Movatterモバイル変換


[0]ホーム

URL:


CN107679119B - Method and device for generating brand derivative words - Google Patents

Method and device for generating brand derivative words
Download PDF

Info

Publication number
CN107679119B
CN107679119BCN201710845931.5ACN201710845931ACN107679119BCN 107679119 BCN107679119 BCN 107679119BCN 201710845931 ACN201710845931 ACN 201710845931ACN 107679119 BCN107679119 BCN 107679119B
Authority
CN
China
Prior art keywords
brand
search
word
clicked
text
Prior art date
Legal status (The legal status is an assumption and is not a legal conclusion. Google has not performed a legal analysis and makes no representation as to the accuracy of the status listed.)
Active
Application number
CN201710845931.5A
Other languages
Chinese (zh)
Other versions
CN107679119A (en
Inventor
谢群群
邵荣防
郝晖
李萧萧
陈贱辉
史亚妮
Current Assignee (The listed assignees may be inaccurate. Google has not performed a legal analysis and makes no representation or warranty as to the accuracy of the list.)
Beijing Jingdong Century Trading Co Ltd
Beijing Jingdong Shangke Information Technology Co Ltd
Original Assignee
Beijing Jingdong Century Trading Co Ltd
Beijing Jingdong Shangke Information Technology Co Ltd
Priority date (The priority date is an assumption and is not a legal conclusion. Google has not performed a legal analysis and makes no representation as to the accuracy of the date listed.)
Filing date
Publication date
Application filed by Beijing Jingdong Century Trading Co Ltd, Beijing Jingdong Shangke Information Technology Co LtdfiledCriticalBeijing Jingdong Century Trading Co Ltd
Priority to CN201710845931.5ApriorityCriticalpatent/CN107679119B/en
Publication of CN107679119ApublicationCriticalpatent/CN107679119A/en
Application grantedgrantedCritical
Publication of CN107679119BpublicationCriticalpatent/CN107679119B/en
Activelegal-statusCriticalCurrent
Anticipated expirationlegal-statusCritical

Links

Images

Classifications

Landscapes

Abstract

The invention discloses a method and a device for generating a brand derivative word, and relates to the technical field of computers. One embodiment of the method comprises: extracting search terms according to the obtained user search data; extracting brand words of clicked commodities according to click behavior data based on the search words; and calculating the correlation degree of the search terms and the brand terms of the clicked commodities, and selecting the search terms with the correlation degree larger than a preset threshold value as brand derivative terms. According to the method and the device, the brand derivative word bank can be generated, so that the requirement that a user can directly reach brand shops and commodities quickly can be met when the user uses the words in the brand derivative word bank as search words, and the user search experience is improved.

