Movatterモバイル変換


[0]ホーム

URL:


CN108053477B - Numerical processing method for deformation in pipeline - Google Patents

Numerical processing method for deformation in pipeline
Download PDF

Info

Publication number
CN108053477B
CN108053477BCN201711380711.6ACN201711380711ACN108053477BCN 108053477 BCN108053477 BCN 108053477BCN 201711380711 ACN201711380711 ACN 201711380711ACN 108053477 BCN108053477 BCN 108053477B
Authority
CN
China
Prior art keywords
pipeline
section
point
discrete data
dimensional
Prior art date
Legal status (The legal status is an assumption and is not a legal conclusion. Google has not performed a legal analysis and makes no representation as to the accuracy of the status listed.)
Active
Application number
CN201711380711.6A
Other languages
Chinese (zh)
Other versions
CN108053477A (en
Inventor
刘志
贾兴豪
董志江
王妮
张广宇
Current Assignee (The listed assignees may be inaccurate. Google has not performed a legal analysis and makes no representation or warranty as to the accuracy of the list.)
Beijing Huahang Radio Measurement Research Institute
Original Assignee
Beijing Huahang Radio Measurement Research Institute
Priority date (The priority date is an assumption and is not a legal conclusion. Google has not performed a legal analysis and makes no representation as to the accuracy of the date listed.)
Filing date
Publication date
Application filed by Beijing Huahang Radio Measurement Research InstitutefiledCriticalBeijing Huahang Radio Measurement Research Institute
Priority to CN201711380711.6ApriorityCriticalpatent/CN108053477B/en
Publication of CN108053477ApublicationCriticalpatent/CN108053477A/en
Application grantedgrantedCritical
Publication of CN108053477BpublicationCriticalpatent/CN108053477B/en
Activelegal-statusCriticalCurrent
Anticipated expirationlegal-statusCritical

Links

Images

Classifications

Landscapes

Abstract

The invention discloses a numerical processing method for deformation in a pipeline, belongs to the field of pipeline deformation detection engineering, and solves the problems of analyzing pipeline deformation and reconstructing a three-dimensional model of the pipeline according to detection data. Establishing a discrete data point column of a plurality of sections vertical to the pipeline axis in the pipeline according to the three-dimensional detection data of the deformation in the pipeline; an additional point is arranged at the tail end of the discrete data point column, so that the processed discrete data point column can form a closed curve; obtaining a cubic spline function of each section according to the processed discrete data point columns of each section, and solving the cubic spline function to obtain one-dimensional closed curve fitting of the pipeline section and ellipticity of the pipeline section; and (3) collecting the discrete data point columns of each section to form a pipeline three-dimensional point cloud data collection, and establishing a three-dimensional model of the pipeline. The numerical processing method described above can be used to build a three-dimensional model of a pipeline.

