Movatterモバイル変換


[0]ホーム

URL:


CN107493120B - An integrated device that integrates power line carrier communication and fault detection and location functions - Google Patents

An integrated device that integrates power line carrier communication and fault detection and location functions
Download PDF

Info

Publication number
CN107493120B
CN107493120BCN201710780342.3ACN201710780342ACN107493120BCN 107493120 BCN107493120 BCN 107493120BCN 201710780342 ACN201710780342 ACN 201710780342ACN 107493120 BCN107493120 BCN 107493120B
Authority
CN
China
Prior art keywords
signal
fault
power line
module
fault detection
Prior art date
Legal status (The legal status is an assumption and is not a legal conclusion. Google has not performed a legal analysis and makes no representation as to the accuracy of the status listed.)
Active
Application number
CN201710780342.3A
Other languages
Chinese (zh)
Other versions
CN107493120A (en
Inventor
王莉
胡苏阳
杨善水
高闯
钱叶彤
Current Assignee (The listed assignees may be inaccurate. Google has not performed a legal analysis and makes no representation or warranty as to the accuracy of the list.)
Nanjing University of Aeronautics and Astronautics
Original Assignee
Nanjing University of Aeronautics and Astronautics
Priority date (The priority date is an assumption and is not a legal conclusion. Google has not performed a legal analysis and makes no representation as to the accuracy of the date listed.)
Filing date
Publication date
Application filed by Nanjing University of Aeronautics and AstronauticsfiledCriticalNanjing University of Aeronautics and Astronautics
Priority to CN201710780342.3ApriorityCriticalpatent/CN107493120B/en
Publication of CN107493120ApublicationCriticalpatent/CN107493120A/en
Application grantedgrantedCritical
Publication of CN107493120BpublicationCriticalpatent/CN107493120B/en
Activelegal-statusCriticalCurrent
Anticipated expirationlegal-statusCritical

Links

Images

Classifications

Landscapes

Abstract

Translated fromChinese

本发明公开一种融合电力线载波通信与故障检测定位功能的集成化装置,包括集成化发射端的故障检测载波信号生成与分离子系统、DA模块、AD模块、调理电路、隔离耦合器、无线通信模块、电源管理模块,以及集成化接收端的故障检测载波信号接收与分离子系统、AD模块、调理电路、隔离耦合器、无线通信模块、电源管理模块。集成化发射端通过产生周期性融合扩频码和融合调制码,使得载波信号在传输的同时,具备故障检测能力,并综合考虑故障发生位置,采用电力线载波通信与无线通信两种技术对故障信息进行传输,实现电能输送、数据传输、故障诊断一体化,提升了电能输送和通信系统的可靠性和可维护性,实现检测装置的多功能、小型化、低成本设计。

Figure 201710780342

The invention discloses an integrated device integrating power line carrier communication and fault detection and positioning functions, comprising a fault detection carrier signal generation and separation subsystem of an integrated transmitter, a DA module, an AD module, a conditioning circuit, an isolation coupler, and a wireless communication module , power management module, and fault detection carrier signal receiving and separation subsystem, AD module, conditioning circuit, isolation coupler, wireless communication module, and power management module of the integrated receiver. The integrated transmitter generates a periodic fusion spread spectrum code and fusion modulation code, so that the carrier signal has the ability to detect faults while transmitting, and comprehensively considers the location of the fault, using two technologies of power line carrier communication and wireless communication. It realizes the integration of power transmission, data transmission and fault diagnosis, improves the reliability and maintainability of the power transmission and communication system, and realizes the multi-functional, miniaturized and low-cost design of the detection device.

