




技术领域technical field
本发明实施例涉及通信技术领域,并且更具体地,涉及一种无线通信中调整功率的方法和无线接入点。Embodiments of the present invention relate to the field of communication technologies, and more particularly, to a method for adjusting power in wireless communication and a wireless access point.
背景技术Background technique
为提高网络容量,无线网络的接入点小型化和密集化是无线网络的发展趋势,密集无线接入网(英文:Ultra-dense Network,简写:UDN)通过尽可能的增加短距离的用户接入,提升系统的区域吞吐量。In order to improve the network capacity, the miniaturization and densification of the access point of the wireless network is the development trend of the wireless network. to increase the regional throughput of the system.
用户的移动性和业务的时变性,导致网络的系统容量需求是动态变化的,并且这种变化在密集网络下会具有更高的动态性。在充分发挥网络的使用效率下,需要有效的提升能耗效率。The mobility of users and the time-varying of services lead to dynamic changes in the system capacity requirements of the network, and such changes will have higher dynamics in dense networks. In order to give full play to the use efficiency of the network, it is necessary to effectively improve the energy consumption efficiency.
传统方法中,网络节能基于用户和业务的分布,动态关断无线接入点。通过动态的网络拓扑控制,提升能耗效率。然而,这种方法需要收集用户和相邻小区的信息,信令开销很大,一般适用于大时间粒度的控制,常常基于集中式控制。In the traditional method, network energy saving dynamically turns off wireless access points based on the distribution of users and services. Improve energy efficiency through dynamic network topology control. However, this method needs to collect the information of users and neighboring cells, and the signaling overhead is very large. It is generally suitable for control with large time granularity, and is often based on centralized control.
发明内容SUMMARY OF THE INVENTION
本发明实施例提供了一种无线通信中调整功率的方法和无线接入点,能够分布式调整各小区的发射功率,有利于降低各网络设备的功率消耗和干扰。The embodiments of the present invention provide a method and a wireless access point for adjusting power in wireless communication, which can adjust the transmit power of each cell in a distributed manner, which is beneficial to reduce the power consumption and interference of each network device.
第一方面,提供了一种无线通信中调整功率的方法,该方法包括:无线接入点确定所述无线接入点控制的第一小区的节能负载门限;所述无线接入点根据所述节能负载门限控制所述第一小区的发射功率,所述第一小区的发射功率包括数据信道的发射功率。A first aspect provides a method for adjusting power in wireless communication, the method comprising: a wireless access point determining an energy saving load threshold of a first cell controlled by the wireless access point; The energy saving load threshold controls the transmit power of the first cell, where the transmit power of the first cell includes the transmit power of the data channel.
结合第一方面,在第一方面的第一种可能的实现方式中,所述无线接入点确定所述无线接入点控制的第一小区的节能负载门限包括:所述无线接入点获取所述第一小区在当前周期内的负载信息;所述无线接入点根据所述第一小区在当前周期内的负载信息确定所述第一小区在下一周期内的节能负载门限。With reference to the first aspect, in a first possible implementation manner of the first aspect, the wireless access point determining the energy-saving load threshold of the first cell controlled by the wireless access point includes: the wireless access point acquiring Load information of the first cell in the current cycle; the wireless access point determines the energy-saving load threshold of the first cell in the next cycle according to the load information of the first cell in the current cycle.
结合第一方面的第一种可能的实现方式,在第一方面的第二种可能的实现方式中,所述无线接入点根据所述第一小区在当前周期内的负载信息确定所述第一小区在下一周期内的节能负载门限包括:所述无线接入点获取第二小区在所述当前周期内的负载信息,并确定所述第一小区和所述第二小区在所述当前周期的负载均值;所述无线接入点获取网络负载均衡目标值;所述无线接入点根据所述当前周期的负载均值和所述网络负载均衡目标值确定所述第一小区的节能负载门限。With reference to the first possible implementation manner of the first aspect, in a second possible implementation manner of the first aspect, the wireless access point determines the first cell according to load information of the first cell in the current period. The energy-saving load threshold of one cell in the next period includes: the wireless access point acquires the load information of the second cell in the current period, and determines that the first cell and the second cell are in the current period The wireless access point obtains the target value of network load balancing; the wireless access point determines the energy-saving load threshold of the first cell according to the average load value of the current period and the target value of network load balancing.
结合第一方面的第一种可能的实现方式,在第一方面的第三种可能的实现方式中,所述无线接入点根据所述第一小区在当前周期内的负载信息确定所述第一小区在下一周期内的节能负载门限包括:所述无线接入点向控制器上报所述第一小区在当前周期内的负载信息,所述第一小区在当前周期的负载信息被所述控制器用于确定所述第一小区在下一周期内的节能负载门限;;接收所述控制器发送的所述第一小区在下一周期内的节能负载门限。With reference to the first possible implementation manner of the first aspect, in a third possible implementation manner of the first aspect, the wireless access point determines the first cell according to load information of the first cell in the current period. The energy-saving load threshold of a cell in the next cycle includes: the wireless access point reports the load information of the first cell in the current cycle to the controller, and the load information of the first cell in the current cycle is controlled by the The controller is configured to determine the energy-saving load threshold of the first cell in the next cycle; and receive the energy-saving load threshold of the first cell in the next cycle sent by the controller.
结合第一方面的第一种可能的实现方式,在第一方面的第四种可能的实现方式中,所述无线接入点根据所述第一小区在当前周期内的负载信息确定所述第一小区在下一周期内的节能负载门限包括:所述无线接入点根据所述第一小区在上一周期内的负载信息以及所述第一小区在当前周期的负载信息,确定所述第一小区的当前负载变化量;所述无线接入点获取网络负载均衡目标值;所述无线接入点根据所述第一小区的负载变化量和所述负载均衡目标值确定所述第一小区的节能负载门限。With reference to the first possible implementation manner of the first aspect, in a fourth possible implementation manner of the first aspect, the wireless access point determines the first cell according to load information of the first cell in the current period. The energy-saving load threshold of a cell in the next cycle includes: the wireless access point determines the first cell according to the load information of the first cell in the previous cycle and the load information of the first cell in the current cycle The current load variation of the cell; the wireless access point obtains the network load balancing target value; the wireless access point determines the load balancing target value of the first cell according to the load variation of the first cell and the load balancing target value. Energy saving load threshold.
结合第一方面或第一方面的第一至第四种可能的实现方式的任一种,在第一方面的第五种可能的实现方式中,所述无线接入点根据所述节能负载门限,控制所述小区的发射功率包括:所述无线接入点确定所述第一小区的当前负载;若所述第一小区的当前负载小于所述节能负载门限,所述无线接入点根据所述第一小区当前的发射功率,确定所述第一小区的发射功率的降低幅度;所述无线接入点根据所述第一小区的发射功率的降低幅度,执行所述第一小区的发射功率的降低操作。With reference to the first aspect or any one of the first to fourth possible implementation manners of the first aspect, in a fifth possible implementation manner of the first aspect, the wireless access point is based on the energy saving load threshold , controlling the transmit power of the cell includes: the wireless access point determining the current load of the first cell; if the current load of the first cell is less than the energy-saving load threshold, the wireless access point determines the current load of the first cell according to the energy-saving load threshold. the current transmit power of the first cell, and determine the reduction range of the transmit power of the first cell; the wireless access point executes the transmit power of the first cell according to the reduction range of the transmit power of the first cell lowering operation.
结合第一方面的第五种可能的实现方式,在第一方面的第六种可能的实现方式中,所述无线接入点根据所述第一小区的发射功率的降低幅度,执行所述第一小区的当前发射功率的降低操作包括:所述无线接入点将所述第一小区当前的发射功率与所述降低幅度之和设置为所述第一小区调整后的发射功率,所述第一小区调整后的发射功率大于功率最低门限值。With reference to the fifth possible implementation manner of the first aspect, in a sixth possible implementation manner of the first aspect, the wireless access point executes the first The operation of reducing the current transmit power of a cell includes: the wireless access point sets the sum of the current transmit power of the first cell and the reduction range as the adjusted transmit power of the first cell, and the first cell The adjusted transmit power of a cell is greater than the minimum power threshold.
结合第一方面的第五种可能的实现方式,在第一方面的另一种可能的实现方式中,所述无线接入点根据所述第一小区的发射功率的降低幅度,执行所述第一小区的发射功率的降低操作包括:若所述第一小区当前的发射功率与所述第一小区的发射功率的降低幅度之差大于功率最低门限值,将所述第一小区的发射功率更新为所述第一小区当前的发射功率与所述降低幅度之差。With reference to the fifth possible implementation manner of the first aspect, in another possible implementation manner of the first aspect, the wireless access point performs the first The operation of reducing the transmit power of a cell includes: if the difference between the current transmit power of the first cell and the reduction range of the transmit power of the first cell is greater than the minimum power threshold, reducing the transmit power of the first cell The update is the difference between the current transmit power of the first cell and the reduction range.
结合第一方面或第一方面的第一至第六种可能的实现方式的任一种,在第一方面的第七种可能的实现方式中,所述第一小区的发射功率包括控制信道的发射功率。With reference to the first aspect or any one of the first to sixth possible implementation manners of the first aspect, in a seventh possible implementation manner of the first aspect, the transmit power of the first cell includes the transmission power of the control channel. transmit power.
结合第一方面的第七种可能的实现方式,在第一方面的第八种可能的实现方式中,所述方法还包括:所述无线接入点将所述第一小区的发射功率的降低幅度确定为所述第一小区的偏移参数;向用户设备发送所述小区的偏移参数,以用于用户设备根据所述偏移参数进行小区重选操作。With reference to the seventh possible implementation manner of the first aspect, in an eighth possible implementation manner of the first aspect, the method further includes: reducing, by the wireless access point, the transmit power of the first cell The amplitude is determined as the offset parameter of the first cell; the offset parameter of the cell is sent to the user equipment, so that the user equipment can perform a cell reselection operation according to the offset parameter.
第二方面,提供了一种无线接入点,包括:第一确定单元,所述第一确定单元用于确定所述无线接入点控制的第一小区的节能负载门限;控制单元,所述控制单元用于根据所述确定单元确定的节能负载门限,控制所述第一小区的发射功率,所述第一小区的发射功率包括数据信道的发射功率。In a second aspect, a wireless access point is provided, including: a first determining unit, the first determining unit is configured to determine an energy-saving load threshold of a first cell controlled by the wireless access point; a control unit, the The control unit is configured to control the transmission power of the first cell according to the energy saving load threshold determined by the determination unit, where the transmission power of the first cell includes the transmission power of the data channel.
结合第二方面,在第二方面的第一种可能的实现方式中,所述无线接入点还包括获取单元,所述获取单元用于:获取所述第一小区在当前周期内的负载信息;根据所述第一小区在当前周期内的负载信息确定所述第一小区在下一周期内的节能负载门限。With reference to the second aspect, in a first possible implementation manner of the second aspect, the wireless access point further includes an acquiring unit, where the acquiring unit is configured to: acquire the load information of the first cell in the current period ; Determine the energy-saving load threshold of the first cell in the next period according to the load information of the first cell in the current period.
结合第二方面的第一种可能的实现方式,在第二方面的第二种可能的实现方式中,所述获取单元具体用于:获取第二小区在所述当前周期内的负载信息,并确定所述第一小区和所述第二小区在所述当前周期的负载均值;获取网络负载均衡目标值;根据所述当前周期的负载均值和所述网络负载均衡目标值确定所述第一小区的节能负载门限。With reference to the first possible implementation manner of the second aspect, in the second possible implementation manner of the second aspect, the acquiring unit is specifically configured to: acquire the load information of the second cell in the current period, and Determine the average load value of the first cell and the second cell in the current period; obtain a target value of network load balancing; determine the first cell according to the average load value of the current period and the target value of network load balancing energy saving load threshold.
结合第二方面的第一种可能的实现方式,在第二方面的第三种可能的实现方式中,所述获取单元还包括:第一发送单元,所述第一发送单元用于向控制器上报所述第一小区在当前周期内的负载信息,所述控制器根据所述第一小区在当前周期的负载信息被用于所述控制器确定所述第一小区在下一周期内的节能负载门限;接收单元,所述接收单元用于接收所述控制器发送的所述第一小区在下一周期内的节能负载门限。With reference to the first possible implementation manner of the second aspect, in a third possible implementation manner of the second aspect, the acquiring unit further includes: a first sending unit, where the first sending unit is configured to send a message to the controller Report the load information of the first cell in the current cycle, and the controller determines the energy-saving load of the first cell in the next cycle according to the load information of the first cell in the current cycle. a threshold; a receiving unit, where the receiving unit is configured to receive the energy-saving load threshold of the first cell in the next cycle sent by the controller.
