Movatterモバイル変換


[0]ホーム

URL:


CN107404566B - A terminal scene judgment method and device - Google Patents

A terminal scene judgment method and device
Download PDF

Info

Publication number
CN107404566B
CN107404566BCN201610340586.5ACN201610340586ACN107404566BCN 107404566 BCN107404566 BCN 107404566BCN 201610340586 ACN201610340586 ACN 201610340586ACN 107404566 BCN107404566 BCN 107404566B
Authority
CN
China
Prior art keywords
terminal
scene
cell
determining
set time
Prior art date
Legal status (The legal status is an assumption and is not a legal conclusion. Google has not performed a legal analysis and makes no representation as to the accuracy of the status listed.)
Active
Application number
CN201610340586.5A
Other languages
Chinese (zh)
Other versions
CN107404566A (en
Inventor
张惠
隋延峰
沈亮
高屹
戴鹏程
万仁辉
李宝磊
王文博
白岩
李俨
辛潮
Current Assignee (The listed assignees may be inaccurate. Google has not performed a legal analysis and makes no representation or warranty as to the accuracy of the list.)
China Mobile Group Design Institute Co Ltd
Original Assignee
China Mobile Group Design Institute Co Ltd
Priority date (The priority date is an assumption and is not a legal conclusion. Google has not performed a legal analysis and makes no representation as to the accuracy of the date listed.)
Filing date
Publication date
Application filed by China Mobile Group Design Institute Co LtdfiledCriticalChina Mobile Group Design Institute Co Ltd
Priority to CN201610340586.5ApriorityCriticalpatent/CN107404566B/en
Publication of CN107404566ApublicationCriticalpatent/CN107404566A/en
Application grantedgrantedCritical
Publication of CN107404566BpublicationCriticalpatent/CN107404566B/en
Activelegal-statusCriticalCurrent
Anticipated expirationlegal-statusCritical

Links

Images

Classifications

Landscapes

Abstract

Translated fromChinese

本发明涉及通信技术领域,公开了一种终端场景判断方法和装置,包括:获取终端在设定时间内的通信信令;根据所述设定时间内的通信信令,确定所述终端在所述设定时间内的驻留小区;若所述设定时间内的驻留小区所属的驻留基站的数量不小于三个,则确定以各驻留基站的位置为顶点的多边形的重心;将各驻留基站内所述终端的通信信令的数量作为权值,调整所述多边形的重心,得到所述终端在所述设定时间内的位置信息;至少根据所述终端的位置信息,确定所述终端的场景。本发明用以解决终端定位时数据源标准不统一的问题,提高了终端场景判定的准确性。

Figure 201610340586

The invention relates to the field of communication technologies, and discloses a method and device for judging a terminal scene, comprising: acquiring communication signaling of a terminal within a set time; If the number of resident base stations to which the resident cell within the set time period belongs is not less than three, then determine the center of gravity of the polygon with the position of each resident base station as the vertex; The number of communication signaling of the terminal in each resident base station is used as a weight, and the center of gravity of the polygon is adjusted to obtain the position information of the terminal within the set time; at least according to the position information of the terminal, determine scene of the terminal. The present invention is used to solve the problem of inconsistent data source standards during terminal positioning, and improves the accuracy of terminal scene determination.