Figure 201710780342

Description

Integrated device integrating power line carrier communication and fault detection and positioning functions
Technical Field
The invention relates to an integrated device and method integrating power line carrier communication and fault detection and positioning functions, and belongs to the technical field of carrier communication.
Background
In aerospace and vehicle systems, multiple parts of the overall system need to be monitored and detected in order to ensure high reliability of operation of the system. Because the measurement parameters are hundreds of thousands, the number of required sensors and actuators is large, and a large number of data transmission lines are correspondingly required; meanwhile, the dependence degree on an engine control and carrying management system is continuously increased, the use of various passenger service and entertainment systems is increased, the problems of large quantity of cables, heavy weight and complex distribution in an aerospace and vehicle carrying system are inevitably caused, and the carrying efficiency is reduced. The method can greatly reduce the communication cost and avoid the construction difficulty of secondary wiring. Therefore, the method has been widely studied and applied in the fields of automobiles, airplanes, spacecraft and the like.
However, the application of the power carrier communication technology may reduce the reliability of the carrier system itself because it requires the coupling device, the carrier information transmitting end and the receiving end to be connected to the power line. And the working environment of aerospace and vehicle systems is complex, the power line is increasingly affected by humid air, chemical corrosion, high temperature, vibration, friction, overvoltage, overcurrent and other factors, the problems of easy aging and reduced insulating property occur along with the lengthening of the service cycle, the conductor layer of the power line is slowly endangered, the power line is subjected to faults of disconnection, grounding, short circuit and the like, and great hidden danger is buried for the normal work of the system. In case of a fault of a power line connected with an important component, not only data transmission of normal communication is affected, but also power transmission interruption is caused, chain reaction and fatal influence are caused to the whole power supply system, and further, serious life and property loss and even life threatening are caused. In addition, the movable space around the power line is narrow, so that the repair is difficult, the repair time is long, and the loss is easy to aggravate. There is an increasing demand for reliability and maintainability of wiring in carrier communication and aerospace and vehicle systems.
Among various methods related to fault detection and accurate positioning, the Spread Spectrum Time Domain Reflectometry (SSTDR) has high positioning accuracy and strong anti-interference capability, so that on-line detection can be realized, and the detection rate of the system can be greatly improved.
A method is described in U.S. pat NO 7,868,621B 2, Liu et al, of Honeywell corporation, where a power line carrier based aircraft power distribution system employs PLC technology and SSTDR fault diagnosis methods to provide critical maintenance functions. The method mainly contributes to the detection and positioning of the feeder line part before power-on unlike the traditional aircraft power distribution system, and the method can realize real-time online fault detection and positioning. The SSTDR fault detection device is added to a PLC modem, and SSTDR detection signals are injected into a power distribution system through a PLC tap point so as to realize online detection and positioning of power line faults of the airplane power distribution system.
However, the patent still has the following problems:
(1) when the SSTDR fault detection module is added to the PLC system, the size, the weight and the cost of the power distribution system fault detection device are increased;
(2) the SSTDR fault detection system injects detection signals into a power line through a PLC tap point, carrier communication signals and fault detection signals coexist in a channel, and two carrier signals have partial frequency spectrum overlapping, so that the respective signal-to-noise ratio is reduced, mutual interference is realized, and the carrier communication function and the fault detection function are synchronously influenced;
(3) when a power line between the PLC transmitting node and the PLC receiving node breaks down, the information transmission medium is damaged, and the fault information cannot be transmitted to the monitoring terminal through the PLC technology for timely fault analysis and processing.
Disclosure of Invention
According to the description in the background art, the SSTDDR fault detection module is added to the PLC system, and meanwhile, the size, the weight and the cost of the power distribution system fault detection device are increased; the injection of the SSTDR detection signal easily causes crosstalk between signals in a power line; when a power line between the PLC transmitting node and the PLC receiving node breaks down, the fault information cannot be transmitted to the monitoring terminal through the PLC technology. The invention aims to provide an integrated device integrating power line carrier communication and fault detection and positioning functions, aiming at the defects and shortcomings in the prior art. The device fuses power line carrier spread spectrum communication signals and fault detection signals under the condition that the size and the weight of a traditional power line carrier device and a fault detection device are not additionally increased, the functions of power line carrier communication and fault detection and positioning are realized by utilizing the fused signals, detected fault information is transmitted to a monitoring terminal by utilizing a wireless communication technology, and measures are conveniently taken to timely recover normal power transmission and communication signal transmission. The device reduces external hardware detection equipment, reduces the volume and the cost of the hardware device, and realizes the miniaturization, low cost and low power consumption design of the hardware device.
The technical scheme adopted by the invention for solving the technical problems is as follows:
an integrate device fusing power line carrier communication and fault detection positioning function, the device comprising: the integrated device transmitting end and the integrated device receiving end;
the integrated device transmitting terminal comprises:
the transmitting terminal fault detection carrier signal generation and separation subsystem comprises: the method comprises the steps that an information source signal acquired by a transmitting end UART is input into a fault detection carrier signal generation module to generate an m sequence and a sine wave with special frequencies, the m sequence and the sine wave are respectively used as a fusion spread spectrum code and a fusion modulation code, the information source signal is subjected to periodic spread spectrum and modulation, a fusion signal of the information source signal and a fault detection signal is generated, the fusion signal can be used as a carrier signal to transmit information source information and can also be used as a fault detection signal, and the double functions of information transmission and power line fault detection positioning are achieved; the method comprises the steps that synchronous caching of data is achieved through an FIFO memory module, a fault detection signal is separated from a reflection signal returned by a fault point through a detection signal separation module, fault information is extracted through a fault information extraction module, and communication transmission is conducted through a transmitting terminal UART; after the fault information is obtained, the fault detection carrier signal generation module is used for coding the detected power line fault information to generate a fusion signal of an information source signal, a fault detection signal and the fault information, namely the fault detection carrier signal is used for carrying out power line carrier communication transmission;
transmitting end wireless communication module: when the power line fault occurs between the transmitting end and the receiving end, the fault information is transmitted to the transmitting end wireless communication module through the transmitting end UART, so that the wireless transmission of the power line fault information is realized, and the receiving end can find and process the fault in time;
integrate the device receiving terminal and include:
receiving end fault detection carrier signal receiving and separating subsystem: filtering a received fault detection carrier signal by using a filtering module, despreading the filtered signal by using a PN code generated by a fault carrier signal despreading module and a PN code generating module, realizing synchronization by using a synchronization module, demodulating and recovering by using a fault carrier signal demodulation module to obtain an information source and fault information fusion signal, further separating the information source signal from fault information by using different sampling frequencies through a frequency division sampling separation module, and performing binary decoding on the fault information through a decoding module to obtain power line fault information; the fault information and the information source information are communicated with the upper computer through a receiving end UART (universal asynchronous receiver/transmitter), or are communicated with the upper computer through a receiving end wireless communication module;
