifically, the longer the call duration of the user consultation question is, the lower the credit score is, and the larger the adjustment value of the corresponding credit score in the direction of decreasing.
In an alternative embodiment, the relationship between the call duration and the credit adjustment amount is as follows:
Figure BDA0001156564140000081
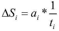
wherein, Delta SiCredit score adjustment, a, representing the ith question consultationiThe adjustment weight value t corresponding to the service label of the question consulted by the ith question consultantiIndicating the call duration of the ith question consultation. Wherein, when the service label indicates that the consulted question is related to the core service, it adjusts the weight aiThe larger the service label indicates that the consulted question is not relevant to the core service, the more it adjusts the weight aiThe smaller. The correspondence between the selectable service tag and the adjustment weight is shown in table 2 below:
business labell1l2h1h2h3h4
Adjusting the weight001234
TABLE 2
According to the relationship between the call duration and the credit adjustment amount in the above example, when the service labels of the questions consulted by different users are the same, the reduction value of the credit adjustment amount of the user with longer call duration of the consultation question is larger, otherwise, the increase value of the credit adjustment amount is larger; when the service labels of the questions consulted by different users are different and the call duration is the same, the service label indicates that the more the consulted question is close to the core service, the larger the added value of the credit adjustment amount is, and otherwise, the larger the reduced value of the credit adjustment amount is.
In one practical application scenario:
the user A transacts matters to the customer service consultation service through the telephone, and the whole call duration is 60 s. The user B also transacts matters to the customer service consultation service through the telephone, and the whole call duration is 120 s.
Setting the adjustment weight value corresponding to the business handling label as 2, and increasing the credit score of the user A by 2 x 1/60; the credit score for user B is increased by 2 x/120.
Further, the user C carries out service complaints to the customer service through the telephone, and the whole call duration is 60 s.
If the adjustment weight corresponding to the service complaint is set to 4, the credit score of the user C is increased by 4 × 1/60.
Step S320, multiplying the credit score adjustment quantity corresponding to each service label by a first weight to obtain weighted credit score adjustment quantity corresponding to each service label;
step S330, multiplying the credit score adjustment quantity corresponding to each call duration by a second weight to obtain weighted credit score adjustment quantity corresponding to each call duration;
specifically, the first weight and the second weight are weights of the influence of the consultation question tag and the consultation question talk time on the final credit score, and the first weight and the second weight can be set by a user.
The execution order of the steps S320 and S330 is not limited, and may be reversed or executed simultaneously.
Step S340, adding the weighted credit score adjustment quantity corresponding to each service label, the weighted credit score adjustment quantity corresponding to each call duration and the basic credit score of the user, and taking the added result as the credit score of the user.
As an alternative embodiment, the present application illustrates a calculation formula of the credit score of the user, which is as follows:
Figure BDA0001156564140000091
wherein S' is the credit score of the user, S is the basic credit score of the user, m is the historical telephone consultation times of the user, niThe credit score value, n, corresponding to the service label of the problem consulted for the ith problem consultationiThe value of Δ s can be obtained by referring to the results shown in Table 1, aiAn adjustment weight value, a, corresponding to a service tag representing a problem consulted by the ith problem consultationiCan be referred to the results, τ, of the example in Table 2 aboveiDuration of call, w, representing the ith question consultation0And w1The weights of the consultation question label and the influence of the consultation question talk time on the final credit score can be set by the user.
It can be understood that if the user initiating the telephone customer service request is a new user, i.e. the telephone customer service request is initiated for the first time, the historical consultation data of the user does not exist in the historical consultation database, so n in the above formulaiThe term Δ s is 0.
In another embodiment of the present application, a method for processing telephone customer service data is further described.
In the above embodiment, it has been described that the users are sorted in the order of the credit scores from high to low, where the sorting order of the users is the response order of the telephone service request initiated by the corresponding user.
In this embodiment, a process of the customer service platform responding to the telephone customer service requests of the users in the order of the credit score from high to low is further described. Referring to fig. 4, fig. 4 is a flowchart of another method for processing telephone customer service data disclosed in the embodiment of the present application, and as shown in fig. 4, the method includes:
s400, acquiring basic credit score and historical consultation data of a user initiating a telephone customer service request in a target time period;
step S410, aiming at each user, determining the credit score of the user according to the basic credit score and the historical consultation data of the user;
wherein the credit score represents a trustworthiness of the user to consult the core service. The higher the credit score of the user, the higher the trustworthiness of the user in consulting the core services.
Step S420, sequencing the users according to the sequence of credit scores from high to low;
step S430, aiming at each sorted user, dividing the user with the credit score exceeding the set credit score threshold value into a high credit score user, and dividing the user without the credit score exceeding the set credit score threshold value into a low credit score user;
specifically, the credit score threshold value can be preset for measuring whether the user is a high credit score user or a low credit score user. And dividing the sorted users according to the set credit score threshold value.