Figure 201610340586

Description

Terminal scene judging method and device
Technical Field
The present invention relates to the field of communications technologies, and in particular, to a method and an apparatus for determining a terminal scene.
Background
With the rapid development of the mobile internet and the popularization of the 4G technology, the number of users accessing the internet through the mobile phone is increased rapidly, and the very fast mobile internet experience becomes a key factor for measuring the perception of the users, so that an operator is urgently required to improve the traditional optimization means and improve the network quality according to the current network development form. The effective terminal scene identification method can provide a basis for subsequent network planning and optimization work, provide useful environment information for terminal application, and provide detailed user scene information for network quality evaluation.
The positioning of the mobile terminal is an important premise for judging the terminal scene, the existing terminal positioning mainly depends on a sensor or other special equipment, and the terminal of the method has to preset special positioning equipment, so that the cost is higher. In general, sensor standards set by terminals of different brands and different signals are not uniform, so that the collected data standards are not unique, and accurate threshold values are difficult to set when a user scene is determined according to confidence, and finally the accuracy of scene determination is reduced.
Disclosure of Invention
The embodiment of the invention provides a terminal scene judging method and device, which are used for solving the problem that the data source standards are not uniform when a terminal is positioned and improving the accuracy of terminal scene judgment.
The terminal scene judging method provided by the embodiment of the invention comprises the following steps:
acquiring a communication signaling of a terminal within a set time;
determining a resident cell of the terminal in the set time according to the communication signaling in the set time;
if the number of the resident base stations to which the resident cells belong in the set time is not less than three, determining the gravity center of a polygon with the position of each resident base station as a vertex;
taking the number of communication signaling of the terminal in each resident base station as a weight, and adjusting the gravity center of the polygon to obtain the position information of the terminal in the set time;
and determining the scene of the terminal at least according to the position information of the terminal.
Optionally, after determining the cell in which the terminal resides within the set time, the method further includes:
if the number of the resident base stations to which the resident cells belong in the set time is two, determining a midpoint between the positions of the two resident base stations;
and adjusting the position of the midpoint by taking the number of the communication signaling of the terminal in the two resident base stations as a weight value to obtain the position information of the terminal in the set time.
Optionally, after determining the cell in which the terminal resides within the set time, the method further includes:
and if the number of the resident base stations to which the resident cells belong in the set time is one, determining the position information of the terminal in the set time according to the positions of the resident base stations.
Optionally, the determining the scene of the terminal according to at least the location information of the terminal within the set time includes:
taking the set time as a period, if the distance between the position of the terminal in the nth period and the position of the terminal in the reference period is determined not to be larger than a distance threshold, classifying the position information of the terminal in the nth period and the position information of the terminal in the first period into the same group, wherein n is an integer larger than or equal to 2, and the reference period is the first period in each group;
determining whether the maximum time difference positioned in the same group is greater than a time threshold, if so, determining that the scene of the terminal is an indoor scene;
otherwise, the scene of the terminal is an outdoor scene.
Optionally, after determining whether the maximum time difference located in the same packet is greater than the time threshold, the method further includes:
determining a cell scene of a resident cell of the terminal in each period of the same group;
adding the communication signaling quantities of all resident cells in the same cell scene to obtain the communication signaling quantity of the cell scene;
and determining the cell scene with the maximum communication signaling quantity exceeding the quantity threshold value in all the cell scenes as the scene of the terminal.
Optionally, the communication signaling includes S1-MME interface signaling and S1-U interface signaling;
the determining the resident cell of the terminal in the set time according to the communication signaling in the set time includes:
determining the cell information of the S1-U interface signaling according to the cell information of the S1-MME interface signaling;
and determining the resident cell of the terminal according to the cell information of the S1-U interface signaling.
A terminal scene determination device, comprising:
the data acquisition module is used for acquiring a communication signaling of the terminal within a set time;
a cell determining module, configured to determine a cell where the terminal resides in the set time according to the communication signaling in the set time;
a position determining module, configured to determine a center of gravity of a polygon having a position of each residing base station as a vertex if the number of residing base stations to which the residing cell belongs within the set time is not less than three;
the position correction module is used for adjusting the gravity center of the polygon by taking the number of the communication signaling of the terminal in each resident base station as a weight value to obtain the position information of the terminal in the set time;
and the scene judging module is used for determining the scene of the terminal at least according to the position information of the terminal.
Optionally, the position determining module is further configured to determine a midpoint between the positions of the two camping base stations if the number of the camping base stations to which the camping cell belongs within the set time is two;
the location correction module is further configured to adjust the location of the midpoint by using the number of the communication signaling of the terminal in the two resident base stations as a weight, so as to obtain location information of the terminal within the set time.
Optionally, the location determining module is further configured to determine, if the number of the camping base stations to which the camping cell belongs within the set time is one, location information of the terminal within the set time according to the location of the camping base station.
Optionally, the scene determining module is configured to:
taking the set time as a period, if the distance between the position of the terminal in the nth period and the position of the terminal in the reference period is determined not to be larger than a distance threshold, classifying the position information of the terminal in the nth period and the position information of the terminal in the first period into the same group, wherein n is an integer larger than or equal to 2, and the reference period is the first period in each group;
determining whether the maximum time difference positioned in the same group is greater than a time threshold, if so, determining that the scene of the terminal is an indoor scene;
otherwise, the scene of the terminal is an outdoor scene.
Optionally, the scene determination module is further configured to:
determining a cell scene of a resident cell of the terminal in each period of the same group;
adding the communication signaling quantities of all resident cells in the same cell scene to obtain the communication signaling quantity of the cell scene;
and determining the cell scene with the maximum communication signaling quantity exceeding the quantity threshold value in all the cell scenes as the scene of the terminal.
Optionally, the communication signaling includes S1-MME interface signaling and S1-U interface signaling;
the cell determination module is configured to:
determining the cell information of the S1-U interface signaling according to the cell information of the S1-MME interface signaling;
and determining the resident cell of the terminal according to the cell information of the S1-U interface signaling.
