Movatterモバイル変換


[0]ホーム

URL:


CN107657392B - A Granular Computing Method for Large-scale Economic Dispatching Problems in Power Grids - Google Patents

A Granular Computing Method for Large-scale Economic Dispatching Problems in Power Grids
Download PDF

Info

Publication number
CN107657392B
CN107657392BCN201711015397.1ACN201711015397ACN107657392BCN 107657392 BCN107657392 BCN 107657392BCN 201711015397 ACN201711015397 ACN 201711015397ACN 107657392 BCN107657392 BCN 107657392B
Authority
CN
China
Prior art keywords
unit
power
output power
particles
equivalent
Prior art date
Legal status (The legal status is an assumption and is not a legal conclusion. Google has not performed a legal analysis and makes no representation as to the accuracy of the status listed.)
Active
Application number
CN201711015397.1A
Other languages
Chinese (zh)
Other versions
CN107657392A (en
Inventor
李学平
郭东成
方亮星
Current Assignee (The listed assignees may be inaccurate. Google has not performed a legal analysis and makes no representation or warranty as to the accuracy of the list.)
Baoding Trillion Micro Software Technology Co ltd
Hebei Kaitong Information Technology Service Co ltd
Original Assignee
Yanshan University
Priority date (The priority date is an assumption and is not a legal conclusion. Google has not performed a legal analysis and makes no representation as to the accuracy of the date listed.)
Filing date
Publication date
Application filed by Yanshan UniversityfiledCriticalYanshan University
Priority to CN201711015397.1ApriorityCriticalpatent/CN107657392B/en
Publication of CN107657392ApublicationCriticalpatent/CN107657392A/en
Application grantedgrantedCritical
Publication of CN107657392BpublicationCriticalpatent/CN107657392B/en
Activelegal-statusCriticalCurrent
Anticipated expirationlegal-statusCritical

Links

Images

Classifications

Landscapes

Abstract

Translated fromChinese

本发明公开了一种针对电网大规模经济调度问题的粒计算方法,包括:1、建立经济调度模型,包括其目标函数和约束条件;2、将电网进行分层粒化;3、参数的等效;4、粒度的划分;5、约束条件的处理;6、采用粒计算方法优化机组出力。本发明的有益效果:考虑因素全面,提高了计算精度;提出分层粒化,应用层次分析法求解问题,大大降低求解时间,提高求解效率;对于大规模电力网络,如果采用合适的机组划分方法和对粒子的参数等效,可以解决收敛难的问题,还能提高计算速度。

Figure 201711015397

The invention discloses a granular computing method for the large-scale economic dispatching problem of power grid, including: 1. establishing an economic dispatching model, including its objective function and constraint conditions; 2. granulating the power grid in layers; 4. The division of granularity; 5. The treatment of constraints; 6. The unit output is optimized by the granular calculation method. Beneficial effects of the invention: considering factors comprehensively, the calculation accuracy is improved; hierarchical granulation is proposed, and the AHP is used to solve the problem, which greatly reduces the solving time and improves the solving efficiency; for large-scale power networks, if a suitable unit division method is adopted Equivalent to the parameters of particles, it can solve the problem of difficult convergence and improve the calculation speed.