Description

Numerical processing method for deformation in pipeline
Technical Field
The invention belongs to the field of pipeline deformation detection engineering, and particularly relates to a numerical processing method for comprehensively analyzing deformation in a pipeline by using data of a plurality of detection points through a numerical analysis method.
Background
The pipeline deformation detection and comprehensive evaluation technology is an important guarantee technology in the field of oil and gas transportation.
Pipelines are laid in various environments such as land and sea around the world as facilities for long-distance transportation of media such as natural gas and oil. Most pipelines are buried pipelines, and due to the reasons of earthquake, stratum movement, crust change, heat transmission deformation, third-party construction damage and the like, the pipelines are deformed to different degrees, such as pipeline sinking, elliptical deformation, bending and sinking. These deformations can create safety hazards and in severe places can lead to pipe breaks with economic losses.
In actual engineering, complete and reliable pipeline deformation data and a three-dimensional model in a pipeline are obtained through detection and simulation, hidden dangers can be eliminated by adopting local pipe replacement, and therefore cost and accidents caused by long-distance pipe replacement are avoided. However, the prior art does not relate to a numerical processing method for simulating deformation in a pipeline by detecting data.
Disclosure of Invention
Aiming at the problems, the invention provides a numerical processing method for deformation in a pipeline, which solves the problems of analyzing the pipeline deformation and reconstructing a three-dimensional model of the pipeline according to detection data.
The invention adopts the following specific scheme:
the invention provides a numerical processing method of deformation in a pipeline, which comprises the following steps:
step 1: establishing a discrete data point column of a plurality of sections vertical to the pipeline axis in the pipeline according to the three-dimensional detection data of the deformation in the pipeline;
step 2: adding an additional point at the tail of the discrete data point array in the step 1 to obtain a processed discrete data point array of each section, so that the processed discrete data point array can form a closed curve, and the head-tail connection part of the closed curve can keep better smoothness;
and step 3: obtaining a cubic spline function of each section according to the processed discrete data point rows of each section by adopting a cubic spline fitting method, obtaining one-dimensional closed curve fitting of the pipeline section by solving the cubic spline function and obtaining the ellipticity calculation of the pipeline section;
and 4, step 4: and (3) collecting the discrete data point rows of each section to form a pipeline three-dimensional point cloud data matrix, and establishing a three-dimensional model of the pipeline according to the three-dimensional point cloud data matrix to complete numerical processing of deformation in the pipeline.
Further, step 1 comprises the steps of:
dividing the pipeline into N sections along the direction vertical to the axis according to the acquisition time sequence of the three-dimensional detection data, wherein each section has L discrete data points, and then the discrete data point column of the kth section is expressed as { S }i,k},{Si,k}={(r1,k1,k),…,(ri,ki,k),…,(rL,kL,k)};
k=1,2,…,N,i=1,…,L;r1,kIs the distance from the 1 st point on the kth section contour line to the center of the section, theta1,kThe included angle between the connecting line of the 1 st point and the circle center of the section and the vertical direction is formed; r isi,kIs the distance from the ith point on the kth section contour line to the center of the section, thetai,kThe included angle between the connecting line of the ith point and the circle center of the section and the vertical direction is shown; r isL,kIs the distance from the Lth point on the k-th section contour line to the center of the section, thetaL,kIs the included angle between the connecting line of the L-th point and the center of the cross section and the vertical direction.
Further, step 2 comprises the following steps:
discrete data point column { S ] in step 1i,kThe end of the sequence is added with an additional point (r)L+1,kL+1,k) To obtain the processed discrete data point column { P ] of the kth sectioni,k},{Pi,k}={(r1,k1,k),…,(ri,ki,k),…,(rL,kL,k),(rL+1,kL+1,k)};
rL+1,kIs the distance from the L +1 point on the k section contour line to the center of the section, thetaL+1,kIs the angle between the connecting line of the L +1 point and the center of the cross section and the vertical direction, and rL+1,k=r1,k,θL+1,k=θ1,k+2π。
Further, obtaining a one-dimensional closed curve of the pipeline section comprises the following steps:
step 31: discrete data point column { P) according to k section after processingi,kObtaining a cubic spline function r (theta) of a kth section by adopting a cubic spline fitting method, dividing the cubic spline function r (theta) into L-1 sections by taking L discrete data points as dividing points, and then dividing the r (theta) into [ theta ] sectionsi,k,θi+1,k]A piecewise function r ofi(theta) is represented by ri(θ)=aiθ3+biθ2+ciθ+di,i=1,…,L,ai、bi、ci、diThe number of undetermined coefficients is 4L;
due to the piecewise function ri(theta) an included angle theta between a connecting line of the ith point and the circle center of the cross section and the vertical direction must pass through discrete data pointsi,kThe distance r from the L-th point on the k-th section contour line to the center of the sectionL,kConforming to a piecewise function ri(θ),rii,k)=ri,k(ii) a Respectively substituting L +1 discrete data points into riIn (θ), L +1 constraint equations can be obtained;
since the cubic spline function r (θ) must be continuous around discrete data points, there are
Figure BDA0001515544060000031
L-1 constraint equations in total;
since the cubic spline r (θ) must remain first-order continuous around discrete data points, then
Figure BDA0001515544060000032
