Movatterモバイル変換


[0]ホーム

URL:


CN108010066B - Multi-hypothesis tracking method based on infrared target gray level cross-correlation and angle information - Google Patents

Multi-hypothesis tracking method based on infrared target gray level cross-correlation and angle information
Download PDF

Info

Publication number
CN108010066B
CN108010066BCN201711177478.1ACN201711177478ACN108010066BCN 108010066 BCN108010066 BCN 108010066BCN 201711177478 ACN201711177478 ACN 201711177478ACN 108010066 BCN108010066 BCN 108010066B
Authority
CN
China
Prior art keywords
track
flight path
target
correlation
angle information
Prior art date
Legal status (The legal status is an assumption and is not a legal conclusion. Google has not performed a legal analysis and makes no representation as to the accuracy of the status listed.)
Active
Application number
CN201711177478.1A
Other languages
Chinese (zh)
Other versions
CN108010066A (en
Inventor
夏庆
施明绚
赵凯生
Current Assignee (The listed assignees may be inaccurate. Google has not performed a legal analysis and makes no representation or warranty as to the accuracy of the list.)
Luoyang Institute of Electro Optical Equipment AVIC
Original Assignee
Luoyang Institute of Electro Optical Equipment AVIC
Priority date (The priority date is an assumption and is not a legal conclusion. Google has not performed a legal analysis and makes no representation as to the accuracy of the date listed.)
Filing date
Publication date
Application filed by Luoyang Institute of Electro Optical Equipment AVICfiledCriticalLuoyang Institute of Electro Optical Equipment AVIC
Priority to CN201711177478.1ApriorityCriticalpatent/CN108010066B/en
Publication of CN108010066ApublicationCriticalpatent/CN108010066A/en
Application grantedgrantedCritical
Publication of CN108010066BpublicationCriticalpatent/CN108010066B/en
Activelegal-statusCriticalCurrent
Anticipated expirationlegal-statusCritical

Links

Images

Classifications

Landscapes

Abstract

The invention relates to a multi-hypothesis tracking method based on infrared target gray-scale cross-correlation and angle information, which reconstructs a track confidence evaluation model in the multi-hypothesis tracking method by utilizing the infrared target gray-scale cross-correlation characteristic information and the angle information, establishes a track confidence evaluation model based on the gray-scale cross-correlation and the angle information, completes track confidence calculation by utilizing the model, realizes the quick confirmation and quick deletion of multi-target tracks, reduces the number of subsequent track hypotheses, effectively improves the track establishment time and reduces the algorithm complexity. Therefore, the track confidence evaluation model based on the infrared target gray level cross correlation and the angle information can achieve a good effect, and is superior to a multi-hypothesis tracking method using the angle information track evaluation model.

