Movatterモバイル変換


[0]ホーム

URL:


CN107634531B - Automatic power generation control method for high-capacity battery energy storage access - Google Patents

Automatic power generation control method for high-capacity battery energy storage access
Download PDF

Info

Publication number
CN107634531B
CN107634531BCN201711062469.8ACN201711062469ACN107634531BCN 107634531 BCN107634531 BCN 107634531BCN 201711062469 ACN201711062469 ACN 201711062469ACN 107634531 BCN107634531 BCN 107634531B
Authority
CN
China
Prior art keywords
energy storage
index
output
storage battery
power
Prior art date
Legal status (The legal status is an assumption and is not a legal conclusion. Google has not performed a legal analysis and makes no representation as to the accuracy of the status listed.)
Active
Application number
CN201711062469.8A
Other languages
Chinese (zh)
Other versions
CN107634531A (en
Inventor
葛维春
杨浩
沈力
谭洪恩
张铁岩
王顺江
李家珏
李赫宁
王岑娇
滕云
Current Assignee (The listed assignees may be inaccurate. Google has not performed a legal analysis and makes no representation or warranty as to the accuracy of the list.)
Shenyang University of Technology
State Grid Liaoning Electric Power Co Ltd
Electric Power Research Institute of State Grid Liaoning Electric Power Co Ltd
State Grid Corp of China SGCC
Original Assignee
Shenyang University of Technology
State Grid Liaoning Electric Power Co Ltd
Electric Power Research Institute of State Grid Liaoning Electric Power Co Ltd
State Grid Corp of China SGCC
Priority date (The priority date is an assumption and is not a legal conclusion. Google has not performed a legal analysis and makes no representation as to the accuracy of the date listed.)
Filing date
Publication date
Application filed by Shenyang University of Technology, State Grid Liaoning Electric Power Co Ltd, Electric Power Research Institute of State Grid Liaoning Electric Power Co Ltd, State Grid Corp of China SGCCfiledCriticalShenyang University of Technology
Priority to CN201711062469.8ApriorityCriticalpatent/CN107634531B/en
Publication of CN107634531ApublicationCriticalpatent/CN107634531A/en
Application grantedgrantedCritical
Publication of CN107634531BpublicationCriticalpatent/CN107634531B/en
Activelegal-statusCriticalCurrent
Anticipated expirationlegal-statusCritical

Links

Images

Landscapes

Abstract

Translated fromChinese

本发明公开了一种含储能资源参与的自动发电控制(AGC)方法,属于电力系统调度、电气工程领域对于大容量电池储能接入的AGC协调出力计划,提出储能电池最优出力的数学模型,提出A‑SI渴望水平指标,其中IndexA确定AGC是否需要储能电池的出力计划,IndexSI表征出力计划下的具体功率占额,为AGC定量的提供最优控制方法。

Figure 201711062469

The invention discloses an automatic power generation control (AGC) method involving the participation of energy storage resources, which belongs to the field of power system scheduling and electrical engineering. AGC coordinated output plan for large-capacity battery energy storage access is proposed, and an optimal output of energy storage batteries is proposed. Mathematical model, the A-SI desire level index is proposed, in which IndexA determines whether AGC needs the output plan of the energy storage battery, and IndexSI represents the specific power proportion under the output plan, which provides the optimal control method for AGC quantitatively.