a receiving end wireless communication module: and communication between the wireless communication module and the upper computer and the transmitting terminal is realized.
Preferably, the integrated device transmitting terminal further comprises:
a transmitting end DA module: D/A conversion is carried out on the fault detection carrier signal;
transmitting end AD module: carrying out analog-to-digital conversion on the carrier signal containing the fault information reflected by the power line;
transmitting end conditioning circuit: one is connected to the output end of the DA module of the transmitting end, and the other is connected to the input end of the AD module of the transmitting end, so as to realize the conditioning of the signal;
transmitting end isolation coupler: the power line circuit is connected with the power line and used for realizing the electrical isolation of the integrated device and the power line circuit, coupling the carrier signal with the fault detection capability to the power line to be detected and coupling the reflected carrier signal with the fault information to the transmitting end;
a sensor sampling module: collecting an information source signal;
the transmitting end power supply management module: the required voltage is provided for the whole transmitting end system.
Preferably, the integrated device receiving end further includes:
a receiving end AD module: collecting fault detection carrier signals to perform analog-to-digital conversion;
a receiving end conditioning circuit: the signal conditioning module is connected to the input end of the receiving end AD module to realize the conditioning of the signal;
receiving end isolation coupler: the integrated device is connected with the power line, is used for realizing the electrical isolation of the integrated device and the power line loop, and couples the acquired carrier signal to a receiving end;
a receiving end power supply management module: the required voltage is provided for the whole receiving end.
In the fusion method of the power line carrier spread spectrum communication signal and the SSTDR fault detection signal, fusion is firstly embodied as generation of a detection carrier fusion signal, and an information source signal and the detection signal are fused, so that the power line fault detection function is realized, and simultaneously, carrier information transmission is carried out. And secondly, generating a fault detection carrier signal, extracting fault information from the detection carrier fusion signal, transmitting the fault information to an integrated receiving end, and taking processing measures in time, so that the fault information, the information source information and the fault detection signal are fused into the fault detection carrier signal, and the signal can further integrate the function of power line fault information transmission on the basis of the fusion of the two functions.
A method for fusing a power line carrier communication signal and an SSTDR fault detection signal comprises the following specific steps:
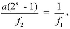
step 1: firstly, a binary sequence S of fault detection signals is carried out2And source signal binary sequence S1Fusing: binary sequence S of source signal1Has a frequency of f1Performing periodic spread spectrum processing on the binary sequence S of the fault detection signal by using a spread spectrum code2Said fault detection signal binary sequence S2Is an n-th order m sequence, n is more than or equal to 5, and the frequency is f2The number of m-sequence bits is 2n-1, fullThe symbol bit length of the sufficient source signal is a times the length of the m-sequence period, i.e.
Figure GDA0002938305690000041
Step 2: modulating the periodic spread spectrum signal obtained in thestep 1, wherein the BPSK is selected as a modulation mode, and the frequency of the modulated sine wave is f2Obtaining a detection carrier modulation signal with the same frequency as the m-sequence code chip in thestep 1; the detection carrier modulation signal has the power line carrier communication function and the power line fault detection and positioning capacity, is used as a fusion signal of an information source signal and a fault detection signal, is subjected to digital-to-analog conversion and signal conditioning, and is coupled into a power line for information transmission and fault diagnosis;
and step 3: fusing the fault information obtained by diagnosis with the information source signal so as to transmit the fault information to the processing terminal, and carrying out binary coding on the fault information to form a binary sequence S3Sequence length of l3Frequency of f3
And 4, step 4: binary sequence S of fault information3And source signal binary sequence S1Performing a multiplication operation S3And S1The chip bit length of (1) being kept integer times, i.e.
Figure GDA0002938305690000042
Obtaining a fusion signal of the fault information and the information source signal with the frequency f3
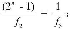
And 5: carrying out periodic spread spectrum processing on the fusion signal of the fault information and the information source signal obtained in the step (4) to meet the condition that the code element bit length of the fusion signal of the fault information and the information source signal is equal to the m sequence, namely
Figure GDA0002938305690000043
Step 6: modulating the periodic spread spectrum signal obtained in thestep 5, wherein the BPSK is selected as a modulation mode, and the frequency of the modulated sine wave is f2The frequency of the m-sequence chip is the same as that of the m-sequence chip in thestep 5, and a fault detection carrier signal is obtainedNumber; the signal further improves the integration level on the basis of detecting the carrier modulation signal, is fused with fault information, and has the capabilities of fault detection and positioning, information source information transmission and fault information transmission.
The binary source signal has a frequency lower than that of the spread spectrum code, that is, within the bit length time of the source signal, the spread spectrum code corresponds to an integral multiple of the sequence period, after the periodic spread spectrum operation, the spread spectrum signal does not change the arrangement of the spread spectrum code within the sequence period, that is, the spread spectrum signal still has autocorrelation and cross correlation within the spread spectrum code period, that is, a detection carrier modulation signal with carrier communication characteristics and fault detection positioning characteristics is generated. The detection carrier modulation signal is used as an incident signal, when the signal is transmitted to a fault point, the signal is reflected due to impedance mismatch, and the corresponding reflection detection carrier modulation signal obtained from the power line also has the characteristics of carrying carrier information and fault detection positioning. Because the m-sequence has excellent autocorrelation and cross-correlation, the m-sequence is selected as a fusion spread spectrum code, fault information is extracted by separating a detected carrier modulation signal and sampling correlation operation waveforms of an incident detected carrier modulation signal and a reflected detected carrier modulation signal, and the type (short circuit, open circuit, intermittent fault and the like) and the position of a power line fault are determined.
And after the fault information is extracted, multiplying the information source signal by the fault information obtained by detection to generate a fault information and information source signal fusion signal. And then, in the same way, carrying out periodic spread spectrum processing and carrier modulation on the fusion signal of the fault information and the information source signal to finally obtain a fault detection carrier signal, and realizing the fusion of the fault information, the information source information and the fault detection signal.
The integrated device integrating the power line carrier communication and fault detection positioning functions can encode the processed power line fault information to generate an information source signal, a detection signal and a fusion signal of the fault information. When the power line trouble takes place outside integrating device transmitting terminal and receiving terminal, can carry out the transmission of fault detection carrier signal through integrating the device through the power line to in time with information source signal and fault information transmission to integrating the device receiving terminal, in time handle the power line trouble.
The integrated device integrating the power line carrier communication and the fault detection positioning function has the advantages that the transmitting end fault detection carrier signal generation and separation subsystem can communicate with the wireless communication module, and the transmitting end fault detection carrier signal generation and the fault information inside the separation subsystem can be transmitted to the receiving end through the wireless communication module when the power line fault occurs between the transmitting end of the integrated device and the receiving end of the integrated device, so that the normal work of the communication function and the timely processing of the fault information are guaranteed.