Figure 201711015397

Description

Particle calculation method for large-scale economic dispatching problem of power grid
Technical Field
The invention relates to the technical field of economic dispatching of a power system, in particular to a particle calculation method aiming at a large-scale economic dispatching problem.
Background
The economic dispatching takes the lowest power supply cost or energy consumption of the whole network as an objective function, carries out dispatching according to an equal micro-increment rate method and a coordination equation, is an important tool for realizing the economic operation of a power system, is a scientific method in an operation link, and is a dispatching principle generally adopted by various countries in the world so far. At present, the problems mainly encountered in the online economic dispatching research of a large power grid are that the data volume is large, the time period of acquisition and operation is long, and the running condition of the power grid is difficult to reflect in real time, so that the economic dispatching is difficult to realize. The economic dispatching of the power system is a high-dimensional, non-convex and non-linear constrained optimization problem, so that the solution of the problem, particularly the treatment of the mutual coupling constraint condition is very difficult. China power system insists on centralized dispatching for a long time. The centralized scheduling makes the solution of the economic scheduling of the power system more difficult, and an effective method for solving the economic scheduling of the large power grid needs to be found urgently. Therefore, the method has important significance for the research on the problem solving of the large power grid economic dispatching.
Disclosure of Invention
The invention aims to provide a particle computing method for solving the large-scale economic scheduling problem of a power grid, which adopts a layering method to decompose the economic scheduling problem into multiple layers so as to reduce the computational complexity, shorten the computation time and improve the accuracy and efficiency of load flow computation.
In order to realize the purpose, the following technical scheme is adopted: the method comprises the following steps:
step 1, establishing an economic dispatching model, including a target function and constraint conditions thereof;
step 2, layering and granulating the power grid;
step 3, equivalence of parameters;
step 4, dividing the granularity;
step 5, processing constraint conditions;
and 6, optimizing the network load flow by adopting a particle calculation method.
Further, instep 1, the specific process of establishing the economic dispatch model is as follows:
step 1-1, establishing an objective function
Under the condition that constraint conditions are met, the lowest total power generation cost of the generator is taken as an objective function, and the mathematical expression is as follows:
Figure GDA0002720968750000021
in the formula PG,iIs the output power of the ith generator; a isi,bi,ciIs the cost factor of the generator set i; n is the number of total generators;
step 1-2, setting constraint conditions of the model, wherein the constraint conditions comprise system power balance constraint and conventional unit output upper and lower limit constraint;
the specific constraint conditions are as follows:
1) system power balance constraints
Figure GDA0002720968750000022
In the formula PDTotal load demand; pLossIs the line loss.
Neglecting line losses, equation (2) is modified to:
Figure GDA0002720968750000031
2) upper and lower limits of output of conventional unit
Figure GDA0002720968750000032
In the formula Pimin,PimaxIs the minimum and maximum output power of the generator i.
Further, the specific process ofstep 2 is as follows:
according to a layered quotient space method, granulating a power network, collecting a plurality of fine particles with similar properties to form coarse particles as an equivalent unit, or collecting some coarse particles to form coarse particles as an equivalent unit; all coarse particles are divided into a plurality of layers to form a hierarchical quotient space; the coarse particles are refined into fine particles from the upper layer by layer, the output power of each layer can be obtained after calculation of each layer is completed, the output power is respectively transmitted to the corresponding fine particles to serve as the load requirement of the next layer, and the result of the fine particles of the last layer is the result of economic dispatching.
Further, the specific process ofstep 3 is as follows:
step 3-1, calculating equivalent parameters
In the economic dispatch model, the cost coefficient ai、bi、ciMinimum output power
Figure GDA0002720968750000033
Maximum output power
Figure GDA0002720968750000037
Calculations are required, in which they are replaced by equivalent parameters;
in the jth particle, the unit number is assumed to be m, and the equivalent principle is as follows:
Figure GDA0002720968750000034
Figure GDA0002720968750000035
(5) in the formula (I), the compound is shown in the specification,
Figure GDA0002720968750000038
is the equivalent cost coefficient for the jth particle; (6) in the formula PG,jIs the output power of the jth particle;
the equivalent parameters can be calculated as follows:
Figure GDA0002720968750000041
Figure GDA0002720968750000042
Figure GDA0002720968750000043
Figure GDA0002720968750000044
Figure GDA0002720968750000045
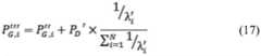
in the formula, Pjeqmin,PjeqmaxIs the equivalent minimum and equivalent maximum output power of the jth particle;
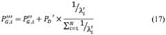
however, before the economic scheduling problem is solved, PG,iIs unknown. But equivalent parameters must be prepared prior to particle computation. An approximate method is therefore proposed to initialize PG,i
Step 3-2, initialization procedure
PG,iThe initialization of (2) is critical to the granularity calculation method, as it determines the equivalent parameters; the closer the initial output power is
Figure GDA0002720968750000049
The closer to the optimal value, the better the result will be shown; there are three steps to PG,iAnd (3) initializing:
first, initializing the output power of each unit
P′G,i=Pimin+(Pimax-Pimin)/2 (12)
Figure GDA0002720968750000048
P″G,i=σP′G,i (14)
P′G,iIs the average output power of unit i; σ is the load level coefficient; p ″)G,iIs the output power of unit i;
the process enables the output power of each unit to be close to the average power, and the power balance constraint is met;
second, forward migration
λ′i=2aiP″G,i+bi (15)
PD′=αPD (16)
Figure GDA0002720968750000051
λ′iIs the micro-increment rate of the ith unit; α is a positive number; pD' is load compensation; p'G,iIs the output power after the migration of the ith unit;
the process makes the unit have smaller lambda'iObtaining a relatively large positive deviation value;
third, negative migration
