Movatterモバイル変換


[0]ホーム

URL:


CN107864494B - A transmission method, reception method, base station and terminal of a synchronization reference signal - Google Patents

A transmission method, reception method, base station and terminal of a synchronization reference signal
Download PDF

Info

Publication number
CN107864494B
CN107864494BCN201610842888.2ACN201610842888ACN107864494BCN 107864494 BCN107864494 BCN 107864494BCN 201610842888 ACN201610842888 ACN 201610842888ACN 107864494 BCN107864494 BCN 107864494B
Authority
CN
China
Prior art keywords
reference signal
base station
frequency
cell
synchronization
Prior art date
Legal status (The legal status is an assumption and is not a legal conclusion. Google has not performed a legal analysis and makes no representation as to the accuracy of the status listed.)
Active
Application number
CN201610842888.2A
Other languages
Chinese (zh)
Other versions
CN107864494A (en
Inventor
柯颋
侯雪颖
胡丽洁
刘建军
郑毅
Current Assignee (The listed assignees may be inaccurate. Google has not performed a legal analysis and makes no representation or warranty as to the accuracy of the list.)
China Mobile Communications Group Co Ltd
Research Institute of China Mobile Communication Co Ltd
Original Assignee
Research Institute of China Mobile Communication Co Ltd
China Mobile Communications Corp
Priority date (The priority date is an assumption and is not a legal conclusion. Google has not performed a legal analysis and makes no representation as to the accuracy of the date listed.)
Filing date
Publication date
Application filed by Research Institute of China Mobile Communication Co Ltd, China Mobile Communications CorpfiledCriticalResearch Institute of China Mobile Communication Co Ltd
Priority to CN201610842888.2ApriorityCriticalpatent/CN107864494B/en
Publication of CN107864494ApublicationCriticalpatent/CN107864494A/en
Application grantedgrantedCritical
Publication of CN107864494BpublicationCriticalpatent/CN107864494B/en
Activelegal-statusCriticalCurrent
Anticipated expirationlegal-statusCritical

Links

Images

Classifications

Landscapes

Abstract

The invention provides a sending method, a receiving method, a base station and a terminal of a synchronous reference signal, based on the synchronous reference signals of a plurality of groups of time-frequency patterns, the interference of adjacent cells on the synchronous reference signal sent by the cell can be effectively reduced by staggering the frequency domain position of the synchronous reference signal sent by the adjacent base station and matching with the processing of power boosting, data silencing and the like, and the cell ID identification and cell discovery capability of the terminal on the cell under a UDN scene are ensured.