Description

Method and device for generating brand derivative words
Technical Field
The invention relates to the technical field of computers, in particular to a method and a device for generating brand derivative words.
Background
With the progress of technology and the increase of data volume, the user experience requirement on search is higher and higher, and particularly when data related to brand words is searched, the user expects to reach the corresponding brand or shop quickly.
The prior art recognizes a brand word based on a principle that a search word is completely matched, for example, for the brand word "hua yi", a brand is hit only when the search word input by a user is "huayi", and the brand is not hit when the search word input by the user is "huayi".
In the process of implementing the invention, the inventor finds that the prior art has at least the following problems: brand words are identified on the basis of the principle that search terms are completely matched, when a user inputs diversified search terms, corresponding brands and shops are difficult to identify, and search experience is poor.
Disclosure of Invention
In view of this, embodiments of the present invention provide a method and an apparatus for generating a brand derivative word, so as to improve user search experience.
To achieve the above object, according to one aspect of an embodiment of the present invention, there is provided a method of generating a brand-derived word.
The method for generating the brand derivative word in the embodiment of the invention comprises the following steps: extracting search terms according to the obtained user search data, wherein the user search data comprises browsing behavior data based on the search terms and clicking behavior data based on the search terms; extracting brand words of clicked commodities according to the click behavior data based on the search words; and calculating the correlation degree of the search word and the brand word of the clicked commodity, and selecting the search word with the correlation degree larger than a preset threshold value as a brand derivative word.
Optionally, before extracting the search term according to the acquired user search data, the method further includes: filtering the user search data; and extracting the search terms according to the acquired user search data comprises: and extracting search terms in the user search data, and carrying out unification processing on the search terms.
Optionally, the calculating the relevancy of the search term and the brand term of the clicked item includes: calculating click points of the search terms and brand terms of the clicked commodities; calculating text similarity scores of the search terms and brand terms of the clicked commodity; and calculating the relevance of the search word and the brand word of the clicked commodity based on the click score and the text similarity score.
Optionally, the calculation formula of the click score is as follows:
Figure BDA0001411823910000021
wherein,
Figure BDA0001411823910000022
for searching a word wjAnd a click score of brand word b of the clicked item,
Figure BDA0001411823910000023
for the number of times the search term wj corresponds to the brand word b of the clicked good,
Figure BDA0001411823910000024
for searching for a word w in a unit timejNumber of searches of, AvgSearchTimesbExposure data of the brand word b of the clicked commodity in unit time is shown, wherein the exposure data of the brand word b of the clicked commodity represents the number of times of showing the brand word b of the clicked commodity.
Optionally, before calculating the text similarity score of the search term and the brand term of the clicked item, the method further comprises: and judging whether the text of the search word comprises the brand word of the clicked commodity, and if so, calculating the text similarity score of the search word and the brand word of the clicked commodity.
Optionally, the text type of the search term includes Chinese text and/or English text, and
if the text type of a certain search word comprises both Chinese text and English text, performing word segmentation processing on the search word according to different text types, and then calculating text similarity scores of the search word and brand words of the clicked commodity.
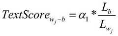
Optionally, calculating the text similarity score of the search term and the brand term of the clicked item includes: when the text type of the search word is a Chinese text, the calculation formula of the text similarity score is as follows:
Figure BDA0001411823910000031
wherein,
Figure BDA0001411823910000032
for searching a word wjText similarity score with brand word b of clicked item, α1A factor is calculated for the similarity of the chinese text,
Figure BDA0001411823910000033
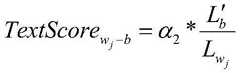
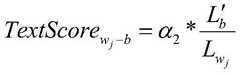
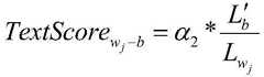
for searching a word wjLength of text, LbThe text length of the brand word b of the clicked commodity; when the text type of the search word is an English text, the calculation formula of the text similarity score is as follows:
Figure BDA0001411823910000034
wherein,
Figure BDA0001411823910000035
for searching a word wjText similarity score with brand word b of clicked item, α2For the similar calculation factor of the english text,
Figure BDA0001411823910000036
for searching a word wjLength of character, Lb' is a search term wjThe character length of the prefix word.
Optionally, before calculating the relevance of the search term and the brand term of the clicked item, the method includes: and respectively carrying out normalization calculation on the click score and the text similarity score.
Optionally, the calculation formula of the correlation is:
Figure BDA0001411823910000037
wherein,
Figure BDA0001411823910000038
for searching a word wjThe relevancy to the brand word b of the clicked commodity is β, the relevancy calculation factor of the click score is gamma, the relevancy calculation factor of the text similarity score is gamma,
Figure BDA0001411823910000039
for normalized search terms wjAnd a click score of brand word b of the clicked item,
Figure BDA00014118239100000310
for normalized search terms wjAnd the similar score with the text of the brand word b of the clicked commodity.
To achieve the above object, according to another aspect of the embodiments of the present invention, there is provided an apparatus for generating a brand-derived word.
The device for generating the brand derivative word in the embodiment of the invention comprises the following components: the search word extraction module is used for extracting search words according to the obtained user search data, and the user search data comprises browsing behavior data based on the search words and clicking behavior data based on the search words; the brand word extraction module is used for extracting the brand words of the clicked commodities according to the click behavior data based on the search words; and the calculation module is used for calculating the correlation degree of the search terms and the brand terms of the clicked commodities and selecting the search terms with the correlation degree larger than a preset threshold value as the brand derivative terms.
To achieve the above object, according to still another aspect of embodiments of the present invention, there is provided an electronic apparatus.
An electronic device of an embodiment of the present invention includes: one or more processors; a storage device to store one or more programs that, when executed by the one or more processors, cause the one or more processors to implement the method of generating brand derivatives of embodiments of the present invention.
To achieve the above object, according to still another aspect of an embodiment of the present invention, there is provided a computer-readable medium.
A computer-readable medium of an embodiment of the present invention has a computer program stored thereon, where the computer program, when executed by a processor, implements the method for generating a brand-derived word of an embodiment of the present invention.
One embodiment of the above invention has the following advantages or benefits: by calculating the relevance of the extracted search words and the brand words of the clicked commodities and selecting the search words with the relevance larger than a preset threshold value as the brand derivative words, the brand derivative word bank is generated, so that the requirement that a user can directly reach brand shops and commodities quickly can be met when the user uses the words in the brand derivative word bank as the search words, and the user search experience is improved; according to the embodiment of the invention, by filtering the user search data, illegal user data can be filtered, and the accuracy of the generated brand derivative word is improved; in the embodiment of the invention, the search terms are unified, so that the format of the search terms can be standardized; in the calculation formula of the click points of the search words and the brand words of the clicked commodities, the times of the search words in unit time and the exposure data of the brand words of the clicked commodities in unit time are counted, so that the updating of data can be considered, and outdated data can be discarded; in the calculation formula of the text similarity score of the search word and the brand word of the clicked commodity, different calculation methods are provided for the Chinese text and the English text, so that the accuracy of the text similarity score can be improved; in the embodiment of the invention, the search terms with the correlation degree larger than the preset threshold are selected as the brand derivative terms, so that the preset threshold can be set according to application requirements, and the flexibility of the generated brand derivative terms is improved.
Further effects of the above-mentioned non-conventional alternatives will be described below in connection with the embodiments.
Drawings
