Movatterモバイル変換


[0]ホーム

URL:


CN108017628B - Substituted pyrimidine compound and application thereof - Google Patents

Substituted pyrimidine compound and application thereof
Download PDF

Info

Publication number
CN108017628B
CN108017628BCN201610960553.0ACN201610960553ACN108017628BCN 108017628 BCN108017628 BCN 108017628BCN 201610960553 ACN201610960553 ACN 201610960553ACN 108017628 BCN108017628 BCN 108017628B
Authority
CN
China
Prior art keywords
halo
alkyl
radical
general formula
group
Prior art date
Legal status (The legal status is an assumption and is not a legal conclusion. Google has not performed a legal analysis and makes no representation as to the accuracy of the status listed.)
Active
Application number
CN201610960553.0A
Other languages
Chinese (zh)
Other versions
CN108017628A (en
Inventor
孙旭峰
姚忠远
王军锋
关爱莹
单中刚
杨金龙
刘长令
Current Assignee (The listed assignees may be inaccurate. Google has not performed a legal analysis and makes no representation or warranty as to the accuracy of the list.)
Shenyang Sinochem Agrochemicals R&D Co Ltd
Original Assignee
Shenyang Sinochem Agrochemicals R&D Co Ltd
Priority date (The priority date is an assumption and is not a legal conclusion. Google has not performed a legal analysis and makes no representation as to the accuracy of the date listed.)
Filing date
Publication date
Application filed by Shenyang Sinochem Agrochemicals R&D Co LtdfiledCriticalShenyang Sinochem Agrochemicals R&D Co Ltd
Priority to CN201610960553.0ApriorityCriticalpatent/CN108017628B/en
Publication of CN108017628ApublicationCriticalpatent/CN108017628A/en
Application grantedgrantedCritical
Publication of CN108017628BpublicationCriticalpatent/CN108017628B/en
Activelegal-statusCriticalCurrent
Anticipated expirationlegal-statusCritical

Links

Classifications

Landscapes

Abstract

The invention discloses a substituted pyrimidine compound, the structure of which is shown as the general formula I:

Description

Substituted pyrimidine compound and application thereof
Technical Field
The invention belongs to the field of agricultural bactericides, and particularly relates to preparation and application of a novel substituted pyrimidine compound.
Background
WO 9507278 reports that substituted pyrimidine compounds CK1 and CK2 (the numbers in the patent are 57 and 58 respectively) have the control effect of more than 70 percent on wheat powdery mildew, wheat leaf rust, potato and tomato late blight or grape downy mildew at the dose of 250 ppm.
Figure BDA0001144181250000011
In the prior art, substituted thiazole benzylamine compounds are reported, and substituted pyrimidine compounds with the structure shown as the general formula I are not reported.
Disclosure of Invention
The invention aims to provide a substituted pyrimidine compound which can control various germs, pests and mites and can be used for preparing medicines for preventing and controlling germs and/or pests and mites in agriculture or other fields.
The technical scheme of the invention is as follows:
the invention provides a substituted pyrimidine compound, which is shown as a general formula I:
Figure BDA0001144181250000012
in the formula:
R1selected from hydrogen, halogen, cyano, nitro, amino, carboxyl, C1-C12Alkyl, halo C1-C12Alkyl radical, C3-C12Cycloalkyl radical, C1-C12Alkoxy, halo C1-C12Alkoxy radical, C1-C12Alkylthio, halo C1-C12Alkylthio radical, C1-C12Alkylsulfinyl radical, C1-C12Alkylsulfonyl radical, C2-C12Alkenyl, halo C2-C12Alkenyl radical, C2-C12Alkynyl, halo C2-C12Alkynyl, C3-C12Alkenyloxy, halogeno C3-C12Alkenyloxy radical, C3-C12Alkynyloxy, halo C3-C12Alkynyloxy, C1-C12Alkylamino radical, di (C)1-C12Alkyl) amino, C1-C12Alkylaminocarbonyl, halogeno C1-C12Alkylaminocarbonyl radical, C1-C12Alkoxycarbonyl, halo C1-C12Alkoxycarbonyl group, C1-C12Alkoxy radical C1-C12Alkyl or C1-C2Alkylthio group C1-C12An alkyl group;
R2selected from hydrogen, halogen, cyano, nitro, amino, carboxyl, formyl, C1-C12Alkyl, halo C1-C12Alkyl radical, C1-C12Alkoxy or halo C1-C12An alkoxy group;
R1and R2Can also form a five-membered, six-membered, seven-membered or eight-membered ring containing C, N, O or S together with the connected pyrimidine ring;
x is selected from NR3O or S;
z is selected from NR3O or S;
R3selected from hydrogen, hydroxy, formyl, C1-C12Alkyl, halo C1-C12Alkyl radical, C1-C12Alkoxy, halo C1-C12Alkoxy radical, C3-C12Cycloalkyl radical, C1-C12Alkylthio radical, C2-C12Alkenylthio radical, C2-C12Alkenyl radical, C2-C12Alkynyl, halo C2-C12Alkenyl, halo C2-C12Alkynyl, C1-C12Alkoxy radical C1-C12Alkyl, halo C1-C12Alkoxy radical C1-C12Alkyl radical, C1-C12Alkylthio group C1-C12Alkyl, halo C1-C12Alkylthio group C1-C12Alkyl radical, C1-C12Alkylsulfinyl, halogeno C1-C12Alkylsulfinyl radical, C1-C12Alkylsulfonyl, halo C1-C12Alkylsulfonyl radical, C1-C12Alkylaminosulfonyl, di (C)1-C12Alkyl) aminosulfonyl、C1-C12Alkylsulfonylaminocarbonyl group, C1-C12Alkylcarbonylaminosulfonyl radical, C3-C12Cycloalkyloxycarbonyl radical, C1-C12Alkylcarbonyl, halo C1-C12Alkylcarbonyl group, C1-C12Alkoxycarbonyl, halo C1-C12Alkoxycarbonyl group, C1-C12Alkyl carbonyl radical C1-C12Alkyl radical, C1-C12Alkoxycarbonyl radical C1-C12Alkyl radical, C1-C12Alkylaminocarbonyl, di (C)1-C12Alkyl) aminocarbonyl, C2-C12Alkenyloxycarbonyl radical, C2-C12Alkynyloxycarbonyl group, C1-C12Alkoxy radical C1-C12Alkoxycarbonyl group, C1-C12Alkylaminosulfenyl, di (C)1-C12Alkyl) aminosulfanyl, arylcarbonyl C which is unsubstituted or further substituted by 1 to 51-C6Alkyl, arylcarbonyl, aryloxycarbonyl, aryl C1-C6Alkyloxycarbonyl, aryl C1-C6Alkyl, heteroaryl carbonyl C1-C6Alkyl, heteroarylcarbonyl, heteroaryloxycarbonyl, heteroaryl C1-C6Alkyloxycarbonyl or heteroaryl C1-C6Alkyl, wherein the following groups are halogen, nitro, cyano, C1-C6Alkyl, halo C1-C6Alkyl radical, C1-C6Alkoxy or halo C1-C6An alkoxy group;
R4、R5same or different, are respectively selected from hydrogen, halogen and C1-C12Alkyl, halo C1-C12Alkyl radical, C1-C12Alkoxy or halo C1-C12An alkoxy group;
wherein R is4、R5C attached thereto may also form C3-C8A ring of (a);
R6、R7same or different, each selected from hydrogenHalogen, C1-C12Alkyl, halo C1-C12Alkyl radical, C1-C12Alkoxy or halo C1-C12An alkoxy group;
wherein R is6、R7C attached thereto may also form C3-C8A ring of (a);
m is an integer from 1 to 5;
R8selected from hydrogen, cyano, halogen, C1-C12Alkyl, halo C1-C12Alkyl radical, C1-C12Alkoxycarbonyl, halo C1-C12Alkoxycarbonyl, unsubstituted or substituted by 1 to 5R10Substituted aryl, arylmethyl, arylcarbonyl, arylmethylcarbonyl, aryloxycarbonyl, heteroaryl, heteroarylmethyl, heteroarylcarbonyl, heteroarylmethylcarbonyl, or heteroaryloxycarbonyl;
R9selected from hydrogen, cyano, halogen, C1-C12Alkyl radical, C3-C8Cycloalkyl, halo C1-C12Alkyl radical, C1-C12Alkylcarbonyl, halo C1-C12Alkylcarbonyl group, C1-C12Alkylsulfonyl, halo C1-C12Alkylsulfonyl radical, C1-C12Alkoxycarbonyl group, C1-C12Alkoxy radical C1-C12Alkyl radical, C1-C12Alkoxycarbonyl radical C1-C12Alkyl, unsubstituted or substituted by 1-5R10Substituted aryl, arylmethyl, arylcarbonyl, arylmethylcarbonyl, aryloxycarbonyl, heteroaryl, heteroarylmethyl, heteroarylcarbonyl, heteroarylmethylcarbonyl, or heteroaryloxycarbonyl;
R10selected from hydrogen, halogen, hydroxy, amino, cyano, nitro, C1-C12Alkyl, halo C1-C12Alkyl radical, C1-C12Alkoxy, halo C1-C12Alkoxy radical, C3-C12Cycloalkyl radical, C1-C12Alkylamino, halogeno C1-C12Alkylamino radical, di (C)1-C12Alkyl) amino, halo-di (C)1-C12Alkyl) amino, C (═ O) NR11R12、C1-C12Alkylthio, halo C1-C12Alkylthio radical, C2-C12Alkenyl radical, C2-C12Alkynyl, C2-C12Alkenyloxy, halogeno C2-C12Alkenyloxy radical, C2-C12Alkynyloxy, halo C2-C12Alkynyloxy, C1-C12Alkylsulfonyl, halo C1-C12Alkylsulfonyl radical, C1-C12Alkylcarbonyl, halo C1-C12Alkylcarbonyl group, C1-C12Alkoxycarbonyl, halo C1-C12Alkoxycarbonyl group, C1-C12Alkoxy radical C1-C12Alkyl, halo C1-C12Alkoxy radical C1-C12Alkyl radical, C1-C12Alkylthio group C1-C12Alkyl, halo C1-C12Alkylthio group C1-C12Alkyl radical, C1-C12Alkoxycarbonyl radical C1-C12Alkyl, halo C1-C12Alkoxycarbonyl radical C1-C12Alkyl radical, C1-C12Alkylthio carbonyl group C1-C12Alkyl, halo C1-C12Alkylthio carbonyl group C1-C12Alkyl radical, C1-C12Alkylcarbonyloxy, halo C1-C12Alkylcarbonyloxy, C1-C12Alkoxycarbonyloxy, halo C1-C12Alkoxycarbonyloxy, C1-C12Alkylsulfonyloxy, halo C1-C12Alkylsulfonyloxy, C1-C12Alkoxy radical C1-C12Alkoxy or halo C1-C12Alkoxy radical C1-C12An alkoxy group;
R11、R12same or different, are respectively selected from hydrogen and C1-C12Alkyl or halo C1-C12An alkyl group;
w is selected from hydrogen, halogen, C1-C12Alkyl, halo C1-C12Alkyl radical, C3-C8Cycloalkyl radical, C1-C12Alkoxy radical, C1-C12Alkylthio or C1-C12An alkylsulfonyl group;
or a salt of a compound of formula I.
Preferred compounds of the invention are: XCH (R) in the general formula I4R5)(CH(R6R7))mThe connecting position of the N-containing five-membered heterocyclic ring is selected from 2,4 or 5; when XCH (R)4R5)(CH(R6R7))mWhen connected to the 2-position of the N-containing five-membered heterocycle, then R8In the 4 position, R9At position 5; when XCH (R)4R5)(CH(R6R7))mWhen connected to the 4-position of the N-containing five-membered heterocycle, then R8In the 2 position, R9At position 5; when XCH (R)4R5)(CH(R6R7))mWhen connected to the 5-position of the N-containing five-membered heterocycle, then R8In the 2 position, R9At position 4;
in the formula (I), the compound is shown in the specification,
R1selected from hydrogen, halogen, cyano, nitro, amino, carboxyl, C1-C6Alkyl, halo C1-C6Alkyl radical, C3-C6Cycloalkyl radical, C1-C6Alkoxy, halo C1-C6Alkoxy radical, C1-C6Alkylthio radical, C1-C6Alkylsulfinyl radical, C1-C6Alkylsulfonyl, halo C1-C6Alkylthio radical, C2-C6Alkenyl, halo C2-C6Alkenyl radical, C2-C6Alkynyl, halo C2-C6Alkynyl, C3-C6Alkenyloxy, halogeno C3-C6Alkenyloxy radical, C3-C6Alkynyloxy, halo C3-C6Alkynyloxy, C1-C6Alkylamino radical, di (C)1-C6Alkyl) amino, C1-C6Alkylaminocarbonyl, halogeno C1-C6Alkylaminocarbonyl radical, C1-C6Alkoxycarbonyl, halo C1-C6Alkoxycarbonyl group, C1-C6Alkoxy radical C1-C6Alkyl or C1-C6Alkylthio group C1-C6An alkyl group;
R2selected from hydrogen, halogen, cyano, nitro, amino, carboxyl, formyl, C1-C6Alkyl, halo C1-C6Alkyl radical, C1-C6Alkoxy or halo C1-C6An alkoxy group;
R1and R2Can also form a five-membered ring or a six-membered ring containing C, N, O or S together with the connected pyrimidine ring;
x is selected from NR3O or S;
z is selected from NR3O or S;
R3selected from hydrogen, hydroxy, formyl, C1-C6Alkyl, halo C1-C6Alkyl radical, C1-C6Alkoxy, halo C1-C6Alkoxy radical, C3-C6Cycloalkyl radical, C1-C6Alkylthio radical, C2-C6Alkenylthio radical, C2-C6Alkenyl radical, C2-C6Alkynyl, halo C2-C6Alkenyl, halo C2-C6Alkynyl, C1-C6Alkoxy radical C1-C6Alkyl, halo C1-C6Alkoxy radical C1-C6Alkyl radical, C1-C6Alkylthio group C1-C6Alkyl, halo C1-C6Alkylthio group C1-C6Alkyl radical, C1-C6Alkylsulfinyl, halogeno C1-C6Alkylsulfinyl radical, C1-C6Alkylsulfonyl, halo C1-C6Alkylsulfonyl radical, C1-C6Alkylaminosulfonyl, di (C)1-C6Alkyl) aminosulfonyl, C1-C6Alkylsulfonylamino groupCarbonyl group, C1-C6Alkylcarbonylaminosulfonyl radical, C3-C6Cycloalkyloxycarbonyl radical, C1-C6Alkylcarbonyl, halo C1-C6Alkylcarbonyl group, C1-C6Alkoxycarbonyl, halo C1-C6Alkoxycarbonyl group, C1-C6Alkyl carbonyl radical C1-C6Alkyl radical, C1-C6Alkoxycarbonyl radical C1-C6Alkyl radical, C1-C6Alkylaminocarbonyl, di (C)1-C6Alkyl) aminocarbonyl, C2-C6Alkenyloxycarbonyl radical, C2-C6Alkynyloxycarbonyl group, C1-C6Alkoxy radical C1-C6Alkoxycarbonyl group, C1-C6Alkylaminosulfenyl, di (C)1-C6Alkyl) aminosulfanyl, arylcarbonyl C which is unsubstituted or further substituted by 1 to 51-C6Alkyl, arylcarbonyl, aryloxycarbonyl, aryl C1-C6Alkyloxycarbonyl, aryl C1-C6Alkyl, heteroaryl carbonyl C1-C6Alkyl, heteroarylcarbonyl, heteroaryloxycarbonyl, heteroaryl C1-C6Alkyloxycarbonyl or heteroaryl C1-C6Alkyl, wherein the following groups are halogen, nitro, cyano, C1-C6Alkyl, halo C1-C6Alkyl radical, C1-C6Alkoxy or halo C1-C6An alkoxy group;
R4、R5same or different, are respectively selected from hydrogen, halogen and C1-C6Alkyl, halo C1-C6Alkyl radical, C1-C6Alkoxy or halo C1-C6An alkoxy group;
wherein R is4、R5C attached thereto may also form C3-C6A ring of (a);
R6r may be the same or different and are independently selected from hydrogen, halogen, C1-C6Alkyl, halo C1-C6Alkyl radical, C1-C6Alkoxy or halo C1-C6An alkoxy group;
wherein R is6、R7C attached thereto may also form C3-C6A ring of (a);
m is an integer selected from 1 to 4;
R8selected from hydrogen, cyano, halogen, C1-C6Alkyl, halo C1-C6Alkyl radical, C1-C6Alkoxycarbonyl, halo C1-C6Alkoxycarbonyl, unsubstituted or substituted by 1 to 5R10Substituted aryl, arylmethyl, arylcarbonyl, arylmethylcarbonyl, aryloxycarbonyl, heteroaryl, heteroarylmethyl, heteroarylcarbonyl, heteroarylmethylcarbonyl, or heteroaryloxycarbonyl;
R9selected from hydrogen, cyano, halogen, C1-C6Alkyl radical, C3-C6Cycloalkyl, halo C1-C6Alkyl radical, C1-C6Alkylcarbonyl, halo C1-C6Alkylcarbonyl group, C1-C6Alkylsulfonyl, halo C1-C6Alkylsulfonyl radical, C1-C6Alkoxycarbonyl group, C1-C6Alkoxy radical C1-C6Alkyl radical, C1-C6Alkoxycarbonyl radical C1-C6Alkyl, unsubstituted or substituted by 1-5R10Substituted aryl, arylmethyl, arylcarbonyl, arylmethylcarbonyl, aryloxycarbonyl, heteroaryl, heteroarylmethyl, heteroarylcarbonyl, heteroarylmethylcarbonyl, or heteroaryloxycarbonyl;
R10selected from hydrogen, halogen, hydroxy, amino, cyano, nitro, C1-C6Alkyl, halo C1-C6Alkyl radical, C1-C6Alkoxy, halo C1-C6Alkoxy radical, C3-C6Cycloalkyl radical, C1-C6Alkylamino, halogeno C1-C6Alkylamino radical, di (C)1-C6Alkyl) amino, halo-di (C)1-C6Alkyl) amino, C (═ O) NR11R12、C1-C6Alkylthio, halo C1-C6Alkylthio radical, C2-C6Alkenyl radical, C2-C6Alkynyl, C2-C6Alkenyloxy, halogeno C2-C6Alkenyloxy radical, C2-C6Alkynyloxy, halo C2-C6Alkynyloxy, C1-C6Alkylsulfonyl, halo C1-C6Alkylsulfonyl radical, C1-C6Alkylcarbonyl, halo C1-C6Alkylcarbonyl group, C1-C6Alkoxycarbonyl, halo C1-C6Alkoxycarbonyl group, C1-C6Alkoxy radical C1-C6Alkyl, halo C1-C6Alkoxy radical C1-C6Alkyl radical, C1-C6Alkylthio group C1-C6Alkyl, halo C1-C6Alkylthio group C1-C6Alkyl radical, C1-C6Alkoxycarbonyl radical C1-C6Alkyl, halo C1-C6Alkoxycarbonyl radical C1-C6Alkyl radical, C1-C6Alkylthio carbonyl group C1-C6Alkyl, halo C1-C6Alkylthio carbonyl group C1-C6Alkyl radical, C1-C6Alkylcarbonyloxy, halo C1-C6Alkylcarbonyloxy, C1-C6Alkoxycarbonyloxy, halo C1-C6Alkoxycarbonyloxy, C1-C6Alkylsulfonyloxy, halo C1-C6Alkylsulfonyloxy, C1-C6Alkoxy radical C1-C6Alkoxy or halo C1-C6Alkoxy radical C1-C6An alkoxy group;
R11、R12same or different, are respectively selected from hydrogen and C1-C6Alkyl or halo C1-C6An alkyl group;
w is selected from hydrogen, halogen, C1-C6Alkyl, halo C1-C6Alkyl radical, C3-C6Cycloalkyl radical, C1-C6Alkoxy radical, C1-C6Alkylthio or C1-C6An alkylsulfonyl group;
or a salt of a compound of formula I.
Further optional compounds of the invention are: z in the general formula I is selected from S;
XCH(R4R5)(CH(R6R7))mthe attachment position to the thiazole ring is selected from the 2,4 or 5 positions; when XCH (R)4R5)(CH(R6R7))mWhen attached to the 2-position of the thiazole ring, then R8In the 4 position, R9At position 5, the structural formula is shown as I-1; when XCH (R)4R5)(CH(R6R7))mWhen attached to the thiazole ring at the 4-position, then R8In the 2 position, R9At position 5, the structural formula is shown as I-2; when XCH (R)4R5)(CH(R6R7))mWhen attached to the 5-position of the thiazole ring, then R8In the 2 position, R9At the 4-position, the structural formula is shown as I-3;
Figure BDA0001144181250000051
in the formula (I), the compound is shown in the specification,
R1selected from hydrogen, halogen, cyano, nitro, amino, carboxyl, C1-C4Alkyl, halo C1-C4Alkyl radical, C3-C4Cycloalkyl radical, C1-C4Alkoxy, halo C1-C4Alkoxy radical, C1-C4Alkylthio radical, C1-C4Alkylsulfinyl radical, C1-C4Alkylsulfonyl, halo C1-C4Alkylthio radical, C2-C4Alkenyl, halo C2-C4Alkenyl radical, C2-C4Alkynyl, halo C2-C4Alkynyl, C3-C4Alkenyloxy, halogeno C3-C4Alkenyloxy radical, C3-C4Alkynyloxy, halo C3-C4Alkynyloxy, C1-C4Alkylamino radical, di (C)1-C4Alkyl) amino, C1-C4Alkylaminocarbonyl, halogeno C1-C4Alkylaminocarbonyl radical, C1-C4Alkoxycarbonyl, halo C1-C4Alkoxycarbonyl group, C1-C4Alkoxy radical C1-C4Alkyl or C1-C4Alkylthio group C1-C4An alkyl group;
R2selected from hydrogen, halogen, cyano, nitro, amino, carboxyl, formyl, C1-C4Alkyl, halo C1-C4Alkyl radical, C1-C4Alkoxy or halo C1-C4An alkoxy group;
R1and R2Can also form a five-membered ring or a six-membered ring containing C, N, O or S together with the connected pyrimidine ring;
x is selected from NR3O or S;
R3selected from hydrogen, hydroxy, formyl, C1-C4Alkyl, halo C1-C4Alkyl radical, C1-C4Alkoxy, halo C1-C4Alkoxy radical, C3-C4Cycloalkyl radical, C1-C4Alkylthio radical, C2-C4Alkenylthio radical, C2-C4Alkenyl radical, C2-C4Alkynyl, halo C2-C4Alkenyl, halo C2-C4Alkynyl, C1-C4Alkoxy radical C1-C4Alkyl, halo C1-C4Alkoxy radical C1-C4Alkyl radical, C1-C4Alkylthio group C1-C4Alkyl, halo C1-C4Alkylthio group C1-C4Alkyl radical, C1-C4Alkylsulfinyl, halogeno C1-C4Alkylsulfinyl radical, C1-C4Alkylsulfonyl, halo C1-C4Alkylsulfonyl radical, C1-C4Alkylaminosulfonyl, di (C)1-C4Alkyl) aminosulfurAcyl radical, C1-C4Alkylsulfonylaminocarbonyl group, C1-C4Alkylcarbonylaminosulfonyl radical, C3-C4Cycloalkyloxycarbonyl radical, C1-C4Alkylcarbonyl, halo C1-C4Alkylcarbonyl group, C1-C4Alkoxycarbonyl, halo C1-C4Alkoxycarbonyl group, C1-C4Alkyl carbonyl radical C1-C4Alkyl radical, C1-C4Alkoxycarbonyl radical C1-C4Alkyl radical, C1-C4Alkylaminocarbonyl, di (C)1-C4Alkyl) aminocarbonyl, C2-C4Alkenyloxycarbonyl radical, C2-C4Alkynyloxycarbonyl group, C1-C4Alkoxy radical C1-C4Alkoxycarbonyl group, C1-C4Alkylaminosulfenyl, di (C)1-C4Alkyl) aminosulfanyl, arylcarbonyl C which is unsubstituted or further substituted by 1 to 51-C4Alkyl, arylcarbonyl, aryloxycarbonyl, aryl C1-C4Alkyloxycarbonyl, aryl C1-C4Alkyl, heteroaryl carbonyl C1-C4Alkyl, heteroarylcarbonyl, heteroaryloxycarbonyl, heteroaryl C1-C4Alkyloxycarbonyl, heteroaryl C1-C4Alkyl, wherein the following groups are halogen, nitro, cyano, C1-C4Alkyl, halo C1-C4Alkyl radical, C1-C4Alkoxy or halo C1-C4An alkoxy group;
R4、R5same or different, are respectively selected from hydrogen, halogen and C1-C4Alkyl, halo C1-C4Alkyl radical, C1-C4Alkoxy or halo C1-C4An alkoxy group;
wherein R is4、R5C attached thereto may also form C3-C4A ring of (a);
R6、R7same or different, are respectively selected from hydrogen, halogen and C1-C4Alkyl, halo C1-C4Alkyl radical, C1-C4Alkoxy or halo C1-C4An alkoxy group;
wherein R is6、R7C attached thereto may also form C3-C4A ring of (a);
m is an integer selected from 1 to 3;
R8selected from hydrogen, cyano, halogen, C1-C4Alkyl, halo C1-C4Alkyl radical, C1-C4Alkoxycarbonyl, halo C1-C4Alkoxycarbonyl, unsubstituted or substituted by 1 to 5R10Substituted aryl, arylmethyl, arylcarbonyl, arylmethylcarbonyl, aryloxycarbonyl, heteroaryl, heteroarylmethyl, heteroarylcarbonyl, heteroarylmethylcarbonyl, or heteroaryloxycarbonyl;
R9selected from hydrogen, cyano, halogen, C1-C4Alkyl radical, C3-C4Cycloalkyl, halo C1-C4Alkyl radical, C1-C4Alkylcarbonyl, halo C1-C4Alkylcarbonyl group, C1-C4Alkylsulfonyl, halo C1-C4Alkylsulfonyl radical, C1-C4Alkoxycarbonyl group, C1-C4Alkoxy radical C1-C4Alkyl radical, C1-C4Alkoxycarbonyl radical C1-C4Alkyl, unsubstituted or substituted by 1-5R10Substituted aryl, arylmethyl, arylcarbonyl, arylmethylcarbonyl, aryloxycarbonyl, heteroaryl, heteroarylmethyl, heteroarylcarbonyl, heteroarylmethylcarbonyl, or heteroaryloxycarbonyl;
R10selected from hydrogen, halogen, hydroxy, amino, cyano, nitro, C1-C4Alkyl, halo C1-C4Alkyl radical, C1-C4Alkoxy, halo C1-C4Alkoxy radical, C3-C4Cycloalkyl radical, C1-C4Alkylamino, halogeno C1-C4Alkylamino radical, di (C)1-C4Alkyl) amino group,Halogenated bis (C)1-C4Alkyl) amino, C (═ O) NR11R12、C1-C4Alkylthio, halo C1-C4Alkylthio radical, C2-C4Alkenyl radical, C2-C4Alkynyl, C2-C4Alkenyloxy, halogeno C2-C4Alkenyloxy radical, C2-C4Alkynyloxy, halo C2-C4Alkynyloxy, C1-C4Alkylsulfonyl, halo C1-C4Alkylsulfonyl radical, C1-C4Alkylcarbonyl, halo C1-C4Alkylcarbonyl group, C1-C4Alkoxycarbonyl, halo C1-C4Alkoxycarbonyl group, C1-C4Alkoxy radical C1-C4Alkyl, halo C1-C4Alkoxy radical C1-C4Alkyl radical, C1-C4Alkylthio group C1-C4Alkyl, halo C1-C4Alkylthio group C1-C4Alkyl radical, C1-C4Alkoxycarbonyl radical C1-C4Alkyl, halo C1-C4Alkoxycarbonyl radical C1-C4Alkyl radical, C1-C4Alkylthio carbonyl group C1-C4Alkyl, halo C1-C4Alkylthio carbonyl group C1-C4Alkyl radical, C1-C4Alkylcarbonyloxy, halo C1-C4Alkylcarbonyloxy, C1-C4Alkoxycarbonyloxy, halo C1-C4Alkoxycarbonyloxy, C1-C4Alkylsulfonyloxy, halo C1-C4Alkylsulfonyloxy, C1-C4Alkoxy radical C1-C4Alkoxy or halo C1-C4Alkoxy radical C1-C4An alkoxy group;
R11、R12same or different, are respectively selected from hydrogen and C1-C4Alkyl or halo C1-C4An alkyl group;
w is selected from hydrogen, halogen, C1-C4Alkyl, halo C1-C4Alkyl radical, C3-C4Cycloalkyl radical, C1-C4Alkoxy radical, C1-C4Alkylthio or C1-C4An alkylsulfonyl group;
or a salt of a compound of formula I-1, I-2 or I-3.
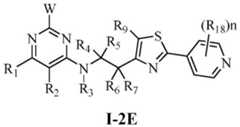
The invention further provides optional compounds in the structures of the general formulas I-1, I-2 or I-3, such as compounds shown in I-1A, I-1B, I-1C, I-1D, I-1E, I-2A, I-2B, I-2C, I-2D, I-2E, I-2F, I-2G, I-2H, I-2I, I-2J, I-2K, I-2L, I-2M, I-2N, I-2O, I-2P, I-2Q, I-2R, I-2S, I-2T, I-3A, I-3B, I-3C, I-3D, I-3E, I-3F, I-3G or I-3H,
Figure BDA0001144181250000071
Figure BDA0001144181250000081
Figure BDA0001144181250000091
in the formula:
R1selected from hydrogen, halogen, cyano, nitro, amino, carboxyl, C1-C4Alkyl, halo C1-C4Alkyl radical, C3-C4Cycloalkyl radical, C1-C4Alkoxy, halo C1-C4Alkoxy radical, C1-C4Alkylthio, halo C1-C4Alkylthio radical, C1-C4Alkylsulfinyl radical, C1-C4Alkylsulfonyl radical, C2-C4Alkenyl, halo C2-C4Alkenyl radical, C2-C4Alkynyl, halo C2-C4Alkynyl, C3-C4Alkenyloxy, halogeno C3-C4Alkenyloxy radical, C3-C4Alkynyloxy, alkynyloxy,Halogen substituted C3-C4Alkynyloxy, C1-C4Alkylamino radical, di (C)1-C4Alkyl) amino, C1-C4Alkylaminocarbonyl, halogeno C1-C4Alkylaminocarbonyl radical, C1-C4Alkoxycarbonyl, halo C1-C4Alkoxycarbonyl group, C1-C4Alkoxy radical C1-C4Alkyl or C1-C4Alkylthio group C1-C4An alkyl group;
R2selected from hydrogen, halogen, cyano, nitro, amino, carboxyl, formyl, C1-C4Alkyl, halo C1-C4Alkyl radical, C1-C4Alkoxy or halo C1-C4An alkoxy group;
R3selected from hydrogen, hydroxy, formyl, C1-C4Alkyl, halo C1-C4Alkyl radical, C1-C4Alkoxy, halo C1-C4Alkoxy radical, C3-C4Cycloalkyl radical, C1-C4Alkylthio radical, C2-C4Alkenylthio radical, C2-C4Alkenyl radical, C2-C4Alkynyl, halo C2-C4Alkenyl, halo C2-C4Alkynyl, C1-C4Alkoxy radical C1-C4Alkyl, halo C1-C4Alkoxy radical C1-C4Alkyl radical, C1-C4Alkylthio group C1-C4Alkyl, halo C1-C4Alkylthio group C1-C4Alkyl radical, C1-C4Alkylsulfinyl, halogeno C1-C4Alkylsulfinyl radical, C1-C4Alkylsulfonyl, halo C1-C4Alkylsulfonyl radical, C1-C4Alkylaminosulfonyl, di (C)1-C4Alkyl) aminosulfonyl, C1-C4Alkylsulfonylaminocarbonyl group, C1-C4Alkylcarbonylaminosulfonyl radical, C3-C4Cycloalkyloxycarbonyl radical, C1-C4Alkylcarbonyl, halo C1-C4Alkylcarbonyl group, C1-C4Alkoxycarbonyl, halo C1-C4Alkoxycarbonyl group, C1-C4Alkyl carbonyl radical C1-C4Alkyl radical, C1-C4Alkoxycarbonyl radical C1-C4Alkyl radical, C1-C4Alkylaminocarbonyl, di (C)1-C4Alkyl) aminocarbonyl, C2-C4Alkenyloxycarbonyl radical, C2-C4Alkynyloxycarbonyl group, C1-C4Alkoxy radical C1-C4Alkoxycarbonyl group, C1-C4Alkylaminosulfenyl, di (C)1-C4Alkyl) aminosulfanyl, arylcarbonyl C which is unsubstituted or further substituted by 1 to 51-C4Alkyl, arylcarbonyl, aryloxycarbonyl, aryl C1-C4Alkyloxycarbonyl, aryl C1-C4Alkyl, heteroaryl carbonyl C1-C4Alkyl, heteroarylcarbonyl, heteroaryloxycarbonyl, heteroaryl C1-C4Alkyloxycarbonyl, heteroaryl C1-C4Alkyl, wherein the following groups are halogen, nitro, cyano, C1-C4Alkyl, halo C1-C4Alkyl radical, C1-C4Alkoxy or halo C1-C4An alkoxy group;
R4、R5same or different, are respectively selected from hydrogen, halogen and C1-C4Alkyl, halo C1-C4Alkyl radical, C1-C4Alkoxy or halo C1-C4An alkoxy group;
wherein R is4、R5C attached thereto may also form C3-C4A ring of (a);
R6、R7the same or different, are respectively selected from hydrogen, halogen and C1-C4Alkyl, halo C1-C4Alkyl radical, C1-C4Alkoxy or halo C1-C4An alkoxy group;
wherein R is6、R7C attached thereto may also form C3-C4A ring of (a);
and, when the compound is of the general formulae I-1A, I-1B, I-2L, I-2M, I-2N, I-2O, I-2P, I-2Q, I-2R, I-2S, I-3A, I-3B, I-3C, I-3D, I-3E and I-3F,
R8selected from hydrogen, cyano, halogen, C1-C4Alkyl, halo C1-C4Alkyl radical, C1-C4Alkoxycarbonyl or halo C1-C4An alkoxycarbonyl group;
when the compound is of the general formula I-1C, I-1D, I-1E, I-2A, I-2B, I-2C, I-2D, I-2E, I-2F, I-2G, I-2H, I-2I, I-2J, I-2K, I-2T, I-3G or I-3H,
R9selected from hydrogen, cyano, halogen, C1-C4Alkyl radical, C3-C4Cycloalkyl, halo C1-C4Alkyl radical, C1-C4Alkylcarbonyl, halo C1-C4Alkylcarbonyl group, C1-C4Alkylsulfonyl, halo C1-C4Alkylsulfonyl radical, C1-C4Alkoxycarbonyl group, C1-C4Alkoxy radical C1-C4Alkyl or C1-C4Alkoxycarbonyl radical C1-C4An alkyl group;
R13、R14、R15、R16、R17、R18、R19each independently selected from hydrogen, halogen, hydroxyl, amino, cyano, nitro and C1-C4Alkyl, halo C1-C4Alkyl radical, C1-C4Alkoxy, halo C1-C4Alkoxy radical, C3-C4Cycloalkyl radical, C1-C4Alkylamino, halogeno C1-C4Alkylamino radical, di (C)1-C4Alkyl) amino, halo-di (C)1-C4Alkyl) amino, C (═ O) NR11R12、C1-C4Alkylthio, halo C1-C4Alkylthio radical, C2-C4Alkenyl radical, C2-C4Alkynyl, C2-C4Alkenyloxy, halogeno C2-C4Alkenyloxy radical, C2-C4Alkynyloxy, halo C2-C4Alkynyloxy, C1-C4Alkylsulfonyl, halo C1-C4Alkylsulfonyl radical, C1-C4Alkylcarbonyl, halo C1-C4Alkylcarbonyl group, C1-C4Alkoxycarbonyl, halo C1-C4Alkoxycarbonyl group, C1-C4Alkoxy radical C1-C4Alkyl, halo C1-C4Alkoxy radical C1-C4Alkyl radical, C1-C4Alkylthio group C1-C4Alkyl, halo C1-C4Alkylthio group C1-C4Alkyl radical, C1-C4Alkoxycarbonyl radical C1-C4Alkyl, halo C1-C4Alkoxycarbonyl radical C1-C4Alkyl radical, C1-C4Alkylthio carbonyl group C1-C4Alkyl, halo C1-C4Alkylthio carbonyl group C1-C4Alkyl radical, C1-C4Alkylcarbonyloxy, halo C1-C4Alkylcarbonyloxy, C1-C4Alkoxycarbonyloxy, halo C1-C4Alkoxycarbonyloxy, C1-C4Alkylsulfonyloxy, halo C1-C4Alkylsulfonyloxy, C1-C4Alkoxy radical C1-C4Alkoxy or halo C1-C4Alkoxy radical C1-C4An alkoxy group;
n is an integer from 0 to 5;
R11、R12same or different, are respectively selected from hydrogen and C1-C4Alkyl or halo C1-C4An alkyl group;
w is selected from hydrogen, halogen, C1-C4Alkyl, halo C1-C4Alkyl radical, C3-C4Cycloalkyl radicals、C1-C4Alkoxy radical, C1-C4Alkylthio or C1-C4An alkylsulfonyl group;
or compounds shown by general formula I-1A, I-1B, I-1C, I-1D, I-1E, I-2A, I-2B, I-2C, I-2D, I-2E, I-2F, I-2G, I-2H, I-2I, I-2J, I-2K, I-2L, I-2M, I-2N, I-2O, I-2P, I-2Q, I-2R, I-2S, I-2T, I-3A, I-3B, I-3C, I-3D, I-3E, I-3F, I-3G or I-3H and hydrochloric acid, sulfuric acid, phosphoric acid, formic acid, acetic acid, trifluoroacetic acid, Oxalic acid, methanesulfonic acid, p-toluenesulfonic acid, benzoic acid, phthalic acid, maleic acid, fumaric acid, sorbic acid, malic acid or citric acid.