In the embodiment of the invention, the communication signaling of the terminal in the set time is obtained, and the communication signaling contains the information of the terminal resident cell, so the resident cell of the terminal in the set time can be determined according to the communication signaling. Then, the geographic position of the terminal is determined according to the position of the base station of the resident cell. Specifically, if the number of the base stations of the resident cell of the terminal in the set time is not less than three, the base stations of the resident cells are used as vertexes to form a polygon, and the gravity center of the polygon is determined. Because the terminal resides in different residence time in each residence cell and the amount of generated signaling is different, it is not accurate enough to determine the position of the terminal only according to the center of gravity position of the polygon. The embodiment of the invention takes the quantity of the communication signaling of the terminal of each resident base station as the weight, adjusts the center of gravity of the polygon, and obtains the position information of the terminal in the set time, namely, the communication signaling of the terminal in a certain resident cell is more, the terminal is considered to stay in the resident cell for a longer time, and the position of the terminal is more biased to the resident cell. And finally, determining the scene of the terminal according to the position information of the terminal. In the embodiment of the invention, the communication signaling data of the terminal is used as the basis for terminal positioning in the process of judging the terminal scene, and the accuracy of terminal scene judgment is improved due to the unification of the data source standards. And the terminal is positioned at the geographic position by adopting a polygonal positioning method, the judgment result of the terminal position is closer to the actual position in the terminal, and the accuracy is further improved.
Drawings
In order to more clearly illustrate the technical solutions in the embodiments of the present invention, the drawings needed to be used in the description of the embodiments will be briefly introduced below, and it is obvious that the drawings in the following description are only some embodiments of the present invention, and it is obvious for those skilled in the art to obtain other drawings based on these drawings without inventive exercise.
Fig. 1 is a flowchart of a terminal scenario determination method according to an embodiment of the present invention;
fig. 2 is a schematic diagram of a moving track of a terminal and a base station through which the terminal passes according to an embodiment of the present invention;
fig. 3 is a flowchart of another method for determining a terminal scenario according to an embodiment of the present invention;
FIG. 4 is a flowchart of a terminal scene refining method in which a terminal is an indoor scene in the embodiment of the present invention;
FIG. 5 is a flowchart of a terminal scene refining method in which the terminal is an outdoor scene in the embodiment of the present invention;
fig. 6 is a schematic diagram of a terminal scene determination device according to an embodiment of the present invention.
Detailed Description
In order to make the objects, technical solutions and advantages of the present invention clearer, the present invention will be described in further detail with reference to the accompanying drawings, and it is apparent that the described embodiments are only a part of the embodiments of the present invention, not all of the embodiments. All other embodiments, which can be derived by a person skilled in the art from the embodiments given herein without making any creative effort, shall fall within the protection scope of the present invention.
In embodiments of the present invention, the term "terminal" refers to a device (device) that provides voice and/or data connectivity to a user, including a wireless terminal or a wired terminal. The wireless terminal may be a handheld device having wireless connection capabilities, or other processing device connected to a wireless modem, a mobile terminal communicating with one or more core networks via a radio access network. For example, wireless terminals may be mobile telephones (or "cellular" telephones) and computers with mobile terminals. As another example, a wireless terminal may be a portable, pocket, hand-held, computer-included, or vehicle-mounted mobile device. As another example, a wireless terminal may be a mobile station (mobile station), an access point (access point), or a part of a User Equipment (UE).
In the embodiments of the present invention, the term "base station" includes, but is not limited to, a node, a station controller, an Access Point (AP), or any other type of interface device capable of operating in a wireless environment.
In the prior art, generally, the position of a terminal is positioned by means of data collected by a sensor of the terminal, and then a scene where the terminal is located is determined.
In order to solve the above problem, an embodiment of the present invention provides a method for determining a terminal scenario, where a flow of the method is shown in fig. 1, and the method may include the following steps:
s101, acquiring a communication signaling of the terminal within a set time.
The communication signaling comprises S1-MME interface signaling and S1-U interface signaling of the terminal. The S1-MME interface is an interface between an eNB (Evolved Node B) and an MME (Mobility Management Entity), and is used to transmit session Management and Mobility Management information, that is, control plane information, and mainly completes functions of radio access bearer control of the S1 interface, operation and maintenance dedicated to the interface, and the like. The S1-U interface is an interface between the eNB and the S-GW (Serving GateWay), establishes a tunnel between the eNB and the S-GW, transmits user service data, and carries a UE internet data packet.
And S102, determining the resident cell of the terminal in the set time according to the communication signaling in the set time.
In the embodiment of the invention, the S1-MME interface signaling and the S1-U interface signaling are collected, and because the cell information in the S1-U interface signaling is incomplete and only has the information of the initial cell and the final cell when the user service is established and disconnected, the cell information in the processes of cell switching and the like needs to be obtained from the S1-MME interface signaling. The step S102 includes:
determining the cell information of the S1-U interface signaling according to the cell information of the S1-MME interface signaling;
and determining the resident cell of the terminal according to the cell information of the S1-U interface signaling.
Specifically, after an S1-MME call ticket and an S1-U call ticket are collected, an S1-MME interface signaling and an S1-U interface signaling of the same terminal are identified through an IMSI, the S1-MME interface signaling and the S1-U interface signaling are associated according to the starting time and the ending time of user service, the S1-U interface signaling is identified by the ECI (E-UTRAN Cell Identifier ) of the S1-MME interface signaling in the same time period, namely, each communication signaling in the S1-U interface signaling is filled with an ECI field according to the corresponding S1-MME interface signaling, and therefore the S1-U interface signaling can completely reflect the Cell occupation condition of the terminal in a network within the set time.
And S103, if the number of the resident base stations to which the resident cells belong in the set time is not less than three, determining the gravity center of a polygon with the position of each resident base station as a vertex.
And S104, taking the number of the communication signaling of the terminal in each resident base station as a weight, and adjusting the gravity center of the polygon to obtain the position information of the terminal in the set time.
And S105, determining the scene of the terminal at least according to the position information of the terminal.
In the embodiment of the invention, the communication signaling of the terminal in the set time is obtained, and the communication signaling contains the information of the terminal resident cell, so the resident cell of the terminal in the set time can be determined according to the communication signaling. Then, the geographic position of the terminal is determined according to the position of the base station of the resident cell. Specifically, if the number of the base stations of the resident cell of the terminal in the set time is not less than three, the base stations of the resident cells are used as vertexes to form a polygon, and the gravity center of the polygon is determined. Because the terminal resides in different residence time in each residence cell and the amount of generated signaling is different, it is not accurate enough to determine the position of the terminal only according to the center of gravity position of the polygon. The embodiment of the invention takes the quantity of the communication signaling of the terminal of each resident base station as the weight, adjusts the center of gravity of the polygon, and obtains the position information of the terminal in the set time, namely, the communication signaling of the terminal in a certain resident cell is more, the terminal is considered to stay in the resident cell for a longer time, and the position of the terminal is more biased to the resident cell. And finally, determining the scene of the terminal according to the position information of the terminal. In the embodiment of the invention, the communication signaling data of the terminal is used as the basis for terminal positioning in the process of judging the terminal scene, and the accuracy of terminal scene judgment is improved due to the unification of the data source standards. And the terminal is positioned at the geographic position by adopting a polygonal positioning method, the judgment result of the terminal position is closer to the actual position in the terminal, and the accuracy is further improved.