Description

Multi-hypothesis tracking method based on infrared target gray level cross-correlation and angle information
Technical Field
The invention belongs to the technical field of data processing, relates to a method for multi-target tracking, and particularly relates to a multi-hypothesis tracking method based on infrared target gray level cross-correlation and angle information.
Background
Because the amount of information that the infrared alarm system can obtain is less, only target angle information generally exists, and there are a large amount of false alarms and clutter in the target information obtained, there is a contradiction between real-time and accuracy in multi-target tracking, need carry on its further study. At present, the generalized multi-target tracking algorithm mainly comprises a Global Nearest Neighbor (GNN) method, a joint probability data interconnection (JPDA) method and a multi-hypothesis tracking Method (MHT). The global nearest neighbor method and the joint probability data interconnection method are small in calculation amount and high in instantaneity, but targets are easy to lose in a high-density clutter environment; the multi-hypothesis tracking algorithm is a method for solving the problem of highest correlation accuracy of multi-target data in a high clutter environment, but the algorithm is large in calculation amount and poor in real-time performance.
Disclosure of Invention
Technical problem to be solved
In order to avoid the defects of the prior art, the invention provides a multi-hypothesis tracking method based on infrared target gray-scale cross-correlation and angle information, which reconstructs a track confidence evaluation model in multi-hypothesis tracking by using the infrared target gray-scale cross-correlation characteristics and the angle information, realizes the quick confirmation and quick deletion of multi-target tracks, effectively improves the track establishment time and reduces the algorithm complexity.
Technical scheme
A multi-hypothesis tracking method based on infrared target gray level cross correlation and angle information is characterized in that: firstly, initializing a flight path, and then, the steps are as follows:
step 1: performing data association, performing Kalman k times of filtering on the predicted flight path, and performing residual error of a filter
Figure BDA0001478509810000011
Residual covariance matrix S and residual norm d2The following were used:
Figure BDA0001478509810000012
S=HP(k/k)HT+R(k)
Figure BDA0001478509810000021
in the formula, H is a measurement matrix,
Figure BDA0001478509810000022
for the filter output, P (k/k) is an error covariance matrix, R (k) is a measurement noise covariance matrix, c is an associated threshold, and a self-adaptive threshold is adopted;
step 2, track evaluation: calculating a track confidence, which is generated by recursion accumulation, and the track confidence is as follows:
L(k)=L(k-1)+ΔLk
Figure BDA0001478509810000023
wherein: pdProbability of detection for the target, betafFor false alarm spatial detection density, M is the measurement spatial dimension, d2Is the residual norm, S is the residual covariance matrix, Cov (k | k-1) is the cross-correlation coefficient of Track (k-1) associated target 5 x 5 neighborhood with Track (k) associated target 5 x 5 neighborhood;
the above-mentioned
Figure BDA0001478509810000024
Figure BDA0001478509810000025
Step 3, track deletion:
when L (k) < TLDeleting the flight path;
when L (k) > TUConfirming the flight path;
wherein, TLPruning confidence thresholds, T, for a trackUConfirming a confidence threshold for the flight path;
when T isL<L(k)<TU
1. And (3) track clustering: and (3) track clustering generation criterion: no interaction in different track classes;
2. and (3) assuming a track: track hypothesis generation criteria: traversing all possible tracks in the track cluster; optionally selecting one flight path as a hypothetical flight path; excluding all tracks that are not compatible with this track;
calculating the confidence coefficient of the assumed flight path; repeating the process from the flight path clustering to the flight path hypothesis;
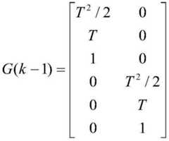
step 4, track prediction: and performing Kalman filtering prediction on the confirmed track by adopting a uniform acceleration model CA to complete track filtering prediction, wherein the formula is as follows:
Figure BDA0001478509810000031
in the formula:
Figure BDA0001478509810000032
Figure BDA0001478509810000033
Figure BDA0001478509810000034
wherein X (k-1) is a target state vector, A (k-1) and E (k-1) respectively represent target azimuth angle and pitch angle data at the k-1 moment,
Figure BDA0001478509810000035
respectively represents the target position and the pitching motion speed at the k-1 moment,
Figure BDA0001478509810000036
Figure BDA0001478509810000037
respectively representing the target position and the pitching motion acceleration at the k-1 moment; f (k-1) is a state transition matrix, and G (k-1) is an input matrix; t is sampling time of a detector of the infrared alarm system; w (k-1) is state noise, is zero mean Gaussian white noise, and has a covariance matrix of Q (k-1);
and repeating the steps 1 to 4 for the next frame of target data.