Figure GDA0002720968750000052
(18) In the formula (I), the compound is shown in the specification,
Figure GDA0002720968750000053
is the initialized output power of the ith unit;
this process gives the unit a greater lambda'iAnd obtaining a relatively large negative deviation amount; according to the increment principle, the second step and the third step can ensure that the output power is close to the optimal solution;
fourthly, balancing the constraints
The offset adjustment may result in unequal power constraints, so a constraint process is necessary to correct
Figure GDA0002720968750000061
The correction process is instep 5.
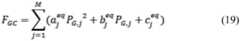
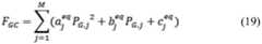
Step 3-3, granularity calculation model
After equivalence, the cost function formula of the granularity calculation is as follows:
Figure GDA0002720968750000062
(19) wherein M is the number of subparticles of the host particle;
the power balance constraint of the particle calculation is modified as follows:
Figure GDA0002720968750000063
(20) in the formula, PGDThe output power of the main particle is the load requirement of the next layer of sub-particles;
the power constraints of the particles are as follows:
Pjeqmin≤PG,j≤Pjeqmax (21)
in the particle size calculation method, one particle is considered as an equivalent unit; particles with one unit (M ═ 1) are called fine particles; the equivalent parameters of the fine particles are equal to the parameters of the unit contained in the fine particles; particles with more than one set of units (M > 1) are called coarse particles.
Further, thestep 4 is as follows:
particle size is an average measurement of particle size; when describing information, granularity is mainly used for measuring the abstraction degree of data information and knowledge; the particle size is determined by the number of units contained in the particles;
the obvious fluctuation point of the micro-increment rate divides the unit into particles, and the calculation formula of the micro-increment rate is as follows:
Figure GDA0002720968750000065
(22) in the formula, λiIs the micro-increment rate of the ith unit;
after calculation, sorting the micro-increment rates of all the units according to the sequence; separating the unit according to the obvious fluctuation point;
Figure GDA0002720968750000071
(23) in the formula, thetasIs the point of fluctuation of the micro-increment rate,
Figure GDA0002720968750000076
is the rank order fractional increase; s is a sequence number with increasing rate;
θsreact to
Figure GDA0002720968750000077
And
Figure GDA0002720968750000078
the difference in (a); if theta is greater than thetasIs significantly greater than the other values, then θsIs the point of significant fluctuation.
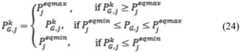
Further, the specific process ofstep 5 is as follows:
step 5-1, examining each
Figure GDA0002720968750000072
All elements are adjusted to satisfy the inequality constraint as follows:
Figure GDA0002720968750000073
(24) in the formula, if
Figure GDA0002720968750000079
Or
Figure GDA0002720968750000074
Then the transition variable TjSet to 0, otherwise
Figure GDA0002720968750000075
k is the current number of iterations;
step 5-2, by
Figure GDA00027209687500000710
Calculating PRIf | PRIf | is greater than ε, go to step 5-3, if | PRIf | ≦ epsilon, go tostep 4, epsilon is the precision requirement;
step 5-3, modification
Figure GDA00027209687500000711
To satisfy the following equation constraint:
Figure GDA0002720968750000081
step 5-4, checking all
Figure GDA0002720968750000086
If the inequality constraint is violated, returning to the step 5-1; if the inequality constraint is not violated, entering step 5-5;
5-5, stopping the constraint processing process;
calculating according to the steps, wherein the initial output power of the equivalent parameter is close to the actual power level, so that the equivalent parameter is more accurate; then hold
Figure GDA0002720968750000087
Put into equations (7) and (8), substitute for PG,jTo calculate
Figure GDA0002720968750000088
And
Figure GDA0002720968750000082
further, thestep 6 specifically includes:
and 6-1, parameter preparation. The basic parameters of all units need to be input, namely ai、bi、ci
Figure GDA0002720968750000083
And
Figure GDA0002720968750000084
calculating initial output power
Figure GDA0002720968750000085
Step 6-2, determining the hierarchical structure of the coarse particles and calculating parameters; determining a proper number of layers according to the scale of the power system; although the hierarchical method can improve the search efficiency and reduce the calculation time, the equivalent process causes deviation; accuracy is reduced if there is too much delamination; first layer M1Number of particles and maximum number of units n of second layermaxSetting is needed before calculation so as to guide the division process of the unit; when the unit division is completed, calculating equivalent parameters in the next part;
6-3, calculating the output power of the particles; the results are transferred accordingly to their sub-particles as the loading requirements for the next layer;
when the bottom layer particle calculation is completed, a final optimized solution is obtained.
Compared with the prior art, the invention has the following advantages:
1. the factors are considered comprehensively, and the calculation precision is improved;
2. providing a layered quotient space, applying an analytic hierarchy process, and solving the problem in a layered granulation manner, so that the solving time can be reduced, and the solving efficiency can be improved;
3. for a large-scale power network, if a reasonable hierarchical particle calculation method is adopted, the problem of difficult convergence can be solved, and the calculation speed can be increased.
Drawings
FIG. 1 is a 3-layer system configuration of an exemplary 10-unit system of the present invention.
FIG. 2 illustrates the micro-augmentation fluctuation of a 10-unit system according to the present invention.
FIG. 3 is a flow chart of particle computation for the method of the present invention.
Fig. 4 is a flow chart of the method of the present invention.
Detailed Description
The invention is further described below with reference to the accompanying drawings:
as shown in fig. 4, the method of the present invention includes the following steps:
step 1, establishing an economic dispatching model, including a target function and constraint conditions thereof;
step 1-1, the specific process of establishing the economic dispatching model is as follows:
under the condition that constraint conditions are met, the lowest total power generation cost of the generator is taken as an objective function, and the mathematical expression is as follows:
Figure GDA0002720968750000091
in the formula PG,iIs the output power of the ith generator; a isi,bi,ciIs the cost factor of the generator set i; n is the number of total generators;