The drawings are included to provide a better understanding of the invention and are not to be construed as unduly limiting the invention. Wherein:
FIG. 1 is a schematic diagram of the main steps of a method of generating brand-derived words, according to an embodiment of the present invention;
FIG. 2 is a schematic diagram of a main flow of a method of generating brand-derived words, according to an embodiment of the invention;
FIG. 3 is a schematic main flow chart of a method for generating brand derivative words according to an embodiment of the present invention, for calculating text similarity scores of a search term and a brand term of a clicked item;
FIG. 4 is a schematic diagram of the major modules of an apparatus for generating brand-derived words, according to an embodiment of the present invention;
FIG. 5 is an exemplary system architecture diagram in which embodiments of the present invention may be employed;
fig. 6 is a schematic block diagram of a computer system suitable for use in implementing a terminal device or server of an embodiment of the invention.
Detailed Description
Exemplary embodiments of the present invention are described below with reference to the accompanying drawings, in which various details of embodiments of the invention are included to assist understanding, and which are to be considered as merely exemplary. Accordingly, those of ordinary skill in the art will recognize that various changes and modifications of the embodiments described herein can be made without departing from the scope and spirit of the invention. Also, descriptions of well-known functions and constructions are omitted in the following description for clarity and conciseness.
In the prior art, brand words are identified based on a principle that search words are completely matched, when a user inputs diversified search words, corresponding brands and shops are difficult to identify, and the search experience of the user is poor. In the embodiment of the invention, the brand derivative word bank is generated by calculating the correlation degree of the extracted search word and the brand word of the clicked commodity and selecting the search word with the correlation degree larger than the preset threshold value as the brand derivative word, so that the requirement that a user can directly reach brand shops and commodities quickly can be met when the user uses the word in the brand derivative word bank as the search word, and the user search experience is improved.
The following is a detailed explanation of technical terms involved in the examples of the present invention:
the brand derivative term refers to deriving a corresponding brand term from a canonical brand term, such as "Nike shoe" being a brand derivative of the brand term "Nike".
PV sorting means that the behavior data of the user is accumulated and counted, and then sorted according to the accumulated times. The behavior data of the user here includes data of browsing and clicking of goods by the user through the search term.
FIG. 1 is a schematic diagram illustrating the main steps of a method for generating a brand derivative word according to an embodiment of the present invention, as shown in FIG. 1, the method for generating a brand derivative word according to an embodiment of the present invention mainly includes the following steps:
step S101: and extracting search terms according to the acquired user search data. The user search data comprises browsing behavior data and click behavior data which are performed by a user on the electronic commerce platform through search words. After the user search data is acquired, search terms in the user search data are extracted.
Step S102: and extracting brand words of the clicked commodities according to the click behavior data based on the search words. And extracting brand words of the clicked commodities from the click behavior data based on the search words.
Step S103: and calculating the correlation degree of the search terms and the brand terms of the clicked commodities, and selecting the search terms with the correlation degree larger than a preset threshold value as brand derivative terms. After the search term and the brand term of the clicked commodity are extracted in the steps S101 and S102, the correlation between the search term and the brand term of the clicked commodity is calculated, then the similarity is compared with the preset threshold value, and the search term with the correlation larger than the preset threshold value is selected as the brand derivative term according to the comparison result.
In an embodiment of the present invention, before extracting a search term according to the obtained user search data, the method for generating a brand derivative term may further include: user search data is filtered. By filtering the user search data before extracting the search words, illegal user search data can be filtered out, and the legality of the user search data is guaranteed. The user illegal data may include: in the embodiment of the present invention, the value of m may be set according to an actual situation, for example, but not limited to, 1%, data without a user ID, data with an unknown source, user data with excessive data per day, and blacklist IP data.
In the embodiment of the present invention, extracting search terms according to the obtained user search data may include: and extracting search words in the user search data, and carrying out unification processing on the search words. After the search terms are extracted, the extracted search terms are unified, so that the extracted search terms can be normalized. Wherein, unifying the extracted search terms may include: removing blank characters before and after the search word; changing a plurality of spaces in the character into one space; removing invisible characters: unifying English in the search words into capital or lowercase; unifying Chinese characters in the search words into traditional characters or simplified characters.
In the embodiment of the present invention, calculating the relevance between the search term and the brand term of the clicked item may include: calculating click points of the search terms and the brand terms of the clicked commodities; calculating text similarity scores of the search terms and the brand terms of the clicked commodities; and calculating the correlation between the search word and the brand word of the clicked commodity based on the click score and the text similarity score. After the search terms and the brand terms of the clicked commodities are extracted, point points and text similarity scores of the search terms and the brand terms of the clicked commodities are respectively calculated, then the correlation degrees of the search terms and the brand terms of the clicked commodities are calculated, then the correlation degrees are compared with the preset threshold value, and finally the search terms with the correlation degrees larger than the preset threshold value are selected as brand derivative terms according to the comparison results.
In the embodiment of the present invention, the calculation formula of the click score may be:
Figure BDA0001411823910000081
wherein,
Figure BDA0001411823910000082
for searching a word wjAnd a click score of brand word b of the clicked item,
Figure BDA0001411823910000083
for searching a word wjNumber of brand word b corresponding to clicked commodityThe number of the first and second groups is,
Figure BDA0001411823910000084
is a search word w in a unit time (in the embodiment of the present invention, a value of the unit time may be set according to an actual situation, for example, but not limited to, the value may be set to be the last 15 days)jNumber of searches of, AvgSearchTimesbExposure data of the brand word b of the clicked commodity in unit time is shown, wherein the exposure data of the brand word b of the clicked commodity represents the number of times of showing the brand word b of the clicked commodity.
In this embodiment of the present invention, before calculating the text similarity score between the search term and the brand term of the clicked item, the method for generating the brand derivative term may further include: and judging whether the text of the search word comprises the brand word of the clicked commodity, and if so, calculating the text similarity score of the search word and the brand word of the clicked commodity. Judging whether the text of the search word comprises a brand word of the clicked commodity or not before calculating the text similarity score, and calculating the text similarity score of the search word and the brand word of the clicked commodity when the text of the search word comprises the brand word of the clicked commodity; when the text of the search word does not include the brand word of the clicked item, the text similarity between the search word and the brand word of the clicked item is zero.
In the embodiment of the present invention, the text type of the search word may include a chinese text and/or an english text. In the formula for calculating the text similarity score, calculation is performed only for the same text type, that is, the text similarity score of the Chinese name of the Chinese search word and the brand word of the clicked commodity is calculated, or the text similarity score of the English name of the English search word and the brand word of the clicked commodity is calculated. If the text type of a certain search word comprises both Chinese text and English text, word segmentation processing is firstly carried out on the search word according to different text types, and then text similarity scores of the search word and brand words of clicked commodities are calculated. The method comprises the steps of considering the composition of text types of search words before calculating text similarity scores, when the text type of a certain search word consists of a Chinese text and an English text, performing word segmentation processing on the search word, splitting the search word into a Chinese part and an English part, and then calculating the text similarity scores of the Chinese part and the English part respectively.
