Movatterモバイル変換


[0]ホーム

URL:


CN107577986B - Respiration and heartbeat component extraction method, electronic equipment and storage medium - Google Patents

Respiration and heartbeat component extraction method, electronic equipment and storage medium
Download PDF

Info

Publication number
CN107577986B
CN107577986BCN201710641528.0ACN201710641528ACN107577986BCN 107577986 BCN107577986 BCN 107577986BCN 201710641528 ACN201710641528 ACN 201710641528ACN 107577986 BCN107577986 BCN 107577986B
Authority
CN
China
Prior art keywords
heartbeat
component
components
respiratory
physiological signal
Prior art date
Legal status (The legal status is an assumption and is not a legal conclusion. Google has not performed a legal analysis and makes no representation as to the accuracy of the status listed.)
Active
Application number
CN201710641528.0A
Other languages
Chinese (zh)
Other versions
CN107577986A (en
Inventor
潘晓亭
单姗
陈亚扣
葛淼
Current Assignee (The listed assignees may be inaccurate. Google has not performed a legal analysis and makes no representation or warranty as to the accuracy of the list.)
Lonbon Technology Co ltd
Original Assignee
Lonbon Technology Co ltd
Priority date (The priority date is an assumption and is not a legal conclusion. Google has not performed a legal analysis and makes no representation as to the accuracy of the date listed.)
Filing date
Publication date
Application filed by Lonbon Technology Co ltdfiledCriticalLonbon Technology Co ltd
Priority to CN201710641528.0ApriorityCriticalpatent/CN107577986B/en
Publication of CN107577986ApublicationCriticalpatent/CN107577986A/en
Application grantedgrantedCritical
Publication of CN107577986BpublicationCriticalpatent/CN107577986B/en
Activelegal-statusCriticalCurrent
Anticipated expirationlegal-statusCritical

Links

Images

Landscapes

Abstract

The invention discloses a method for extracting respiratory and heartbeat components, electronic equipment and a storage medium, wherein the method comprises the following steps: decomposing the acquired original physiological signal to generate at least two first eigenmode components; calculating a first correlation coefficient between each first eigenmode component and the original physiological signal; selecting a first intrinsic mode component corresponding to a first correlation coefficient meeting a breathing condition as a first breathing component; selecting a first eigenmode component corresponding to a first correlation coefficient which does not meet the breathing condition as a reconstruction component; reconstructing all the reconstructed components into a reconstructed physiological signal; decomposing the reconstructed physiological signal to generate at least two second eigenmode components; calculating a second correlation coefficient between each second eigenmode component and the reconstructed physiological signal; and if the second phase relation number meets the heartbeat condition, the second intrinsic mode component corresponding to the second phase relation number is the first heartbeat component. The respiratory component and the heartbeat component can be completely extracted more thoroughly.