step 1-2, setting constraint conditions of the model, wherein the constraint conditions comprise system power balance constraint and conventional unit output upper and lower limit constraint;
the specific constraint conditions are as follows:
1) system power balance constraints
Figure GDA0002720968750000101
In the formula PDTotal load demand; pLossIs the line loss;
neglecting line losses, equation (2) is modified to:
Figure GDA0002720968750000102
2) upper and lower limits of output of conventional unit
Figure GDA0002720968750000103
In the formula
Figure GDA0002720968750000104
Is the minimum and maximum output power of the generator i.
Step 2, layering and granulating the power grid;
the specific process of layering and granulating the power grid is as follows:
according to an analytic hierarchy process, a method for establishing a hierarchical quotient space is provided for an economic scheduling problem. To clarify the layered structure, a 10-unit power system is taken as an example. The numbers are #1- # 10. Assuming that the system can be divided into three layers, as shown in fig. 1, the respective characteristics of each layer are as follows:
1) a first layer: there are three coarse particles V11,V12,V13In this layer. V11Comprising four units (#1, #3, #6, #7), as shown in FIG. 1, V12(#2, #9) and V13(#4, #5, #8, #10) and V11As such. V11,V12,V13Are three equivalent units. Thus reducing the warpThe dimensionality of the scheduling problem is saved, and the optimization efficiency is improved. After this layer is calculated, V11,V12,V13Their output power can be derived and delivered to their sub-particles separately as the load demand of the next layer.
2) A second layer: the layer has six particles V21,V22,V23,V24,V25,V26。V21And V22Is V11Are considered to be equivalent sets, and V21And V22From V11A load demand is obtained. Host particle V11Is responsible for calculating V21And V22The power output of (1). Calculation of the other two particles and V11The transformation is similar. As shown in fig. 1, at V23,V24,V26There is only one set, so the results for these three particles are exactly the final power outputs of #9, #2, and #5, respectively. However, V21、V22、V25Can still be divided into several sub-particles in the third layer.
3) And a third layer: this layer is the bottom layer, which comprises seven particles, each V31,V32,V33,V34,V35,V36,V37. There is only one unit per particle. The calculation process is similar to the method of the second layer, including V21Is equivalent to V31And V32,V22Is equivalent to V33And V34,V25Is equivalent to V35、V36And V37. When all the calculation processes are completed, V31,V32,V33,V34,V35,V36,V37And V23,V24,V26The result is the final unit output result of 10 units.
In the design of the hierarchical model, a method for finding a reasonable equivalent parameter of the computer set is critical and has a remarkable influence on a final result.
Step 3, equivalence of parameters;
step 3-1, calculating equivalent parameters
In the economic dispatch model, the cost coefficient ai、bi、ciMinimum output power
Figure GDA0002720968750000121
Maximum output power
Figure GDA00027209687500001210
Calculations are required, in which they are replaced by equivalent parameters;
in the jth particle, the unit number is assumed to be m, and the equivalent principle is as follows:
Figure GDA0002720968750000122
Figure GDA0002720968750000123
(5) in the formula (I), the compound is shown in the specification,
Figure GDA00027209687500001211
is the equivalent cost coefficient for the jth particle; (6) in the formula PG,jIs the output power of the jth particle;
the equivalent parameters can be calculated as follows:
Figure GDA0002720968750000124
Figure GDA0002720968750000125
Figure GDA0002720968750000126
Figure GDA0002720968750000127
Figure GDA0002720968750000128
in the formula, Pjeqmin,PjeqmaxIs the equivalent minimum and equivalent maximum output power of the jth particle;
step 3-2, initialization procedure
PG,iThe initialization of (2) is critical to the granularity calculation method, as it determines the equivalent parameters; the closer the initial output power is
Figure GDA0002720968750000134
The closer to the optimal value, the better the result will be shown; there are three steps to PG,iAnd (3) initializing:
first, initializing the output power of each unit
P′G,i=Pimin+(Pimax-Pimin)/2 (12)
Figure GDA0002720968750000132
P″G,i=σP′G,i (14)
P′G,iIs the average output power of unit i; σ is the load level coefficient; p ″)G,iIs the output power of unit i;
the process enables the output power of each unit to be close to the average power, and the power balance constraint is met;
second, forward migration
λ′i=2aiP″G,i+bi (15)
PD′=αPD (16)
Figure GDA0002720968750000133
λ′iIs the micro-increment rate of the ith unit; α is a positive number; pD' is load compensation; p'G,iIs the output power after the migration of the ith unit;
the process makes the unit have smaller lambda'iObtaining a relatively large positive deviation value;
third, negative migration
Figure GDA0002720968750000141
(18) In the formula (I), the compound is shown in the specification,
Figure GDA0002720968750000146
is the initialized output power of the ith unit;
this process gives the unit a greater lambda'iAnd obtaining a relatively large negative deviation amount; according to the increment principle, the second step and the third step can ensure that the output power is close to the optimal solution;
fourthly, balancing the constraints
The offset adjustment may result in unequal power constraints, so a constraint process is necessary to correct
Figure GDA0002720968750000142
Step 3-3, granularity calculation model
After equivalence, the cost function formula of the granularity calculation is as follows:
Figure GDA0002720968750000143
(19) wherein M is the number of subparticles of the host particle;
the power balance constraint of the particle calculation is modified as follows:
Figure GDA0002720968750000144
(20) in the formula, PGDThe output power of the main particle is the load requirement of the next layer of sub-particles;
the power constraints of the particles are as follows:
Pjeqmin≤PG,j≤Pjeqmax (21)
in the particle size calculation method, one particle is considered as an equivalent unit; particles with one unit (M ═ 1) are called fine particles; the equivalent parameters of the fine particles are equal to the parameters of the unit contained in the fine particles; particles with more than one set of units (M > 1) are called coarse particles.
Step 4, dividing the granularity;
particle size is an average measurement of particle size. When describing information, granularity is mainly used to measure the abstraction degree of data information and knowledge. In this context, the particle size is determined by the number of units the particle contains.
The obvious fluctuation point of the micro-increment rate divides the unit into particles, and the calculation formula of the micro-increment rate is as follows:
Figure GDA0002720968750000151