结合第二方面的第一种可能的实现方式,在第二方面的第四种可能的实现方式中,所述获取单元具体用于:获取所述第一小区在上一周期内的负载信息以及所述第一小区在当前周期内的负载信息,并根据所述第一小区在上一周期内的负载信息以及所述第一小区在当前周期内的负载信息确定所述第一小区的当前负载变化量;获取网络负载均衡目标值;根据所述第一小区的负载变化量和所述负载均衡目标值确定所述第一小区的节能负载门限。With reference to the first possible implementation manner of the second aspect, in a fourth possible implementation manner of the second aspect, the acquiring unit is specifically configured to: acquire the load information of the first cell in the previous cycle and Load information of the first cell in the current period, and determine the current load of the first cell according to the load information of the first cell in the previous period and the load information of the first cell in the current period change amount; obtain the network load balancing target value; determine the energy-saving load threshold of the first cell according to the load change amount of the first cell and the load balancing target value.
结合第二方面或第二方面的第一至第四种可能的实现方式的任一种,在第一方面的第五种可能的实现方式中,所述控制单元包括第二确定单元,所述第二确定单元用于:确定所述第一小区的当前负载;所述第二确定单元用于在所述第一小区的当前负载小于所述节能负载门限时,根据所述第一小区当前的发射功率,确定所述第一小区的发射功率的降低幅度;所述控制单元具体用于:根据所述第一小区的发射功率的降低幅度,执行所述第一小区的发射功率的降低操作。With reference to the second aspect or any one of the first to fourth possible implementations of the second aspect, in a fifth possible implementation of the first aspect, the control unit includes a second determination unit, the The second determining unit is configured to: determine the current load of the first cell; the second determining unit is configured to: when the current load of the first cell is less than the energy saving load threshold, determine the current load of the first cell according to the current load of the first cell transmit power, and determine the reduction range of the transmission power of the first cell; the control unit is specifically configured to: perform a reduction operation of the transmission power of the first cell according to the reduction range of the transmission power of the first cell.
结合第二方面的第五种可能的实现方式,在第二方面的第六种可能的实现方式中,所述控制单元具体用于:将所述第一小区当前的发射功率与所述降低幅度之和第一置为所述第一小区调整后的发射功率,所述第一小区调整后的发射功率大于功率最低门限值。With reference to the fifth possible implementation manner of the second aspect, in a sixth possible implementation manner of the second aspect, the control unit is specifically configured to: compare the current transmit power of the first cell with the reduction range The first set of the sum is the adjusted transmit power of the first cell, and the adjusted transmit power of the first cell is greater than the minimum power threshold.
结合第二方面的第五种可能的实现方式,在第二方面的另一种可能的实现方式中,所述控制单元具体用于:若所述第一小区当前的发射功率与所述第一小区的发射功率的降低幅度之差大于功率最低门限值,将所述第一小区的发射功率更新为所述第一小区当前的发射功率与所述降低幅度之差。With reference to the fifth possible implementation manner of the second aspect, in another possible implementation manner of the second aspect, the control unit is specifically configured to: if the current transmit power of the first cell is the same as the first The difference between the reduction ranges of the transmit power of the cells is greater than the minimum power threshold, and the transmit power of the first cell is updated to be the difference between the current transmit power of the first cell and the reduction range.
结合第二方面或第二方面的第一至第六种可能的实现方式的任一种,在第二方面的第七种可能的实现方式中,所述第一小区的发射功率包括控制信道的发射功率。With reference to the second aspect or any one of the first to sixth possible implementation manners of the second aspect, in a seventh possible implementation manner of the second aspect, the transmit power of the first cell includes the transmission power of the control channel. transmit power.
结合第二方面的第七种可能的实现方式,在第二方面的第八种可能的实现方式中,所述无线接入点还包括:第三确定单元,所述第三确定单元用于将所述第一小区的发射功率的降低幅度确定为所述第一小区的偏移参数;第二发送单元,所述第二发送单元用于发送所述小区的偏移参数,以用于用户设备根据所述偏移参数进行小区重选操作。With reference to the seventh possible implementation manner of the second aspect, in an eighth possible implementation manner of the second aspect, the wireless access point further includes: a third determining unit, where the third determining unit is configured to: The reduction range of the transmit power of the first cell is determined as the offset parameter of the first cell; a second sending unit, the second sending unit is configured to send the offset parameter of the cell for the user equipment The cell reselection operation is performed according to the offset parameter.
基于上述技术方案,本发明实施例的无线通信中功率调整的方法和无线接入点,可以根据小区的节能负载门限,调整该小区的发射功率,从而实现各小区的发射功率的分布式控制,有利于降低整个接入网的功率消耗和各个网络设备之间的干扰。Based on the above technical solutions, the method for power adjustment in wireless communication and the wireless access point according to the embodiments of the present invention can adjust the transmit power of the cell according to the energy-saving load threshold of the cell, thereby realizing distributed control of the transmit power of each cell, It is beneficial to reduce the power consumption of the entire access network and the interference between various network devices.
附图说明Description of drawings
为了更清楚地说明本发明实施例的技术方案,下面将对本发明实施例中所需要使用的附图作简单地介绍,显而易见地,下面所描述的附图仅仅是本发明的一些实施例,对于本领域普通技术人员来讲,在不付出创造性劳动的前提下,还可以根据这些附图获得其他的附图。In order to illustrate the technical solutions of the embodiments of the present invention more clearly, the following briefly introduces the accompanying drawings that need to be used in the embodiments of the present invention. Obviously, the drawings described below are only some embodiments of the present invention. For those of ordinary skill in the art, other drawings can also be obtained from these drawings without any creative effort.
图1是本发明实施例的无线通信中调整功率的方法的示意性流程图。FIG. 1 is a schematic flowchart of a method for adjusting power in wireless communication according to an embodiment of the present invention.
图2是本发明实施例提供的无线通信中调整功率的方法的示意性流程图。FIG. 2 is a schematic flowchart of a method for adjusting power in wireless communication according to an embodiment of the present invention.
图3是本发明另一实施例提供的无线通信中调整功率的方法的示意性流程图。FIG. 3 is a schematic flowchart of a method for adjusting power in wireless communication according to another embodiment of the present invention.
图4是本发明实施例无线接入点的示意性框图。FIG. 4 is a schematic block diagram of a wireless access point according to an embodiment of the present invention.
图5是本发明另一实施例的无线接入点的示意性框图。FIG. 5 is a schematic block diagram of a wireless access point according to another embodiment of the present invention.
具体实施方式Detailed ways
下面将结合本发明实施例中的附图,对本发明实施例中的技术方案进行清楚、完整地描述,显然,所描述的实施例是本发明的一部分实施例,而不是全部实施例。基于本发明中的实施例,本领域普通技术人员在没有做出创造性劳动的前提下所获得的所有其他实施例,都应属于本发明保护的范围。The technical solutions in the embodiments of the present invention will be clearly and completely described below with reference to the accompanying drawings in the embodiments of the present invention. Obviously, the described embodiments are part of the embodiments of the present invention, but not all of the embodiments. Based on the embodiments of the present invention, all other embodiments obtained by those of ordinary skill in the art without creative work shall fall within the protection scope of the present invention.
应理解,本发明实施例的技术方案可以应用于各种通信系统,例如:全球移动通讯(Global System for Mobile communication,简称为“GSM”)系统、码分多址(CodeDivision Multiple Access,简称为“CDMA”)系统、宽带码分多址(Wideband CodeDivision Multiple Access,简称为“WCDMA”)系统、通用分组无线业务(General PacketRadio Service,简称为“GPRS”)、长期演进(Long Term Evolution,简称为“LTE”)系统、LTE频分双工(Frequency Division Duplex,简称为“FDD”)系统、LTE时分双工(Time DivisionDuplex,简称为“TDD”)、通用移动通信系统(Universal Mobile TelecommunicationSystem,简称为“UMTS”)或全球互联微波接入(Worldwide Interoperability forMicrowave Access,简称为“WiMAX”)通信系统等。It should be understood that the technical solutions of the embodiments of the present invention can be applied to various communication systems, such as: Global System for Mobile communication (referred to as "GSM") system, Code Division Multiple Access (Code Division Multiple Access, referred to as "" CDMA") system, Wideband Code Division Multiple Access (WCDMA for short) system, General Packet Radio Service (General Packet Radio Service, referred to as "GPRS"), Long Term Evolution (Long Term Evolution, referred to as "" LTE") system, LTE Frequency Division Duplex ("FDD") system, LTE Time Division Duplex ("TDD"), Universal Mobile Telecommunication System ("Universal Mobile Telecommunication System") UMTS") or Worldwide Interoperability for Microwave Access (Widely Interoperability for Microwave Access, referred to as "WiMAX") communication system, etc.
还应理解,在本发明实施例中,用户设备(User Equipment,简称为“UE”)可称之为终端(Terminal)、移动台(Mobile Station,简称为“MS”)或移动终端(Mobile Terminal)等,该用户设备可以经无线接入网(Radio Access Network,简称为“RAN”)与一个或多个核心网进行通信,例如,用户设备可以是移动电话(或称为“蜂窝”电话)或具有移动终端的计算机等,例如,用户设备还可以是便携式、袖珍式、手持式、计算机内置的或者车载的移动装置,它们与无线接入网交换语音和/或数据。It should also be understood that, in this embodiment of the present invention, a user equipment (User Equipment, referred to as “UE” for short) may be referred to as a terminal (Terminal), a mobile station (Mobile Station, referred to as “MS” for short), or a mobile terminal (Mobile Terminal). ), etc., the user equipment may communicate with one or more core networks via a radio access network (Radio Access Network, "RAN" for short), for example, the user equipment may be a mobile phone (or referred to as a "cellular" phone) Or a computer with a mobile terminal, for example, the user equipment may also be portable, pocket-sized, hand-held, computer-built or vehicle-mounted mobile devices that exchange voice and/or data with the wireless access network.
还应理解,在本发明实施例中,无线接入点可用于与终端设备通信,该无线接入点可以是全球移动通讯(Global System of Mobile communication,简称为“GSM”)系统或码分多址(Code Division Multiple Access,简称为“CDMA”)中的基站(Base TransceiverStation,简称为“BTS”),也可以是宽带码分多址(Wideband Code Division MultipleAccess,简称为“WCDMA”)系统中的基站(NodeB,简称为“NB”),还可以是长期演进(LongTerm Evolution,简称为“LTE”)系统中的演进型基站(evolved Node B,简称为“eNB”或“eNodeB”),或者为WLAN中的接入点(AP),该无线接入点可以为中继站、WLAN AP、车载设备、可穿戴设备以及未来5G网络中的基站设备等。It should also be understood that, in this embodiment of the present invention, a wireless access point may be used to communicate with a terminal device, and the wireless access point may be a global system of mobile communication (Global System of Mobile communication, “GSM” for short) system or a code division multiplexing The base station (Base TransceiverStation, referred to as "BTS") in the address (Code Division Multiple Access, referred to as "CDMA"), can also be a Wideband Code Division Multiple Access (Wideband Code Division Multiple Access, referred to as "WCDMA") system A base station (NodeB, referred to as "NB") may also be an evolved base station (evolved Node B, referred to as "eNB" or "eNodeB") in a Long Term Evolution (Long Term Evolution, referred to as "LTE") system, or An access point (AP) in a WLAN, the wireless access point can be a relay station, a WLAN AP, a vehicle-mounted device, a wearable device, and a base station device in the future 5G network.
图1示出了本发明实施例的无线通信中调整功率的方法100的示意性流程图。如图1所示,该方法100包括:FIG. 1 shows a schematic flowchart of a
步骤110,无线接入点确定该无线接入点控制的第一小区的节能负载门限。
步骤120,无线接入点根据该节能负载门限控制第一小区的发射功率,该第一小区的发射功率包括数据信道的发射功率。
具体地,在步骤110中,一个无线接入点可以只有一个小区,也可以有多个小区,因此第一小区可以表示一个或多个上述无线接入点控制的小区,某个小区的负载可以用该小区内的用户设备所需的无线资源与该小区所有无线资源的比例表示。Specifically, in
基于上述技术方案,本发明实施例的无线通信中功率调整的方法和无线接入点,可以根据小区的节能负载门限,调整该小区的发射功率,从而实现各小区的发射功率的分布式控制,有利于降低整个接入网的功率消耗和各个网络设备之间的干扰。Based on the above technical solutions, the method for power adjustment in wireless communication and the wireless access point according to the embodiments of the present invention can adjust the transmit power of the cell according to the energy-saving load threshold of the cell, thereby realizing distributed control of the transmit power of each cell, It is beneficial to reduce the power consumption of the entire access network and the interference between various network devices.
