Movatterモバイル変換


[0]ホーム

URL:


CN107612048B - Electric vehicle frequency regulation control strategy based on model prediction - Google Patents

Electric vehicle frequency regulation control strategy based on model prediction
Download PDF

Info

Publication number
CN107612048B
CN107612048BCN201710993022.6ACN201710993022ACN107612048BCN 107612048 BCN107612048 BCN 107612048BCN 201710993022 ACN201710993022 ACN 201710993022ACN 107612048 BCN107612048 BCN 107612048B
Authority
CN
China
Prior art keywords
frequency modulation
charging
group
discharge
frequency
Prior art date
Legal status (The legal status is an assumption and is not a legal conclusion. Google has not performed a legal analysis and makes no representation as to the accuracy of the status listed.)
Active
Application number
CN201710993022.6A
Other languages
Chinese (zh)
Other versions
CN107612048A (en
Inventor
张谦
李晨
李春燕
Current Assignee (The listed assignees may be inaccurate. Google has not performed a legal analysis and makes no representation or warranty as to the accuracy of the list.)
Chongqing University
Original Assignee
Chongqing University
Priority date (The priority date is an assumption and is not a legal conclusion. Google has not performed a legal analysis and makes no representation as to the accuracy of the date listed.)
Filing date
Publication date
Application filed by Chongqing UniversityfiledCriticalChongqing University
Priority to CN201710993022.6ApriorityCriticalpatent/CN107612048B/en
Publication of CN107612048ApublicationCriticalpatent/CN107612048A/en
Application grantedgrantedCritical
Publication of CN107612048BpublicationCriticalpatent/CN107612048B/en
Activelegal-statusCriticalCurrent
Anticipated expirationlegal-statusCritical

Links

Images

Landscapes

Abstract

Translated fromChinese

本发明涉及一种基于模型预测的电动汽车调频控制策略,属于智能电网领域。该策略包括步骤:电网调控中心从区域变电站获取负荷扰动和频率波动信息,从EVA获取区域内接入电网的EV信息;EVA收集区域内接入电网参与系统调频的电动汽车参与调频时间段、SOC和可控容量信息;接入电网EV的SOC根据是否达到分组标准SOCm,分为放电组或充电组;EVA将EV信息上报给电网调控中心,电网调控中心根据频率波动和EV信息将系统所需调频功率分配给EVA,通过EVA下达指令给入网EV,EV接受指令通过充放电达到调整频率的目的。本发明能够合理分配电动汽车集群调频功率,控制电动汽车充放电转换次数,有效实现区域频率调整。

Figure 201710993022

The invention relates to a frequency regulation control strategy for electric vehicles based on model prediction, and belongs to the field of smart grids. The strategy includes steps: the power grid control center obtains the load disturbance and frequency fluctuation information from the regional substation, and obtains the EV information connected to the power grid in the region from the EVA; and controllable capacity information; the SOC of EVs connected to the grid is divided into discharge groups or charging groups according to whether they meet the grouping standard SOCm ; EVA reports the EV information to the grid control center, and the grid control center assigns the system status according to frequency fluctuations and EV information. The frequency-modulated power needs to be allocated to the EVA, and the EVA issues commands to the EVs connected to the network, and the EV accepts the commands to adjust the frequency by charging and discharging. The invention can reasonably distribute the frequency modulation power of the electric vehicle cluster, control the charging and discharging conversion times of the electric vehicle, and effectively realize the regional frequency adjustment.