Description

Sending method and receiving method of synchronous reference signal, base station and terminal
Technical Field
The present invention relates to the field of mobile communication technologies, and in particular, to a sending method, a receiving method, a base station, and a terminal for a synchronization reference signal.
Background
In an existing Long Term Evolution (LTE) system, a base station (eNB) periodically transmits a Synchronization reference Signal including a Primary Synchronization Signal (PSS) and a Secondary Synchronization Signal (SSS). The terminal (UE) can establish a rough downlink time-frequency synchronization relationship by monitoring the PSS and the SSS sent by the base station, identify the cell ID, obtain the radio frame timing and identify the TDD/FDD working mode.
In particular, the frequency domain structure of PSS and SSS signals is as shown in fig. 1, and regardless of the system bandwidth, the PSS and SSS always occupy 6 Resource Blocks (RBs), i.e. 1.08MHz bandwidth, where 62-point synchronization sequences are mapped onto 62 subcarriers (not including DC subcarrier) in the center of the system, and there are 5 idle subcarriers on the left and right, respectively, for providing interference protection.
The time domain structure of the PSS and SSS signals is related to the duplex mode of the system, as shown in fig. 2, for FDD mode, PSS signals are mapped to the last OFDM symbol ofslot 0 andslot 10, and SSS is mapped to the previous OFDM symbol of PSS. For TDD mode, the PSS signal is mapped to the third OFDM symbol (DwPTS portion of the special subframe) ofslot 2 and slot 12, and the SSS signal is mapped to the last OFDM symbol ofslot 1 and slot 11, as shown in fig. 3. I.e. SSS is mapped to the 3 rd symbol position ahead of PSS.
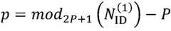
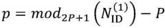
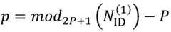
504 cell IDs are defined in LTE
Figure BDA0001118823820000011
Each cell ID corresponds to a specific downlink reference signal sequence and is divided into 168 cell ID groups
Figure BDA0001118823820000012
Each group contains 3 cell IDs
Figure BDA0001118823820000013
The mathematical relation is as follows:
Figure BDA0001118823820000014
wherein
Figure BDA0001118823820000015
The value range is 0-167, which represents the ID group number of the physical layer cell,
Figure BDA0001118823820000016
and the value range is 0-2, and the ID number in each physical cell ID group is represented.
In particular, the PSS signal may take 3 different sequences, specifically which sequence is taken with
Figure BDA0001118823820000021
In this regard, 3 cell IDs in each cell ID group correspond to different PSS sequences. The SSS signal may take 504 sequences in each slot (slot), specifically which sequence is associated with
Figure BDA0001118823820000022
It is related. Therefore, when the UE captures the PSS and SSS signals in sequence, the cell ID can be analyzed
Figure BDA0001118823820000023
It is used.
In the existing LTE technology, when the PSS and SSS are concentrated in the central 6 Physical Resource Blocks (PRBs) of the system bandwidth, the following considerations may be considered:
1) the existing LTE system uses different system bandwidths, 1.4MHz (corresponding to 6 PRBs), 3MHz (corresponding to 15 PRBs), 5MHz (corresponding to 25 PRBs), 10MHz (corresponding to 50 PRBs), 15MHz (corresponding to 75 PRBs), and 20MHz (corresponding to 100 PRBs), respectively. The UE may not know how large the system bandwidth is specifically before acquiring PSS/SSS signals. If different system bandwidths use different PSS/SSS signal frequency domain locations, the UE will use different PSS/SSS signal acquisition procedures for the different system bandwidths, which will greatly increase the UE processing complexity;
2) since the PSS and SSS signals use the same frequency domain location and are closer in time domain, in some applications, the channel correlation of the PSS and SSS is higher and the difference is smaller. At this time, the UE may use the PSS signal for channel estimation and use the estimated channel to assist SSS signal detection, so as to improve the detection capability of SSS signal.
In addition, in the existing LTE technology, the problem of PSS/SSS signal detection capability is not generally considered too much. On one hand, the interference between stations is not too strong after the small stations are fully planned during deployment; on the other hand, the PSS/SSS signal is repeatedly transmitted at a smaller periodic interval (5ms or 10ms), and the UE may combine the PSS/SSS signal energy received at multiple periods to improve the detection capability of the PSS/SSS signal.
Aiming at high-capacity deployment scenes of some hot spot areas, the 5G technology provides 1Gbps user experience rate, dozens of Gbps peak rate and dozens of Tbps/km2The above-mentioned traffic density requirements cannot be effectively satisfied by only improving the spectral efficiency. Therefore, 5G technology researches Ultra-Dense networking (UDN) scenes and technology, and improves user throughput and regional throughput (bps/km) by increasing small station density in unit area to perform Ultra-Dense networking2) To meet 5G system capacity requirements.
In UDN scenarios and technologies, a plurality of small stations are included in a unit area, and the phenomenon of mutual signal interference between small stations may become very serious.
In particular, in the UDN scenario, it is often required to implement a time-frequency synchronization function between adjacent cells, so as to reduce mutual Interference of signals transmitted between adjacent cells by using some Inter-Cell Interference Coordination (ICIC), Coordinated Multi-Point Transmission (CoMP), and suppression techniques, for example.
However, in UDN scenarios, while maintaining time-frequency synchronization between adjacent small stations, if the existing PSS/SSS signal design continues to be used, i.e. the PSS and SSS are still concentrated in the central 6 PRBs of the system bandwidth, then multiple small stations will transmit PSS/SSS signals on the same time-frequency resources. The SSS signals transmitted by different small stations interfere with each other, so that the Signal to Interference plus Noise Ratio (SINR) of the SSS signals received by the UE is poor, and the cell ID cannot be correctly resolved.
In existing LTE network deployments, PSS/SSS signals are repeatedly transmitted with small periodic intervals (5ms or 10 ms). When there is inter-station interference, the UE may combine the PSS/SSS signal energy received in multiple periods to improve the detection capability of the PSS/SSS signal. However, in the UDN scenario, some small stations may turn On/Off function, i.e. will enter Off state when the small station is not transmitting traffic. When the small station is in the Off state, it will not transmit any Signal including the PSS/SSS Signal except for periodically transmitting the cell Discovery Reference Signal (DRS). The DRS signal transmission period is {40ms,80ms,160ms, … }, the DRS signal duration is 1-5 subframes, and the DRS signal contains a PSS/SSS signal. When the small station is in the Off state, the UE acquires rough time-frequency synchronization by capturing a PSS/SSS signal in a DRS signal and analyzes the cell ID of the Off small station from the rough time-frequency synchronization. Obviously, for Off small stations, the transmission density of the PSS/SSS signals is low, and it is difficult for the UE to effectively improve the detection capability of the PSS/SSS signals by accumulating the PSS/SSS signals of multiple periods for a long time.
Therefore, in the UDN scenario, the PSS/SSS signals sent by neighboring cells use the same time-frequency resource location, which may cause a severe mutual interference phenomenon, so that the UE cannot correctly receive the PSS/SSS signals, and further cannot correctly resolve the cell ID.
In order to solve the above problems, in the prior art, for example, by combining the PSS/SSS signal energies of multiple periods to improve the detection capability of the PSS/SSS signal, the PSS/SSS signal may not work normally in the UDN scenario. Therefore, a solution is needed to effectively reduce interference of a neighboring cell to a synchronization reference signal sent by the cell, and ensure cell ID identification and cell discovery capability of the cell in a UDN scenario.
Disclosure of Invention
The technical problem to be solved in the embodiments of the present invention is to provide a sending method, a receiving method, a base station, and a terminal for a synchronization reference signal, so as to effectively reduce interference of a neighboring cell on the synchronization reference signal sent by the local cell, and ensure cell ID identification and cell discovery capability of the local cell in a UDN scenario.
To solve the foregoing technical problem, a method for sending a synchronization reference signal according to an embodiment of the present invention includes:
the base station selects a group of synchronous reference signal time frequency patterns from a plurality of groups of pre-configured synchronous reference signal time frequency patterns to obtain a first synchronous reference signal time frequency pattern;
and the base station transmits the first synchronous reference signal by utilizing the first synchronous reference signal time frequency pattern.
According to another aspect of the embodiments of the present invention, there is also provided a method for receiving a synchronization reference signal, including:
and the terminal performs blind detection on the first synchronous reference signal on more than two groups of synchronous reference signal time-frequency patterns according to a preset rule.
According to still another aspect of the embodiments of the present invention, there is provided a base station, including:
the device comprises a selection unit, a first synchronization reference signal time frequency pattern generation unit and a second synchronization reference signal time frequency pattern generation unit, wherein the selection unit is used for selecting a group of synchronization reference signal time frequency patterns from a plurality of groups of pre-configured synchronization reference signal time frequency patterns to obtain a first synchronization reference signal time frequency pattern;
and the sending unit is used for sending the first synchronous reference signal by utilizing the first synchronous reference signal time frequency pattern.
According to still another aspect of the embodiments of the present invention, there is provided a terminal, including:
and the blind detection unit is used for performing blind detection on the first synchronous reference signal on more than two groups of synchronous reference signal time-frequency patterns according to a preset rule.
Compared with the prior art, the sending method, the receiving method, the base station and the terminal for the synchronous reference signals provided by the embodiment of the invention have the advantages that based on the synchronous reference signals of a plurality of groups of time-frequency patterns, the interference of adjacent cells on the synchronous reference signals sent by the cell can be effectively reduced by staggering the frequency domain positions of the synchronous reference signals sent by the adjacent base stations and matching with the processing of power boosting, data silencing and the like, and the cell ID identification and cell discovery capability of the terminal on the cell in a UDN scene are ensured.
Drawings
Figure 1 is a schematic diagram of the frequency domain structure of prior art PSS and SSS signals;
fig. 2 is a schematic diagram of the time domain structure of PSS and SSS signals in a prior art FDD mode;
FIG. 3 is a schematic diagram of the time domain structure of the PSS and SSS signals in the prior art TDD mode;
fig. 4 is an example of a time-frequency structure of PSS and SSS signals in an embodiment of the present invention;
fig. 5 is a flowchart illustrating a method for sending a synchronization reference signal according to an embodiment of the present invention;
fig. 6 is a schematic structural diagram of a base station according to an embodiment of the present invention;
fig. 7 is a schematic structural diagram of a terminal according to an embodiment of the present invention.
Detailed Description
In order to make the technical problems, technical solutions and advantages of the present invention more apparent, the following detailed description is given with reference to the accompanying drawings and specific embodiments. In the following description, specific details such as specific configurations and components are provided only to help the full understanding of the embodiments of the present invention. Thus, it will be apparent to those skilled in the art that various changes and modifications may be made to the embodiments described herein without departing from the scope and spirit of the invention. In addition, descriptions of well-known functions and constructions are omitted for clarity and conciseness.