可选地,作为本发明一个实施例,无线接入点确定该无线接入点控制的第一小区的节能负载门限包括:无线接入点获取第一小区在当前周期内的负载信息;无线接入点根据第一小区在当前周期内的负载信息确定第一小区在下一周期内的节能负载门限。Optionally, as an embodiment of the present invention, the wireless access point determining the energy-saving load threshold of the first cell controlled by the wireless access point includes: the wireless access point acquiring load information of the first cell in the current period; The in point determines the energy-saving load threshold of the first cell in the next period according to the load information of the first cell in the current period.
具体地,第一小区发射功率的调整是基于第一小区的节能负载门限进行的调整,如果节能负载门限值设置的过高,会影响用户设备的接入,而节能负载门限值设置的过低,将会影响节能的效果。因此需要根据用户的业务分布来设置节能负载门限,即基于小区的负载情况设置节能负载门限。应理解,小区负载的定义为服务用户设备所需的无线资源与所有无线资源之间的比例。Specifically, the adjustment of the transmit power of the first cell is based on the energy-saving load threshold of the first cell. If the energy-saving load threshold is set too high, the access of the user equipment will be affected, and the energy-saving load threshold is set If it is too low, the effect of energy saving will be affected. Therefore, the energy-saving load threshold needs to be set according to the service distribution of the user, that is, the energy-saving load threshold is set based on the load situation of the cell. It should be understood that the definition of the cell load is the ratio between the radio resources required to serve the user equipment and all the radio resources.
应理解,无线接入点获取第一小区负载信息的当前周期或下一周期的长度可以根据该第一小区的负载变化情况确定,第一小区的负载信息可以是第一小区在该周期内的平均负载,本发明不限于此。It should be understood that the length of the current cycle or the next cycle for the wireless access point to obtain the load information of the first cell may be determined according to the load change of the first cell, and the load information of the first cell may be the load information of the first cell in the cycle. Average load, the present invention is not limited to this.
还应理解,无线接入点获取第一小区负载信息的当前周期或下一周期的长度可以根据该第一小区的负载变化情况确定,例如可以将当前周期或下一周期设置为小区负载变化周期,上述下一周期是指在当前周期之后的一段时长,其长度可以跟当前周期相同也可以不相同,第一小区的负载信息可以是第一小区在该周期内的平均负载,本发明不限于此。具体而言,第一小区在下一周期的节能负载门限可以根据当前周期的负载门限进行确定,从而能够根据系统负载的动态变化,进行与之对应的小时间粒度的节能控制,进一步地实现分布式高效控制。It should also be understood that the length of the current cycle or the next cycle for the wireless access point to obtain the load information of the first cell can be determined according to the load change situation of the first cell, for example, the current cycle or the next cycle can be set as the cell load change cycle. , the above-mentioned next cycle refers to a period of time after the current cycle, and its length may be the same as or different from the current cycle. The load information of the first cell may be the average load of the first cell in the cycle. The present invention is not limited to this. Specifically, the energy-saving load threshold of the first cell in the next cycle can be determined according to the load threshold of the current cycle, so that the energy-saving control with a corresponding small time granularity can be performed according to the dynamic change of the system load, and further distributed distribution can be realized. Efficient control.
可选地,作为本发明一个实施例,无线接入点根据第一小区在当前周期内的负载信息确定第一小区在下一周期内的节能负载门限包括:无线接入点获取第二小区在当前周期内的负载信息,并确定第一小区和第二小区在当前周期的负载均值;无线接入点获取网络负载均衡目标值;无线接入点根据当前周期的负载均值和网络负载均衡目标值确定第一小区的节能负载门限。Optionally, as an embodiment of the present invention, the wireless access point determining the energy-saving load threshold of the first cell in the next cycle according to the load information of the first cell in the current cycle includes: Load information in the cycle, and determine the average load value of the first cell and the second cell in the current cycle; the wireless access point obtains the target value of network load balancing; the wireless access point determines the average load value of the current cycle and the target value of network load balancing Energy saving load threshold of the first cell.
具体地,第二小区是指整个网络中的除了第一小区之外的一个或多个小区,例如,第二小区可以是上述无线接入点的邻居接入点所控制的小区,本发明不限于此。无线接入点可以根据第一小区和第二小区在当前周期的负载信息确定在当前周期的负载均值。Specifically, the second cell refers to one or more cells other than the first cell in the entire network. For example, the second cell may be a cell controlled by a neighbor access point of the wireless access point. The present invention does not limited to this. The wireless access point may determine the load average value in the current period according to the load information of the first cell and the second cell in the current period.
具体地,无线接入点可以根据运营商策略或无线接入点的接入控制门限获取网络负载均衡目标值。Specifically, the wireless access point may obtain the network load balancing target value according to the operator's policy or the access control threshold of the wireless access point.
具体地,无线接入点根据当前周期的负载均值和网络负载均衡目标值确定第一小区的节能负载门限,可以根据公式(1)计算每个小区的节能负载门限值,公式(1)如下:Specifically, the wireless access point determines the energy-saving load threshold of the first cell according to the load average value of the current period and the network load balancing target value, and can calculate the energy-saving load threshold of each cell according to formula (1), and formula (1) is as follows :
ρthr=αρavg+(1-α)ρtar (1)ρthr = αρavg +(1-α)ρtar (1)
其中,α为平滑系数,例如,可以设为0.5,ρthr为小区的节能负载门限,ρavg为网络负载均衡的目标值。Among them, α is a smoothing coefficient, for example, can be set to 0.5, ρthr is the energy-saving load threshold of the cell, and ρavg is the target value of network load balancing.
应理解,无线接入点可以设置第一小区的节能负载门限,也可以将该第一小区的节能负载门限发送给网络中的其它无线接入点,以便于其它无线接入点根据该节能负载门限进行设置,从而能够根据该节能负载门限进行小区发射功率的控制。It should be understood that the wireless access point can set the energy-saving load threshold of the first cell, and can also send the energy-saving load threshold of the first cell to other wireless access points in the network, so that other wireless access points can use the energy-saving load threshold according to the energy saving load. The threshold is set, so that the transmit power of the cell can be controlled according to the energy-saving load threshold.
可选地,作为本发明一个实施例,无线接入点根据第一小区在当前周期内的负载信息确定第一小区在下一周期内的节能负载门限包括:无线接入点向控制器上报第一小区在当前周期内的负载信息,第一小区在当前周期的负载信息被用于控制器确定第一小区在下一周期内的节能负载门限;接收控制器发送的第一小区在下一周期内的节能负载门限。Optionally, as an embodiment of the present invention, the wireless access point determining the energy-saving load threshold of the first cell in the next cycle according to the load information of the first cell in the current cycle includes: the wireless access point reporting the first cell to the controller. Load information of the cell in the current cycle, the load information of the first cell in the current cycle is used by the controller to determine the energy-saving load threshold of the first cell in the next cycle; receive the energy-saving load threshold of the first cell in the next cycle sent by the controller load threshold.
应理解,该控制器可以位于某个无线接入点,也可以独立于任何一个无线接入点之外作为一个独立的网络设备。It should be understood that the controller may be located at a certain wireless access point, or may be independent of any wireless access point as an independent network device.
可选地,该控制器可以统一配置各个无线接入点的节能负载门限值,也就是说可以统一配置各个小区的节能负载门限值,具体步骤如下:控制器获取第一周期内所有小区的负载的均衡值;控制器获取网络负载均衡的目标值,该目标值可以基于运营商策略得到,也可以基于无线接入点的接入控制门限来设置,本发明不限于此;控制器根据负载均衡值和负载均衡目标值的平滑平均值确定为每个无线接入点的节能负载门限,并该将节能负载门限发送给各个无线接入点,以便于各个无线接入点根据该节能负载门限进行统一配置。Optionally, the controller can uniformly configure the energy-saving load threshold of each wireless access point, that is to say, can uniformly configure the energy-saving load threshold of each cell, and the specific steps are as follows: the controller obtains all cells in the first period. The controller obtains the target value of network load balancing, the target value can be obtained based on the operator's policy, or can be set based on the access control threshold of the wireless access point, the present invention is not limited to this; The smoothed average value of the load balance value and the load balance target value is determined as the energy-saving load threshold of each wireless access point, and the energy-saving load threshold is sent to each wireless access point, so that each wireless access point can determine the energy-saving load threshold according to the energy-saving load threshold. The threshold is configured uniformly.
具体地,控制器根据各个小区当前周期的负载均值和网络负载均衡目标值确定节能负载门限,可以根据公式(1)计算该节能负载门限值,公式(1)如下:Specifically, the controller determines the energy-saving load threshold according to the current cycle load average of each cell and the network load balancing target value, and can calculate the energy-saving load threshold according to formula (1), and formula (1) is as follows:
ρthr=αρavg+(1-α)ρtar (1)ρthr = αρavg +(1-α)ρtar (1)
其中,α为平滑系数,例如,可以设为0.5,ρthr为小区的节能负载门限,ρavg为网络负载均衡的目标值。Among them, α is a smoothing coefficient, for example, can be set to 0.5, ρthr is the energy-saving load threshold of the cell, and ρavg is the target value of network load balancing.
可选地,作为本发明一个实施例,无线接入点根据第一小区在当前周期内的负载信息确定第一小区在下一周期内的节能负载门限包括:无线接入点根据第一小区在上一周期内的负载信息以及第一小区在当前周期的负载信息,确定第一小区的当前负载变化量;无线接入点获取网络负载均衡目标值;无线接入点根据第一小区的负载变化量和负载均衡目标值确定所述第一小区的节能负载门限。Optionally, as an embodiment of the present invention, the wireless access point determining the energy-saving load threshold of the first cell in the next cycle according to the load information of the first cell in the current cycle includes: The load information in one period and the load information of the first cell in the current period determine the current load variation of the first cell; the wireless access point obtains the target value of network load balancing; the wireless access point determines the load variation of the first cell according to the load variation of the first cell and the load balancing target value to determine the energy saving load threshold of the first cell.
具体地,无线接入点可以单独配置第一小区的节能负载门限,具体地,例如单独配置第一小区的节能负载门限时,具体步骤如下:统计第一小区第一周期内负载和负载变化趋势;获取全网负载均衡的目标值,具体获取全网负载均衡的目标值的方式可以为通过网络管理系统获取,或通过控制器获取或查表获取。负载小于全网负载均衡的目标值的无线接入点,根据公式(2)确定节能负载门限值,公式(2)如下:Specifically, the wireless access point can individually configure the energy-saving load threshold of the first cell. Specifically, for example, when the energy-saving load threshold of the first cell is independently configured, the specific steps are as follows: Count the load and load change trend of the first cell in the first period ; Obtain the target value of the entire network load balancing, and the specific method of obtaining the target value of the entire network load balancing can be obtained through the network management system, or obtained through the controller or table lookup. For wireless access points whose load is less than the target value of load balancing in the entire network, the energy-saving load threshold value is determined according to formula (2), and formula (2) is as follows:
ρthr,i=ρtar-ρtarsign(Δρi)Δρtar (2)ρthr,i =ρtar -ρtar sign(Δρi )Δρtar (2)
Δρtar为系统预设的门限,可以设为10%。sign(Δρi)为小区i的负载变化的趋势,当负载变小时,取值为-1,变大时取值为+1,否则取值为0。当小区的负载变小时,节能负载门限在全网负载均衡的目标值之上,幅度为预设门限;反之,节能负载门限在全网负载均衡的目标值之下,幅度为预设门限。Δρtar is a preset threshold of the system, which can be set to 10%. sign(Δρi ) is the trend of the load change of the cell i. When the load becomes smaller, the value is -1; when the load becomes larger, the value is +1; otherwise, the value is 0. When the load of the cell becomes smaller, the energy-saving load threshold is above the target value of network-wide load balancing, and the amplitude is the preset threshold; otherwise, the energy-saving load threshold is below the target value of network-wide load balancing, and the amplitude is the preset threshold.
可选地,作为本发明一个实施例,无线接入点根据节能负载门限,控制小区的发射功率包括:无线接入点确定第一小区的当前负载;若第一小区的当前负载小于节能负载门限,无线接入点根据第一小区当前的发射功率,确定第一小区的发射功率的降低幅度;无线接入点根据第一小区的发射功率的降低幅度,执行第一小区的发射功率的降低操作。Optionally, as an embodiment of the present invention, the wireless access point controlling the transmit power of the cell according to the energy-saving load threshold includes: the wireless access point determining the current load of the first cell; if the current load of the first cell is less than the energy-saving load threshold , the wireless access point determines the reduction range of the transmission power of the first cell according to the current transmission power of the first cell; the wireless access point performs the reduction operation of the transmission power of the first cell according to the reduction range of the transmission power of the first cell .