Figure 201710993022

Description

Electric automobile frequency modulation control strategy based on model prediction
Technical Field
The invention belongs to the field of smart power grids, and relates to an electric vehicle frequency modulation control strategy based on model prediction.
Background
The intermittent grid connection of new energy has strong fluctuation, and great challenge is brought to the frequency stability of the power system. In the frequency modulation process of the power system, because the traditional unit has high climbing rate and low response speed, the frequency change caused by intermittent fluctuation of the renewable energy source cannot be adjusted in time. For this reason, many emerging technologies such as solar, wind and energy storage are beginning to be applied to grid systems. The vehicle-to-grid (V2G) technology is used as a technical auxiliary backup of the power grid and can be applied to power system frequency adjustment. An Electric Vehicle (EV) is used as a mobile energy storage, and the advantage of participating in frequency adjustment is that the response signal speed is fast, which is beneficial to fully utilizing resources in the context of large-scale development of electric vehicles. The existing literature analyzes the influence of electric vehicle participation system frequency modulation on the global energy demand in the next 100 years from the global visual field analysis. Another document states that, due to the fast response characteristics of electric vehicles, the demand of the power grid for short-term frequency modulation backup at the power generation end will gradually decrease in the future as the electric vehicles rapidly develop. The literature also indicates that the frequency modulation capacity of the electric automobile is calculated through the frequency modulation potential of the electric automobile, and a frequency modulation market frequency modulation bidding mechanism is utilized to participate in system frequency modulation.
An electric vehicle cluster (EVA) is used to distribute regulatory commands to electric vehicles that are particularly controllable within a region. And the cluster frequency modulation output is determined by the frequency modulation power distributed by the system and the number of electric vehicles participating in frequency modulation in the cluster in real time. The existing literature adopts a fixed distribution proportion to distribute frequency modulation power to an electric vehicle cluster on the premise of sufficient quantity of electric vehicles. However, when the number of electric vehicles in the grid frequency modulation system is limited, the controllable capacity of the electric vehicle cluster which can participate in system frequency modulation is insufficient, and the electric vehicle cluster cannot output required frequency modulation power, so that system frequency fluctuation may be aggravated. The controllable capacity evaluation of the electric automobile is used as a technical basis for distributing frequency modulation power and applied to power grid auxiliary frequency modulation service, and has a decisive influence on the frequency modulation effect. Another document builds a battery cluster available capacity model, which participates in the microgrid V2G service through echelon utilization. In the literature, the controllable capacity of an electric automobile cluster is predicted by adopting a queuing theory, and the change of the upper frequency modulation controllable capacity and the lower frequency modulation controllable capacity along with time is respectively given.
In the system frequency modulation process, due to the randomness of the electric automobile, the controllable capacity participating in frequency modulation changes at any time, and if a fixed proportion is adopted, the frequency modulation effect is poor if the frequency modulation power distributed by the system is greater than the output power of the electric automobile; if the frequency modulation power distributed by the system is smaller than the output power of the electric automobile, the resource waste of the electric automobile is caused. Therefore, the frequency modulation power distributed to the electric automobile cluster determines the quality of frequency adjustment, and the distribution proportion of the frequency modulation power is adjusted in real time according to the change of the controllable capacity of the electric automobile.
In addition, in the process of frequency modulation of the electric automobile, the number of charging and discharging of the battery becomes a key obstacle of the application of the V2G technology to the frequency modulation auxiliary service. Furthermore, there is literature that considers the relationship between depth of discharge and controllable capacity, with the greater the depth of discharge, the more controllable capacity is associated. In the literature, the controllable capacity of an electric vehicle cluster is used as a frequency modulation power distribution basis to participate in system frequency modulation. However, the model is based on the cluster, and the requirement of the electric automobile individuals in the cluster on the charging and discharging times of the energy storage battery is ignored. The damage to the battery caused by frequent charging and discharging of the electric vehicle greatly affects the enthusiasm of the vehicle owner for participating in the system frequency modulation service, and is not beneficial to the popularization of the V2G technology.
Disclosure of Invention
In view of the above, the present invention provides an electric vehicle frequency modulation control strategy based on model prediction. The invention divides the electric automobile participating in frequency modulation into a discharging group and a charging group, realizes the control of the charging and discharging times by controlling the conversion times of the electric automobile between the charging and discharging groups in the frequency modulation process, and provides a frequency modulation power distribution scheme based on the controllable capacity of the electric automobile cluster. And predicting the controllable capacity of the electric automobile at the next moment and reporting the predicted controllable capacity to a power grid regulation and control center. And the power grid regulation and control center reports the controllable capacity distribution frequency modulation power according to the EVA so as to reduce the frequency modulation risk caused by sudden disconnection of the electric automobile from the power grid.
In order to achieve the purpose, the invention provides the following technical scheme:
the electric vehicle frequency modulation control strategy based on model prediction comprises the following steps:
s1: the method comprises the steps that a power grid regulation and control center obtains load disturbance and frequency fluctuation information from a regional substation, and obtains Electric Vehicle (EV) information of a power grid accessed in a region from an Electric Vehicle cluster (EVA);
s2: an electric automobile accessed into a power grid in the EVA collection area to participate in system frequency modulation participates in frequency modulation time period, State of Charge (SOC) and controllable capacity information;
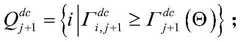
s3: the SOC of the power grid EV is accessed according to whether the SOC reaches the grouping standard SOCmDivided into a discharge group or a charge group;
s4: according to the predicted EVA frequency modulation controllable capacity Rj+1With the required power P for frequency modulationtaskThe specific EV output in the discharging group or the charging group is distributed to participate in frequency modulation;
s5: the EVA reports the EV information to a power grid regulation and control center, the power grid regulation and control center distributes the frequency modulation power required by the system to the EVA according to the frequency fluctuation and the EV information, an instruction is given to the network-access EV through the EVA, and the EV receives the instruction and achieves the purpose of adjusting the frequency through charging and discharging.
Further, the steps S3-S4 specifically include:
EV access to the grid is accessThe controllable state is used for receiving a frequency modulation task; the EV is converted from the controllable state to the controllable state; SOCi,jThe energy storage state at the moment j is the ith EV;
EV is controlled in state and is divided into discharge groups if SOC isi,j>SOCminThe frequency modulation device is kept in a discharge group, and discharge participates in frequency modulation;
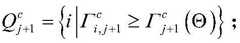
EV is controlled in state and is divided into discharge groups if SOC isi,j≤SOCminTransferring to a charging group, and charging to participate in frequency modulation;
EV is controlled to be in a charging group, if SOC isi,j<SOCmaxThe charging group is kept, and the charging participates in frequency modulation;