It should be appreciated that reference throughout this specification to "one embodiment" or "an embodiment" means that a particular feature, structure or characteristic described in connection with the embodiment is included in at least one embodiment of the present invention. Thus, the appearances of the phrases "in one embodiment" or "in an embodiment" in various places throughout this specification are not necessarily all referring to the same embodiment. Furthermore, the particular features, structures, or characteristics may be combined in any suitable manner in one or more embodiments.
In various embodiments of the present invention, it should be understood that the sequence numbers of the following processes do not mean the execution sequence, and the execution sequence of each process should be determined by its function and inherent logic, and should not constitute any limitation to the implementation process of the embodiments of the present invention.
In addition, the terms "system" and "network" are often used interchangeably herein.
It should be understood that the term "and/or" herein is merely one type of association relationship that describes an associated object, meaning that three relationships may exist, e.g., a and/or B may mean: a exists alone, A and B exist simultaneously, and B exists alone. In addition, the character "/" herein generally indicates that the former and latter related objects are in an "or" relationship.
In the embodiments provided herein, it should be understood that "B corresponding to a" means that B is associated with a from which B can be determined. It should also be understood that determining B from a does not mean determining B from a alone, but may be determined from a and/or other information.
In the embodiment of the present invention, the Base Station may be a Macro Base Station (Macro Base Station), a micro Base Station (Pico Base Station), a Node B (3G mobile Station), an enhanced Base Station (eNB), a Home enhanced Base Station (Femto eNB or Home eNode B or Home eNB or HeNB), a relay Station, an access point, an RRU (Remote Radio Unit), an RRH (Remote Radio Head), and the like. The terminal may be a mobile phone (or handset), or other device capable of sending or receiving wireless signals, including a User Equipment (UE), a Personal Digital Assistant (PDA), a wireless modem, a wireless communicator, a handheld device, a laptop computer, a cordless phone, a Wireless Local Loop (WLL) station, a CPE (Customer Premise Equipment) or mobile smart hotspot capable of converting mobile signals to WiFi signals, a smart appliance, or other device capable of autonomously communicating with a mobile communication network without human operation, etc. The base station in the following embodiment will be described by taking the small stations in the 5G technology as an example, and it should be noted that the solution of the present invention is not limited to be applied to these small stations.
In 5G technology, a larger system bandwidth is typically used, such as a minimum system bandwidth of 10MHz or 20 MHz. In this case, it is not necessary to limit the PSS/SSS signals to the central 6 PRBs of the system bandwidth for the purpose of generality. As shown in fig. 4, the embodiment of the present invention allows different small stations to use different SSS frequency domain resource locations, and the SSS frequency domain resources of small station 1(cell ID1), small station 2(cell ID2), and small station 3(cell ID3) shown in fig. 4 are different, so that SSS signals of multiple small stations may be staggered from each other, and therefore, it is expected to reduce interference between SSS signal pairs of adjacent small stations.
When the SSS signals are staggered, the neighboring cell may transmit data on the time-frequency resource where the local cell transmits the SSS signal, and the downlink data transmitted by the neighboring cell may also interfere with reception of the SSS signal by the local cell. In order to reduce interference of downlink data sent by an adjacent cell to the SSS signal of the cell, the embodiments of the present invention may increase the transmit power of the SSS signal of the cell, or decrease the transmit power of the downlink data of the adjacent cell, so as to effectively increase the received SINR of the SSS signal of the cell.
An embodiment of the present invention provides a method for sending a synchronization reference signal, which is applied to a base station side, and as shown in fig. 5, the method includes:
step 51, the base station selects a group of synchronous reference signal time frequency patterns from a plurality of groups of pre-configured synchronous reference signal time frequency patterns to obtain a first synchronous reference signal time frequency pattern.
And step 52, the base station sends the first synchronization reference signal by using the first synchronization reference signal time frequency pattern.
The synchronization reference signal in the prior art only includes one time frequency pattern, but the embodiment of the present invention pre-configures a plurality of groups of time frequency patterns for the synchronization reference signal in the above steps, and the base station selects one group of time frequency patterns to transmit the synchronization reference signal.
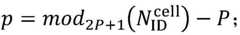
Specifically, the multiple groups of synchronization reference signal time frequency patterns of the embodiments of the present invention may be obtained by mapping the same synchronization reference signal sequence, wherein the frequency domain offset parameter (v) of each group of synchronization reference signal time frequency patternsshift) Different from each other, the frequency domain resource position of each group of synchronous reference signal time frequency pattern is according to the frequency domain offset parameter (v) of each group of synchronous reference signal time frequency patternshift) And (4) mapping. Instep 51, the base station may determine a first frequency domain offset parameter corresponding to the cell ID of the base station according to a mapping relationship between the frequency domain offset parameter and the cell ID established in advance; and then, determining the frequency domain resource position of the first synchronous reference signal time frequency pattern according to the first frequency domain offset parameter to obtain the first synchronous reference signal time frequency pattern.
For example, 2P +1 group synchronization reference signal time-frequency diagram is designed in advanceSample, v of each patternshiftFrom a certain predetermined set of integers fp}p=-P,-P+1,…,-1,0,1,…,PA middle value, wherein fpIs an integer and represents a mapping function of the variable p. Optionally, let fppK, where K is some predetermined positive integer.
When determining the first frequency domain offset parameter corresponding to the cell ID of the base station according to the mapping relationship between the preset frequency domain offset parameter and the cell ID, v may be established as followsshiftMapping relation with cell ID:
for example, let vshift=fpWherein, in the step (A),
Figure BDA0001118823820000071
therein, modX(Y) represents the operation of taking the modulus of Y to X. For example, mod2(5)=1,mod2(4) 0. In particular, when P ═ 1,
Figure BDA0001118823820000072
as another example, let vshift=fpWherein, in the step (A),
Figure BDA0001118823820000073
wherein
Figure BDA0001118823820000074
Of course, other mapping relationships between the cell ID and the frequency domain offset parameter may also be used, which is not illustrated here.
When determining the frequency domain resource position of the first synchronization reference signal time-frequency pattern according to the first frequency domain offset parameter, setting up { d (n) }n=0,…,2M-1For synchronization of reference signal sequences, mapping it to RE resource ak,lAbove, where k denotes a frequency domain resource mapping position and l denotes a time domain resource mapping position (i.e., symbol position). Suppose the system bandwidth is NBWThe frequency domain resource mapping position k of the time frequency pattern of the specific synchronous reference signal is referred by the frequency domain offsetNumber vshiftDetermine, i.e. that
ak,l(vshift) D (n),n 0, …,2M-1, wherein
Figure BDA0001118823820000081
Wherein N is1And more than or equal to M, which is a certain preset positive integer.
In particular, RE (k, l) resource locations satisfying the rule that the reserved RE resources may not transmit any signal are reserved, wherein,
Figure BDA0001118823820000082
wherein
n=M-N1,M-N1+1,…,-1,2M,2M+1,…,N1+M-1
In particular, when M is 31, N1When 36, the above formula can be expressed as:
ak,l(vshift) D (n),n 0, …,61, wherein
Figure BDA0001118823820000083
In particular, RE (k, l) resource locations satisfying the rule, wherein,
Figure BDA0001118823820000084
in the embodiment of the present invention, preferably, two types of synchronization reference signals, a primary synchronization signal and a secondary synchronization signal, may be used similarly to the existing LTE technology. Wherein, the main synchronizing signal only has one time frequency pattern and is used for establishing downlink time frequency coarse synchronization; and the secondary synchronization signal is used to resolve the cell ID. The first synchronization reference signal is the secondary synchronization signal. In the method, the base station further sends a primary synchronization signal for establishing downlink time-frequency coarse synchronization, the primary synchronization signal only has a group of time-frequency patterns, and the time domain resource positions of the primary synchronization signal and the secondary synchronization signal have a predetermined timing relationship.
Different from the existing LTE technology, the auxiliary synchronizing signal is configured with a plurality of groups of time-frequency patterns, the time domain positions of the time-frequency patterns of the plurality of groups of auxiliary synchronizing signals are the same, the time domain position of the auxiliary synchronizing signal and the time domain position of the main synchronizing signal have a determined timing relation, but the frequency domain positions are different, and the frequency domain resource mapping position is formed by a frequency domain offset parameter vshiftAnd (6) determining.
Examples of the type of synchronization reference signal transmitted by the base station and the determination of the synchronization reference signal time-frequency pattern are described above. In order to improve the received SINR of the synchronization reference signal, the embodiments of the present invention may also adopt the following multiple transmission schemes to improve the received signal quality at the terminal side.
For example, the base station uses a Power Boosting function, that is, a higher transmit Power is given to the synchronization reference signal than a transmit Power of each RE on a Physical Downlink Shared Channel (PDSCH), so that the transmit Power of the REs mapped by the synchronization reference signal is greater than the transmit Power of the REs mapped by the PDSCH. The ratio of the transmission power of the synchronization reference signal per RE to the transmission power of the PDSCH per RE is not set to α (e.g., α is 3dB to 6 dB). Or the value of alpha is specified in a standard protocol; or the equipment manufacturers of all the base stations respectively determine the value of alpha.
For another example, the base station may increase the SINR of the terminal reception signal by the muting function. Specifically, the base station determines REs mapped by an unused synchronization reference signal time-frequency pattern to obtain silent REs, where the unused synchronization reference signal time-frequency pattern is: the synchronous reference signal time frequency patterns except the first synchronous reference signal time frequency pattern in the multiple groups of synchronous reference signal time frequency patterns; the base station then starts the muting function for the muted REs on which no signal is transmitted (i.e. on which the transmit power is 0 w).
The implementation of the muting function can be implemented during the PDSCH resource mapping, and the muting REs are ignored by the Rate Matching (Rate Matching) technology, so as to avoid the PDSCH from being mapped onto the muting REs. Correspondingly, when the base station transmits by using the muting function based on Rate Matching, the terminal side may also ignore the muting REs by using a Rate Matching (Rate Matching) technique when demodulating the PDSCH.
Of course, the muting function can also be implemented after the PDSCH resource mapping, that is, the muting REs are punctured before transmission, so that the transmission power of the muting REs is 0. At this time, the UE may also attempt to receive PDSCH signals on the muted REs. Obviously, compared with the foregoing muting technology based on rate matching, the signal-to-noise ratio of the PDSCH signal received by the UE is reduced in the present implementation technology. Therefore, the aforementioned rate matching based muting technique is preferable.