And step S440, sequentially responding to the telephone customer service requests initiated by the users with high credit scores according to the sequence of the credit scores from high to low.
Specifically, after the user is divided into the high credit rating user and the low credit rating user, the user preferably responds to the telephone customer service request initiated by the high credit rating user, that is, answers the telephone initiated by the high credit rating user. Of course, if there are more than one high credit rating users, the responses may be performed in sequence according to the ranking order of the high credit rating users.
In the method described in this embodiment, each user who initiates a request in a target time period is divided into a user with a high credit score and a user with a low credit score according to the credit score, and a telephone customer service request initiated by the user with the high credit score is preferentially responded, so that effective utilization of customer service consultation is ensured.
Based on the method in the previous embodiment, in this embodiment, another method for processing telephone customer service data is described, and it can be determined by combining fig. 4 and fig. 5 that steps S500 to S540 in fig. 5 correspond to steps S400 to S440 in fig. 4 one to one, and on the basis of the embodiment corresponding to fig. 4, the following processing procedures are further added in this application:
step S550, if all the telephone customer service requests initiated by the users with high credit score in the target time period have been responded, and no new telephone customer service request initiated by the user is located in the next adjacent target time period after the target time period, sequentially responding to the telephone customer service requests initiated by the users with low credit score according to the sequence of credit score from high to low.
The target time period is one of a plurality of continuous time periods obtained by pre-dividing. For example, the present application divides into one target time period per 30 minutes: 00:00-00:30, 00:30-01:00 … …. If the target time period is 00:00-00:30, the next adjacent target time period after the target time period is 00:30-01: 00.
On the basis of the above embodiment, if all the users with high credit score in the target time period have responded, it may be further determined whether there is a new user initiating the telephone customer service request in the next adjacent target time period after the target time period, and if not, the user with low credit score initiating the telephone customer service request in the target time period may be served.
Further, the embodiment of the present application introduces a processing policy when all the users with high credit have responded in the target time period and a new user initiates a phone customer service request in the next adjacent target time period after the target time period.
With reference to fig. 5 and fig. 6, it can be determined that steps S600 to S650 in fig. 6 correspond to steps S500 to S550 in fig. 5 one to one, and on the basis of the embodiment corresponding to fig. 5, the following processing procedures are further added in the present application:
step S660, if all the telephone customer service requests initiated by the high credit users in the target time period are completely responded, and new telephone customer service requests initiated by users in the next adjacent target time period after the target time period exist, judging whether the frequency of the service tags of the historical consultation problems of the low credit users in the target time period, which are the first class service tags, exceeds a set frequency threshold value; if yes, go to step S670, otherwise go to step S680;
the first type of service tag may be a service tag corresponding to a problem that the consultation problem is extremely unrelated to the core service, such as a service tag corresponding to a nuisance call.
In this step, after it is determined that all the users with high credit scores have responded in the target time period and a new user initiates a call customer service request in the next target time period, it is determined whether the number of times of the problem corresponding to the first-class service tag that the users with low credit scores have historically consulted in the target time period exceeds a set number threshold, and if so, it is determined whether the number of times of the historical harassing calls dialed exceeds the set number threshold.
Step S670, refusing to respond to the telephone customer service request initiated by the user with low credit score;
specifically, if the user determines yes in the previous step, it indicates that the user has a very high probability of consulting a problem unrelated to the core service, even dialing a harassing call, and thus can refuse to respond to a telephone customer service request initiated by the user with a low credit score.
The manner of rejecting the response may include: the user with low credit score is enabled to be 'continuously waiting for connection' or directly hung up.
After the operation of this step is performed, the processing procedure of the user-initiated telephone customer service request in the next adjacent target time period can be entered. The processing procedure of the telephone customer service request initiated by the user in the next adjacent target time period is the same as that of the telephone customer service request initiated by the user in the target time period, namely, the step is skipped to the step S600, and the processing object after the skipping is the user initiating the telephone customer service request in the next adjacent target time period.
And step S680, sequentially responding to the telephone customer service requests initiated by the users with low credit scores according to the sequence of the credit scores from high to low, and entering the processing process of the telephone customer service requests initiated by the users in the next adjacent target time period after all responses are finished.
Specifically, if the determination in step S660 is no, it indicates that the low credit scoring user has not reached the set severity, and for example, the number of times of making harassing calls has not reached the set number threshold, so that the low credit scoring users in the target time period may respond in sequence according to the ranking order of the credit scores from high to low.
After the operation of this step is performed, the processing procedure of the user-initiated telephone customer service request in the next adjacent target time period can be entered.
In yet another embodiment of the present application, a method for processing telephony service data of the present application is further described.