The polygon positioning method in the embodiment of the invention mainly comprises the steps of forming the resident cells of the terminal into polygons, wherein each resident cell is a vertex of each polygon, and then determining the position of the terminal according to the gravity center position of each polygon. Since the cell is a regional concept, the base station position of each resident cell can be selected as the vertex of the polygon. The geographical position of the base station in each resident cell can be obtained according to the ECI identifier in the S1-U interface signaling, and is represented by longitude and latitude and is marked as (X, Y).
In the embodiment of the invention, the S1-MME interface signaling and the S1-U interface signaling within the set time are obtained, and the ECI in the S1-MME interface signaling is utilized to perform cell information back filling on the S1-U interface signaling, so that the S1-U interface signaling can completely reflect the cell occupation condition of a user in a network. According to the cell information in the S1-U interface signaling, the corresponding base station position of the cell can be found, and the geographical position of the base station in the resident cell accessed by the terminal within the set time is obtained and is counted as (x)1,y1)、(x2,y2)……(xN,yN). If the user terminal is in a static state within the set time, the position of the terminal is a fixed point; if the user terminal is in a motion state within the set time, in order to facilitate processing, in the embodiment of the present invention, the location of the terminal within the set time is simplified into one point, and the location coordinate of the terminal within the set time is determined according to the geographic location coordinate of the base station accessed by the terminal within the set time. The following situations can be classified according to the different number of base stations of the corresponding resident cell of the terminal.
In the first case:
and if the number of the resident base stations to which the resident cell belongs in the set time is one, determining the position information of the terminal in the set time according to the position of the base station of the resident cell. That is, within a set time (e.g. 2 minutes), a terminal is in a cell, may be stationary in the cell, or may move in the cell, and the terminal accesses the base station corresponding to the cell, and takes the location of the base station as the location of the terminal within the 2 minutes.
Specifically, if the motion trajectory of the terminal within the set time is located in two or more camping cells, and the camping cells share one base station, the position of the base station is still considered as the position of the terminal within the 2 minutes.
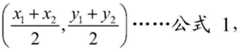
In the second case:
if the number of the camping base stations to which the camping cell belongs in the set time is two, step S102 further includes:
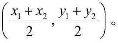
determining a midpoint between the two camped base station locations;
and adjusting the position of the midpoint by taking the number of the communication signaling of the terminal in the two resident base stations as a weight value to obtain the position information of the terminal in the set time.
Specifically, the base station location of the camping cell 1 is recorded as (x)1,y1) The base station location of the camping cell 2 is marked as (x)2,y2) The midpoint between the two base stations is
Figure BDA0000994623020000091
The location of the terminal can be determined from the midpoint location. If the terminal dwells in one of the two residential cells for a longer time, the terminal is considered to be located closer to the residential cell with the longer dwell time, and at this time, the number of communication signaling generated by the terminal in the residential cell with the longer dwell time is larger. Therefore, the position coordinates of the center point can be corrected by taking the signaling quantity of the S1-U interfaces of the terminal in the two resident cells as a weight value, so as to obtain the position coordinates of the terminal. Recording the number of S1-U interface signaling of the terminal in the resident cell 1 as T1And the number of S1-U interface signaling generated by the terminal in the resident cell 2 is recorded as T2Then the position of the terminal is:
Figure BDA0000994623020000092
simplifying the formula 2 to obtain the position coordinates of the terminal as follows:
Figure BDA0000994623020000093
specifically, if the terminal generates the same amount of S1-U interface signaling in two camping cells, the midpoint between the two base stations is taken as the position of the terminal, that is, the terminal position coordinate is the terminal position coordinate within the set time
Figure BDA0000994623020000101
In the third case:
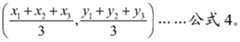
if the number of the base stations residing in the residential cell of the terminal in the set time (such as 2 minutes) is three, each residential cell forms a triangle according to the longitude and latitude positions, and the three vertexes of the triangle are the positions of the three base stations residing in the cell and are marked as (x)1,y1)、(x2,y2) And (x)3,y3). The geographic position of the terminal is determined from the position of the center of gravity of the triangle, since the center of gravity is the intersection of the median lines of the three sides of the triangle, and this point must be located inside the triangle.
Theoretically, the outer center of the triangle is the center of the circle circumscribed by the triangle, and the distances from the outer center to each vertex of the triangle are equal, so that the position calculation of the static user terminal of the existing network is more consistent. However, if the ue is in motion, the three base stations that the ue passes through are most likely to be an obtuse triangle, as shown in fig. 2, the outer center of the triangle is outside the triangle, which is not suitable for the actual situation of the location of the ue, and therefore, the position of the center of gravity of the triangle is selected to determine the location of the ue.
In a rectangular plane coordinate system, the coordinates of the triangle's center of gravity are the arithmetic mean of the coordinates of the vertices, i.e., the coordinates of the triangle's center of gravity are
Figure BDA0000994623020000102
Similar to the principle in the second case, the longer the terminal dwells in one of the three camping cells, the more communication signaling the terminal generates in the camping cell, and the closer the terminal position is to the camping cell is consideredThe base station location of the cell is reserved. Therefore, the number of S1-U interface signaling occurring in the camping cell 1 by the terminal is recorded as T1The number of S1-U interface signaling occurring in camped cell 2 is denoted as T2The number of S1-U interface signaling occurring in the camped cell 3 is denoted as T3Number of communication signalings T1、T2、T3Substituting the position of the terminal into the formula 4, and correcting the position of the terminal to obtain the position coordinate of the terminal as follows:
Figure BDA0000994623020000103
in a fourth case:
if the number of the resident base stations to which the resident cells of the terminal belong in the set time (such as 2 minutes) is N, and N is greater than 3, each resident cell forms a polygon according to the longitude and latitude positions, each vertex of the polygon is the resident base station position of each resident cell, and the polygon is marked as (x)1,y1)、(x2,y2)……(xN,yN). Similar to the method in the third case, the geographical position of the terminal may be determined from the position of the center of gravity of the polygon.
In geometry, for a polygon with uniform quality, the polygon may be divided into a plurality of triangles, and the center of gravity of the polygon may be determined according to the centers of gravity of the plurality of triangles. Dividing the polygon into a plurality of triangles, and solving the gravity center and the area of each triangle; as a two-dimensional polygon, taking the area of each triangle as a weight, and multiplying the weight by the barycentric coordinate of each triangle respectively; and respectively dividing the weighted average value of the obtained coordinates by the total area of the polygon to obtain the barycentric coordinates of the polygon.
In embodiments of the present invention, specifically, a polygon having N vertices is split into N-2 triangles, where the N-2 triangles include all the edges of the polygon. The coordinates of the center of gravity of each triangle, denoted as (x), are obtained from the calculation method in the third casei,yi). At the same time, the area S of each triangle is calculatedi. The triangle area is calculated as follows:
three vertices A (x) of triangle ABCa,ya)、B(xb,yb)、C(xc,yc) Arranged in the counterclockwise direction, the area of the triangle ABC is as follows:
Figure BDA0000994623020000111
let SGeneral assemblyFor this total area of the polygon, the position coordinates (x, y) of the terminal are:
Figure BDA0000994623020000112
Figure BDA0000994623020000113
after the position of the terminal is determined, the scene of the terminal can be judged according to the motion state of the terminal. Step S105 includes:
taking the set time as a period, if the distance between the position of the terminal in the nth period and the position of the terminal in the reference period is determined not to be larger than a distance threshold, classifying the position information of the terminal in the nth period and the position information of the terminal in the first period into the same group, wherein n is an integer greater than or equal to 2, and the reference period is the first period in each group;
determining whether the maximum time difference positioned in the same group is greater than a time threshold, if so, determining that the scene of the terminal is an indoor scene;
otherwise, the scene of the terminal is an outdoor scene.
Specifically, the position coordinates of the terminal within the set time are determined according to steps S101 to S104, and the position coordinates of the terminal are determined every period with the set time as a period. And if the distance is less than or equal to a distance threshold value, such as 200 meters, then the distance between the position of the next period and the reference position is continuously judged. And when the distance from the position of the mth period to the reference position is larger than the distance threshold, taking the position of the period before the mth period as a group, and taking the position of the mth period as the reference point of the next group.
For example, if the position of the terminal is calculated every 2 minutes for two hours, 60 position points of the terminal are calculated. Taking the 1 st position point as a reference position of the first grouping, comparing the distance between the 2 nd position point and the 1 st position point to obtain that the distance is less than 200 m, putting the 2 nd position point into the first grouping, and continuously comparing the distance between the 3 rd position point and the 1 st position point. Until the distance between the 5 th position point and the 1 st position point is more than 200 meters, the 5 th position point is taken as the reference position of the second group, and then the distance between the 6 th position point and the 5 th position point is compared. The previous 1 st position point to 4 th position point are all the first grouping. And respectively enabling the distances from the 6 th position point to the 13 th position point to the 5 th position point to be less than 200 meters, enabling the distances from the 14 th position point to the 5 th position point to be more than 200 meters, regarding the 5 th position point to the 13 th position point as a second group, regarding the 14 th position point as a third group, and the like.
It is determined whether the scene of the packet is indoor or outdoor according to the time taken by each packet. Since the time for each location point in a packet is 2 minutes, it can be determined whether the time difference between the first location point and the last location point in the same packet, i.e., the maximum time difference in the packet, is greater than a time threshold. If the time threshold value is larger than the time threshold value, the group is an indoor scene; otherwise, the packet is an outdoor scene.
Further, a more detailed scene division may be made for a terminal that has been determined as an indoor scene or an outdoor scene. After determining whether the maximum time difference between the same packet is greater than the time threshold, the method further includes:
determining a cell scene of a resident cell of the terminal in each period of the same group;
adding the communication signaling quantities of all resident cells in the same cell scene to obtain the communication signaling quantity of the cell scene;
and determining the cell scene with the maximum communication signaling quantity exceeding the quantity threshold value in all the cell scenes as the scene of the terminal.
For a terminal in an indoor scene, through analyzing a communication signaling of the terminal, base station basic information corresponding to a cell can be found according to the cell basic information, so that whether the scene of a resident cell of the terminal occupies a room or a macro station is determined. And determining the quantity of the communication signaling occupying the indoor space and the quantity of the communication signaling occupying the macro station in the communication signaling of the terminal in each period of the same group. Calculating the ratio of the number of the communication signaling occupying the room to the total number of the communication signaling (namely p + q), and recording the ratio as p; and calculating the ratio of the number of the communication signaling occupying the macro station to the total number of the communication signaling, and recording the ratio as q. Comparing p and q with a scene threshold (for example, 80%), and if p is greater than 80%, determining that the terminal scene is an indoor stable scene occupying the room; if q is greater than 80%, the terminal scene is an indoor stable scene occupying the macro station; and if both p and q are not more than 80%, the terminal scene is an indoor stable scene occupying the indoor branch and the macro station.
For the terminal in the outdoor scene, the terminal in the outdoor scene may be further divided into a low-speed terminal, a medium-speed terminal, or a high-speed terminal according to the moving speed of the terminal. The distance moved by the terminal in each period can be determined through the previous calculation, and the displacement of the terminal in unit time can be obtained, namely the speed of the terminal.
After the scene of the terminal is divided into an indoor scene or an outdoor scene and the outdoor scene is divided according to the speed, the scene of the terminal can be further refined into 7 scenes, including: campus scenes, residential area scenes, business area scenes, scenic area scenes, subway scenes and high-speed rail scenes.
According to the cell basic information in the communication signaling of the terminal, the corresponding cell scene can be searched, and the cell scene to which the resident cell of the terminal belongs in n periods is determined. And calculating the communication signaling quantity of the terminal in the same cell scene, namely the sum of the communication signaling quantities of all resident cells in the cell scene. And taking the cell scene with the maximum communication signaling quantity and exceeding the quantity threshold value as the scene of the terminal. For example, the residence cells of a certain terminal in two hours are cell 1, cell 2, cell 3 and cell 4, wherein the cell scene of cell 1 is a campus scene, and the number of corresponding communication signaling is 5; the cell scene of the cell 2 is a commercial cell scene, and the number of corresponding communication signaling is 100; the cell scene of the cell 3 is a residential area scene, the number of communication signaling is 10, the cell scene of the cell 4 is a campus scene, and the number of communication signaling is 5. The cell scene is a campus scene, a business area scene and a residential area scene, the corresponding communication signaling amount is 10, 100 and 10, and the scene of the terminal is the business area scene because the communication signaling amount of the business area scene is the maximum and the proportion exceeds 80%.
Further, it may be determined that a single scene occupancy of the terminal is greater than a scene threshold, such as 80%, the terminal is determined to be in the scene. Specifically, the determination method is as follows:
(a) and campus scene: and for three indoor scenes and low-speed outdoor scenes, judging the cell scene of the terminal communication signaling, and if more than 80% of the communication signaling occurs in the campus, judging that the terminal scene is the campus scene.
(b) And residential area scene: and judging the cell scene of the terminal communication signaling for the three indoor scenes and the low-speed outdoor scene, and if more than 80% of the communication signaling occurs in the residential area, judging that the terminal scene is the residential area scene.
(c) Business district scene: and for the three indoor scenes, judging the cell scene of the terminal communication signaling, and if more than 80% of the communication signaling occurs in a commercial area, judging that the terminal scene is the commercial area scene.
(d) And scenic spot scene: and judging the cell scene of the terminal communication signaling for the three indoor scenes and the low-speed outdoor scene, and if more than 80% of the communication signaling occurs in the scenic spot, judging that the terminal scene is the scenic spot scene.
(e) And subway scene: and judging the cell scene of the terminal communication signaling for three indoor scenes and three outdoor scenes, and if more than 80% of the communication signaling occurs in the subway, judging that the terminal scene is the subway scene.
(f) And high-speed rail scene: and for a high-speed outdoor scene, judging a cell scene of a terminal communication signaling, and if more than 80% of the communication signaling occurs in a high-speed rail, judging that the terminal scene is a high-speed rail scene.
It should be noted that, because the position of the terminal can be moved, the scene determination of the terminal is related to time, that is, the terminal can be an indoor user in the first hour, an outdoor low-speed user in the second hour, and then an outdoor high-speed user, and if the scene of the terminal changes, the scene of the terminal needs to be determined separately in different time intervals.
In order to more clearly understand the present invention, the above-mentioned process is described in detail below by specific examples. The scenario described in this specific example is a scenario in which a mobile phone of a user is determined within 4 hours of the afternoon of a certain day, and the process is shown in fig. 3 and includes:
s201, acquiring communication signaling of the terminal within 4 hours.
S202, setting the period to be 2 minutes, and determining the resident cell of the terminal in every 2 minutes.
S203, judging the number of the resident base stations to which the resident cells of the terminal belong, and if the number of the resident base stations is 1, executing a step S204; if there are 2, go to step S205; if not less than 3, go to step S206.
And S204, the resident base station position is the position of the terminal.
S205, determining a midpoint between the positions of the two resident base stations, and correcting the midpoint according to the number of communication signaling of the terminals in the two resident base stations to obtain the position of the terminal.
S206, determining the center of gravity of the polygon with the positions of the plurality of resident base stations as vertexes, and correcting the position of the center of gravity according to the number of communication signals of the terminal in each resident base station to obtain the position of the terminal.
And S207, calculating according to the position of the terminal every 2 minutes, and grouping the positions of the users according to the distance threshold of 200 meters.
S208, judging whether the duration time of the terminal on one group is more than 20 minutes, if so, executing a step S209; otherwise, step S210 is performed.
And S209, the terminal scene is an indoor scene.
And S210, the terminal scene is an outdoor scene.
After the terminal scene is divided into an indoor scene or an outdoor scene, the indoor scene and the outdoor scene can be further refined respectively.
For an indoor scenario, as shown in fig. 4, the process includes the following steps:
s211, judging whether the communication signaling occupying the indoor division is greater than 80% or the communication signaling occupying the macro station is greater than 80%, and if the communication signaling occupying the indoor division is greater than 80%, executing step S212; if the communication signaling occupying the macro station is greater than 80%, executing step S213; if the ratio of the communication signaling occupying the room to the communication signaling occupying the macro station is not greater than 80%, step S214 is executed.
And S212, the terminal scene is an indoor stable scene occupying the room.
And S213, the terminal scene is an indoor stable scene occupying the macro station.
And S214, the terminal scene is an indoor stable scene occupying the indoor branch and the macro station.
For an outdoor scenario, as shown in fig. 5, the process includes the following steps:
s215, judging the moving speed v of the terminal, and if v is more than 0 and less than or equal to 20km/h, executing a step S216; if the v is less than or equal to 60km/h and less than 20km/h, executing the step S217; if v >60km/h, step S218 is executed.
And S216, the terminal scene is a low-speed scene.
And S217, the terminal scene is a medium-speed scene.
And S218, the terminal scene is a high-speed scene.
The terminal can be divided into 7 specific scenes according to the indoor scene or the outdoor scene where the terminal is located and the communication signaling number ratio corresponding to the cell scene of the terminal, which are described in detail above and are not described herein again.
Based on the same technical concept, an embodiment of the present invention further provides a terminal scene determination apparatus, as shown in fig. 6, including:
adata obtaining module 61, configured to obtain a communication signaling of the terminal within a set time;
acell determining module 62, configured to determine a cell where the terminal resides in the set time according to the communication signaling in the set time;
aposition determining module 63, configured to determine a center of gravity of a polygon having a position of each residing base station as a vertex if the number of the residing base stations to which the residing cell belongs within the set time is not less than three;
aposition correction module 64, configured to adjust the center of gravity of the polygon by using the number of communication signaling of the terminal in each resident base station as a weight, so as to obtain position information of the terminal within the set time;
and ascene determining module 65 for determining the scene of the terminal at least according to the position information of the terminal.
Optionally, theposition determining module 63 is further configured to determine a midpoint between the positions of the two camping base stations if the number of the camping base stations to which the camping cell belongs within the set time is two;
thelocation correcting module 64 is further configured to use the number of the communication signaling of the terminal in the two resident base stations as a weight, and adjust the location of the midpoint to obtain the location information of the terminal within the set time.
Optionally, theposition determining module 63 is further configured to determine, if the number of the camping base stations to which the camping cell belongs within the set time is one, the position information of the terminal within the set time according to the position of the camping base station.
Optionally, thescene determining module 65 is configured to:
taking the set time as a period, if the distance between the position of the terminal in the nth period and the position of the terminal in the reference period is determined not to be larger than a distance threshold, classifying the position information of the terminal in the nth period and the position information of the terminal in the first period into the same group, wherein n is an integer larger than or equal to 2, and the reference period is the first period in each group;
determining whether the maximum time difference positioned in the same group is greater than a time threshold, if so, determining that the scene of the terminal is an indoor scene;
otherwise, the scene of the terminal is an outdoor scene.
Optionally, thescene determining module 65 is further configured to:
determining a cell scene of a resident cell of the terminal in each period of the same group;
adding the communication signaling quantities of all resident cells in the same cell scene to obtain the communication signaling quantity of the cell scene;
and determining the cell scene with the maximum communication signaling quantity exceeding the quantity threshold value in all the cell scenes as the scene of the terminal.
Optionally, the communication signaling includes S1-MME interface signaling and S1-U interface signaling;
acell determination module 62 configured to:
determining the cell information of the S1-U interface signaling according to the cell information of the S1-MME interface signaling;
and determining the resident cell of the terminal according to the cell information of the S1-U interface signaling.
The present invention is described with reference to flowchart illustrations and/or block diagrams of methods, apparatus (systems), and computer program products according to embodiments of the invention. It will be understood that each flow and/or block of the flow diagrams and/or block diagrams, and combinations of flows and/or blocks in the flow diagrams and/or block diagrams, can be implemented by computer program instructions. These computer program instructions may be provided to a processor of a general purpose computer, special purpose computer, embedded processor, or other programmable data processing apparatus to produce a machine, such that the instructions, which execute via the processor of the computer or other programmable data processing apparatus, create means for implementing the functions specified in the flowchart flow or flows and/or block diagram block or blocks.
These computer program instructions may also be stored in a computer-readable memory that can direct a computer or other programmable data processing apparatus to function in a particular manner, such that the instructions stored in the computer-readable memory produce an article of manufacture including instruction means which implement the function specified in the flowchart flow or flows and/or block diagram block or blocks.
These computer program instructions may also be loaded onto a computer or other programmable data processing apparatus to cause a series of operational steps to be performed on the computer or other programmable apparatus to produce a computer implemented process such that the instructions which execute on the computer or other programmable apparatus provide steps for implementing the functions specified in the flowchart flow or flows and/or block diagram block or blocks.
While preferred embodiments of the present invention have been described, additional variations and modifications in those embodiments may occur to those skilled in the art once they learn of the basic inventive concepts. Therefore, it is intended that the appended claims be interpreted as including preferred embodiments and all such alterations and modifications as fall within the scope of the invention.
It will be apparent to those skilled in the art that various changes and modifications may be made in the present invention without departing from the spirit and scope of the invention. Thus, if such modifications and variations of the present invention fall within the scope of the claims of the present invention and their equivalents, the present invention is also intended to include such modifications and variations.