Fuse power line carrier communication and fault detection locate function's device that integrates, its receiving terminal wireless communication module can communicate with the host computer between, when the power line trouble takes place integrating the device transmitting terminal and integrating between the device receiving terminal, the host computer can not acquire information source signal and fault information through the wire communication transmission, then through receiving terminal wireless communication module, give transmitting terminal wireless communication module in order to instruct, guide its transmission power line fault information, receiving terminal wireless communication module received information and upload to the host computer, so that in time handle.
The invention has the beneficial effects that:
1. the signal fusion method is utilized to realize the organic fusion of the carrier communication signal and the fault detection signal, so that the power carrier communication signal has the characteristics of the fault detection signal, and the information source signal, the detection signal and the fault information are fused into one fault detection carrier signal. The method avoids the problem that in the traditional method, in order to realize the fault diagnosis function of the carrier communication power line, the fault detection signal and the carrier communication signal are simultaneously injected into the power line to be detected, and the interference caused by the frequency spectrum overlapping between the two signals is eliminated.
2. The device organically combines the power line carrier communication function with the power line fault detection positioning function, and compared with the traditional fault diagnosis device and the power line carrier communication device, the device realizes the carrier communication function and the fault detection positioning function of the power line simultaneously by utilizing the fusion signal under the condition of not increasing the volume, the weight and the cost of the device, and performs self-diagnosis on the carrier communication device. The design of miniaturization, low cost and low power consumption of the hardware device is realized, the reliability and maintainability of the power transmission and communication system can be effectively improved, and the market popularization is facilitated.
3. The occurrence position of the fault on the carrier power line is comprehensively considered, and when the fault occurs on the power line between the transmitting end and the receiving end of the integrated device, the wired transmission function of the integrated system cannot work normally. The wireless communication module in the integrated device is used for transmitting fault information, good communication between the fault information and an upper computer is guaranteed, the fault is timely analyzed and processed at the information receiving terminal, targeted measures are convenient to take timely, guarantee is provided for power transmission, and organic integration of power transmission, information transmission and fault diagnosis is achieved.
The technical scheme of the invention can be widely applied to low-voltage and high-voltage power systems of airplanes, ships and electric vehicles.
Drawings
FIG. 1 is a schematic diagram of the overall architecture of the integrated device of the present invention;
FIG. 2 is a block diagram of a fault detection carrier signal generation module;
fig. 3 is a schematic diagram of a signal fusion method of a power line carrier spread spectrum communication signal and an SSTDR fault detection signal;
fig. 4 is a power line fault information curve obtained by detecting a signal separation result;
FIG. 5 is a signal source data transmission waveform of the transmitting end and the receiving end of the integrated device;
Detailed Description
Some of the key technologies related to the present invention will be described in detail below with reference to the accompanying drawings to support the claims.
Fig. 1 is a schematic view of an integrated device overall architecture integrating power line carrier communication and fault detection and location functions. In the integrateddevice transmitting terminal 1, the information source signal acquired by the signal collector 9 is input into the transmitting terminal fault detection carrier signal generation andseparation subsystem 3 through the transmitting terminal UART23, and the fault detection carriersignal generation module 19 generates a pseudo-random sequence and a sine wave with periodic characteristics, which are respectively used as a fusion spread spectrum code and a fusion modulation code. The signal source signal is subjected to periodic spread spectrum and modulation to generate a detection carrier modulation signal which can be used as a carrier signal for transmitting information and a power line fault detection signal and has double functions of information transmission and power line fault detection and positioning; the transmitting end DA module 4 is connected between the transmitting end fault detection carrier signal generating and separating subsystem 3 and the transmitting end conditioning circuit 6 and is used for carrying out digital-to-analog conversion on the carrier communication and fault detection fusion signal generated by the fault detection carrier signal generating and separating subsystem; a transmitting end conditioning circuit 6 is respectively connected between the transmitting end DA module 4 and the transmitting end isolating coupler 7, and between the transmitting end AD module 5 and the transmitting end isolating coupler 7, and is used for conditioning the signal amplitude; the transmitting terminal isolation coupler 7 is connected with a power line and used for realizing strong and weak current isolation of the integrated device and a power line loop, coupling a carrier communication and fault detection fusion signal to the power line to be detected and coupling a reflected carrier signal with fault information to a transmitting terminal; the transmitting end AD module 5 is connected between the transmitting end conditioning circuit 6 and the transmitting end fault detection carrier signal generating and separating subsystem 3 and is used for carrying out analog-to-digital conversion on the carrier signal containing fault information reflected by the power line; the synchronous buffer of data (by using the FIFO module 20), the fusion signal separation processing (by using the detection signal separation module 21), and the fault information extraction (by using the fault information extraction module 22) are realized in the transmitting end fault detection carrier signal generation and separation subsystem 3, and communication is performed between the transmitting end serial port communication UART23 and the transmitting end wireless communication module 8. At this time, the fault information needs to be transmitted to the fault monitoring terminal, i.e. the integrateddevice receiving end 2, so as to analyze and process the fault. When a power line fault occurs outside the transmitting end and the receiving end of the integrated device, the integrated device can be used for carrying out wired transmission of fault information, so that the fault information is input into the fault detection carriersignal generation module 19, the fault information, information source information and detection signal fusion signals are further fused, a fault detection carrier signal is generated, and data transmission is realized.
In the integrateddevice receiving terminal 2, the failure detection carrier signal is transmitted to the device integrated receivingterminal 2 through the power line. The receiving end isolation coupler 14 is connected between the power line and the receiving end conditioning circuit 13, is connected with the power line, and is used for realizing the electrical isolation between the integrated device and the power line loop and coupling the collected fusion carrier signal to the receiving end; the receiving end conditioning circuit 13 is connected between the receiving end isolation coupler 14 and the receiving end AD module 12, and is configured to condition the amplitude of the signal; the receiving end AD module 12 is connected between the receiving end conditioning circuit 13 and the receiving end fault detection carrier signal receiving and separating subsystem 11, and is configured to perform analog-to-digital conversion on the fault detection carrier signal; the receiving-end failure detection carrier signal receiving and separating subsystem 11 is configured to filter (using the filtering module 24) the received failure detection carrier signal, despread (using the failure carrier signal despreading module 26) the failure carrier signal, synchronize (using the synchronizing module 25), generate a PN code (using the PN code generating module 32), demodulate the failure carrier signal (using the failure carrier signal demodulating module 27), perform frequency division sampling separation (using the frequency division sampling separating module 33), decode (using the decoding module 28), recover the source signal, and obtain power line failure information. Through receiving terminal serial port communication UART29 with the host computer communicates, or through carrying out communication between receiving terminal wireless communication module 15 and the host computer, realize the transmission of fault information, be convenient for in time take measures.