The customer service platform can return visit to the user for a period of time after responding to the telephone customer service request initiated by the user. According to the method and the device, different return visit strategies can be set according to historical consultation data of the user, and the method and the device are as follows:
s1, dividing each telephone number into a plurality of groups according to the service label of the historical consultation problem corresponding to each telephone number and the type of the service label;
specifically, still taking the service tag category illustrated in the above embodiment as an example, it may include: l 1: nuisance calls, l 2: simple information query, h 1: business consultation, h 2: business handling, h 3: fault reporting, h 4: and (6) complaints.
Furthermore, the service label distribution condition of each consultation problem according to the history of the user can be used for determining which service label the user is divided into the corresponding group.
For example, statistics show that the user A has historically dialed 10 crank calls and 2 simple information queries are performed. User a may be classified as being within the packet corresponding to making a crank call.
For another example, statistics shows that the user B has historically transacted services 6 times over the phone and queriedservices 2 times over the phone. User B may be classified as within the corresponding packet for the transaction.
And S2, for the telephone numbers in each group, revisiting each telephone number in the group according to the revisiting strategy corresponding to the service label type of the group.
Specifically, for the group corresponding to each service tag, the corresponding return-visit policy is designed according to the type of the group of service tags, so that the return-visit policy is more suitable for the user.
For example, for a user in a group for making a crank call, a short message or a call reminder can be sent to reduce making of the crank call; aiming at the users in the simple information query group, the users can be guided to correctly use the online machine customer service, the communication traffic of irrelevant services is fundamentally reduced, and the customer service pressure is relieved; and modeling the users in the service handling groups according to the historical service handling content of the users, mining the user figures, recommending new services to the users, and the like.
The following describes the telephone service data processing apparatus provided in the embodiment of the present application, and the telephone service data processing apparatus described below and the telephone service data processing method described above may be referred to in correspondence with each other.
Referring to fig. 7, fig. 7 is a schematic structural diagram of a telephone customer service data processing apparatus according to an embodiment of the present application.
As shown in fig. 7, the apparatus includes:
thedata acquisition unit 11 is used for acquiring the basic credit score and the historical consultation data of the user initiating the telephone customer service request in the target time period;
a creditscore determining unit 12, configured to determine, for each user, a credit score of the user according to a basic credit score of the user and historical consultation data of the user, where the credit score represents a credibility of a consultation core service of the user;
and the sortingunit 13 is configured to sort the users in an order from high credit score to low credit score, where the sorting order of each user is a response order of a telephone customer service request initiated by a corresponding user.
According to the method, the credit score of a user initiating a telephone customer service request in a target time period is determined according to the basic credit score and historical consultation data of the user, the users are sorted according to the credit score, the sorting sequence is a request response sequence, and the users are answered in sequence according to the sorting sequence because the credit score represents the credibility of the core service consulted by the user, so that service can be preferentially provided for the users consulting the core service related problems, and limited customer service resources are effectively utilized.
Optionally, the data acquiring unit may include:
the credit investigation point acquisition unit is used for acquiring the credit investigation point of a user corresponding to a target telephone number according to the target telephone number initiating a telephone customer service request in a target time period and determining the credit investigation point as the basic credit investigation point of the corresponding user;
and the historical consultation data acquisition unit is used for acquiring the stored historical consultation data corresponding to the target telephone number.
Optionally, the historical consulting data may include a service label of each historical consulting question, and the service label indicates a service type of the corresponding historical consulting question. Based on this, the history consultation data acquisition unit may include:
and the service label acquisition unit is used for acquiring the stored service labels of the historical consultation problems corresponding to the target telephone number.
On the basis, the historical consultation data can also comprise the call duration of historical consultation questions. Based on this, the embodiment of the present application illustrates another optional structure of the history consulting data obtaining unit, which further may include:
and the call duration acquisition unit is used for acquiring the stored call duration of each historical consultation problem corresponding to the target telephone number.
Optionally, the credit score determining unit may include:
the first credit score determining subunit is used for determining a credit score adjustment amount corresponding to each service label according to the service label of each consultation problem in the user history aiming at each user;
the second credit score determining subunit is used for determining the credit score adjustment amount corresponding to each call duration according to the call duration of each historical consultation question of the user;
a third credit score determining subunit, configured to multiply the credit score adjustment amount corresponding to each service label by the first weight to obtain a weighted credit score adjustment amount corresponding to each service label; multiplying the credit score adjustment quantity corresponding to each call duration by a second weight to obtain weighted credit score adjustment quantity corresponding to each call duration;