In the embodiment of the present invention, calculating the text similarity score of the search term and the brand term of the clicked item may include: when the text type of the search word is a Chinese text, the calculation formula of the text similarity score is as follows:
Figure BDA0001411823910000091
wherein,
Figure BDA0001411823910000092
for searching a word wjText similarity score with brand word b of clicked item, α1Factor is calculated for Chinese text similarity (in the embodiment of the present invention, α can be set according to actual conditions1For example, but not limited to setting α1Is 90) of the total weight of the steel,
Figure BDA0001411823910000093
for searching a word wjLength of text, LbThe length of the text of the brand word b of the clicked commodity, for example, the brand word is Hua's, the search word is Hua's mobile phone, and the Chinese text similarity calculation factor α1The text similarity score was calculated as 90 × 2/4 ═ 45, and was 90. When the text type of the search word is English text, the calculation formula of the text similarity score is as follows:
Figure BDA0001411823910000094
wherein,
Figure BDA0001411823910000095
for searching a word wjText similarity score with brand word b of clicked item, α2Calculating the factor for similarity of English text (in the embodiment of the present invention, α can be set according to actual conditions2For example, but not limited to setting α2Is 40) of the total weight of the steel,
Figure BDA0001411823910000096
for searching a word wjLength of character, Lb' is a search term wjThe text length of the brand word of the clicked commodity refers to the text length of the Chinese name of the brand word of the clicked commodity, and the character length of the brand word of the clicked commodity refers to the character length of the English name of the brand word of the clicked commodity2The text similarity score was calculated as 40 × 4/10 ═ 16 at 40.
In an embodiment of the present invention, before calculating the correlation between the search term and the brand term of the clicked item, the method for generating the brand derivative term may include: and respectively carrying out normalization calculation on the click score and the text similarity score. The formula for performing normalized calculation on the click score may be:
Figure BDA0001411823910000101
wherein,
Figure BDA0001411823910000102
for normalized search terms wjAnd a click score of a brand word b of the clicked item, n representing the total number of all search terms corresponding to the brand word b.
After the click score and the text similarity score of the search word and the brand word of the clicked commodity are calculated, the calculated point integral and the text similarity score are respectively subjected to normalization calculation, and then the correlation degree of the search word and the brand word of the clicked commodity is calculated.
In the embodiment of the present invention, the formula for calculating the correlation may be:
Figure BDA0001411823910000103
wherein,
Figure BDA0001411823910000104
for searching a word wjThe correlation degree with the brand word b of the clicked commodity, β and γ are correlation degree calculation factors (in the embodiment of the present invention, the values of β and γ may be set according to practical situations, for example, β may be set to 0.7 without limitation, γ may be set to 0.3 without limitation),
Figure BDA0001411823910000105
for normalized search terms wjAnd a click score of brand word b of the clicked item,
Figure BDA0001411823910000106
for normalized search terms wjAnd the similar score with the text of the brand word b of the clicked commodity. When the correlation degree is greater than a preset threshold (in the embodiment of the present invention, the preset threshold may be set according to an actual situation, for example, the preset threshold may be set to be, but is not limited to be, 0.5), the search term is selected as the brand derivative term.
FIG. 2 is a schematic diagram of a main flow of a method of generating brand-derived words, according to an embodiment of the invention. As shown in FIG. 2, the main flow of the method for generating brand derivative words according to the embodiment of the present invention includes: filtering user search data; extracting search terms according to the filtered user search data; extracting brand words of clicked commodities based on click behavior data of the search words; calculating click points of the search terms and the brand terms of the clicked commodities; calculating text similarity scores of the search terms and the brand terms of the clicked commodities; respectively carrying out normalization calculation on the click score and the text similarity score; calculating the correlation degree of the search word and the brand word of the clicked commodity according to the normalized click score and the normalized text similarity score; and judging whether the correlation degree is greater than a preset threshold value, and if the correlation degree is greater than the preset threshold value, selecting the search word as a brand derivative word.
In the step of filtering the user search data, the filtered user search data includes browsing behavior data based on a search term and clicking behavior data based on the search term.
In the method for generating brand derivative words according to the embodiment of the present invention, the order of extracting the search terms and extracting the brand terms of the clicked item may be, but not limited to, the order shown in fig. 2, and may also be set in combination with specific different service requirements.
In the step of calculating the text similarity scores of the search word and the brand word of the clicked commodity, the text similarity scores of the search word and the brand word of the clicked commodity are calculated. FIG. 3 is a schematic main flowchart of a method for generating brand derivative words according to an embodiment of the present invention, in which text similarity scores of brand words of search terms and clicked goods are calculated. As shown in fig. 3, the main process of calculating the text similarity score of the search term and the brand term of the clicked item according to the method for generating brand derivative terms of the embodiment of the present invention includes: judging whether the text of the search word includes the brand word of the clicked commodity, if the text of the search word does not include the brand word of the clicked commodity, the similarity of the texts of the search word and the brand word of the clicked commodity is zero; judging whether the text type of the search word comprises a Chinese text and an English text, if so, performing word segmentation processing on the search word according to different text types; and calculating the text similarity score of the search word and the brand word of the clicked commodity according to a text similarity score calculation formula.
In the method for generating a brand derivative word according to the embodiment of the present invention, the order of calculating the click score and calculating the text similarity score may be, but not limited to, the order shown in fig. 2, and may also be set in combination with specific different service requirements.
In the step of respectively carrying out normalization calculation on the click score and the text similarity score, respectively carrying out normalization calculation on the click score and the text similarity score. The formula for performing normalized calculation on the click score may be:
Figure BDA0001411823910000121
wherein,
Figure BDA0001411823910000122
for normalized search terms wjAnd clicked goodsAnd n represents the total number of all search terms corresponding to brand term b. The formula for performing normalization calculation on the text similarity can be as follows:
Figure BDA0001411823910000123
wherein,
Figure BDA0001411823910000124
for normalized search terms wjAnd a text similarity score of the brand word b of the clicked item, wherein n represents the total number of all search words corresponding to the brand word b.
In the embodiment of the present invention, the formula for performing normalization calculation on the click score and the formula for performing normalization calculation on the text similarity may be, but not limited to, the formulas described above, and may also be a formula for performing normalization calculation on the click score and a formula for performing normalization calculation on the text similarity according to the actual scene setting.
According to the technical scheme for generating the brand derivative words, the correlation degree between the extracted search words and the brand words of the clicked commodities is calculated, the search words with the correlation degree larger than the preset threshold value are selected as the brand derivative words, and the brand derivative word bank is generated, so that the requirement that a user can directly reach brand stores and commodities quickly can be met when the user uses the words in the brand derivative word bank as the search words, and the user search experience is improved; according to the embodiment of the invention, by filtering the user search data, illegal user data can be filtered, and the accuracy of the generated brand derivative word is improved; in the embodiment of the invention, the search terms are unified, so that the format of the search terms can be standardized; in the calculation formula of the click points of the search words and the brand words of the clicked commodities, the times of the search words in unit time and the exposure data of the brand words of the clicked commodities in unit time are counted, so that the updating of data can be considered, and outdated data can be discarded; in the calculation formula of the text similarity score of the search word and the brand word of the clicked commodity, different calculation methods are provided for the Chinese text and the English text, so that the accuracy of the text similarity score can be improved; in the embodiment of the invention, the search terms with the correlation degree larger than the preset threshold are selected as the brand derivative terms, so that the preset threshold can be set according to application requirements, and the flexibility of the generated brand derivative terms is improved.