At integratingdevice transmitting terminal 1 and integratingdevice receiving terminal 2, have transmitting terminalwireless communication chip 8 and receiving terminal wireless communication chip 15 respectively and link to each other with the host computer, its effect is when the fault point is integratingdevice transmitting terminal 1 and integrating betweendevice receiving terminal 2, and transmission medium is destroyed, integrates the wired communication transmission that the device can't realize fault information. At this moment, the upper computer cannot acquire the information source signal and the fault information, the receiving end wireless communication chip 15 gives an indication to the transmitting endwireless communication chip 8 to guide the transmitting end wireless communication chip to transmit the power line fault information, and the receiving end wireless communication chip 15 receives the information and uploads the information to the upper computer so as to be processed in time.
In the figure, the transmitterpower management module 10 provides the required voltage for the whole transmitter system, and the receiverpower management module 17 provides the required voltage for the whole receiver system.
Fig. 2 is a schematic structural diagram of a fault detection carriersignal generation module 19, which includes anencoding module 18, a periodicspectrum spreading module 30, a detectionsignal generation module 32, and a fusioncarrier modulation module 31, and adopts a signal fusion method of a power line carrier spread spectrum communication signal and an SSTDR fault detection signal to fuse the acquired information source signal, detection signal, and fault information, so that the power line carrier communication signal can be used as a fault detection signal while transmitting information, to detect and locate a fault on a power line, and to transmit the obtained fault information to an integrated receiving end.
In the fusion method of the power line carrier spread spectrum communication signal and the SSTDR fault detection signal, fusion is firstly embodied as generation of a detection carrier fusion signal, so that the power line fault detection function is realized, and simultaneously, carrier information is transmitted. Secondly, generating a fault detection carrier signal, extracting fault information from the detection carrier fusion signal, transmitting the fault information to an integrated receiving end, taking processing measures in time, and fusing the fault information, information source information and a detection signal into a fault detection carrier signal, wherein the signal can further fuse the function of power line fault information transmission on the basis of the fusion of the two functions.
Fig. 3 is a schematic diagram of a signal fusion method of a power line carrier spread spectrum communication signal and an SSTDR fault detection signal, which includes the following specific implementation steps:
step 1: firstly, a binary sequence S of the detection signal is carried out2And source signal binary sequence S1The fusion of (1). Binary sequence S of source signal1Has a frequency of f1Performing periodic spread spectrum processing on the received signal, wherein the fused spread spectrum code selects an n-order m sequence n not less than 5 and has a frequency f2The number of m-sequence bits is 2n-1, satisfying that the source signal symbol bit length is a times the m-sequence period long, i.e.
Figure GDA0002938305690000081
a≥5;
Step 2: modulating the periodic spread spectrum signal obtained in thestep 1, wherein the BPSK is selected as a modulation mode, and the frequency of the modulated sine wave is f2Obtaining a detection carrier modulation signal with the same frequency as the m-sequence code chip in thestep 2; the detection carrier modulation signal has the power line carrier communication function and the power line fault detection and positioning capacity, is used as an information source and detection fusion signal, and is subjected to digital-to-analog conversion and signal conditioning and coupled into a power line to perform information transmission and fault diagnosis;
and step 3: fusing the fault information obtained by diagnosis with the information source signal so as to transmit the fault information to the processing terminal, and carrying out binary coding on the fault information to form a binary sequence S3Sequence length of l3Frequency of f3
And 4, step 4: binary sequence S of fault information3And source signal binary sequence S1Performing a multiplication operation S3And S1The chip bit length of (1) being kept integer times, i.e.
Figure GDA0002938305690000082
Obtaining a fusion signal of fault information and information source information with the frequency of f3
And 5: carrying out periodic spread spectrum processing on the fault information and information source information fusion signal obtained in the step (4) to meet the condition that the code element bit length of the fault information and information source information fusion signal is equal to the m sequence, namely
Figure GDA0002938305690000083
Step 6: modulating the periodic spread spectrum signal obtained in thestep 5, wherein the BPSK is selected as a modulation mode, and the frequency of the modulated sine wave is f2Obtaining a fault detection carrier signal with the same frequency as the m-sequence code chip in thestep 5; the signal further improves the integration level on the basis of detecting the carrier modulation signal, is fused with fault information, and has the capabilities of fault detection and positioning, information source information transmission and fault information transmission.
The binary source signal has a lower frequency than the fused spreading code, that is, within the bit length time of the source signal, the fused spreading code corresponds to an integral multiple of the sequence period, after the periodic spreading operation, the spread signal does not change the arrangement of the fused spreading code within the sequence period, that is, the spread signal still has autocorrelation and cross-correlation within the spread code sequence period, that is, a detected carrier modulation signal with carrier communication characteristics and fault detection positioning characteristics is generated. The detection carrier modulation signal is used as an incident signal, when the signal is transmitted to a fault point, the signal is reflected due to impedance mismatch, and the corresponding reflection detection carrier signal obtained from the power line also has the characteristics of carrying carrier information and fault detection positioning. Because the m-sequence has excellent autocorrelation and cross-correlation, the m-sequence is selected as a fusion spread spectrum code, the detection carrier signal is separated, and the correlation operation waveform of the incident detection carrier signal and the reflection detection carrier signal is sampled to extract fault information, so that the type (short circuit, open circuit, intermittent fault and the like) and the position of the power line fault are determined.
And after the fault information is extracted, multiplying the information source signal by the fault information obtained by detection to generate a fault information and information source information fusion signal. And then, in the same way, carrying out periodic spread spectrum processing and carrier modulation on the fusion signal of the fault information and the information source information to finally obtain a fault detection carrier signal, and realizing the fusion of the fault information, the information source information and the fault detection signal.
The device organically fuses the fault detection signal and the carrier communication spread spectrum modulation signal, utilizes the fault detection carrier signal to detect and position the power line fault while transmitting carrier information, reduces external hardware detection equipment, reduces the cost of a hardware device, selects an FPGA series chip, a DAC (digital-to-analog converter) chip and an ADC (analog-to-digital converter) chip with low power consumption, low cost and high performance, and realizes the miniaturization, low cost and low power consumption design of the hardware device.
Fig. 4 shows a power line fault information curve obtained by integrating the functions of power line carrier communication and fault detection and location, wherein an open-circuit fault is set at 4.1m of an AF250 teflon power line, the center frequency of an incident signal of an SSTDR is set to 10MHz, and the results of signal separation and fault information extraction are detected in the integrated device. As can be seen from the figure, the distance between the two wave head peaks along the x-axis direction can accurately reflect the fault distance, and the polarity of the primary reflection wave head can accurately reflect the fault type (open circuit or short circuit).
Fig. 5 is a schematic diagram of transmission waveforms of a transmitting end and a receiving end of an integrated device integrating power line carrier communication and fault detection and location functions when a carrier communication system is in normal operation. As can be seen from the figure, the signals can be accurately transmitted.
In summary, although the basic structure, principle and method of the present invention have been specifically described by the above embodiments, it will be apparent to those skilled in the art that modifications/substitutions and combinations can be made without inventive effort without departing from the spirit of the present invention.