Claims (10)

1. A terminal scene judging method is characterized by comprising the following steps:
acquiring a communication signaling of a terminal within a set time;
determining a resident cell of the terminal in the set time according to the communication signaling in the set time;
if the number of the resident base stations to which the resident cells belong in the set time is not less than three, determining the gravity center of a polygon with the position of each resident base station as a vertex;
taking the number of communication signaling of the terminal in each resident base station as a weight, and adjusting the gravity center of the polygon to obtain the position information of the terminal in the set time;
and determining the scene of the terminal at least according to the position information of the terminal.
2. The method of claim 1, wherein after determining the camping cell of the terminal within the set time, further comprising:
if the number of the resident base stations to which the resident cells belong in the set time is two, determining a midpoint between the positions of the two resident base stations;
and adjusting the position of the midpoint by taking the number of the communication signaling of the terminal in the two resident base stations as a weight value to obtain the position information of the terminal in the set time.
3. The method of claim 1 or 2, wherein the determining the scene of the terminal according to at least the position information of the terminal within the set time comprises:
taking the set time as a period, if the distance between the position of the terminal in the nth period and the position of the terminal in the reference period is determined not to be larger than a distance threshold, classifying the position information of the terminal in the nth period and the position information of the terminal in the first period into the same group, wherein n is an integer larger than or equal to 2, and the reference period is the first period in each group;
determining whether the maximum time difference positioned in the same group is greater than a time threshold, if so, determining that the scene of the terminal is an indoor scene;
otherwise, the scene of the terminal is an outdoor scene.
4. The method of claim 3, wherein the determining whether the maximum time difference located within the same packet is greater than a time threshold further comprises:
determining a cell scene of a resident cell of the terminal in each period of the same group;
adding the communication signaling quantities of all resident cells in the same cell scene to obtain the communication signaling quantity of the cell scene;
and determining the cell scene with the maximum communication signaling quantity exceeding the quantity threshold value in all the cell scenes as the scene of the terminal.
5. The method of claim 1 or 2, wherein the communication signaling comprises S1-MME interface signaling and S1-U interface signaling;
the determining the resident cell of the terminal in the set time according to the communication signaling in the set time includes:
determining the cell information of the S1-U interface signaling according to the cell information of the S1-MME interface signaling;
and determining the resident cell of the terminal according to the cell information of the S1-U interface signaling.
6. A terminal scene determination device, comprising:
the data acquisition module is used for acquiring a communication signaling of the terminal within a set time;
a cell determining module, configured to determine a cell where the terminal resides in the set time according to the communication signaling in the set time;
a position determining module, configured to determine a center of gravity of a polygon having a position of each residing base station as a vertex if the number of residing base stations to which the residing cell belongs within the set time is not less than three;
the position correction module is used for adjusting the gravity center of the polygon by taking the number of the communication signaling of the terminal in each resident base station as a weight value to obtain the position information of the terminal in the set time;
and the scene judging module is used for determining the scene of the terminal at least according to the position information of the terminal.
7. The apparatus of claim 6,
the location determining module is further configured to determine a midpoint between the locations of the two camping base stations if the number of the camping base stations to which the camping cell belongs within the set time is two;
the location correction module is further configured to adjust the location of the midpoint by using the number of the communication signaling of the terminal in the two resident base stations as a weight, so as to obtain location information of the terminal within the set time.
8. The apparatus of claim 6 or 7, wherein the scene decision module is to:
taking the set time as a period, if the distance between the position of the terminal in the nth period and the position of the terminal in the reference period is determined not to be larger than a distance threshold, classifying the position information of the terminal in the nth period and the position information of the terminal in the first period into the same group, wherein n is an integer larger than or equal to 2, and the reference period is the first period in each group;
determining whether the maximum time difference positioned in the same group is greater than a time threshold, if so, determining that the scene of the terminal is an indoor scene;
otherwise, the scene of the terminal is an outdoor scene.
9. The apparatus of claim 8, wherein the scene decision module is further configured to:
determining a cell scene of a resident cell of the terminal in each period of the same group;
adding the communication signaling quantities of all resident cells in the same cell scene to obtain the communication signaling quantity of the cell scene;
and determining the cell scene with the maximum communication signaling quantity exceeding the quantity threshold value in all the cell scenes as the scene of the terminal.
10. The apparatus of claim 6 or 7, wherein the communication signaling comprises S1-MME interface signaling and S1-U interface signaling;
the cell determination module is configured to:
determining the cell information of the S1-U interface signaling according to the cell information of the S1-MME interface signaling;
and determining the resident cell of the terminal according to the cell information of the S1-U interface signaling.
CN201610340586.5A2016-05-192016-05-19 A terminal scene judgment method and deviceActiveCN107404566B (en)