Description

Respiration and heartbeat component extraction method, electronic equipment and storage medium
Technical Field
The present invention relates to sleep monitoring technologies, and in particular, to a method for extracting respiratory and heartbeat components, an electronic device, and a storage medium.
Background
One third of the life of a person spends in sleep, so that the improvement of sleep quality is beneficial to ensuring the normal operation of various physiological functions, and the low sleep quality seriously affects the health of the person, reduces the body immunity, makes diseases go wrong, and further affects the learning, memory, emotion and the like of the individual. Therefore, the quality of sleep is very important to the development of human physical and psychological health. Along with the progress of society and science and technology, the pressure of modern life is increasing. The reduction of irregular eating habits and exercise frequency leads people to have lower sleep quality and higher probability of suffering from sleep disorder or mental diseases. Therefore, monitoring sleep quality is highly desirable.
Respiration and heartbeat are important parameters reflecting healthy sleep of the human body. Normal and stable respiration and heartbeat, and enough oxygen and blood are provided for people, so that people feel more comfortable in sleeping, and a high-quality sleep is provided for people. By monitoring the respiration and heartbeat signals in real time, people can know the sleep condition of themselves. Therefore, monitoring the breathing and heartbeat change of a person during sleeping so as to analyze the sleeping quality of the person has important significance for scientifically guiding the person to sleep and preventing diseases caused by sleeping problems.
As shown in fig. 1, the physiological signals are generally obtained by detecting weak thoracic cavity fluctuation caused by normal respiration and heartbeat movement of a human body through a pressure sensor. Because the signal collected by the pressure sensor also comprises other interference noise, the human physiological signal has the characteristics of weak, low frequency, weak anti-interference capability and the like, and how to collect breath and heartbeat from the weak physiological signal containing noise is a difficult point in the field of sleep monitoring.
In the prior art, fast Fourier transform or wavelet transform and the like are mostly adopted for non-contact vital signal processing, but the defects that the local characteristics of non-stationary signals cannot be accurately described, the selection difficulty of basis functions is high, the self-adaptability is poor and the like exist; there are also some defects that the decomposed signal is a respiratory signal or a heartbeat signal through Empirical Mode Decomposition (EMD) and Hilbert-Huang transform (HHT), and the recognition reference cannot be adaptively recognized for different individuals, and the respiratory component and the heartbeat component in the original physiological signal cannot be completely extracted.
Disclosure of Invention
In order to overcome the defects of the prior art, an object of the present invention is to provide a method for extracting respiratory and heartbeat components, which can automatically adjust an extraction standard according to the characteristics of a thoracic cavity micromotion signal itself, so as to more thoroughly and completely extract the respiratory component and the heartbeat component in an original physiological signal.
The second objective of the present invention is to provide an electronic device, which can automatically adjust the extraction standard according to the characteristics of the thoracic cavity micromotion signal itself, so as to completely extract the respiratory component and the heartbeat component in the original physiological signal.
The present invention also provides a storage medium storing a computer program, which can automatically adjust the extraction standard according to the characteristics of the thoracic cavity jogging signal itself, so as to completely extract the respiratory component and the heartbeat component in the original physiological signal.
One of the purposes of the invention is realized by adopting the following technical scheme:
a method for extracting respiratory and heartbeat components comprises the following steps:
decomposing the acquired original physiological signal to generate at least two first eigenmode components;
calculating a first correlation coefficient of each first eigenmode component and the original physiological signal;
selecting a first intrinsic mode component corresponding to a first correlation coefficient meeting a breathing condition as a first breathing component;
selecting a first eigenmode component corresponding to a first correlation coefficient which does not meet the breathing condition as a reconstruction component;
reconstructing all the reconstructed components into a reconstructed physiological signal;
decomposing the reconstructed physiological signal to generate at least two second eigenmode components;
calculating a second correlation coefficient between each second eigenmode component and the reconstructed physiological signal;
and if the second relative number meets the heartbeat condition, the second intrinsic mode component corresponding to the second relative number is the first heartbeat component.
Further, if the second relative number satisfies the heartbeat condition, the method further includes the following steps after the second eigenmode component corresponding to the second relative number is the first heartbeat component:
if the original physiological signal contains a mutation quantity, the respiration prediction module corrects the first respiration component, and the heartbeat prediction module corrects the first heartbeat component.
Further, the respiration prediction module and the heartbeat prediction module are specifically trained artificial neural network models or autoregressive moving average models.
Further, the training data of the respiration prediction module is a respiration component extracted from an original physiological signal without a mutation quantity; the training data of the heartbeat prediction module is heartbeat components extracted from an original physiological signal which does not contain a mutation quantity.
Further, the method for extracting the respiratory and heartbeat components further comprises the following steps:
and acquiring the respiratory characteristics of the first respiratory component and the heartbeat characteristics of the first heartbeat component through short-time Fourier transform, Wigner-Ville transform, wavelet transform or Hilbert transform.
Further, the decomposing is performed on the acquired original physiological signal to generate at least two first intrinsic mode components, specifically, the decomposing is performed on the acquired original physiological signal by an empirical mode decomposition method, a general empirical mode decomposition method, a complementary general empirical mode decomposition method, or a fast complementary general empirical mode decomposition method to generate at least two first intrinsic mode components.
Further, the first eigenmode component corresponding to the first correlation coefficient meeting the breathing condition is selected as the first breathing component, and specifically, the first eigenmode component with the largest first correlation coefficient is selected as the first breathing component.
Further, the method for extracting the respiratory and heartbeat components further comprises the following steps:
and if the number of the first heartbeat components is more than 1, reconstructing the first heartbeat components.
The second purpose of the invention is realized by adopting the following technical scheme:
an electronic device comprising a memory, a processor and a program stored in the memory, the program being configured to be executed by the processor, the processor when executing the program implementing the steps of the above-mentioned respiratory and heartbeat component extraction method.
The third purpose of the invention is realized by adopting the following technical scheme:
a storage medium storing a computer program which, when executed by a processor, implements the steps of the above-described respiratory and heartbeat component extraction method.
Compared with the prior art, the invention has the beneficial effects that: identifying and extracting a first respiratory component according to a first correlation coefficient by decomposing an original physiological signal; then, the rest components are decomposed again after being reconstructed, and a first heartbeat component is identified and extracted according to a second correlation coefficient; the extraction standard can be automatically adjusted according to the self characteristics of the thoracic cavity micro-motion signal so as to more thoroughly and completely extract the respiratory component and the heartbeat component in the original physiological signal.
Drawings
FIG. 1 is a schematic diagram of raw physiological signals acquired by a pressure sensor;
fig. 2 is a schematic flow chart of a respiratory and heartbeat component extraction method according to a first embodiment of the present invention;
FIG. 3 is a schematic diagram of an original physiological signal;
FIG. 4 is a schematic diagram of a first eigenmode component resulting from the method of FIG. 2;
FIG. 5 is a diagram of a second eigenmode component resulting from the method of FIG. 2;
FIG. 6 is a schematic diagram of a power spectrum of a respiratory signal obtained by the method of FIG. 2;
FIG. 7 is a schematic diagram of a power spectrum of a heart beat signal obtained by the method of FIG. 2;
fig. 8 is a flowchart illustrating a respiratory component and a heartbeat component extracting method according to a second embodiment of the present invention;
FIG. 9 is a diagram illustrating an original physiological signal containing a mutation amount;
FIG. 10 is a graphical illustration of a first respiratory component before correction resulting from the method of FIG. 8;
FIG. 11 is a diagram illustrating a first heartbeat component before correction resulting from the method of FIG. 8;
FIG. 12 is a graphical illustration of a modified first respiratory component resulting from the method of FIG. 8;
FIG. 13 is a schematic representation of a corrected first heartbeat component resulting from the method of FIG. 8;
fig. 14 is a schematic structural diagram of an electronic device according to a third embodiment of the present invention.
Detailed Description
The present invention will be further described with reference to the accompanying drawings and the detailed description, and it should be noted that any combination of the embodiments or technical features described below can be used to form a new embodiment without conflict.
Example one
Fig. 2 shows a method for extracting respiratory and heartbeat components, which includes the following steps:
step S101, decomposing the acquired original physiological signals to generate at least two first eigenmode components.
The raw physiological signals may be acquired directly by a pressure sensor as shown in fig. 1 or may be read from a database. As shown in fig. 3, the original physiological signal obtained in this embodiment is constructed by the simulation signal s (t):
s(t)=Absin(2πfbt)+Ahsin(2πfht+θ)+2+n(t)
wherein A isb、AhRepresenting the amplitude of respiration and heartbeat, respectively, taking a random number within a certain range, e.g. Ab∈[0.35,0.45],Ah∈[0.04,0.06];fb、fhRepresenting the frequency of breathing and heartbeat, respectively, e.g. fb=0.25Hz,fh1.25 Hz; n (t) is environment random noise, and a 2V direct current component is also added into the simulation signal.
As a preferred embodiment, the decomposing the acquired original physiological signal to generate at least two first Intrinsic Mode components is specifically to decompose the acquired original physiological signal by an Empirical Mode Decomposition (EMD) method, an Ensemble Empirical Mode Decomposition (EEMD) method, a Complementary Ensemble Empirical Mode Decomposition (CEEMD) method, or an inverse fast Complementary Ensemble Empirical Mode Decomposition (eefcmd) method to generate at least two first Intrinsic Mode components (IMFs), which may also be referred to as an Intrinsic Mode Function.
The EMD method analyzes IMF in the signal by using a screening process, and comprises the following steps:
(1) firstly, finding out all local maxima x (t) in an original signal, and then connecting all the local maxima to form an upper envelope line by utilizing a cubic spline curve; finding out all local minimum values in the same way, and connecting the local minimum values into a lower envelope line by using a cubic spline curve;
(2) calculating a maximum envelope and a minimum envelope, namely a local mean m1(t) between an upper envelope and a lower envelope;
(3) subtracting the envelope mean value m1(t) from the original signal x (t) to obtain a first component h1 (t);
h1(t)=x(t)-m1(t);
the three steps are called as a primary screening program, then whether the two definitions of IMF are met is checked, if the two definitions are not met, h1(t) is used as an initial signal, and a secondary screening program is carried out to obtain
h2(t)=h1(t)-m2(t);
And repeating the screening for k times in the same way until hk (t) conforms to the definition of IMF and becomes a monotonic function or constant, namely the IMF screened firstly:
hk(t)=hk-1(t)-mk(t)。
finally, it is designated as the first eigenmode component of the signal c1 (t):
c1(t)=hk(t)
overall, the best time scale or shortest period component of the signal should be included within c1 (t). The residual function r1(t) can be separated from the original signal x (t):
r1(t)=x1(t)-c1(t)。
since r1(t) still contains longer period components, the whole empirical mode decomposition method is stopped and considered to be completed when r1(t) is used as a new starting signal, the sieving process is repeated to obtain a second IMF c2(t) and a second residual function r2(t), each time an eigenmode function is obtained, the intrinsic mode function is removed from the original signal, the sieving process is repeated with the rest of the signals, and the steps are repeated n times until the nth residual function rn (t) cannot find or only has a local extreme value left and a next eigenmode function is resolved.
Then, the essential information with physical significance in the signal is found out through a continuous iteration screening program, the integrity of the signal is possibly damaged due to repeated times, and therefore a stopping criterion must be established. The stopping criterion used in the conventional EMD is Standard deviation criterion (Standard deviation), which belongs to the prior art and is not described in detail.
By the above procedure, we can define the original physiological signal s (t) as n eigenmode functions ck(t) and a mean trend function rnThe combination of (A) and (B):
Figure BDA0001366002100000071
the general EMD method can not effectively inhibit the problem of modal aliasing, and particularly has a poor effect on sleep physiological signals. Modal aliasing refers to that frequencies with very large difference exist in the same IMF, or a section of frequencies which are very close to each other are decomposed into two IMFs, so that adjacent IMFs have aliasing waveforms, influence each other and are difficult to identify; the decomposition precision is influenced, and sometimes, the mixed signal such as a physiological signal cannot be successfully decomposed; the EEMD method adds white noise into an original signal to eliminate noise interference before decomposition, although modal aliasing of EMD decomposition is inhibited to a certain extent, an obvious modal aliasing phenomenon still exists, and a small amount of residual noise is still not completely cancelled due to the limitation of set times; the CEEMD method adds a pair of Gaussian white noises with opposite positive and negative in the original signal, so that the phenomenon of EMD modal aliasing can be basically overcome, and the white noises added in pairs can basically eliminate the residual white noises decomposed by the original signal. EEMD and CEEMD are both prior art and are not described in detail.
As a preferred embodiment, the acquired raw physiological signal may be decomposed by using a Fast Complementary Ensemble Empirical Mode Decomposition (FCEEMD) method to generate at least two eigenmode components.