EV is controlled in state and is divided into discharge groups if SOC isi,j≥SOCmaxTransferring into a discharging group, and discharging to participate in frequency modulation;
the EV exits frequency modulation from the discharging group or the charging group and enters a charging state to meet the travel requirement.
Further, the EV satisfies the following conditions in the frequency modulation process:
at time j, the i-th EV charge/discharge power is Pi,j
Figure GDA0002885729260000031
Figure GDA0002885729260000032
For the discharge power of the EV during the frequency modulation,
Figure GDA0002885729260000033
charging power of EV in frequency modulation process; discharging is positive and charging is negative;
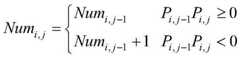
number Num of charging and discharging times in EV frequency modulation processi,jThe definition is that every time the EV participates in the change of the frequency modulation form, namely the change from discharging to charging or the change from charging to discharging, the charging and discharging times are increased by 1 time:
Figure GDA0002885729260000034
Numi,jfrequency modulation of ith EV at time j-iNumber of charge and discharge cycles in the process, Pi,j-1Charging and discharging power in the ith EV frequency modulation process at the moment j-1;
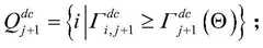
considering the limitation of charging and discharging times of the EV, the accessed power grid EV is divided into a discharging group DC and a charging group C, and the kth discharging group and the charging group are respectively as follows:
Figure GDA0002885729260000035
Figure GDA0002885729260000036
wherein K is 1,2, …, and K is the maximum group number of the discharging groups or the charging groups;
Figure GDA0002885729260000037
and
Figure GDA0002885729260000038
are respectively a discharge group
Figure GDA0002885729260000039
And a charging group
Figure GDA00028857292600000310
The number of the medium elements, the number of the discharge resistors and the number of the EV in the charging group are respectively as follows:
Figure GDA00028857292600000311
and
Figure GDA00028857292600000312
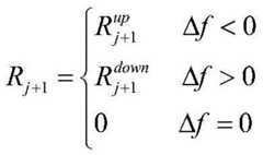
further, the controllable capacity R of frequency modulationj+1The prediction of (a) is specifically:
at the moment j, predicting that the EV frequency modulation controllable capacities of the discharging group and the charging group in the EVA at the moment j +1 are respectively
Figure GDA00028857292600000313
And
Figure GDA00028857292600000314
then
Figure GDA00028857292600000315
Wherein p isiCharging and discharging power limit for the ith EV;
Figure GDA00028857292600000316
the capacity is controlled by upper frequency modulation;
Figure GDA00028857292600000317
to down-modulate the controllable capacity.
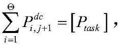
Further, the required power P of frequency modulationtaskThe calculation is specifically as follows:
at the moment j +1, the EV frequency modulation output is determined by the frequency modulation controllable capacity of the moment j +1 predicted at the moment j, and if delta f is the system frequency variation, when delta f is less than 0, PtaskWhen the frequency is more than 0, EV discharge participates in frequency modulation, and the frequency modulation rate is increased:
(1) if it is not
Figure GDA0002885729260000041
Discharge group EV discharge power is
Figure GDA0002885729260000042
(2) If it is not
Figure GDA0002885729260000043
The EV frequency modulation controllable capacity of the discharge group exceeds the system frequency modulation required power; in the frequency modulation process, EV participates in the contribution degree of time according to the unit
Figure GDA0002885729260000044
Selective discharge defined as
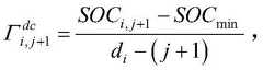
Figure GDA0002885729260000045
In the formula (d)iGiving a controllable time for the ith vehicle EV;SOCi,j+1Is composed of
Figure GDA0002885729260000046
Wherein E isevThe total energy stored for a single EV battery; etacAnd ηdcEV charge efficiency and discharge efficiency, respectively;
of EVs
Figure GDA0002885729260000047
The larger the EVA is, the better the EVA is to call and participate in discharge frequency modulation,
Figure GDA0002885729260000048
sort from big to small
Figure GDA0002885729260000049
Is composed of
Figure GDA00028857292600000410
In the formula (I), the compound is shown in the specification,
Figure GDA00028857292600000411
representing the maximum value of the contribution degree of the discharge group EV unit participation time at the moment j + 1;
Figure GDA00028857292600000412
in the discharge group for indicating j +1 moment
Figure GDA00028857292600000413
The contribution degree of the unit participation time of the theta-th EV is sorted from large to small, and satisfies
Figure GDA00028857292600000414
Wherein [ P ]task]Represents a pair PtaskGetting the whole;
then the set of EVs participating in the discharge
Figure GDA00028857292600000415
Is composed of
Figure GDA00028857292600000416
Discharge group EV discharge power is
Figure GDA00028857292600000417
Frequency-modulated output on EVA discharge set
Figure GDA00028857292600000418
Is composed of
Figure GDA00028857292600000419
When Δ f > 0, PtaskWhen the frequency is less than 0, the EV charging participates in frequency modulation, and the frequency is adjusted downwards:
(1) if it is not
Figure GDA00028857292600000420
EV charging power of charging group is
Figure GDA00028857292600000421
(2) If it is not
Figure GDA00028857292600000422
The controllable capacity of the charging group EV exceeds the system frequency modulation required power;
in the frequency modulation process, EV participates in the contribution degree of time according to the unit
Figure GDA00028857292600000423
Selective charging, defined as
Figure GDA00028857292600000424
Of EVs
Figure GDA00028857292600000425
The larger the EVA is, the better the EVA is to call and participate in charging frequency modulation,
Figure GDA00028857292600000426
sort from big to small
Figure GDA00028857292600000427
Comprises the following steps:
Figure GDA00028857292600000428
in the formula (I), the compound is shown in the specification,
Figure GDA00028857292600000429
representing the maximum value of the contribution degree of the charging group EV unit participation time;
Figure GDA0002885729260000051
indicating charging group attime j +1
Figure GDA0002885729260000052
The contribution degree of the unit participation time of the theta-th EV is sorted from large to small, and satisfies
Figure GDA0002885729260000053
Then the set of EVs participating in charging
Figure GDA0002885729260000054
Is composed of
Figure GDA0002885729260000055
EV charging power of charging group is
Figure GDA0002885729260000056
Frequency modulation output under EVA charging set
Figure GDA0002885729260000057
Is composed of
Figure GDA0002885729260000058
The invention has the beneficial effects that:
(1) by adjusting the distributed power of the electric automobile cluster in real time, the electric automobile can effectively complete the frequency modulation power task distributed by the system, and the problems of poor frequency modulation effect or resource waste caused by unreasonable frequency modulation power distribution are avoided.
(2) By controlling the charging and discharging conversion times, each electric automobile is ensured to participate in service by limited charging and discharging times in the frequency modulation process, and the damage of frequent charging and discharging to the battery can be reduced.
(3) The control strategy provided by the invention can ensure that the driving requirements of electric automobile users are not influenced while the electric automobile participates in the frequency modulation task, and is beneficial to the popularization of the V2G technology.
The invention provides a model prediction-based electric vehicle cluster frequency modulation control strategy aiming at the problems that the frequency modulation power fixedly distributed to an electric vehicle cluster by a system is unreasonable and the electric vehicle is frequently charged and discharged in the frequency modulation process. Under the condition that historical data information of the large-scale electric automobile is lack at present, the example simulation proves that the provided frequency modulation control strategy can reasonably distribute the frequency modulation power of the electric automobile cluster, control the charging and discharging conversion times of the electric automobile and effectively realize regional frequency adjustment.
Drawings
In order to make the object, technical scheme and beneficial effect of the invention more clear, the invention provides the following drawings for explanation:
FIG. 1 is a frequency modulation strategy framework for an electric vehicle;
FIG. 2 is a flow chart of a frequency modulation strategy involving an electric vehicle;
FIG. 3 is a flow chart of a system frequency modulation strategy;