具体地,无线接入点可以根据实际情况选择不同时刻测量第一小区当前的负载情况,若第一小区在第一时刻测得的当前负载小于节能负载门限时,则该无线接入点可以根据第一小区的当前发射功率,确定第一小区的发射功率的降低幅度,具体地,可以根据公式(3)确定功率调整的幅度,公式(3)如下所示:Specifically, the wireless access point can select different times to measure the current load of the first cell according to the actual situation. If the current load measured by the first cell at the first moment is less than the energy-saving load threshold, the wireless access point can The current transmission power of the first cell determines the reduction range of the transmission power of the first cell. Specifically, the power adjustment range can be determined according to formula (3), and formula (3) is as follows:
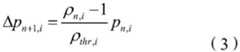
其中,pn,i为第i个小区当前的发射功率,ρn,i和ρthr,i分别为第i个小区当前的测量负载和节能负载门限。Among them, pn,i is the current transmit power of the ith cell, and ρn,i and ρthr,i are the current measurement load and energy-saving load threshold of the ith cell, respectively.
可选地,作为本发明一个实施例,无线接入点根据第一小区的发射功率的降低幅度,执行第一小区的发射功率的降低操作包括:若第一小区当前的发射功率与所述第一小区的发射功率的降低幅度之差大于功率最低门限值,将第一小区的发射功率更新为第一小区当前的发射功率与所述降低幅度之差。Optionally, as an embodiment of the present invention, the wireless access point performing the reduction operation of the transmission power of the first cell according to the reduction range of the transmission power of the first cell includes: if the current transmission power of the first cell is the same as that of the first cell The difference between the reduction ranges of the transmit power of a cell is greater than the minimum power threshold, and the transmit power of the first cell is updated to be the difference between the current transmit power of the first cell and the reduction range.
可选地,作为本发明一个实施例,无线接入点根据第一小区的发射功率的降低幅度,执行第一小区的发射功率的降低操作,包括:无线接入点根据第一小区的发射功率的降低幅度以及功率最低门限值,执行第一小区的发射功率的降低操作。Optionally, as an embodiment of the present invention, the wireless access point performs a reduction operation of the transmission power of the first cell according to the reduction range of the transmission power of the first cell, including: the wireless access point according to the transmission power of the first cell The reduction range and the power minimum threshold value are set, and the transmission power reduction operation of the first cell is performed.
可选地,作为本发明一个实施例,若第一小区当前的发射功率与第一小区的发射功率的降低幅度的之差大于功率最低门限值时,无线接入点降低当前发射功率,否则,不降低发射功率。Optionally, as an embodiment of the present invention, if the difference between the current transmit power of the first cell and the reduction range of the transmit power of the first cell is greater than the minimum power threshold, the wireless access point reduces the current transmit power, otherwise , without reducing the transmit power.
应理解,无线接入点继续测量第二时刻第一小区的当前负载,当第一小区在第二时刻的当前负载小于节能负载门限时,继续根据第一小区的发射功率的降低幅度,执行第一小区当前的发射功率的降低操作,其中,第二时刻发生在第一时刻之后。It should be understood that the wireless access point continues to measure the current load of the first cell at the second moment, and when the current load of the first cell at the second moment is less than the energy-saving load threshold, it continues to execute the first cell according to the reduction range of the transmit power of the first cell. A reduction operation of the current transmit power of a cell, wherein the second time instant occurs after the first time instant.
应理解,当第一小区的当前发射功率与第一小区的发射功率的降低幅度之和大于功率最低门限值时,才执行第一小区的发射功率的降低操作。It should be understood that the operation of reducing the transmit power of the first cell is performed only when the sum of the current transmit power of the first cell and the reduction range of the transmit power of the first cell is greater than the minimum power threshold value.
具体地,可以根据公式(4)确定调整后的发射功率,公式(4)如下式所示:Specifically, the adjusted transmit power can be determined according to formula (4), and formula (4) is shown in the following formula:
pn+1,i=Δpn+1,i+pn,i (4)pn+1,i =Δpn+1,i +pn,i (4)
本发明实施例提供的方法可以动态调整发射功率,能够适应负载的动态变化,低负载的小区的发射功率降低后,能够降低能耗,同时减小对其它小区或无线接入点的干扰,同时能够降低其它高负载的无线接入点的负载,全网负载趋于均衡。The method provided by the embodiment of the present invention can dynamically adjust the transmission power, and can adapt to the dynamic change of the load. After the transmission power of the low-load cell is reduced, the energy consumption can be reduced, and the interference to other cells or wireless access points can be reduced at the same time. It can reduce the load of other high-load wireless access points, and the load of the whole network tends to be balanced.
可选地,作为本发明一个实施例,上述第一小区的发射功率还包括控制信道的发射功率。Optionally, as an embodiment of the present invention, the transmit power of the first cell further includes the transmit power of the control channel.
具体地,当控制信道和数据信道分开的情况下,仅仅调整数据信道的发射功率不会对控制信道有影响,因此不会改变用户设备与各个小区之间的关联关系;当对于数据信道和控制信道相统一的情况下,例如无线局域网中,调整数据信道的功率同时也是对控制信道的调整,也就是说本发明实施例还用于对控制信道发射功率节能的情况。Specifically, when the control channel and the data channel are separated, only adjusting the transmit power of the data channel will not affect the control channel, so the association between the user equipment and each cell will not be changed; When the channels are unified, for example, in a wireless local area network, adjusting the power of the data channel is also the adjustment of the control channel, that is to say, the embodiment of the present invention is also used to save energy on the transmit power of the control channel.
可选地,作为本发明一个实施例,上述方法还包括:无线接入点将根据第一小区的发射功率的降低幅度,确定第一小区的偏移参数;向用户设备发送小区的偏移参数,以用于用户设备根据该偏移参数进行小区重选操作。Optionally, as an embodiment of the present invention, the above method further includes: the wireless access point determines the offset parameter of the first cell according to the reduction range of the transmit power of the first cell; and sends the offset parameter of the cell to the user equipment , for the user equipment to perform a cell reselection operation according to the offset parameter.
具体地,可以根据公式(5)确定第一小区的偏移量,公式(5)如下式所示:Specifically, the offset of the first cell can be determined according to formula (5), and formula (5) is as follows:
Offsetn+1,i=-Δpn+1,i (5)Offsetn+1,i =-Δpn+1,i (5)
其中,Offsetn+1,i为本次调整后的小区偏移量,Δpn+1,i为无线接入点i当前的功率降低幅度。Wherein, Offsetn+1,i is the cell offset after this adjustment, and Δpn+1,i is the current power reduction range of the wireless access point i.
本发明实施例提供的方法可以把小区偏移参数发送给用户设备,以使得用户设备保持同样的用户关联,减少没有必要的切换。The method provided by the embodiment of the present invention can send the cell offset parameter to the user equipment, so that the user equipment maintains the same user association and reduces unnecessary handovers.
可选地,作为本发明一个实施例,当用户设备收到无线接入点发送的小区偏移参数时,需要根据小区偏移参数进行小区重选操作。Optionally, as an embodiment of the present invention, when the user equipment receives the cell offset parameter sent by the wireless access point, it needs to perform a cell reselection operation according to the cell offset parameter.
具体地,用户设备在小区的选择、重选或驻留时,通常选择接收信号强度最大的小区。当服务小区的控制信道功率调整时,在该小区内的用户设备将根据收到的小区偏移参数进行如下的调整,如公式(6)所示:Specifically, during cell selection, reselection, or camping, the user equipment usually selects the cell with the highest received signal strength. When the control channel power of the serving cell is adjusted, the user equipment in the cell will perform the following adjustment according to the received cell offset parameter, as shown in formula (6):
其中,RSRP为参考信号接收强度(英文:Reference Signal Received Power,简写:RSRP),也就是说用户设备将选取参考信号接收强度与小区偏移参数的和最大的小区为服务小区。Wherein, RSRP is Reference Signal Received Power (English: Reference Signal Received Power, abbreviated: RSRP), that is to say, the user equipment will select the cell with the largest sum of the reference signal received strength and the cell offset parameter as the serving cell.
具体地,用户设备在进行切换决策时,也依赖于接收到的服务小区和邻区的信号的变化,这时也需要在考虑小区偏移参数,本发明不限于此。Specifically, when the user equipment makes a handover decision, it also depends on the received signal changes of the serving cell and the neighboring cell, and the cell offset parameter also needs to be considered at this time, and the present invention is not limited to this.
基于上述技术方案,本发明实施例的无线通信中功率调整的方法和无线接入点,可以根据小区的节能负载门限,调整该小区的发射功率,从而实现各小区的发射功率的分布式控制,有利于降低整个接入网的功率消耗和各个网络设备之间的干扰。Based on the above technical solutions, the method for power adjustment in wireless communication and the wireless access point according to the embodiments of the present invention can adjust the transmit power of the cell according to the energy-saving load threshold of the cell, thereby realizing distributed control of the transmit power of each cell, It is beneficial to reduce the power consumption of the entire access network and the interference between various network devices.
图2是本发明实施例提供的无线通信中调整功率的方法的示意性流程图。如图2所示,该方法包括:FIG. 2 is a schematic flowchart of a method for adjusting power in wireless communication according to an embodiment of the present invention. As shown in Figure 2, the method includes:
步骤210,基于用户业务的分布统计,确定每个无线接入点的节能负载门限。Step 210: Determine the energy-saving load threshold of each wireless access point based on the distribution statistics of user services.
步骤220,当前负载低于节能负载门限的无线接入点,调整无线接入点的发射功率。
步骤230,当前负载低于节能负载门限的无线接入点,根据无线接入点的发射功率确定小区偏移参数,并将该偏移参数发送给用户设备。
步骤240,用户设备基于该小区的偏移参数进行小区的选择、驻留或者切换。
在步骤210中,每个无线接入点可以单独配置节能负载门限,也可以由某个无线接入点或者控制器进行统一配置,本发明不限于此。In
具体地,由控制器统一设置各无线接入点的节能负载门限的步骤如下:Specifically, the steps of uniformly setting the energy-saving load threshold of each wireless access point by the controller are as follows:
1)每个无线接入点周期统计其负载,并向控制器上报;1) Each wireless access point periodically counts its load and reports it to the controller;
2)控制器计算所有无线接入点的负载的均值ρavg;2) The controller calculates the mean value ρavg of the loads of all wireless access points;
3)控制器获取网络负载均衡的目标值ρtar,该目标值可以基于运营商的策略,也可以基于无线接入点的接入控制门限来设置;3) The controller obtains the target value ρtar of network load balancing, and the target value can be set based on the policy of the operator or the access control threshold of the wireless access point;
4)控制器确定负载均值和负载均衡目标值的平滑平均值为每个无线接入点的节能负载门限:4) The controller determines the load average value and the smoothed average value of the load balancing target value as the energy saving load threshold for each wireless access point:
ρthr=αρavg+(1-α)ρtarρthr =αρavg +(1-α)ρtar
其中,α为平滑系数,可以设为0.5,ρthr为无线接入点的节能负载门限,在该控制器下的所有无线接入点统一设置。Among them, α is a smoothing coefficient, which can be set to 0.5, and ρthr is the energy-saving load threshold of the wireless access point, which is set uniformly for all wireless access points under the controller.
具体地,由各无线接入点单独配置节能负载门限的步骤如下:Specifically, the steps for individually configuring the energy-saving load threshold by each wireless access point are as follows:
1)每个无线接入点周期统计其负载和负载变化趋势:1) Each wireless access point periodically counts its load and load change trend:
Δρi=ρcur,i-ρprv,iΔρi =ρcur,i -ρprv,i
其中,ρcur,i和ρprv,i分别为无线接入点i当前的负载和上次统计的负载;Among them, ρcur,i and ρprv,i are the current load and the last statistical load of wireless access point i respectively;
2)获取全网负载均衡的目标值ρtar;2) Obtain the target value ρtar of the entire network load balancing;
3)负载小于全网负载均衡的目标值的无线接入点,确定其节能负载门限:3) For wireless access points whose load is less than the target value of load balancing in the entire network, determine the energy-saving load threshold:
ρthr,i=ρtar-ρtarsign(Δρi)Δρtarρthr,i =ρtar -ρtar sign(Δρi )Δρtar
其中,Δρtar为系统预设的门限,可以设为10%。sign(Δρi)为无线接入点i的负载变化的趋势,当负载变小时,取值为-1,变大时取值为+1,否则取值为0。当无线接入点的负载变小时,节能负载门限在全网负载均衡的目标值之上,幅度为预设门限;反之,节能负载门限在全网负载均衡的目标值之下,幅度为预设门限。Among them, Δρtar is a threshold preset by the system, which can be set to 10%. sign(Δρi ) is the trend of the load change of the wireless access point i. When the load becomes smaller, the value is -1; when the load becomes larger, the value is +1; otherwise, the value is 0. When the load of the wireless access point becomes smaller, the energy-saving load threshold is above the target value of the network-wide load balancing, and the amplitude is the preset threshold; otherwise, the energy-saving load threshold is below the target value of the network-wide load balancing, and the amplitude is the preset threshold. threshold.