There are L-1 constraint equations in total;
since the cubic spline r (θ) must remain second-order continuous around discrete data points, there are
Figure BDA0001515544060000041
There are L-1 constraint equations in total;
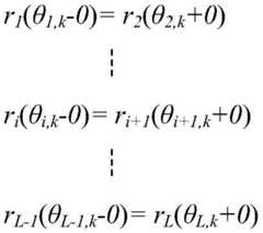
two end points (r) due to the curve closed by cubic spline function1,k1,k)、(rL+1,kL+1,k) Coincidence (r)1,k1,k)、(rL+1,kL+1,k) Two adjacent piecewise functions r11,k+0) and rLi,k-0) are equal, resulting in 2 constraint equations:
rL,(θi,k-0)=r1,(θ1,k+0)
rL,,(θi,k-0)=r1,,(θ1,k+0)
step 33: 4L constraint equations are obtained from step 32, so as to solve the piecewise function r on any intervaliAnd (theta) and a complete cubic spline function r (theta) to obtain a one-dimensional closed curve of the pipeline section.
Further, the ovality calculation of the pipe section comprises the following steps:
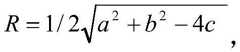
setting the center coordinates of the fitting circle as (x)0,y0) The radius of the fitting circle is R, the coordinates of any point on the fitting circle are (x, y), and the basic equation of the least square fitting circular curve is
Figure BDA0001515544060000042
Can be unfolded to obtain
Figure BDA0001515544060000043
Order to
Figure BDA0001515544060000044
Can obtain the product
Figure BDA0001515544060000045
After the formula is popularized to L discrete data points, the formula is written into a matrix form as follows
Figure BDA0001515544060000051
Can be obtained by calculation
Figure BDA0001515544060000052
Knowing xiAnd yiResolving a, b and c;
due to the fact that
Figure BDA0001515544060000053
Thereby obtaining the coordinates (x) of the center of the circle0,y0) And a fitting circle radius R, the fitting circle radius R and the original radius R of the k-th cross section before deformationbDifference of RbThe ratio is the ovality of the kth section.
Further, step 4 comprises the following steps:
superimposing the measured cross-section information k onto the processed discrete data point column { P } for the kth cross-sectioni,kAnd forming a pipeline three-dimensional point cloud data set Q (P) by the seti,1,Pi,2,…,Pi,k,…,Pi,NAnd inputting the three-dimensional point cloud data set Q of the pipeline into data processing software to reconstruct the curved surface of the pipeline, so as to obtain a point cloud picture of the pipeline and finish the numerical processing of the deformation in the pipeline.
Further, step 4 is followed by the steps of: writing the data format of the pipeline three-dimensional point cloud data set Q stored in the data processing software into a universal triangular grid format, and carrying out modeling display in three-dimensional modeling software to obtain a three-dimensional model of the pipeline.
Further, the numerical processing method for deformation in the pipeline further comprises the following step 5: carrying out interpolation encryption on the measurement point Q by utilizing a cubic spline function r (theta) to obtain enough data points;
step 6: and (3) collecting the encrypted discrete data point arrays of each section to form an encrypted pipeline three-dimensional point cloud data matrix, and establishing an encrypted three-dimensional model of the pipeline according to the encrypted three-dimensional point cloud data set.
Further, step 5 further comprises the following steps:
as the cubic spline function r (theta) is a one-dimensional closed curve, the theta belongs to 0,2 pi]The intra-period and end-to-end boundaries are continuous functions of second order, belonging to [0,2 π for any given]Given angle thetamFrom the cubic spline function r (theta), the angle theta at a given angle theta can be obtainedmAt a given angle thetamCorresponding given radius rm
The encrypted column of discrete data points for the kth section is shown as
{STj,k}={(r1,k1,k),(r2,k2,k),…,(rj,kj,k),…(rM,kM,k)};
j is 0,1, … M, M is the number of data points after encryption, M is nxl, n is the encryption density, n is 0,1, ….
Further, step 6 comprises the steps of: inputting the encrypted discrete data point columns into data processing software to carry out pipeline curved surface reconstruction to obtain an encrypted point cloud picture of the pipeline; writing the data format of the encrypted discrete data point row stored in the data processing software into a universal triangular grid format, and carrying out modeling display in three-dimensional modeling software to obtain an encrypted three-dimensional model of the pipeline.
The invention has the beneficial effects that:
the numerical processing method for the deformation in the pipeline provided by the invention has the advantages of high modeling speed and high model precision, and can reasonably formulate the numerical processing method for the deformation detection data.
Additional features and advantages of the invention will be set forth in the description which follows, and in part will be obvious from the description, or may be learned by practice of the invention. The objectives and other advantages of the invention will be realized and attained by the structure particularly pointed out in the written description and claims hereof as well as the appended drawings.
Drawings
The drawings are only for purposes of illustrating embodiments of the invention and are not to be construed as limiting the invention. Like reference numerals refer to like parts throughout the drawings.
Fig. 1a is an unencrypted point cloud diagram of a pipeline obtained by using a numerical processing method of deformation in the pipeline according to a first embodiment of the invention;
FIG. 1b is a cloud point of the pipeline of FIG. 1a after 2-fold encryption;
FIG. 1c is a cloud point of the pipeline of FIG. 1a after 10 times encryption;
FIG. 2a is a three-dimensional model of a pipeline obtained by a numerical processing method of deformation in the pipeline according to a first embodiment of the present invention;
FIG. 2b is an encrypted three-dimensional model of the pipeline of FIG. 2a after 2-fold encryption;
FIG. 2c is an encrypted three-dimensional model of the pipeline of FIG. 2a after 10 times encryption;
Detailed Description