(22) in the formula, λiIs the micro-increment rate of the ith unit.
After the calculation is finished, the micro-increment rates of all the units need to be sorted to be small to large. And separating the unit according to the obvious fluctuation point.
Figure GDA0002720968750000152
(23) In the formula, thetasIs the point of fluctuation of the micro-increment rate,
Figure GDA0002720968750000154
is the rank order fractional increase; s is the sequence number of the increasing rate ascending order.
θsReact to
Figure GDA0002720968750000155
And
Figure GDA0002720968750000156
the difference in (a). If theta is greater than thetasIs significantly greater than the other values, then θsIs the point of significant fluctuation.
The granularity division of a 10-unit system is listed in table 1, the power system division scheme of the 10 units is listed, and the fluctuation graph of the ordered growth rate is shown in fig. 2, which shows how the significant fluctuation point fluctuates.
TABLE 1
Figure GDA0002720968750000153
Figure GDA0002720968750000161
1) Dividing a first layer:
in FIG. 2, we observe θ5And theta7Significantly greater than the average, which means that the growth rates of #9 and #4 are significantly different from the units before them, and then these units are divided into three groups to form (V)11,V12,V13) Three particles.
In a practical example, θsNeed to be listed in descending order. Then, according to the number M of particles arranged in the first layer1M before picking1-a point of 1. If there are too many particles, the efficiency of the calculation is reduced. Thus M1The range of (1) is 2 to 9.
2) And second layer division:
at V11In, theta3Is a significant point of fluctuation, and V11Is divided into V21And V22. Likewise, V12And V13Are also divided into V23,V24,V25,V26Which constitute the second layer shown in figure 1.
In practical applications, the division of the layer is implemented independently in each host particle. In the jth main particle of the layer, the number of sub-particles
Figure GDA0002720968750000162
Is set by setting the maximum number n of unitsmaxDetermined, the formula is as follows:
Figure GDA0002720968750000171
in the formula, mjIs the total unit number of the jth main particle.
Then according to the previous
Figure GDA0002720968750000176
The fluctuation point of (a) divides the jth particle into
Figure GDA0002720968750000177
And (4) sub-particles. If the total unit number ratio n of one main particlemaxSmall, this host particle cannot be divided into sub-particles. Such as nmaxIf it is too small, this will have too many sub-particles, which will increase the dimensionality of the GrC method and will reduce the computational efficiency. If n ismaxToo large, this will not reduce the time-efficient sub-particles of the GrC process. Thus n ismaxThe range of (1) is 10 to 30.
In the first-layer and second-layer division, if only one unique unit set exists in the particles, the particles are combined with the previous particles to improve the global search capability of the GrC method.
3) Bottom layer partitioning:
in this layer, all coarse particles must be broken down into fine particles to obtain the final power output of each unit.
Step 5, processing constraint conditions;
step 5-1, examining each
Figure GDA0002720968750000172
Adjust all elementsThe elements satisfy the inequality constraint as follows:
Figure GDA0002720968750000173
(24) in the formula, if
Figure GDA0002720968750000178
Or
Figure GDA0002720968750000174
Then the transition variable TjSet to 0, otherwise
Figure GDA0002720968750000175
k is the current number of iterations;
step 5-2, by
Figure GDA0002720968750000186
Calculating PRIf | PRIf | is greater than ε, go to step 5-3, if | PRIf | ≦ epsilon, go tostep 4, epsilon is the precision requirement;
step 5-3, modification
Figure GDA0002720968750000187
To satisfy the following equation constraint:
Figure GDA0002720968750000181
step 5-4, checking all
Figure GDA0002720968750000188
If the inequality constraint is violated, returning to the step 5-1; if the inequality constraint is not violated, entering step 5-5;
5-5, stopping the constraint processing process;
calculating according to the steps, wherein the initial output power of the equivalent parameter is close to the actual power level, so that the equivalent parameter is more accurate; then hold
Figure GDA0002720968750000189
Put into equations (7) and (8), substitute for PG,jTo calculate
Figure GDA00027209687500001810
And
Figure GDA0002720968750000182
and 6, optimizing the network load flow by adopting a particle calculation method, wherein a flow chart of a particle calculation process is shown in fig. 3.
And 6-1, parameter preparation. The basic parameters of all units need to be input, namely ai、bi、ci
Figure GDA0002720968750000183
And
Figure GDA0002720968750000184
calculating initial output power
Figure GDA0002720968750000185
And 6-2, determining the hierarchical structure of the coarse particles and calculating parameters. The appropriate number of tiers is determined based on the size of the power system. Although the hierarchical approach can improve search efficiency and reduce computation time, the equivalent process can cause bias. Accuracy is reduced if there is too much delamination. First layer M1Number of particles and maximum number of units n of second layermaxBefore calculation, setting is needed to guide the division process of the unit. When the crew division is complete, the next part is to calculate the equivalent parameters.
And 6-3, calculating the output power of the particles. A new intelligent optimization algorithm can be applied to the output power of the optimized particles and the results are transferred to their sub-particles accordingly as the load demand of the next layer.
When the bottom layer particle calculation is completed, a final optimized solution is obtained.
In order to verify the effectiveness of the invention more completely, the comparison between the particle swarm algorithm and the mean variance mapping method shows that the invention can provide a satisfactory global optimal solution and has better time benefit. The two results are compared as follows:
TABLE 2 comparison of Power Generation cost versus time results for two algorithms
Figure GDA0002720968750000191
Obviously, the advantages of the power generation cost of the invention are not obvious, but the efficiency is greatly improved for the calculation time, and the superiority of the particle calculation is more obvious as the scale of the power grid is enlarged. The above results demonstrate the superiority of the present invention.
The above-mentioned embodiments are merely illustrative of the preferred embodiments of the present invention, and do not limit the scope of the present invention, and various modifications and improvements of the technical solution of the present invention by those skilled in the art should fall within the protection scope defined by the claims of the present invention without departing from the spirit of the present invention.