The FCEEMD algorithm uses a Fixed screening time criterion (Fixed sifting time criterion). The screening times reach a certain number, for example, ten times, the intrinsic mode function analysis capability can be achieved, and the algorithm is simplified by applying the criterion, so that unnecessary repeated operation process can be avoided. Compared with the stopping criterion of the traditional EMD, the fixed screening frequency criterion is the currently optimal criterion; compared with the CEEMD algorithm, the decomposition precision of the rapid CEEMD algorithm is basically maintained unchanged, the complexity is obviously reduced, and the rapidity of the algorithm is ensured; and meanwhile, the lowest orthogonality factor, namely the highest quality decomposition result can be obtained.
In addition to the stopping criterion, the conventional EMD has the problem of end point effect, that is, when the cubic spline interpolation method is used to envelop the region extreme points, if the values of the two leftmost and rightmost points are not properly selected, the oscillation at the two ends may become larger and larger, resulting in waveform distortion; or the waveforms conforming to the IMF definition can be repeatedly screened out from a plurality of IMFs due to the end point problem, so that the waveforms lose the significance of the intrinsic oscillation; when the IMF components are time-frequency converted, the extreme end effects also occur at the leftmost and rightmost ends of the signal. If this end-point effect is not effectively suppressed, the characteristics of the original signal cannot be truly reflected in the resulting spectrum.
As a preferred embodiment, the method for decomposing the acquired physiological signals by empirical mode decomposition, ensemble empirical mode decomposition, complementary ensemble empirical mode decomposition or fast complementary ensemble empirical mode decomposition comprises the following steps: and predicting the boundary point of the extremum through a data continuation method, an extremum point continuation method, a window function method or a mirror image continuation method based on the neural network. The mirror extension method is characterized in that a mirror plane is firstly placed at an extreme value with symmetry by utilizing the characteristic of mirror symmetry reflection, so that an original sequence is symmetrically expanded into an annular sequence, and then the annular sequence is subjected to stabilizing operation to inhibit an end effect, so that the characteristics of an original signal are truly embodied. The data continuation method, the extreme point continuation method, the window function method or the mirror image continuation method based on the neural network can be realized by the prior art, and are not described in detail.
In this embodiment, the original physiological signal s (t) is decomposed by an Ensemble Empirical Mode Decomposition (EEMD), and when performing the EEMD decomposition, white noise is added according to a normal distribution with a mean value of 0 and a standard deviation of 0.2, the overall average number is 40, the number of "screens" is fixed to 10, and finally 7 first eigenmode components imf1-imf7 shown in fig. 4 are generated, and a residual component res is added.
Step S102, calculating a first correlation coefficient between each first eigenmode component and the original physiological signal.
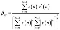
The correlation analysis is to analyze the closeness degree of the relationship between two or more objective objects, so as to obtain the physical quantity, which is used for measuring the closeness degree of the correlation between two variables. Two sequences x (n), y (n) with correlation coefficients
Figure BDA0001366002100000091
Expressed as:
Figure BDA0001366002100000092
wherein y (n) represents the complex conjugate of y (n).
Since the charge variation caused by the heartbeat signal is very small relative to the respiratory signal, the first eigenmode component and the original physiological signal are a series of sequences arranged according to time, and therefore the respiratory signal can be identified through a correlation analysis method in the next step.
The first correlation coefficients of the first eigenmode components imf1-imf7 and the original physiological signal in fig. 4 are: 0.063, 0.051, 0.091, 0.148, 0.989, 0.323 and 0.104.
Step S103, selecting a first intrinsic mode component corresponding to the first correlation coefficient meeting the breathing condition as a first breathing component.
Because the amplitude of the respiration is relatively large and the proportion of the respiration component in the original physiological signal is relatively large, as a preferred embodiment, the first intrinsic mode component corresponding to the first correlation coefficient meeting the respiration condition is selected as the first respiration component, and specifically, the first intrinsic mode component with the largest first correlation coefficient is selected as the first respiration component. Imf5 in FIG. 4, the first correlation coefficient is the largest, so imf5 is taken as the first respiratory component, with the remaining components including the heartbeat signal.
And S104, selecting a first eigenmode component corresponding to the first correlation coefficient which does not meet the breathing condition as a reconstruction component.
The remaining 6 first eigenmode components other than the first eigenmode component satisfying the breathing condition, e.g. imf5, may be selected as reconstruction components, and the remaining 1-5 first eigenmode components may also be selected as reconstruction components. Such as imf2, imf3, and imf4, are selected as reconstruction components. Furthermore, if the signal output by the pressure sensor is not low-pass filtered during digital signal processing, the higher frequency components of the first eigenmode component can be excluded, the rest being reconstructed components.
And step S105, reconstructing all reconstruction components into a reconstructed physiological signal. Reconstruction refers to superposing a plurality of signals, namely adding reconstruction components to obtain a reconstructed physiological signal; it is also possible to weight-superimpose a plurality of reconstructed components. The heartbeat signal in the reconstructed physiological signal is larger than the original psychological signal.
And S106, decomposing the reconstructed physiological signal to generate at least two second eigenmode components.
The method and process for decomposing the reconstructed physiological signal to generate the at least two second eigenmode components are the same as the method and process for decomposing the acquired original physiological signal in step S101, and the generation of the at least two first eigenmode components is not repeated. The reconstructed physiological signals obtained by reconstructing the reconstructed components imf2, imf3 and imf4 in fig. 4 are decomposed to obtain 7 second eigenmode components imf1-imf7, as shown in fig. 5.
And step S107, calculating a second correlation coefficient between each second eigenmode component and the reconstructed physiological signal.
The calculation method of the second correlation coefficient is the same as that of the first correlation coefficient, and is not described in detail. In fig. 5, the second correlation numbers of the 7 second eigenmode components and the reconstructed physiological signal are respectively: 0.214, 0.348, 0.944, 0.425, 0.159, 0.116, 0.042.
And step S108, if the second relative number meets the heartbeat condition, the second intrinsic mode component corresponding to the second relative number is the first heartbeat component.
In the reconstructed physiological signal, the heartbeat components account for more, and therefore the second correlation number satisfies a heartbeat condition, specifically: the second correlation coefficient is largest among the second correlation coefficients of the respective second eigenmode components. The second correlation coefficient, imf3 in fig. 5, is 0.944, so the second eigenmode component imf3 is the first heartbeat component.