在步骤220,具体地,每个无线接入点调整发射功率的步骤如下:In
1)每个无线接入点测量其负载;1) Each wireless access point measures its load;
2)如果测量负载小于节能负载门限,则继续参与功率调整,否则不再调整;2) If the measured load is less than the energy-saving load threshold, continue to participate in the power adjustment, otherwise it will not be adjusted;
3)确定功率调整的幅度;3) Determine the magnitude of power adjustment;
4)基于幅度进行功率调整,其中,若调整后的功率大于功率最低门限,并且测量负载小于节能负载门限,则继续调整,否则不再调整;4) Adjusting the power based on the amplitude, wherein, if the adjusted power is greater than the minimum power threshold and the measured load is less than the energy-saving load threshold, continue to adjust, otherwise, no further adjustment;
功率最低门限是为了保证一定的网络覆盖和服务质量(英文:Quality ofService简写:QoS)要求,在密集网场景下,最低门限可以设置很小;The minimum power threshold is to ensure a certain network coverage and quality of service (English: Quality of Service abbreviation: QoS) requirements. In dense network scenarios, the minimum threshold can be set to a small value;
5)无线接入点把新的小区偏移参数发给用户,以保持同样的用户关联,减少没必要的切换。5) The wireless access point sends the new cell offset parameter to the user to maintain the same user association and reduce unnecessary handovers.
在步骤240中,当用户收到无线接入点发送的小区偏移参数时,需要及时应用。一般来说,涉及到功率域的操作,如小区重选,切换决策等,都需要做相应的调整,具体而言,用户可以进行以下操作:In
1)小区重选1) Cell reselection
用户在小区选择/重选/驻留时,通常选择接收信号强度最大的小区。当服务小区的导频功率调整时,在该小区的用户会收到小区偏移参数,这时,小区选择如下:During cell selection/reselection/camping, the user usually selects the cell with the highest received signal strength. When the pilot power of the serving cell is adjusted, the users in the cell will receive the cell offset parameter. At this time, the cell selection is as follows:
2)切换决策2) Switching decision
切换决策也是涉及功率域的操作,依赖于接收到的服务小区和邻区的信号的变化,这时同样需要加上小区偏移量。The handover decision is also an operation involving the power domain, which depends on the received signal changes of the serving cell and the neighboring cells, and the cell offset also needs to be added at this time.
基于上述技术方案,本发明实施例的无线通信中功率调整的方法和无线接入点,可以根据小区的节能负载门限,调整该小区的发射功率,从而实现各小区的发射功率的分布式控制,有利于降低整个接入网的功率消耗和各个网络设备之间的干扰。Based on the above technical solutions, the method for power adjustment in wireless communication and the wireless access point according to the embodiments of the present invention can adjust the transmit power of the cell according to the energy-saving load threshold of the cell, thereby realizing distributed control of the transmit power of each cell, It is beneficial to reduce the power consumption of the entire access network and the interference between various network devices.
图3是本发明实施例提供的密集无线接入网节能的方法300的示意性流程图。该方法300可以由无线接入点执行,如图3所示,该方法包括:FIG. 3 is a schematic flowchart of a
步骤301,测量当前负载。Step 301, measure the current load.
步骤302,判断当前负载是否小于节能负载门限,如果当前负载不小于节能负载门限,则结束功率调整;如果当前负载小于节能负载门限,则继续参与发射功率的调整。Step 302, determine whether the current load is less than the energy-saving load threshold, if the current load is not less than the energy-saving load threshold, end the power adjustment; if the current load is less than the energy-saving load threshold, continue to participate in the adjustment of the transmit power.
步骤303,确定功率调整的幅度。Step 303: Determine the magnitude of power adjustment.
步骤304,基于功率调整幅度进行功率调整。Step 304: Perform power adjustment based on the power adjustment range.
步骤305,判断调整后的发射功率是否大于最低门限功率。如果调整后的发射功率不高于最低门限功率则结束功率调整;如果调整后的发射功率高于最低门限功率,则进一步判断当前负载是否还小于节能负载门限,如果此时当前负载小于节能负载门限,则继续进行发射功率的调整。Step 305, judging whether the adjusted transmit power is greater than the minimum threshold power. If the adjusted transmit power is not higher than the minimum threshold power, the power adjustment is ended; if the adjusted transmit power is higher than the minimum threshold power, it is further judged whether the current load is still less than the energy-saving load threshold, and if the current load is less than the energy-saving load threshold at this time , then continue to adjust the transmit power.
在步骤303中,需要确定每次功率调整的幅度。具体地,可以根据公式(3)确定功率调整的幅度,公式(3)如下所示:In step 303, the magnitude of each power adjustment needs to be determined. Specifically, the magnitude of the power adjustment can be determined according to formula (3), and formula (3) is as follows:
其中,pn,i为第i个小区当前的发射功率,ρn,i和ρthr,i分别为第i个小区当前的测量负载和节能负载门限。Among them,pn,i is the current transmit power of the i-th cell, and ρn,i and ρthr,i are the current measurement load and energy-saving load threshold of the i-th cell, respectively.
在步骤304中,基于功率调整幅度进行功率调整。具体地,可以根据公式(4)确定调整后的发射功率,公式(4)如下式所示:In step 304, power adjustment is performed based on the power adjustment magnitude. Specifically, the adjusted transmit power can be determined according to formula (4), and formula (4) is shown in the following formula:
pn+1,i=Δpn+1,i+pn,i (4)pn+1,i =Δpn+1,i +pn,i (4)
本发明实施例提供的方法可以动态调整发射功率,能够适应负载的动态变化,低负载的小区的发射功率降低后,能够降低能耗,同时减小对其它小区或无线接入点的干扰,同时能够降低其它高负载的无线接入点的负载,全网负载趋于均衡。The method provided by the embodiment of the present invention can dynamically adjust the transmission power, and can adapt to the dynamic change of the load. After the transmission power of the low-load cell is reduced, the energy consumption can be reduced, and the interference to other cells or wireless access points can be reduced at the same time. It can reduce the load of other high-load wireless access points, and the load of the whole network tends to be balanced.
基于上述技术方案,本发明实施例的无线通信中功率调整的方法和无线接入点,可以根据小区的节能负载门限,调整该小区的发射功率,从而实现各小区的发射功率的分布式控制,有利于降低整个接入网的功率消耗和各个网络设备之间的干扰。Based on the above technical solutions, the method for power adjustment in wireless communication and the wireless access point according to the embodiments of the present invention can adjust the transmit power of the cell according to the energy-saving load threshold of the cell, thereby realizing distributed control of the transmit power of each cell, It is beneficial to reduce the power consumption of the entire access network and the interference between various network devices.
上文中结合图1至图3,详细描述了根据本发明实施例的密集无线接入网节能的方法,下面将结合图4至图5,描述根据本发明实施例的密集无线接入网节能的装置。The energy saving method of the dense wireless access network according to the embodiment of the present invention is described in detail above with reference to FIGS. 1 to 3 , and the energy saving method of the dense wireless access network according to the embodiment of the present invention will be described below with reference to FIGS. 4 to 5 . device.
如图4所示,根据本发明实施例的无线接入点400包括:As shown in FIG. 4 , the wireless access point 400 according to the embodiment of the present invention includes:
第一确定单元410,用于确定无线接入点控制的第一小区的节能负载门限。The first determining unit 410 is configured to determine the energy-saving load threshold of the first cell controlled by the wireless access point.
控制单元420,用于根据确定单元确定的节能负载门限,控制第一小区的发射功率,该第一小区的发射功率包括数据信道的发射功率。The control unit 420 is configured to control the transmit power of the first cell according to the energy saving load threshold determined by the determination unit, where the transmit power of the first cell includes the transmit power of the data channel.
具体地,一个无线接入点可以只有一个小区,也可以有多个小区,因此第一小区可以表示一个或多个上述无线接入点控制的小区,某个小区的负载可以用该小区内的用户设备所需的无线资源与该小区所有无线资源的比例表示。Specifically, a wireless access point may have only one cell or multiple cells. Therefore, the first cell may represent one or more cells controlled by the above-mentioned wireless access point, and the load of a certain cell can be determined by the number of cells in the cell. It is expressed as the ratio of the radio resources required by the user equipment to all the radio resources in the cell.
基于上述技术方案,本发明实施例的无线通信中功率调整的方法和无线接入点,可以根据小区的节能负载门限,调整该小区的发射功率,从而实现各小区的发射功率的分布式控制,有利于降低整个接入网的功率消耗和各个网络设备之间的干扰。Based on the above technical solutions, the method for power adjustment in wireless communication and the wireless access point according to the embodiments of the present invention can adjust the transmit power of the cell according to the energy-saving load threshold of the cell, thereby realizing distributed control of the transmit power of each cell, It is beneficial to reduce the power consumption of the entire access network and the interference between various network devices.
可选地,作为本发明一个实施例,无线接入点还包括获取单元,该获取单元用于:获取第一小区在当前周期内的负载信息;根据第一小区在当前周期内的负载信息获取第一小区在下一周期内的节能负载门限。Optionally, as an embodiment of the present invention, the wireless access point further includes an acquisition unit, which is configured to: acquire the load information of the first cell in the current period; acquire according to the load information of the first cell in the current period Energy saving load threshold of the first cell in the next cycle.
具体地,第一小区发射功率的调整是基于第一小区的节能负载门限进行的调整,如果节能负载门限值设置的过高,会影响用户设备的接入,而节能负载门限值设置的过低,将会影响节能的效果。因此需要根据用户的业务分布来设置节能负载门限,即基于小区的负载情况设置节能负载门限。应理解,小区负载的定义为服务用户设备所需的无线资源与所有无线资源之间的比例。Specifically, the adjustment of the transmit power of the first cell is based on the energy-saving load threshold of the first cell. If the energy-saving load threshold is set too high, the access of the user equipment will be affected, and the energy-saving load threshold is set If it is too low, the effect of energy saving will be affected. Therefore, the energy-saving load threshold needs to be set according to the service distribution of the user, that is, the energy-saving load threshold is set based on the load situation of the cell. It should be understood that the definition of the cell load is the ratio between the radio resources required to serve the user equipment and all the radio resources.
应理解,无线接入点获取第一小区负载信息的当前周期或下一周期的长度可以根据该第一小区的负载变化情况确定,第一小区的负载信息可以是第一小区在该周期内的平均负载,本发明不限于此。It should be understood that the length of the current cycle or the next cycle for the wireless access point to obtain the load information of the first cell may be determined according to the load change of the first cell, and the load information of the first cell may be the load information of the first cell in the cycle. Average load, the present invention is not limited to this.
还应理解,无线接入点获取第一小区负载信息的当前周期或下一周期的长度可以根据该第一小区的负载变化情况确定,例如可以将当前周期或下一周期设置为小区负载变化周期,上述下一周期是指在当前周期之后的一段时长,其长度可以跟当前周期相同也可以不相同,第一小区的负载信息可以是第一小区在该周期内的平均负载,本发明不限于此。具体而言,第一小区在下一周期的节能负载门限可以根据当前周期的负载门限进行确定,从而能够根据系统负载的动态变化,进行与之对应的小时间粒度的节能控制,进一步地实现分布式高效控制。It should also be understood that the length of the current cycle or the next cycle for the wireless access point to obtain the load information of the first cell can be determined according to the load change situation of the first cell, for example, the current cycle or the next cycle can be set as the cell load change cycle. , the above-mentioned next cycle refers to a period of time after the current cycle, and its length may be the same as or different from the current cycle. The load information of the first cell may be the average load of the first cell in the cycle. The present invention is not limited to this. Specifically, the energy-saving load threshold of the first cell in the next cycle can be determined according to the load threshold of the current cycle, so that the energy-saving control with a corresponding small time granularity can be performed according to the dynamic change of the system load, and further distributed distribution can be realized. Efficient control.
还应理解,该获取单元可以位于某一个无线接入点,也可以作为一个单独的设备统一控制网络中的每个无线接入点,本发明不限于此。It should also be understood that the obtaining unit may be located at a certain wireless access point, or may act as a separate device to uniformly control each wireless access point in the network, and the present invention is not limited thereto.
可选地,作为本发明一个实施例,获取单元具体用于:获取第二小区在当前周期内的负载信息,并确定第一小区和第二小区在当前周期的负载均值;获取网络负载均衡目标值;根据当前周期的负载均值和网络负载均衡目标值确定第一小区的节能负载门限。Optionally, as an embodiment of the present invention, the acquiring unit is specifically configured to: acquire the load information of the second cell in the current period, and determine the average load of the first cell and the second cell in the current period; acquire the network load balancing target value; the energy-saving load threshold of the first cell is determined according to the average load value of the current cycle and the target value of network load balancing.