FIG. 4 is a model of a two-zone interconnected system based on a model predictive frequency modulation control strategy;
FIG. 5 is a diagram of system frequency modulation demand power;
FIG. 6 is a change in SOC for a single EV;
FIG. 7 is a change in SOC ofEV 4;
FIG. 8 is the power ofEV 4;
FIG. 9 shows the number of charge/discharge transitions ofEV 4;
FIG. 10 shows the number of EV frequency adjustments;
FIG. 11 illustrates EVA prediction of controllable capacity;
FIG. 12 is EVA frequency modulation output;
FIG. 13 is a power output of a conventional unit;
FIG. 14 is a system frequency variation;
FIG. 15 is a comparison of system frequency modulation demand power;
FIG. 16 is a comparison of EVA frequency modulated output;
FIG. 17 is a comparison of power distribution for a conventional unit;
fig. 18 is a comparison of system frequency changes.
Detailed Description
Preferred embodiments of the present invention will be described in detail below with reference to the accompanying drawings.
1. Framework for analyzing frequency modulation strategy of electric vehicle
The system frequency modulation strategy framework of EV participation is shown in FIG. 1. And the power grid regulation and control center respectively acquires load disturbance and frequency fluctuation information from the regional transformer substation and acquires EV information of the power grid accessed in the region from the EVA. And specific information such as a power grid participating system frequency modulation participating time period, a state of charge (SOC), controllable capacity and the like of the electric vehicle accessed into the EVA collection region is provided. And dividing the electric automobile into a charging group and a discharging group according to the SOC state of the EV accessed to the power grid. The EVA reports the EV information to a power grid regulation and control center, the power grid regulation and control center distributes the frequency modulation power required by the system to the EVA according to the frequency fluctuation and the EV information, an instruction is given to the network-access EV through the EVA, and the EV receives the instruction and achieves the purpose of adjusting the frequency through charging and discharging.
The frequency modulation control strategy idea of the electric automobile is shown in fig. 2. When the electric automobile is connected to a power grid, the electric automobile enters a controllable state (called as a controllable state) and receives a frequency modulation task. In addition, the electric vehicle in the controllable state is turned out from the controllable state to be called an out-controllable state. The SOC of the power grid EV is accessed according to whether the SOC reaches the grouping standard SOCmAnd dividing into a discharging group or a charging group. According to the prediction of EVA controllable capacity Rj+1With the required power P for frequency modulationtaskAnd distributing the specific EV output in the discharging group or the charging group to participate in frequency modulation.
2. Electric automobile frequency modulation grouping
The principle of minimizing EV charging and discharging times is that the EVs participating in frequency modulation in the EVA are divided intoA discharge group and a charge group. The EV FM packet rule is shown in Table 1, where SOCi,jAnd the energy storage state at the j moment is the ith EV.
TABLE 1EV FM packet rules
Figure GDA0002885729260000061
Figure GDA0002885729260000071
In the process that the EV participates in system frequency modulation, at the time j, the charging and discharging power of the ith EV is Pi,jWhere discharge is assumed herein to be positive and charge is negative.
Figure GDA0002885729260000072
Number Num of charging and discharging times in EV frequency modulation processi,jThe definition is that every time the EV participates in the change of the frequency modulation form, namely the change from discharging to charging or the change from charging to discharging, the charging and discharging times are increased by 1 time.
Figure GDA0002885729260000073
Considering the limitation of charging and discharging times of the EV, the accessed power grid EV is divided into a discharging group DC and a charging group C, and the kth discharging group and the charging group are respectively as follows:
Figure GDA0002885729260000074
Figure GDA0002885729260000075
wherein K is 1,2, …, K.
Figure GDA0002885729260000076
And
Figure GDA0002885729260000077
are respectively a discharge group
Figure GDA0002885729260000078
And a charging group
Figure GDA0002885729260000079
The number of the elements in the Chinese character 'Zhongqin'. The discharge resistance and the number of EVs in the charging group are respectively as follows:
Figure GDA00028857292600000710
Figure GDA00028857292600000711
3. model prediction based frequency modulated power allocation
In the real-time frequency modulation process, charging and discharging of EVA are carried out according to a frequency modulation distribution power instruction EV to participate in frequency modulation. And the discharging group and the charging group are respectively sequenced according to the contribution degree of the unit participation time of the electric automobile so as to determine the specific vehicle participating in frequency modulation and the output power thereof. EVA and traditional unit frequency modulation power distribution is by system frequency modulation demand power PtaskAnd EVA controllable capacity model prediction decision. PtaskCan be obtained by the load frequency control model. The flow chart of the system frequency modulation is shown in fig. 3.
3.1EVA controlled Capacity prediction
And at the moment j, predicting the controllable capacities of the discharge group and the charging group EV in the EVA at the moment j +1 respectively as shown in the formulas (7) and (8):
Figure GDA0002885729260000081
Figure GDA0002885729260000082
Figure GDA0002885729260000083
wherein p isiCharging and discharging power limit for the ith EV;
Figure GDA0002885729260000084
the capacity is controlled by upper frequency modulation;
Figure GDA0002885729260000085
to down-modulate the controllable capacity. Rj+1Is a frequency modulation controllable capacity.
3.2EV FM Power distribution
Attime j +1, the EV FM output is determined by the controllable capacity at time j +1 of the forecast. Let Δ f be the system frequency variation.
3.2.1EV upper frequency modulation output
When Δ f < 0, PtaskAnd > 0, discharge is needed to participate in frequency modulation, and the frequency modulation rate is increased:
(1) if it is not
Figure GDA0002885729260000086
The discharge power of the discharge group EV is shown as the formula (10):
Figure GDA0002885729260000087
(2) if it is not
Figure GDA0002885729260000088
The controllable capacity of the discharge group EV exceeds the required power of system frequency modulation. In the frequency modulation process, EV participates in the contribution degree of time according to the unit
Figure GDA0002885729260000089
Selective discharge, defined as shown in equation (11):
Figure GDA00028857292600000810
in the formula (d)iOutputting a controllable moment for the ith EV; SOCi,j+1From formula (12):
Figure GDA00028857292600000811
in the formula, EevThe total energy stored for a single EV battery; etacAnd ηdcEV charge efficiency and discharge efficiency, respectively.
Of EVs
Figure GDA00028857292600000812
The larger the EVA is, the better the EVA is to call and participate in discharge frequency modulation,
Figure GDA00028857292600000813
sort from big to small
Figure GDA00028857292600000814
As shown in formula (13):
Figure GDA0002885729260000091
in the formula (I), the compound is shown in the specification,
Figure GDA0002885729260000092
representing the maximum value of the contribution degree of the discharge group EV unit participation time at the moment j + 1;
Figure GDA0002885729260000093
in the discharge group for indicating j +1 moment
Figure GDA0002885729260000094
The contribution degree of the unit participation time of the theta-th EV is sorted from large to small, and the formula shown in the formula (14) is satisfied.
Figure GDA0002885729260000095
In the formula, [ P ]task]Represents a pair PtaskAnd (6) taking the whole.
Then the set of EVs participating in the discharge
Figure GDA0002885729260000096
As shown in equation (15):
Figure GDA0002885729260000097
the discharge group EV discharge power is shown as the formula (16):
Figure GDA0002885729260000098
frequency-modulated output on EVA discharge set
Figure GDA0002885729260000099
As shown in equation (17):
Figure GDA00028857292600000910
3.2.2EV Down-regulated output
When Δ f > 0, PtaskLess than 0, charging is needed to participate in frequency modulation, and the frequency is adjusted downwards:
(1) if it is not
Figure GDA00028857292600000911
Charging group EV charging power is as shown in equation (18):
Figure GDA00028857292600000912
(2) if it is not
Figure GDA00028857292600000913