Figure 201711062469

Description

Automatic power generation control method for high-capacity battery energy storage access
Technical Field
The invention belongs to the field of power system scheduling and electrical engineering, and particularly relates to a battery energy storage access automatic power generation control method.
Background
More and more inter-area power support occurs in the Automatic Generation Control (AGC) process, and a convincing and stable control scheme is formulated, which is the premise of transferring the frequency modulation resources of the whole network to jointly consume intermittent energy. The design provides an Automatic Generation Control (AGC) method with energy storage resource participation, and provides a mathematical model of the optimal output of an energy storage battery and an A-SI craving level index for an AGC coordinated output plan of high-capacity battery energy storage access, wherein IndexA determines whether the AGC needs the output plan of the energy storage battery, and IndexSI represents the specific power occupation under the output plan, so that the optimal control method is provided for AGC quantification.
The AGC system mainly aims to coordinate the optimized output of each unit on the premise of ensuring the frequency quality of a power grid and the power exchange among areas. When the energy storage resource participates, the AGC can fully play the role according to the advantage of the rapid adjustment of the energy storage resource power, and the optimal output level is reached. The modern interconnected power grid is connected with each regional power grid through a connecting line, the method has the significance in frequency modulation that when the frequency modulation pressure of a certain region is overlarge, power support of other regions can be obtained to accelerate frequency recovery, but it is worth noting that each region serves as an independent and rational benefit subject, on one hand, mutual support is achieved to pursue the stabilization of the whole network frequency as soon as possible, and on the other hand, the adjustment cost of an AGC unit managed by the region is also minimized. After the high-capacity battery energy storage is accessed, the frequency and amplitude of the support between the areas are inevitably increased.
Disclosure of Invention
Aiming at the defects in the prior art, the design provides a novel control judgment index A-SI while utilizing the advantages of the energy storage battery, and provides a new thought and processing mode for quantification of optimal control.
In order to achieve the purpose, the invention adopts the following technical scheme, and the specific steps are as follows:
step 1, data acquisition:
for the current power grid temperature T and air humidity
Figure GDA0003358522510000021
Coefficient of heat dissipation of the element CekGold, goldBelongs to aging coefficient gamma, air density rho and average air volume per unit delta in a research areakThe total volume v of the space of the research area, the mass A of water dissolved in the air in the research area, the energy consumption coefficient F of the battery and the energy storage efficiency
Figure GDA0003358522510000022
Number of time segments NiTemperature gradient number NtThe number N of the battery energy storage unitskThe output power of the ith energy storage battery at the time t
Figure GDA0003358522510000023
Energy density coefficient alpha of energy storage batterykElectric energy output factor EF of ith energy storage battery microcelli,kAnd (5) collecting.
Step 2, establishing a calculation model of output of the high-capacity energy storage battery system
Figure GDA0003358522510000024
Figure GDA0003358522510000025
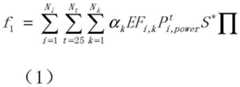
Will f is1Middle time factor operator S*Extracting and rewriting into two groups of objective functions f1,i,f2,iSelecting appropriate weight value omega (the design divides the weight omega into 10 weighting intervals by 0.1 step length) to divide f1The rewrite is:
f(Fitnessi)=ω1uif1,i2ujf2,i
(3)
under the situation of different weight distribution, the optimization function is analyzed and solved to obtain a pair function f1The comprehensive optimization result is as follows:
Figure GDA0003358522510000031
to obtain quantitativeSolving, corresponding to the time f in the analysis process1And moving, and selecting 'avoidance' for the following boundary area in the moving process.
Figure GDA0003358522510000032
(
Figure GDA0003358522510000033
Respectively representing the uninterruptible and interruptible loads at time t)
Figure GDA0003358522510000034
Figure GDA0003358522510000035
Figure GDA0003358522510000036
∑P≥PNc(k)
fmin≤ft≤fmax(frequency constraint)
Vmin≤Vt≤Vmax(Voltage restraint)
Defining a movement function kmoveWherein k ismove∝ΔfxFor in moving so that1Incremental change Δ fxThe largest set of x is extracted as the effective solution space, defined as ζ. If the function k is movedmoveContains the boundary region, all x under that move are rejected from the effective solution space.
For each solution present in the effective solution space ζ during the analysis, a variable τ is defined here to characterize the residence time of a solution in ζ, in particular a shift function kmoveEach time the solution is moved again, the variable τ is decreased by 1, and τ is equal to 0, the solution is released to the resolution domain. If the resolution domain move is all completed, butNo analytical value better than this solution has been found yet, and the solution can be extracted as a functional solution.
Step 3A-SI craving level index calculation:
the A-SI craving level index is used for indicating the craving level and the specific output level of a regional power grid on the output of a high-capacity energy storage battery system, and is divided into two parts:
step 3.1A index calculation:
IndexA aims to determine whether the grid system is in an unbalanced or under-balanced state and requires the output of the energy storage battery system. When the index is larger than a certain threshold value, the electric energy storage is required to output power immediately, and when the index is smaller than or equal to the certain threshold value, the electric energy storage is not required to output power, so that the system can be regulated stably. The derivation of IndexA starts from an optimal output function of a high-capacity energy storage battery system, and combines the power demand characteristics of a regional power grid, so that the power grid power craving level under multiple disturbances is obtained.
Figure GDA0003358522510000041
Wherein K is discrete time, K0As load change start time, T0Is the time at which the system is under-steady state,
Figure GDA0003358522510000042
is anabs(k) A weighting matrix of Eabs(k) Representing the absolute error phasor, S, of each measurement of the grid at time kyThe error coefficient is used for reducing the error between the measured value and the actual value and improving the calculation accuracy. The magnitude is determined by the operating conditions of the particular grid. Enet,inetAnd representing the real-time voltage and current values of the power grid terminal.
In order to obtain an accurate value, the discrete time K is selected and suggested to be synchronized with the power grid in real time. In the expression of the index A, the selection of the weight omega is different from the division of the weight omega in the analytic equation of the optimal value of the output function of the high-capacity energy storage battery system, and the weight omega needs to be weighted through a specific area networking condition.
Critical value of index a:
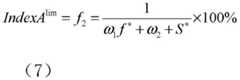
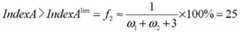
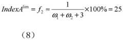
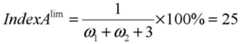
Figure GDA0003358522510000051
Figure GDA0003358522510000052
IndexAlimand (5) representing a critical value 25 of the index A of the regional power grid, and if the index A is higher than the critical value, requiring the high-capacity energy storage battery to immediately output power. And if the index A is lower than the critical index A, the operation is in an underbalanced state, but the stable operation characteristic of the self-operating energy-storage battery can be ensured without the output of the energy-storage battery, and if the index A is 0, the operation is an ideal condition. (the grid does not exist)
Step 3.2 SI index calculation
The IndexSI is based on the optimal output function and the IndexA, represents the ratio of the output power of the energy storage battery under the output condition, and provides a quantitative control idea for the overall stability of the system. In the present design, IndexSI may be considered 0 if IndexA does not take energy storage cell capacity into account.
Figure GDA0003358522510000053
Advantageous effects
According to the invention, aiming at the advantages of the energy storage battery, various data related to the energy storage battery are monitored and recorded, and a novel control judgment index A-SI is obtained through calculation. According to the indexes A-SI, the optimal control of the AGC unit can be quantized, the function of the AGC unit is fully exerted, and the optimal output level is reached.
Drawings
Fig. 1 is a flow chart of an automatic power generation control method for high-capacity battery energy storage access provided by the invention.
Detailed Description
The following describes in further detail embodiments of the present invention. The following examples are intended to illustrate the invention but are not intended to limit the scope of the invention.
Example 1
Step 1: data acquisition
The parameters to be acquired comprise: current grid temperature T, air humidity
Figure GDA0003358522510000061
Coefficient of heat dissipation of the element CekMetal aging coefficient gamma, air density rho, average air volume per unit delta in the study areakThe total volume v of the space of the research area, the mass A of water dissolved in the air in the research area, the energy consumption coefficient F of the battery and the energy storage efficiency
Figure GDA0003358522510000062
Number of time segments NiTemperature gradient number NtThe number N of the battery energy storage unitskThe output power of the ith energy storage battery at the time t
Figure GDA0003358522510000063
Energy density coefficient alpha of energy storage batterykElectric energy output factor EF of ith energy storage battery microcelli,k
In the case, data of a certain energy storage battery system in Shanghai city is adopted, the energy storage battery unit adopted by the system generates about 15kwh of electric energy, the system is integrated by 400 same units, and the system operates under the normal atmospheric pressure and normal temperature condition in all weather. Air humidity and temperature converted by standard and heat dissipation coefficient of element CekThe metal aging coefficient γ is 0.00001 and other detailed data is provided by the case manufacturer to analyze the role of the a-SI craving level indicator in the case.
Step 2: analyzing the output level of the energy storage battery system:
the calculation formula for characterizing the output level of the energy storage battery system is as follows:
Figure GDA0003358522510000071
because the operation data of the energy storage battery system is given, the operation working conditions are all standard operation working conditions, the boundary condition takes a power grid terminal as a reference, the frequency fluctuation requirement is kept at 50 +/-0.02 Hz, and the bus voltage fluctuation requirement is controlled at +/-10%. In this embodiment, the output of the energy storage battery system under the optimal output is 7.432Mwh calculated according to the collected parameters.
And step 3: calculation of Index A:
and taking the data of the power grid in the area damaged by the manufacturer as a reference, and bringing related operation parameters such as load, voltage, time and the like into the power grid to evaluate whether the area needs the energy storage battery to participate in outputting. The formula for characterizing Index A is shown below:
Figure GDA0003358522510000072
calculating to obtain Index A of 15 under the calculation case according to the collected parameters
Figure GDA0003358522510000073
Therefore, the stable running characteristic of the region can be ensured without the output of the energy storage battery.
Example 2
The energy storage battery unit that certain energy storage battery system of Shenzhen adopted the electric energy of production electric energy about 25kwh, and this system uses 500 the same unit integrations, and operating condition is standard atmospheric pressure, normal atmospheric temperature condition, all-weather operation. Air humidity and temperature converted by standard and heat dissipation coefficient of element Cek0.2, and the metal aging coefficient gamma is 10-5. And selecting a power shortage time zone by taking the power grid data of a certain power supply company to which the Shenzhen power grid belongs as a reference, knowing AGC scheduling, and trying to analyze the energy efficiency of the A-SI craving level index in the power demand.
1 analysis of output level of energy storage battery system:
Figure GDA0003358522510000081
because the operation data of the energy storage battery system is given, the operation working conditions are all standard operation working conditions, the boundary condition takes a power grid terminal as a reference, the frequency fluctuation requirement is kept at 50 +/-0.02 Hz, and the bus voltage fluctuation requirement is controlled at +/-10%. The optimal output of the energy storage battery system is 9.324Mwh through calculation.
2 IndexA
And taking power grid data of a certain power supply company to which the Shenzhen power grid belongs as a reference, and introducing operating parameters such as load, voltage, time and the like to evaluate whether an electric energy storage output plan is needed.
Figure GDA0003358522510000082
Figure GDA0003358522510000083
Therefore, the output of the electrical energy storage system is required to compensate for the power shortage of the power system.
3 IndexSI
Figure GDA0003358522510000091
The available electrical energy storage system output accounts for 29.27% of the total power deficit.
Example 3
Step 1: data acquisition
The parameters to be acquired comprise: current grid temperature T, air humidity
Figure GDA0003358522510000092
Coefficient of heat dissipation of the element CekMetal aging coefficient gamma, air density rho, average air volume per unit delta in the study areakThe total volume v of the space of the research area, the mass A of water dissolved in the air in the research area, the energy consumption coefficient F of the battery and the energy storage efficiency
Figure GDA0003358522510000093
Number of time segments NiTemperature gradient number NtThe number N of the battery energy storage unitskIth stored energy electricityOutput power of cell infinitesimal at time t
Figure GDA0003358522510000094
Energy density coefficient alpha of energy storage batterykElectric energy output factor EF of ith energy storage battery microcelli,k
In the case, data of an energy storage battery system in Qinghai province is adopted, energy storage battery units adopted by the system generate electric energy of about 31.2kwh, the system is integrated by 1680 same units, and the system operates under the normal atmospheric pressure and normal temperature condition in all weather. Air humidity and temperature converted by standard and heat dissipation coefficient of element CekThe metal aging coefficient γ is 0.4 and 0.00004, and other detailed data is provided by the case manufacturer to analyze the role of the a-SI craving level indicator in the case.
Step 2: analyzing the output level of the energy storage battery system:
the calculation formula for characterizing the output level of the energy storage battery system is as follows:
Figure GDA0003358522510000101
because the operation data of the energy storage battery system is given, the operation working conditions are all standard operation working conditions, the boundary condition takes a power grid terminal as a reference, the frequency fluctuation requirement is kept at 50 +/-0.02 Hz, and the bus voltage fluctuation requirement is controlled at +/-10%. In this embodiment, the output of the energy storage battery system under the optimal output is 19.311Mwh calculated according to the collected parameters.
And step 3: calculation of Index A:
and taking the power grid data of the region as a reference, and bringing operating parameters such as load, voltage, time and the like into the region to evaluate whether the region needs the energy storage battery to participate in outputting. The formula for characterizing Index A is shown below:
Figure GDA0003358522510000102
calculating to obtain Index A of 56 under the calculation case according to the collected parameters
Figure GDA0003358522510000103
Therefore, the power storage system is required to output power to compensate for the shortage of the power system.
And 4, step 4: according to the Index A, solving Index SI; the formula for characterizing Index A is shown below:
Figure GDA0003358522510000104
calculating the Index SI under the calculation case to be 43.23 percent according to the collected parameters
Therefore, the ratio of the output of the power storage system in the calculation case is 43.23 percent of the total deficit
The specific embodiments are given above, but the present invention is not limited to the described embodiments. The basic idea of the present invention lies in the above basic scheme, and it is obvious to those skilled in the art that no creative effort is needed to design various modified models, formulas and parameters according to the teaching of the present invention. Variations, modifications, substitutions and alterations may be made to the embodiments without departing from the principles and spirit of the invention, and still fall within the scope of the invention.