Furthermore, the base station may also request other base stations to turn on Muting function on a specific synchronization reference signal time-frequency pattern through an inter-station communication interface (e.g., S1 or X2 interface) to reduce inter-station interference. For example, the base station sends a first request message to the neighboring base station for requesting the neighboring base station to start the muting function for at least one group of synchronization reference signal time-frequency patterns, and after receiving the first request message, the neighboring base station may start the muting function on REs mapped by the at least one group of synchronization reference signal time-frequency patterns. Here, the first request message may include indication information (e.g., number of the time-frequency pattern, etc.) of the at least one group of synchronization reference signal time-frequency patterns requesting muting.
Specifically, when a base station finds that interference at a first synchronization reference signal (e.g., SSS signal) is strong (e.g., the interference exceeds a preset range), the base station may request, through an inter-station communication interface, an adjacent base station to turn on a Muting function on a specific synchronization reference signal time-frequency pattern. In addition, in order to discover the interference situation to which the SSS signal is subjected, the base station may ask the at least one UE to measure the channel quality at the SSS and feed back the channel quality measurement.
In the embodiment of the present invention, the base station may also perform the muting processing based on the request of other base stations, for example, when the base station receives a second request message sent by a neighboring base station for requesting to start the muting function for at least one group of synchronization reference signal time-frequency patterns, the base station may start the muting function for REs mapped by the indicated synchronization reference signal time-frequency patterns according to the second request message.
Of course, in the embodiment of the present invention, when any base station receives a muting request from another base station, the base station may select to perform muting operation on the requested synchronization reference signal time-frequency pattern, or may not perform any processing.
When a base station selects to perform a muting operation on a certain synchronization reference signal time-frequency pattern, the base station may notify indication Information (such as a number) of the synchronization reference signal time-frequency pattern for performing the muting operation to a corresponding terminal through a System Information Block (SIB) and Radio Resource Configuration (RRC) signaling. The terminal further determines a synchronous reference signal time-frequency pattern of the base station for executing the silent processing according to the received system message or the wireless resource configuration signaling. When the base station performs PDSCH resource mapping, the base station ignores the synchronous reference signal time-frequency pattern for executing the silent operation through a rate matching technology. When demodulating the PDSCH, the terminal may ignore REs mapped by a synchronization reference signal time-frequency pattern performing a muting operation through a rate matching technique, thereby obtaining a received signal.
The above describes the procedure of transmitting the above-mentioned synchronization reference signal according to the embodiment of the present invention from the base station side. The reception process of the synchronization reference signal will be further explained from the terminal side.
In the embodiment of the invention, the terminal performs blind detection on the first synchronous reference signal on more than two groups of synchronous reference signal time-frequency patterns according to a preset rule.
The base station still uses two types of synchronous reference signals for explanation, wherein the main synchronous signal only has one time frequency pattern and is used for establishing downlink time frequency coarse synchronization; the auxiliary synchronizing signal is used for analyzing the cell ID and is provided with a plurality of groups of time-frequency patterns, the time domain positions of the time-frequency patterns of the plurality of groups of auxiliary synchronizing signals are the same, the time domain positions of the auxiliary synchronizing signals and the time domain positions of the main synchronizing signals have a predetermined timing relationship, but the frequency domain positions of the time-frequency patterns of the plurality of groups of auxiliary synchronizing signals are different, and the frequency domain resource mapping positions of the auxiliary synchronizing signals are mapped by a frequency domain offset parameter vshiftAnd (6) determining.
When the terminal is in an Idle state (Idle), the terminal tries to detect the synchronization reference signals in a blind manner on at least two groups of synchronization reference signal time-frequency patterns. The process of the blind detection specifically comprises the following steps:
1) the terminal firstly detects a main synchronization signal which is sent by a base station and used for establishing downlink time-frequency coarse synchronization, and after the main synchronization signal of the base station is captured, a rough time-frequency synchronization relation between the terminal and the base station is established.
2) After establishing a rough time-frequency synchronization relationship, the terminal obtains timing information of the auxiliary synchronization signal according to the timing relationship between the main synchronization signal and the auxiliary synchronization signal, further receives the auxiliary synchronization signal based on the timing information of the auxiliary synchronization signal, converts the auxiliary synchronization signal to a frequency domain, and then continuously performs a step of blind detection on the cell ID, which specifically comprises the following steps:
● 2-1) the terminal determines the set of cell IDs to be verified (assumed to be the first set of cell IDs). In the worst case, the terminal will try to blindly detect all possible cell IDs. Of course, the network may also configure the terminal with a set of cell IDs that need to be detected blindly in advance.
● 2-2) extracting a cell ID from the first set of cell IDs as the current cell ID;
● 2-3) determining a first synchronization reference signal time-frequency pattern corresponding to the current cell ID according to a first preset rule, and obtaining a first frequency domain resource position of the first synchronization reference signal time-frequency pattern and a first synchronization reference signal sequence.
For example, the terminal may determine the frequency domain offset parameter corresponding to the current cell ID according to a mapping relationship between the frequency domain offset parameter and the cell ID obtained in advance; and then, according to the determined frequency domain offset parameter, determining the frequency domain resource position of the first synchronization reference signal time frequency pattern and the first synchronization reference signal sequence.
● 2-4) the terminal extracts a first frequency domain receiving sequence at a first frequency domain resource position from the received secondary synchronization signal, and judges whether the current cell ID is the cell ID of the base station according to the correlation between the first frequency domain receiving sequence and the first synchronization reference signal sequence (if the correlation matching result is higher than a predetermined threshold): and if so, outputting the current cell ID as the cell ID of the base station, otherwise, deleting the current cell ID from the cell ID set to be verified, and returning to the step 2-2.
In this embodiment, when the terminal is in a connected state, the serving base station may configure the terminal to listen to the synchronization reference signal of the cell of the other base station to identify the cell ID of the terminal, and at this time, the terminal receives an interception instruction sent by the serving base station, listens to the synchronization signal of the neighboring base station, and identifies the cell ID of the neighboring base station, where a specific processing flow is similar to the above-mentioned flow, and the difference is that:
when the serving base station and the adjacent base station keep time-frequency synchronization relationship, the terminal can directly receive the synchronization reference signals of other base station cells according to the timing relationship of the serving base station, that is, the terminal can receive the signals sent by the adjacent base station according to the time domain position corresponding to the auxiliary synchronization signal of the serving base station and convert the received signals to the frequency domain. Therefore, compared with the above flow, the terminal can skip the flow of thestep 1 and directly enter the flows of the following steps 3-1 to 3-4. The process at this time specifically includes:
● 3-1) the terminal determines the second cell ID set to be verified of the adjacent base station;
● 3-2) extracting a cell ID from the second set of cell IDs as the current cell ID;
● 3-3) determining a second synchronization reference signal time-frequency pattern corresponding to the current cell ID according to a second preset rule, and obtaining a second frequency domain resource position and a second auxiliary synchronization signal sequence of the second synchronization reference signal time-frequency pattern;
● 3-4) extracting a second frequency domain receiving sequence at a second frequency domain resource position from the received signal, and judging whether the current cell ID is the cell ID of the adjacent base station according to the correlation between the second frequency domain receiving sequence and a second auxiliary synchronization signal sequence: and if so, outputting the current cell ID as the cell ID of the adjacent base station, otherwise, deleting the current cell ID from the cell ID set to be verified, and returning to the step 3-2.
In order to reduce the complexity of blind detection, if a base station can determine the cell ID range of a cell of an adjacent base station, the base station may send indication information of the cell ID of the adjacent base station to a terminal, where the indication information carries the value range of the cell ID of the adjacent base station; at this time, in step 3-1, the terminal may obtain the second cell ID set according to the indication information, so as to reduce the blind detection cell range and the blind detection complexity.
In addition, since the base station may perform the muting processing of the REs, correspondingly, the terminal side may also improve the quality of the received signal through the muting processing. Specifically, when the base station selects to perform the muting operation on a certain synchronization reference signal time-frequency pattern, the base station may notify the indication information (e.g., number) of the synchronization reference signal time-frequency pattern for performing the muting operation to the corresponding terminal through SIB messages, RRC signaling, and the like. In the blind detection process of the first synchronous reference signal, when demodulating PDSCH and obtaining a received signal, the terminal ignores silent RE through a rate matching technology, wherein the silent RE is a pre-obtained RE mapped by a synchronous reference signal time-frequency pattern of a base station executing silent processing.
The methods of the embodiments of the present invention have been described above from the base station and the terminal side, respectively. The apparatus for carrying out the above method will be further described below.
Referring to fig. 6, an embodiment of the present invention provides abase station 60, including:
theselection unit 61 is configured to select a group of synchronous reference signal time-frequency patterns from a plurality of groups of pre-configured synchronous reference signal time-frequency patterns to obtain a first synchronous reference signal time-frequency pattern;
a sendingunit 62, configured to send a first synchronization reference signal by using the first synchronization reference signal time-frequency pattern.
Here, the multiple groups of synchronization reference signal time frequency patterns are mapped by the same synchronization reference signal sequence, wherein frequency domain offset parameters of the groups of synchronization reference signal time frequency patterns are different from each other, and the frequency domain resource position of each group of synchronization reference signal time frequency patterns is mapped according to the frequency domain offset parameters of the groups of synchronization reference signal time frequency patterns;