The controllable capacity of the charging group EV exceeds the required power of system frequency modulation. In the frequency modulation process, EV participates in the contribution degree of time according to the unit
Figure GDA00028857292600000914
Selective charging, defined as shown in equation (19):
Figure GDA00028857292600000915
of EVs
Figure GDA00028857292600000916
The larger the EVA is, the better the EVA is to call and participate in charging frequency modulation,
Figure GDA00028857292600000917
sort from big to small
Figure GDA00028857292600000918
As shown in equation (20):
Figure GDA00028857292600000919
in the formula (I), the compound is shown in the specification,
Figure GDA00028857292600000920
representing the maximum value of the contribution degree of the charging group EV unit participation time;
Figure GDA00028857292600000921
indicating charging group attime j +1
Figure GDA00028857292600000922
The contribution degree of the unit participation time of the theta-th EV is sorted from large to small, and the formula shown in the formula (21) is satisfied.
Figure GDA00028857292600000923
Then the set of EVs participating in charging
Figure GDA00028857292600000924
As shown in formula (22):
Figure GDA0002885729260000101
Charging group EV charging power is as shown in equation (23):
Figure GDA0002885729260000102
frequency modulation output under EVA charging set
Figure GDA0002885729260000103
As shown in equation (24):
Figure GDA0002885729260000104
3.3 frequency modulated Power distribution for conventional units
The EVA and the traditional unit coordinate frequency modulation, the EV charging and discharging are preferably called to participate in the frequency modulation, the EVA cannot independently complete the power required by the frequency modulation, and the traditional unit is called to participate in the frequency modulation. j +1 moment EVA frequency modulation output Pj+1Distributing frequency modulation power to traditional units
Figure GDA0002885729260000105
Respectively, as shown in formulas (25) and (26):
Figure GDA0002885729260000106
Figure GDA0002885729260000107
4. electric automobile frequency modulation model based on model prediction
The load frequency control model is a basic model of the frequency modulation of the power system. The present document is based on a model of a two-zone interconnected system based on a model predictive frequency modulation control strategy, as shown in fig. 4. Wind power random fluctuation and load disturbance modelThe thermal power generating unit adopts a traditional frequency modulation generator set model, a generator-load model 1/(Ms + D) is expressed by adopting a first-order transfer function, and M and D are respectively an inertia constant and a load damping coefficient of the generator. And the frequency modulation control strategy controls charging and discharging of the charging group and the discharging group EV to participate in frequency modulation. 1/(s + T)delay) Representing the effect of delays, T, on system control and communicationdelayReferred to as the system delay time constant. And the LFC Control centers of the two areas adopt a Tie-line frequency deviation Control (TBC) to combine a Control mode of the TBC-TBC to obtain an LFC signal.
Assume that the reference capacity of the whole power system is 50000kVA and the reference frequency is 50 Hz. The simulation parameters of the system model and the simulation parameters of the electric vehicle are shown in tables 2 and 3, respectively.
TABLE 2 simulation System parameters
Figure GDA0002885729260000108
Figure GDA0002885729260000111
TABLE 3 parameters of electric vehicles
Figure GDA0002885729260000112
5 example simulation
5.1 example background
Considering EV user driving habits and daily work driving requirements, the unit time of EV morning arrival follows normal distribution arrival-N (8.5, 0.5)2) Leaving unit time department-N (17.5, 0.5) at night2) And distance traveled follow a lognormal distribution with a mean and variance of 17.9km and 4.9km, respectively. The EV driving speed is 28.5km/h and the energy consumption is 15kWh per hundred kilometers. In the calculation example, the EV participates in frequency modulation in three periods, namely, before work (0-7 periods), in work (8.5-16.8 periods) and after work (18.5-24 periods). EV participation in frequency modulation in each time intervalIndependent single EV charge-discharge conversion times Numi,jThe limit is 2, i.e. the EV is only allowed to be divided into charging and discharging groups at most once in this period: numi,j>And 2, the EV exits the frequency modulation. EV packet standard SOCmVarying with the number of EVs. Example SOCmThe value is 0.431, and the value can be modified according to actual conditions.
Under the influence of wind power random fluctuation and load disturbance, the system frequency modulation required power P is 0-24 hourstaskAs shown in fig. 5.
5.2 example analysis
5.2.1EV frequency modulation output
Zone 1EVs number 3000. In order to prove that the frequency modulation control strategy provided by the method effectively limits the charging and discharging times of the EVs in the frequency modulation process, 4 EVs are randomly taken out for explanation. The frequency modulated output conditions are shown in fig. 6-9.
Fig. 6shows 4 EVSOC variations. The SOC values of 4 EVs attime 0 are 0.644, 0.351, 0.23, and 0.698, respectively. Among them, the SOC values of EV1 and EV4 are higher and divided into the discharge group, and EV2 and EV3 are divided into the charge group. If the higher SOC value is divided into the charging group, the SOC participating in the frequency modulation for a shorter time reaches the upper limit SOCmaxThen, the battery is scratched into a discharging group, the charging and discharging conversion times of the EV are increased, and the damage to the battery is increased; meanwhile, the variable frequency capacity of the EV is reduced, and resources cannot be efficiently utilized. Therefore, the higher SOC EV1 and EV4 were assigned to the discharge group and the lower SOC EV2 and EV3 were assigned to the charge group. Taking EV4 as an example, the specific tuned output is shown in FIGS. 7-9.
Fig. 7, 8 and 9 show the SOC change, power change and number of charge-discharge transitions of EV4 from 0 to 24, respectively. Since the EV is separated from the power grid due to the fact that the owner gets on and off the duty, the EV participates in frequency modulation in 3 time intervals in one day. The initial SOC values of the frequency modulation time interval 1(0-7 time interval) and the frequency modulation time interval 2(8.5-16.8 time interval) are higher, and the discharge groups are divided, and the discharge participates in the up-frequency modulation; and in the frequency modulation period 3(18.5-24 periods), the initial SOC value is lower, the charging group is divided, and the charging participates in frequency modulation.
Takingfrequency modulation period 2 as an example, two states,frequency modulation state 1 andfrequency modulation state 2, are included. SOC remains unchanged inState 1, during which the system frequency increases, PtaskNegative, the frequency needs to be adjusted downwards, and the EV4 is in the discharge group at the moment, so the EV4 does not participate in frequency modulation; SOC decreases inState 2, during which the system frequency decreases, PtaskSince the frequency needs to be adjusted up to positive, the EV4 discharge participates in the frequency adjustment, and the SOC value decreases. SOC of EV4 reaches SOCminEV4 shifts from the discharge bank to the charge bank, stopping the discharge frequency modulation. The running state refers to that the EV is separated from a power grid and runs to consume electric quantity; the charging state refers to that the EV exits the frequency modulation state before entering the driving state and is charged. In fig. 7, the EV4 reasonably selects the charging time according to the self-driving distance to meet the self-driving demand.
In the SOC value change period in fig. 7, the corresponding frequency modulation power changes as shown in fig. 8. In the 3-4.5 time period of the frequencymodulation time period 1, the up frequency modulation power of the EV4 is 6kW, the charge and discharge power of the EV4 is 0 in the 4.5-7 time period, and the frequency modulation does not output power because the required power of the system frequency modulation is negative, as shown in figure 5, the charging is required to participate in the frequency modulation, and the discharging group stops outputting power at the moment. Frequencymodulation time interval 1, EV4 charge-discharge conversion times Numi,jAt 0, only discharges participate in the frequency modulation, as in periods 0-7 in fig. 9. During the period 7-7.5, the EV4 was in a charged state with a charging power of-6 kW.