The present invention will be described in detail with reference to the accompanying drawings. The accompanying drawings, which are incorporated in and constitute a part of this application, illustrate embodiments of the invention and together with the description, serve to explain the principles of the invention.
The invention provides a numerical processing method of deformation in a pipeline, which is based on the measured data of a deformation detector, can quickly obtain the theoretical circle center of a detection section through numerical processing, carries out pipeline ovality evaluation and can realize three-dimensional reconstruction of a pipeline model according to the detection data.
The numerical processing method for the deformation in the pipeline, as shown in fig. 1, includes the following steps:
step 1: and establishing a discrete data point column of a plurality of sections in the pipeline, which are vertical to the pipeline axis, according to the three-dimensional detection data of the deformation in the pipeline.
Specifically, the step 1 includes the steps of:
making the pipeline vertical according to the acquisition time sequence of three-dimensional detection dataDividing the image into N sections in the direction of the axis, wherein each section has L discrete data points, and the discrete data point column of the kth section is expressed as { S }i,k},{Si,k}={(r1,k1,k),…,(ri,ki,k),…,(rL,kL,k) Where k is 1,2, …, N, i is 1, …, L; r is1,kIs the distance from the 1 st point on the kth section contour line to the center of the section, theta1,kThe included angle between the connecting line of the 1 st point and the circle center of the section and the vertical direction is formed; r isi,kIs the distance from the ith point on the kth section contour line to the center of the section, thetai,kThe included angle between the connecting line of the ith point and the circle center of the section and the vertical direction is shown; r isL,kIs the distance from the Lth point on the k-th section contour line to the center of the section, thetaL,kIs the included angle between the connecting line of the L-th point and the center of the cross section and the vertical direction.
Step 2: and (3) obtaining a processed discrete data point column of the kth section at an additional point at the tail of the discrete data point column in the step (1), so that the processed discrete data point column can form a closed curve, and the head and tail parts of the closed curve can keep better smoothness.
Specifically, the step 2 includes the following steps:
discrete data point column { S ] in step 1i,kThe end of the sequence is added with an additional point (r)L+1,kL+1,k) To obtain the processed discrete data point column { P ] of the kth sectioni,k},{Pi,k}={(r1,k1,k),…,(ri,ki,k),…,(rL,kL,k),(rL+1,kL+1,k) Wherein r isL+1,kIs the distance from the L +1 point on the k section contour line to the center of the section, thetaL+1,kIs the angle between the connecting line of the L +1 point and the center of the cross section and the vertical direction, and rL+1,k=r1,k,θL+1,k=θ1,k+2 pi, the discrete data point array after processing can form a closed curve, and the head-to-tail connection part of the closed curve can keep better smoothness.
And step 3: and obtaining a cubic spline function of the kth section by adopting a cubic spline fitting method according to the processed discrete data point column of the kth section, and obtaining one-dimensional closed curve fitting of the pipeline section and ellipticity calculation of the pipeline section by solving the cubic spline function.
Specifically, the method for obtaining the one-dimensional closed curve of the pipeline section comprises the following steps:
step 31: discrete data point column { P) according to k section after processingi,kObtaining a cubic spline function r (theta) of a kth section by adopting a cubic spline fitting method, dividing the cubic spline function r (theta) into L-1 sections by taking L discrete data points as dividing points, and then dividing the r (theta) into [ theta ] sectionsi,ki+1,k]A piecewise function r ofi(theta) is represented by
ri(θ)=aiθ3+biθ2+ciθ+diWherein i is 1, …, L, ai、bi、ci、diThe number of the undetermined coefficients is 4L.
Due to the piecewise function ri(theta) an included angle theta between a connecting line of the ith point and the circle center of the cross section and the vertical direction must pass through discrete data pointsi,kThe distance r from the L-th point on the k-th section contour line to the center of the sectionL,kShould also comply with the above-mentioned piecewise function ri(theta), that is, rii,k)=ri,k
Due to the processed discrete data point column { P ] at the k-th sectioni,kSubstituting L +1 discrete data points into riIn (θ), L +1 constraint equations can be obtained.
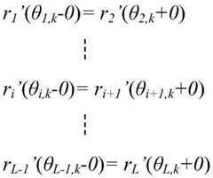
Since the cubic spline function r (θ) must be continuous around discrete data points, there are
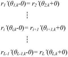
Figure BDA0001515544060000091
And L-1 constraint equations in total.
Since the cubic spline r (θ) must remain continuous to the first order around discrete data points, there are
Figure BDA0001515544060000092
There are L-1 constraint equations in total.
Since the cubic spline r (θ) must remain second-order continuous around discrete data points, there are
Figure BDA0001515544060000093
There are L-1 constraint equations in total.
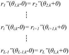
For a closed curve, the end-to-end endpoints coincide, i.e., (r)1,k1,k)、(rL+1,kL+1,k) It is actually the same point, rL+1,k=r1,k,θL+1,k=θ1,k+2 π, therefore, (r)1,k1,k)、(rL+1,kL+1,k) Two adjacent piecewise functions r11,k+0) and rLi,k-0) are equal, resulting in 2 constraint equations:
rL’(θi,k-0)=r1’(θ1,k+0)
rL”(θi,k-0)=r1”(θ1,k+0)
step 33: 4L constraint equations are obtained in step 32, and a piecewise function r on any interval is solvediAnd (theta), and further obtaining a complete cubic spline function r (theta), namely a one-dimensional closed curve of the pipeline section.
The ovality calculation of the pipeline section comprises the following steps:
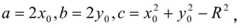
the method for deducing and calculating the center of the fitting circle by a numerical calculation method sets the coordinates of the center of the fitting circle as (x)0,y0) The radius of the fitting circle is R, the coordinate of any point on the fitting circle is (x, y), and then the least square fitting circular curveIs based on the equation