To this end, the first respiratory component and the first heartbeat component in the original physiological signal are extracted. According to the method, an original physiological signal is decomposed, and a first respiratory component is identified and extracted according to a first correlation coefficient; then, the rest components are decomposed again after being reconstructed, and a first heartbeat component is identified and extracted according to a second correlation coefficient; the extraction standard can be automatically adjusted according to the self characteristics of the thoracic cavity micro-motion signal so as to more thoroughly and completely extract the respiratory component and the heartbeat component in the original physiological signal.
As a preferred embodiment, the second correlation number satisfies a heartbeat condition, and specifically includes: and the magnitude of the second correlation coefficient is positioned at the first n bits in all the second correlation coefficients, and n is a natural number different from 0. In another embodiment, the second number of correlations satisfies the heartbeat condition, and specifically, the second number of correlations is greater than a predetermined threshold, such as 0.5.
As the 7 second eigenmode components imf1-imf7 in fig. 5, the 2 with the larger second correlation number, i.e., imf3 and imf4, may be selected as the first heartbeat component.
As a preferred embodiment, the method for extracting respiratory and heartbeat components further comprises the following steps:
step S109, if the number of the first heartbeat components is greater than 1, reconstructing the first heartbeat components. When n is greater than 1 or the number of the second correlations greater than 1 is greater than the preset threshold, the number of the first heartbeat components is greater than 1, and the first heartbeat components can be reconstructed and superposed to be new heartbeat components.
Sometimes, the difference between the larger values of the second correlation values of the second eigenmode components obtained after decomposing the reconstructed physiological signal is small, such as 0.698 and 0.732, the two second eigenmode components can be both used as the first heartbeat components, and the first heartbeat components are reconstructed and superposed to form new heartbeat components. The obtained new heartbeat component is more complete, and the loss of useful information in the original physiological signal is avoided.
As a preferred embodiment, the method for extracting respiratory and heartbeat components further comprises the following steps:
step S110, obtaining the respiratory characteristic of the first respiratory component through short-time Fourier transform, Wigner-Ville transform, wavelet transform or Hilbert transform, and obtaining the heartbeat characteristic of the first heartbeat component or the new heartbeat component after reconstruction.
In a preferred embodiment, the breathing characteristic may be a breathing characteristic, and the heartbeat characteristic may be a heartbeat frequency, and the breathing characteristic and the heartbeat characteristic may represent the sleep quality and health condition of the user.
For example, after the first respiratory component obtained in step S103 and the first heartbeat component obtained in step S108 are transformed into the frequency domain through fourier transform, Wigner-Ville transform, wavelet transform, or hilbert transform, a respiratory signal power spectrum as shown in fig. 6 and a heartbeat signal power spectrum as shown in fig. 7 can be obtained, respectively. It can be found that the maximum values of the power spectral density are 0.25Hz and 1.25Hz, respectively, i.e. the respiration rate is 15 times/min and the heart rate is 75 times/min, which are consistent with the parameters when constructing the simulated signal s (t) shown in fig. 3.
Example two
The method for extracting respiratory and heartbeat components as shown in fig. 8 comprises the following steps:
step S201, decomposing the acquired original physiological signal to generate at least two first eigenmode components;
step S202, calculating a first correlation coefficient between each first eigenmode component and the original physiological signal;
step S203, selecting a first intrinsic mode component corresponding to a first correlation coefficient meeting a breathing condition as a first breathing component;
s204, selecting a first eigenmode component corresponding to a first correlation coefficient which does not meet the breathing condition as a reconstruction component;
s205, reconstructing all reconstruction components into a reconstructed physiological signal;
step S206, decomposing the reconstructed physiological signal to generate at least two second eigenmode components;
step S207, calculating a second correlation coefficient between each second eigenmode component and the reconstructed physiological signal;
step S208, if the second correlation number satisfies the heartbeat condition, the second eigenmode component corresponding to the second correlation number is the first heartbeat component.
Step S209, if the original physiological signal includes a mutation, the respiration prediction module corrects the first respiration component, and the heartbeat prediction module corrects the first heartbeat component.
Although the human body does not have large body movements in a steady sleep state, the generation of small body movements cannot be avoided, and the body movements do not cause long-term drastic change of signals, but bring small-range sudden changes, as shown in fig. 9. Abrupt changes can be understood as large changes in amplitude at a certain time, and also as distortions in the waveform. Although the physiological signal containing the micro-motion mutation amount can still extract the respiratory component and the heartbeat component through the steps S201-S208, the physiological signal also contains the mutation amount; the first respiratory component extracted from the original physiological signal containing the mutation shown in fig. 9 after the steps S201-S208 is shown in fig. 10, and the first heartbeat component is shown in fig. 11. The accuracy of the signal determination is also affected by the processing of this small mutation. Therefore, the first respiratory component and the first heartbeat component need to be corrected by the respiratory prediction module and the heartbeat prediction module through the step S209, that is, the respiratory amplitude and the heartbeat amplitude of the abnormal signal segment are predicted to cover the polluted respiratory and heartbeat signals of the sudden change segment, so as to remove the micro-motion noise, thereby having important significance for improving the accuracy of the system.
As a preferred embodiment, the respiration prediction module and the heartbeat prediction module are specifically trained artificial neural network models or auto-regressive moving average models.
In a preferred embodiment, the training data of the respiration prediction module is a respiration component extracted from an original physiological signal not containing a mutation quantity; the training data of the heartbeat prediction module is heartbeat components extracted from an original physiological signal which does not contain a mutation quantity.
An Artificial Neural Network (ANN) has been widely used since the eighties of the last century, and its basic idea is to simulate the thinking way of the human brain by using a computer, abstract the thinking way of the human brain by using mathematical and physical knowledge and simultaneously using an information processing method, and further to establish a simplified model. The artificial neural network continuously improves the system model by continuously learning, so that the fault-tolerant capability of the system is improved; the method can be used for processing various complex data by continuously training and learning the data, and meanwhile, due to the strong self-learning capability, the method is better for the self-adaption and self-learning processing algorithm of the complex and variable system.