In thefrequency modulation period 2, EV4 is in afrequency modulation state 1 in a period of 8.5-13, and the discharge power is 0; EV4 discharge frequency modulation in a period of 13-15.3, the power is-6 kW, and then the SOC of EV4 reaches the off-line SOCminThen the charge and discharge are switched to a charge group, and the number of charge and discharge conversion times is Numi,jNum of EV4,period 1, as in fig. 9, 15.3-18.2i,jRemains at 1. At time 18.2, EV4 entersfm period 3, Numi,jClear 0, i.e. number Num of charge-discharge transitions per fm periodi,jIndependent of each other, and the charging and discharging conversion times Num of each frequency modulation time intervali,jThe maximum is 2. Then entering EV4 entersfm period 3, as above. 7-9 show that the EV charge and discharge times are controlled under the frequency modulation control strategy provided by the invention, so that the damage to the battery is reduced.
The EV is divided into the discharging group and the charging group, so that the reasonable discharging/charging of the EV can participate in frequency modulation within 0-24 hours a day, the driving requirements of an owner on and off duty can be met, and the phenomenon that the SOC of the EV is too low to influence the traveling condition of the owner due to the unclear frequency modulation condition is avoided. Because the work and rest of the car owner on duty and off duty are different, the participating frequency modulation time of each EV is different.
5.2.2EVA frequency modulation output
Based on model prediction, the variation of EVA frequency modulation output inregion 1 is shown in FIGS. 10-14.
The variation of the number of EVs involved in frequency modulation within the EVA charge/discharge cells is shown in fig. 10. In thefrequency modulation period 2, as the system requires continuous discharging in the corresponding period shown in fig. 4, the SOC of the discharging group EV is reduced, the corresponding amount is reduced, the charging group EV is switched to participate in frequency modulation, and the amount of the charging group EV reaches 3000 vehicles at maximum. During the rest of the time period, although the discharging bank and the charging bank EV participate in the frequency modulation, the number of EVs converted between the discharging bank and the charging bank is small, so that the number of each bank is kept relatively stable.
Fig. 11 and fig. 12 show the predicted controllable capacity and actual frequency modulation output of EVA, respectively. The waveform of the upper frequency modulation predicted controllable capacity is consistent with that of the EV number curve of the discharge group in thegraph 10, the waveform of the lower frequency modulation predicted controllable capacity is just opposite to that of the EV number curve of the charge group, the lower frequency modulation predicted controllable capacity is a negative value due to the fact that charging is negative, the maximum value of the absolute value of the lower frequency modulation controllable capacity is 18000kW, and the maximum number of the corresponding charge group is 3000. In comparison to FIG. 12, the predicted controllable capacity value is greater than the actual FM power output, which is represented by PtaskThe value is determined.
FIG. 12 frequency modulated Power output vs. P of FIG. 5 during frequency modulatedperiods 1 and 3taskThe waveforms are consistent, and the frequency modulation control strategy provided by the scheme is shown to control reasonable charging and discharging of the EV to participate in frequency modulation, so that the situation that the EVA is excessively charged and discharged due to unclear frequency modulation instructions is avoided. Within 15-20 periods offrequency modulation period 2, PtaskThe discharging groups are required to discharge frequency modulation, and at the moment, the number of the discharging groups EV is 0, so that the EVA cannot provide power output to participate in frequency modulation, and the EVA frequency modulation power output is 0. Therefore, the frequency modulation task in this time period is completed by the conventional unit, as shown in fig. 13.
Fig. 13 is a comparison of the frequency modulation duty and frequency modulation output of a conventional unit. It can be seen from fig. 5 and 12 that, in the time periods of 8-11 and 15-20, the frequency modulation tasks allocated by the conventional unit make up for the EVA output defect, increase the system frequency modulation power output, and enhance the stability of the system frequency modulation. However, due to the problems of the conventional unit such as start-up and ramp rate, the power output of the conventional unit cannot respond to the frequency change accurately and timely like the EV frequency modulation output, and the actual frequency modulation output is not completely matched with the frequency modulation task, as shown in fig. 13. Because the system frequency is instantaneously changeable, energy storage equipment which is similar to an EV and can quickly respond to the frequency should be added in the frequency modulation system structure, and the efficiency of the system for adjusting the frequency is enhanced.
Fig. 14 shows the system frequency variation. As can be seen, the frequency deviation of V2G is smaller than the frequency deviation of V2G during 3 fm periods. In the interval of the frequency modulation period, the electric automobile is separated from the power grid and cannot participate in system frequency modulation, so that the system frequency deviation is the same. The rms values of the frequency deviations of the system taking account of V2G and not taking account of V2G were 0.0754Hz and 0.08Hz, respectively. Therefore, the adjustment effect of the EV participation system frequency is better than that of the traditional unit.
5.2.3 model predictive comparison
In order to prove the effectiveness of the model prediction strategy provided by the invention on system frequency modulation, the model prediction strategy is particularly compared with a conventional frequency modulation strategy, namely a strategy for distributing the required power of the frequency modulation by adopting a fixed proportion. Setting scenario one as a model prediction strategy proposed herein; and a second scenario is a fixed proportion frequency modulation power distribution strategy. The other related parameters of the two scenarios are the same as the background of the calculation example 5, wherein the EVA and the traditional unit in the second scenario distribute the frequency modulation power in a fixed ratio of 8: 2. The two scenario frequency modulated force pairs are shown in fig. 15-18.
Fig. 15 is a comparison of the required power for system frequency modulation, and the required power for system frequency modulation in 0-24 period is different because the frequency modulation strategies are different and the corresponding frequency modulation effects are also different, as the difference between scenario one and scenario two.
Fig. 16 is a comparison of EVA frequency modulation output, and it can be seen from fig. 15 that, since the frequency modulation period is more in scenario two, the discharge period in scenario two is more than in scenario one in fig. 16. In the 12-15 period, because the two frequency modulations require high power, a large number of EVs are required to be called to participate in the frequency modulation, but a fixed proportion allocation strategy is adopted in the second scenario, and a part of EVs are not called to participate in the frequency modulation and are in an idle state, and the frequency modulation of the traditional unit is called, as shown in fig. 17, the EVA output of the first scenario is larger than that of the second scenario, and the distribution power of the traditional unit of the second scenario is larger than that of the first scenario. Therefore, the EV resources cannot be fully called by adopting a fixed proportion allocation strategy, and resource waste is caused.
Fig. 18 shows a comparison of frequency deviations for two scenarios. The root mean square values of the frequency deviations of the scene one and the scene two are 0.0754Hz and 0.1722Hz respectively. And as the scene two adopts a fixed proportion allocation strategy, EV resources are not fully utilized, and the output of the EV is relatively less, so that the output of the traditional unit is increased. And the traditional unit frequency modulation has the characteristic of slow self response signal rate, the power output of the traditional unit frequency modulation cannot make accurate and timely response to frequency change like EV frequency modulation output, so that the frequency modulation power is not matched, the frequency deviation fluctuation of the scene two is greater than that of the scene one, and the frequency modulation effect of the scene one is better.
Finally, it is noted that the above-mentioned preferred embodiments illustrate rather than limit the invention, and that, although the invention has been described in detail with reference to the above-mentioned preferred embodiments, it will be understood by those skilled in the art that various changes in form and detail may be made therein without departing from the scope of the invention as defined by the appended claims.