FIG. 4 is a schematic diagram of the major modules of an apparatus for generating brand-derived words, according to an embodiment of the present invention. As shown in FIG. 4, theapparatus 400 for generating brand derivatives of the present invention mainly comprises the following modules: searchterm extraction module 401, brandterm extraction module 402, andcalculation module 403.
The searchterm extraction module 401 may be configured to extract a search term according to the obtained user search data. The user search data comprises browsing behavior data and click behavior data which are performed by a user on the electronic commerce platform through search words. The brandword extracting module 402 may be configured to extract a brand word of a clicked item according to click behavior data based on the search word. After the searchterm extraction module 401 extracts the search term and the brandterm extraction module 402 extracts the brand term of the clicked commodity, thecalculation module 403 may be configured to calculate a correlation between the search term and the brand term of the clicked commodity, and select the search term with the correlation greater than a preset threshold as a brand derivative term.
In this embodiment of the present invention, the searchterm extraction module 401 may further be configured to: filtering the user search data before extracting the search terms according to the acquired user search data. Before extracting the search terms, the searchterm extraction module 401 filters the user search data, so that illegal user search data can be filtered out, and the legality of the user search data is guaranteed.
In this embodiment of the present invention, the searchterm extraction module 401 may further be configured to: and extracting search words in the user search data, and carrying out unification processing on the search words. After the search term is extracted, the searchterm extraction module 401 is configured to perform normalization processing on the extracted search term, and may normalize the extracted search term.
In this embodiment of the present invention, the calculatingmodule 403 may further be configured to: calculating click points of the search terms and the brand terms of the clicked commodities; calculating text similarity scores of the search terms and the brand terms of the clicked commodities; and calculating the correlation between the search word and the brand word of the clicked commodity based on the click score and the text similarity score. After the searchterm extraction module 401 extracts the search term and the brandterm extraction module 402 extracts the brand term of the clicked commodity, thecalculation module 403 may be configured to calculate point scores and text similarity scores of the search term and the brand term of the clicked commodity, respectively, then calculate a degree of correlation between the search term and the brand term of the clicked commodity, then compare the degree of correlation with a preset threshold, and finally select the search term with the degree of correlation greater than the preset threshold as a brand derivative term according to the comparison result.
In the embodiment of the present invention, the calculation formula of the click score may be:
Figure BDA0001411823910000141
wherein,
Figure BDA0001411823910000142
for searching a word wjAnd a click score of brand word b of the clicked item,
Figure BDA0001411823910000143
for searching a word wjThe number of times of the brand word b corresponding to the clicked item,
Figure BDA0001411823910000144
for searching for a word w in a unit timejNumber of searches of, AvgSearchTimesbExposure data of the brand word b of the clicked commodity in unit time is shown, wherein the exposure data of the brand word b of the clicked commodity represents the number of times of showing the brand word b of the clicked commodity.
In this embodiment of the present invention, the calculatingmodule 403 may further be configured to: before calculating the text similarity scores of the search terms and the brand terms of the clicked commodity, judging whether the text of the search terms comprises the brand terms of the clicked commodity or not, and if so, calculating the text similarity scores of the search terms and the brand terms of the clicked commodity.
In embodiments of the present invention, the text type of the search term may include a Chinese text and/or an English text, an
Thecalculation module 403 may also be used to: if the text type of a certain search word comprises both Chinese text and English text, word segmentation processing is firstly carried out on the search word according to different text types, and then text similarity scores of the search word and brand words of clicked commodities are calculated.
In this embodiment of the present invention, the calculatingmodule 403 may further be configured to: when the text type of the search word is a Chinese text, the calculation formula of the text similarity score is as follows:
Figure BDA0001411823910000145
wherein,
Figure BDA0001411823910000146
for searching a word wjText similarity score with brand word b of clicked item, α1A factor is calculated for the similarity of the chinese text,
Figure BDA0001411823910000147
for searching a word wjLength of text, LbThe text length of the brand word b of the clicked commodity; when the text type of the search word is English text, the calculation formula of the text similarity score is as follows:
Figure BDA0001411823910000151
wherein,
Figure BDA0001411823910000152
for searching a word wjText similarity score with brand word b of clicked item, α2For the similar calculation factor of the english text,
Figure BDA0001411823910000153
for searching a word wjLength of character, Lb' is a search term wjCharacter length of prefix wordAnd (4) degree.
In this embodiment of the present invention, the calculatingmodule 403 may further be configured to: before the relevance of the search word and the brand word of the clicked commodity is calculated, the click score and the text similarity score are respectively subjected to normalization calculation.
In the embodiment of the present invention, the formula for calculating the correlation may be:
Figure BDA0001411823910000154
wherein,
Figure BDA0001411823910000155
for searching a word wjThe relevancy to the brand word b of the clicked commodity is β, the relevancy calculation factor of the click score is gamma, the relevancy calculation factor of the text similarity score is gamma,
Figure BDA0001411823910000156
for normalized search terms wjAnd a click score of brand word b of the clicked item,
Figure BDA0001411823910000157
for normalized search terms wjAnd the similar score with the text of the brand word b of the clicked commodity.
From the above description, the relevance between the extracted search word and the brand word of the clicked commodity is calculated, the search word with the relevance larger than the preset threshold is selected as the brand derivative word, and the brand derivative word library is generated, so that the requirement that a user can directly reach the brand shop and the commodity quickly can be met when the user uses the word in the brand derivative word library as the search word, and the user search experience is improved; according to the embodiment of the invention, by filtering the user search data, illegal user data can be filtered, and the accuracy of the generated brand derivative word is improved; in the embodiment of the invention, the search terms are unified, so that the format of the search terms can be standardized; in the calculation formula of the click points of the search words and the brand words of the clicked commodities, the times of the search words in unit time and the exposure data of the brand words of the clicked commodities in unit time are counted, so that the updating of data can be considered, and outdated data can be discarded; in the calculation formula of the text similarity score of the search word and the brand word of the clicked commodity, different calculation methods are provided for the Chinese text and the English text, so that the accuracy of the text similarity score can be improved; in the embodiment of the invention, the search terms with the correlation degree larger than the preset threshold are selected as the brand derivative terms, so that the preset threshold can be set according to application requirements, and the flexibility of the generated brand derivative terms is improved.
FIG. 5 illustrates anexemplary system architecture 500 to which a method of generating brand derivatives or an apparatus for generating brand derivatives of embodiments of the present invention may be applied.
As shown in fig. 5, thesystem architecture 500 may includeterminal devices 501, 502, 503, anetwork 504, and aserver 505. Thenetwork 504 serves to provide a medium for communication links between theterminal devices 501, 502, 503 and theserver 505.Network 504 may include various connection types, such as wired, wireless communication links, or fiber optic cables, to name a few.
The user may use theterminal devices 501, 502, 503 to interact with aserver 505 over anetwork 504 to receive or send messages or the like. Theterminal devices 501, 502, 503 may have installed thereon various communication client applications, such as shopping-like applications, web browser applications, search-like applications, instant messaging tools, mailbox clients, social platform software, etc. (by way of example only).
Theterminal devices 501, 502, 503 may be various electronic devices having a display screen and supporting web browsing, including but not limited to smart phones, tablet computers, laptop portable computers, desktop computers, and the like.