具体地,第二小区是指整个网络中的除了第一小区之外的一个或多个小区,例如,第二小区可以是上述无线接入点的邻居接入点所控制的小区,本发明不限于此。无线接入点可以根据第一小区和第二小区在当前周期的负载信息确定在当前周期的负载均值。Specifically, the second cell refers to one or more cells other than the first cell in the entire network. For example, the second cell may be a cell controlled by a neighbor access point of the wireless access point. The present invention does not limited to this. The wireless access point may determine the load average value in the current period according to the load information of the first cell and the second cell in the current period.
具体地,无线接入点可以根据运营商策略或无线接入点的接入控制门限获取网络负载均衡目标值。Specifically, the wireless access point may obtain the network load balancing target value according to the operator's policy or the access control threshold of the wireless access point.
具体地,无线接入点根据当前周期的负载均值和网络负载均衡目标值确定第一小区的节能负载门限,可以根据公式(1)计算每个小区的节能负载门限值,公式(1)如下:Specifically, the wireless access point determines the energy-saving load threshold of the first cell according to the load average value of the current period and the network load balancing target value, and can calculate the energy-saving load threshold of each cell according to formula (1), and formula (1) is as follows :
ρthr=αρavg+(1-α)ρtar (1)ρthr = αρavg +(1-α)ρtar (1)
其中,α为平滑系数,例如,可以设为0.5,ρthr为小区的节能负载门限,ρavg为网络负载均衡的目标值。Among them, α is a smoothing coefficient, for example, can be set to 0.5, ρthr is the energy-saving load threshold of the cell, and ρavg is the target value of network load balancing.
应理解,无线接入点可以设置第一小区的节能负载门限,也可以将该第一小区的节能负载门限发送给网络中的其它无线接入点,以便于其它无线接入点根据该节能负载门限进行设置,从而能够根据该节能负载门限进行小区发射功率的控制。It should be understood that the wireless access point can set the energy-saving load threshold of the first cell, and can also send the energy-saving load threshold of the first cell to other wireless access points in the network, so that other wireless access points can use the energy-saving load threshold according to the energy saving load. The threshold is set, so that the transmit power of the cell can be controlled according to the energy-saving load threshold.
可选地,作为本发明一个实施例,上述获取单元还包括:第一发送单元,第一发送单元用于向控制器上报第一小区在当前周期内的负载信息,第一小区在当前周期的负载信息被用于控制器确定第一小区在下一周期内的节能负载门限;接收单元,接收单元用于接收控制器发送的第一小区在下一周期内的节能负载门限。Optionally, as an embodiment of the present invention, the above obtaining unit further includes: a first sending unit, where the first sending unit is configured to report the load information of the first cell in the current cycle to the controller, and the first cell in the current cycle The load information is used by the controller to determine the energy-saving load threshold of the first cell in the next cycle; the receiving unit is configured to receive the energy-saving load threshold of the first cell in the next cycle sent by the controller.
应理解,该控制器可以位于某个无线接入点,也可以独立于任何一个无线接入点之外作为一个独立的网络设备。It should be understood that the controller may be located at a certain wireless access point, or may be independent of any wireless access point as an independent network device.
可选地,该控制器可以统一配置各个无线接入点的节能负载门限值,也就是说可以统一配置各个小区的节能负载门限值,具体步骤如下:控制器获取第一周期内所有小区的负载的均衡值;控制器获取网络负载均衡的目标值,该目标值可以基于运营商策略得到,也可以基于无线接入点的接入控制门限来设置,本发明不限于此;控制器根据负载均衡值和负载均衡目标值的平滑平均值确定为每个无线接入点的节能负载门限,并该将节能负载门限发送给各个无线接入点,以便于各个无线接入点根据该节能负载门限进行统一配置。Optionally, the controller can uniformly configure the energy-saving load threshold of each wireless access point, that is to say, can uniformly configure the energy-saving load threshold of each cell, and the specific steps are as follows: the controller obtains all cells in the first period. The controller obtains the target value of network load balancing, the target value can be obtained based on the operator's policy, or can be set based on the access control threshold of the wireless access point, the present invention is not limited to this; The smoothed average value of the load balance value and the load balance target value is determined as the energy-saving load threshold of each wireless access point, and the energy-saving load threshold is sent to each wireless access point, so that each wireless access point can determine the energy-saving load threshold according to the energy-saving load threshold. The threshold is configured uniformly.
具体地,控制器根据各个小区当前周期的负载均值和网络负载均衡目标值确定节能负载门限,可以根据公式(1)计算该节能负载门限值,公式(1)如下:Specifically, the controller determines the energy-saving load threshold according to the current cycle load average of each cell and the network load balancing target value, and can calculate the energy-saving load threshold according to formula (1), and formula (1) is as follows:
ρthr=αρavg+(1-α)ρtar (1)ρthr = αρavg +(1-α)ρtar (1)
其中,α为平滑系数,例如,可以设为0.5,ρthr为小区的节能负载门限,ρavg为网络负载均衡的目标值。Among them, α is a smoothing coefficient, for example, can be set to 0.5, ρthr is the energy-saving load threshold of the cell, and ρavg is the target value of network load balancing.
可选地,作为本发明一个实施例,获取单元具体用于:获取第一小区在上一周期内的负载信息以及第一小区在当前周期内的负载信息,并根据第一小区在上一周期内的负载信息以及第一小区在当前周期内的负载信息确定第一小区的当前负载变化量;获取网络负载均衡目标值;根据第一小区的负载变化量和负载均衡目标值确定第一小区的节能负载门限。Optionally, as an embodiment of the present invention, the obtaining unit is specifically configured to: obtain the load information of the first cell in the previous cycle and the load information of the first cell in the current cycle, and obtain the load information of the first cell in the previous cycle according to the The load information in the first cell and the load information of the first cell in the current cycle determine the current load variation of the first cell; obtain the network load balancing target value; determine the load variation of the first cell and the load balancing target value. Energy saving load threshold.
具体地,无线接入点可以单独配置第一小区的节能负载门限,具体地,例如单独配置第一小区的节能负载门限时,具体步骤如下:统计第一小区第一周期内负载和负载变化趋势;获取全网负载均衡的目标值,具体获取全网负载均衡的目标值的方式可以为通过网络管理系统获取,或通过控制器获取或查表获取。负载小于全网负载均衡的目标值的无线接入点,根据公式(2)确定节能负载门限值,公式(2)如下:Specifically, the wireless access point can individually configure the energy-saving load threshold of the first cell. Specifically, for example, when the energy-saving load threshold of the first cell is independently configured, the specific steps are as follows: Count the load and load change trend of the first cell in the first period ; Obtain the target value of the entire network load balancing, and the specific method of obtaining the target value of the entire network load balancing can be obtained through the network management system, or obtained through the controller or table lookup. For wireless access points whose load is less than the target value of load balancing in the entire network, the energy-saving load threshold value is determined according to formula (2), and formula (2) is as follows:
ρthr,i=ρtar-ρtarsign(Δρi)Δρtar (2)ρthr,i =ρtar -ρtar sign(Δρi )Δρtar (2)
Δρtar为系统预设的门限,可以设为10%。sign(Δρi)为小区i的负载变化的趋势,当负载变小时,取值为-1,变大时取值为+1,否则取值为0。当小区的负载变小时,节能负载门限在全网负载均衡的目标值之上,幅度为预设门限;反之,节能负载门限在全网负载均衡的目标值之下,幅度为预设门限。Δρtar is a preset threshold of the system, which can be set to 10%. sign(Δρi ) is the trend of the load change of the cell i. When the load becomes smaller, the value is -1; when the load becomes larger, the value is +1; otherwise, the value is 0. When the load of the cell becomes smaller, the energy-saving load threshold is above the target value of network-wide load balancing, and the amplitude is the preset threshold; otherwise, the energy-saving load threshold is below the target value of network-wide load balancing, and the amplitude is the preset threshold.
可选地,作为本发明一个实施例,控制单元包括第二确定单元,该第二确定单元用于:确定小区的当前负载;在第一小区的当前负载小于节能负载门限时,根据第一小区当前的发射功率,确定第一小区的发射功率的降低幅度;控制单元具体用于:根据第一小区的发射功率的降低幅度,执行第一小区的发射功率的降低操作。Optionally, as an embodiment of the present invention, the control unit includes a second determination unit, and the second determination unit is configured to: determine the current load of the cell; when the current load of the first cell is less than the energy-saving load threshold, according to the first cell The current transmission power determines the reduction range of the transmission power of the first cell; the control unit is specifically configured to: perform a reduction operation of the transmission power of the first cell according to the reduction range of the transmission power of the first cell.
具体地,无线接入点可以根据实际情况测量第一小区当前的负载情况,若第一小区的当前负载小于节能负载门限时,则该无线接入点可以根据第一小区的当前发射功率,确定第一小区的发射功率的降低幅度,具体地,可以根据公式(3)确定功率调整的幅度,公式(3)如下所示:Specifically, the wireless access point may measure the current load of the first cell according to the actual situation, and if the current load of the first cell is less than the energy-saving load threshold, the wireless access point may determine the current transmission power of the first cell according to the current transmission power of the first cell. The reduction range of the transmit power of the first cell, specifically, the range of power adjustment can be determined according to formula (3), and formula (3) is as follows:
其中,pn,i为第i个小区当前的发射功率,ρn,i和ρthr,i分别为第i个小区当前的测量负载和节能负载门限。Among them,pn,i is the current transmit power of the i-th cell, and ρn,i and ρthr,i are the current measurement load and energy-saving load threshold of the i-th cell, respectively.
可选地,作为本发明一个实施例,控制单元具体用于:若第一小区当前的发射功率与第一小区的发射功率的降低幅度之差大于功率最低门限值,将第一小区的发射功率更新为第一小区当前的发射功率与降低幅度之差。Optionally, as an embodiment of the present invention, the control unit is specifically configured to: if the difference between the current transmission power of the first cell and the reduction range of the transmission power of the first cell is greater than the minimum power threshold, the transmission of the first cell is The power update is the difference between the current transmit power of the first cell and the reduction range.
应理解,当第一小区的当前发射功率与第一小区的发射功率的降低幅度之和大于功率最低门限值时,才执行第一小区的发射功率的降低操作。It should be understood that the operation of reducing the transmit power of the first cell is performed only when the sum of the current transmit power of the first cell and the reduction range of the transmit power of the first cell is greater than the minimum power threshold value.
具体地,可以根据公式(4)确定调整后的发射功率,公式(4)如下式所示:Specifically, the adjusted transmit power can be determined according to formula (4), and formula (4) is shown in the following formula:
pn+1,i=Δpn+1,i+pn,i (4)pn+1,i =Δpn+1,i +pn,i (4)
本发明实施例提供的方法可以动态调整发射功率,能够适应负载的动态变化,低负载的小区的发射功率降低后,能够降低能耗,同时减小对其它小区或无线接入点的干扰,同时能够降低其它高负载的无线接入点的负载,全网负载趋于均衡。The method provided by the embodiment of the present invention can dynamically adjust the transmission power, and can adapt to the dynamic change of the load. After the transmission power of the low-load cell is reduced, the energy consumption can be reduced, and the interference to other cells or wireless access points can be reduced at the same time. It can reduce the load of other high-load wireless access points, and the load of the whole network tends to be balanced.
可选地,作为本发明一个实施例,上述第一小区的发射功率还包括控制信道的发射功率。Optionally, as an embodiment of the present invention, the transmit power of the first cell further includes the transmit power of the control channel.
具体地,当控制信道和数据信道分开的情况下,仅仅调整数据信道的发射功率不会对控制信道有影响,因此不会改变用户设备与各个小区之间的关联关系;当对于数据信道和控制信道相统一的情况下,例如无线局域网中,调整数据信道的功率同时也是对控制信道的调整,也就是说本发明实施例还用于对控制信道发射功率节能的情况。Specifically, when the control channel and the data channel are separated, only adjusting the transmit power of the data channel will not affect the control channel, so the association between the user equipment and each cell will not be changed; When the channels are unified, for example, in a wireless local area network, adjusting the power of the data channel is also the adjustment of the control channel, that is to say, the embodiment of the present invention is also used to save energy on the transmit power of the control channel.
可选地,作为本发明一个实施例,该无线接入点还包括:第三确定单元,该第三确定单元用于根据第一小区的发射功率的降低幅度,确定第一小区的偏移参数;第二发送单元,第二发送单元用于发送小区的偏移参数,以用于用户设备根据偏移参数进行小区重选操作。Optionally, as an embodiment of the present invention, the wireless access point further includes: a third determination unit, where the third determination unit is configured to determine the offset parameter of the first cell according to the reduction range of the transmit power of the first cell ; a second sending unit, where the second sending unit is used to send the offset parameter of the cell, so that the user equipment can perform the cell reselection operation according to the offset parameter.