Advantageous effects
The invention provides a multi-hypothesis tracking method based on infrared target gray-scale cross-correlation and angle information, which is characterized in that a track confidence evaluation model in the multi-hypothesis tracking method is reconstructed by utilizing the infrared target gray-scale cross-correlation characteristic information and the angle information, the track confidence evaluation model based on the gray-scale cross-correlation and the angle information is established, track confidence calculation is completed by utilizing the model, the rapid confirmation and the rapid deletion of multi-target tracks are realized, the number of subsequent track hypotheses is reduced, the track establishment time is effectively prolonged, and the algorithm complexity is reduced. Therefore, the track confidence evaluation model based on the infrared target gray level cross correlation and the angle information can achieve a good effect, and is superior to a multi-hypothesis tracking method using the angle information track evaluation model.
Drawings
FIG. 1 is a schematic flow chart of the method of the present invention
Detailed Description
The invention will now be further described with reference to the following examples and drawings:
the experimental data source of an embodiment includes a sequence of 200 frames of images (640 x 512) and corresponding detected target location data.
The method comprises the following specific implementation steps:
1) data association
And the data association adopts the predicted flight path and is filtered for k times. Computing residual of a filter according to kalman filtering principles
Figure BDA0001478509810000041
Residual covariance matrix S and residual norm d2
Figure BDA0001478509810000042
S=HP(k/k)HT+R(k) (2)
Figure BDA0001478509810000043
In the formula, H is a measurement matrix,
Figure BDA0001478509810000044
for the filter output, P (k/k) is the error covariance matrix, R (k) is the measured noise covariance matrix, c is the correlation threshold,an adaptive threshold is used.
2) Track evaluation
First, Track Track (k-1) is taken in 5 x 5 neighborhood x of k-1 times associated targeti,j(k-1) (i is more than or equal to 1 and less than or equal to 5, j is more than or equal to 1 and less than or equal to 5), track picking (k) is associated with the target for k times in 5 x 5 neighborhoods xi,j(k) (i is more than or equal to 1 and less than or equal to 5, and j is more than or equal to 1 and less than or equal to 5), the gray level cross correlation coefficient Cov (k | k-1) is as follows:
Figure BDA0001478509810000045
in the formula (I), the compound is shown in the specification,
Figure BDA0001478509810000051
calculating a track confidence, which is generated by recursion accumulation, and the track confidence is as follows:
L(k)=L(k-1)+ΔLk (5)
Figure BDA0001478509810000052
in the formula: pdProbability of detection for the target, betafFor false alarm spatial detection density, M is the measurement spatial dimension, d2Is the residual norm, S is the residual covariance matrix, Cov (k | k-1) is the cross-correlation coefficient of Track (k-1) associated target 5 x 5 neighborhood with Track (k) associated target 5 x 5 neighborhood.
3) Track pruning
Calculating the track confidence L (k) according to the formula (6), and according to the L (k) < TLDeleting the flight path; l (k) > TUConfirming the flight path; t isL<L(k)<TUAnd waiting for more data to change the criterion for track deletion. Wherein, TLPruning confidence thresholds, T, for a trackUA confidence threshold is identified for the track.
TL<L(k)<TU:
1. Track clustering
And (3) track clustering generation criterion: there is no interaction in the different track classes.
2. Track hypothesis
Track hypothesis generation criteria: traversing all possible tracks in the track cluster; optionally selecting one flight path as a hypothetical flight path; excluding all tracks that are not compatible with this track;
calculating the confidence coefficient of the assumed track by using the formula (5); and repeating the 1. track clustering-2. track hypothesis.
4) Flight path prediction
And performing Kalman filtering prediction on the confirmed track by adopting a uniform acceleration model (CA), and completing the track filtering prediction by using a formula (7), wherein the formula is as follows:
Figure BDA0001478509810000061
in the formula:
Figure BDA0001478509810000062
Figure BDA0001478509810000063
Figure BDA0001478509810000064
wherein X (k-1) is a target state vector, A (k-1) and E (k-1) respectively represent target azimuth angle and pitch angle data at the k-1 moment,
Figure BDA0001478509810000065
respectively represents the target position and the pitching motion speed at the k-1 moment,
Figure BDA0001478509810000066
Figure BDA0001478509810000067
respectively representing the target position and the pitching motion acceleration at the k-1 moment; f (k-1) is a state transition matrix, and G (k-1) is an input matrix; t is infrared alarm system detector samplingTime; w (k-1) is state noise, zero mean white Gaussian noise, and its covariance matrix is Q (k-1).
And (5) receiving new target data, and repeating the steps 1) -5) to finish multi-target tracking.