Claims (1)

1. Electric automobile frequency modulation control strategy based on model prediction is characterized in that: the strategy comprises the following steps:
s1: the power grid regulation and control center acquires load disturbance and frequency fluctuation information from a regional substation, and acquires EV (electric vehicle) information of an electric power grid accessed into a region from an EVA (ethylene vinyl acetate copolymer) electric vehicle cluster;
s2: electric vehicles connected with a power grid in the EVA collection region to participate in system frequency modulation participate in frequency modulation time period, charge state SOC and controllable capacity information;
s3: the SOC of the power grid EV is accessed according to whether the SOC reaches the grouping standard SOCmDivided into a discharge group or a charge group;
s4: according to the predicted EVA frequency modulation controllable capacity Rj+1With the required power P for frequency modulationtaskThe specific EV output in the discharging group or the charging group is distributed to participate in frequency modulation;
s5: the EVA reports the EV information to a power grid regulation center, the power grid regulation center distributes the frequency modulation power required by the system to the EVA according to the frequency fluctuation and the EV information, an instruction is given to the network-access EV through the EVA, and the EV receives the instruction and achieves the purpose of adjusting the frequency through charging and discharging;
the steps S3-S4 are specifically:
the EV access power grid is in a controllable state, and receives a frequency modulation task; the EV is converted from the controllable state to the controllable state; SOCi,jThe energy storage state at the moment j is the ith EV;
EV is controlled in state and is divided into discharge groups if SOC isi,j>SOCminThe frequency modulation device is kept in a discharge group, and discharge participates in frequency modulation;
EV is controlled in state and is divided into discharge groups if SOC isi,j≤SOCminTransferring to a charging group, and charging to participate in frequency modulation;
EV is controlled to be in a charging group, if SOC isi,j<SOCmaxThe charging group is kept, and the charging participates in frequency modulation;
EV is controlled in state and is divided into discharge groups if SOC isi,j≥SOCmaxTransferring into a discharging group, and discharging to participate in frequency modulation;
the EV exits from the frequency modulation of the discharging group or the charging group and enters a charging state to meet the travel requirement;
the EV satisfies the following conditions in the frequency modulation process:
at time j, the i-th EV charge/discharge power is Pi,j
Figure FDA0002885729250000011
Figure FDA0002885729250000012
For the discharge power of the EV during the frequency modulation,
Figure FDA0002885729250000014
charging power of EV in frequency modulation process; discharging is positive and charging is negative;
number Num of charging and discharging times in EV frequency modulation processi,jDefined as each time the EV participates in a change in frequency modulation form, i.e. from discharging to charging or chargingAnd (3) turning to discharge, increasing the charging and discharging times by 1 time:
Figure FDA0002885729250000013
Numi,jthe number of charging and discharging times in the ith EV frequency modulation process at the moment of j-i, Pi,j-1Charging and discharging power in the ith EV frequency modulation process at the moment j-1;
considering the limitation of charging and discharging times of the EV, the accessed power grid EV is divided into a discharging group DC and a charging group C, and the kth discharging group and the charging group are respectively as follows:
Figure FDA0002885729250000021
Figure FDA0002885729250000022
wherein K is 1,2, …, and K is the maximum group number of the discharging groups or the charging groups;
Figure FDA0002885729250000023
and
Figure FDA0002885729250000024
are respectively a discharge group
Figure FDA0002885729250000025
And a charging group
Figure FDA0002885729250000026
The number of the medium elements, the number of the discharge resistors and the number of the EV in the charging group are respectively as follows:
Figure FDA0002885729250000027
and
Figure FDA0002885729250000028
the controllable capacity R of frequency modulationj+1The prediction of (a) is specifically:
at the moment j, predicting that the EV frequency modulation controllable capacities of the discharging group and the charging group in the EVA at the moment j +1 are respectively
Figure FDA0002885729250000029
And
Figure FDA00028857292500000210
then
Figure FDA00028857292500000211
Wherein p isiCharging and discharging power limit for the ith EV;
Figure FDA00028857292500000212
the capacity is controlled by upper frequency modulation;
Figure FDA00028857292500000213
to lower the frequency-modulated controllable capacity;
the required power P of frequency modulationtaskThe calculation is specifically as follows:
at the moment j +1, the EV frequency modulation output is determined by the frequency modulation controllable capacity of the moment j +1 predicted at the moment j, and if delta f is the system frequency variation, when delta f is less than 0, PtaskWhen the frequency is more than 0, EV discharge participates in frequency modulation, and the frequency modulation rate is increased:
(1) if it is not
Figure FDA00028857292500000214
Discharge group EV discharge power is
Figure FDA00028857292500000215
(2) If it is not
Figure FDA00028857292500000216
The EV frequency modulation controllable capacity of the discharge group exceeds the system frequency modulation required power; in the frequency modulation process, EV participates in the contribution degree of time according to the unit
Figure FDA00028857292500000217
Selective discharge defined as
Figure FDA00028857292500000218
In the formula (d)iOutputting a controllable moment for the ith EV; SOCi,j+1Is composed of
Figure FDA00028857292500000219
Wherein E isevThe total energy stored for a single EV battery; etacAnd ηdcEV charge efficiency and discharge efficiency, respectively;
of EVs
Figure FDA00028857292500000220
The larger the EVA is, the better the EVA is to call and participate in discharge frequency modulation,
Figure FDA00028857292500000221
sort from big to small
Figure FDA00028857292500000222
Is composed of
Figure FDA0002885729250000031
In the formula (I), the compound is shown in the specification,
Figure FDA0002885729250000032
representing the maximum value of the contribution degree of the discharge group EV unit participation time at the moment j + 1;
Figure FDA0002885729250000033
in the discharge group for indicating j +1 moment
Figure FDA0002885729250000034
The contribution degree of the unit participation time of the theta-th EV is sorted from large to small, and satisfies
Figure FDA0002885729250000035
Wherein [ P ]task]Represents a pair PtaskGetting the whole;
then the set of EVs participating in the discharge
Figure FDA0002885729250000036
Is composed of
Figure FDA0002885729250000037
Discharge group EV discharge power is
Figure FDA0002885729250000038
Frequency-modulated output on EVA discharge set
Figure FDA0002885729250000039
Is composed of
Figure FDA00028857292500000310
When Δ f > 0, PtaskWhen the frequency is less than 0, the EV charging participates in frequency modulation, and the frequency is adjusted downwards:
(1) if it is not
Figure FDA00028857292500000311
EV charging power of charging group is
Figure FDA00028857292500000312
(2) If it is not
Figure FDA00028857292500000313
The controllable capacity of the charging group EV exceeds the system frequency modulation required power;
in the frequency modulation process, EV participates in the contribution degree of time according to the unit
Figure FDA00028857292500000314
Selective charging, defined as
Figure FDA00028857292500000315
Of EVs
Figure FDA00028857292500000316
The larger the EVA is, the better the EVA is to call and participate in charging frequency modulation,
Figure FDA00028857292500000317
sort from big to small
Figure FDA00028857292500000318
Comprises the following steps:
Figure FDA00028857292500000319
in the formula (I), the compound is shown in the specification,
Figure FDA00028857292500000320
representing the maximum value of the contribution degree of the charging group EV unit participation time;
Figure FDA00028857292500000321
indicating charging group at time j +1
Figure FDA00028857292500000322
The contribution degree of the unit participation time of the theta-th EV is sorted from large to small, and satisfies
Figure FDA00028857292500000323
Then the set of EVs participating in charging
Figure FDA00028857292500000324
Is composed of
Figure FDA00028857292500000325
EV charging power of charging group is
Figure FDA00028857292500000326
Frequency modulation output under EVA charging set
Figure FDA00028857292500000327
Is composed of
Figure FDA00028857292500000328
CN201710993022.6A2017-10-232017-10-23 Electric vehicle frequency regulation control strategy based on model predictionActiveCN107612048B (en)