and the fourth credit score determining subunit is used for adding the weighted credit score adjustment amount corresponding to each service label, the weighted credit score adjustment amount corresponding to each call duration and the basic credit score of the user, and taking the added result as the credit score of the user.
Optionally, the apparatus of the present application may further include:
the user dividing unit is used for dividing the users with credit scores exceeding a set credit score threshold into high credit score users and dividing the users without credit scores exceeding the set credit score threshold into low credit score users aiming at each sorted user;
and the high credit score user response unit is used for sequentially responding to the telephone customer service requests initiated by the high credit score users according to the sequencing order of the credit scores from high to low.
Optionally, the target time period may be one time period of several consecutive time periods obtained by pre-dividing. On the basis of the above, the apparatus of the present application may further include:
and the first low credit user response unit is used for sequentially responding the telephone customer service requests initiated by the low credit users according to a ranking sequence of credit scores from high to low if all the telephone customer service requests initiated by the high credit users in the target time period are completely responded and no new telephone customer service request is initiated by a user in the next adjacent target time period after the target time period.
Further optionally, the apparatus of the present application may further include:
a second low credit user response unit, configured to determine whether the number of times that a service tag of each historical consultation problem of the low credit user in the target time period is a first-class service tag exceeds a set number threshold value if all telephone customer service requests initiated by the high credit user in the target time period have been completely responded and a new telephone customer service request is initiated by a new user in a next adjacent target time period after the target time period; if yes, refusing to respond to the telephone customer service request initiated by the user with low credit score, and entering the processing process of the telephone customer service request initiated by the user in the next adjacent target time period; if not, sequentially responding the telephone customer service requests initiated by the users with low credit scores according to the sequence of the credit scores from high to low, and entering the processing process of the telephone customer service requests initiated by the users in the next adjacent target time period after all responses are finished.
Optionally, the apparatus of the present application may further include:
the number grouping unit is used for dividing each telephone number into a plurality of groups according to the stored service label of each historical consultation problem corresponding to each telephone number and the type of the service label;
and the return visit unit is used for returning visits to the telephone numbers in each group according to the return visit strategy corresponding to the service label type of the group.
In the following embodiments, a hardware structure of a customer service platform for implementing the telephone customer service data processing apparatus of the present application is introduced, referring to fig. 8, and fig. 8 is a schematic diagram of a hardware structure of a customer service platform according to an embodiment of the present application.
As shown in FIG. 8, the customer service platform may include:
a processor 1, acommunication interface 2, amemory 3, a communication bus 4, and adisplay screen 5;
the processor 1, thecommunication interface 2, thememory 3 and thedisplay screen 5 are communicated with each other through a communication bus 4;
optionally, thecommunication interface 2 may be an interface of a communication module, such as an interface of a GSM module;
a processor 1 for executing a program;
amemory 3 for storing a program;
the program may include program code including operating instructions of the processor.
The processor 1 may be a central processing unit CPU or an application specific Integrated circuit asic or one or more Integrated circuits configured to implement embodiments of the present application.
Thememory 3 may comprise a high-speed RAM memory, and may further comprise a non-volatile memory (non-volatile memory), such as at least one disk memory.
Wherein the program is specifically for:
acquiring basic credit score and historical consultation data of a user initiating a telephone customer service request in a target time period;
aiming at each user, determining the credit score of the user according to the basic credit score and the historical consultation data of the user, wherein the credit score represents the credibility of the consultation core service of the user;
and sequencing the users according to the sequence of credit scores from high to low, wherein the sequencing sequence of the users is the response sequence of the telephone customer service request initiated by the corresponding user.
Finally, it should also be noted that, herein, relational terms such as first and second, and the like may be used solely to distinguish one entity or action from another entity or action without necessarily requiring or implying any actual such relationship or order between such entities or actions. Also, the terms "comprises," "comprising," or any other variation thereof, are intended to cover a non-exclusive inclusion, such that a process, method, article, or apparatus that comprises a list of elements does not include only those elements but may include other elements not expressly listed or inherent to such process, method, article, or apparatus. Without further limitation, an element defined by the phrase "comprising an … …" does not exclude the presence of other identical elements in a process, method, article, or apparatus that comprises the element.
The embodiments in the present description are described in a progressive manner, each embodiment focuses on differences from other embodiments, and the same and similar parts among the embodiments are referred to each other.
The previous description of the disclosed embodiments is provided to enable any person skilled in the art to make or use the present application. Various modifications to these embodiments will be readily apparent to those skilled in the art, and the generic principles defined herein may be applied to other embodiments without departing from the spirit or scope of the application. Thus, the present application is not intended to be limited to the embodiments shown herein but is to be accorded the widest scope consistent with the principles and novel features disclosed herein.