Claims (6)

Translated fromChinese
1.一种针对电网大规模经济调度问题的粒计算方法,其特征在于,所述方法包括如下步骤:1. a granular computing method for the large-scale economic dispatch problem of power grid, is characterized in that, described method comprises the steps:步骤1,建立经济调度模型,包括其目标函数和约束条件;Step 1, establish an economic dispatch model, including its objective function and constraints;步骤2,将电网进行分层粒化;Step 2, the power grid is layered and granulated;根据分层商空间方法,把电力网络进行粒化,收集若干性质相似的细粒子,形成粗粒子作为等效机组,或者收集一些粗粒子以形成较粗的粒子作为等效机组;所有的粗粒子被分成多个层构成一个分层商空间;粗粒子由上层逐层细化为细粒子,每层计算完后能得出他们的输出功率并且分别传递给他们相应的细粒子作为下一层的负荷需求,最后一层的细粒子的结果就是经济调度的结果;According to the hierarchical quotient space method, the power network is granulated, and several fine particles with similar properties are collected to form coarse particles as equivalent units, or some coarse particles are collected to form coarser particles as equivalent units; all coarse particles It is divided into multiple layers to form a layered quotient space; coarse particles are refined layer by layer into fine particles from the upper layer. After each layer is calculated, their output power can be obtained and passed to their corresponding fine particles as the next layer. Load demand, the result of the last layer of fine particles is the result of economic dispatch;步骤3,参数的等效;Step 3, the equivalence of parameters;步骤4,粒度的划分;Step 4, the division of granularity;步骤5,约束条件的处理;Step 5, processing of constraints;步骤6,采用粒计算方法优化网络潮流。Step 6, using the granular computing method to optimize the network flow.2.根据权利要求1所述的一种针对电网大规模经济调度问题的粒计算方法,其特征在于,步骤1中,建立经济调度模型的具体过程如下:2. a kind of granular computing method for the large-scale economic dispatch problem of power grid according to claim 1, is characterized in that, in step 1, the concrete process of establishing economic dispatch model is as follows:步骤1-1,建立目标函数Step 1-1, establish the objective function在满足约束条件的情况下,以发电机的总发电成本最低为目标函数,其数学表达式具体如下:In the case of satisfying the constraints, the objective function is to take the lowest total power generation cost of the generator as the objective function, and its mathematical expression is as follows:
Figure FDA0002720968740000011
Figure FDA0002720968740000011
式中PG,i是第i台发电机的输出功率;ai,bi,ci是发电机组i的费用系数;N是全部发电机的数量;where PG, i is the output power of theith generator; ai , bi , ci are the cost coefficients of generator set i; N is the number of all generators;步骤1-2,设置模型的约束条件,约束条件包括系统功率平衡约束、常规机组出力上下限约束;Step 1-2, set the constraints of the model, the constraints include system power balance constraints, conventional unit output upper and lower limit constraints;具体约束条件为:The specific constraints are:1)系统功率平衡约束1) System power balance constraints
Figure FDA0002720968740000021
Figure FDA0002720968740000021
式中PD总的负荷需求;PLoss是线路损耗;where PD is the total load demand; PLoss is the line loss;忽略线路损耗,公式(2)修改为:Ignoring line loss, formula (2) is modified as:
Figure FDA0002720968740000022
Figure FDA0002720968740000022
2)常规机组出力上下限2) The upper and lower limits of conventional unit output
Figure FDA0002720968740000023
Figure FDA0002720968740000023
式中
Figure FDA0002720968740000024
是发电机i的最小和最大的输出功率。
in the formula
Figure FDA0002720968740000024
are the minimum and maximum output power of generator i.
3.根据权利要求1所述的一种针对电网大规模经济调度问题的粒计算方法,其特征在于,所述步骤3的具体过程如下:3. a kind of granular computing method for the large-scale economic dispatch problem of power grid according to claim 1, is characterized in that, the concrete process of described step 3 is as follows:步骤3-1,等效参数计算Step 3-1, Equivalent Parameter Calculation在经济调度模型中,费用系数ai、bi、ci最小输出功率
Figure FDA0002720968740000025
最大输出功率
Figure FDA0002720968740000026
需要计算,在粒计算中,他们被等效参数替代;
In the economic dispatch model, the cost coefficients ai , bi , ci minimum output power
Figure FDA0002720968740000025
maximum output power
Figure FDA0002720968740000026
Calculations are required, and in granular computing, they are replaced by equivalent parameters;
在第j个粒子中假设机组号是m,其等效原理为:Assuming that the unit number is m in the jth particle, the equivalent principle is:
Figure FDA0002720968740000031
Figure FDA0002720968740000031
Figure FDA0002720968740000032
Figure FDA0002720968740000032
(5)式中,
Figure FDA0002720968740000033
是第j个粒子的等效成本系数;(6)式中PG,j是第j个粒子的输出功率;
In formula (5),
Figure FDA0002720968740000033
is the equivalent cost coefficient of the jth particle; (6) where PG, j is the output power of the jth particle;
等效参数计算如下:The equivalent parameters are calculated as follows:
Figure FDA0002720968740000034
Figure FDA0002720968740000034
Figure FDA0002720968740000035
Figure FDA0002720968740000035
Figure FDA0002720968740000036
Figure FDA0002720968740000036
Figure FDA0002720968740000037
Figure FDA0002720968740000037
Figure FDA0002720968740000038
Figure FDA0002720968740000038
式中,Pjeqmin,Pjeqmax是第j个粒子的等效最小和等效最大输出功率;where Pjeqmin and Pjeqmax are the equivalent minimum and equivalent maximum output power of the jth particle;步骤3-2,初始化过程Step 3-2, initialization processPG,i的初始化对粒度计算方法是关键,因为它决定了等效参数;初始输出功率越接近
Figure FDA0002720968740000039
就越接近最优值,就会表现出更好的结果;有三步对PG,i进行初始化:
The initialization of PG,i is critical to the granularity calculation method because it determines the equivalent parameters; the closer the initial output power is
Figure FDA0002720968740000039
The closer to the optimal value, the better the result will be shown; there are three steps to initializePG,i :
第一步,初始化每个机组的输出功率The first step is to initialize the output power of each unit
Figure FDA00027209687400000310
Figure FDA00027209687400000310
Figure FDA0002720968740000041
Figure FDA0002720968740000041
P″G,i=σP′G,i (14)P″G,i =σP′G,i (14)P′G,i是机组i的平均输出功率;σ是负荷水平系数;P″G,i是机组i的输出功率;P′G, i is the average output power of unit i; σ is the load level coefficient; P″G, i is the output power of unit i;该过程使各机组的输出功率接近平均功率,满足功率平衡约束;This process makes the output power of each unit close to the average power and satisfies the power balance constraint;第二步,正向迁移The second step, forward migrationλ′i=2aiP″G,i+bi (15)λ′i = 2ai P″G, i +bi (15)PD′=αPD (16)PD ′=αPD (16)
Figure FDA0002720968740000042
Figure FDA0002720968740000042
λ′i是第i个机组的微增率;α是一个正数;PD′是负荷补偿;P″′G,i是第i个机组迁移后的输出功率;λ′i is the slight increase rate of the i-th unit; α is a positive number; PD ′ is the load compensation; P″′G, i is the output power of the i-th unit after migration;上述过程使机组具有更小的λ′i,得到相对较大的正偏差量;The above process makes the unit have a smaller λ′i , and obtains a relatively large positive deviation;第三步,负向迁移The third step, negative transfer
Figure FDA0002720968740000043
Figure FDA0002720968740000043
(18)式中,
Figure FDA0002720968740000044
是第i个机组的初始化输出功率;
In formula (18),
Figure FDA0002720968740000044
is the initialized output power of the i-th unit;
这个过程使机组具有更大的λ′i和得到一个相对较大的负偏差量;根据增量原理,第二步和第三步能够保证输出功率接近最优解;This process enables the unit to have a larger λ′i and a relatively large negative deviation; according to the incremental principle, the second and third steps can ensure that the output power is close to the optimal solution;第四步,平衡约束Step 4: Balancing Constraints上述偏移调整导致不平等的功率约束,约束处理过程来修正