Claims (7)

Translated fromChinese
1.一种融合电力线载波通信与故障检测定位功能的集成化装置,其特征在于所述装置包括:集成化装置发射端(1)与集成化装置接收端(2);1. An integrated device integrating power line carrier communication and fault detection and positioning functions, characterized in that the device comprises: an integrated device transmitter (1) and an integrated device receiver (2);所述集成化装置发射端(1)包括:The integrated device transmitter (1) includes:发射端故障检测载波信号生成与分离子系统(3):利用发射端UART(23)将采集的信源信号输入故障检测载波信号生成模块(19),产生特殊频率的m序列和正弦波,分别作为融合扩频码和融合调制码,对信源信号进行周期性扩频和调制,生成信源信号与故障检测信号的融合信号,该融合信号既可以作为载波信号传输信源信息,又可以作为故障检测信号,具备信息传输、电力线故障检测定位的双重功能;利用FIFO存储器模块(20)实现数据的同步缓存,利用检测信号分离模块(21)从故障点返回的反射信号中分离出故障检测信号,利用故障信息提取模块(22)对故障信息进行提取,并通过发射端UART(23)进行通信传输;当得到故障信息后,通过故障检测载波信号生成模块(19)对检测所得电力线故障信息进行编码,生成信源信号、故障检测信号及故障信息的融合信号,即故障检测载波信号进行电力线载波通信传输;The transmitter-side fault detection carrier signal generation and separation subsystem (3): using the transmitter-side UART (23) to input the collected source signal into the fault detection carrier signal generation module (19), to generate m-sequence and sine waves of special frequencies, respectively As a fusion spread spectrum code and fusion modulation code, the source signal is periodically spread and modulated to generate a fusion signal of the source signal and the fault detection signal. The fusion signal can not only transmit the source information as a carrier signal, but also serve as a The fault detection signal has dual functions of information transmission and power line fault detection and location; the FIFO memory module (20) is used to realize synchronous buffering of data, and the detection signal separation module (21) is used to separate the fault detection signal from the reflected signal returned from the fault point , use the fault information extraction module (22) to extract the fault information, and carry out communication transmission through the transmitter UART (23); when the fault information is obtained, the fault detection carrier signal generation module (19) is used to detect the obtained power line fault information. Coding to generate a fusion signal of source signal, fault detection signal and fault information, that is, fault detection carrier signal for power line carrier communication transmission;发射端无线通信模块(8):与发射端UART(23)连接,当电力线故障发生在发射端与接收端之间时,故障信息通过发射端UART(23)传输给发射端无线通信模块(8),实现电力线故障信息的无线发射,便于接收端及时发现故障并处理;The transmitter wireless communication module (8): connected with the transmitter UART (23), when a power line fault occurs between the transmitter and the receiver, the fault information is transmitted to the transmitter wireless communication module (8) through the transmitter UART (23) ) to realize the wireless transmission of power line fault information, so that the receiver can find and deal with the fault in time;所述集成化装置接收端(2)包括:The integrated device receiving end (2) includes:接收端故障检测载波信号接收与分离子系统(11):将接收到的故障检测载波信号利用滤波模块(24)进行滤波,利用故障载波信号解扩模块(26)和PN码生成模块(32)产生的PN码对滤波后的信号进行解扩,并利用同步模块(25)实现同步,最后利用故障载波信号解调模块(27)解调恢复得到信源与故障信息融合信号,并进一步通过分频采样分离模块(33),采用不同采样频率将信源信号与故障信息分离,将故障信息通过解码模块(28)进行二进制解码,获取电力线故障信息;故障信息与信源信息通过接收端UART(29)与上位机进行通信,或者通过接收端无线通信模块(15)与上位机进行通信;The receiving end fault detection carrier signal receiving and separating subsystem (11): the received fault detection carrier signal is filtered by the filtering module (24), and the fault carrier signal despreading module (26) and the PN code generation module (32) are used for filtering. The generated PN code despreads the filtered signal, and uses the synchronization module (25) to achieve synchronization, and finally uses the faulty carrier signal demodulation module (27) to demodulate and restore the signal source and the fault information fusion signal, and further through the analysis. The frequency sampling separation module (33) adopts different sampling frequencies to separate the signal source signal from the fault information, and the fault information is binary decoded by the decoding module (28) to obtain the fault information of the power line; the fault information and the source information are passed through the receiving end UART ( 29) communicate with the host computer, or communicate with the host computer through the receiving end wireless communication module (15);接收端无线通信模块(15):实现与上位机和发射端无线通信模块(8)之间的通信。The wireless communication module (15) at the receiving end: realizes the communication with the upper computer and the wireless communication module (8) at the transmitting end.2.如权利要求1所述的融合电力线载波通信与故障检测定位功能的集成化装置,其特征在于所述集成化装置发射端(1)还包括:2. The integrated device for fusing power line carrier communication and fault detection and positioning functions as claimed in claim 1, wherein the integrated device transmitter (1) further comprises:发射端DA模块(4):对故障检测载波信号进行数模转换;Transmitter DA module (4): perform digital-to-analog conversion on the fault detection carrier signal;发射端AD模块(5):将电力线反射回来的含有故障信息的载波信号进行模数转换;Transmitter AD module (5): perform analog-to-digital conversion on the carrier signal containing fault information reflected back from the power line;发射端调理电路(6):一个连接在发射端DA模块(4)的输出端,一个连接在发射端AD模块(5)的输入端,实现信号的调理;Transmitter conditioning circuit (6): one is connected to the output end of the transmitting end DA module (4), and the other is connected to the input end of the transmitting end AD module (5) to realize signal conditioning;发射端隔离耦合器(7):与电力线进行连接,用于实现集成化装置与电力线回路的电气隔离,并将具备故障检测能力的载波信号耦合至待测电力线,同时将反射回来的具有故障信息的载波信号耦合至发射端;Transmitter isolation coupler (7): connected to the power line, used to achieve electrical isolation between the integrated device and the power line loop, couple the carrier signal with fault detection capability to the power line to be tested, and at the same time reflect the reflected fault information The carrier signal is coupled to the transmitter;传感器采样模块(9):对信源信号进行采集;The sensor sampling module (9): collects the source signal;发射端电源管理模块(10):为整个发射端系统提供所需的电压。Transmitter-end power management module (10): provide the required voltage for the entire transmitter-end system.3.如权利要求1所述的融合电力线载波通信与故障检测定位功能的集成化装置,其特征在于所述集成化装置接收端(2)还包括:3. The integrated device integrating power line carrier communication and fault detection and positioning functions as claimed in claim 1, wherein the integrated device receiving end (2) further comprises:接收端AD模块(12):采集故障检测载波信号进行模数转换;The receiving end AD module (12): collects the fault detection carrier signal for analog-to-digital conversion;接收端调理电路(13):连接在接收端AD模块(12)的输入端,实现信号的调理;A receiving end conditioning circuit (13): connected to the input end of the receiving end AD module (12) to realize signal conditioning;接收端隔离耦合器(14):与电力线进行连接,用于实现集成化装置与电力线回路的电气隔离,并将采集的载波信号耦合至接收端;A receiving end isolation coupler (14): connected to the power line, used to realize electrical isolation of the integrated device and the power line loop, and couple the collected carrier signal to the receiving end;接收端电源管理模块(17):为整个接收端提供所需的电压。