Claims (15)

1. A telephone customer service data processing method is characterized by comprising the following steps:
acquiring basic credit score and historical consultation data of a user initiating a telephone customer service request in a target time period, wherein the historical consultation data of the user are acquired in a historical consultation database, and credit score of the user is acquired in a credit database and is used as the basic credit score of the user;
aiming at each user, determining the credit score of the user according to the basic credit score and the historical consultation data of the user, wherein the credit score represents the credibility of the consultation core service of the user;
and sequencing the users according to the sequence of the credit scores from high to low, wherein the sequencing sequence of each user is the response sequence of the telephone customer service request initiated by the corresponding user, so that the customer service platform can sequentially respond to the telephone customer service request initiated by each user according to the response sequence.
2. The method of claim 1, wherein the obtaining of the basic credit score and historical consulting data of the user initiating the telephone customer service request in the target time period comprises:
according to a target telephone number which initiates a telephone customer service request in a target time period, acquiring credit investigation scores of users corresponding to the target telephone number, and determining the credit investigation scores as basic credit scores of the corresponding users;
and acquiring stored historical consultation data corresponding to the target telephone number.
3. The method of claim 2, wherein the historical consulting data includes a business label of each historical consulting question, the business label indicating a business type corresponding to the historical consulting question;
the acquiring the stored historical consultation data corresponding to the target telephone number comprises the following steps:
and acquiring the stored service label of each historical consultation problem corresponding to the target telephone number.
4. The method as claimed in claim 3, wherein the historical consulting data further includes a call duration of each historical consulting question, and the obtaining the stored historical consulting data corresponding to the target telephone number includes:
and acquiring a stored service label of each historical consultation problem corresponding to the target telephone number and the call duration of each historical consultation problem.
5. The method according to any one of claims 1 to 4, wherein said determining, for each of said users, a credit score for the user based on the user's basic credit score and historical consulting data thereof comprises:
for each user, determining credit score adjustment quantity corresponding to each service label according to the service label of each historical consultation problem of the user;
determining credit score adjustment quantity corresponding to each call duration according to the call duration of each historical consultation problem of the user;
multiplying the credit score adjustment quantity corresponding to each service label by a first weight to obtain weighted credit score adjustment quantity corresponding to each service label; multiplying the credit score adjustment quantity corresponding to each call duration by a second weight to obtain weighted credit score adjustment quantity corresponding to each call duration;
and adding the weighted credit score adjustment quantity corresponding to each service label, the weighted credit score adjustment quantity corresponding to each call duration and the basic credit score of the user, and taking the added result as the credit score of the user.
6. The method of claim 1, further comprising:
for each user after sorting, dividing the user with the credit score exceeding a set credit score threshold value into a high credit score user, and dividing the user without the credit score exceeding the set credit score threshold value into a low credit score user;
and sequentially responding to the telephone customer service requests initiated by the users with high credit scores according to the ranking sequence of the credit scores from high to low.
7. The method of claim 6, wherein the target time period is one of several consecutive time periods divided in advance, and the method further comprises:
and if all the telephone customer service requests initiated by the users with high credit score in the target time period are completely responded, and no new telephone customer service request initiated by the user in the next adjacent target time period after the target time period exists, sequentially responding to the telephone customer service requests initiated by the users with low credit score according to the sequence of the credit scores from high to low.
8. The method of claim 7, further comprising:
if all the telephone customer service requests initiated by the high credit users in the target time period are completely responded, and new users initiate telephone customer service requests in the next adjacent target time period after the target time period, judging whether the frequency of the service tags of the historical consultation problems of the low credit users in the target time period are first class service tags exceeds a set frequency threshold value or not;