the selection unit includes:
a first determining unit, configured to determine, according to a mapping relationship between a pre-established frequency domain offset parameter and a cell ID, a first frequency domain offset parameter corresponding to the cell ID of the base station;
and the second determining unit is used for determining the frequency domain resource position of the first synchronization reference signal time frequency pattern according to the first frequency domain offset parameter to obtain the first synchronization reference signal time frequency pattern.
As an implementation manner, the first determining unit is specifically configured to:
calculating to obtain a first frequency domain offset parameter corresponding to the cell ID of the base station according to any one of the following formulas:
vshift=fpwherein
Figure BDA0001118823820000131
vshift=fpWherein
Figure BDA0001118823820000132
Wherein v isshiftRepresenting a first frequency domain offset parameter; f. ofpA mapping function representing a variable p;
Figure BDA0001118823820000133
cell ID indicating the own base station;
Figure BDA0001118823820000134
a number indicating a cell ID group to which the cell ID of the base station belongs; p represents a positive integer, and the number of the groups of synchronous reference signal time-frequency patterns is 2P +1 groups.
As an implementation manner, the second determining unit is specifically configured to:
in the synchronization reference signal sequence of { d (n) }n=0,…,2M-1Then, according to the following formula, determining a frequency domain resource mapping position k of the first synchronization reference signal time-frequency pattern:
Figure BDA0001118823820000135
wherein N isBWIndicating the number of resource elements, REs, contained in the system bandwidth, vshiftRepresenting a first frequency domain offset parameter, N1And M are both a positive integer, and N1≥M。
Here, the first synchronization reference signal is an auxiliary synchronization signal used for cell ID resolution, and time domain resource positions of the multiple groups of synchronization reference signal time frequency patterns are all the same;
the sending unit is further configured to send a primary synchronization signal used for establishing downlink time-frequency coarse synchronization, where the primary synchronization signal only has a group of time-frequency patterns, and a predetermined timing relationship exists between time-domain resource positions of the primary synchronization signal and the secondary synchronization signal.
Here, the sending unit is further configured to, when sending the synchronization reference signal, further increase, by power boosting, transmission power of REs mapped by the synchronization reference signal, where the transmission power of the REs mapped by the synchronization reference signal is greater than the transmission power of the REs mapped by the PDSCH.
Preferably, the base station further includes:
a third determining unit, configured to determine REs mapped by an unused synchronization reference signal time-frequency pattern, to obtain silent REs, where the unused synchronization reference signal time-frequency pattern refers to: the synchronous reference signal time frequency patterns except the first synchronous reference signal time frequency pattern in the multiple groups of synchronous reference signal time frequency patterns;
a first muting unit, configured to start a muting function for the muted REs on which no signal is transmitted.
The first muting unit is specifically configured to, when starting a muting function for the muting REs and performing PDSCH resource mapping, ignore the muting REs and avoid mapping the PDSCH to the muting REs by using a rate matching technique.
As an implementation manner, the base station further includes:
the device comprises a request sending unit and a receiving unit, wherein the request sending unit is used for sending a first request message for requesting the adjacent base station to start a silencing function aiming at least one group of synchronous reference signal time-frequency patterns to the adjacent base station.
Here, the request sending unit is specifically configured to send the first request message to an adjacent base station through an inter-base station communication interface when interference on the first synchronization reference signal time-frequency pattern exceeds a preset range. Wherein the first request message requests the neighboring base station to start a muting function at least for the first synchronization reference signal time-frequency pattern.
As an implementation manner, the base station further includes:
a request receiving unit, configured to receive a second request message sent by a neighboring base station for requesting to start a muting function for at least one group of synchronization reference signal time-frequency patterns;
and a second muting unit, configured to start a muting function for REs mapped by the indicated synchronization reference signal time-frequency pattern according to the second request message.
The base station of this embodiment may further include the following units:
a notifying unit, configured to notify, when the base station selects to execute the muting processing on at least one group of synchronization reference signal time-frequency patterns, indication Information (e.g., a number) of the synchronization reference signal time-frequency patterns for executing the muting processing to a corresponding terminal through System Information Block (SIB) and Radio Resource Configuration (RRC) signaling.
Referring to fig. 7, an embodiment of the present invention provides a terminal 70, including:
theblind detection unit 71 is configured to perform blind detection on the first synchronization reference signal on more than two groups of synchronization reference signal time-frequency patterns according to a predetermined rule.
Here, theblind detection unit 71 includes:
a first receiving unit for converting a received reception signal to a frequency domain;
a first determining unit, configured to determine a first cell ID set to be verified of the base station;
a first extracting unit, configured to extract a cell ID from the first cell ID set, where the cell ID is used as a current cell ID, and trigger the first verifying unit;
the first verification unit is used for determining a first synchronization reference signal time-frequency pattern corresponding to the current cell ID according to a first preset rule, and obtaining a first frequency domain resource position of the first synchronization reference signal time-frequency pattern and a first synchronization reference signal sequence; extracting a first frequency domain receiving sequence at a first frequency domain resource position from the received signal, and judging whether the current cell ID is the cell ID of the base station according to the correlation between the first frequency domain receiving sequence and a first synchronous reference signal sequence: and if so, outputting the current cell ID as the cell ID of the base station, otherwise, deleting the current cell ID from the cell ID set to be verified, and triggering the first extraction unit.
Preferably, the first synchronization reference signal is an auxiliary synchronization signal used for cell ID analysis, and the time domain resource positions of the multiple groups of synchronization reference signal time-frequency patterns are all the same; the terminal further comprises:
the system comprises a coarse synchronization unit, a secondary synchronization unit and a control unit, wherein the coarse synchronization unit is used for detecting a primary synchronization signal which is sent by a base station and used for establishing downlink time-frequency coarse synchronization when the terminal is in an IDLE state, and establishing a coarse time-frequency synchronization relationship according to the primary synchronization signal, the primary synchronization signal only has a group of time-frequency patterns, and the time-domain resource positions of the primary synchronization signal and the secondary synchronization signal have a preset timing relationship;
the first receiving unit is specifically configured to receive a signal at a time domain position corresponding to the auxiliary synchronization signal according to the coarse time-frequency synchronization relationship and the timing relationship, and convert the received signal to a frequency domain.
Preferably, the terminal may further include the following unit:
and the demodulation unit is used for carrying out PDSCH demodulation after the terminal completes the synchronization processing with the base station, and ignoring silent RE (resource elements) through a rate matching technology during demodulation, wherein the silent RE is the RE mapped by a synchronous reference signal time-frequency pattern which is obtained in advance and is used for the base station to execute the silent processing.
Here, the terminal may determine a synchronization reference signal time-frequency pattern for the base station to perform the muting processing according to related indication Information of the base station in a System Information Block (SIB) signaling and a Radio Resource Configuration (RRC) signaling. At this time, the terminal may further include:
a silence time-frequency pattern determining unit, configured to determine, according to a received System Information Block (SIB) and Radio Resource Configuration (RRC) signaling, a synchronization reference signal time-frequency pattern for the base station to perform a silence process.
Preferably, the terminal further includes:
and the neighbor cell identification unit is used for receiving an interception instruction sent by the service base station when the terminal is in a connection state, intercepting a synchronization signal of the neighbor base station and identifying the cell ID of the neighbor base station.
Here, the neighbor cell identification unit includes:
the second receiving unit is used for receiving the signals sent by the adjacent base stations according to the time domain position corresponding to the auxiliary synchronizing signals of the service base station and converting the received signals to the frequency domain when the service base station and the adjacent base stations keep time-frequency synchronization relationship;
a second determining unit, configured to determine a second cell ID set to be verified of the neighboring base station;
a second extracting unit, configured to extract a cell ID from the second cell ID set, where the cell ID is used as a current cell ID and triggers a second verifying unit;
the second verification unit is used for determining a second synchronous reference signal time-frequency pattern corresponding to the current cell ID according to a second preset rule, and obtaining a second frequency domain resource position and a second auxiliary synchronous signal sequence of the second synchronous reference signal time-frequency pattern; extracting a second frequency domain receiving sequence at a second frequency domain resource position from the receiving signal, and judging whether the current cell ID is the cell ID of the adjacent base station according to the correlation between the second frequency domain receiving sequence and a second auxiliary synchronization signal sequence: and if so, outputting the current cell ID as the cell ID of the base station, otherwise, deleting the current cell ID from the second cell ID set and triggering the second extraction unit.
The second determining unit is specifically configured to: receiving indication information of a cell ID of an adjacent base station, which is sent by a service base station, wherein the indication information carries a value range of the cell ID of the adjacent base station; and obtaining the second cell ID set according to the indication information.
In summary, the sending method, the receiving method, the base station and the terminal for the synchronization reference signal provided by the embodiments of the present invention provide a scheme for the synchronization reference signal based on multiple groups of time-frequency patterns, and by staggering the frequency domain positions of the synchronization reference signals sent by neighboring base stations and matching with power boosting, data muting and other processing, the interference of neighboring cells on the synchronization reference signal sent by the cell can be effectively reduced, and the cell ID identification and cell discovery capability of the terminal on the cell in a UDN scenario are ensured.
While the foregoing is directed to the preferred embodiment of the present invention, it will be understood by those skilled in the art that various changes and modifications may be made without departing from the spirit and scope of the invention as defined in the appended claims.