Priority Applications (1)

Application NumberPriority DateFiling DateTitle
CN201710993022.6ACN107612048B (en)2017-10-232017-10-23 Electric vehicle frequency regulation control strategy based on model prediction

Applications Claiming Priority (1)

Application NumberPriority DateFiling DateTitle
CN201710993022.6ACN107612048B (en)2017-10-232017-10-23 Electric vehicle frequency regulation control strategy based on model prediction

Publications (2)

Publication NumberPublication Date
CN107612048A CN107612048A (en)2018-01-19
CN107612048Btrue CN107612048B (en)2021-03-16

Family

ID=61079098

Family Applications (1)

Application NumberTitlePriority DateFiling Date
CN201710993022.6AActiveCN107612048B (en)2017-10-232017-10-23 Electric vehicle frequency regulation control strategy based on model prediction

Country Status (1)

CountryLink
CN (1)CN107612048B (en)

Families Citing this family (12)

* Cited by examiner, † Cited by third party
Publication numberPriority datePublication dateAssigneeTitle
CN109088422A (en)*2018-08-312018-12-25西南交通大学A kind of electric car method for managing charge/discharge based on user's trip characteristics
CN110048406B (en)*2019-04-122022-12-27东北大学Control method based on participation of large-scale electric vehicles in power grid frequency modulation in groups
CN110119848B (en)*2019-05-152022-11-11长沙理工大学Chain communication electric vehicle group sharing decision frequency modulation trading method and system
CN110829474B (en)*2019-11-212021-10-01国电南瑞南京控制系统有限公司 Method and system for supporting grid dynamic security with big data intelligent energy storage
CN111313437B (en)*2020-03-302023-03-14重庆大学Electric vehicle distributed frequency modulation control method considering charging plan optimization
CN111507524B (en)*2020-04-162021-06-18宁波谦屹节能科技有限公司Power distribution network electric power big data transaction management system based on artificial intelligence and block chain
CN112701797B (en)*2020-12-222023-04-21国网重庆市电力公司 A 5G communication-based electric vehicle network power optimization distribution method
JP7695966B2 (en)*2021-02-102025-06-19日産自動車株式会社 Method for controlling charging and discharging of charging and discharging elements, and device for controlling charging and discharging of charging and discharging elements
CN112909979B (en)*2021-04-192022-11-11广东电网有限责任公司电力调度控制中心Multi-mode frequency modulation method, device, equipment and medium for cluster electric automobile
CN114362227B (en)*2022-01-122022-09-09华北电力大学Electric automobile frequency modulation reporting method considering user intention
CN115001053A (en)*2022-07-132022-09-02重庆大学V2G optimal frequency modulation method for actively inhibiting battery aging
CN115001054B (en)*2022-07-292022-11-01东南大学溧阳研究院Model-based power system frequency control strategy for predicting electric vehicle

Citations (5)

* Cited by examiner, † Cited by third party
Publication numberPriority datePublication dateAssigneeTitle
CN105356459A (en)*2015-11-232016-02-24东南大学A control method for allowing electric automobiles to participate in power system frequency modulation in a scattered grid-access manner
CN106096773A (en)*2016-06-072016-11-09三峡大学A kind of electric automobile serves as the Multiobjective Optimal Operation method of energy storage
CN106203720A (en)*2016-07-152016-12-07合肥工业大学A kind of Multiple Time Scales electric automobile cluster schedulable capacity prediction methods
CN106945558A (en)*2017-03-312017-07-14天津大学Cluster electric automobile V2G control strategies
CN107069789A (en)*2017-05-132017-08-18东北电力大学A kind of energy-storage system control strategy towards power network AGC frequency modulation

Patent Citations (5)

* Cited by examiner, † Cited by third party
Publication numberPriority datePublication dateAssigneeTitle
CN105356459A (en)*2015-11-232016-02-24东南大学A control method for allowing electric automobiles to participate in power system frequency modulation in a scattered grid-access manner
CN106096773A (en)*2016-06-072016-11-09三峡大学A kind of electric automobile serves as the Multiobjective Optimal Operation method of energy storage
CN106203720A (en)*2016-07-152016-12-07合肥工业大学A kind of Multiple Time Scales electric automobile cluster schedulable capacity prediction methods
CN106945558A (en)*2017-03-312017-07-14天津大学Cluster electric automobile V2G control strategies
CN107069789A (en)*2017-05-132017-08-18东北电力大学A kind of energy-storage system control strategy towards power network AGC frequency modulation

Also Published As

Publication numberPublication date
CN107612048A (en)2018-01-19

Similar Documents

PublicationPublication DateTitle
CN107612048B (en) Electric vehicle frequency regulation control strategy based on model prediction
CN109599856B (en)Electric vehicle charging and discharging management optimization method and device in micro-grid multi-building
CN107994595B (en)Peak clipping and valley filling control method and system applying control method
CN109103893B (en) Auxiliary frequency regulation method for cluster temperature control load to participate in grid AGC
WO2022252426A1 (en)Method for determining controllability of electric vehicle cluster, scheduling method and system
CN109657993B (en)Non-cooperative game-based automatic demand response method for energy local area network energy storage system
CN111799827B (en) A load regulation method for a station area with an optical storage charging station
CN111313437B (en)Electric vehicle distributed frequency modulation control method considering charging plan optimization
CN111740403B (en)Master-slave game scheduling strategy for power grid operator and electric vehicle cluster
CN106655243B (en)The automatic demand response method of electric car for the purpose of maintaining the micro-capacitance sensor equilibrium of supply and demand
CN113580984A (en)Electric vehicle ordered charging strategy and simulation method thereof
CN111422094A (en)Charge-discharge coordination optimization control method for distributed charging pile
CN110048406B (en)Control method based on participation of large-scale electric vehicles in power grid frequency modulation in groups
CN109193718A (en)A kind of selection electric car networking regulation method being adapted to V2G
CN116029453B (en) Electric vehicle charging pile configuration method, recording medium and system
CN105826934A (en)Method for controlling auxiliary frequency modulation of electric vehicle based on feasible region
CN108471139B (en) A dynamic demand response method for regional power grids with new energy and temperature-controlled loads
CN106945558A (en)Cluster electric automobile V2G control strategies
CN110611322B (en)System frequency control method based on electric vehicle energy efficiency power plant
CN110445150B (en)Frequency coordination control method based on electric automobile and temperature control load polymer response
CN113829934B (en)Electric vehicle cluster aggregation response capacity determining method and scheduling method
CN111798121A (en)Distributed collaborative optimization method for energy management scheduling of electric vehicle
CN105305489A (en)Grid demand side response resource frequency response ability estimation method
CN110829474A (en) Method and system for supporting grid dynamic security with big data intelligent energy storage
CN115378007B (en)Control method of intelligent photovoltaic energy storage integrated charging station

Legal Events

DateCodeTitleDescription
PB01Publication
PB01Publication
SE01Entry into force of request for substantive examination
SE01Entry into force of request for substantive examination
GR01Patent grant
GR01Patent grant

[8]ページ先頭

©2009-2025 Movatter.jp