The invention also provides an optional compound shown as the general formula I-1A, I-1C, I-2A, I-2B, I-2C, I-2L, I-2T, I-3A or I-3G, wherein the formula is shown in the specification
R1Selected from hydrogen, fluoro, chloro, bromo, iodo, cyano, nitro, amino, carboxy, methyl, ethyl, n-propyl, isopropyl, n-butyl, sec-butyl, isobutyl, tert-butyl, monofluoromethyl, chloromethyl, difluoromethyl, trifluoromethyl, trifluoroethyl, methoxymethyl, ethoxymethyl or trifluoroethoxymethyl;
R2selected from hydrogen, fluoro, chloro, bromo, iodo, cyano, nitro, amino, carboxy, formyl, methyl, ethyl, methoxy, ethoxy or trifluoroethoxy;
R3selected from the group consisting of hydrogen, hydroxy, formyl, acetyl, propionyl, butyryl, trifluoroacetyl, benzoyl, methyl, ethyl, n-propyl, isopropyl, n-butyl, sec-butyl, isobutyl, tert-butyl, trifluoromethyl, trifluoroethyl, methoxy, ethoxy, trifluoroethoxy, cyclopropyloxy, methylthio, ethylthio, allyl, propargyl, methylsulfonyl, ethylsulfonyl, trifluoroethylsulfonyl, methylaminosulfonyl, ethylaminosulfonyl, dimethylaminosulfonyl, diethylaminosulfonyl, methylsulfonylaminocarbonyl, methoxycarbonyl, ethoxycarbonyl, propoxycarbonyl, isopropoxycarbonyl, methylaminocarbonyl, dimethylaminocarbonyl, vinyloxycarbonyl, acetylenyloxycarbonyl, methylaminothio, ethylaminosulfonyl, diethylaminocarbonyl, and mixtures thereofAn aminosulfanyl or dimethylaminosulfanyl group;
R4、R5identical or different from hydrogen, fluorine, chlorine, bromine, iodine, methyl, ethyl, n-propyl, isopropyl, n-butyl, sec-butyl, isobutyl, tert-butyl, methoxy, ethoxy, n-propoxy, isopropoxy, n-butoxy, sec-butoxy, isobutoxy or tert-butoxy;
R6、R7identical or different from hydrogen, fluorine, chlorine, bromine, iodine, methyl, ethyl, n-propyl, isopropyl, n-butyl, sec-butyl, isobutyl, tert-butyl, methoxy, ethoxy, n-propoxy, isopropoxy, n-butoxy, sec-butoxy, isobutoxy or tert-butoxy;
when the compound is of the general formula I-1A, I-2L or I-3A,
R8selected from hydrogen, cyano, fluoro, chloro, bromo, iodo, methyl, ethyl or trifluoromethyl;
when the compound is of the general formula I-1C, I-2A, I-2B, I-2C, I-2T or I-3G,
R9selected from hydrogen, cyano, fluoro, chloro, bromo, iodo, methyl, ethyl or trifluoromethyl;
R13、R17、R19each independently selected from fluoro, chloro, bromo, iodo, cyano, amino, nitro, methyl, ethyl, n-propyl, isopropyl, n-butyl, sec-butyl, isobutyl, tert-butyl, trifluoromethyl, trichloromethyl, difluorochloromethyl, dichlorofluoromethyl, methoxy, ethoxy, n-propoxy, isopropoxy, n-butoxy, sec-butoxy, isobutoxy, tert-butoxy, trifluoromethoxy, trifluoroethoxy, methoxycarbonyl, ethoxycarbonyl, aminocarbonyl, methylaminocarbonyl, ethylaminocarbonyl, or dimethylaminocarbonyl;
n is an integer from 0 to 5;
w is selected from hydrogen, fluoro, chloro, bromo, iodo, methyl, ethyl, n-propyl, isopropyl, n-butyl, sec-butyl, isobutyl, tert-butyl, monofluoromethyl, monochloromethyl, difluoromethyl, trifluoromethyl, trifluoroethyl, methoxy, ethoxy, methylthio, ethylthio, methylsulfonyl or ethylsulfonyl;
or salts of compounds of formula I-1A, I-1C, I-2A, I-2B, I-2C, I-2L, I-2T, I-3A or I-3G with hydrochloric acid, sulfuric acid, phosphoric acid, formic acid, acetic acid, trifluoroacetic acid, oxalic acid, methanesulfonic acid, p-toluenesulfonic acid, benzoic acid, phthalic acid, maleic acid, fumaric acid, sorbic acid, malic acid or citric acid.
The invention also relates to further alternative compounds of the general formula I-2A, I-2B or I-2C, in which
R1Selected from hydrogen, fluoro, chloro, bromo, iodo, methyl, ethyl or difluoromethyl;
R2selected from hydrogen, fluoro, chloro, bromo, iodo, nitro, amino, formyl, methyl, ethyl, methoxy or ethoxy;
R3selected from hydrogen, methyl, acetyl, trifluoroacetyl, methoxy, methylthio, allyl, methylsulfonyl, methylaminosulfonyl, dimethylaminosulfonyl, methoxycarbonyl, methylaminocarbonyl, dimethylaminocarbonyl, methylaminothio or dimethylaminosulfanyl;
R4、R5the same or different, are respectively selected from hydrogen, fluorine, chlorine, bromine or methyl;
R6、R7are all selected from hydrogen;
R9selected from hydrogen, cyano, fluoro, chloro, bromo, iodo, methyl, ethyl or trifluoromethyl;
R13、R17、R19each independently selected from fluoro, chloro, bromo, iodo, cyano, nitro, methyl, trifluoromethyl, methoxy or trifluoromethoxy;
n is an integer from 0 to 5;
w is selected from hydrogen, fluorine, chlorine, bromine, iodine or methyl;
or salts of the compounds of the general formula I-2A, I-2B or I-2C with hydrochloric acid, sulfuric acid, phosphoric acid, formic acid, acetic acid, trifluoroacetic acid, oxalic acid, methanesulfonic acid, p-toluenesulfonic acid, benzoic acid, phthalic acid, maleic acid, fumaric acid, sorbic acid, malic acid or citric acid.
The most alternative compounds of the invention are of the general formula I-2A, I-2B or I-2C, wherein
R1Selected from methyl, ethyl or difluoromethyl;
R2selected from fluorine, chlorine, bromine or iodine;
R3selected from hydrogen;
R4、R5selected from hydrogen;
R6、R7are all selected from hydrogen;
R9selected from hydrogen;
R13、R17、R19each independently selected from fluoro, chloro, bromo, iodo, methyl, trifluoromethyl, methoxy or trifluoromethoxy;
n is an integer from 0 to 3;
w is selected from hydrogen;
or salts of the compounds of the general formula I-2A, I-2B or I-2C with hydrochloric acid, sulfuric acid, phosphoric acid, formic acid, acetic acid, trifluoroacetic acid, oxalic acid, methanesulfonic acid, p-toluenesulfonic acid, benzoic acid, phthalic acid, maleic acid, fumaric acid, sorbic acid, malic acid or citric acid.
An application of substituted pyrimidine compounds with a general formula I in preparing bactericide drugs in the agricultural field.
A sterilization composition takes a substituted pyrimidine compound shown as a general formula I as an active component, and the weight percentage of the active component in the composition is 0.1-99%.
The application of a composition in preventing and treating germs in agriculture or other fields.
In the definitions of the compounds of the general formula I given above, the terms used are generally defined as follows:
halogen: refers to fluorine, chlorine, bromine or iodine.
Alkyl groups: straight-chain or branched alkyl groups, such as methyl, ethyl, propyl, isopropyl, n-butyl or tert-butyl.
Cycloalkyl groups: substituted or unsubstituted cyclic alkyl groups, such as cyclopropyl, cyclopentyl or cyclohexyl. Substituents such as methyl, halogen, and the like.
Halogenated alkyl groups: straight-chain or branched alkyl groups in which the hydrogen atoms may be partially or completely substituted with halogen atoms, for example, chloromethyl, dichloromethyl, trichloromethyl, fluoromethyl, difluoromethyl, trifluoromethyl and the like.
Alkylsulfinyl group: straight or branched chain alkyl groups are attached to the structure via a sulfinyl (-SO-) group, such as methylsulfinyl.
Haloalkylsulfinyl group: straight-chain or branched alkylsulfinyl groups in which the hydrogen atoms of the alkyl group may be partially or fully substituted by halogen atoms.
Haloalkylsulfonyl group: straight-chain or branched alkylsulfonyl wherein the hydrogen atoms of the alkyl group may be partially or wholly substituted by halogen atoms.
Alkylaminosulfenyl: such as CH3NHS-、C2H5NHS-。
Dialkylaminosulfenyl: such as (CH)3)2NS-、(C2H5)2NS-。
Alkylaminosulfonyl: alkyl-NH-SO2-。
Dialkylaminosulfonyl: (alkyl group)2-N-SO2-。
Alkylsulfonylaminocarbonyl group: alkyl-SO2-NH-CO-。
Alkylcarbonylaminosulfonyl: alkyl-CO-NH-SO2-。
Alkylcarbonylalkyl group: alkyl-CO-alkyl-.
Alkylsulfonyloxy group: alkyl-S (O)2-O-。
Haloalkylsulfonyloxy: the hydrogen atoms of the alkyl group of the alkylsulfonyloxy group may be partially or wholly substituted by halogen atoms, e.g. CF3-SO2-O。
Cycloalkyloxycarbonyl group: such as cyclopropyloxycarbonyl, cyclohexyloxycarbonyl, and the like.
Alkoxy groups: straight or branched chain alkyl groups attached to the structure via oxygen atom linkages.
Haloalkoxy groups: straight-chain or branched alkoxy groups in which the hydrogen atoms may be partially or completely replaced by halogen atoms. For example, chloromethoxy, dichloromethoxy, trichloromethoxy, fluoromethoxy, difluoromethoxy, trifluoromethoxy, chlorofluoromethoxy, trifluoroethoxy and the like.
Halogenated alkoxycarbonyl group: the hydrogen atoms of the alkyl group of the alkoxycarbonyl group may be partially or wholly replaced by halogen atoms, e.g. ClCH2CH2OCO-、CF3CH2OCO-, etc.
Alkoxyalkyl groups: alkyl-O-alkyl-, e.g. CH3OCH2-。
Haloalkoxyalkyl groups: the hydrogen atoms of the alkyl groups of alkoxyalkyl groups may be partially or fully substituted by halogen atoms, e.g. ClCH2CH2OCH2-、CF3CH2OCH2-and the like.
Alkoxycarbonylalkyl groups: alkoxycarbonyl-alkyl-, e.g. CH3OCOCH2-。
Haloalkoxycarbonylalkyl: the hydrogen atoms of the alkyl group of the alkoxycarbonylalkyl group may be partially or fully substituted by halogen atoms, e.g. CF3CH2OCOCH2-。
Alkylcarbonyloxy group: such as CH3COO-, etc.
Haloalkylcarbonyloxy: the hydrogen atoms of the alkylcarbonyloxy group may be partially or fully substituted by halogen atoms, e.g. CF3COO-, etc.
Alkoxycarbonyloxy: alkoxycarbonyl-oxy-, e.g. CH3OCOO-。
Haloalkoxycarbonyl group: the hydrogen atoms of the alkyl group of the alkoxycarbonyloxy group may be partially or wholly substituted by halogen atoms, e.g. CF3OCOO-。
Alkylthio-carbonylalkyl: alkylthiocarbonyl-alkyl-, e.g. CH3SCOCH2-。
Haloalkylthiocarbonylalkyl: the hydrogen atoms of the alkyl group of the alkylthiocarbonylalkyl group may be partially or wholly substituted by halogen atoms, e.g. CF3CH2SCOCH2-。
Alkoxyalkoxy group: such as CH3OCH2O-, etc.
Alkyl halidesAlkoxyalkoxy group: the hydrogen atoms of the alkoxy groups being partially or wholly replaced by halogen atoms, e.g. CF3OCH2O-。
Alkoxy alkoxycarbonyl group: such as CH3OCH2CH2OCO-, etc.
Alkylthio group: straight or branched chain alkyl groups attached to the structure via a sulfur atom.
Haloalkylthio: straight-chain or branched alkylthio groups in which the hydrogen atoms may be partially or wholly replaced by halogen atoms. For example, chloromethylthio, dichloromethylthio, trichloromethylthio, fluoromethylthio, difluoromethylthio, trifluoromethylthio, chlorofluoromethylthio and the like.
Alkylthioalkyl: alkyl-S-alkyl-, e.g. CH3SCH2-。
Haloalkylthioalkyl: the hydrogen atoms of the alkyl group of an alkylthioalkyl group may be partially or fully substituted by halogen atoms, e.g. ClCH2CH2SCH2-、CF3CH2SCH2-and the like.
Alkylamino group: straight or branched chain alkyl, linked to the structure via a nitrogen atom.
Haloalkylamino group: straight-chain or branched alkylamino groups in which the hydrogen atoms may be partially or fully substituted by halogen atoms.
Dialkylamino group: such as (CH)3)2N-,(CH3CH2)2N-。
Halogenated dialkylamino group: the hydrogen atoms of the alkyl groups being partially or wholly replaced by halogen atoms, e.g. (CF)3)2N-,(CF3CH2)2N-。
Alkenyl: straight-chain or branched alkenes, for example ethenyl, 1-propenyl, 2-propenyl and the different butenyl, pentenyl and hexenyl isomers. Alkenyl also includes polyenes such as 1, 2-allenyl and 2, 4-hexadienyl.
Halogenated alkenyl groups: straight-chain or branched alkenes in which the hydrogen atoms may be partially or completely replaced by halogen atoms.
Alkenyloxy: linear or branched alkenes linked to the structure via oxygen atoms.
Haloalkenyloxy: straight-chain or branched alkenyloxy groups in which the hydrogen atoms may be partially or completely replaced by halogen atoms.
Alkenylthio group: linear or branched alkenes linked to the structure via a sulfur atom bond. Such as CH2=CHCH2S-。
Alkenyloxycarbonyl radical: such as CH2=CHCH2OCO-, etc.
Alkynyl: straight-chain or branched alkynes, for example ethynyl, 1-propynyl, 2-propynyl and the different butynyl, pentynyl and hexynyl isomers. Alkynyl also includes groups consisting of multiple triple bonds, such as 2, 5-hexadiynyl.
Halogenated alkynyl group: straight-chain or branched alkynes, in which the hydrogen atoms may be partially or completely replaced by halogen atoms.
Alkynyloxy: straight or branched alkynes, linked to the structure via oxygen atom bonds.
Haloalkynyloxy: straight-chain or branched alkynyloxy, in which the hydrogen atoms may be partially or completely substituted by halogen atoms.
Alkynyloxycarbonyl group: such as CH ≡ CCH2OCO-, etc.
An alkylsulfonyl group: straight or branched chain alkyl via sulfonyl (-SO)2-) is attached to a structure, such as a methylsulfonyl group.
Haloalkylsulfonyl group: straight-chain or branched alkylsulfonyl wherein the hydrogen atoms of the alkyl group may be partially or wholly substituted by halogen atoms.
An alkylcarbonyl group: the alkyl radical being bound to the structure via a carbonyl group, e.g. CH3CO-,CH3CH2CO-。
Halogenated alkylcarbonyl group: the hydrogen atoms of the alkyl group of the alkylcarbonyl group may be partially or fully substituted by halogen atoms, e.g. CF3CO-。
Alkoxycarbonyl group: the alkoxy group is attached to the structure via a carbonyl group. Such as CH3OCO-,CH3CH2OCO-。
Aminocarbonyl group: such as NH2CO-,
Alkyl amino carbonyl: alkyl-NH-CO-, e.g. CH3NHCO-,CH3CH2NHCO-。
Dialkylaminocarbonyl group: such as (CH)3)2NCO-,(CH3CH2)2NCO-。
The aryl moiety in (hetero) aryl, (hetero) arylalkyl, (hetero) arylcarbonyl, (hetero) arylmethylcarbonyl, (hetero) arylcarbonylalkyl, (hetero) aryloxycarbonyl, (hetero) arylalkyloxycarbonyl, and the like includes phenyl or naphthyl. Heteroaryl is a five or six membered ring containing 1 or more heteroatoms N, O, S. Such as furyl, pyrazolyl, thiazolyl, pyridyl, pyrimidinyl, pyrazinyl, pyridazinyl, triazinyl, quinolinyl, and the like.
(hetero) aryl group: such as phenyl, and the like.
(hetero) arylalkyl: such as benzyl, phenethyl, p-chlorobenzyl, 2-chloropyridin-5-yl, 2-chloro-thiazol-5-yl, and the like.
(hetero) arylcarbonyl group: such as benzoyl, 4-chlorobenzoyl and the like.
(hetero) arylmethylcarbonyl: such as PhCH2CO-
(hetero) arylcarbonylalkyl: such as PhCOCH2-。
(hetero) aryloxycarbonyl group: such as phenoxycarbonyl, 4-chlorophenoxycarbonyl, 4-nitrophenoxycarbonyl, naphthyloxycarbonyl, etc. Arylalkyloxycarbonyl group: such as benzyloxycarbonyl, 4-chlorobenzyloxycarbonyl, 4-trifluoromethylbenzyloxycarbonyl and the like.
(hetero) arylalkyloxycarbonyl: such as PhCH2OCO-、4-Cl-PhCH2OCO-, etc.
Tables 1,2, 3, 4, 5, 6, 7 and 8 show the R in the general formula I1、R2、R3(X=NR3)、R4And R5、R6And R7、R8、R9And W are not limited to these substituents.
Figure BDA0001144181250000161
TABLE 1R1Substituent group
Figure BDA0001144181250000162
TABLE 2R 2 substituent
R2R2R2R2
HFClBr
ICNNO2NH2
CHOCH3C2H5n-C3H7
i-C3H7n-C4H9s-C4H9i-C4H9
t-C4H9OCH3OC2H5OC3H7-n
OC3H7-iOC4H9-nOC4H9-iOC4H9-t
OCH2FOCHF2OCF3OCH2CF3
TABLE 3R 3 substituent
Figure BDA0001144181250000163
Figure BDA0001144181250000171
Figure BDA0001144181250000181
TABLE 4R 4(R5) substituents
Figure BDA0001144181250000182
TABLE 5R 6(R7) substituent
Figure BDA0001144181250000183
TABLE 6R8(R9) Substituent group
Figure BDA0001144181250000184
Figure BDA0001144181250000191
Figure BDA0001144181250000201
TABLE 7W substituents
Figure BDA0001144181250000202
Some of the compounds of the present invention can be illustrated by the specific compounds listed in tables 8-110, but are not intended to limit the present invention. The structures of the compounds I-1, I-2 or I-3 in the general formula shown in the table are shown as I-1A, I-1B, I-1C, I-1D, I-1E, I-2A, I-2B, I-2C, I-2D, I-2E, I-2F, I-2G, I-2H, I-2I, I-2J, in I-2K, I-2L, I-2M, I-2N, I-2O, I-2P, I-2Q, I-2R, I-2S, I-3A, I-3B, I-3C, I-3D, I-3E, I-3F, I-3G or I-3H, W is equal to R.6=R7=H,R8=R9=H(R8、R9And may each be independently selected from cyano, fluoro, chloro, bromo, iodo, methyl, ethyl, or trifluoromethyl).
In the general formula I-1A,
Figure BDA0001144181250000203
when R is1=Cl、R2=Cl、R3=R4=R5When (R) is H13)nThe substituents are shown in Table 8, and represent the compound numbers of 8-1-8-279 in sequence.
TABLE 8
Figure BDA0001144181250000204
Figure BDA0001144181250000211
Figure BDA0001144181250000221
Table 9: in the general formula I-1A, when R is1=Cl、R2=CH3、R3=R4=R5When H, the substituent (R)13)nCorresponding to the substituents shown in Table 8, the representative compounds are numbered in the order of 9-1-9-279.
Table 10: in the general formula I-1A, when R is1=Cl、R2=OCH3、R3=R4=R5When H, the substituent (R)13)nCorresponding to the substituents shown in Table 8, the numbers of the representative compounds are 10-1 to 10-279.
Table 11: in the general formula I-1A, when R is1=Cl、R2=CHO、R3=R4=R5When H, the substituent (R)13)nCorresponding to the substituents shown in Table 8, represent compounds numbered in the order of 11-1 to 11-279.
Table 12: in the general formula I-1A, when R is1=Cl、R2=Br、R3=R4=R5When H, the substituent (R)13)nIn accordance with the substituents shown in Table 8, are representedThe compound numbers are in turn 12-1-12-279.
Table 13: in the general formula I-1A, when R is1=CH3、R2=Cl、R3=R4=R5When H, the substituent (R)13)nCorresponding to the substituents shown in Table 8, the representative compounds are numbered 13-1-13-279.
Table 14: in the general formula I-1A, when R is1=C2H5、R2=Cl、R3=R4=R5When H, the substituent (R)13)nCorresponding to the substituents shown in Table 8, represent compounds numbered in the order of 14-1 to 14-279.
Table 15: in the general formula I-1A, when R is1=CHF2、R2=Cl、R3=R4=R5When H, the substituent (R)13)nCorresponding to the substituents shown in Table 8, the representative compounds are numbered 15-1-15-279.
Table 16: in the general formula I-1A, when R is1=CF3、R2=Cl、R3=R4=R5When H, the substituent (R)13)nCorresponding to the substituents shown in Table 8, represent compounds numbered in the order of 16-1 to 16-279.
Table 17: in the general formula I-1A, when R is1=Cl、R2=Cl、R3=R4=H、R5=CH3When (R) is substituted13)nCorresponding to the substituents shown in Table 8, the representative compounds are in the order of 17-1-17-279.
Table 18: in the general formula I-1A, when R is1=CH3、R2=Cl、R3=R4=H、R5=CH3When (R) is substituted13)nCorresponding to the substituents shown in Table 8, represent compounds numbered 18-1-18-279.
Table 19: in the general formula I-1A, when R is1=C2H5、R2=Cl、R3=R4=H、R5=CH3When (R) is substituted13)nAnd the substituents shown in Table 8Consistently, the representative compound numbers are, in order, 19-1-19-279.
Table 20: in the general formula I-1A, when R is1=CHF2、R2=Cl、R3=R4=H、R5=CH3When (R) is substituted13)nCorresponding to the substituents shown in Table 8, represent compounds numbered in the order of 20-1 to 20-279.
Table 21: in the general formula I-1A, when R is1=CF3、R2=Cl、R3=R4=H、R5=CH3When (R) is substituted13)nCorresponding to the substituents shown in Table 8, the representative compounds are numbered 21-1-21-279.
Figure BDA0001144181250000231
Table 22: in the general formula I-1C, when R is1=Cl、R2=Cl、R3=R4=R5When H, the substituent (R)13)nCorresponding to the substituents shown in Table 8, represent compounds numbered 22-1-22-279.
Table 23: in the general formula I-1C, when R is1=Cl、R2=CH3、R3=R4=R5When H, the substituent (R)13)nCorresponding to the substituents shown in Table 8, the representative compounds are numbered 23-1-23-279.
Table 24: in the general formula I-1C, when R is1=Cl、R2=OCH3、R3=R4=R5When H, the substituent (R)13)nCorresponding to the substituents shown in Table 8, represent compounds numbered 24-1-24-279.
Table 25: in the general formula I-1C, when R is1=Cl、R2=CHO、R3=R4=R5When H, the substituent (R)13)nCorresponding to the substituents shown in Table 8, the representative compounds are numbered in the order of 25-1 to 25-279.
Table 26: in the general formula I-1C, when R is1=Cl、R2=Br、R3=R4=R5When H, the substituent (R)13)nCorresponding to the substituents shown in Table 8, the symbols represent the numbers of the compounds which are in turn 26-1 to 26-279.
Table 27: in the general formula I-1C, when R is1=CH3、R2=Cl、R3=R4=R5When H, the substituent (R)13)nCorresponding to the substituents shown in Table 8, the representative compounds are numbered 27-1-27-279.
Table 28: in the general formula I-1C, when R is1=C2H5、R2=Cl、R3=R4=R5When H, the substituent (R)13)nCorresponding to the substituents shown in Table 8, represent compounds numbered in the order 28-1 to 28-279.
Table 29: in the general formula I-1C, when R is1=CHF2、R2=Cl、R3=R4=R5When H, the substituent (R)13)nCorresponding to the substituents shown in Table 8, the representative compounds are numbered in the order of 29-1-29-279.
Table 30: in the general formula I-1C, when R is1=CF3、R2=Cl、R3=R4=R5When H, the substituent (R)13)nCorresponding to the substituents shown in Table 8, the numbers of the representative compounds are 30-1 to 30-279.
Table 31: in the general formula I-1C, when R is1=Cl、R2=Cl、R3=R4=H、R5=CH3When (R) is substituted13)nCorresponding to the substituents shown in Table 8, the representative compounds are numbered 31-1-31-279.
Table 32: in the general formula I-1C, when R is1=CH3、R2=Cl、R3=R4=H、R5=CH3When (R) is substituted13)nCorresponding to the substituents shown in Table 8, represent compounds numbered sequentially from 32-1 to 32-279.
Table 33: in the general formula I-1C, when R is1=C2H5、R2=Cl、R3=R4=H、R5=CH3When (R) is substituted13)nCorresponding to the substituents shown in Table 8, the representative compounds are numbered 33-1-33-279.
Table 34: in the general formula I-1C, when R is1=CHF2、R2=Cl、R3=R4=H、R5=CH3When (R) is substituted13)nCorresponding to the substituents shown in Table 8, represent compounds numbered in the order of 34-1-34-279.
Table 35: in the general formula I-1C, when R is1=CF3、R2=Cl、R3=R4=H、R5=CH3When (R) is substituted13)nCorresponding to the substituents shown in Table 8, represent compounds numbered in the order of 35-1 to 35-279.
Figure BDA0001144181250000241
Table 36: in the general formula I-2A, when R is1=Cl、R2=Cl、R3=R4=R5When H, the substituent (R)13)nCorresponding to the substituents shown in Table 8, represent compounds numbered in the order of 36-1 to 36-279.
Table 37: in the general formula I-2A, when R is1=Cl、R2=CH3、R3=R4=R5When H, the substituent (R)13)nCorresponding to the substituents shown in Table 8, the representative compounds are numbered in the order of 37-1-37-279.
Table 38: in the general formula I-2A, when R is1=Cl、R2=OCH3、R3=R4=R5When H, the substituent (R)13)nCorresponding to the substituents shown in Table 8, represent compounds numbered sequentially from 38-1 to 38-279.
Table 39: in the general formula I-2A, when R is1=Cl、R2=CHO、R3=R4=R5When H, the substituent (R)13)nCorresponding to the substituents shown in Table 8, represent compounds numbered in the order of 39-1 to 39-279.
Table 40: in the general formula I-2A, when R is1=Cl、R2=Br、R3=R4=R5When H, the substituent (R)13)nCorresponding to the substituents shown in Table 8, represent compounds numbered 40-1 to 40-279.
Table 41: in the general formula I-2A, when R is1=CH3、R2=Cl、R3=R4=R5When H, the substituent (R)13)nCorresponding to the substituents shown in Table 8, the representative compounds are numbered 41-1-41-279.
Table 42: in the general formula I-2A, when R is1=C2H5、R2=Cl、R3=R4=R5When H, the substituent (R)13)nCorresponding to the substituents shown in Table 8, represent compounds numbered 42-1-42-279.
Table 43: in the general formula I-2A, when R is1=CHF2、R2=Cl、R3=R4=R5When H, the substituent (R)13)nCorresponding to the substituents shown in Table 8, the representative compounds are in the order of 43-1-43-279.
Table 44: in the general formula I-2A, when R is1=CF3、R2=Cl、R3=R4=R5When H, the substituent (R)13)nCorresponding to the substituents shown in Table 8, represent compounds numbered sequentially from 44-1 to 44-279.
Table 45: in the general formula I-2A, when R is1=Cl、R2=Cl、R3=R4=H、R5=CH3When (R) is substituted13)nCorresponding to the substituents shown in Table 8, represent compounds numbered in the order of 45-1 to 45-279.
Table 46: in the general formula I-2A, when R is1=CH3、R2=Cl、R3=R4=H、R5=CH3When (R) is substituted13)nWatch and watchThe substituents shown in 8 are identical and represent the compounds with the number of 46-1-46-279 in sequence.
Table 47: in the general formula I-2A, when R is1=C2H5、R2=Cl、R3=R4=H、R5=CH3When (R) is substituted13)nCorresponding to the substituents shown in Table 8, represent compounds numbered in the order of 47-1 to 47-279.
Table 48: in the general formula I-2A, when R is1=CHF2、R2=Cl、R3=R4=H、R5=CH3When (R) is substituted13)nCorresponding to the substituents shown in Table 8, represent compounds numbered 48-1-48-279.
Table 49: in the general formula I-2A, when R is1=CF3、R2=Cl、R3=R4=H、R5=CH3When (R) is substituted13)nCorresponding to the substituents shown in Table 8, represent compounds numbered 49-1-49-279.
Figure BDA0001144181250000251
Table 50: in the general formula I-2B, when R is3=R4=R5=R17When H, the substituent (R)13)nCorresponding to the substituents shown in Table 8, represent compounds numbered in the order of 50-1 to 50-279.