Claims (1)

1. A multi-hypothesis tracking method based on infrared target gray level cross correlation and angle information is characterized in that: firstly, initializing a flight path, and then, the steps are as follows:
step 1: performing data association, performing Kalman k times of filtering on the predicted flight path, and performing residual error of a filter
Figure FDA0003054977840000011
Residual covariance matrix S and residual norm d2The following were used:
Figure FDA0003054977840000012
S=HP(k/k)HT+R(k)
Figure FDA0003054977840000013
in the formula, H is a measurement matrix,
Figure FDA0003054977840000014
for the filter output, P (k/k) is the error covariance matrix, R (k) is the measurement noise covariance matrix;
step 2, track evaluation: calculating a track confidence, which is generated by recursion accumulation, and the track confidence is as follows:
L(k)=L(k-1)+ΔLk
Figure FDA0003054977840000015
wherein: pdProbability of detection for the target, betafFor false alarm spatial detection density, M is the measurement spatial dimension, d2Is the residual norm, S is the residual covariance matrix, Cov (k | k-1) is the cross-correlation coefficient of Track (k-1) associated target 5 x 5 neighborhood with Track (k) associated target 5 x 5 neighborhood;
the above-mentioned
Figure FDA0003054977840000016
Figure FDA0003054977840000017
Step 3, track deletion:
when L (k) < TLDeleting the flight path;
when L (k) > TUConfirming the flight path;
wherein, TLPruning confidence thresholds, T, for a trackUConfirming a confidence threshold for the flight path;
when T isL<L(k)<TU
1) Track clustering: and (3) track clustering generation criterion: no interaction in different track classes;
2) track assumption: track hypothesis generation criteria: traversing all possible tracks in the track cluster; optionally selecting one flight path as a hypothetical flight path; excluding all tracks that are not compatible with this track;
calculating the confidence coefficient of the assumed flight path; repeating the process from the flight path clustering to the flight path hypothesis;
step 4, track prediction: and performing Kalman filtering prediction on the confirmed track by adopting a uniform acceleration model CA to complete track filtering prediction, wherein the formula is as follows:
Figure FDA0003054977840000021
in the formula:
Figure FDA0003054977840000022
Figure FDA0003054977840000023
Figure FDA0003054977840000024
wherein X (k-1) is a target state vector, A (k-1) and E (k-1) respectively represent target azimuth angle and pitch angle data at the k-1 moment,
Figure FDA0003054977840000025
respectively represents the target position and the pitching motion speed at the k-1 moment,
Figure FDA0003054977840000026
Figure FDA0003054977840000027
respectively representing the target position and the pitching motion acceleration at the k-1 moment; f (k-1) is a state transition matrix, and G (k-1) is an input matrix; t is sampling time of a detector of the infrared alarm system; w (k-1) is state noise, is zero mean Gaussian white noise, and has a covariance matrix of Q (k-1);
and repeating the steps 1 to 4 for the next frame of target data.
CN201711177478.1A2017-11-232017-11-23Multi-hypothesis tracking method based on infrared target gray level cross-correlation and angle informationActiveCN108010066B (en)

Priority Applications (1)

Application NumberPriority DateFiling DateTitle
CN201711177478.1ACN108010066B (en)2017-11-232017-11-23Multi-hypothesis tracking method based on infrared target gray level cross-correlation and angle information

Applications Claiming Priority (1)

Application NumberPriority DateFiling DateTitle
CN201711177478.1ACN108010066B (en)2017-11-232017-11-23Multi-hypothesis tracking method based on infrared target gray level cross-correlation and angle information

Publications (2)

Publication NumberPublication Date
CN108010066A CN108010066A (en)2018-05-08
CN108010066Btrue CN108010066B (en)2021-10-22

Family

ID=62053216

Family Applications (1)

Application NumberTitlePriority DateFiling Date
CN201711177478.1AActiveCN108010066B (en)2017-11-232017-11-23Multi-hypothesis tracking method based on infrared target gray level cross-correlation and angle information

Country Status (1)

CountryLink
CN (1)CN108010066B (en)

Families Citing this family (4)

* Cited by examiner, † Cited by third party
Publication numberPriority datePublication dateAssigneeTitle
CN109509214B (en)*2018-10-152021-07-16杭州电子科技大学 A ship target tracking method based on deep learning
CN109525220B (en)*2018-12-102019-08-30中国人民解放军国防科技大学Gaussian mixture CPHD filtering method with track association and extraction capability
CN116228018B (en)*2023-03-022024-03-01中国人民解放军63921部队Early warning equipment efficiency evaluation method based on non-target theoretical truth value
CN117471423B (en)*2023-12-282024-04-12安徽隼波科技有限公司Track quality real-time assessment method based on millimeter wave radar trace information

Citations (2)

* Cited by examiner, † Cited by third party
Publication numberPriority datePublication dateAssigneeTitle
CN103759732A (en)*2014-01-142014-04-30北京航空航天大学Angle information assisted centralized multi-sensor multi-hypothesis tracking method
CN104965199A (en)*2015-07-282015-10-07中国人民解放军海军航空工程学院Radar video moving object feature fusion determination method