R2=(x-x0)2+(y-y0)2-formula 1
Can be unfolded to obtain
Figure BDA0001515544060000101
Order to
Figure BDA0001515544060000105
Can obtain the product
x2+y2-ax-by + c ═ 0-formula 3
After the formula is popularized to L discrete data points, the formula is written into a matrix form as follows
Figure BDA0001515544060000102
Can be obtained by calculation
Figure BDA0001515544060000103
Knowing xiAnd yiA, b, c are solved because
Figure BDA0001515544060000104
Available x0=a/2,y0=b/2,
Figure BDA0001515544060000111
Namely obtaining the coordinates (x) of the center of the circle of the fitting circle0,y0) And a fitting circle radius R, the fitting circle radius R and an original radius (nominal pipe radius) R of the k-th cross section before deformationbDifference of RbThe ratio is the ovality of the kth cross section.
And 4, step 4: and collecting the discrete data point rows of the k sections to form a pipeline three-dimensional point cloud data matrix, and establishing a three-dimensional model of the pipeline according to the three-dimensional point cloud data matrix to complete numerical processing of deformation in the pipeline.
Specifically, the step 4 includes the following steps:
superimposing the measured cross-section information k onto the processed discrete data point column { P } for the kth cross-sectioni,kAnd forming a pipeline three-dimensional point cloud data set Q (P) by the seti,1,Pi,2,…,Pi,k,…,Pi,NAnd (4) inputting the three-dimensional point cloud data set Q of the pipeline into data processing software (for example, matlab) to carry out curved surface reconstruction of the pipeline, so as to obtain a point cloud picture of the pipeline and finish numerical processing of deformation in the pipeline.
However, since the data processing software is non-professional three-dimensional modeling software and mainly operates with code commands, the model interactivity of the obtained point cloud image of the pipeline is poor, and therefore, the step 4 further includes the following steps: writing the data format of the pipeline three-dimensional point cloud data set Q stored in the data processing software into a universal triangular grid format (such as stl), and performing modeling display in three-dimensional modeling software (such as UG) to obtain a three-dimensional model of the pipeline.
Considering that the actual single detection section has fewer detection data points, the pipeline model reconstructed by using the original detection point data is also rough, and the surface features are fuzzy, as shown in fig. 1 a. In order to better and stereoscopically present the appearance of the pipeline, the numerical processing method for deformation in the pipeline may further include step 5: the measurement point Q is interpolated using a cubic spline r (θ) to obtain a sufficient number of data points.
Specifically, the step 5 may include the steps of:
since the cubic spline function r (theta) is a one-dimensional closed curve, the cubic spline function r (theta) belongs to 0,2 pi at theta]The intra-period and end-to-end boundaries are continuous functions of second order, and thus belong to [0,2 π ] for any given]Given angle thetamThe angle theta at a given angle theta must be obtained from a cubic spline function r (theta)mAt a given angle thetamCorresponding given radius rm
The number of data points after encryption is defined as M ═ n × L, where n is the encryption density and n is 0,1, …. The k-th section of the column of discrete data points encrypted at the encryption density n can be represented as
{STj,k}={(r1,k1,k),(r2,k2,k),…,(rj,kj,k),…(rM,kM,k) Where j is 0,1, … M.
In practical application, by increasing the encryption density n, the encryption data points extracted from the cubic spline function r (theta) can be increased, the encryption of the detection data is realized, and the definition of the surface characteristics of the pipeline model is improved.
For example, a 12.7 "diameter pipe, described by only 32 raw inspection point data, is blurred in its surface features as shown in FIG. 1 a. However, after the surface features are encrypted by multiple times of interpolation, the surface features are clearer. The 2-fold encryption is performed as in fig. 1b, and the 10-fold encryption is performed in fig. 1 c.
Step 6: and (3) collecting the encrypted discrete data point arrays of each section to form an encrypted pipeline three-dimensional point cloud data matrix, and establishing an encrypted three-dimensional model of the pipeline according to the encrypted three-dimensional point cloud data set.
Specifically, the step 6 includes the steps of: and inputting the encrypted discrete data point column into data processing software (for example, matlab) to carry out pipeline curved surface reconstruction, so as to obtain an encrypted point cloud picture of the pipeline.
Likewise, in order to improve the interactivity of the model, the step 6 may further include the following steps: writing the data format of the encrypted discrete data point column stored in the data processing software into a universal triangular grid format (e.g. stl), and performing modeling display in three-dimensional modeling software (e.g. UG) to obtain an encrypted three-dimensional model of the pipeline.
For example, as shown in fig. 2a, the un-encrypted acquired data reconstructed UG three-dimensional surface map, fig. 2b is the 2-times encrypted acquired data reconstructed UG three-dimensional surface map, and fig. 2c is the 10-times encrypted acquired data reconstructed UG three-dimensional surface map.
Compared with the prior art, the numerical processing method for the deformation in the pipeline provided by the embodiment has the advantages of high modeling speed and high model precision, and can reasonably formulate the numerical processing method for the deformation detection data.
While the invention has been described in detail and with reference to specific embodiments thereof, it will be apparent to one skilled in the art that various changes and modifications can be made therein without departing from the spirit and scope thereof.