Table 51: in the general formula I-2B, when R is3=R4=R5=H、R17When the radical is 5,7-2F, the substituent (R)13)nCorresponding to the substituents shown in Table 8, the representative compounds are in the order of 51-1-51-279.
Table 52: in the general formula I-2B, when R is3=R4=R5=H、R17=5-CH37-Br, substituent (R)13)nCorresponding to the substituents shown in Table 8, represent compounds numbered 52-1-52-279.
Table 53: in the general formula I-2B, when R is3=R4=R5=H、R17=6,8-2CH3When (R) is substituted13)nCorresponding to the substituents shown in Table 8, represent compounds numbered 53-1-53-279.
Table 54: in the general formula I-2B, when R is3=R4=R5=H、R17=5-Cl-8-CH3When (R) is substituted13)nCorresponding to the substituents shown in Table 8, the symbols represent compounds 54-1-54-279.
Table 55: in the general formula I-2B, when R is3=R4=R17=H、R5=CH3When (R) is substituted13)nCorresponding to the substituents shown in Table 8, the numbers of the representative compounds are 55-1 to 55-279.
Table 56: in the general formula I-2B, when R is3=R17=H、R4=R5=CH3When (R) is substituted13)nCorresponding to the substituents shown in Table 8, the representative compounds are numbered as 56-1-56-279.
Figure BDA0001144181250000261
Table 57: in the general formula I-2C, when R is3=R4=R5=R19When H, the substituent (R)13)nCorresponding to the substituents shown in Table 8, represent compounds numbered in the order of 57-1 to 57-279.
Table 58: in the general formula I-2C, when R is3=R4=R5=H、R19=CH3When (R) is substituted13)nCorresponding to the substituents shown in Table 8, represent compounds numbered 58-1-58-279.
Table 59: in the general formula I-2C, when R is3=R4=R5=H、R19=C2H5When (R) is substituted13)nCorresponding to the substituents shown in Table 8, the representative compounds are numbered 59-1-59-279.
Table 60: in the general formula I-2C, when R is3=R4=R5=H、R19When Cl is not satisfied, a substituent (R)13)nCorresponding to the substituents shown in Table 8, the representative compounds are numbered from 60-1 to 60-279.
Table 61: in the general formula I-2C, when R is3=R4=R5=H、R19When Br, substituent (R)13)nCorresponding to the substituents shown in Table 8, the representative compound numbers are in the order of 61-1-61-279.
Table 62: in the general formula I-2C, when R is3=R4=H、R5=R19=CH3When (R) is substituted13)nCorresponding to the substituents shown in Table 8, represent compounds numbered 62-1-62-279.
Table 63: in the general formula I-2C, when R is3=H、R4=R5=R19=CH3When (R) is substituted13)nCorresponding to the substituents shown in Table 8, the representative compounds are numbered 63-1-63-279.
Figure BDA0001144181250000262
Table 64: in the general formula I-2L, when R is1=Cl、R2=Cl、R3=R4=R5When H, the substituent (R)13)nCorresponding to the substituents shown in Table 8, the representative compounds are numbered sequentially from 64-1 to 64-279.
Table 65: in the general formula I-2L, when R is1=Cl、R2=CH3、R3=R4=R5When H, the substituent (R)13)nCorresponding to the substituents shown in Table 8, represent compounds numbered 65-1-65-279.
Table 66: in the general formula I-2L, when R is1=Cl、R2=OCH3、R3=R4=R5When H, the substituent (R)13)nCorresponding to the substituents shown in Table 8, the symbols represent the numbers of the compounds 66-1 to 66-279.
Table 67:in the general formula I-2L, when R is1=Cl、R2=CHO、R3=R4=R5When H, the substituent (R)13)nCorresponding to the substituents shown in Table 8, the representative compounds are in the order of 67-1-67-279.
Table 68: in the general formula I-2L, when R is1=Cl、R2=Br、R3=R4=R5When H, the substituent (R)13)nCorresponding to the substituents shown in Table 8, the symbols represent compounds having the numbers of 68-1 to 68-279.
Table 69: in the general formula I-2L, when R is1=CH3、R2=Cl、R3=R4=R5When H, the substituent (R)13)nCorresponding to the substituents shown in Table 8, the symbols represent compounds 69-1-69-279.
Table 70: in the general formula I-2L, when R is1=C2H5、R2=Cl、R3=R4=R5When H, the substituent (R)13)nCorresponding to the substituents shown in Table 8, the representative compounds are numbered 70-1-70-279.
Table 71: in the general formula I-2L, when R is1=CHF2、R2=Cl、R3=R4=R5When H, the substituent (R)13)nCorresponding to the substituents shown in Table 8, the representative compounds are numbered 71-1-71-279.
Table 72: in the general formula I-2L, when R is1=CF3、R2=Cl、R3=R4=R5When H, the substituent (R)13)nCorresponding to the substituents shown in Table 8, the representative compounds are numbered 72-1-72-279.
Table 73: in the general formula I-2L, when R is1=Cl、R2=Cl、R3=R4=H、R5=CH3When (R) is substituted13)nCorresponding to the substituents shown in Table 8, the representative compounds are numbered 73-1-73-279.
Table 74: in the general formula I-2L, when R is1=CH3、R2=Cl、R3=R4=H、R5=CH3When (R) is substituted13)nCorresponding to the substituents shown in Table 8, represent the compounds numbered 74-1-74-279.
Table 75: in the general formula I-2L, when R is1=C2H5、R2=Cl、R3=R4=H、R5=CH3When (R) is substituted13)nCorresponding to the substituents shown in Table 8, represent compounds numbered 75-1-75-279.
Table 76: in the general formula I-2L, when R is1=CHF2、R2=Cl、R3=R4=H、R5=CH3When (R) is substituted13)nCorresponding to the substituents shown in Table 8, represent compounds numbered 76-1-76-279.
Table 77: in the general formula I-2L, when R is1=CF3、R2=Cl、R3=R4=H、R5=CH3When (R) is substituted13)nCorresponding to the substituents shown in Table 8, the representative compounds are numbered as 77-1-77-279.
Figure BDA0001144181250000271
Table 78: in the general formula I-3A, when R is1=Cl、R2=Cl、R3=R4=R5When H, the substituent (R)13)nCorresponding to the substituents shown in Table 8, represent compounds numbered 78-1 to 78-279.
Table 79: in the general formula I-3A, when R is1=Cl、R2=CH3、R3=R4=R5When H, the substituent (R)13)nCorresponding to the substituents shown in Table 8, the representative compounds are numbered 79-1-79-279.
Table 80: in the general formula I-3A, when R is1=Cl、R2=OCH3、R3=R4=R5When H is equal toSubstituent (R)13)nCorresponding to the substituents shown in Table 8, the numbers of the representative compounds are from 80-1 to 80-279.
Table 81: in the general formula I-3A, when R is1=Cl、R2=CHO、R3=R4=R5When H, the substituent (R)13)nCorresponding to the substituents shown in Table 8, the representative compounds are numbered as 81-1-81-279.
Table 82: in the general formula I-3A, when R is1=Cl、R2=Br、R3=R4=R5When H, the substituent (R)13)nCorresponding to the substituents shown in Table 8, represent compounds numbered 82-1-82-279.
Table 83: in the general formula I-3A, when R is1=CH3、R2=Cl、R3=R4=R5When H, the substituent (R)13)nCorresponding to the substituents shown in Table 8, the representative compounds are numbered 83-1-83-279.
Table 84: in the general formula I-3A, when R is1=C2H5、R2=Cl、R3=R4=R5When H, the substituent (R)13)nCorresponding to the substituents shown in Table 8, represent compounds numbered 84-1-84-279.
Table 85: in the general formula I-3A, when R is1=CHF2、R2=Cl、R3=R4=R5When H, the substituent (R)13)nCorresponding to the substituents shown in Table 8, represent compounds numbered in the order of 85-1 to 85-279.
Table 86: in the general formula I-3A, when R is1=CF3、R2=Cl、R3=R4=R5When H, the substituent (R)13)nCorresponding to the substituents shown in Table 8, represent compounds numbered 86-1-86-279.
Table 87: in the general formula I-3A, when R is1=Cl、R2=Cl、R3=R4=H、R5=CH3When (R) is substituted13)nAs shown in Table 8The substituents are identical, and represent the compounds with the serial numbers of 87-1-87-279.
Table 88: in the general formula I-3A, when R is1=CH3、R2=Cl、R3=R4=H、R5=CH3When (R) is substituted13)nCorresponding to the substituents shown in Table 8, the representative compounds are numbered 88-1-88-279.
Table 89: in the general formula I-3A, when R is1=C2H5、R2=Cl、R3=R4=H、R5=CH3When (R) is substituted13)nCorresponding to the substituents shown in Table 8, the representative compounds are sequentially numbered 89-1-89-279.
Table 90: in the general formula I-3A, when R is1=CHF2、R2=Cl、R3=R4=H、R5=CH3When (R) is substituted13)nCorresponding to the substituents shown in Table 8, represent compounds numbered in the order of 90-1 to 90-279.
Table 91: in the general formula I-3A, when R is1=CF3、R2=Cl、R3=R4=H、R5=CH3When (R) is substituted13)nCorresponding to the substituents shown in Table 8, represent compounds numbered from 91-1 to 91-279.
Figure BDA0001144181250000281
Table 92: in the general formula I-3G, when R is1=Cl、R2=Cl、R3=R4=R5When H, the substituent (R)13)nCorresponding to the substituents shown in Table 8, represent compounds numbered 92-1-92-279.
Table 93: in the general formula I-3G, when R is1=CH3、R2=Cl、R3=R4=R5When H, the substituent (R)13)nCorresponding to the substituents shown in Table 8, the symbols represent compounds numbered in the order of 93-1-93-279.
Table 94: in the general formula I-3G, when R is1=C2H5、R2=Cl、R3=R4=R5When H, the substituent (R)13)nCorresponding to the substituents shown in Table 8, represent compounds numbered 94-1-94-279.
Table 95: in the general formula I-3G, when R is1=CHF2、R2=Cl、R3=R4=R5When H, the substituent (R)13)nCorresponding to the substituents shown in Table 8, the representative compounds are numbered in the order of 95-1 to 95-279.
Table 96: in the general formula I-3G, when R is1=Cl、R2=Cl、R3=R4=H、R5=CH3When (R) is substituted13)nCorresponding to the substituents shown in Table 8, the numbers of the representative compounds are 96-1 to 96-279.
Table 97: in the general formula I-3G, when R is1=CH3、R2=Cl、R3=R4=H、R5=CH3When (R) is substituted13)nCorresponding to the substituents shown in Table 8, represent compounds having the numbers of 97-1 to 97-279 in that order.
Table 98: in the general formula I-3G, when R is1=C2H5、R2=Cl、R3=R4=H、R5=CH3When (R) is substituted13)nCorresponding to the substituents shown in Table 8, the representative compounds are numbered 98-1-98-279.
Table 99: in the general formula I-3G, when R is1=CHF2、R2=Cl、R3=R4=H、R5=CH3When (R) is substituted13)nCorresponding to the substituents shown in Table 8, represent compounds numbered in the order of 99-1 to 99-279.
Figure BDA0001144181250000282
Watch 100
NumberingR1R2R3R4R5R14
100-1CH3ClHHHH
100-2C2H5ClHHHH
100-3CHF2ClHHHH
100-4CH3ClHHCH3H
100-5C2H5ClHHCH3H
100-6CHF2ClHHCH3H
100-7CH3ClHHH5-CF3
100-8C2H5ClHHH5-CF3
100-9CHF2ClHHH5-CF3
100-10CH3ClHHH3-Cl-5-CF3
100-11C2H5ClHHH3-Cl-5-CF3
100-12CHF2ClHHH3-Cl-5-CF3
Figure BDA0001144181250000291
Watch 101
NumberingR1R2R3R4R5R14
101-1CH3ClHHHH
101-2C2H5ClHHHH
101-3CHF2ClHHHH
101-4CH3ClHHCH3H
101-5C2H5ClHHCH3H
101-6CHF2ClHHCH3H
101-7CH3ClHHH5-CF3
101-8C2H5ClHHH5-CF3
101-9CHF2ClHHH5-CF3
101-10CH3ClHHH3-Cl-5-CF3
101-11C2H5ClHHH3-Cl-5-CF3
101-12CHF2ClHHH3-Cl-5-CF3
Figure BDA0001144181250000292
Watch 102
NumberingR1R2R3R4R5R14
102-1CH3ClHHHH
102-2C2H5ClHHHH
102-3CHF2ClHHHH
102-4CH3ClHHCH3H
102-5C2H5ClHHCH3H
102-6CHF2ClHHCH3H
102-7CH3ClHHH5-CF3
102-8C2H5ClHHH5-CF3
102-9CHF2ClHHH5-CF3
102-10CH3ClHHH3-Cl-5-CF3
102-11C2H5ClHHH3-Cl-5-CF3
102-12CHF2ClHHH3-Cl-5-CF3
Figure BDA0001144181250000301
Watch 103
NumberingR1R2R3R4R5R15
103-1CH3ClHHHH
103-2C2H5ClHHHH
103-3CHF2ClHHHH
103-4CH3ClHHCH3H
103-5C2H5ClHHCH3H
103-6CHF2ClHHCH3H
Table 104: in the general formula I-2N, the substituent R1、R2、R3、R4、R5、R15Corresponding to the substituents shown in Table 103, the numbers of the representative compounds are, in order, 104-1 to 104-6.
Table 105: in the general formula I-3C, the substituent R1、R2、R3、R4、R5、R15Corresponding to Table 103 in this order, 103-1 to 103-6 in Table 103 represent the compound numbers 105-1 to 105-6 in this order.
Figure BDA0001144181250000302
Table 106
NumberingR1R2R3R4R5R18
106-1CH3ClHHHH
106-2C2H5ClHHHH
106-3CHF2ClHHHH
106-4CH3ClHHCH3H
106-5C2H5ClHHCH3H
106-6CHF2ClHHCH3H
Table 107: in the general formula I-2O, the substituent R1、R2、R3、R4、R5、R18Corresponding to the substituents shown in Table 106, represent the compound numbers in the order of107-1—107-6。
Table 108: in the general formula I-3D, the substituent R1、R2、R3、R4、R5、R18Corresponding to the substituents shown in Table 106, the numbers of the representative compounds are 108-1 to 108-6 in this order.
Figure BDA0001144181250000311
In the general formula I-1E, R1=CH3、R2=Cl、R3=R4=R5=R16H. In the general formula I-2D, R1=CH3、R2=Cl、R3=R4=R5=R17H. In the general formula I-2F, I-2G, I-2H, I-2I, I-2J, I-2K, I-2P, I-2Q, I-2R, I-2S, I-3E, I-3F, I-3H, R is1=CH3、R2=Cl、R3=R4=R5=H。
In the general formula I-2A, when R is1=C2H5、R2=Cl、R4=R5=H、(R13)nWhen H, the substituent R3(in the case of other than hydrogen) are different substituents as shown in Table 109, and represent the compounds with the numbers of 109-1-109-140 in sequence.
Watch 109
Figure BDA0001144181250000312
Figure BDA0001144181250000321
Figure BDA0001144181250000322
In the general formula I-2T, R1=CH3、R2=Cl、W=R4=R5=R6=R7=R9=H,m=0,(R13)n=4-OCH3(Compound No. 111-1). In the general formula I-2T, R1=C2H5、R2=Cl、W=R4=R5=R6=R7=R9=H,m=0,(R13) n-4-Cl (compound No. 111-2). In the general formula I-2T, R1=CHF2、R2=Cl、W=R4=R5=R6=R7=R9=H,m=0,(R13)n=4-CH3(Compound No. 111-3). In the general formula I-2T, R1=CH3、R2=Cl、W=R4=R5=R6=R7=R9=H,m=1,(R13)n=4-OCH3(Compound No. 111-4). In the general formula I-2T, R1=C2H5、R2=Cl、W=R4=R5=R6=R7=R9=H,m=1,(R13) n-4-Cl (compound No. 111-5). In the general formula I-2T, R1=CHF2、R2=Cl、W=R4=R5=R6=R7=R9=H,m=1,(R13)n=4-OCH3(Compound No. 111-6).
The salts of some of the compounds of the present invention can be illustrated by the salts of the specific compounds listed in Table 110, but are not intended to limit the present invention.
Salts of some of the compounds in Table 110
Figure BDA0001144181250000331
The compounds of the invention are prepared according to the following process, the reaction scheme being as follows, wherein the groups are as defined above unless otherwise stated:
preparation of the Compound of formula I is based on XCH (R)4R5)(CH(R6R7))mThe difference in the position of attachment to the pyrazole ring is divided into three cases, namely the preparation of the general formulae I-1, I-2 and I-3:
(1) A process for the preparation of formula I-1:
Figure BDA0001144181250000332
the intermediates II and III are reacted in a suitable solvent under basic conditions to give the compounds of formula I-1.
Suitable bases may be selected from, for example, potassium hydroxide, sodium carbonate, potassium carbonate, sodium bicarbonate, triethylamine, pyridine, sodium methoxide, sodium ethoxide, sodium hydride, potassium tert-butoxide, sodium tert-butoxide, etc.
The reaction is carried out in a suitable solvent, which may be selected from, for example, tetrahydrofuran, 1, 4-dioxane, acetonitrile, toluene, xylene, benzene, N-dimethylformamide, N-methylpyrrolidone, dimethylsulfoxide, acetone, or butanone.
The reaction temperature may be between room temperature and the boiling temperature of the solvent, and is generally from 20 to 100 ℃.
The reaction time is from 30 minutes to 20 hours, usually from 1 to 10 hours.
Intermediates II are commercially available in part and can also be prepared by known methods, for example, by methods described in references JP2000007662, US4977264, US6090815, US20040092402, JP09124613, US5468751, US4985426, US4845097, Journal of the American Chemical Society (1957),79,1455, Journal of Chemical Society (1955), p.3478-3481.
The intermediate III is a key intermediate for preparing the compound with the general formula I-1, and is prepared by the following two methods, specifically, the method references Bioorganic & Medicinal Chemistry,24(11), 2451-2465; 2016. WO 2011088181.
Method one, reference Bioorganic & Medicinal Chemistry,24(11), 2451-2465; 2016, for example when X ═ NH:
Figure BDA0001144181250000341
method II, refer to patent WO2011088181 toR4=R5When H, for example:
Figure BDA0001144181250000342
(2) a process for the preparation of formula I-2:
Figure BDA0001144181250000343
and reacting the intermediates II and IV in a proper solvent under the alkaline condition to obtain the compound shown in the general formula I-2.
Suitable bases may be selected from, for example, sodium hydroxide, potassium hydroxide, sodium carbonate, potassium carbonate, sodium bicarbonate, triethylamine, pyridine, sodium methoxide, sodium ethoxide, sodium hydride, sodium tert-butoxide or potassium tert-butoxide, etc.
The reaction is carried out in a suitable solvent, which may be selected from, for example, tetrahydrofuran, 1, 4-dioxane, acetonitrile, toluene, xylene, benzene, N-dimethylformamide, N-methylpyrrolidone, dimethylsulfoxide, acetone, or butanone.
The reaction temperature may be between room temperature and the boiling temperature of the solvent, and is generally from 20 to 100 ℃.
The time should be from 30 minutes to 20 hours, usually from 1 to 10 hours.
Intermediate IV is a key intermediate in the preparation of the compounds of general formula I-2 of the present invention and is prepared as follows, detailed process reference WO 2015172196. With R4=R5H, m ═ 1, and X ═ NH are examples:
Figure BDA0001144181250000351
(3) a process for the preparation of formula I-3:
Figure BDA0001144181250000352
and reacting the intermediate II and the intermediate V in a proper solvent under the alkaline condition to obtain the compound shown in the general formula I-3.
Suitable bases may be selected from, for example, sodium hydroxide, potassium hydroxide, sodium carbonate, potassium carbonate, sodium bicarbonate, triethylamine, pyridine, sodium methoxide, sodium ethoxide, sodium hydride, sodium tert-butoxide or potassium tert-butoxide, etc.
The reaction is carried out in a suitable solvent, which may be selected from, for example, tetrahydrofuran, 1, 4-dioxane, acetonitrile, toluene, xylene, benzene, N-dimethylformamide, N-methylpyrrolidone, dimethylsulfoxide, acetone, or butanone.
The reaction temperature may be between room temperature and the boiling temperature of the solvent, and is generally from 20 to 100 ℃.
The reaction time is from 30 minutes to 20 hours, usually from 1 to 10 hours.
The intermediate V is a key intermediate for preparing the compound with the general formula I-3, and is prepared according to the following method, and the specific method is referred to in WO 2011088181. With R4=R5H, m ═ 1, and X ═ NH are examples:
Figure BDA0001144181250000353
although the compounds of formula I of the present invention also belong to the class of substituted pyrimidines as well as certain compounds disclosed in the prior art, there is still a significant difference in structural characteristics. And due to these structural differences, the compounds of the present invention have better bactericidal and/or insecticidal and acaricidal activity.
The compound of the general formula I shows excellent activity on various germs in agriculture or other fields, and also shows better activity on pests and mites. Therefore, the technical scheme of the invention also comprises the application of the compound shown in the general formula I in preparing bactericides, insecticides and acaricides in agriculture or other fields.
The examples of diseases mentioned below are intended only to illustrate the invention, but in no way limit it.
The compounds of the general formula I can be used for controlling the following diseases: oomycete diseases such as downy mildew (cucumber downy mildew, rape downy mildew, soybean downy mildew, beet downy mildew, sugarcane downy mildew, tobacco downy mildew, pea downy mildew, loofah downy mildew, wax gourd downy mildew, melon downy mildew, Chinese cabbage downy mildew, spinach downy mildew, radish downy mildew, grape downy mildew, onion downy mildew), white rust (rape white rust, Chinese cabbage white rust), damping-off (rape damping-off, tobacco damping-off, tomato damping-off, pepper damping-off, eggplant damping-off, cucumber damping-off, cotton seedling damping-off), cotton rot (hot pepper rot, loofah sponge rot, wax gourd blight), epidemic diseases (broad bean blight, cucumber blight, pumpkin blight, melon blight, hot pepper, leek blight, garlic blight, cotton blight, tomato blight, etc.; fungi imperfecti diseases such as wilt (sweet potato wilt, cotton wilt, sesame wilt, castor wilt, tomato wilt, bean wilt, cucumber wilt, pumpkin wilt, winter melon wilt, watermelon wilt, sweet melon wilt, hot pepper wilt, broad bean wilt, rape wilt, soybean wilt), root rot (hot pepper root rot, eggplant root rot, bean rot, cucumber root rot, bitter gourd root rot, cotton black root rot, broad bean root rot), damping off (seedling blight of cotton, sesame seedling blight, hot pepper seedling blight, cucumber damping off, cabbage stalk rot), anthracnose (sorghum anthracnose, cotton anthracnose, kenaf anthracnose, jute anthracnose, flax anthracnose, tobacco anthracnose, mulberry leaf, hot pepper, bean disease, cucumber anthracnose, red sesame anthracnose, jute anthracnose, flax anthracnose, tobacco anthracnose, eggplant disease, hot pepper anthracnose, vegetable bean disease, and cucumber blight, Balsam pear anthracnose, pumpkin anthracnose, wax gourd anthracnose, watermelon anthracnose, melon anthracnose, litchi anthracnose), verticillium wilt (cotton verticillium wilt, sunflower verticillium wilt, tomato verticillium wilt, hot pepper verticillium wilt, eggplant verticillium wilt), scab (pumpkin scab, wax gourd scab, melon scab), gray mold (boll gray mold, red ramie gray mold, tomato gray mold, hot pepper gray mold, bean gray mold, celery gray mold, spinach gray mold, kiwi gray mold), brown spot (cotton brown spot, jute brown spot, beet brown spot, peanut brown spot, pepper brown spot, wax gourd brown spot, soybean brown spot, sunflower brown spot, pea brown spot, broad bean brown spot), black spot (flax brown spot, rape black spot, sesame black spot, sunflower black spot, castor black spot, tomato black spot, tomato black spot, tomato black spot, tomato black spot, tomato black spot, tomato, Pepper black spot, eggplant black spot, bean black spot, cucumber black spot, celery black spot, carrot black rot, carrot black spot, apple black spot, peanut black spot), spot blight (tomato spot blight, pepper spot blight, celery spot blight), early blight (tomato early blight, pepper early blight, eggplant early blight, potato early blight, celery early blight), ring spot (soybean ring spot, sesame ring spot, bean ring spot), leaf blight (sesame leaf blight, sunflower leaf blight, watermelon leaf blight, melon leaf blight), stem base rot (tomato stem base rot, bean stem base rot), and others (corn round spot, kenaf waist fold, rice blast, black sheath blight, sugarcane eye spot, cotton boll aspergillosis, peanut crown rot, soybean stem blight, soybean black spot, melon big spot, peanut net spot, tea leaf spot, red leaf spot, black leaf spot, peanut net spot, tea leaf spot, tomato black spot, potato leaf spot, potato black spot, tomato leaf spot, etc, Pepper white spot disease, white gourd leaf spot disease, celery black rot disease, spinach heart rot disease, kenaf leaf mold disease, kenaf spot disease, jute stem spot disease, soybean purple spot disease, sesame leaf spot disease, castor gray spot disease, tea brown leaf spot disease, eggplant brown orbicular spot disease, kidney bean red spot disease, bitter gourd leukoderma, watermelon spot disease, jute bottom rot disease, sunflower root stem rot disease, kidney bean carbon rot disease, soybean target spot disease, eggplant rod spore leaf spot disease, cucumber target spot disease, tomato leaf mold, eggplant leaf mold, broad bean red spot disease and the like); basidiomycete diseases such as rust (wheat stripe rust, wheat stalk rust, wheat leaf rust, peanut rust, sunflower rust, sugarcane rust, leek rust, onion rust, chestnut rust, soybean rust), smut (maize head smut, maize smut, sorghum head smut, sorghum loose smut, sorghum stalk smut, chestnut kernel smut, sugarcane head smut, kidney bean rust) and others (such as wheat sharp eyespot, rice sheath blight, etc.); ascomycetous diseases, such as powdery mildew (wheat powdery mildew, rape powdery mildew, sesame powdery mildew, sunflower powdery mildew, beet powdery mildew, eggplant powdery mildew, pea powdery mildew, towel gourd powdery mildew, pumpkin powdery mildew, wax gourd powdery mildew, melon powdery mildew, grape powdery mildew, broad bean powdery mildew), sclerotinia rot (flax sclerotinia rot, rape sclerotinia rot, soybean sclerotinia rot, peanut sclerotinia rot, tobacco sclerotinia rot, pepper sclerotinia rot, eggplant sclerotinia rot, kidney bean sclerotinia rot, pea sclerotinia rot, cucumber sclerotinia rot, bitter gourd sclerotinia rot, wax gourd sclerotinia rot, watermelon sclerotinia rot, celery sclerotinia rot), scab (apple scab, pear scab) and the like.
The compounds of the general formula I can be used for controlling the following pests:
coleoptera (Coleoptera) (beetle): bean species (Acanthoscelides spp.) (elephant), phaseolus vulgaris (Acanthoscelides obtectus) (common pisiform), Ceratoptera alba (Agrilus planipes) and Ceratopteris versicolor (Quadrifolia narrow Germin), Flammulina species (Agriotes spp.) (wireworm), Anoplophora glabripennis (Aphis longipes), Gomphytus species (Anthonoma spp.) (Arthrobacter flavidus), Gomphytus grandis (Anthronus grandis) (Arthrobacter asiaticus), Gomphytus species (Aphidius spp.) (Aprionus spp.) (Arthrospora), Cochlothiaoma sp. (Anacardia), Cochlothiajaponica (Aponia spp.) (grub), Cochlothuroides (Atacys specularis) (Black piss specula (Atanthus spec), Pieris versicolor (Pieris indica) (Pieris indica), Pieris indica (Pieris indica) (Pieris) and Pieris (Pieris indica) (Pieris chinensis (Pieris) of (Pieris) variety (Pieris illustrates (Pieris) and Pieris (Pieris) such as Pieris (Pieris sinensis (Pieris variety (Pieris) and Pieris (Pieris) such as (Pieris) A variety (Pieris) such as Pieris variety (Pieris) and Pieris variety (Pieris) including Pieris variety (Pieris) such, Pieris variety (Pieris) such as Pieris (Pieris variety (Pieris) such, Pieris (Pieris variety (Pieris) including Pieris) such as Pieris (Pieris variety, Pieris) and Pieris variety (Pieris) such), Pieris (Pieris) including Pieris variety (Pieris) and Pieris (Pieris) such), Pieris) such (Pieris) such), Pieris) such as (Pieris variety (Pieris) and Pieris variety (Pieris) such), Pieris variety (Pieris) variety (Pieris variety, Pieris (Pieris) and Pieris) including Pieris (Pieris) variety (Pieris) such) including Pieris variety (Pieris) such (Pieris variety (Pieris) including Pieris (Pieris variety, Pieris (Pieris variety (Pieris) including Pieris variety (Pieris) including Pieris, Cacoesia species (Cacoesia spp.), Callosobruchus maculatus (Callosobruchus maculatus) (southern cowpea weevil), yellow spot dew beetle (Carpophilus hemiptera) (stemona), testudina caragana (Cassida vittata), longicorn species (ccroscrna spp.), cerrotoma species (Ccrotoma spp.), trichomonas sp (chrysomella), leuconychus (ceromorpha trifoliatus) (setaria viridis), chlorophyta species (ceromorpha spp.), elephantopus (ceromorpha spp.), Chinese cabbage turtle species (ceromorphus assius) (cabbage caterpillar), turnip elephant species (ceromorphus purpureus), western cabbage beetle (ceromorphus), western red beetle (collybia), western red beetle (ceromorphus flavus), red beetle (collybia), red beetle (collygus purpurea), red beetle (collygus purpurea), red beetle (collygus), red beetle (red beetle), red beetle (collygus), red beetle (red beetle) and red beetle (red beetle), red beetle (red beetle), red beetle (red beetle), red beetle (red beetle, red beetle (red beetle) and red beetle (red beetle) are (red beetle, red beetle (red beetle), red beetle), red beetle (red beetle, red beetle (red beetle, red, Examples of such plants include, but are not limited to, Cryptolepis pusillus (Cryptolepis pulillus) (Aphelenchus fasciatus), Rhynchophyllus (Cryptolepis grain beetle), Ctenodera species (Ctenodera spp.) (nematodes), elephant species (Curculio spp.) (weevil), Rhinocephalus species (Cycleephora spp.) (Holotrichia dioides), Rhinocephalus degraphus (Hyponella fasciata) (Trichophyllus fasciatus), Rhinocephalus (Deporus marginatus) (Margarita fasciatus), Rhizophora paragua (Mesorus paraphyllus), Rhizophora paragua (Mesorus) (Pharmanopsis paraphyllus), Rhizophora striatus (Hypoglaucus) and Rhizophora leucotrichia (Meadora), Rhizophora leucotrichia (Piropis leucotrichia), Rhizophora leucotrichia (Piropis fasciata (Meadowrue), Rhizophora leucotrichia fasciata (Pilus) and Rhizophora) species (Meadowraenophora), Rhizophora fascicularia), Rhizophora (Piropis sp. (Pirophus fascicularis) and Rhizophyllus (Piropis) or Piropis sp. (Meadonis (Pirophus fascicularia) or Piropis (Piropis) or Pirophus fasciatus (Piropis) or A) or Piropis) or Pirophus fasciatus (Piropis) or Piropis (Pirophus fasciatus), Piropis fasciatus (Piropis) or Piropis fasciatus (Piropis L. hamus) or Piropis (Piropis L. hamus) and Piropis (Piropis) of Piropis (Pirops) of Piropis (Piropis of Pirops) of Pirops, Pirophus fasciatus (Piropis (Pirophus fasciatus), Pirophus fasciatus (Pirophus fasciatus), Piropis of Pirophus fasciatus (Pirophus fasciatus), Pirophus fasciatus (Pirophus fasciatus), Piropis (Pirophus fasciatus), Piropis of Piropis) of Pirophus fasciatus (Piropis ) of Piropis, Pirophus fasciatus (Pirophus fasciatus), Piropis) of Pirophus fasciatus (Piropis of Piropis, Piropis of Pirop, Lucerne medicago sativa (hyperbaric) (medicago sativa), medicago species (hyperboes spp.) (argentina stem weevil (Hyperodes weevil)), coffee chervil (polyphnemus hamperei) (coffee chervil), scotland species (Ips spp.) (echinacea purpurea), tobacco beetle (Lasioderma serricorne) (tobacco beetle), potato beetle (leptotarsa decemlata) (colorado potato beetle), lipoglorys fuscus, lipogynys suturalis, rice water weevil (lisurena oryzophilus) (rice water weevil), silphigus species (lycospera spellensis), meldonia sp.) (meclizia purpurea/tenera), meldonia terrestris (meldonia), meldonia spp (meldonia spp.) (Mewlela spp.) (Mewlera), Mesorrel louse beetle (Mewlela spp.) (Messoides), Mesorrel louse beetle sporulata (Mewlela spp. (Messochloes sporea), Mewless beetle spp. (Messel beetle spruce) Rhinoceros rhynchophylla (oriycetes rhinoceros) (date palm beetle), ceremony saw beetle (oryzaephiulus mercator) (market saw beetle), cercaria terrestris (elephant), cercaria terrestris (odontobrama), cercaria species (oxytrophus spp), cercaria nigripes (auricle melas mellea) (orange leaf beetle), cercaria terrestris (auricle oryzae), cerbrotica rosea (purpureus), cercaria species (panomyopis p), panopis palustris (ostrinia nubilalis), cercaria terrestris (purpurea), cercaria macrotrichia (peruvignonensis), cercaria terrestris (purpurea), cercaria macrotrichia (pernya), cercaria stris (purpurea), cercaria macrotrichia terrestris (purpurea), cercaria terrestris (bullosa) (common beetle species), cercaria stringta (bullosa) (common beetle species (pink) (common beetle species), cerifera), cerbrotica striga (mangle), cerifera), cerbrotica striga (mangle), cercospinus mangle), cerifera (mangle) and cerifera) including rhizopus mangle (mangle) and cerifera (mangle, cerifera) including rhizopus mangle, cerifera, mangle, cerifera, cerbrotica, kayas, cerbrotica, and eugles, cerbrotica, and eugles (mange, kayas, and eugles (mangle, chaeta, kayas (mange, picea (mangle, picea (mangle, picea mangle, picea mange, picea mangle, picea (mangle, picea mange, picea mange, picea mangle, picea mange, picea mange, picea mangle, picea mange, picea, pic, Root gill species (rhizomorphous spp.) (european scarab (european chafer)), cryptorhynchophorus species (ryophorus spp.) (elephant), silly species (Scolytus spp.) (wooddull moth), shonophorus species (shonophorus spp.) (cereal elephant), pisum sativum leaf (Sitona linkuntze) (pea leaf weevil (pca leaf weevil)), rice weevil species (Sitophilus spp.) (cereal weevil), rice elephant (Sitophilus grandis) (paddy insect (granavirus), rice elephant (Sitophilus oryzae) (rice weevil), rice paneum (stewartum), triphyllum sativum (triborum), and red beetle (Tribolium), red beetle (Tribolium sativum), red beetle (Tribolium), red beetle (red beetle), red beetle (red beetle, red beetle.
Dermaptera (Dcrmaptcra) (earwigs).
Vein winged order (Dictyoptera) (cockroach): german cockroach (Blattella germanica) (German cockroach), blattaria orientalis (Blatta orientalis), Blatta palustris (Blatta cockroach), Blatta australiana (parcoblata penylvanica), Periplaneta americana (perilanta americana) (austria americana), Blatta australiana (australia cockroach)), Periplaneta fusca (pcripa rubra) (australia cockroach), Periplaneta fuliginosa (brown cockroach), Periplaneta smokosa (perilanta fuliginosa) (Periplaneta fuliginosa (cockroach)), and Periplaneta fuliginosa (brown cockroach) (Periplaneta subcapium (brown cockroach)), and Periplaneta fuligina (brown cockroach) (Periplaneta rubra americana (brown cockroach)).
Diptera (Diptera) (flies): mosquito species (Aedes spp.) (mosquito), lucerne fly larvae (Agromyza frontella) (alfa blotch), agromyzis species ((Agromyza spp.) (leaf miner), trypetid species (anastrep spp.) (fruit fly), garleria persica (anastrepa subsp.) (fruit fly), garleria persica (garleria persica) (garleria persica (tail fly)), mosquito species (anophes spp.) (mosquito), fruit fly species (batrachta spp.) (fruit fly), melon fly (Bactrocera bitrae) (melon), citrus fruit fly (Bactrocera persica), mosquito species (ceitis spp.) (mosquito), mosquito fly larvae (sea fly larvae) (sea fly), sea fly larvae (sea fly larvae) (deer spp.) (moth), sea fly larvae (sea fly larvae) (moth larvae) (bilus persica spp.) (fruit fly) (moth larvae) (mosquito larvae) (deer spp.) (fruit fly) (garrisb) (mosquito larvae) (sea fly) (moth) Leaf of rape mosquito (Dasineura brassicae) (cabbage mosquito), Dimochi species (Delia spp.), Grapholitha platura (root maggot (seed corn bug)), Drosophila species (Drosophila spp.) (vinegar fly), Musca species (Fannia spp.) (housefly), yellow belly fly (Fannia canthus) (summer fly (litter house fly)), Grey belly fly (grey belly fly) (Grey belly fly), Gasterophilus intestinalis (Gasterophilus intestinalis) (horse bot), Gracillia persea, Haematobia irritani (Haematobia irrita) (fly), Black fly species (Hymenea spp.) (root maggot) (root fly), Musca (cabbage fly), Musca fly (seedling fly), Musca fly (leaf fly), Musca fly (cabbage fly) (fly), Musca fly (leaf fly), Musca fly (cabbage fly (leaf fly) (fly), Musca fly (leaf fly) (fly, cabbage fly (leaf fly) (fly), Musca fly (leaf fly) (fly), Musca fly (leaf fly) (fly) and Musca fly (leaf fly) (fly) of Musca fly), Musca fly (leaf, Musca fly) (fly) of Musca fly), Musca fly (fly) (fly, Musca fly) (fly, Musca fly) (fly) of Musca fly, Musca fly) (fly ), Musca) of Musca fly (fly, Musca) of Musca fly (leaf, Musca fly (fly, fly) (fly, Musca) of Musca, Musca) and Musca, Musca) of Musca, Musca variety, Musca variety (fly) (fly ) (fly, The plant includes, but is not limited to, the species fall houseflies (Musca australis) (face fly), houseflies (Vusca domestica) (house fly), sheep houseflies (oesteurs ovis) (sheep nose fly (sheet boot fly)), european stem flies (ostrinia fructicosa) (carrot rust fly (carrotr fly)), cherry fruit flies (rhagopetis cerasi) (cherry fruit fly)), apple fruit flies (rhapontella pomonella) (apple maggot)), red mud fly (Sitodiplosis mossambucus) (cattle yellow fly (stable fly)), and cattle fly (stable fly)).
Hemiptera (Hemiptera) (stinkbug): apolygus lucorum (Acrosteronum hieron) (green stink bug), Oryza sativa (Blissus leucopterus) (long stink bug), Oryza sativa (Caloris norvegicus) (potato stink bug), Tropical stink bug (Cimex hemipterus) (tropical stink), stinkbug (Cimex leucopterus) (bed bug), Daghertus fasciatus, Dichelops furcatus, Oryza sativa (Eucotton stainer), Edestabunda (Oryza sativa), Oryza sativa (Lepidorum), Oryza sativa (Oryza sativa) and Oryza sativa (Oryza sativa) by (Oryza sativa) and/or Oryza sativa (Oryza sativa) for treating plant (Oryza sativa) and/Oryza sativa (Oryza sativa) for treating plant, Lygus hesperus (Lygus hesperus) (western tarnished plant bug), hibiscus syriacus linnaeus (macrocytoericcus hirsutus), neuroolpus longirostris, rice green bugs (Nezara viridula) (southern green stink bug), Lygus planterum (phytolocoris spp.) (Lygus), california planterus (phytoorius californicus), phytoorius relatus, piezocoritus guilidingdinggi, tetrad bugs (podocarpus utilis linus) (folulated plant bug), psycaninum vaccicola, pseudostellaria persica, scorpio corina and trypanosoma (trypanosoma) seed (nose cone).
Homoptera (Homoptera) (aphid, scale, whitefly, leafhopper): piper pisum (Acrythosiphopkinsum) (pea aphid)), Coccinum species (Adelges spp.) (adelgids), Beeuglena brassicae (Aleurodes proteella) (Beeuglena cabbage whitefly), Aleurodicus disperses (Aleurodicus disperses), Aleurothrix striatus (Aleurothrix luteus) (gloomy whitley), Begoniothyria albonensis species (Aluaspis spp.) (Aluraceae biguella), Pectinatus species (Aphrophola sp.) (Aphrophophora spp.) (leafhopper), Rhodococcus rhododendron (Aoniella natura), Begoniothrix gloeosporioides (Begonioth), Begoniothrix gloeosporus (Begoniothrix), Begoniothrix aphid (Begoniothrix), Begoniothrix) aphid (Begoniothrix), Begoniothrix sp (Begoniothrix) and Begoniothrix aphid (Begoniothrix) Aphis (Begonioth), Begonioth (Aphis) Aphis sp), Begonioth (Begonia), Begonioth (Aphis sp), Begonioth (Begonioth) Aphis sp), Begonia), Begonioth (Begonia), Begoniothrix) and Begoniothrix) species (Begoniothrix) of Aphis, Begoniothrix, Aphis, asparagus tubular aphid (Brachyryyncria asparagi) (Asparagus aphid), Brevennia rehi, cabbage aphid (Brevicornus brassicae) (cabbage aphid), Lecanicillium species (Ceroplastes spp.) (scale), Ceriporiococcus rubens (Ceroplastes rubens) (red wax scale), Cestrum species (Chionastis spp.) (Iceltica), Lecanicillium species (Chrysomophagus spp.) (scale), Ceriporiococcus species (Coccus spp.) (scale), apple pink aphid (Dysapphigenia plantaginea) (sysplex aphid), Phyllopsis viridis (apple aphid) and Lecanicola (apple aphid) plant (apple aphid), Phyllospora major (apple aphid), Phyllospora (apple aphid) and Lecanicola (apple aphid), Phyllospora grandis (apple aphid), Phyllophora gossypium (apple aphid), Leonicola (apple aphid (apple), and Leonicola (apple aphid), Phyllophora variety (apple aphid) and Leonicola (apple aphid) of Leonicola (apple aphid (apple), Leonicola (apple aphid), and leaf, apple aphid (apple), and leaf, leaf strain (apple stem) (maize) plant, leaf strain (apple stem, leaf, Leaf of the species Mylopharyngodium (Macrosiphum grandium) (English grandis)), Long pipe aphid (Macrosiphum rosae) (Rose aphid (rose aphid)), four-leaf hopper (Macrosteles quadratus) (purple leaf hopper (ash leaf hopper)), Mahanarva frimbiola, Meopodium diricum (wheat germ) aphid (rose aphid), Midis Longicornis, peach aphid (Myzus persicae) (peach aphid (green apple aphid)), Nephophylum spruce (Nephotettix spreng) (leaf hopper), Nephotettix cinctix (green leaf hopper), Phosphaera (brown apple aphid) (Phosphaera), Phosphaera (brown apple aphid) (leaf hopper), Phosphaera (leaf hopper), Phosphaericoides) (leaf hopper) (leaf hopper), leaf hopper (leaf hopper) (leaf hopper (leaf), leaf hopper (leaf hopper (leaf hopper) and leaf hopper (leaf hopper) (leaf hopper (leaf hopper) leaf, leaf hopper (leaf hopper) Pygeum sp (mealybugs), pygeus sp (mealybugs), begecky sp (Pseudococcus spp), mealybugs (Pseudococcus brcvps) (pink apple), pernicia pelyridis (quadrspididatus) (saint josephse), pygecky sp (Rhapalosiphum sp.) (aphid), corn leaf aphid (rhaalophilus maida) (corn aphid), corn leaf aphid (bitter orange apple tree), red apple wax apple tree (white apple tree) (black apple tree) (black apple tree), white apple tree (white apple tree) (black apple tree), apple tree) (black apple tree) (black apple, Whitefly species (Trialeurodes spp.) (whitefly), greenhouse whitefly (Trialeurodes vaporariorum) (greenhouses whitefly), brown wing whitefly (Trialeurodes abutiloneus) (bandtwing whitefly), cupula species (Unaspis spp.) (scale), arrowhead (Unaspis yanonensis) (arrowhead scale), and Zulia entreriana.
Hymenoptera (Hymenoptera) (ants, wasps and bees): incised leaf ant species (Acrommerx spp.), Sinkiang leaf bees (Athalia rosae), leaf ant species (Atta spp.), Ieafcutting ants, Black ant species (Camponus spp.), wooden ants (carpenter ant), pine leaf bee species (Diprion spp.), leaf bees (sawfly), Formica spp. (Formica spp.), Argentina argentea (Iridogyrmex pollicis) (Argentintinentant), Coccinum subspecies (Monorium spp.), little termites (Monoformium nigrum) (littlet lake ant), Japanese termites (Pharmanye Solenopsis), New pine leaf bee species (Neomerium spp.), family bee species (Meliotica spp.), family bee species (Melisseria meleagle bee), genus Melissa (Melisseria meleagiensis (Solomon), and species of Melissa bee (Solomon spp.) (Polionus spp.), Quadrature, Melissus spp. (Solomone spp.) (Solidanus spp.), and the like), and the species of Melisseria meldonsis (Solomonas, Wasp species (vespela spp.) (yellow jack) and trichogramma species (Xylocopa spp.) (carpenter bee).
Isoptera (Isoptera) (termites): coptotermes spp, Coptotermes curcus, Coptotermes flavus, Coptotermes formosanus, Coptotermes spp, Coptotermes formosanus, Coptotermes spp, Coptotermes formosanus, Coptotermes formotermes spp, Heterotermes spp, Coptotermes formotermes formosanus, Coptotermes formosanus spp, Coptotermes formosanus spp, Coptotermes formosanus spp, Coptotermes termes spp, Coptotermes formosanus spp, Coptotermes termes spp, Coptotermes formosanus termes, Coptotermes termes, Coptotermes spp, Coptotermes termes formosanus spp, Coptotermes termes, Coptotermes termes, Coptotermes termes, Coptotermes termes, Cotermes termes, Coter, Reticulitermes banyulensis, Spodoptera grassland (Reticulitermes grassei), Reticulitermes flavipes (Reticulitermes flavipes) (eastern soil-dwelling termites), Reticulitermes flavipes (Reticulitermes hagenii), West Scleropectium (Reticulitermes heperus) (West soil-dwelling termites), Moraxeticles sanguineus (Reticulitermes santonensis), Norterex benthamoides (Reticulitermes speratus), Reticulitermes nigripes (Reticulitermes tibialis), Reticulitermes virginicus (Reticulitermes virginicus), Reticulitermes formosanus species (Schedorthes spp.) and Zootes spp (Zooter termite spp.).
Lepidoptera (Lepidoptera) (moths and butterflies): achoea janata, Trichosporon species (Adoxophyceae spp.), Trichosta gossypii (Adoxophyceae orana), Gekko sp (Agrotis spp.), cutworm ((Agrotis ipsilon) (Black cutter), Trichosta gossypii (Alabama argillacea) (Cotton leaf worm), Amorbia cuneata (Amomum cubensis), Amorbia cuneata, Amylosis trastuella (Na orange) Teng, Anacoptida, Spodoptera fortunei (Na orange), Anacoptids degelata, Spodoptera cuneata (Anarctia lineata) (peach twigs borrer), Athiophylla (Anomyia sanguinea), Trichosta (Boomula japonica) (Boyloptera), Trichosta niponica (Boyloptera), Spodoptera (Ostrinia), Spodoptera (Boyloptera), Spodoptera fructicola (Boyloides kura), Spodoptera (Boyloptera) variety (Boyloptera), Spodopterocarpus (Boyloptera), Spodoptera (Boyloptera) and Boylophyta (Boylopterocarpus (Boylophysa) variety (Boylophysa) including Boylophysa, Spodopterocarpus (Boylophysa) and Boylophysa (Boylophysa) can, The species of the genus Spodoptera (Caloptilia spp.) (Spodoptera exigua), Capua reticulana, peach fruit moth (Carposina niponensis) (peach fruit moth)), Bombycis (Chilo spp.), mango lateral-thread Philippine moth (Chuumetia transversa) (mango shoot front borner), rose leaf roller (Choristeura rosaria) (oblitera rosea) (oblitera), noctuid barrel (noctuid roller), Spodoptera species (Chrysodexis p.), Ostrinia punctata (Cnaphaloceras medialis) (Spodoptera grasses (Spodoptera)), Spodoptera litura (Spodoptera), Coprinus litura (apple leaf moth) (apple moth (Cypress), Spirochaeta (Spirochaeta), Plutella xylostella (Spirocha), Spirochalia xylostella), Spirochalia striata (Conemonorhala), Spirochalia xylostella (Spodoptera), Spirochalia xylostella (Sporina), Spirochada (Sporina), Spirocha (Sporina), Sporina (Sporidina (Sporina), Sporina) and Sporina) species (Sporina) of the family, Sporina (Sporina) and Sporina (Sporina) in the family, Sporina (Sporina) of the family, Sporina (Sporina) and Sporina (Sporina) of the family, Sporigana (Sporigana) of the genus Sporigana, Sporigana (Sporigana, Sporigana (Sporigana) of the family, Sporigana (Sporigana, Sporigana (Sporigana) of the family, Sporigana, Spiritis (Sporigana, Sporigana (Sporigana, Sp, the species Darna diducta, Diaphania sp (Diaphania spp.) (stem borer)), borer sp (Diaphania spp.) (stem borer (staged borer)), borer (Diaphania saccharalis) (sungar borer), southwestern corn stalk (Diaphania grandiflora) (southwestern corn borer), diamond-back seed (eared diamond-back) eared (eared diamond-back), cotton bollworm (eared bollworm), and diamond-back (earia insulata) (egyptiana boreworm), diamond-back (eared diamond-back) (roughh northern pink bollworm), dynastigma (apple stem borer), ostrinia (ostrinia), ostrinia nubila (ostrinia nubila), ostrinia nubilalis (ostrinia nubilalis), ostrinia nubilalis) (ostrinia nubilalis), ostrinia nubilalis (ostrinia nubilalis) (ostrinia nubila nubilalis), ostrinia nubilalis (ostrinia nubilalis), ostrinia nubilalis) (ostrinia nubilalis (ostrinia nubila nubilalis) (ostrinia nubilalis), ostrinia nubilalis (ostrinia nubila nubilalis), ostrinia nubila nubilalis (ostrinia nubilalis), ostrinia nubila nubilalis (ostrinia nubila, ostrinia nubila nubilalis), ostrinia nubila, ostrinia nubila (ostrinia nubila, ostrinia nubila (ostrinia nubila, ostrinia (ostrinia nubila, ostrinia nubila, ostrinia nubila, ostrinia nubila, ostrinia nubila (ostrinia, ostrinia nubila, ostrinia nubila, ostrinia nubila, Noctuid (epiotia aporema), scolyptera bananas (eriodictyon x) (banana skipper), euglenopsis lucida (Eupoecilia ambiguella) (grape berry moth (grape berry moth)), Euxoa auricularia (Euxoa auricularis) (army cutworm), cutworm (ferula sp.) (cutworm), hornworm (gorworm sp.) (moth), oriental moth (grapholitta molesta) (peach (apricot) seed heart worm (original fruit moth)), borer (moth) (soybean leaf moth (cabbage leaf moth)), budworm sp.) (Helicoverpa sp.) (Helicoverpa sp.)), cotton bollworm (corn earworm) (Helicoverpa punctifera), Helicoverpa punctifera (Helicoverpa punctifera) (Helicosa (Helicoverpa sp.)), Helicoverpa sp.) (Helicosa (Helicoverpa sp.)) and Helicoverpa sp.) (Helicoverpa sp.))), Tomato moth (Keifera lycopersicella) (tomato pinum), white-fin webworm (Leucinodes orbornata) of Solanum, egg plant fruit moth (egg plant fruit borrelia), leaf miner (Leucoptera malinella), the species Plutella xylostella (Lithocollectis spp.), grape leaf moth (Lobesia borrelia) (grape fruit mot), the species Loxagrus (Loxagrus spp.), the species Laurella punctata (Laurella punctata), the species Laurella cerifera (Loxagrus alburena), the species Laurella punctata (Bean white-leaf diculus (Bean) of Leguminosae), the species Lymantria (Lymantria disparis) (grape fruit bud), the species Lymantria dispar) (gypsylla), the species (Lyonetia punctifera), the species Lyonella (apple leaf moth (apple leaf miner), the oil bag (cabbage), the species (cabbage moth) (cabbage leaf borer), the species (leaf moth (Lymantria), the species (Lyonetia punctifera), the species (Lyoneura) of Plutella (Plutella), the species (Plutella) of Plutella (Plutella), the species (Plutella) of Spinacea brueckea fructia (Spinacea), the species of Spinacea (Spodophylla) of Plutella (Spinacea), the species of Spinacea (Spinea), the genus (Spinacea) of Spinacea (Spinaceus) of Spinaceus (Spinaceus) of Spinaceus (Spinaceus) of Spinaceus, Spinaceus (Spinaceus) of Spinaceus (Spinaceus) of Spinaceus), Spinaceus (Spinaceus) of Spinaceus (Spinaceus) of Spinaceus (Spinacia), Spinaceus (Spinaceus) of Spinaceus (Spinaceus) of Spinaceus (Spinacia), Spinaceus (Spinaceus) of Spinaceus (Spinacia), Spinaceus (Spinac, Winter loopers (Operphthora briata) (winter moth)), European corn borer (Ostrinia nubilalis) (European corn borer (European corn borner)), Oxydia vesula, Ostrinia fructicola (Pandemia cerosa) (common grape leaf moth (common currant torax)), apple leaf moth (Pandemia hepiali) (brown apple pitridix), African damascena (Papilio demodula), Red wheat moth (Pectinophora gossypiella) (red bell (pink bollworm)), Arctia species (Peridroma spp.) (Rhizopus), European red tiger (Peridroma sacchrina) (cabbage caterpillar (cabbage)), European red cabbage looper (Peripleria punctatus), European red cabbage moth (cabbage caterpillar), European red cabbage caterpillar (Peripleria spodoptera), European red cabbage caterpillar (cabbage caterpillar), European red cabbage caterpillar (cabbage caterpillar), European cabbage caterpillar (cabbage caterpillar), cabbage caterpillar (cabbage caterpillar) (cabbage caterpillar variety of the species (cabbage caterpillar), cabbage caterpillar (cabbage caterpillar) of the species (cabbage caterpillar, cabbage caterpillar (cabbage caterpillar), cabbage caterpillar (cabbage caterpillar ) of the species of, Cabbage moth (Plutella xylostella) (diamondback moth), grape berry moth (polychrosia virosa) (grapple berry mountain moth), orange fruit moth (Prays endocarps), olive moth (prasys oleae) (olive moth), armyworm species (pseudotales spp.) (noctuid), pseudolitea unipicta (marcescens), soybean looper (pseudolitea includens) (soybe looper), looper (raphanus nu), tryporyza incertulas (scirphaga incertulas), stem borer (Sesamia fischeri), stem moth (Sesamia infusoriana) and Spirospongia armyworm (Spodoptera), cabbage looper (Spirochaetes), cabbage looper (Spirocha spongiosa), cabbage looper (Spodoptera spongiosa), cabbage looper (Spodopterocarpus niponensis) (Spodoptera spongiosa), cabbage looper (Spodopterocarpus niponaria), cabbage looper (Spodopterocarpus nipona), cabbage looper) (Spodoptera), Spodopterocarpus (Spodoptera), Spodoptera) moth (Spodopterocarpus (Spodoptera), Spodoptera) and Spodopterocarpus (Spodopterocarpa) are) species (Spodopterocarpus (Spodopterocarpa) including Spodoptera) and Spodoptera) including Spodopterocarpus (Spodoptera) and Spodoptera) including rice stem moth (Spodopterocarpus (Spodoptera) and Spodoptera variety (Spodoptera) including rice stem moth (Spodoptera) including rice stem moth (Spodoptera variety, Spodoptera variety (Spodoptera) and Spodoptera variety (Spodoptera) including rice stem moth (Spodoptera) and Spodoptera variety (Spodoptera) including rice stem moth (Spodoptera) and Spodoptera) including rice stem moth (Spodoptera variety (Spodoptera) including rice stem moth (Spodoptera) and rice stem moth (Spodoptera) such as well, Spodoptera variety (Spodoptera) including rice stem moth (Spodoptera) and rice stem moth (Spodoptera variety (Spodoptera) including rice stem moth (Spodoptera variety, Spodoptera) and rice stem moth (Spodoptera) including rice stem moth (Spodoptera) and rice stem moth (Spodoptera variety (Spodoptera) and rice stem moth (Spodoptera) including rice stem moth (Spodoptera variety (Spodoptera) including rice stem moth (Spodoptera variety (Spodoptera) including rice moth (Spodoptera variety, Southern Spodoptera oridania (southern armyworm), athetosis species (synanthondon spp.) (root borer), Therla basilides, Thermia gemmatalis, Chlamydomonas (tienola bisselella) (webbings moth.), Trichoplusia ni (Trichoplusia ni) (camera bbeller), Tolyta domestica (Tuts absoluta), Nematoda species (Yponomeuta spp.), Coffeta (Zeuzeracow corn), and Zeuzera pyrina (Pleurotus parviensis).