Figure FDA0002720968740000051
The above offset adjustment results in unequal power constraints, which are corrected by the constraint processing
Figure FDA0002720968740000051
步骤3-3,粒度计算模型Step 3-3, particle size calculation model等价后,粒度计算的成本函数公式如下:After equivalence, the cost function formula of granularity calculation is as follows:
Figure FDA0002720968740000052
Figure FDA0002720968740000052
(19)式中,M是主粒子的亚粒子数量;(19) where M is the number of sub-particles of the main particle;粒计算的功率平衡约束修正如下:The power balance constraint of granular computing is modified as follows:
Figure FDA0002720968740000053
Figure FDA0002720968740000053
(20)式中,PGD主粒子的输出功率,是下一层亚粒子的负荷需求;(20), the output power of thePGD main particle is the load demand of the next layer of sub-particles;粒子的功率约束如下:The power constraints of the particles are as follows:Pjeqmin≤PG,j≤Pjeqmax (21)Pjeqmin ≤PG, j ≤ Pjeqmax (21)在粒度计算方法中,一个粒子被认为是一个等效的机组;带有一个机组的粒子M=1叫做细粒子;细粒子的等效参数等于它所包含的机组的参数;带有不止一个机组的粒子M>1称为粗粒子。In the particle size calculation method, a particle is considered as an equivalent unit; a particle with one unit M=1 is called a fine particle; the equivalent parameter of a fine particle is equal to the parameter of the unit it contains; with more than one unit Particles with M > 1 are called coarse particles.
4.根据权利要求1所述的一种针对电网大规模经济调度问题的粒计算方法,其特征在于,所述步骤4如下:4. a kind of granular computing method for the large-scale economic dispatch problem of power grid according to claim 1, is characterized in that, described step 4 is as follows:粒度是一个粒尺寸的平均测量值;当描述信息时,粒度用来衡量数据信息和知识的抽象程度;粒度由粒子包含的机组数量决定;Particle size is an average measure of particle size; when describing information, particle size is used to measure the abstraction of data information and knowledge; particle size is determined by the number of units the particle contains;微增率的显著波动点把机组分成粒子,微增率的计算公式是:The significant fluctuation point of the micro-increase rate divides the unit into particles. The calculation formula of the micro-increase rate is:
Figure FDA0002720968740000061
Figure FDA0002720968740000061
(22)式中,λi是第i个机组的微增率;(22) where λi is the slight increase rate of the i-th unit;计算后,所有机组的微增率需要小到大进行排序;根据显著波动点对机组进行分离;After calculation, the micro-increase rates of all units need to be sorted from small to large; the units are separated according to significant fluctuation points;
Figure FDA0002720968740000062
Figure FDA0002720968740000062
(23)式中,θs是微增率波动点,
Figure FDA0002720968740000063
是排序微增率;s是微增率升序排列的序列号;
(23), θs is the fluctuation point of the micro-increase rate,
Figure FDA0002720968740000063
is the sorting increment rate; s is the serial number in ascending order of increment rate;
θs反应了
Figure FDA0002720968740000064
Figure FDA0002720968740000065
的差别;如果θs的值明显地大于其他值,那么θs就是显著波动点。
θs reacted
Figure FDA0002720968740000064
and
Figure FDA0002720968740000065
If the value of θs is significantly larger than other values, then θs is a significant fluctuation point.
5.根据权利要求1所述的一种针对电网大规模经济调度问题的粒计算方法,其特征在于,所述步骤5的具体过程如下:5. A kind of granular computing method for large-scale economic dispatch problem of power grid according to claim 1, is characterized in that, the concrete process of described step 5 is as follows:步骤5-1,检查每个
Figure FDA0002720968740000066
调整所有元素以满足不等式约束如下:
Step 5-1, check each
Figure FDA0002720968740000066
All elements are adjusted to satisfy the inequality constraints as follows:
Figure FDA0002720968740000067
Figure FDA0002720968740000067
(24)式中,如果
Figure FDA0002720968740000068
或者
Figure FDA0002720968740000069
则过渡变量Tj设置成0,否则
Figure FDA00027209687400000610
k是当前的迭代次数;
(24), if
Figure FDA0002720968740000068
or
Figure FDA0002720968740000069
Then the transition variable Tj is set to 0, otherwise
Figure FDA00027209687400000610
k is the current number of iterations;
步骤5-2,通过
Figure FDA00027209687400000611
计算PR,如果|PR|>ε,转到步骤5-3,如果|PR|≤ε,则转到步骤4,ε是精度要求;
Step 5-2, pass
Figure FDA00027209687400000611
Calculate PR , if |PR |>ε, go to step 5-3, if |PR |≤ε, go to step 4, ε is the precision requirement;
步骤5-3,修改
Figure FDA0002720968740000071
的值以满足一下等式约束:
Step 5-3, modify
Figure FDA0002720968740000071
The value of satisfies the following equality constraints:
Figure FDA0002720968740000072
Figure FDA0002720968740000072
步骤5-4,检查所有
Figure FDA0002720968740000073
的修正值,如果违反不等式约束,回到步骤5-1;如果不违反不等式约束则进入步骤5-5;
Steps 5-4, check all
Figure FDA0002720968740000073
If it violates the inequality constraint, go back to step 5-1; if it does not violate the inequality constraint, go to step 5-5;
步骤5-5,停止约束处理过程;Step 5-5, stop the constraint processing;按以上步骤计算,等效参数的初始输出功率接近实际功率水平,使等效参数更精确;然后把
Figure FDA0002720968740000074
放到公式(7)和(8)中,替代PG,j来计算
Figure FDA0002720968740000075
Figure FDA0002720968740000076
Calculated according to the above steps, the initial output power of the equivalent parameters is close to the actual power level, so that the equivalent parameters are more accurate;
Figure FDA0002720968740000074
Put it into formulas (7) and (8), replace PG, j to calculate
Figure FDA0002720968740000075
and
Figure FDA0002720968740000076
6.根据权利要求1所述的一种针对电网大规模经济调度问题的粒计算方法,其特征在于,所述步骤6具体如下:6. A kind of granular computing method for large-scale economic dispatch problem of power grid according to claim 1, is characterized in that, described step 6 is as follows:步骤6-1,参数准备;所有机组的基本参数需要输入,即ai、bi、ci
Figure FDA0002720968740000077
Figure FDA0002720968740000078
计算初始输出功率
Figure FDA0002720968740000079
Step 6-1, parameter preparation; the basic parameters of all units need to be input, namely ai , bi , ci ,
Figure FDA0002720968740000077
and
Figure FDA0002720968740000078
Calculate the initial output power
Figure FDA0002720968740000079
步骤6-2,确定粗粒子的分层结构和参数计算;根据电力系统规模确定合适的分层数量;尽管分层的方法能够提高搜索效率和减少计算时间,但是等效的过程会造成偏差;如果分层太多会降低准确性;第一层M1的粒子数量和第二层最大机组数量nmax在计算前需要设置,以指导机组的划分过程;当完成机组划分时,下一部分是计算等效参数;Step 6-2, determine the layered structure of the coarse particles and calculate the parameters; determine the appropriate number of layers according to the scale of the power system; although the layered method can improve the search efficiency and reduce the calculation time, the equivalent process will cause deviations; If there are too many layers, the accuracy will be reduced; the number of particles in the first layer M1 and the maximum number of units in the second layer nmax need to be set before calculation to guide the unit division process; when the unit division is completed, the next part is the calculation Equivalent parameters;步骤6-3,计算粒子的输出功率;将结果相应地转移到他们的亚粒子作为下一层的负荷需求;当底层粒子计算完成时,将得到最终的优化解。Step 6-3, calculate the output power of the particles; transfer the results to their sub-particles accordingly as the load requirements of the next layer; when the underlying particle calculation is completed, the final optimized solution will be obtained.
CN201711015397.1A2017-10-262017-10-26 A Granular Computing Method for Large-scale Economic Dispatching Problems in Power GridsActiveCN107657392B (en)