In this embodiment, using a prediction correction method based on a BP neural network, model training may be performed using a normal signal before body movement as training data in a micro-body movement state. Firstly, establishing a BP artificial neural network learning model, using data of 10S before micro-body movement as data for training the learning model, predicting the value of 10S after the micro-body movement, establishing a three-layer network structure, setting 10 nodes on an input layer, a hidden layer and an output layer, wherein the node transfer function is a tangent S-shaped transfer function, and the training times are 100 times.
An Auto-Regressive Moving Average model (ARIMA model) is one of important methods for studying time series, and is a model formed by combining an Auto-Regressive (AR) model and a Moving Average (MA) model as a basis, and is used as an Auto-Regressive Moving Average model for processing a stable time series signal. As a time series analysis model, the method is simple and practical in operation process, high in prediction accuracy, and capable of extrapolating subsequent series of numbers to predict by finding the relation between the preamble series. The three forms of the ARIMA model are the AR model, MA model and ARMA model, respectively, where I represents differentiating between unstable sequences to form stable sequences. Obviously, the original physiological signal acquired by the pressure sensor is an unstable signal, but the IMF component obtained through decomposition is a series of stable signals, so that the aim of more accurately monitoring the signal can be achieved only by establishing an ARMA (autoregressive moving average) time sequence model and then predicting the signal according to the IMF component and covering interference information caused by small body motion.
After the thorax micro-motion signal, namely the original physiological signal passes through EEMD twice based on the number of the fixed sieves, each IMF obtained by decomposition is a relatively stable time sequence, and the respiration and heartbeat of a human body have relatively good periodicity, so that the ARMA model can be more suitable for correcting the respiration component and the heartbeat component; the required order is not too high, the iteration times can be less, the calculation efficiency is not greatly influenced, and the accuracy of signal processing can be improved.
In this embodiment, an ARMA model is respectively established for a respiratory signal and a heartbeat signal by using a P-W method, data of 10s before the movement of a micro-body is used, a model applicability test is performed by using an F test method, and a comparison is made to determine whether the difference of the sum of squares of the residuals of the two models is significant, wherein the significance level value is 0.05. The determined order is the appropriate order when the residual sum of squares reduction is not significant. After iterative operation, prediction models of respiratory signals and heartbeat signals are respectively determined to be ARMA (3,2) and ARMA (4, 3).
Fig. 12 shows a comparison between a post-prediction signal, which is a signal after correction of the first respiratory component, and a pre-prediction signal, which is a signal before correction, based on the trained auto-regressive moving average model, and fig. 13 shows a comparison between a post-prediction signal, which is a signal after correction of the first heartbeat component, and a pre-prediction signal, which is a signal before correction. It can be seen that the modified respiratory component and heartbeat component better eliminate the sudden change caused by the micro-body movement.
Through further analysis, compared with an artificial neural network model, the autoregressive moving average model has better effect, small relative error and shorter prediction time when used for correcting the respiratory component and the heartbeat component.
Steps S201 to S208 correspond to steps S101 to S108 in the first embodiment, respectively, and are not described again.
In step S109 in the first embodiment, if the number of the first heartbeat components is greater than 1, reconstructing the first heartbeat components may also be implemented in this embodiment. Further, two or more first heartbeat components may be reconstructed by superposition, and then the reconstructed heartbeat components may be corrected.
Similarly, the respiration characteristic of the first respiration component and the heartbeat characteristic of the modified heartbeat component may be obtained through a short-time fourier transform, a Wigner-Ville transform, a wavelet transform, or a hilbert transform.
From the above description of the embodiments, it is clear to those skilled in the art that the present invention can be implemented by software plus necessary general hardware platform. With such an understanding, the technical solutions of the present invention may be embodied in the form of a software product, which may be stored in a storage medium, such as ROM/RAM, magnetic disk, optical disk, etc., and includes instructions for causing a computer device (which may be a personal computer, a server, or a network device, etc.) to execute the methods according to the embodiments or some parts of the embodiments, such as:
a storage medium storing a computer program which, when executed by a processor, implements the steps of the aforementioned respiratory and heartbeat component extraction method.
The described embodiments of the apparatus are merely illustrative, wherein the modules or units described as separate parts may or may not be physically separate, and the parts illustrated as modules or units may or may not be physical modules, may be located in one place, or may be distributed on a plurality of network modules. Some or all of the units can be selected according to actual needs to achieve the purpose of the solution of the embodiment. One of ordinary skill in the art can understand and implement it without inventive effort.
The invention is operational with numerous general purpose or special purpose computing system environments or configurations. For example: personal computers, server computers, hand-held or portable devices, tablet-type devices, multiprocessor systems, microprocessor-based systems, set top boxes, programmable consumer electronics, network PCs, minicomputers, mainframe computers, distributed computing environments that include any of the above systems or devices, and the like, as in example three. EXAMPLE III
An electronic device as shown in fig. 14 comprises amemory 200, aprocessor 300 and a program stored in thememory 200, the program being configured to be executed by theprocessor 300, theprocessor 300 when executing the program implementing the steps of the above-described respiratory and heartbeat component extraction method.
The apparatus in this embodiment and the method in the foregoing embodiments are based on two aspects of the same inventive concept, and the method implementation process has been described in detail in the foregoing, so that those skilled in the art can clearly understand the structure and implementation process of the system in this embodiment according to the foregoing description, and for the sake of brevity of the description, details are not repeated here.
According to the electronic device provided by the embodiment of the invention, the first respiratory component can be identified and extracted according to the first correlation coefficient by decomposing the original physiological signal; then, the rest components are decomposed again after being reconstructed, and a first heartbeat component is identified and extracted according to a second correlation coefficient; the extraction standard can be automatically adjusted according to the self characteristics of the thoracic cavity micro-motion signal so as to more thoroughly and completely extract the respiratory component and the heartbeat component in the original physiological signal.
The above embodiments are only preferred embodiments of the present invention, and the protection scope of the present invention is not limited thereby, and any insubstantial changes and substitutions made by those skilled in the art based on the present invention are within the protection scope of the present invention.