Claims (1)

1. A high-capacity battery energy storage access automatic power generation control method is characterized by comprising the following steps:
step 1, data acquisition, including current power grid temperature T and air humidity
Figure FDA0003270629200000011
Coefficient of heat dissipation of the element CekMetal aging coefficient gamma, air density rho, average air volume per unit delta in the study areakThe total volume v of the space of the research area, the mass A of water dissolved in the air in the research area, the energy consumption coefficient F of the battery and the energy storage efficiency
Figure FDA0003270629200000012
Number of time segments NiTemperature gradient number NtThe number N of the battery energy storage unitskThe output power of the ith energy storage battery at the time t
Figure FDA0003270629200000013
Energy density coefficient alpha of energy storage batterykElectric energy output factor EF of ith energy storage battery microcelli,kCollecting;
step 2, establishing a high-capacity energy storage battery system output calculation model;
step 3A-SI craving level index calculation;
the A-SI craving level index in the step 3 is used for indicating the craving level and the specific output level of a regional power grid to the output of a high-capacity energy storage battery system, and the index is divided into two steps of index calculation in the step 3.1A and index calculation in the step 3.2 SI:
3.1A index calculation, wherein IndexA aims at judging the unbalanced or unbalanced state of a power grid system, whether the energy storage battery system is required to output power or not, when the index is greater than a certain threshold value, the electric energy storage is required to output power immediately, and when the index is less than or equal to the certain threshold value, the electric energy storage is not required to output power, the system can be adjusted stably, the derivation of the IndexA starts from the optimal output function of the large-capacity energy storage battery system, and the power demand characteristic of a regional power grid is combined, so that the power grid power craving level under multiple disturbances is obtained:
Figure FDA0003270629200000021
where k is a discrete time, k0As load change start time, T0Is the system under steady state time, phi is Eabs(k) A weighting matrix of Eabs(k) Representing phasors, S, formed by absolute error values of each measurement of the network at time kyThe relative error coefficient is used for reducing the error between the measured value and the actual value and improving the calculation accuracy; the measured value is determined by the operation condition of a specific power grid; enet,inetRepresenting the real-time voltage and current values of the power grid terminal; f. of1Representing the output level of the energy storage battery system;
in order to obtain an accurate value, selecting discrete time k to be synchronous with a power grid in real time; omega1ω 2 is the weight;
critical value of index a:
Figure FDA0003270629200000022
IndexAlimrepresenting a critical value 25 of an index A of the regional power grid, and if the index A is higher than the critical value, requiring the high-capacity energy storage battery to immediately output power; if the index A is lower than the critical index A, the operation is in an underbalanced state, but the stable operation characteristic of the self-operating energy-storage battery can be ensured without the output of the energy-storage battery, and if the index A is 0, the operation is an ideal condition;
and 3, calculating the SI index in the step 3.2, wherein IndexSI represents the ratio of the output power of the energy storage battery under the condition of output on the basis of the optimal output function and IndexA, and provides a quantitative control idea for the overall stability of the system.
CN201711062469.8A2017-11-022017-11-02Automatic power generation control method for high-capacity battery energy storage accessActiveCN107634531B (en)