具体地,可以根据公式(5)确定第一小区的偏移量,公式(5)如下式所示:Specifically, the offset of the first cell can be determined according to formula (5), and formula (5) is as follows:
Offsetn+1,i=-Δpn+1,i (5)Offsetn+1,i =-Δpn+1,i (5)
其中,Offsetn+1,i为本次调整后的小区偏移量,Δpn+1,i为无线接入点i当前的功率降低幅度。Wherein, Offsetn+1,i is the cell offset after this adjustment, and Δpn+1,i is the current power reduction range of the wireless access point i.
本发明实施例提供的方法可以把小区偏移参数发送给用户设备,以使得用户设备保持同样的用户关联,减少没有必要的切换。The method provided by the embodiment of the present invention can send the cell offset parameter to the user equipment, so that the user equipment maintains the same user association and reduces unnecessary handovers.
可选地,作为本发明一个实施例,当用户设备收到无线接入点发送的小区偏移参数时,需要根据小区偏移参数进行小区重选操作。Optionally, as an embodiment of the present invention, when the user equipment receives the cell offset parameter sent by the wireless access point, it needs to perform a cell reselection operation according to the cell offset parameter.
具体地,用户设备在小区的选择、重选或驻留时,通常选择接收信道强度最大的小区。当服务小区的控制信道功率调整时,在该小区内的用户设备将根据收到的小区偏移参数进行如下的调整,如公式(6)所示:Specifically, during cell selection, reselection, or camping, the user equipment usually selects the cell with the highest received channel strength. When the control channel power of the serving cell is adjusted, the user equipment in the cell will perform the following adjustment according to the received cell offset parameter, as shown in formula (6):
其中,RSRP为参考信号接收强度(英文:Reference Signal Receiving Power,简写:RSRP),也就是说用户设备将选取参考信号接收强度与小区偏移参数的和最大的小区为服务小区。Wherein, RSRP is Reference Signal Receiving Power (English: Reference Signal Receiving Power, abbreviated: RSRP), that is to say, the user equipment will select the cell with the largest sum of the reference signal reception strength and the cell offset parameter as the serving cell.
具体地,用户设备在进行切换决策时,也依赖于接收到的服务小区和邻区的信号的变化,这时也需要在考虑小区偏移参数,本发明不限于此。Specifically, when the user equipment makes a handover decision, it also depends on the received signal changes of the serving cell and the neighboring cell, and the cell offset parameter also needs to be considered at this time, and the present invention is not limited to this.
基于上述技术方案,本发明实施例的无线通信中功率调整的方法和无线接入点,可以根据小区的节能负载门限,调整该小区的发射功率,从而实现各小区的发射功率的分布式控制,有利于降低整个接入网的功率消耗和各个网络设备之间的干扰。Based on the above technical solutions, the method for power adjustment in wireless communication and the wireless access point according to the embodiments of the present invention can adjust the transmit power of the cell according to the energy-saving load threshold of the cell, thereby realizing distributed control of the transmit power of each cell, It is beneficial to reduce the power consumption of the entire access network and the interference between various network devices.
应理解,根据本发明实施例的无线接入点400可对应于执行本发明实施例中的无线通信中调整功率的方法100,并且无线接入点400中的各个单元的上述和其它操作和/或功能分别为了实现图1至图3中的各个方法的相应流程,为了简洁,在此不再赘述。It should be understood that the wireless access point 400 according to the embodiment of the present invention may correspond to performing the
基于上述技术方案,本发明实施例的无线通信中功率调整的方法和无线接入点,可以根据小区的节能负载门限,调整该小区的发射功率,从而实现各小区的发射功率的分布式控制,有利于降低整个接入网的功率消耗和各个网络设备之间的干扰。Based on the above technical solutions, the method for power adjustment in wireless communication and the wireless access point according to the embodiments of the present invention can adjust the transmit power of the cell according to the energy-saving load threshold of the cell, thereby realizing distributed control of the transmit power of each cell, It is beneficial to reduce the power consumption of the entire access network and the interference between various network devices.
如图5所示,本发明实施例还提供了一种无线接入点500,,该设备500包括处理器510、存储器520、总线系统530。其中,处理器510、存储器520和通过总线系统530相连,该存储器520用于存储指令,该处理器510用于执行该存储器520存储的指令。其中,处理器510用于:确定无线接入点控制的第一小区的节能负载门限;根据确定的节能负载门限,控制第一小区的发射功率,该第一小区的发射功率包括数据信道的发射功率。As shown in FIG. 5 , an embodiment of the present invention further provides a wireless access point 500 . The device 500 includes a processor 510 , a memory 520 , and a
基于上述技术方案,本发明实施例的无线通信中功率调整的方法和无线接入点,可以根据小区的节能负载门限,调整该小区的发射功率,从而实现各小区的发射功率的分布式控制,有利于降低整个接入网的功率消耗和各个网络设备之间的干扰。Based on the above technical solutions, the method for power adjustment in wireless communication and the wireless access point according to the embodiments of the present invention can adjust the transmit power of the cell according to the energy-saving load threshold of the cell, thereby realizing distributed control of the transmit power of each cell, It is beneficial to reduce the power consumption of the entire access network and the interference between various network devices.
应理解,在本发明实施例中,该处理器510可以是中央处理单元(CentralProcessing Unit,简称为“CPU”),该处理器510还可以是其他通用处理器、数字信号处理器(DSP)、专用集成电路(ASIC)、现成可编程门阵列(FPGA)或者其他可编程逻辑器件、分立门或者晶体管逻辑器件、分立硬件组件等。通用处理器可以是微处理器或者该处理器也可以是任何常规的处理器等。It should be understood that, in this embodiment of the present invention, the processor 510 may be a central processing unit (Central Processing Unit, “CPU” for short), and the processor 510 may also be other general-purpose processors, digital signal processors (DSPs), Application Specific Integrated Circuits (ASICs), Off-The-Shelf Programmable Gate Arrays (FPGAs) or other programmable logic devices, discrete gate or transistor logic devices, discrete hardware components, etc. A general purpose processor may be a microprocessor or the processor may be any conventional processor or the like.
该存储器520可以包括只读存储器和随机存取存储器,并向处理器510提供指令和数据。存储器520的一部分还可以包括非易失性随机存取存储器。例如,存储器520还可以存储设备类型的信息。The memory 520 , which may include read-only memory and random access memory, provides instructions and data to the processor 510 . A portion of memory 520 may also include non-volatile random access memory. For example, memory 520 may also store device type information.
该总线系统530除包括数据总线之外,还可以包括电源总线、控制总线和状态信号总线等。但是为了清楚说明起见,在图中将各种总线都标为总线系统530。In addition to the data bus, the
在实现过程中,上述方法的各步骤可以通过处理器510中的硬件的集成逻辑电路或者软件形式的指令完成。结合本发明实施例所公开的方法的步骤可以直接体现为硬件处理器执行完成,或者用处理器中的硬件及软件模块组合执行完成。软件模块可以位于随机存储器,闪存、只读存储器,可编程只读存储器或者电可擦写可编程存储器、寄存器等本领域成熟的存储介质中。该存储介质位于存储器520,处理器510读取存储器520中的信息,结合其硬件完成上述方法的步骤。为避免重复,这里不再详细描述。In the implementation process, each step of the above-mentioned method may be completed by a hardware integrated logic circuit in the processor 510 or an instruction in the form of software. The steps of the method disclosed in conjunction with the embodiments of the present invention may be directly embodied as executed by a hardware processor, or executed by a combination of hardware and software modules in the processor. The software modules may be located in random access memory, flash memory, read-only memory, programmable read-only memory or electrically erasable programmable memory, registers and other storage media mature in the art. The storage medium is located in the memory 520, and the processor 510 reads the information in the memory 520, and completes the steps of the above method in combination with its hardware. To avoid repetition, detailed description is omitted here.
可选地,作为本发明一个实施例,处理器510可以调用存储器520中存储的程序代码执行以下操作:获取第一小区在当前周期内的负载信息;根据第一小区在当前周期内的负载信息获取第一小区在下一周期内的节能负载门限。Optionally, as an embodiment of the present invention, the processor 510 may call the program code stored in the memory 520 to perform the following operations: obtain the load information of the first cell in the current cycle; according to the load information of the first cell in the current cycle Obtain the energy-saving load threshold of the first cell in the next cycle.
可选地,作为本发明一个实施例,处理器510可以调用存储器520中存储的程序代码执行以下操作:获取第二小区在当前周期内的负载信息,并确定第一小区和第二小区在当前周期的负载均值;获取网络负载均衡目标值;根据当前周期的负载均值和网络负载均衡目标值确定第一小区的节能负载门限。Optionally, as an embodiment of the present invention, the processor 510 may invoke the program code stored in the memory 520 to perform the following operations: acquire the load information of the second cell in the current cycle, and determine whether the first cell and the second cell are currently Periodic load average value; obtain network load balancing target value; determine the energy-saving load threshold of the first cell according to the current cycle load average value and network load balancing target value.
可选地,作为本发明一个实施例,该设备500还包括:发射器540,该发射器540用于向控制器上报第一小区在当前周期内的负载信息,该负载信息用于控制器根据第一小区在当前周期的负载信息确定第一小区在下一周期内的节能负载门限;接收器550,该接收器550用于接收控制器发送的第一小区在下一周期内的节能负载门限。Optionally, as an embodiment of the present invention, the device 500 further includes: a transmitter 540, where the transmitter 540 is configured to report the load information of the first cell in the current cycle to the controller, and the load information is used by the controller according to the The load information of the first cell in the current cycle determines the energy-saving load threshold of the first cell in the next cycle; the receiver 550 is configured to receive the energy-saving load threshold of the first cell in the next cycle sent by the controller.
可选地,作为本发明一个实施例,处理器510可以调用存储器520中存储的程序代码执行以下操作:获取第一小区在上一周期内的负载信息以及第一小区在当前周期内的负载信息,并根据第一小区在上一周期内的负载信息以及第一小区在当前周期内的负载信息确定第一小区的当前负载变化量;获取网络负载均衡目标值;根据第一小区的负载变化量和负载均衡目标值确定第一小区的节能负载门限。Optionally, as an embodiment of the present invention, the processor 510 may call the program code stored in the memory 520 to perform the following operations: acquire the load information of the first cell in the previous cycle and the load information of the first cell in the current cycle , and determine the current load variation of the first cell according to the load information of the first cell in the previous period and the load information of the first cell in the current period; obtain the target value of network load balancing; according to the load variation of the first cell and the load balancing target value to determine the energy saving load threshold of the first cell.
可选地,作为本发明一个实施例,处理器510可以调用存储器520中存储的程序代码执行以下操作:确定第一小区的当前负载;在第一小区的当前负载小区小于节能负载门限时,根据第一小区当前的发射功率,确定第一小区的发射功率的降低幅度;根据第一小区的发射功率的降低幅度,执行第一小区的发射功率的降低操作。Optionally, as an embodiment of the present invention, the processor 510 may call the program code stored in the memory 520 to perform the following operations: determine the current load of the first cell; when the current load of the first cell is less than the energy-saving load threshold, according to The current transmit power of the first cell is used to determine the reduction range of the transmit power of the first cell; and the reduction operation of the transmit power of the first cell is performed according to the reduction range of the transmit power of the first cell.
可选地,作为本发明一个实施例,处理器510可以调用存储器520中存储的程序代码执行以下操作:若第一小区当前的发射功率与第一小区的发射功率的降低幅度之差大于功率最低门限值,将第一小区的发射功率更新为第一小区当前的发射功率与所述降低幅度之差。Optionally, as an embodiment of the present invention, the processor 510 may call the program code stored in the memory 520 to perform the following operations: if the difference between the current transmit power of the first cell and the reduction range of the transmit power of the first cell is greater than the lowest power The threshold value is used to update the transmit power of the first cell to the difference between the current transmit power of the first cell and the reduction range.
可选地,作为本发明一个实施例,第一小区的发射功率包括控制信道的发射功率。Optionally, as an embodiment of the present invention, the transmit power of the first cell includes the transmit power of the control channel.
可选地,作为本发明一个实施例,处理器510可以调用存储器520中存储的程序代码执行以下操作根据第一小区的发射功率的降低幅度,确定第一小区的偏移参数;该发射器540用于发送第一小区的偏移参数,以用于用户设备根据该偏移参数进行小区重选操作。Optionally, as an embodiment of the present invention, the processor 510 may call the program code stored in the memory 520 to perform the following operations to determine the offset parameter of the first cell according to the reduction range of the transmit power of the first cell; the transmitter 540 It is used for sending the offset parameter of the first cell, so that the user equipment can perform a cell reselection operation according to the offset parameter.