Mallophaga ((Mallophaga) feather louse (chewing lice)): sheep feather louse (Bovicola ovis) (sheet biting louse), turkey short horn feather louse (chicken body louse), and chicken feather louse (Menopon gallina) (common henhouse).
Orthoptera (Orthoptera) (grasshopper, locust and cricket): arana nigra (anacrus simplex) (Mormon horns (Mormon cricket)), mole cricket (Gryllotalpidae) (mole cricket)), eastern asia migratory locust (Locusta migratoria), grasshopper species (Melanoplus spp.) (grasshopper), acephalus wing slender thorns (Microcentrum rethreshold) (angular wing broad katydid)), pterophyces species (pterophyces spp.) (pterophyces sp.) (grasshopper), steleophaga egr, pterygrasus furcifera (scudderis) (harlequin bushy bush (fork tailed bustydidid)), and tuberous ridge (vani.
Phthiraptera (Phthiraptera) (sucking lice): the blood sucking lice species (haemattopinus spp.) (cattle and pig lice), sheep jaw lice (sheep lice), head lice (pedigree capitis) (body lice), human body lice (pedigree humanus (body lice) and crab lice (crab lice)).
Siphonaptera (daphnaptera) (fleas): ctenocephalides canis (dog flea), Ctenocephalides felis (cat flea) and human flea (Pulex irutans) (human flea).
Thysanoptera (thrips): frankliniella fusca (Frankliniella fusca) (tobaco third), Frankliniella occidentalis (western flower) Frankliniella hultrias (western flower), Frankliniella shultzii (Frankliniella williamsii) (corn Thrips), Frankliniella glasshouse Thrips (IIelothrips hamoralidis) (greenhous third), Riphisprothrips cruentus, Scirpus sp (Sciroththrips spp), Platycodon grandiflorum (Scirthricirris) (citrus trough), Frankliniella tabacum (Scirthrips spp), Talothriparia (yellow Thrips spp), and Throughthrips (Thripus spp).
Thysanoptera (Thysanura) (bristletail): chlamydomonas species (Lepisma spp.) (silverfish) and locusta species (Thermobia spp.) (locusta spp.).
From the order of Acarina (Acarina) (mites (mite) and cicadas (tick)): woodbee scutellariae (acarapis woodi) (parasitic mites in the trachea of bees), dermatophagoides farinae (Acarus spp.), dermatophagoides farinae (food mites), Acarus macrorhizus (Acarus sriro) (corn mite (grain mite)), mangifera gemini (Aceria mangifera) (mango bud mite), acanthophyrus stictus (Acarus spp.), acanthophycus solani (acanthophyrus sp.), acanthophysalis lycopersici (acanthophyrus sp.), tomaticus setosum (tomatophysus) tomatin (tomatophyceae), acanthophycus purpureus (acanthophyceae), acanthophyrus stictus (acanthophyceae) (apple pythium sp.), procumbens (acanthophyrus sp.), procumbens (mangiferus sp.), rhipifera (mangiferus sp.), rhynchopus sp.), euonymus (bracteus sp.), rhynchopus sp.), euonymus (mangiferus sp.), and mangiferus sp (mangiferus sp.), euonymus sp (mangiferus sp.), euonymus sp (mangiferus sp.), euonymus sp (mangiferus sp.), euonymus sp (mangiferus sp.), euonymus (mangiferus sp.), euonymus (mangiferus sp.), euonymus (mangiferus sp.) A (mangiferus sp.), euonymus (mangiferus sp.), gra (mangiferus sp.), euonymus (mangiferus sp.), gra (mangiferus sp.), euonymus (mangiferus sp.), gra. sp.), euonymus (mangiferus sp.), gra (mangifer (mangiferus sp.), gra, House dust mite (Dermatophagoides pteronyssinus) (house dust mite), Tetranychus sp (Eototryanus spp.), Carpinus horneri sp (Eototryanus carpini (yellow spider mite), Tetranychus sp.), Acarinus sp (Eriophenous spp.), Stephania sp (hard tick sp.; es sp.), ticks (tick), Tetranychus sp. (Tetranychus sp.), Acarinus sp. (Notoedressi spec), Acarinus sp. (Notoerdorhycus sp.), Acarinus gracilis (Notoedressi. sp.), Acarinus parvus (Oligonychus spyricus sp.), Acarinus gracilis (Ocigonurus), Acarinus wintergreen (Oligonychus (Oligonus) (sorred mite), Acarinus fuliginosus (Tetranychus), Acarinus pallidus (Tetranychus), Acarinus fuliginosus (Tetranychus), Acarinus tetranychus (Tetranychus urticae), Acarinus (Tetranychus urticae), Acarinus) (Tetranychus urticae (Tetranychus), Acarinus) (Tetranychus) or Tetranychus urticae), Acarinus (Tetranychus) (Phoenii (Tetranychus) and Tetranychus (Tetranychus) or Tetranychus (Tetranychus) or (Tetranychus) or Tetranychus (Tetranychus) or Tetranychus (Tetrasticus) or (Tetrasticus) or Tetrasticus (Tetrasticus) or Tetrasticus (Tetrasticus) or Tetrasticus (Tetrasticus) or Tetrasticus (Tetrasticus) or Tetrasticus (Tetrasticus) or Tetrasticus (Tetrasticus) or Tetrasticus (Tetrasticus) or Tetrasticus (Tetrasticus), Rhizomorpha species (rhizomorph spp.) (root mite (bulb mite)), Sarcoptes scabies (Sarcoptes scabies) (itch mite), coronaria avocado (tetragonophys perseafarae), Tetranychus species (Tetranychus spp.), Tetranychus urticae (Tetranychus urticae) (twospoked spider mite)) and Varroa destructor (Varroa destructor) (honey bee mite).
Nematoda (nematodes): the species Aphelenchoides (Aphelenchoides spp.) (bud and leaf and pine wood nematodes (bud and leaf & pine wood nematodes)), the species nematodiasis (Belonolaevis spp.) (sting nematodes), the species Cyclotella minor (Criconella spp.) (ring nematodes), the species Dirofilaria immitis (dog heartword), the species Ditylenchus spp. (stem and bulb nematodes), the species Trichophythora (Heterodera spp.) (Cytospora spp.), the species Heterocladia (Heterocladia zeae) (maize nematodides), the species Melilodinia spp. (Hichlamyella spp.) (Melilotus spp.)), the species Heterocladospora spp.) (Melilotus spp.)), the species Melilotus spp.) (Melilotus spp.)), the species (Melilotus spp.)), the species), Melilotus spp.) (Melilotus) and Melilotus spp.) (Melilotus, Melilotus spp.) (Melilotus) and Melilotus spp.) (Melilotus, Melilotus spp.) (Melilotus) and Melilotus, Melilotus spp.) (Melilotus, Melilotus spp.) (Melilotus, Melilotus spp.) (Melilotus ) and Melilotus, Melilotus spp.) (Melilotus, Melilo, The species of the genus Rapholus (Rapholus spp.) (Burrowing nematode) and the species of the Leptochloa (Rotylenchus reniformis) (kidney-shaped nematode).
General class (general classes of insects): white pine worm (Scutigerella immaculata).
Particularly, the composition has better control effect on wheat powdery mildew, corn rust and rice blast.
Owing to their positive properties, the abovementioned compounds can be used advantageously for protecting crops, domestic animals and breeding animals of agricultural and horticultural importance, as well as the environment in which humans are often exposed, against harmful germs, pests and mites.
The amount of the compound used to achieve the desired effect will vary depending on factors such as the compound used, the crop to be protected, the type of pest, the extent of infection, the climatic conditions, the method of application, and the dosage form employed.
A dose of 10g to 5 kg of compound per hectare provides adequate control.
The invention also discloses a sterilization, disinsection and acaricidal composition which takes the compound shown in the general formula I as an active component. The weight percentage of the active components in the composition for killing bacteria, insects and mites is between 0.5 and 99 percent. The composition also comprises a carrier acceptable in agriculture, forestry and sanitation.
The compositions of the present invention may be administered in the form of a formulation. The compounds of formula I as active ingredients are dissolved or dispersed in carriers or formulated to be more easily dispersible for bactericidal, insecticidal use. For example: the chemical preparations can be prepared into wettable powder, oil suspension, water suspension, aqueous emulsion, aqueous solution or missible oil and the like. In these compositions, at least one liquid or solid carrier is added, and when necessary, a suitable surfactant may be added.
The technical scheme of the invention also comprises a method for preventing and controlling germs, pests and mites, which comprises the following steps: the sterilizing, insecticidal and acaricidal composition is applied to the pathogenic bacteria or the growth medium thereof. Preferably, an effective amount of 10 to 1000 grams per hectare is generally selected, with an effective amount of 20 to 500 grams per hectare being preferred.
For certain applications, for example in agriculture, one or more other fungicides, insecticides, acaricides, herbicides, plant growth regulators or fertilizers and the like can be added to the fungicidal, insecticidal and acaricidal compositions of the present invention, whereby additional advantages and effects can be produced.
It should be understood that various changes and modifications may be made within the scope of the present invention as defined by the claims.
Detailed Description
The following specific examples are intended to further illustrate the invention, but the invention is by no means limited to these examples (all materials are commercially available unless otherwise indicated) and the scope of the invention is not limited by the examples.
Synthetic examples
Example 1 preparation of Compounds 41-19
1) Preparation of 4-chlorothiobenzoyl chloride
Figure BDA0001144181250000471
10g (73mmol) of p-chlorobenzonitrile is put into a 250mL single-mouth bottle, 80mL of N, N-dimethylformamide and 14.8g (73mmol) of magnesium chloride hexahydrate are added, the temperature is raised to 45 ℃, after the p-chlorobenzonitrile is completely dissolved, 11.68g (146mmol, 70%) of sodium hydrosulfide is slowly added in batches, the temperature is raised to 90 ℃, after TLC monitoring reaction is finished, reaction liquid is poured into water, yellow solid is separated out, the pH value is adjusted to 1 by concentrated HCl, the solid color is changed into light yellow, the solid is directly extracted and filtered, washed by water and dried to obtain 10.9g of the product, and the yield is 87.9%.
2) Preparation of 2- (4-chlorophenyl) -4-thiazole benzyl chloride
Figure BDA0001144181250000472
10g (58.5mmol) of p-chlorothiobenzamide was put into a 250mL single-neck flask, 80mL of absolute ethanol and 8.2g (58.5mmol) of 1, 3-dichloroacetone were added, the temperature was raised to 85 ℃, most of the solvent was evaporated after the reaction was monitored by TLC, water was added to precipitate a yellow solid, aqueous NaHCO3 was added to adjust the pH to 7, extraction was performed 3 times with 30mL of ethyl acetate, the organic phase was dried over anhydrous magnesium sulfate, and column chromatography was performed (eluent was ethyl acetate and petroleum ether to 1:3) to obtain 11.3g of a colorless oily liquid with a yield of 79.6%.
3) Preparation of 2- (4-chlorophenyl) -4-thiazole benzonitrile
Figure BDA0001144181250000473
3.02g (61.7mmol) of sodium cyanide is put into a 250mL single-neck bottle, 80mL of dimethyl sulfoxide (DMSO for short) is added, the temperature is raised to 70 ℃, the mixture is fully stirred until the sodium cyanide is completely dissolved, then the temperature is lowered to 50 ℃, 10g (41.2mmol) of 2- (4-chlorophenyl) -4-thiazole benzyl chloride is dissolved in N, N-dimethylformamide solution, then the solution is slowly dripped into the reaction solution, and the temperature is raised to 50 ℃ after the dripping is finished, and the reaction is carried out for one hour. After the completion of the TLC monitoring reaction, the reaction solution was poured into water, extracted 3 times with 30mL of ethyl acetate, and the organic phase was dried over anhydrous magnesium sulfate and subjected to column chromatography (eluent: ethyl acetate and petroleum ether: 1:3) to obtain 7.8g of an off-white solid with a yield of 81%.
4) Preparation of 2- (4-chlorophenyl) -4-thiazolylethylamine
Figure BDA0001144181250000474
A mixture of 7g (29.9mmol) of 2- (4-chlorophenyl) -4-thiazole benzyl chloride, Raney nickel (3.1g), 30mL of 25% ammonia water and 80mL of methanol was reacted in an autoclave under hydrogen atmosphere for 2h, after the reaction was monitored by TLC, Raney nickel was directly filtered off by suction, and the reaction was concentrated under reduced pressure to obtain 5.5g of a dark green viscous liquid with a yield of 77.46%.
5) Preparation of Compounds 41-19
Figure BDA0001144181250000481
2g (8.4mmol) of 2- (4-chlorophenyl) -4-thiazolethylamine was taken in a 50mL single-necked flask, 30mL of N, N-dimethylformamide was added as a solvent, 2.32g (16.8mmol) of anhydrous potassium carbonate powder was added, stirring was carried out at room temperature for 10min, 1.36g (8.4mmol) of methylpyrimidine chloride was then added, the temperature was gradually raised to 90 ℃ and the reaction was allowed to react for 4h, and the progress of the reaction was monitored by TLC. After the reaction was completed, the reaction solution was poured into water, extracted with 30mL of ethyl acetate three times, respectively, the organic phases were combined and washed with saturated brine, dried, concentrated, and subjected to column chromatography (eluent was ethyl acetate and petroleum ether ═ 1:3) to obtain 2.1g of a yellow solid, with a yield of 68.8%. Melting point 110-.1H NMR(300MHz,CDCl3):δ(CDCl3):8.38(s,Pyrimidine-1H),7.93(d,J=8.4Hz,Ph-2,6-2H),7.43(d,J=8.4Hz,Ph-3,5-2H),7.02(s,Thiazole-1H),3.86(t,J=6.6Hz,2H,N-CH2),3.13(t,J=6.0Hz,2H,CH2),2.46(s,3H,CH3)。
Example 2 preparation of Compounds 50-4
1) Preparation of 4-fluorothiobenzoyl chloride
Figure BDA0001144181250000482
10g (82.6mmol) of para-fluorobenzonitrile is put into a 250mL single-mouth bottle, 80mL of N, N-dimethylformamide and 16.8g (82.6mmol) of magnesium chloride hexahydrate are added, the temperature is raised to 45 ℃, after the para-fluorobenzonitrile is completely dissolved, 13.2g (165.2mmol, 70%) of sodium hydrosulfide is slowly added in batches, the temperature is raised to 90 ℃, after the TLC monitoring reaction is finished, the reaction liquid is poured into water, yellow solid is separated out, the pH value is adjusted to 1 by concentrated HCl, the solid color is changed into light yellow, the solid is directly extracted and filtered, washed by water and dried to obtain 10.9g of the product, and the yield is 85.2%.
2) Preparation of 2- (4-fluorophenyl) -4-thiazole benzyl chloride
Figure BDA0001144181250000483
10g (64.5mmol) of p-fluorobenzamide is put into a 250mL single-neck bottle, 80mL of absolute ethyl alcohol and 8.2g (64.5mmol) of 1, 3-dichloroacetone are added, the temperature is raised to 85 ℃, most of the solvent is evaporated after TLC monitoring reaction, water is added, yellow solid is precipitated, NaHCO3 aqueous solution is added to adjust the pH value to 7, 30mL of ethyl acetate is used for extraction for 3 times, the organic phase is dried by anhydrous magnesium sulfate, column chromatography is carried out (eluent is ethyl acetate and petroleum ether is 1:3), 12.5g of colorless oily liquid is obtained, and the yield is 85%.
3) Preparation of 2- (4-fluorophenyl) -4-thiazole benzonitrile
Figure BDA0001144181250000484
3.2g (66.0mmol) of sodium cyanide is put into a 250mL single-neck bottle, 80mL of dimethyl sulfoxide (DMSO for short) is added, the temperature is raised to 70 ℃, the mixture is fully stirred until the sodium cyanide is completely dissolved, then the temperature is lowered to 50 ℃, 10g (44.0mmol) of 2- (4-fluorophenyl) -4-thiazole benzyl chloride is dissolved in N, N-dimethylformamide solution, then the mixture is slowly dripped into the reaction solution, and the temperature is raised to 50 ℃ after the dripping is finished to react for one hour. After the completion of the TLC monitoring reaction, the reaction solution was poured into water, extracted 3 times with 30mL ethyl acetate, the organic phase was dried over anhydrous magnesium sulfate, and column chromatography (eluent ethyl acetate and petroleum ether ═ 1:3) gave 8g of white solid in 83.4% yield.
4) Preparation of 2- (4-fluorophenyl) -4-thiazolethylamine
Figure BDA0001144181250000491
A mixture consisting of 7g (32.1mmol) of 2- (4-fluorophenyl) -4-thiazole benzyl chloride, Raney nickel (3.1g), 30mL of 25% ammonia water and 80mL of methanol is reacted in an autoclave for 2h under a hydrogen atmosphere, after the reaction is monitored by TLC, the Raney nickel is directly filtered out by suction, and the mixture is concentrated under reduced pressure to obtain 6.5g of dark green viscous liquid with the yield of 91.5%.
5) Preparation of Compound 50-4
Figure BDA0001144181250000492
1g (4.5mmol) of 2- (4-fluorophenyl) -4-thiazolethylamine was put in a 50mL single-neck flask, 20mL of N, N-dimethylformamide was added as a solvent, 1.24g (9.0mmol) of anhydrous potassium carbonate powder was added, stirring was carried out at room temperature for 10min, 0.73g (4.5mmol) of benzopyrimidine chloride was then added, the temperature was gradually raised to 90 ℃ and the reaction was carried out for 4h, and the progress of the reaction was monitored by TLC. After the reaction was completed, the reaction solution was poured into water, extracted three times with 30mL of ethyl acetate, respectively, the organic phases were combined and washed with saturated brine, dried and concentrated, and column chromatography was performed (eluent was ethyl acetate and petroleum ether ═ 1:3) to obtain 0.81g of a yellow solid, with a yield of 51.3%. Melting point 146-.1H NMR(300MHz,CDCl3):δ8.66(s,Pyrimidine-1H),8.04(d,J=8.4Hz,Ph-2,6-2H),7.82(d,J=8.4Hz,Ph-1H),7.68(dd,J=7.2Hz,8.1Hz,Ph-1H),7.41(dd,J=7.2Hz,8.1Hz,Ph-1H),7.11(d,J=8.4Hz,Ph-3,5-2H),7.06(d,J=8.4Hz,Ph-1H),6.88(s,Thiazole-1H),4.15(t,J=6.9Hz,2H,N-CH2),3.25(t,J=6.9Hz,2H,CH2)。
Other compounds of the invention may be prepared by reference to the above examples.
Physical property data and nuclear magnetic data of some of the compounds (1HNMR, 300MHz, internal standard TMS, ppm) as follows:
compound 41-4: a white solid. Melting point 131-. Delta (CDCl)3):8.38(s,Pyrimidine-1H),7.98(d,J=7.0Hz,Ph-2,6-2H),7.14(d,J=7.5Hz,Ph-3,5-2H),6.99(s,Thiazole-1H),6.62(s,1H,NH),3.86(t,J=5.4Hz,2H,N-CH2),3.12(t,J=5.4Hz,2H,CH2),2.46(s,3H,CH3)。
Compound 42-4: yellow solid. Melting point 177-. Delta (CDCl)3):8.38(s,Pyrimidine-1H),7.98(d,J=7.0Hz,Ph-2,6-2H),7.14(d,J=7.5Hz,Ph-3,5-2H),6.99(s,Thiazole-1H),6.62(s,1H,NH),3.86(t,J=5.4Hz,2H,N-CH2),3.12(t,J=5.4Hz,2H,CH2),2.81(q,J=7.5Hz,2H,CH2),1.24(t,J=7.5Hz,2H,CH3)。
Compounds 41-19: melting point 110-. Delta (CDCl)3):8.38(s,Pyrimidine-1H),7.93(d,J=8.4Hz,Ph-2,6-2H),7.43(d,J=8.4Hz,Ph-3,5-2H),7.02(s,Thiazole-1H),3.86(t,J=6.6Hz,2H,N-CH2),3.13(t,J=6.0Hz,2H,CH2),2.46(s,3H,CH3)。
Compounds 42-19: an oil. Delta (CDCl)3):8.44(s,Pyrimidine-1H),7.83(d,J=8.7Hz,Ph-2,6-2H),7.38(d,J=8.4Hz,Ph-3,5-2H),6.90(s,Thiazole-1H),4.01(t,J=7.2Hz,2H N-CH2),3.14(t,J=7.2Hz,2H,CH2),2.81(q,J=7.5Hz,2H,CH2),1.24(t,J=7.5Hz,2H,CH3)。
Compound 43-4: yellow solid. Melting point 100-. Delta (CDCl)3):8.55(s,Pyrimidine-1H),7.96(d,J=7.5Hz,Ph-2,6-2H),7.13(d,J=8.4Hz,Ph-3,5-2H),7.01(s,Thiazole-1H),6.79-6.55(m,1H,CHF2),3.91(t,J=8.7Hz,2H,N-CH2),3.14(t,J=9.0Hz,2H,CH2)。
Compound 50-4: yellow solid. Melting point 146-. Delta (CDCl)3):8.66(s,Pyrimidine-1H),8.04(d,J=8.4Hz,Ph-2,6-2H),7.82(d,J=8.4Hz,Ph-1H),7.68(dd,J=7.2Hz,8.1Hz,Ph-1H),7.41(dd,J=7.2Hz,8.1Hz,Ph-1H),7.11(d,J=8.4Hz,Ph-3,5-2H),7.06(d,J=8.4Hz,Ph-1H),6.88(s,Thiazole-1H),4.15(t,J=6.9Hz,2H,N-CH2),3.25(t,J=6.9Hz,2H,CH2)。
Compound 58-4: an oil. Delta (CDCl)3):8.45(s,Pyrimidine-1H),7.90(d,J=8.4Hz,Ph-2,6-2H),7.13(d,J=8.7Hz,Ph-3,5-2H),7.03(s,Thiazole-1H),6.77(s,Thiophene-1H),4.01(t,J=5.7Hz,2H,N-CH2),3.18(t,J=6.3Hz,2H,CH2),2.46(s,3H,CH3)。
Meanwhile, other compounds represented by the general formula I of the present invention can be obtained by substituting the corresponding raw materials according to the contents described in the above synthetic examples.
In addition, the compounds obtained above are reacted with an acid in a conventional manner to obtain the corresponding salts
Examples of measurement of biological Activity
The compound of the invention shows good activity to various germs, pests and mites in the agricultural field.
Example 8: measurement of fungicidal Activity
The compound sample of the invention is used for carrying out in vitro bacteriostatic activity or in vivo protection effect tests on various fungal diseases of plants. The results of the bactericidal activity measurement are shown in the following examples.
(1) In vitro bactericidal activity assay
The measurement method is as follows: the high-throughput screening method is adopted, i.e. a compound sample to be detected is dissolved by using a proper solvent (the type of the solvent is acetone, methanol, DMF, and the like, and is selected according to the dissolving capacity of the solvent on the sample), and a liquid to be detected with the required concentration is prepared. Under an ultraclean working environment, adding a solution to be detected into micropores of a 96-hole culture plate, adding a pathogen propagule suspension into the micropore, and placing the treated culture plate in a constant-temperature incubator for culture. And (4) after 24 hours, carrying out investigation, visually observing the germination or growth condition of the pathogen propagules during the investigation, and evaluating the bacteriostatic activity of the compound according to the germination or growth condition of the control treatment.
The results of the in vitro bacteriostatic activity (expressed as inhibition) test of some compounds are as follows:
inhibition rate against rice blast germs:
under the dosage of 25ppm, the inhibition rate of compounds 41-19, 41-4, 42-4, 43-4, 58-4 and 111-3 on rice blast germs is more than 80 percent;
under the dosage of 8.3ppm, the inhibition rate of the compounds 42-4, 43-4, 58-4 and 111-3 on rice blast germs is more than 80 percent.
(2) Living body protecting Activity assay
The measurement method is as follows: the living potted plant determination method is adopted, i.e. a sample of the compound to be tested is dissolved by a small amount of solvent (the type of the solvent is acetone, methanol, DMF, etc., and is selected according to the dissolving capacity of the solvent to the sample, and the volume ratio of the solvent amount to the liquid spraying amount is equal to or less than 0.05), and diluted by water containing 0.1 percent of Tween 80 to prepare the liquid to be tested with the required concentration. The solution to be tested is sprayed on diseased host plants (the host plants are standard potted seedlings cultured in a greenhouse) on a crop sprayer, and disease inoculation is carried out after 24 hours. According to the characteristics of diseases, inoculating the disease plants needing temperature and moisture control culture, then culturing in an artificial climate chamber, transferring into a greenhouse for culture after the diseases are infected, and directly inoculating and culturing the disease plants without moisture control culture in the greenhouse. The compound disease control effect evaluation is carried out after the control is sufficiently ill (usually, one week).
The results of the in vivo protective activity test of some compounds are as follows:
in vivo protective activity against cucumber downy mildew:
under the dosage of 400ppm, the control effect of the compounds 41-19, 42-4, 43-4, 58-4 and 111-3 on cucumber downy mildew is more than 80 percent;
in vivo protective activity against wheat powdery mildew:
under the dosage of 400ppm, the control effect of the compounds 41-19, 42-4, 43-4, 50-4, 58-4 and 111-3 on wheat powdery mildew is more than 80 percent; at a dose of 100ppm, the control effect of the compounds 41-19 and 43-4 on the wheat powdery mildew is more than 80%, and the control compounds CK1 and CK2 have 0 control effect on the wheat powdery mildew at the dose.
In vivo protective activity against corn rust:
under the dosage of 400ppm, the inhibition rate of the compounds 41-19, 42-4, 43-4, 50-4 and 111-3 on the corn rust is more than 80 percent;
under the dosage of 100ppm, the control effect of the compounds 42-4 and 50-4 on the corn rust is more than 80 percent, and the control compounds CK1 and CK2 have 0 control effect on the corn rust.
In vivo protective activity against cucumber anthracnose:
under the dosage of 400ppm, the control effect of the compounds 42-19, 50-4 and 58-4 on cucumber anthracnose is more than 80%.