Priority Applications (1)

Application NumberPriority DateFiling DateTitle
CN201711062469.8ACN107634531B (en)2017-11-022017-11-02Automatic power generation control method for high-capacity battery energy storage access

Applications Claiming Priority (1)

Application NumberPriority DateFiling DateTitle
CN201711062469.8ACN107634531B (en)2017-11-022017-11-02Automatic power generation control method for high-capacity battery energy storage access

Publications (2)

Publication NumberPublication Date
CN107634531A CN107634531A (en)2018-01-26
CN107634531Btrue CN107634531B (en)2021-12-24

Family

ID=61107674

Family Applications (1)

Application NumberTitlePriority DateFiling Date
CN201711062469.8AActiveCN107634531B (en)2017-11-022017-11-02Automatic power generation control method for high-capacity battery energy storage access

Country Status (1)

CountryLink
CN (1)CN107634531B (en)

Family Cites Families (2)

* Cited by examiner, † Cited by third party
Publication numberPriority datePublication dateAssigneeTitle
CN103441534B (en)*2013-07-232016-08-10清华大学The control strategy that in AGC system, conventional rack coordinates with energy-storage system
CN105098979A (en)*2014-12-192015-11-25国网山东泗水县供电公司Automatic electric power scheduling system and method

Also Published As

Publication numberPublication date
CN107634531A (en)2018-01-26

Similar Documents

PublicationPublication DateTitle
CN106972516B (en) A multi-level control method for multi-type energy storage suitable for microgrid
US8571720B2 (en)Supply-demand balance controller
CN111896873B (en)Method and system for evaluating health state of energy storage power station
CN110350518B (en)Power grid energy storage capacity demand assessment method and system for peak shaving
CN103236705B (en)For the optimization method of the double-energy storage system stored energy capacity of power distribution network peak load shifting
CN110118937A (en)The storage battery charge state edge calculations optimizing detection method of adaptive prediction model
CN119275880B (en) An alternative energy storage control system based on power grid operation optimization data analysis
CN111626645A (en) A method and system for calculating the configuration capacity of energy storage in the future
CN120749876A (en) A photovoltaic storage and charging integrated charging station operation optimization system and method
Liu et al.Research on peak load shifting for hybrid energy system with wind power and energy storage based on situation awareness
CN118982132A (en) Energy storage multi-scenario applicability analysis method and system based on subjective and objective weights
CN119419821B (en) A load balancing method and system based on low frequency and low voltage load shedding
CN110808612A (en) Evaluation method for operation flexibility of power distribution system with high proportion of distributed generation
CN118372707B (en)Distributed optical storage charging and changing intelligent lithium battery traction system
CN107634531B (en)Automatic power generation control method for high-capacity battery energy storage access
CN109149566A (en)A kind of modeling method of the simulation model of the high-power minimum point prediction of missing lower frequency
CN116979619A (en)Micro-grid energy storage configuration method and device, computer equipment and storage medium
CN113013904B (en)Optimization method and device for offshore wind power energy storage capacity configuration
CN112271725B (en) A PV Inverter Correction Control Method Based on Voltage Over-limit Risk
CN111900740B (en) A power system frequency regulation method and system based on demand response equipment
CN119582348B (en)Electric power energy consumption monitoring method
CN114692988B (en) CatBoost-based net load spare capacity demand prediction method, device and storage medium
CN116505599B (en) A method for estimating active power response delay of wind and solar storage stations
CN109242340B (en)Monitoring data evaluation system and evaluation method for heat storage electric boiler digestion system
CN117613980A (en) Prediction method, device and computer-readable storage medium for charging and discharging inertia support capacity index of electric vehicles in distribution network

Legal Events

DateCodeTitleDescription
PB01Publication
PB01Publication
SE01Entry into force of request for substantive examination
SE01Entry into force of request for substantive examination
GR01Patent grant
GR01Patent grant

[8]ページ先頭

©2009-2025 Movatter.jp