基于上述技术方案,本发明实施例的无线通信中功率调整的方法和无线接入点,可以根据小区的节能负载门限,调整该小区的发射功率,从而实现各小区的发射功率的分布式控制,有利于降低整个接入网的功率消耗和各个网络设备之间的干扰。Based on the above technical solutions, the method for power adjustment in wireless communication and the wireless access point according to the embodiments of the present invention can adjust the transmit power of the cell according to the energy-saving load threshold of the cell, thereby realizing distributed control of the transmit power of each cell, It is beneficial to reduce the power consumption of the entire access network and the interference between various network devices.
应理解,根据本发明实施例的无线接入点500可对应于本发明实施例中的无线接入点200,并可以对应于执行根据本发明实施例的方法100中的相应主体,并且无线接入点500中的各个模块的上述和其它操作和/或功能分别为了实现图1至图4中的各个方法的相应流程,为了简洁,在此不再赘述。It should be understood that the wireless access point 500 according to the embodiment of the present invention may correspond to the
基于上述技术方案,本发明实施例的无线通信中功率调整的方法和无线接入点,可以根据小区的节能负载门限,调整该小区的发射功率,从而实现各小区的发射功率的分布式控制,有利于降低整个接入网的功率消耗和各个网络设备之间的干扰。Based on the above technical solutions, the method for power adjustment in wireless communication and the wireless access point according to the embodiments of the present invention can adjust the transmit power of the cell according to the energy-saving load threshold of the cell, thereby realizing distributed control of the transmit power of each cell, It is beneficial to reduce the power consumption of the entire access network and the interference between various network devices.
本领域普通技术人员可以意识到,结合本文中所公开的实施例描述的各示例的单元及算法步骤,能够以电子硬件、或者计算机软件和电子硬件的结合来实现。这些功能究竟以硬件还是软件方式来执行,取决于技术方案的特定应用和设计约束条件。专业技术人员可以对每个特定的应用来使用不同方法来实现所描述的功能,但是这种实现不应认为超出本发明的范围。Those of ordinary skill in the art can realize that the units and algorithm steps of each example described in conjunction with the embodiments disclosed herein can be implemented in electronic hardware, or a combination of computer software and electronic hardware. Whether these functions are performed in hardware or software depends on the specific application and design constraints of the technical solution. Skilled artisans may implement the described functionality using different methods for each particular application, but such implementations should not be considered beyond the scope of the present invention.
所属领域的技术人员可以清楚地了解到,为描述的方便和简洁,上述描述的系统、装置和单元的具体工作过程,可以参考前述方法实施例中的对应过程,在此不再赘述。Those skilled in the art can clearly understand that, for the convenience and brevity of description, the specific working process of the above-described systems, devices and units may refer to the corresponding processes in the foregoing method embodiments, which will not be repeated here.
在本申请所提供的几个实施例中,应该理解到,所揭露的系统、装置和方法,可以通过其它的方式实现。例如,以上所描述的装置实施例仅仅是示意性的,例如,所述单元的划分,仅仅为一种逻辑功能划分,实际实现时可以有另外的划分方式,例如多个单元或组件可以结合或者可以集成到另一个系统,或一些特征可以忽略,或不执行。另一点,所显示或讨论的相互之间的耦合或直接耦合或通信连接可以是通过一些接口,装置或单元的间接耦合或通信连接,可以是电性,机械或其它的形式。In the several embodiments provided in this application, it should be understood that the disclosed system, apparatus and method may be implemented in other manners. For example, the apparatus embodiments described above are only illustrative. For example, the division of the units is only a logical function division. In actual implementation, there may be other division methods. For example, multiple units or components may be combined or Can be integrated into another system, or some features can be ignored, or not implemented. On the other hand, the shown or discussed mutual coupling or direct coupling or communication connection may be through some interfaces, indirect coupling or communication connection of devices or units, and may be in electrical, mechanical or other forms.
所述作为分离部件说明的单元可以是或者也可以不是物理上分开的,作为单元显示的部件可以是或者也可以不是物理单元,即可以位于一个地方,或者也可以分布到多个网络单元上。可以根据实际的需要选择其中的部分或者全部单元来实现本实施例方案的目的。The units described as separate components may or may not be physically separated, and components displayed as units may or may not be physical units, that is, may be located in one place, or may be distributed to multiple network units. Some or all of the units may be selected according to actual needs to achieve the purpose of the solution in this embodiment.
另外,在本发明各个实施例中的各功能单元可以集成在一个处理单元中,也可以是各个单元单独物理存在,也可以两个或两个以上单元集成在一个单元中。In addition, each functional unit in each embodiment of the present invention may be integrated into one processing unit, or each unit may exist physically alone, or two or more units may be integrated into one unit.
所述功能如果以软件功能单元的形式实现并作为独立的产品销售或使用时,可以存储在一个计算机可读取存储介质中。基于这样的理解,本发明的技术方案本质上或者说对现有技术做出贡献的部分或者该技术方案的部分可以以软件产品的形式体现出来,该计算机软件产品存储在一个存储介质中,包括若干指令用以使得一台计算机设备(可以是个人计算机,服务器,或者网络设备等)执行本发明各个实施例所述方法的全部或部分步骤。而前述的存储介质包括:U盘、移动硬盘、只读存储器(ROM,Read-Only Memory)、随机存取存储器(RAM,Random Access Memory)、磁碟或者光盘等各种可以存储程序代码的介质。The functions, if implemented in the form of software functional units and sold or used as independent products, may be stored in a computer-readable storage medium. Based on this understanding, the technical solution of the present invention can be embodied in the form of a software product in essence, or the part that contributes to the prior art or the part of the technical solution. The computer software product is stored in a storage medium, including Several instructions are used to cause a computer device (which may be a personal computer, a server, or a network device, etc.) to execute all or part of the steps of the methods described in the various embodiments of the present invention. The aforementioned storage medium includes: U disk, mobile hard disk, Read-Only Memory (ROM, Read-Only Memory), Random Access Memory (RAM, Random Access Memory), magnetic disk or optical disk and other media that can store program codes .
以上所述,仅为本发明的具体实施方式,但本发明的保护范围并不局限于此,任何熟悉本技术领域的技术人员在本发明揭露的技术范围内,可轻易想到变化或替换,都应涵盖在本发明的保护范围之内。因此,本发明的保护范围应所述以权利要求的保护范围为准。The above are only specific embodiments of the present invention, but the protection scope of the present invention is not limited to this. Any person skilled in the art can easily think of changes or substitutions within the technical scope disclosed by the present invention. should be included within the protection scope of the present invention. Therefore, the protection scope of the present invention should be based on the protection scope of the claims.
| Application Number | Priority Date | Filing Date | Title |
|---|---|---|---|
| PCT/CN2015/076915WO2016165141A1 (en) | 2015-04-17 | 2015-04-17 | Method for adjusting power in wireless communication and wireless access point |
| Publication Number | Publication Date |
|---|---|
| CN107925961A CN107925961A (en) | 2018-04-17 |
| CN107925961Btrue CN107925961B (en) | 2020-09-29 |
| Application Number | Title | Priority Date | Filing Date |
|---|---|---|---|
| CN201580078900.0AActiveCN107925961B (en) | 2015-04-17 | 2015-04-17 | Method and wireless access point for adjusting power in wireless communication |
| Country | Link |
|---|---|
| CN (1) | CN107925961B (en) |
| WO (1) | WO2016165141A1 (en) |
| Publication number | Priority date | Publication date | Assignee | Title |
|---|---|---|---|---|
| CN112153654B (en)* | 2019-06-26 | 2022-03-25 | 大唐移动通信设备有限公司 | Method and device for controlling resources of cell |
| CN114980282B (en)* | 2021-02-24 | 2024-04-09 | 上海华为技术有限公司 | Power adjustment method and network management server |
| CN117528725A (en)* | 2022-07-30 | 2024-02-06 | 上海华为技术有限公司 | Energy saving method and related device |
| CN120224358A (en)* | 2025-05-26 | 2025-06-27 | 北京大学 | Method and device for managing transmission power of wireless access point |
| Publication number | Priority date | Publication date | Assignee | Title |
|---|---|---|---|---|
| CN1863403A (en)* | 2006-03-29 | 2006-11-15 | 华为技术有限公司 | Load controlling method |
| CN102656927A (en)* | 2009-12-18 | 2012-09-05 | 高通股份有限公司 | Transmission power control in multi-hop networks |
| CN103068019A (en)* | 2013-01-08 | 2013-04-24 | 杭州华三通信技术有限公司 | Energy-saving method and energy-saving device of wireless local area network |
| CN104023357A (en)* | 2014-05-06 | 2014-09-03 | 京信通信系统(中国)有限公司 | Load balancing method of concentrated-type wireless local area network and access controller |
| Publication number | Priority date | Publication date | Assignee | Title |
|---|---|---|---|---|
| US20050152320A1 (en)* | 2004-01-08 | 2005-07-14 | Interdigital Technology Corporation | Wireless communication method and apparatus for balancing the loads of access points by controlling access point transmission power levels |
| US8023444B2 (en)* | 2008-07-03 | 2011-09-20 | Cisco Technology, Inc. | Multiple density configurations and algorithms for intelligent power savings infrastructure in wireless LANs |
| CN101925167A (en)* | 2009-06-09 | 2010-12-22 | 中兴通讯股份有限公司 | Power control method and device of wireless local area network access point device |
| US8611268B1 (en)* | 2011-04-15 | 2013-12-17 | Qualcomm Incorporated | Access point power save mechanism for wireless communication systems |
| CN103517389B (en)* | 2013-10-24 | 2016-08-24 | 北京交通大学 | A kind of wlan device self-adapting energy-saving method thereof |
| Publication number | Priority date | Publication date | Assignee | Title |
|---|---|---|---|---|
| CN1863403A (en)* | 2006-03-29 | 2006-11-15 | 华为技术有限公司 | Load controlling method |
| CN102656927A (en)* | 2009-12-18 | 2012-09-05 | 高通股份有限公司 | Transmission power control in multi-hop networks |
| CN103068019A (en)* | 2013-01-08 | 2013-04-24 | 杭州华三通信技术有限公司 | Energy-saving method and energy-saving device of wireless local area network |
| CN104023357A (en)* | 2014-05-06 | 2014-09-03 | 京信通信系统(中国)有限公司 | Load balancing method of concentrated-type wireless local area network and access controller |
| Publication number | Publication date |
|---|---|
| WO2016165141A1 (en) | 2016-10-20 |
| CN107925961A (en) | 2018-04-17 |
| Publication | Publication Date | Title |
|---|---|---|
| US10979960B2 (en) | Communication method, network device, and terminal device supporting multimode communication links | |
| US11751236B2 (en) | BWP allocation method and apparatus | |
| CN110381553B (en) | Communication method, communication device and computer readable storage medium | |
| CN113473555B (en) | Measuring method and device | |
| US9319982B2 (en) | Method, terminal device, network-side device, and communications system for managing power supply | |
| CN104244392B (en) | D2D transmission is avoided to cause method, base station and the user equipment of uplink interference | |
| CN110915252B (en) | Pilot frequency cell measurement method, device, chip and storage medium | |
| US20150304889A1 (en) | Load balancing method and network control node | |
| CN111181577B (en) | A multi-standard network control method and network management device | |
| US9912453B2 (en) | Interference control between different radio communication systems involving user equipments | |
| KR20160088906A (en) | Systems and methods for dynamically adjusting roaimng parameters | |
| US10383048B2 (en) | Cell selection method in wireless network, base station, and user equipment | |
| US11089498B2 (en) | Measurement parameter sending method and apparatus | |
| US20160242090A1 (en) | Service handover method, network device and user equipment | |
| CN111713131B (en) | Method, device and system for measuring mobility | |
| CN107925961B (en) | Method and wireless access point for adjusting power in wireless communication | |
| WO2018126448A1 (en) | Dynamic time-division-duplex-based transmission device and method, and communication system | |
| CN107872819B (en) | Resource management instruction method and device | |
| CN104170437A (en) | Frequency point measuring control method, base station, and user equipment | |
| CN106233782B (en) | Soft-switch proportion control device and method | |
| CN109982395B (en) | A method and device for configuring switching parameters | |
| CN108271222B (en) | Method and device for determining cut-in threshold | |
| CN114928859A (en) | Measuring method and device, and terminal equipment | |
| WO2017196212A1 (en) | Network node and method for ue specific power handling | |
| US20180284864A1 (en) | Dynamic clock and voltage scaling of cpu subsystem based on wi-fi communications |
| Date | Code | Title | Description |
|---|---|---|---|
| PB01 | Publication | ||
| PB01 | Publication | ||
| SE01 | Entry into force of request for substantive examination | ||
| SE01 | Entry into force of request for substantive examination | ||
| GR01 | Patent grant | ||
| GR01 | Patent grant |