Theserver 505 may be a server providing various services, such as a background management server (for example only) providing support for shopping websites browsed by users using theterminal devices 501, 502, 503. The backend management server may analyze and perform other processing on the received data such as the product information query request, and feed back a processing result (for example, target push information, product information — just an example) to the terminal device.
It should be noted that the method for generating the brand derivative provided by the embodiment of the present invention is generally executed by theserver 505, and accordingly, the apparatus for generating the brand derivative is generally disposed in theserver 505.
It should be understood that the number of terminal devices, networks, and servers in fig. 5 is merely illustrative. There may be any number of terminal devices, networks, and servers, as desired for implementation.
Referring now to FIG. 6, a block diagram of acomputer system 600 suitable for use with a terminal device implementing an embodiment of the invention is shown. The terminal device shown in fig. 6 is only an example, and should not bring any limitation to the functions and the scope of use of the embodiments of the present invention.
As shown in fig. 6, thecomputer system 600 includes a Central Processing Unit (CPU)601 that can perform various appropriate actions and processes according to a program stored in a Read Only Memory (ROM)602 or a program loaded from astorage section 608 into a Random Access Memory (RAM) 603. In theRAM 603, various programs and data necessary for the operation of thesystem 600 are also stored. TheCPU 601,ROM 602, andRAM 603 are connected to each other via abus 604. An input/output (I/O)interface 605 is also connected tobus 604.
The following components are connected to the I/O interface 605: aninput portion 606 including a keyboard, a mouse, and the like; anoutput portion 607 including a display such as a Cathode Ray Tube (CRT), a Liquid Crystal Display (LCD), and the like, and a speaker; astorage section 608 including a hard disk and the like; and acommunication section 609 including a network interface card such as a LAN card, a modem, or the like. Thecommunication section 609 performs communication processing via a network such as the internet. Thedriver 610 is also connected to the I/O interface 605 as needed. Aremovable medium 611 such as a magnetic disk, an optical disk, a magneto-optical disk, a semiconductor memory, or the like is mounted on thedrive 610 as necessary, so that a computer program read out therefrom is mounted in thestorage section 608 as necessary.
In particular, according to the embodiments of the present disclosure, the processes described above with reference to the flowcharts may be implemented as computer software programs. For example, embodiments of the present disclosure include a computer program product comprising a computer program embodied on a computer readable medium, the computer program comprising program code for performing the method illustrated in the flow chart. In such an embodiment, the computer program may be downloaded and installed from a network through thecommunication section 609, and/or installed from theremovable medium 611. The computer program performs the above-described functions defined in the system of the present invention when executed by the Central Processing Unit (CPU) 601.
It should be noted that the computer readable medium shown in the present invention can be a computer readable signal medium or a computer readable storage medium or any combination of the two. A computer readable storage medium may be, for example, but not limited to, an electronic, magnetic, optical, electromagnetic, infrared, or semiconductor system, apparatus, or device, or any combination of the foregoing. More specific examples of the computer readable storage medium may include, but are not limited to: an electrical connection having one or more wires, a portable computer diskette, a hard disk, a Random Access Memory (RAM), a read-only memory (ROM), an erasable programmable read-only memory (EPROM or flash memory), an optical fiber, a portable compact disc read-only memory (CD-ROM), an optical storage device, a magnetic storage device, or any suitable combination of the foregoing. In the present invention, a computer readable storage medium may be any tangible medium that can contain, or store a program for use by or in connection with an instruction execution system, apparatus, or device. In the present invention, however, a computer readable signal medium may include a propagated data signal with computer readable program code embodied therein, for example, in baseband or as part of a carrier wave. Such a propagated data signal may take many forms, including, but not limited to, electro-magnetic, optical, or any suitable combination thereof. A computer readable signal medium may also be any computer readable medium that is not a computer readable storage medium and that can communicate, propagate, or transport a program for use by or in connection with an instruction execution system, apparatus, or device. Program code embodied on a computer readable medium may be transmitted using any appropriate medium, including but not limited to: wireless, wire, fiber optic cable, RF, etc., or any suitable combination of the foregoing.
The flowchart and block diagrams in the figures illustrate the architecture, functionality, and operation of possible implementations of systems, methods and computer program products according to various embodiments of the present invention. In this regard, each block in the flowchart or block diagrams may represent a module, segment, or portion of code, which comprises one or more executable instructions for implementing the specified logical function(s). It should also be noted that, in some alternative implementations, the functions noted in the block may occur out of the order noted in the figures. For example, two blocks shown in succession may, in fact, be executed substantially concurrently, or the blocks may sometimes be executed in the reverse order, depending upon the functionality involved. It will also be noted that each block of the block diagrams or flowchart illustration, and combinations of blocks in the block diagrams or flowchart illustration, can be implemented by special purpose hardware-based systems which perform the specified functions or acts, or combinations of special purpose hardware and computer instructions.
The modules described in the embodiments of the present invention may be implemented by software or hardware. The described modules may also be provided in a processor, which may be described as: a processor comprises a search term extraction module, a brand term extraction module and a calculation module. The names of these modules do not constitute a limitation to the module itself in some cases, and for example, the search term extraction module may also be described as a "module for extracting a search term from acquired user search data".
As another aspect, the present invention also provides a computer-readable medium that may be contained in the apparatus described in the above embodiments; or may be separate and not incorporated into the device. The computer readable medium carries one or more programs which, when executed by a device, cause the device to comprise: extracting search terms according to the acquired user search data, wherein the user search data comprises browsing behavior data based on the search terms and clicking behavior data based on the search terms; extracting brand words of clicked commodities according to click behavior data based on the search words; and calculating the correlation degree of the search terms and the brand terms of the clicked commodities, and selecting the search terms with the correlation degree larger than a preset threshold value as brand derivative terms.
According to the technical scheme of the embodiment of the invention, the relevance between the extracted search word and the brand word of the clicked commodity is calculated, and the search word with the relevance larger than the preset threshold value is selected as the brand derivative word to generate the brand derivative word library, so that the requirement that a user can directly reach brand shops and commodities quickly can be met when the user uses the word in the brand derivative word library as the search word, and the user search experience is improved; according to the embodiment of the invention, by filtering the user search data, illegal user data can be filtered, and the accuracy of the generated brand derivative word is improved; in the embodiment of the invention, the search terms are unified, so that the format of the search terms can be standardized; in the calculation formula of the click points of the search words and the brand words of the clicked commodities, the times of the search words in unit time and the exposure data of the brand words of the clicked commodities in unit time are counted, so that the updating of data can be considered, and outdated data can be discarded; in the calculation formula of the text similarity score of the search word and the brand word of the clicked commodity, different calculation methods are provided for the Chinese text and the English text, so that the accuracy of the text similarity score can be improved; in the embodiment of the invention, the search terms with the correlation degree larger than the preset threshold are selected as the brand derivative terms, so that the preset threshold can be set according to application requirements, and the flexibility of the generated brand derivative terms is improved.
The above-described embodiments should not be construed as limiting the scope of the invention. Those skilled in the art will appreciate that various modifications, combinations, sub-combinations, and substitutions can occur, depending on design requirements and other factors. Any modification, equivalent replacement, and improvement made within the spirit and principle of the present invention should be included in the protection scope of the present invention.