Priority Applications (1)

Application NumberPriority DateFiling DateTitle
CN201711015397.1ACN107657392B (en)2017-10-262017-10-26 A Granular Computing Method for Large-scale Economic Dispatching Problems in Power Grids

Applications Claiming Priority (1)

Application NumberPriority DateFiling DateTitle
CN201711015397.1ACN107657392B (en)2017-10-262017-10-26 A Granular Computing Method for Large-scale Economic Dispatching Problems in Power Grids

Publications (2)

Publication NumberPublication Date
CN107657392A CN107657392A (en)2018-02-02
CN107657392Btrue CN107657392B (en)2021-01-08

Family

ID=61119543

Family Applications (1)

Application NumberTitlePriority DateFiling Date
CN201711015397.1AActiveCN107657392B (en)2017-10-262017-10-26 A Granular Computing Method for Large-scale Economic Dispatching Problems in Power Grids

Country Status (1)

CountryLink
CN (1)CN107657392B (en)

Families Citing this family (6)

* Cited by examiner, † Cited by third party
Publication numberPriority datePublication dateAssigneeTitle
CN108400617B (en)*2018-03-192021-05-28燕山大学 A Constraint Handling Method for Economic Scheduling
CN108565900B (en)*2018-05-142021-09-14南京邮电大学Distributed energy optimization operation method based on game theory
CN109193807B (en)*2018-11-132020-07-28燕山大学 A method and system for economic dispatch of power system
CN112052322B (en)*2020-09-032023-03-21哈尔滨工业大学Intelligent robot conversation strategy generation method based on particle calculation
CN112231926A (en)*2020-10-292021-01-15高小翎 A node-optimized method for measuring harmonic impedance in large power systems
CN113469566B (en)*2021-07-212022-11-11燕山大学Method and system for determining initial distribution scheme of generator

Citations (3)

* Cited by examiner, † Cited by third party
Publication numberPriority datePublication dateAssigneeTitle
CN103678889A (en)*2013-12-022014-03-26国家电网公司Photovoltaic power generation accommodating capacity calculation method taking static voltage stability into consideration
CN106505575A (en)*2016-12-092017-03-15燕山大学 A Granular Computing Based Economic Dispatch Method of Line Power Flow
CN107171365A (en)*2017-06-232017-09-15国网山东省电力公司经济技术研究院Multiple target stochastic and dynamic economic load dispatching method with asynchronous iteration is decoupled based on scene

Family Cites Families (1)

* Cited by examiner, † Cited by third party
Publication numberPriority datePublication dateAssigneeTitle
US7290152B2 (en)*2002-12-302007-10-30International Business Machines CorporationMethod and system for managing power within a compute component of a multiprocessor system

Patent Citations (3)

* Cited by examiner, † Cited by third party
Publication numberPriority datePublication dateAssigneeTitle
CN103678889A (en)*2013-12-022014-03-26国家电网公司Photovoltaic power generation accommodating capacity calculation method taking static voltage stability into consideration
CN106505575A (en)*2016-12-092017-03-15燕山大学 A Granular Computing Based Economic Dispatch Method of Line Power Flow
CN107171365A (en)*2017-06-232017-09-15国网山东省电力公司经济技术研究院Multiple target stochastic and dynamic economic load dispatching method with asynchronous iteration is decoupled based on scene

Non-Patent Citations (1)

* Cited by examiner, † Cited by third party
Title
"粒计算在电力系统优化调度中的应用探索";张鹏 等;《东北电力技术》;20160131;全文*

Also Published As

Publication numberPublication date
CN107657392A (en)2018-02-02

Similar Documents

PublicationPublication DateTitle
CN107657392B (en) A Granular Computing Method for Large-scale Economic Dispatching Problems in Power Grids
CN108694467B (en) A method and system for predicting line loss rate of distribution network
CN109345019B (en) An optimization strategy for economic dispatch of microgrid based on improved particle swarm optimization
CN115940267A (en) A method for dividing distributed photovoltaic clusters in regional distribution network
CN107316107A (en)A kind of tricot machine assembly line balancing method towards multiple-objection optimization
CN103326353A (en)Environmental economic power generation dispatching calculation method based on improved multi-objective particle swarm optimization algorithm
CN109193807B (en) A method and system for economic dispatch of power system
CN109378863B (en)Power grid real-time power generation control optimization decision method based on weight and constraint correlation adjustment
CN108599172A (en)A kind of transmission & distribution net overall situation tidal current computing method based on artificial neural network
CN113761748A (en)Industrial process soft measurement method based on federal incremental random configuration network
CN107069708B (en)Extreme learning machine-based transmission network line active safety correction method
CN109670655A (en)A kind of electric system multi-objective particle swarm optimization dispatching method
CN109978276A (en)The method for on-line optimization of more thermal power plant unit thermoelectricity sharing of loads of thermal power plant's group of planes
CN105976122A (en)Multi-target resource allocation system
CN113239606A (en)Optimized scheduling method and device for comprehensive energy system and terminal equipment
CN108710970A (en)A kind of parallel dimension reduction method of Multiobjective Scheduling of huge Hydro Power Systems with Cascaded Reservoirs
CN113054688A (en)Renewable energy cluster output distributed coordination control method considering uncertainty
CN115693742B (en) A control system and method for distributed energy storage participating in power system frequency regulation
CN111934319B (en) A method and system for generating typical scene sets based on wind power
CN113505910A (en)Mixed workshop production scheduling method containing multi-path limited continuous output inventory
Yang et al.The algorithm and simulation of multi-objective sequence and balancing problem for mixed mode assembly line
CN113364058A (en)Reactive power control method and system for power distribution network
CN110311388A (en) Primary Frequency Control Method of Virtual Power Plant Based on Distributed Projected Subgradient Method
CN113762646A (en)Photovoltaic short-term power intelligent prediction method and system
CN109861236B (en) A method for obtaining optimal time-of-use electricity price considering power flow constraints of distribution network

Legal Events

DateCodeTitleDescription
PB01Publication
PB01Publication
SE01Entry into force of request for substantive examination
SE01Entry into force of request for substantive examination
GR01Patent grant
GR01Patent grant
TR01Transfer of patent right

Effective date of registration:20221114

Address after:073099 The intersection of Business Street and Xingding Road in Dingzhou City, Baoding City, Hebei Province, runs 200 meters north to the west (No. 1910, 19/F, Building 3, Jueshishan Community)

Patentee after:Hebei Kaitong Information Technology Service Co.,Ltd.

Address before:066004 No. 438 west section of Hebei Avenue, seaport District, Hebei, Qinhuangdao

Patentee before:Yanshan University

Effective date of registration:20221114

Address after:071000 the power park of Fang Shun Qiao Town, Mancheng District, Baoding, Hebei

Patentee after:Baoding trillion Micro Software Technology Co.,Ltd.

Address before:073099 The intersection of Business Street and Xingding Road in Dingzhou City, Baoding City, Hebei Province, runs 200 meters north to the west (No. 1910, 19/F, Building 3, Jueshishan Community)

Patentee before:Hebei Kaitong Information Technology Service Co.,Ltd.

TR01Transfer of patent right

[8]ページ先頭

©2009-2025 Movatter.jp