Claims (5)

1. A substituted pyrimidine compound, characterized in that: the compound is shown as a general formula I:
Figure 224148DEST_PATH_IMAGE002
R1selected from hydrogen, halogen, cyano, nitro, amino, carboxyl, C1-C12Alkyl, halo C1-C12Alkyl radical, C3-C12Cycloalkyl radical, C1-C12Alkoxy, halo C1-C12Alkoxy radical, C1-C12Alkylthio, halo C1-C12Alkylthio radical, C1-C12Alkylsulfinyl or C1-C12An alkylsulfonyl group;
R2selected from hydrogen, halogen, cyano, nitro, amino, carboxyl, formyl, C1-C12Alkyl, halo C1-C12Alkyl radical, C1-C12Alkoxy or halo C1-C12An alkoxy group;
x is selected from NR3Or O;
z is selected from S;
R3selected from hydrogen;
R4、R5same, selected from hydrogen;
R6、R7same, selected from hydrogen;
m is selected from 1;
R8selected from hydrogen;
R9selected from unsubstituted or substituted by 1-5R10A substituted aryl group, said aryl group being phenyl;
R10selected from hydrogen, halogen, C1-C12Alkyl, halo C1-C12Alkyl radical, C1-C12Alkoxy, halo C1-C12Alkoxy or C3-C12A cycloalkyl group;
w is selected from hydrogen;
or a salt of a compound of formula I.
2. A substituted pyrimidine compound, characterized in that: the compound is shown as I-2B or I-2C:
Figure 610130DEST_PATH_IMAGE004
R3、R4、R5、R6、R7、R9、R17selected from hydrogen;
R13selected from hydrogen, halogen, C1-C4Alkyl, halo C1-C4Alkyl radical, C1-C4Alkoxy, halo C1-C4Alkoxy or C3-C4A cycloalkyl group;
n is an integer from 0 to 5;
R19selecting a methyl group;
or a salt of a compound of formula I-2B or I-2C.
3. Use of a substituted pyrimidine according to formula I, I-2B or I-2C as defined in claim 1 or 2 in the agricultural field for the preparation of a fungicide medicament.
4. A germicidal composition, characterized by: the general formula I, I-2B or I-2C substituted pyrimidine compounds as claimed in claim 1 or 2 are used as active components, and the weight percentage of the active components in the composition is 0.1-99%.
5. Use of a composition according to claim 4 in the manufacture of a medicament for the control of pathogens in agriculture or other fields.
CN201610960553.0A2016-10-282016-10-28Substituted pyrimidine compound and application thereofActiveCN108017628B (en)