Family Cites Families (2)

* Cited by examiner, † Cited by third party
Publication numberPriority datePublication dateAssigneeTitle
US7080290B2 (en)*2001-03-082006-07-18California Institute Of TechnologyException analysis for multimissions
US7130446B2 (en)*2001-12-032006-10-31Microsoft CorporationAutomatic detection and tracking of multiple individuals using multiple cues

Patent Citations (2)

* Cited by examiner, † Cited by third party
Publication numberPriority datePublication dateAssigneeTitle
CN103759732A (en)*2014-01-142014-04-30北京航空航天大学Angle information assisted centralized multi-sensor multi-hypothesis tracking method
CN104965199A (en)*2015-07-282015-10-07中国人民解放军海军航空工程学院Radar video moving object feature fusion determination method

Non-Patent Citations (4)

* Cited by examiner, † Cited by third party
Title
"A Collaborative Sensor Fusion Algorithm for Multi-object Tracking Using a Gaussian Mixture Probability Hypothesis Density Filter";Milos Vasic;《2015 IEEE 18th International Conference on Intelligent Transportation Systems》;20151102;第491-498页*
"A Markov model for initiating tracks with the probabilistic multi-hypothesis tracker";S.J.Davey;《Proceedings of the Fifth International Conference on Information Fusion. FUSION 2002. (IEEE Cat.No.02EX5997)》;20021107;第735-742页*
"引入目标径向速度信息的多假设跟踪方法";汪圣利等;《现代雷达》;20110731;第33卷(第7期);第45-48页*
"引入目标灰度信息的多假设跟踪方法";李范鸣等;《系统工程与电子技术》;20060831;第28卷(第8期);第1270-1273页*

Also Published As

Publication numberPublication date
CN108010066A (en)2018-05-08

Similar Documents

PublicationPublication DateTitle
CN112991391A (en)Vehicle detection and tracking method based on radar signal and vision fusion
CN111580084B (en)Multi-distance extended target-oriented multi-Bernoulli pre-detection tracking method
CN114049382B (en)Target fusion tracking method, system and medium in intelligent network connection environment
CN108010066B (en)Multi-hypothesis tracking method based on infrared target gray level cross-correlation and angle information
CoxA review of statistical data association techniques for motion correspondence
Pollard et al.Hybrid algorithms for multitarget tracking using MHT and GM-CPHD
CN110738688B (en) An infrared ultra-weak moving target detection method
CN114002667B (en)Multi-neighbor extended target tracking algorithm based on random matrix method
US20220172378A1 (en)Image processing apparatus, image processing method and non-transitory computer readable medium
CN111754545A (en) A dual-filter video multi-target tracking method based on IOU matching
CN111999735B (en)Dynamic and static target separation method based on radial speed and target tracking
CN118552863B (en) Airport aircraft target tracking method and system based on low-orbit satellite joint monitoring
CN113192110B (en)Multi-target tracking method, device, equipment and storage medium
CN106296730A (en)A kind of Human Movement Tracking System
CN120031920B (en)Event camera target tracking method based on improved Kalman filtering
CN113721237B (en)Multi-membership-degree target intelligent matching algorithm
CN116385493A (en)Multi-moving-object detection and track prediction method in field environment
CN110988833A (en) A Weak Target Detection and Tracking Method
Peruničić et al.Vision-based vehicle speed estimation using the YOLO detector and RNN
Horridge et al.Using a probabilistic hypothesis density filter to confirm tracks in a multi-target environment.
CN117455953A (en)Target detection tracking method, device and storage medium
CN117433538A (en) A multi-source heterogeneous sensor track fusion method
Lu et al.Vision-based real-time road detection in urban traffic
CN116012421A (en)Target tracking method and device
CN113989332B (en)Target tracking method and device, storage medium and electronic equipment

Legal Events

DateCodeTitleDescription
PB01Publication
PB01Publication
SE01Entry into force of request for substantive examination
SE01Entry into force of request for substantive examination
GR01Patent grant
GR01Patent grant

[8]ページ先頭

©2009-2025 Movatter.jp