Claims (4)

1. A numerical processing method for deformation in a pipeline is characterized by comprising the following steps:
step 1: establishing a discrete data point column of a plurality of sections vertical to the pipeline axis in the pipeline according to the three-dimensional detection data of the deformation in the pipeline;
step 2: adding an additional point at the tail of the discrete data point array in the step 1 to obtain a processed discrete data point array of each section, so that the processed discrete data point array can form a closed curve, and the head-tail connection part of the closed curve can keep better smoothness;
and step 3: obtaining a cubic spline function of each section according to the processed discrete data point column of each section by adopting a cubic spline fitting method, and obtaining a fitting one-dimensional closed curve of the pipeline section and the ellipticity of the pipeline section by solving the cubic spline function;
and 4, step 4: collecting the discrete data point arrays of each section to form a pipeline three-dimensional point cloud data matrix, establishing a three-dimensional model of the pipeline according to the three-dimensional point cloud data matrix, and finishing numerical processing of deformation in the pipeline;
the step 2 comprises the following steps:
discrete data point column { S ] in step 1i,kThe end of the sequence is added with an additional point (r)L+1,kL+1,k) To obtain the processed discrete data point column { P ] of the kth sectioni,k},{Pi,k}={(r1,k1,k),…,(ri,ki,k),…,(rL,kL,k),(rL+1,kL+1,k)};
rL+1,kIs the L +1 point on the k section contour lineDistance to the center of the cross-section, thetaL+1,kIs the angle between the connecting line of the L +1 point and the center of the cross section and the vertical direction, and rL+1,k=r1,k,θL+1,k=θ1,k+2π。
2. A method for numerical processing of deformations inside pipes according to claim 1, characterized in that said step 1 comprises the following steps:
dividing the pipeline into N sections along the direction vertical to the axis according to the acquisition time sequence of the three-dimensional detection data, wherein each section has L discrete data points, and then the discrete data point column of the kth section is expressed as { S }i,k},{Si,k}={(r1,k1,k),…,(ri,ki,k),…,(rL,kL,k)};
k=1,2,…,N,i=1,…,L;r1,kIs the distance from the 1 st point on the kth section contour line to the center of the section, theta1,kThe included angle between the connecting line of the 1 st point and the circle center of the section and the vertical direction is formed; r isi,kIs the distance from the ith point on the kth section contour line to the center of the section, thetai,kThe included angle between the connecting line of the ith point and the circle center of the section and the vertical direction is shown; r isL,kIs the distance from the Lth point on the k-th section contour line to the center of the section, thetaL,kIs the included angle between the connecting line of the L-th point and the center of the cross section and the vertical direction.
3. A method for numerical processing of deformations inside pipes according to claim 1, characterized in that it further comprises a step 5: carrying out interpolation encryption on the measurement point Q by utilizing a cubic spline function r (theta) to obtain enough data points;
step 6: and (3) collecting the encrypted discrete data point arrays of each section to form an encrypted pipeline three-dimensional point cloud data matrix, and establishing an encrypted three-dimensional model of the pipeline according to the encrypted three-dimensional point cloud data set.
4. A method for numerical processing of deformations inside a pipe according to claim 3, characterized in that said step 6 comprises the following steps: inputting the encrypted discrete data point columns into data processing software to carry out pipeline curved surface reconstruction to obtain an encrypted point cloud picture of the pipeline;
writing the data format of the encrypted discrete data point row stored in the data processing software into a universal triangular grid format, and carrying out modeling display in three-dimensional modeling software to obtain an encrypted three-dimensional model of the pipeline.
CN201711380711.6A2017-12-202017-12-20Numerical processing method for deformation in pipelineActiveCN108053477B (en)