Claims (38)

1. A method for transmitting a synchronization reference signal, comprising:
the base station selects a group of synchronous reference signal time frequency patterns from a plurality of groups of pre-configured synchronous reference signal time frequency patterns to obtain a first synchronous reference signal time frequency pattern; the multiple groups of synchronous reference signal time-frequency patterns are obtained by mapping the same synchronous reference signal sequence, the frequency domain offset parameters of the groups of synchronous reference signal time-frequency patterns are different from each other, and the frequency domain resource position of each group of synchronous reference signal time-frequency patterns is obtained by mapping according to the frequency domain offset parameters of the groups of synchronous reference signal time-frequency patterns;
the base station transmits a first synchronous reference signal by using the first synchronous reference signal time frequency pattern; when the synchronous reference signal is sent, further increasing the transmission power of the RE mapped by the synchronous reference signal through power boosting, wherein the transmission power of the RE mapped by the synchronous reference signal is greater than the transmission power of the RE mapped by the physical downlink shared channel PDSCH.
2. The method of claim 1, wherein the step of selecting a set of synchronization reference signal time-frequency patterns comprises:
determining a first frequency domain offset parameter corresponding to the cell ID of the base station according to a mapping relation between a pre-established frequency domain offset parameter and the cell ID;
and determining the frequency domain resource position of the first synchronous reference signal time frequency pattern according to the first frequency domain offset parameter to obtain the first synchronous reference signal time frequency pattern.
3. The method of claim 2, wherein the step of determining the first frequency domain offset parameter corresponding to the cell ID of the base station according to the pre-established mapping relationship between the frequency domain offset parameter and the cell ID comprises:
calculating to obtain a first frequency domain offset parameter corresponding to the cell ID of the base station according to any one of the following formulas:
vshift=fpwherein
Figure FDA0002938330950000011
vshift=fpWherein
Figure FDA0002938330950000012
Wherein v isshiftRepresenting a first frequency domain offset parameter; f. ofpA mapping function representing a variable p;
Figure FDA0002938330950000013
cell ID indicating the own base station;
Figure FDA0002938330950000014
a number indicating a cell ID group to which the cell ID of the base station belongs; p represents a positive integer, and the number of the groups of synchronous reference signal time-frequency patterns is 2P +1 groups.
4. The method of claim 2,
the step of determining the frequency domain resource location of the first synchronization reference signal time frequency pattern according to the first frequency domain offset parameter includes:
in the synchronization reference signal sequence of { d (n) }n=0,…,2M-1Then, according to the following formula, determining a frequency domain resource mapping position k of the first synchronization reference signal time-frequency pattern:
Figure FDA0002938330950000021
wherein N isBWIndicating the number of resource elements, REs, contained in the system bandwidth, vshiftRepresenting a first frequency domain offset parameter, N1And M are both a positive integer, and N1≥M。
5. The method of claim 2, wherein the first synchronization reference signal is a secondary synchronization signal for cell ID resolution, and time resource locations of the sets of synchronization reference signal time-frequency patterns are all the same;
the method further comprises the following steps:
the base station sends a main synchronization signal for establishing downlink time-frequency coarse synchronization, wherein the main synchronization signal only has a group of time-frequency patterns, and the time domain resource positions of the main synchronization signal and the auxiliary synchronization signal have a preset timing relationship.
6. The method of claim 1, further comprising:
the base station determines REs mapped by an unused synchronization reference signal time-frequency pattern to obtain silent REs, wherein the unused synchronization reference signal time-frequency pattern refers to: the synchronous reference signal time frequency patterns except the first synchronous reference signal time frequency pattern in the multiple groups of synchronous reference signal time frequency patterns;
and the base station starts a silencing function aiming at the silencing RE, and does not send signals on the silencing RE.
7. The method of claim 6, wherein the step of turning on muting functions for the muted REs, on which no signals are transmitted, comprises:
and when the base station performs PDSCH resource mapping, ignoring the silent RE through a rate matching technology, and avoiding mapping the PDSCH to the silent RE.
8. The method of claim 1, further comprising:
the base station sends a first request message for requesting the adjacent base station to start a silencing function aiming at least one group of synchronous reference signal time-frequency patterns to the adjacent base station.
9. The method of claim 8,
the base station further sends the first request message to an adjacent base station through an inter-base station communication interface when the interference on the first synchronization reference signal time frequency pattern exceeds a preset range, wherein the first request message requests the adjacent base station to start a silencing function at least aiming at the first synchronization reference signal time frequency pattern.
10. The method of claim 1, further comprising:
the base station receives a second request message which is sent by an adjacent base station and used for requesting to start a silencing function aiming at least one group of synchronous reference signal time frequency patterns;
and the base station starts a silencing function aiming at the RE mapped by the indicated synchronous reference signal time frequency pattern according to the second request message.
11. The method according to any one of claims 6 to 10,
when the base station selects to execute the silent processing on at least one group of synchronous reference signal time frequency patterns, the base station informs the indication information of the synchronous reference signal time frequency patterns executing the silent processing to the corresponding terminal through system information or wireless resource configuration signaling.
12. A method for receiving a synchronization reference signal, comprising:
the terminal performs blind detection on the first synchronous reference signal on more than two groups of synchronous reference signal time-frequency patterns according to a preset rule, and the blind detection method comprises the following steps:
the terminal converts the received signal to a frequency domain;
the terminal determines a first cell ID set to be verified of the base station;
extracting a cell ID from the first cell ID set as a current cell ID;
determining a first synchronous reference signal time-frequency pattern corresponding to the current cell ID from a plurality of groups of pre-configured synchronous reference signal time-frequency patterns according to the current cell ID, and performing blind detection on the first synchronous reference signal time-frequency pattern;
the multiple groups of synchronous reference signal time frequency patterns are obtained by mapping the same synchronous reference signal sequence, the frequency domain offset parameters of the groups of synchronous reference signal time frequency patterns are different from each other, and the frequency domain resource position of each group of synchronous reference signal time frequency pattern is obtained by mapping according to the frequency domain offset parameters of the groups of synchronous reference signal time frequency patterns.
13. The method of claim 12, wherein the step of performing blind detection of the first synchronization reference signal further comprises:
extracting a first frequency domain receiving sequence at a first frequency domain resource position from the received signal, and judging whether the current cell ID is the cell ID of the base station according to the correlation between the first frequency domain receiving sequence and a first synchronous reference signal sequence: if so, outputting the current cell ID as the cell ID of the base station, otherwise, deleting the current cell ID from the first cell ID set, and returning to the step of extracting one cell ID from the first cell ID set as the current cell ID.
14. The method of claim 13,
the first synchronization reference signal is an auxiliary synchronization signal used for cell ID analysis, and the time domain resource positions of the more than two groups of synchronization reference signal time frequency patterns are the same;
when the terminal is in an idle state, the terminal converts the received signal to a frequency domain, and the method further comprises:
a terminal detects a main synchronization signal which is sent by a base station and used for establishing downlink time-frequency coarse synchronization, and establishes a coarse time-frequency synchronization relationship according to the main synchronization signal, wherein the main synchronization signal only has a group of time-frequency patterns, and a predetermined timing relationship is formed between time domain resource positions of the main synchronization signal and an auxiliary synchronization signal;
the step of converting the received signal to the frequency domain includes: and the terminal receives the signal at the time domain position corresponding to the auxiliary synchronous signal according to the rough time-frequency synchronous relation and the timing relation and converts the received signal to a frequency domain.
15. The method of claim 12, wherein after the terminal completes the synchronization process with the base station, the method further comprises:
the terminal carries out PDSCH demodulation, and ignores silent RE through a rate matching technology during demodulation, wherein the silent RE is a pre-obtained RE mapped by a synchronous reference signal time-frequency pattern of a base station for executing silent processing.
16. The method of claim 15,
the terminal further determines a synchronous reference signal time-frequency pattern of the base station for executing the silent processing according to the received system message or the wireless resource configuration signaling.
17. The method of claim 12, further comprising:
and when the terminal is in a connected state, the terminal receives an interception instruction sent by the service base station, intercepts the synchronous signal of the adjacent base station and identifies the cell ID of the adjacent base station.
18. The method of claim 17, wherein the step of listening for synchronization signals of neighboring base stations and identifying cell IDs of neighboring base stations comprises:
when the serving base station and the adjacent base station keep time-frequency synchronization relationship, the terminal receives signals sent by the adjacent base station according to the time domain position corresponding to the auxiliary synchronization signal of the serving base station and converts the received signals to a frequency domain;
the terminal determines a second cell ID set to be verified of the adjacent base station;
extracting a cell ID from the second cell ID set as a current cell ID;
determining a second synchronous reference signal time-frequency pattern corresponding to the current cell ID according to a second preset rule, and obtaining a second frequency domain resource position and a second auxiliary synchronous signal sequence of the second synchronous reference signal time-frequency pattern;
extracting a second frequency domain receiving sequence at a second frequency domain resource position from the receiving signal, and judging whether the current cell ID is the cell ID of the adjacent base station according to the correlation between the second frequency domain receiving sequence and a second auxiliary synchronization signal sequence: if so, outputting the current cell ID as the cell ID of the base station, otherwise, deleting the current cell ID from the second cell ID set, and returning to the step of extracting one cell ID from the second cell ID set as the current cell ID.
19. The method of claim 18,
the step that the terminal determines the second cell ID set to be verified of the adjacent base station comprises the following steps:
the terminal receives indication information of cell IDs of adjacent base stations sent by a service base station, wherein the indication information carries the value range of the cell IDs of the adjacent base stations;
and the terminal acquires the second cell ID set according to the indication information.
20. A base station, comprising:
the device comprises a selection unit, a first synchronization reference signal time frequency pattern generation unit and a second synchronization reference signal time frequency pattern generation unit, wherein the selection unit is used for selecting a group of synchronization reference signal time frequency patterns from a plurality of groups of pre-configured synchronization reference signal time frequency patterns to obtain a first synchronization reference signal time frequency pattern; the multiple groups of synchronous reference signal time-frequency patterns are obtained by mapping the same synchronous reference signal sequence, the frequency domain offset parameters of the groups of synchronous reference signal time-frequency patterns are different from each other, and the frequency domain resource position of each group of synchronous reference signal time-frequency patterns is obtained by mapping according to the frequency domain offset parameters of the groups of synchronous reference signal time-frequency patterns;
a sending unit, configured to send a first synchronization reference signal by using the first synchronization reference signal time-frequency pattern;
the sending unit is further configured to, when sending the synchronization reference signal, further increase, by power boosting, transmission power of REs mapped by the synchronization reference signal, where the transmission power of the REs mapped by the synchronization reference signal is greater than the transmission power of the REs mapped by the PDSCH.
21. The base station of claim 20,
the multiple groups of synchronous reference signal time frequency patterns are obtained by mapping the same synchronous reference signal sequence, wherein the frequency domain offset parameters of the groups of synchronous reference signal time frequency patterns are different from each other, and the frequency domain resource position of each group of synchronous reference signal time frequency patterns is obtained by mapping according to the frequency domain offset parameters of the groups of synchronous reference signal time frequency patterns;
the selection unit includes:
a first determining unit, configured to determine, according to a mapping relationship between a pre-established frequency domain offset parameter and a cell ID, a first frequency domain offset parameter corresponding to the cell ID of the base station;
and the second determining unit is used for determining the frequency domain resource position of the first synchronization reference signal time frequency pattern according to the first frequency domain offset parameter to obtain the first synchronization reference signal time frequency pattern.
22. The base station of claim 21, wherein the first determining unit is specifically configured to:
calculating to obtain a first frequency domain offset parameter corresponding to the cell ID of the base station according to any one of the following formulas:
vshift=fpwherein
Figure FDA0002938330950000061
vshift=fpWherein
Figure FDA0002938330950000062
Wherein v isshiftRepresenting a first frequency domain offset parameter; f. ofpA mapping function representing a variable p;
Figure FDA0002938330950000063
cell ID indicating the own base station;
Figure FDA0002938330950000064
a number indicating a cell ID group to which the cell ID of the base station belongs; p represents a positive integer, and the number of the groups of synchronous reference signal time-frequency patterns is 2P +1 groups.
23. The base station of claim 21, wherein the second determining unit is specifically configured to:
in the synchronization reference signal sequence of { d (n) }n=0,…,2M-1Determining the time-frequency pattern of the first synchronization reference signal according to the following formulaFrequency domain resource mapping position k:
Figure FDA0002938330950000065
wherein N isBWIndicating the number of resource elements, REs, contained in the system bandwidth, vshiftRepresenting a first frequency domain offset parameter, N1And M are both a positive integer, and N1≥M。
24. The base station of claim 21, wherein the first synchronization reference signal is a secondary synchronization signal for cell ID resolution, and time resource locations of the multiple sets of synchronization reference signal time-frequency patterns are all the same;
the sending unit is further configured to send a primary synchronization signal used for establishing downlink time-frequency coarse synchronization, where the primary synchronization signal only has a group of time-frequency patterns, and a predetermined timing relationship exists between time-domain resource positions of the primary synchronization signal and the secondary synchronization signal.
25. The base station of claim 20, further comprising:
a third determining unit, configured to determine REs mapped by an unused synchronization reference signal time-frequency pattern, to obtain silent REs, where the unused synchronization reference signal time-frequency pattern refers to: the synchronous reference signal time frequency patterns except the first synchronous reference signal time frequency pattern in the multiple groups of synchronous reference signal time frequency patterns;
a first muting unit, configured to start a muting function for the muted REs on which no signal is transmitted.
26. The base station of claim 25, wherein the first muting unit is specifically configured to, when starting muting functions for the muted REs, omit the muted REs and avoid mapping PDSCH onto the muted REs through a rate matching technique when performing PDSCH resource mapping.
27. The base station of claim 20, further comprising:
the device comprises a request sending unit and a receiving unit, wherein the request sending unit is used for sending a first request message for requesting the adjacent base station to start a silencing function aiming at least one group of synchronous reference signal time-frequency patterns to the adjacent base station.
28. The base station of claim 27,
the request sending unit is specifically configured to send the first request message to an adjacent base station through an inter-base station communication interface when interference on the first synchronization reference signal time-frequency pattern exceeds a preset range, where the first request message requests the adjacent base station to start a muting function at least for the first synchronization reference signal time-frequency pattern.
29. The base station of claim 20, further comprising:
a request receiving unit, configured to receive a second request message sent by a neighboring base station for requesting to start a muting function for at least one group of synchronization reference signal time-frequency patterns;
and a second muting unit, configured to start a muting function for REs mapped by the indicated synchronization reference signal time-frequency pattern according to the second request message.
30. The base station of any one of claims 26 to 29, further comprising:
and the notification unit is used for notifying the indication information of the synchronous reference signal time-frequency pattern for executing the silent processing to the corresponding terminal through system information or wireless resource configuration signaling when the base station selects to execute the silent processing on at least one group of synchronous reference signal time-frequency patterns.
31. A terminal, comprising:
the blind detection unit is used for carrying out blind detection on the first synchronous reference signal on more than two groups of synchronous reference signal time-frequency patterns according to a preset rule;
the blind detection unit comprises:
a first receiving unit for converting a received reception signal to a frequency domain;
a first determining unit, configured to determine a first cell ID set to be verified of a base station;
a first extracting unit, configured to extract a cell ID from the first cell ID set, where the cell ID is used as a current cell ID, and trigger the first verifying unit;
determining a first synchronous reference signal time-frequency pattern corresponding to the current cell ID from a plurality of groups of pre-configured synchronous reference signal time-frequency patterns according to the current cell ID, and performing blind detection on the first synchronous reference signal time-frequency pattern; the multiple groups of synchronous reference signal time frequency patterns are obtained by mapping the same synchronous reference signal sequence, the frequency domain offset parameters of the groups of synchronous reference signal time frequency patterns are different from each other, and the frequency domain resource position of each group of synchronous reference signal time frequency pattern is obtained by mapping according to the frequency domain offset parameters of the groups of synchronous reference signal time frequency patterns.
32. The terminal of claim 31,
the first verification unit is further configured to obtain a first frequency domain resource position of a first synchronization reference signal time-frequency pattern and a first synchronization reference signal sequence; extracting a first frequency domain receiving sequence at a first frequency domain resource position from the received signal, and judging whether the current cell ID is the cell ID of the base station according to the correlation between the first frequency domain receiving sequence and a first synchronous reference signal sequence: and if so, outputting the current cell ID as the cell ID of the base station, otherwise, deleting the current cell ID from the cell ID set to be verified, and triggering the first extraction unit.
33. The terminal of claim 32,
the first synchronization reference signal is an auxiliary synchronization signal used for cell ID analysis, and the time domain resource positions of the more than two groups of synchronization reference signal time frequency patterns are the same; the terminal further comprises:
a coarse synchronization unit, configured to detect, when the terminal is in an idle state, a primary synchronization signal sent by a base station and used for establishing downlink time-frequency coarse synchronization, and establish a coarse time-frequency synchronization relationship according to the primary synchronization signal, where the primary synchronization signal only has a group of time-frequency patterns, and time-domain resource positions of the primary synchronization signal and an auxiliary synchronization signal have a predetermined timing relationship;
the first receiving unit is specifically configured to receive a signal at a time domain position corresponding to the auxiliary synchronization signal according to the coarse time-frequency synchronization relationship and the timing relationship, and convert the received signal to a frequency domain.
34. The terminal of claim 31, further comprising:
and the demodulation unit is used for carrying out PDSCH demodulation after the terminal completes the synchronization processing with the base station, and ignoring silent RE (resource elements) through a rate matching technology during demodulation, wherein the silent RE is the RE mapped by a synchronous reference signal time-frequency pattern which is obtained in advance and is used for the base station to execute the silent processing.
35. The terminal of claim 34, further comprising:
and the silent time frequency pattern determining unit is used for determining a synchronous reference signal time frequency pattern for the base station to execute silent processing according to the received system message or the wireless resource configuration signaling.
36. The terminal of claim 31, further comprising:
and the neighbor cell identification unit is used for receiving an interception instruction sent by the service base station when the terminal is in a connection state, intercepting a synchronization signal of the neighbor base station and identifying the cell ID of the neighbor base station.
37. The terminal of claim 36, wherein the neighbor cell identification unit comprises:
the second receiving unit is used for receiving the signals sent by the adjacent base stations according to the time domain position corresponding to the auxiliary synchronizing signals of the service base station and converting the received signals to the frequency domain when the service base station and the adjacent base stations keep time-frequency synchronization relationship;
a second determining unit, configured to determine a second cell ID set to be verified of the neighboring base station;
a second extracting unit, configured to extract a cell ID from the second cell ID set, where the cell ID is used as a current cell ID and triggers a second verifying unit;
the second verification unit is used for determining a second synchronous reference signal time-frequency pattern corresponding to the current cell ID according to a second preset rule, and obtaining a second frequency domain resource position and a second auxiliary synchronous signal sequence of the second synchronous reference signal time-frequency pattern; extracting a second frequency domain receiving sequence at a second frequency domain resource position from the receiving signal, and judging whether the current cell ID is the cell ID of the adjacent base station according to the correlation between the second frequency domain receiving sequence and a second auxiliary synchronization signal sequence: and if so, outputting the current cell ID as the cell ID of the base station, otherwise, deleting the current cell ID from the second cell ID set and triggering the second extraction unit.
38. The terminal of claim 37, wherein the second determining unit is specifically configured to: receiving indication information of a cell ID of an adjacent base station, which is sent by a service base station, wherein the indication information carries a value range of the cell ID of the adjacent base station; and obtaining the second cell ID set according to the indication information.
CN201610842888.2A2016-09-222016-09-22 A transmission method, reception method, base station and terminal of a synchronization reference signalActiveCN107864494B (en)