if yes, refusing to respond to the telephone customer service request initiated by the user with low credit score, and entering the processing process of the telephone customer service request initiated by the user in the next adjacent target time period;
if not, sequentially responding the telephone customer service requests initiated by the users with low credit scores according to the sequence of the credit scores from high to low, and entering the processing process of the telephone customer service requests initiated by the users in the next adjacent target time period after all responses are finished.
9. The method of claim 3, further comprising:
dividing each telephone number into a plurality of groups according to the stored service label of each historical consultation problem corresponding to each telephone number and the type of the service label;
and aiming at the telephone numbers in each group, and performing return visit on each telephone number in the group according to a return visit strategy corresponding to the service label type of the group.
10. A telephone customer service data processing apparatus, comprising:
the system comprises a data acquisition unit, a service processing unit and a service processing unit, wherein the data acquisition unit is used for acquiring basic credit scores and historical consultation data of a user initiating a telephone customer service request in a target time period, the historical consultation data of the user are acquired in a historical consultation database, and credit scores of the user are acquired in a credit assessment database and serve as the basic credit scores of the user;
the credit score determining unit is used for determining the credit score of each user according to the basic credit score and the historical consultation data of the user, wherein the credit score represents the credibility of the consultation core service of the user;
and the sequencing unit is used for sequencing the users according to the sequence of the credit scores from high to low, wherein the sequencing sequence of each user is the response sequence of the telephone service requests initiated by the corresponding user, so that the service platform can sequentially respond to the telephone service requests initiated by each user according to the response sequence.
11. The apparatus of claim 10, further comprising:
the user dividing unit is used for dividing the users with credit scores exceeding a set credit score threshold into high credit score users and dividing the users without credit scores exceeding the set credit score threshold into low credit score users aiming at each sorted user;
and the high credit score user response unit is used for sequentially responding to the telephone customer service requests initiated by the high credit score users according to the sequencing order of the credit scores from high to low.
12. The apparatus of claim 11, wherein the target time period is one of several consecutive time periods obtained by pre-dividing, and the apparatus further comprises:
and the first low credit user response unit is used for sequentially responding the telephone customer service requests initiated by the low credit users according to a ranking sequence of credit scores from high to low if all the telephone customer service requests initiated by the high credit users in the target time period are completely responded and no new telephone customer service request is initiated by a user in the next adjacent target time period after the target time period.
13. The apparatus of claim 12, further comprising:
a second low credit user response unit, configured to determine whether the number of times that a service tag of each historical consultation problem of the low credit user in the target time period is a first-class service tag exceeds a set number threshold value if all telephone customer service requests initiated by the high credit user in the target time period have been completely responded and a new telephone customer service request is initiated by a new user in a next adjacent target time period after the target time period; if yes, refusing to respond to the telephone customer service request initiated by the user with low credit score, and entering the processing process of the telephone customer service request initiated by the user in the next adjacent target time period; if not, sequentially responding the telephone customer service requests initiated by the users with low credit scores according to the sequence of the credit scores from high to low, and entering the processing process of the telephone customer service requests initiated by the users in the next adjacent target time period after all responses are finished.
14. A customer service platform device comprising a memory and a processor;
the memory is used for storing programs;
the processor is configured to execute the program to implement the telephone service data processing method according to any one of claims 1 to 9.
15. A storage medium having stored therein a program which, when executed by a processor, implements the telephone customer service data processing method according to any one of claims 1 to 9.
CN201611041779.7A2016-11-182016-11-18Telephone customer service data processing method and deviceActiveCN108076237B (en)