Priority Applications (1)

Application NumberPriority DateFiling DateTitle
CN201711380711.6ACN108053477B (en)2017-12-202017-12-20Numerical processing method for deformation in pipeline

Applications Claiming Priority (1)

Application NumberPriority DateFiling DateTitle
CN201711380711.6ACN108053477B (en)2017-12-202017-12-20Numerical processing method for deformation in pipeline

Publications (2)

Publication NumberPublication Date
CN108053477A CN108053477A (en)2018-05-18
CN108053477Btrue CN108053477B (en)2021-07-02

Family

ID=62130225

Family Applications (1)

Application NumberTitlePriority DateFiling Date
CN201711380711.6AActiveCN108053477B (en)2017-12-202017-12-20Numerical processing method for deformation in pipeline

Country Status (1)

CountryLink
CN (1)CN108053477B (en)

Families Citing this family (10)

* Cited by examiner, † Cited by third party
Publication numberPriority datePublication dateAssigneeTitle
CN109186540B (en)*2018-08-152021-04-30中国石油大学(北京)Pipeline monitoring method and system
CN109406618B (en)*2018-10-182021-08-06科大智能物联技术股份有限公司Petroleum pipeline defect detection system and control method
CN110638523B (en)*2019-08-122021-01-05杭州英库医疗科技有限公司Method for automatically cutting edges based on circular track curve profile
CN111192358A (en)*2019-12-252020-05-22五邑大学Pipeline crack detection method, device, equipment and storage medium based on three dimensions
CN111412884B (en)*2020-04-072021-07-23广东电网有限责任公司Three-dimensional information recovery method based on attitude information
CN112509139B (en)*2020-12-142024-05-28盈嘉互联(北京)科技有限公司BIM model pipeline center line extraction method and device
CN115294266B (en)*2022-06-292025-09-23中国电建集团中南勘测设计研究院有限公司 Pipeline deformation identification method, terminal device and storage medium
CN115673030B (en)*2022-10-252025-05-02重庆理工大学Straightening method for pipe parts
CN116309852B (en)*2023-05-242023-08-18江苏霆升科技有限公司Fitting method and device of mapping catheter and electronic equipment
CN117537768A (en)*2023-10-252024-02-09东风商用车有限公司 An analysis method, device, equipment and storage medium for engine cylinder deformation

Citations (10)

* Cited by examiner, † Cited by third party
Publication numberPriority datePublication dateAssigneeTitle
CN1945626A (en)*2006-08-142007-04-11东南大学Method for filling dot cloud hole based on B sample strip curve three dimension scan
WO2011031134A1 (en)*2009-09-142011-03-17Erasmus University Medical Center RotterdamImage processing method and system
CN102197287A (en)*2008-08-212011-09-21秦内蒂克有限公司Tracking objects in conduits
CN103322415A (en)*2013-06-052013-09-25哈尔滨工程大学Two-dimensional reproduction method for petroleum pipeline defects through least squares support vector machines (LS-SVM)
CN103488832A (en)*2013-09-232014-01-01大连理工大学Geometry repair method for damaged area of complex curved surface part
CN104296717A (en)*2014-09-292015-01-21中国石油天然气股份有限公司Method for acquiring bending strain of pipeline and measuring equipment
CN104567708A (en)*2015-01-062015-04-29浙江工业大学Tunnel full-section high-speed dynamic health detection device and method based on active panoramic vision
CN105809668A (en)*2016-01-152016-07-27武汉武大卓越科技有限责任公司Object surface deformation feature extraction method based on line scanning three-dimensional point cloud
CN107036544A (en)*2017-05-242017-08-11山东科技大学A kind of large-scale storage tank safety detecting system and method based on three-dimensional laser scanning technique
CN107449368A (en)*2017-08-172017-12-08中国水利水电科学研究院A kind of buried pipeline deformation pattern detection method

Patent Citations (10)