Priority Applications (1)

Application NumberPriority DateFiling DateTitle
CN201610842888.2ACN107864494B (en)2016-09-222016-09-22 A transmission method, reception method, base station and terminal of a synchronization reference signal

Applications Claiming Priority (1)

Application NumberPriority DateFiling DateTitle
CN201610842888.2ACN107864494B (en)2016-09-222016-09-22 A transmission method, reception method, base station and terminal of a synchronization reference signal

Publications (2)

Publication NumberPublication Date
CN107864494A CN107864494A (en)2018-03-30
CN107864494Btrue CN107864494B (en)2021-08-06

Family

ID=61698900

Family Applications (1)

Application NumberTitlePriority DateFiling Date
CN201610842888.2AActiveCN107864494B (en)2016-09-222016-09-22 A transmission method, reception method, base station and terminal of a synchronization reference signal

Country Status (1)

CountryLink
CN (1)CN107864494B (en)

Families Citing this family (4)

* Cited by examiner, † Cited by third party
Publication numberPriority datePublication dateAssigneeTitle
CN111478739B (en)*2019-01-232022-06-07中国移动通信有限公司研究院 Method for obtaining adjacent cell interference value, reference signal configuration method and device
CN111491385B (en)*2019-01-282023-07-25中国移动通信有限公司研究院 Method and device for reducing synchronization signal block interference
WO2021031021A1 (en)*2019-08-162021-02-25华为技术有限公司Frequency location determining method and device
US12335942B2 (en)*2020-09-252025-06-17Qualcomm IncorporatedTechniques for reference signal patterns

Citations (3)

* Cited by examiner, † Cited by third party
Publication numberPriority datePublication dateAssigneeTitle
CN101932073A (en)*2009-06-222010-12-29北京三星通信技术研究有限公司 Method for sending and receiving dedicated reference signal, base station and user terminal
CN104427528A (en)*2013-08-232015-03-18中国移动通信集团公司Transmission method, system and device for synchronizing signals
WO2015042954A1 (en)*2013-09-302015-04-02华为技术有限公司Method for inter-station synchronization and base station

Patent Citations (3)

* Cited by examiner, † Cited by third party
Publication numberPriority datePublication dateAssigneeTitle
CN101932073A (en)*2009-06-222010-12-29北京三星通信技术研究有限公司 Method for sending and receiving dedicated reference signal, base station and user terminal
CN104427528A (en)*2013-08-232015-03-18中国移动通信集团公司Transmission method, system and device for synchronizing signals
WO2015042954A1 (en)*2013-09-302015-04-02华为技术有限公司Method for inter-station synchronization and base station

Non-Patent Citations (3)

* Cited by examiner, † Cited by third party
Title
Details of Initial Signal Design;ZTE;《3GPP TSG RAN WG1 Meeting#82 R1-154321》;20150828;第1-3节*
Evaluation on CP types for NR;Huawei, HiSilicon;《3GPP TSG RAN WG1 Meeting #86 R1-166100》;20160826;全文*
Receiver complexity and performance for NB-IoT synchronization;MediaTek Inc.;《3GPP TSG RAN WG1 NB-IoT Ad-Hoc Meeting R1-161992》;20160324;全文*

Also Published As

Publication numberPublication date
CN107864494A (en)2018-03-30

Similar Documents

PublicationPublication DateTitle
USRE49804E1 (en)Reference signal interference management in heterogeneous network deployments
JP6438129B2 (en) Device, network, and method for communication with a variable duration reference signal
EP3217701B1 (en)Terminal device, base station device, and method
CN103718636B (en)method and node for random access
JP5961685B2 (en) Method and apparatus for expanding the range of adjacent cells
CN109194437B (en) Method and device for sending and detecting discovery reference signal
EP3372014B1 (en)Discovery reference signal configuration
JP6700275B2 (en) Network identification based on discovery reference signal in wireless communication
JP5855280B2 (en) User apparatus, radio network node, and method thereof
US10314089B2 (en)Method performed by a user equipment, method performed by an enodeb, user equipment and enodeb
EP2982186B1 (en)Method for controlling network access points
JPWO2017038741A1 (en) User terminal, radio base station, and radio communication method
JP2016129353A (en) Node detection in cellular communication networks
CN104854949A (en) System and method for random access in a heterogeneous communication system
CN107113645B (en)Measurement method, user equipment, network side equipment and measurement device
CN107864494B (en) A transmission method, reception method, base station and terminal of a synchronization reference signal
JP2016536846A (en) Information transmission method, base station, and user equipment
WO2015109585A1 (en)User equipment, base station and cell discovery method
EP3515120B1 (en)Information configuration methods, base station and user equipment
WO2017075822A1 (en)Method for data transmission, access network device, and user equipment
CN105792277A (en) Interference control method and apparatus
CN107659979B (en) A system message transmission method, reception method and device
CN104303529A (en)Method for transmitting cell information and corresponding device

Legal Events

DateCodeTitleDescription
PB01Publication
PB01Publication
SE01Entry into force of request for substantive examination
SE01Entry into force of request for substantive examination
GR01Patent grant
GR01Patent grant

[8]ページ先頭

©2009-2025 Movatter.jp