Priority Applications (1)

Application NumberPriority DateFiling DateTitle
CN201611041779.7ACN108076237B (en)2016-11-182016-11-18Telephone customer service data processing method and device

Applications Claiming Priority (1)

Application NumberPriority DateFiling DateTitle
CN201611041779.7ACN108076237B (en)2016-11-182016-11-18Telephone customer service data processing method and device

Publications (2)

Publication NumberPublication Date
CN108076237A CN108076237A (en)2018-05-25
CN108076237Btrue CN108076237B (en)2020-06-05

Family

ID=62161471

Family Applications (1)

Application NumberTitlePriority DateFiling Date
CN201611041779.7AActiveCN108076237B (en)2016-11-182016-11-18Telephone customer service data processing method and device

Country Status (1)

CountryLink
CN (1)CN108076237B (en)

Families Citing this family (13)

* Cited by examiner, † Cited by third party
Publication numberPriority datePublication dateAssigneeTitle
CN110138987A (en)*2019-05-152019-08-16北京首汽智行科技有限公司A kind of customer service cut-in method promoting high-quality user's viscosity
CN110390535B (en)*2019-06-252023-10-10阿里巴巴集团控股有限公司Customer complaint object determining method and device, electronic equipment and readable storage medium
CN111092999A (en)*2019-11-132020-05-01泰康保险集团股份有限公司Data request processing method and device
CN111026793A (en)*2019-11-252020-04-17珠海格力电器股份有限公司Data processing method, device, medium and equipment
CN111080142B (en)*2019-12-192022-05-17云南电网有限责任公司信息中心 An Active Service Auxiliary Judgment Method Based on Power Failure Report
CN111277716B (en)*2020-01-202021-08-24深圳市赛易特信息技术有限公司Call processing method and system
CN111324786B (en)*2020-03-032023-11-07北京京东振世信息技术有限公司Method and device for processing consultation problem information
CN111489095B (en)*2020-04-152023-07-25腾讯科技(深圳)有限公司Risk user management method, apparatus, computer device and storage medium
CN112035642A (en)*2020-08-312020-12-04康键信息技术(深圳)有限公司Customer service matching method, device, equipment and storage medium
CN114205468A (en)*2020-09-172022-03-18北京有限元科技有限公司Telephone traffic distribution method and device based on intelligent prediction and computing equipment
CN114357014A (en)*2022-01-172022-04-15分享印科技(广州)有限公司Cutting die establishing system based on big data
CN114638698A (en)*2022-05-182022-06-17湖南三湘银行股份有限公司Supply chain financial service management platform and method
CN115168846A (en)*2022-07-082022-10-11中国银行股份有限公司Anti-attack method and device for bank customer service system