* Cited by examiner, † Cited by third party
Publication numberPriority datePublication dateAssigneeTitle
CN1945626A (en)*2006-08-142007-04-11东南大学Method for filling dot cloud hole based on B sample strip curve three dimension scan
CN102197287A (en)*2008-08-212011-09-21秦内蒂克有限公司Tracking objects in conduits
WO2011031134A1 (en)*2009-09-142011-03-17Erasmus University Medical Center RotterdamImage processing method and system
CN103322415A (en)*2013-06-052013-09-25哈尔滨工程大学Two-dimensional reproduction method for petroleum pipeline defects through least squares support vector machines (LS-SVM)
CN103488832A (en)*2013-09-232014-01-01大连理工大学Geometry repair method for damaged area of complex curved surface part
CN104296717A (en)*2014-09-292015-01-21中国石油天然气股份有限公司Method for acquiring bending strain of pipeline and measuring equipment
CN104567708A (en)*2015-01-062015-04-29浙江工业大学Tunnel full-section high-speed dynamic health detection device and method based on active panoramic vision
CN105809668A (en)*2016-01-152016-07-27武汉武大卓越科技有限责任公司Object surface deformation feature extraction method based on line scanning three-dimensional point cloud
CN107036544A (en)*2017-05-242017-08-11山东科技大学A kind of large-scale storage tank safety detecting system and method based on three-dimensional laser scanning technique
CN107449368A (en)*2017-08-172017-12-08中国水利水电科学研究院A kind of buried pipeline deformation pattern detection method

Non-Patent Citations (3)

* Cited by examiner, † Cited by third party
Title
Reverse Engineering Point Clouds to Obtain Tensor Product B-Spline Surfaces by Blending Local Fits;Lavanya Sita Tekumalla;《ARXIV》;20141130;全文*
基于主成分分析的大型管道三维表面重建;闫勇刚;《仪器仪表学报》;20141130;全文*
基于几何特性的三次均匀 B 样条曲线构造描述;方忆湘;《工程图学学报》;20061231;全文*

Also Published As

Publication numberPublication date
CN108053477A (en)2018-05-18

Similar Documents

PublicationPublication DateTitle
CN108053477B (en)Numerical processing method for deformation in pipeline
CN104637073B (en)It is a kind of based on the banding underground structure detection method for shining upon shadow compensation
CN113963120B (en)Automatic parameterization three-dimensional pipeline modeling method and system based on GIS (geographic information System)
CN103913131B (en)Free curve method vector measurement method based on binocular vision
CN105550691B (en)Adaptive mountain valley ridge line extracting method and system based on scale space
CN110766669A (en) A Multi-Vision-Based Pipeline Measurement Method
CN102867332B (en)Based on the multistage subdivided meshes curved surface fitting method of complex boundary constraint
CN101216895A (en) An Automatic Extraction Method of Ellipse Image Feature in Complicated Background Image
CN106595656A (en)Vehicle-mounted POS-based highway alignment feature recognition and parameter calculation method
CN106055794A (en)Method for building three-dimensional pipeline model in parametric manner
CN109871598B (en) A Method for Constructing Real-time Visualized Fluids in Complex 3D Pipe Networks
CN107481313A (en)A kind of dense three-dimensional object reconstruction method based on study available point cloud generation
TW202135007A (en)Method for processing three-dimensional point cloud data
CN105678252A (en)Iteration interpolation method based on face triangle mesh adaptive subdivision and Gauss wavelet
CN106291678A (en)A kind of seismic data acquisition method and system
CN103292784A (en)Underwater surface topography visuality analyzing method based on sound ray track
CN103824323B (en)A kind of three-dimensional rebuilding method based on single width two dimensional image
CN113609691A (en)Intersection modeling processing method for intelligent traffic simulation
TW201627631A (en)Device and method for measuring three-dimensional images of tunnel deformation
Son et al.Automatic 3D reconstruction of as-built pipeline based on curvature computations from laser-scanned data
Prakoonwit et al.3D surface point and wireframe reconstruction from multiview photographic images
CN118941684A (en) Real-time rendering method and system of three-dimensional underground pipeline network based on two-dimensional vector pipelines
CN114398816B (en)Quantitative interpretation and three-dimensional visualization method for full-three-dimensional well periphery velocity field inversion
CN108121869B (en)TIN _ DDM buffer surface rapid construction method based on rolling ball model
CN110805428A (en)Directional drilling track fitting method and device based on pipeline length

Legal Events

DateCodeTitleDescription
PB01Publication
PB01Publication
SE01Entry into force of request for substantive examination
SE01Entry into force of request for substantive examination
GR01Patent grant
GR01Patent grant

[8]ページ先頭

©2009-2025 Movatter.jp