Claims (10)

1. A method for extracting respiratory and heartbeat components is characterized by comprising the following steps:
decomposing the acquired original physiological signal to generate at least two first eigenmode components;
calculating a first correlation coefficient of each first eigenmode component and the original physiological signal;
specifically, the first correlation coefficient
Figure FDA0002848507680000011
The calculation method is as follows:
Figure FDA0002848507680000012
wherein x (N) represents the original signal time series, y (N) identifies the first eigenmode component time series, y (N) represents the complex conjugate of y (N), and N are natural numbers;
selecting a first intrinsic mode component corresponding to a first correlation coefficient meeting a breathing condition as a first breathing component;
selecting a first eigenmode component corresponding to a first correlation coefficient which does not meet the breathing condition as a reconstruction component;
reconstructing all the reconstructed components into a reconstructed physiological signal;
decomposing the reconstructed physiological signal to generate at least two second eigenmode components;
calculating a second correlation coefficient between each second eigenmode component and the reconstructed physiological signal;
and if the second relative number meets the heartbeat condition, the second intrinsic mode component corresponding to the second relative number is the first heartbeat component.
2. The method for extracting respiratory and heartbeat components according to claim 1, wherein if the second phase relation number satisfies the heartbeat condition, the method further comprises the following steps after the second eigenmode component corresponding to the second phase relation number is the first heartbeat component:
if the original physiological signal contains a mutation quantity, the respiration prediction module corrects the first respiration component, and the heartbeat prediction module corrects the first heartbeat component.
3. The respiratory and heartbeat component extraction method of claim 2 including: the respiration prediction module and the heartbeat prediction module are specifically trained artificial neural network models or autoregressive moving average models.
4. The respiratory and heartbeat component extraction method of claim 3 including: the training data of the respiration prediction module is a respiration component extracted from an original physiological signal without a mutation quantity; the training data of the heartbeat prediction module is heartbeat components extracted from an original physiological signal which does not contain a mutation quantity.
5. The method of extracting respiratory and heartbeat components of any one of claims 1 to 4 further including the steps of:
and acquiring the respiratory characteristics of the first respiratory component and the heartbeat characteristics of the first heartbeat component through short-time Fourier transform, Wigner-Ville transform, wavelet transform or Hilbert transform.
6. The method of extracting respiratory and heartbeat components as claimed in any one of claims 1 to 4, wherein: the method includes decomposing the acquired original physiological signal to generate at least two first intrinsic mode components, and specifically decomposing the acquired original physiological signal by an empirical mode decomposition method, a general empirical mode decomposition method, a complementary general empirical mode decomposition method or a fast complementary general empirical mode decomposition method to generate at least two first intrinsic mode components.
7. The method for extracting respiratory and heartbeat components according to any one of claims 1 to 4, wherein the first eigenmode component corresponding to the first correlation coefficient satisfying the respiratory condition is selected as the first respiratory component, and specifically, the first eigenmode component with the largest first correlation coefficient is selected as the first respiratory component.
8. The method of extracting respiratory and heartbeat components of any one of claims 1 to 4 further including the steps of:
and if the number of the first heartbeat components is more than 1, reconstructing the first heartbeat components.
9. An electronic device, characterized in that: comprising a memory, a processor and a program stored in the memory, the program being configured to be executed by the processor, the processor when executing the program implementing the steps of the method of respiratory and heartbeat component extraction as claimed in any one of claims 1-6.
10. A storage medium storing a computer program, characterized in that: the computer program when being executed by a processor realizes the steps of the method of respiratory and heartbeat component extraction as claimed in any one of claims 1-6.
CN201710641528.0A2017-07-312017-07-31Respiration and heartbeat component extraction method, electronic equipment and storage mediumActiveCN107577986B (en)