Claims (11)

1. A method of generating a brand-derived word, comprising:
extracting search terms according to the obtained user search data, wherein the user search data comprises browsing behavior data based on the search terms and clicking behavior data based on the search terms;
extracting brand words of clicked commodities according to the click behavior data based on the search words;
calculating click points of the search terms and the brand terms of the clicked commodities, and calculating text similarity points of the search terms and the brand terms of the clicked commodities;
and calculating the correlation degree of the search word and the brand word of the clicked commodity based on the click score and the text similarity score, selecting the search word with the correlation degree larger than a preset threshold value as a brand derivative word, and generating a brand derivative word bank so that the user can directly reach the brand shop and the commodity quickly.
2. The method of claim 1, prior to extracting search terms from the obtained user search data, further comprising: filtering the user search data; and
the extracting of the search terms according to the acquired user search data includes: and extracting search terms in the user search data, and carrying out unification processing on the search terms.
3. The method of claim 1, wherein the click score is calculated by the formula:
Figure FDA0002383086350000011
wherein,
Figure FDA0002383086350000012
for searching a word wjAnd a click score of brand word b of the clicked item,
Figure FDA0002383086350000013
for searching a word wjThe number of times of the brand word b corresponding to the clicked item,
Figure FDA0002383086350000014
for searching for a word w in a unit timejNumber of searches of, AvgSearchTimesbExposure data of the brand word b of the clicked commodity in unit time is shown, wherein the exposure data of the brand word b of the clicked commodity represents the number of times of showing the brand word b of the clicked commodity.
4. The method of claim 1, wherein prior to calculating the textual similarity score for the search term and the brand term for the clicked item, the method further comprises: and judging whether the text of the search word comprises the brand word of the clicked commodity, and if so, calculating the text similarity score of the search word and the brand word of the clicked commodity.
5. The method of claim 4, wherein the text type of the search term comprises Chinese text and/or English text, and
if the text type of a certain search word comprises both Chinese text and English text, performing word segmentation processing on the search word according to different text types, and then calculating text similarity scores of the search word and brand words of the clicked commodity.
6. The method of claim 5, wherein calculating textual similarity scores for the search terms and brand terms of the clicked item comprises:
when the text type of the search word is a Chinese text, the calculation formula of the text similarity score is as follows:
Figure FDA0002383086350000021
wherein,
Figure FDA0002383086350000022
for searching a word wjText similarity score with brand word b of clicked item, α1A factor is calculated for the similarity of the chinese text,
Figure FDA0002383086350000023
for searching a word wjLength of text, LbThe text length of the brand word b of the clicked commodity;
when the text type of the search word is an English text, the calculation formula of the text similarity score is as follows:
Figure FDA0002383086350000024
wherein,
Figure FDA0002383086350000025
for searching a word wjText similarity score with brand word b of clicked item, α2For the similar calculation factor of the english text,
Figure FDA0002383086350000026
for searching a word wjLength of character, Lb' is a search term wjThe character length of the prefix word.
7. The method of claim 1, wherein prior to calculating the relevance of the search terms to brand terms of the clicked item, the method comprises: and respectively carrying out normalization calculation on the click score and the text similarity score.
8. The method of claim 7, wherein the correlation is calculated by:
Figure FDA0002383086350000031
wherein,
Figure FDA0002383086350000032
for searching a word wjThe relevancy to the brand word b of the clicked commodity is β, the relevancy calculation factor of the click score is gamma, the relevancy calculation factor of the text similarity score is gamma,
Figure FDA0002383086350000033
for normalized search terms wjAnd a click score of brand word b of the clicked item,
Figure FDA0002383086350000034
for normalized search terms wjAnd the similar score with the text of the brand word b of the clicked commodity.
9. An apparatus that generates a brand-derived word, comprising:
the search word extraction module is used for extracting search words according to the obtained user search data, and the user search data comprises browsing behavior data based on the search words and clicking behavior data based on the search words;
the brand word extraction module is used for extracting the brand words of the clicked commodities according to the click behavior data based on the search words;
the calculation module is used for calculating click points of the search words and the brand words of the clicked commodities, calculating text similarity points of the search words and the brand words of the clicked commodities, calculating the correlation degree of the search words and the brand words of the clicked commodities based on the click points and the text similarity points, selecting the search words with the correlation degree larger than a preset threshold value as brand derivative words, and generating a brand derivative word bank so that a user can quickly reach shop brands and commodities.
10. An electronic device, comprising:
one or more processors;
a storage device for storing one or more programs,
when executed by the one or more processors, cause the one or more processors to implement the method of any one of claims 1-8.
11. A computer-readable medium, on which a computer program is stored, which, when being executed by a processor, carries out the method according to any one of claims 1-8.
CN201710845931.5A2017-09-192017-09-19Method and device for generating brand derivative wordsActiveCN107679119B (en)