Priority Applications (1)

Application NumberPriority DateFiling DateTitle
CN201610340586.5ACN107404566B (en)2016-05-192016-05-19 A terminal scene judgment method and device

Applications Claiming Priority (1)

Application NumberPriority DateFiling DateTitle
CN201610340586.5ACN107404566B (en)2016-05-192016-05-19 A terminal scene judgment method and device

Publications (2)

Publication NumberPublication Date
CN107404566A CN107404566A (en)2017-11-28
CN107404566Btrue CN107404566B (en)2020-05-12

Family

ID=60389285

Family Applications (1)

Application NumberTitlePriority DateFiling Date
CN201610340586.5AActiveCN107404566B (en)2016-05-192016-05-19 A terminal scene judgment method and device

Country Status (1)

CountryLink
CN (1)CN107404566B (en)

Families Citing this family (7)

* Cited by examiner, † Cited by third party
Publication numberPriority datePublication dateAssigneeTitle
CN108260205B (en)*2017-12-072020-10-23西安汇龙科技股份有限公司User position positioning system and method
CN108693548B (en)*2018-05-182021-10-22中国科学院光电研究院 A navigation method and system based on scene target recognition
CN111988794B (en)*2019-05-222023-04-14中国移动通信集团陕西有限公司 Scenario-oriented network monitoring method and device
US11665578B2 (en)*2020-12-232023-05-30T-Mobile Usa, Inc.Remote radio unit (RRU) configuration controller
CN115515143B (en)*2021-06-222024-07-02中国移动通信集团重庆有限公司Base station coverage scene determination method, device, equipment and storage medium
CN117750304A (en)*2022-09-142024-03-22华为技术有限公司 A data processing method and terminal equipment
CN118201074B (en)*2024-05-172024-08-16长安通信科技有限责任公司Positioning method and system of terminal equipment under double-connection scene and electronic equipment

Family Cites Families (11)

* Cited by examiner, † Cited by third party
Publication numberPriority datePublication dateAssigneeTitle
US6307868B1 (en)*1995-08-252001-10-23Terayon Communication Systems, Inc.Apparatus and method for SCDMA digital data transmission using orthogonal codes and a head end modem with no tracking loops
US6334059B1 (en)*1999-01-082001-12-25Trueposition, Inc.Modified transmission method for improving accuracy for e-911 calls
CN100466784C (en)*2006-02-282009-03-04华为技术有限公司 Method for locating user terminal and user terminal
US9125018B2 (en)*2009-02-092015-09-01Qualcomm IncorporatedTriggered location services
CN102006547B (en)*2009-08-282016-01-20北京三星通信技术研究有限公司Localization method, broadcast adjacent base station position information method and method for negotiating location capability
CN101965051A (en)*2010-09-282011-02-02中兴通讯股份有限公司Positioning method and positioning server
ITTO20110284A1 (en)*2011-03-292011-06-28Sisvel Technology Srl COOPERATIVE LOCATION PROCEDURE AND ITS APPARATUSES
CN102857965B (en)*2011-06-282016-03-30华为技术有限公司The method of locating terminal, Apparatus and system
CN103033822B (en)*2011-09-302014-09-24迈实电子(上海)有限公司Mobile information confirmation device and mobile information confirmation method and receiving set
CN102858010B (en)*2012-09-042015-02-04大唐移动通信设备有限公司Positioning method and device for mobile terminal
CN103002502A (en)*2012-12-042013-03-27广州瀚信通信科技股份有限公司Positioning method and system in code division multiple access (CDMA) based on measurement report (MR)

Also Published As

Publication numberPublication date
CN107404566A (en)2017-11-28

Similar Documents

PublicationPublication DateTitle
CN107404566B (en) A terminal scene judgment method and device
KR101616486B1 (en)Mobile device positioning
CN105516904B (en)A kind of indoor fusion and positioning method and system based on small base station and bluetooth
CN111901750B (en)Positioning method, positioning device, electronic equipment and storage medium
AU2013376378B2 (en)An apparatus and a method for elevator allocation using a magnetic field map in an elevator system
CN104509134B (en) Mobile device, method and recording medium for obtaining communication quality information based on location
CN107466043B (en) A method and device for determining the azimuth angle of a base station antenna
CN106941682B (en) A processing method and device for a terminal residing in a high-speed rail private network
CN103822638B (en)The treating method and apparatus of customer position information
CN109428657B (en) A positioning method and device
CN108271180B (en)Parameter checking method and device
CN115273899B (en) A method, device, equipment and storage medium for voice quality assessment
WO2018112825A1 (en)Positioning method based on wi-fi access point, and device
CN104284352A (en) Method and device for optimizing overlapping coverage of mobile location areas
US20150141036A1 (en)Method and apparatus for estimating traffic speed
CN107708072A (en)Trajectory analysis method and device based on mobile communications network
US20160128019A1 (en)Method and mobile management node for paging user equipments
CN107404760B (en)A kind of Location Area Identification list TAI LIST distribution method and system
CN105898791B (en)Large-scale assembly Demographics' method based on base station VLR Visitor Location Register
JP6433059B2 (en) Apparatus, program and method for positioning mobile terminal based on communication record
CN108235367B (en)Wireless fidelity WiFi equipment identification method and device
CN114374966B (en)Data association method and device and electronic equipment
CN114245309A (en)Positioning method, device, equipment and storage medium
CN110708665A (en) Method and device for determining home area of access network equipment
JP2025507213A (en) Method, device and network element for predicting terminal information

Legal Events

DateCodeTitleDescription
PB01Publication
PB01Publication
SE01Entry into force of request for substantive examination
SE01Entry into force of request for substantive examination
GR01Patent grant
GR01Patent grant
OL01Intention to license declared
OL01Intention to license declared

[8]ページ先頭

©2009-2025 Movatter.jp