Priority Applications (1)

Application NumberPriority DateFiling DateTitle
CN201710641528.0ACN107577986B (en)2017-07-312017-07-31Respiration and heartbeat component extraction method, electronic equipment and storage medium

Applications Claiming Priority (1)

Application NumberPriority DateFiling DateTitle
CN201710641528.0ACN107577986B (en)2017-07-312017-07-31Respiration and heartbeat component extraction method, electronic equipment and storage medium

Publications (2)

Publication NumberPublication Date
CN107577986A CN107577986A (en)2018-01-12
CN107577986Btrue CN107577986B (en)2021-07-06

Family

ID=61034626

Family Applications (1)

Application NumberTitlePriority DateFiling Date
CN201710641528.0AActiveCN107577986B (en)2017-07-312017-07-31Respiration and heartbeat component extraction method, electronic equipment and storage medium

Country Status (1)

CountryLink
CN (1)CN107577986B (en)

Families Citing this family (3)

* Cited by examiner, † Cited by third party
Publication numberPriority datePublication dateAssigneeTitle
CN109376937B (en)*2018-10-312020-06-09中国水利水电科学研究院Self-adaptive scheduling end-of-term water level prediction method based on ensemble empirical mode decomposition
CN112155540A (en)*2020-09-302021-01-01重庆仙桃前沿消费行为大数据有限公司Acquisition imaging system and method for complex object
CN116602632A (en)*2023-03-292023-08-18浙江工业大学Human vital sign monitoring method oriented to sports scene

Family Cites Families (11)

* Cited by examiner, † Cited by third party
Publication numberPriority datePublication dateAssigneeTitle
US20100152600A1 (en)*2008-04-032010-06-17Kai Sensors, Inc.Non-contact physiologic motion sensors and methods for use
CN101991410B (en)*2009-08-312012-09-19深圳市理邦精密仪器股份有限公司Pulse rate searching and calculating method
CN102018503B (en)*2010-10-212012-12-12中国科学院深圳先进技术研究院Extraction method and device of breath and heartbeating signals in life probe radar
CN102309318A (en)*2011-07-082012-01-11首都医科大学Method for detecting human body physiological parameters on basis of infrared sequence image
CN103529436A (en)*2013-10-122014-01-22南京信息工程大学Method for carrying out separation and time-frequency analysis on respiration and heartbeat signals in non-contact life detection on basis of HHT (Hilbert Huang Transform)
CN103810721A (en)*2013-12-302014-05-21华中科技大学Single-arm x-ray angiography image multiple motion parameter decomposition and estimation method
CN105078505B (en)*2014-04-242018-01-23重庆融海超声医学工程研究中心有限公司Physiological single processing method and processing unit
CN104055498A (en)*2014-04-302014-09-24首都医科大学Non-contact human respiration and heart beat signal detection method based on infrared sequence image
CN104644142B (en)*2015-02-052017-07-21南京理工大学A kind of signal processing algorithm of non-contact vital sign monitoring
CN105982664B (en)*2015-02-262018-08-07张政波Cardiopulmonary coupling analysis method based on single-lead ECG
CN104921715A (en)*2015-06-092015-09-23上海华旌科技有限公司Multi-parameter vital sign measurement device

Also Published As

Publication numberPublication date
CN107577986A (en)2018-01-12

Similar Documents

PublicationPublication DateTitle
Wang et al.An ECG signal denoising method using conditional generative adversarial net
Mammone et al.Automatic artifact rejection from multichannel scalp EEG by wavelet ICA
CN104809434B (en)A kind of sleep stage method removed based on single channel EEG signals eye electricity artefact
Wang et al.Identification of the normal and abnormal heart sounds using wavelet-time entropy features based on OMS-WPD
CN107577986B (en)Respiration and heartbeat component extraction method, electronic equipment and storage medium
CN111814656A (en)Electrocardiosignal noise reduction method based on countermeasure generation network
CN110840445A (en)Automatic noise reduction method for dynamic electrocardiosignals
CN107595242A (en)A kind of sleep physiology signal monitoring method, device, electronic equipment and storage medium
CN116662742B (en)Brain electrolysis code method based on hidden Markov model and mask empirical mode decomposition
CN106580319A (en)Electroencephalogram relaxation degree identification method and device based on wavelet transformation
BohlinAnalysis of EEG signals with changing spectra using a short-word Kalman estimator
CN106805969B (en) EEG relaxation recognition method and device based on Kalman filter and wavelet transform
CN115281685A (en) Sleep stage identification method, device and computer-readable storage medium based on abnormal detection
Behrman et al.Correlation dimension of electroglottographic data from healthy and pathologic subjects
CN114648048A (en)Electrocardiosignal noise reduction method based on variational self-coding and PixelCNN model
CN108665054A (en)Based on the Mallat algorithms of genetic algorithm optimization threshold value cardiechema signals noise reduction application
CN106805968A (en)Electroencephalogram relaxation degree identification method and device
Kleyko et al.A hyperdimensional computing framework for analysis of cardiorespiratory synchronization during paced deep breathing
CN119524288A (en) Self-adaptive personalized sleep guidance method, system and personalized sleep guidance instrument
Samann et al.On estimating the optimal autoencoder model for denoising ECG using Akaike Information Criterion
Signorini et al.Applying nonlinear noise reduction in the analysis of heart rate variability
Chen et al.Research on AR‐AKF Model Denoising of the EMG Signal
Wang et al.Trustemg-net: Using representation-masking transformer with u-net for surface electromyography enhancement
Pattanaik et al.Application of nonlinear system identification for EEG modelling using VMD-based deep random vector functional link network
Hatamian et al.Improving the quality of ecg signal using wavelet transform and adaptive filters

Legal Events

DateCodeTitleDescription
PB01Publication
PB01Publication
SE01Entry into force of request for substantive examination
SE01Entry into force of request for substantive examination
GR01Patent grant
GR01Patent grant

[8]ページ先頭

©2009-2025 Movatter.jp