Priority Applications (1)

Application NumberPriority DateFiling DateTitle
CN201610960553.0ACN108017628B (en)2016-10-282016-10-28Substituted pyrimidine compound and application thereof

Applications Claiming Priority (1)

Application NumberPriority DateFiling DateTitle
CN201610960553.0ACN108017628B (en)2016-10-282016-10-28Substituted pyrimidine compound and application thereof

Publications (2)

Publication NumberPublication Date
CN108017628A CN108017628A (en)2018-05-11
CN108017628Btrue CN108017628B (en)2021-08-31

Family

ID=62084117

Family Applications (1)

Application NumberTitlePriority DateFiling Date
CN201610960553.0AActiveCN108017628B (en)2016-10-282016-10-28Substituted pyrimidine compound and application thereof

Country Status (1)

CountryLink
CN (1)CN108017628B (en)

Families Citing this family (3)

* Cited by examiner, † Cited by third party
Publication numberPriority datePublication dateAssigneeTitle
EP3719015A4 (en)*2017-11-292021-04-21Shenyang Sinochem Agrochemicals R & D Co., Ltd.Substituted pyrimidine compound and preparation method therefor and use thereof
CN113512029B (en)*2020-04-102023-01-24沈阳中化农药化工研发有限公司Preparation and application of substituted pyrazole compound containing pyrimidinamine
CN114516868B (en)*2020-11-202024-02-27湖南海利常德农药化工有限公司N-heteroaryl methyl difluoromethyl pyrimidine amine compound, and preparation method and application thereof

Citations (3)

* Cited by examiner, † Cited by third party
Publication numberPriority datePublication dateAssigneeTitle
WO1995007278A1 (en)*1993-09-091995-03-16E.I. Du Pont De Nemours And CompanyFungicidal, miticidal and arthropodicidal aminopyrimidines
WO2005107472A1 (en)*2004-05-122005-11-17Bayer Cropscience GmbhPlant growth regulation
CN104710409A (en)*2013-12-132015-06-17中国中化股份有限公司Pyrazolyl pyrimidinamine compounds and application thereof

Patent Citations (3)

* Cited by examiner, † Cited by third party
Publication numberPriority datePublication dateAssigneeTitle
WO1995007278A1 (en)*1993-09-091995-03-16E.I. Du Pont De Nemours And CompanyFungicidal, miticidal and arthropodicidal aminopyrimidines
WO2005107472A1 (en)*2004-05-122005-11-17Bayer Cropscience GmbhPlant growth regulation
CN104710409A (en)*2013-12-132015-06-17中国中化股份有限公司Pyrazolyl pyrimidinamine compounds and application thereof

Non-Patent Citations (1)

* Cited by examiner, † Cited by third party
Title
REGISTRY[Online],;Columbus,Ohio,US,;《Registry》;20161026;第1-100页*

Also Published As

Publication numberPublication date
CN108017628A (en)2018-05-11

Similar Documents

PublicationPublication DateTitle
CN111909143B (en)Isoxazoline substituted benzamide derivative and preparation method and application thereof
CN106167484B (en)Pyrimidine-containing substituted pyrazole compound and preparation method and application thereof
KR102770313B1 (en) (Hetero)arylimidazole compounds and pest control agents
CN109689644B (en)Pyridazinone compound and application thereof
KR102447094B1 (en) Diarylimidazole compounds and pest control agents
CN109776427B (en)Pyrimidine diamine compound and application thereof
CN105848480A (en)Synergistic pesticidal compositions and related methods
CN108069984B (en)Substituted five-membered heterocyclic compound containing pyrimido ring and preparation method and application thereof
CN108017628B (en)Substituted pyrimidine compound and application thereof
CN107778298B (en)Pyrimidine-containing substituted azole compound and application thereof
CN108069973B (en)Substituted six-membered heterocyclic compound containing pyrimido ring and preparation method and application thereof
CN112867714A (en) Tricyclic compounds that kill insects
CN103772357B (en)Substituted pyrimidines compounds and uses thereof
CN105848482A (en)Synergistic pesticidal compositions and related methods
CN111004218A (en)Piperidine-containing pyrimidine compound and application thereof
CN111263757A (en)Substituted pyrimidine compound and preparation method and application thereof
CN112745297B (en)Pyrimidine-containing piperidine amine compound and preparation method and application thereof
CN106279040B (en)Pyrimidine compound containing oximino and application thereof
CN111205223B (en)Quinoline derivatives, preparation method and application thereof
CN109485644B (en)Substituted benzisothiazole compound and preparation method and application thereof
CN110996661A (en)Molecules having pesticidal utility and intermediates, compositions and methods related thereto
CN105753779B (en)2- pyridyl amine compounds and preparation method and application
CN103772356B (en)Replace fragrant oxy picolinate compounds and uses thereof
CN114957218A (en)Piperidine amine compound containing fused ring pyrimidine and preparation method and application thereof
CN110396083B (en)Pyridazinonyl-contained butenolide compound and application thereof

Legal Events

DateCodeTitleDescription
PB01Publication
PB01Publication
SE01Entry into force of request for substantive examination
SE01Entry into force of request for substantive examination
GR01Patent grant
GR01Patent grant

[8]ページ先頭

©2009-2025 Movatter.jp