Citations (5)

* Cited by examiner, † Cited by third party
Publication numberPriority datePublication dateAssigneeTitle
CN101997996A (en)*2009-08-132011-03-30华为技术有限公司Method and device for queuing routing
CN103067621A (en)*2011-10-182013-04-24殷程Home seat management system of call center and method thereof
CN105654311A (en)*2015-12-242016-06-08北京京东尚科信息技术有限公司User information providing method and device
CN105847608A (en)*2016-03-172016-08-10中国工商银行股份有限公司Routing device and method for call center
WO2016176472A1 (en)*2015-04-282016-11-03Trans Union LlcSystem and method for automated communications session routing in a communications handling system

Family Cites Families (2)

* Cited by examiner, † Cited by third party
Publication numberPriority datePublication dateAssigneeTitle
US9008283B2 (en)*2013-03-152015-04-14Genesys Telecommunications Laboratories, Inc.Customer portal of an intelligent automated agent for a contact center
US9106748B2 (en)*2013-05-282015-08-11Mattersight CorporationOptimized predictive routing and methods

Patent Citations (5)

* Cited by examiner, † Cited by third party
Publication numberPriority datePublication dateAssigneeTitle
CN101997996A (en)*2009-08-132011-03-30华为技术有限公司Method and device for queuing routing
CN103067621A (en)*2011-10-182013-04-24殷程Home seat management system of call center and method thereof
WO2016176472A1 (en)*2015-04-282016-11-03Trans Union LlcSystem and method for automated communications session routing in a communications handling system
CN105654311A (en)*2015-12-242016-06-08北京京东尚科信息技术有限公司User information providing method and device
CN105847608A (en)*2016-03-172016-08-10中国工商银行股份有限公司Routing device and method for call center

Also Published As

Publication numberPublication date
CN108076237A (en)2018-05-25

Similar Documents

PublicationPublication DateTitle
CN108076237B (en)Telephone customer service data processing method and device
US12120271B2 (en)Matching using agent/caller sensitivity to performance
US7933388B1 (en)Method and system for providing information and advertising content in a telephone system
US8180043B2 (en)Method and apparatus for customer key routing
US9712679B2 (en)Systems and methods for routing callers to an agent in a contact center
US20100020961A1 (en)Routing callers to agents based on time effect data
US11627218B2 (en)Caller identification information analyzer
CN108391022A (en)A kind of call processing method, electronic device and computer readable storage medium
CN108734550A (en)Method, apparatus, equipment and the storage medium of propelling data
CN110113748A (en)Harassing call monitoring method, device
US11825024B1 (en)Managing outbound calling
US20090268890A1 (en)Targeting ads by tracking calls
CN111782735A (en)Wool party flow identification method and device
RU2740635C1 (en)Brand protection system and method based on search distribution
CN108391023A (en)A kind of call automatic answering method, electronic device and computer readable storage medium
CN115348544B (en)Different network user positioning method, terminal equipment and storage medium
CN110399399A (en)Method, apparatus, electronic equipment and the storage medium of customer analysis
CN111050001A (en)Telephone traffic distribution method and related device
CN118972496B (en) An intelligent IP phone outbound call cloud system and method
CN113283913A (en)Client information processing method and device
CN116132583B (en) Information processing method and device
CN118798517A (en) Outbound call time period analysis method, device, equipment, storage medium and program product
CN113420941A (en)Risk prediction method and device for user behavior

Legal Events

DateCodeTitleDescription
PB01Publication
PB01Publication
SE01Entry into force of request for substantive examination
SE01Entry into force of request for substantive examination
GR01Patent grant
GR01Patent grant

[8]ページ先頭

©2009-2025 Movatter.jp