The receiving end power management module (17): provides the required voltage for the entire receiving end.4.如权利要求1所述的融合电力线载波通信与故障检测定位功能的集成化装置,其特征在于当电力线故障发生在集成化装置发射端(1)与集成化装置接收端(2)之外时,通过集成化装置进行故障检测载波信号的传输,以便及时将信源信号与故障信息传输至集成化装置接收端(2),及时对电力线故障进行处理。4. The integrated device for merging power line carrier communication and fault detection and positioning functions as claimed in claim 1, characterized in that when the power line fault occurs outside the integrated device transmitter (1) and the integrated device receiver (2) When the fault detection occurs, the fault detection carrier signal is transmitted through the integrated device, so that the source signal and fault information can be transmitted to the integrated device receiving end (2) in time, and the power line fault can be processed in time.5.如权利要求1所述的融合电力线载波通信与故障检测定位功能的集成化装置,其特征在于当电力线故障发生在集成化装置发射端(1)与集成化装置接收端(2)之间时,将发射端故障检测载波信号生成与分离子系统(3)内部的电力线故障信息通过发射端无线通信模块(8)发射至集成化装置接收端(2),保证通信的良好及故障信息的及时处理。5. The integrated device integrating power line carrier communication and fault detection and positioning functions as claimed in claim 1, characterized in that when a power line fault occurs between the integrated device transmitting end (1) and the integrated device receiving end (2) When the power line fault information inside the transmitter-side fault detection carrier signal generation and separation subsystem (3) is transmitted to the receiver (2) of the integrated device through the transmitter-side wireless communication module (8), the communication is good and the fault information is guaranteed. deal with in a timely manner.6.如权利要求1所述的融合电力线载波通信与故障检测定位功能的集成化装置,其特征在于当电力线故障发生在集成化装置发射端(1)与集成化装置接收端(2)之间时,上位机不能获取故障检测载波信号,则通过接收端无线通信模块(15),给发射端无线通信模块(8)以指示,指引其发射电力线故障信息,接收端无线通信模块(15)接收信息并上传给上位机,以便及时处理。6. The integrated device integrating power line carrier communication and fault detection and positioning functions as claimed in claim 1, characterized in that when a power line fault occurs between the integrated device transmitter (1) and the integrated device receiver (2) When the host computer cannot obtain the fault detection carrier signal, the wireless communication module (15) at the receiving end will give an instruction to the wireless communication module (8) at the transmitting end to direct it to transmit the power line fault information, and the wireless communication module (15) at the receiving end will receive the signal. The information is uploaded to the host computer for timely processing.7.一种电力线载波扩频通信信号与SSTDR故障检测信号的融合方法,具体步骤如下:7. A fusion method of a power line carrier spread spectrum communication signal and an SSTDR fault detection signal, the specific steps are as follows:步骤1:首先进行故障检测信号二进制序列S2与信源信号二进制序列S1的融合:信源信号二进制序列S1的频率为f1,对其进行周期性扩频处理,其扩频码选取所述故障检测信号二进制序列S2,所述故障检测信号二进制序列S2为n阶m序列,n≥5,频率为f2,m序列位数为2n-1,满足信源信号的码元位长是m序列周期长的a倍,即
Figure FDA0002938305680000021
Step1 :First , perform the fusion of the binary sequence S2 of the fault detection signal and the binary sequence S1 of the source signal: the frequency of the binary sequence S1of the source signal is f1, which is subjected to periodic spreading processing, and the spreading code is selected. The fault detection signal binary sequence S2 , the fault detection signal binary sequence S2 is an n-order m-sequence, n≥5, the frequency is f2 , and the number of bits of the m-sequence is 2n -1, which satisfies the code of the source signal The element bit length is a times the period length of the m sequence, that is,
Figure FDA0002938305680000021
步骤2:对步骤1得到的周期性扩频信号进行调制处理,调制方式选取BPSK,调制正弦波的频率为f2,与步骤1中m序列码片频率相同,得到检测载波调制信号;所述检测载波调制信号具备电力线载波通信功能和电力线故障检测定位的能力,将其作为信源信号与故障检测信号的融合信号,进行数模转换、信号调理并耦合入电力线进行信息的传输及故障诊断;Step 2: perform modulation processing on the periodic spread spectrum signal obtained in step 1, select BPSK as the modulation method, and the frequency of the modulated sine wave is f2 , which is the same as the frequency of the m-sequence chip in step 1, so as to obtain the detection carrier modulation signal; The detection carrier modulation signal has the power line carrier communication function and the ability of power line fault detection and location. It is used as the fusion signal of the source signal and the fault detection signal to perform digital-to-analog conversion, signal conditioning, and coupled into the power line for information transmission and fault diagnosis;步骤3:将诊断所得故障信息与信源信号进行融合,以便于将故障信息传输至处理终端,将故障信息进行二进制编码,形成一个二进制序列S3,序列长度为l3,频率为f3Step 3: fuse the fault information obtained from the diagnosis with the source signal, so as to transmit the fault information to the processing terminal, and perform binary coding on the fault information to form a binary sequence S3 , the sequence length is l3 , and the frequency is f3 ;步骤4:将故障信息二进制序列S3与信源信号二进制序列S1进行相乘运算,S3与S1的码片位长保持整数倍关系,即
Figure FDA0002938305680000031
得到故障信息与信源信号的融合信号,频率为f3
Step4 : Multiply the fault information binary sequence S3 and the source signal binary sequence S1, and the chip bitlengthsof S3 and S1 maintainan integer multiple relationship, that is,
Figure FDA0002938305680000031
Obtain the fusion signal of the fault information and the source signal, the frequency is f3 ;
步骤5:将步骤4得到的故障信息与信源信号的融合信号进行周期性扩频处理,满足故障信息与信源信号的融合信号的码元位长与m序列相等的条件,即
Figure FDA0002938305680000032
Step 5: Perform periodic spread spectrum processing on the fusion signal of the fault information and the source signal obtained in step 4, to satisfy the condition that the symbol bit length of the fusion signal of the fault information and the source signal is equal to the m sequence, that is,
Figure FDA0002938305680000032
步骤6:对步骤5得到的周期性扩频信号进行调制处理,调制方式选取BPSK,调制正弦波的频率为f2,与步骤5中m序列码片频率相同,得到故障检测载波信号;该信号在检测载波调制信号的基础上,进一步提升了集成度,同时与故障信息进行融合,具备故障检测定位、信源信息传输、故障信息传输的能力。Step 6: perform modulation processing on the periodic spread spectrum signal obtained in step 5, select BPSK as the modulation method, and the frequency of the modulated sine wave is f2 , which is the same as the frequency of the m-sequence chip in step 5, so as to obtain a fault detection carrier signal; this signal On the basis of detecting the carrier modulation signal, the integration degree is further improved, and at the same time, it is integrated with the fault information, and has the ability of fault detection and location, source information transmission, and fault information transmission.
CN201710780342.3A2017-09-012017-09-01 An integrated device that integrates power line carrier communication and fault detection and location functionsActiveCN107493120B (en)