Priority Applications (1)

Application NumberPriority DateFiling DateTitle
CN201710845931.5ACN107679119B (en)2017-09-192017-09-19Method and device for generating brand derivative words

Applications Claiming Priority (1)

Application NumberPriority DateFiling DateTitle
CN201710845931.5ACN107679119B (en)2017-09-192017-09-19Method and device for generating brand derivative words

Publications (2)

Publication NumberPublication Date
CN107679119A CN107679119A (en)2018-02-09
CN107679119Btrue CN107679119B (en)2020-06-30

Family

ID=61137476

Family Applications (1)

Application NumberTitlePriority DateFiling Date
CN201710845931.5AActiveCN107679119B (en)2017-09-192017-09-19Method and device for generating brand derivative words

Country Status (1)

CountryLink
CN (1)CN107679119B (en)

Families Citing this family (10)

* Cited by examiner, † Cited by third party
Publication numberPriority datePublication dateAssigneeTitle
CN110457568A (en)*2018-05-032019-11-15北京京东尚科信息技术有限公司 Brand word recognition method and system, object recommendation method and system
CN110727851B (en)*2018-06-282023-11-03北京京东尚科信息技术有限公司Method and system for mining article, electronic equipment and readable storage medium
CN110851693B (en)*2018-07-272024-06-18北京京东尚科信息技术有限公司Method, system and server cluster for searching
CN110807083A (en)*2018-08-022020-02-18北京京东尚科信息技术有限公司Keyword evaluation method and device
CN110889050B (en)*2018-09-072024-07-30北京搜狗科技发展有限公司Method and device for mining brand words
CN110968775A (en)*2018-09-302020-04-07北京京东尚科信息技术有限公司Training method of commodity attribute generation model, generation method, search method and system
CN111695028B (en)*2019-03-152025-02-25北京京东尚科信息技术有限公司 Similar word determination method and device, electronic device, and storage medium
CN111782913A (en)*2019-08-282020-10-16北京京东尚科信息技术有限公司Method and device for determining brand intention words
CN113297511B (en)*2021-05-242022-09-16北京三快在线科技有限公司Method and device for constructing merchant ranking model, server and storage medium
CN115599768B (en)*2022-10-192023-06-09深圳市灵智数字科技有限公司Association word library construction method, association word recommendation method and device

Citations (5)

* Cited by examiner, † Cited by third party
Publication numberPriority datePublication dateAssigneeTitle
CN101515360A (en)*2009-04-132009-08-26阿里巴巴集团控股有限公司Method and server for recommending network object information to user
CN102375885A (en)*2011-10-212012-03-14北京百度网讯科技有限公司Method and device for providing search suggestions corresponding to query sequence
CN103942712A (en)*2014-05-092014-07-23北京联时空网络通信设备有限公司Product similarity based e-commerce recommendation system and method thereof
CN104008186A (en)*2014-06-112014-08-27北京京东尚科信息技术有限公司Method and device for determining keywords in target text
CN106610972A (en)*2015-10-212017-05-03阿里巴巴集团控股有限公司Query rewriting method and apparatus

Patent Citations (5)

* Cited by examiner, † Cited by third party
Publication numberPriority datePublication dateAssigneeTitle
CN101515360A (en)*2009-04-132009-08-26阿里巴巴集团控股有限公司Method and server for recommending network object information to user
CN102375885A (en)*2011-10-212012-03-14北京百度网讯科技有限公司Method and device for providing search suggestions corresponding to query sequence
CN103942712A (en)*2014-05-092014-07-23北京联时空网络通信设备有限公司Product similarity based e-commerce recommendation system and method thereof
CN104008186A (en)*2014-06-112014-08-27北京京东尚科信息技术有限公司Method and device for determining keywords in target text
CN106610972A (en)*2015-10-212017-05-03阿里巴巴集团控股有限公司Query rewriting method and apparatus

Also Published As

Publication numberPublication date
CN107679119A (en)2018-02-09

Similar Documents

PublicationPublication DateTitle
CN107679119B (en)Method and device for generating brand derivative words
JP6511487B2 (en) Method and apparatus for information push
CN107241260B (en)News pushing method and device based on artificial intelligence
CN108804450B (en)Information pushing method and device
CN107330752B (en)Method and device for identifying brand words
CN106960030B (en)Information pushing method and device based on artificial intelligence
CN107908662B (en)Method and device for realizing search system
CN109992766B (en)Method and device for extracting target words
US20210042470A1 (en)Method and device for separating words
CN107609192A (en)The supplement searching method and device of a kind of search engine
CN107908616B (en)Method and device for predicting trend words
US9886711B2 (en)Product recommendations over multiple stores
CN111767420B (en)Method and device for generating clothing collocation data
CN110874532B (en) Method and device for extracting keywords from feedback information
US9330075B2 (en)Method and apparatus for identifying garbage template article
CN110020312B (en)Method and device for extracting webpage text
CN110750707A (en)Keyword recommendation method and device and electronic equipment
CN111414523A (en)Data acquisition method and device
CN112784596A (en)Method and device for identifying sensitive words
CN114186147A (en)Data processing method and device, electronic equipment and storage medium
CN108959289B (en)Website category acquisition method and device
CN110750708A (en)Keyword recommendation method and device and electronic equipment
CN107679030B (en)Method and device for extracting synonyms based on user operation behavior data
CN110647623B (en)Method and device for updating information
CN111368693A (en)Identification method and device for identity card information

Legal Events

DateCodeTitleDescription
PB01Publication
PB01Publication
SE01Entry into force of request for substantive examination
SE01Entry into force of request for substantive examination
GR01Patent grant
GR01Patent grant

[8]ページ先頭

©2009-2025 Movatter.jp