Priority Applications (1)

Application NumberPriority DateFiling DateTitle
CN201710780342.3ACN107493120B (en)2017-09-012017-09-01 An integrated device that integrates power line carrier communication and fault detection and location functions

Applications Claiming Priority (1)

Application NumberPriority DateFiling DateTitle
CN201710780342.3ACN107493120B (en)2017-09-012017-09-01 An integrated device that integrates power line carrier communication and fault detection and location functions

Publications (2)

Publication NumberPublication Date
CN107493120A CN107493120A (en)2017-12-19
CN107493120Btrue CN107493120B (en)2021-04-06

Family

ID=60651105

Family Applications (1)

Application NumberTitlePriority DateFiling Date
CN201710780342.3AActiveCN107493120B (en)2017-09-012017-09-01 An integrated device that integrates power line carrier communication and fault detection and location functions

Country Status (1)

CountryLink
CN (1)CN107493120B (en)

Families Citing this family (7)

* Cited by examiner, † Cited by third party
Publication numberPriority datePublication dateAssigneeTitle
CN108462510A (en)*2018-03-142018-08-28深圳市广利通通讯有限公司Fault detection system based on power carrier and method
US10601213B2 (en)*2018-05-222020-03-24Schneider Electric USA, Inc.Arc fault detection using frequency hopping techniques
CN111555776B (en)*2020-04-282022-06-03国电南瑞科技股份有限公司 A transmission line fusion perception and joint diagnosis method, system and device
CN112367098B (en)*2020-11-102021-10-26南京航空航天大学Method for realizing fault diagnosis through spread spectrum carrier
CN113315663B (en)*2021-05-282022-05-10广东电网有限责任公司Carrier network fault diagnosis method and system based on service characteristics
CN114325229B (en)*2021-12-272024-07-12深圳供电局有限公司Beidou-based power transmission line fault point positioning method and system
CN119232201B (en)*2024-12-042025-08-29江苏益邦电力科技有限公司 A power line carrier communication fault detection system

Citations (1)

* Cited by examiner, † Cited by third party
Publication numberPriority datePublication dateAssigneeTitle
CN106124929A (en)*2016-06-302016-11-16湖南大学A kind of power distribution network physical fault and information fault identification method

Family Cites Families (4)

* Cited by examiner, † Cited by third party
Publication numberPriority datePublication dateAssigneeTitle
US7868621B2 (en)*2008-03-042011-01-11Honeywell International Inc.Power line communication based aircraft power distribution system with real time wiring integrity monitoring capability
CN103336220B (en)*2013-05-292016-02-03国家电网公司The method and apparatus of distribution network failure being monitored and locating
CN104316834B (en)*2014-10-162017-05-03南京航空航天大学High-accuracy online cable fault detecting/locating device
US9838679B2 (en)*2015-07-282017-12-05Viavi Solutions Inc.Distance to fault measurements in cable TV networks

Patent Citations (1)

* Cited by examiner, † Cited by third party
Publication numberPriority datePublication dateAssigneeTitle
CN106124929A (en)*2016-06-302016-11-16湖南大学A kind of power distribution network physical fault and information fault identification method

Non-Patent Citations (2)

* Cited by examiner, † Cited by third party
Title
Analysis of Spread Spectrum Time Domain Reflectometry for Wire Fault Location;Paul Smith等;《IEEE SENSORS JOURNAL》;20051114;第5卷(第6期);正文第1469-第1478页*
航空电缆故障在线检测与定位技术研究;陈卫;《飞机设计》;20100430;第30卷(第2期);正文第62-67页*

Also Published As

Publication numberPublication date
CN107493120A (en)2017-12-19

Similar Documents

PublicationPublication DateTitle
CN107493120B (en) An integrated device that integrates power line carrier communication and fault detection and location functions
CN112367098B (en)Method for realizing fault diagnosis through spread spectrum carrier
CN104316834B (en)High-accuracy online cable fault detecting/locating device
CN104977504A (en)Cable fault on-line detecting and positioning device
CN107064745A (en)Stagewise method for diagnosing faults based on transient current information and Wavelet Entropy
CN105680909A (en)Monitoring equipment used for broadband power line carrier communication network
CN112543058B (en)Seabed observation network system based on integrated connection box
CN106443501B (en)Distributed generator islanding detection method and system
CN105071770A (en)System for monitoring operation condition of photovoltaic power station
CN2906632Y (en)Portable dynamic PMU performance tester
CN110187236A (en)A kind of midium voltage cable open-circuit fault on-line monitoring system and method based on SSTDR
CN202815078U (en)Current measuring device
CN113992282A (en)Wireless-like spectrum cognition check detection platform
CN116754897A (en) A well cable monitoring system and monitoring method based on SSTDR
CN103401747B (en)A kind of distributed floating controller Local network communication system
CN215263968U (en)Cable alignment device
CN206609915U (en)A kind of electric data remote collecting device
CN212572579U (en)FPGA-based error code detector
Zhao et al.Detection method of low voltage cable fault point based on SSTDR technology
CN115442217A (en)A satellite modem 1:1 Hot backup switching device
CN102306444A (en)Receiving circuit of meter-BUS (M-BUS) master station and data receiving method for receiving circuit
CN202770554U (en)Multi-point series optical fiber point-mode temperature measuring system
CN113030788A (en)Cable alignment device
CN101873293A (en)Non-sinusoidal time domain orthogonal demodulation signal synchronization method
CN217639357U (en)Three-phase circuit partial discharge monitoring device

Legal Events

DateCodeTitleDescription
PB01Publication
PB01Publication
SE01Entry into force of request for substantive examination
SE01Entry into force of request for substantive examination
CB03Change of inventor or designer information

Inventor after:Wang Li

Inventor after:Hu Suyang

Inventor after:Yang Shanshui

Inventor after:Gao Chuang

Inventor after:Qian Yetong

Inventor before:Wang Li

Inventor before:Hu Suyang

Inventor before:Gao Chuang

Inventor before:Qian Yetong

CB03Change of inventor or designer information
GR01Patent grant
GR01Patent grant

[8]ページ先頭

©2009-2025 Movatter.jp