




技术领域technical field
本发明属于通信网络技术领域,涉及一种基于带内控制的软件定义网络链路故障恢复方法。The invention belongs to the technical field of communication networks, and relates to a software-defined network link failure recovery method based on in-band control.
背景技术Background technique
受经济因素制约,大规模网络中普遍采用低成本的网络设备,从而存在链路失效、服务器失效和交换机失效等多种故障,据统计链路故障一年内的发生概率约为30%,是网络中较为普遍的现象。因此,保障网络可靠服务能力的失效恢复策略和容错机制已成为当前研究亟待解决的问题。SDN的故障管理在许多方面与传统网络的不同。在传统网络中,在链路故障时,分布式网络设备(例如路由器)根据改变的拓扑信息重建路由路径并更新路由表。然而,在SDN网络中,路由决策由集中式控制器做出。控制器检测拓扑变化,根据全网信息进行路径计算,并沿路由路径安装交换机的流表。SDN中的链路故障恢复机制主要有保护机制和恢复机制两种。Restricted by economic factors, low-cost network equipment is generally used in large-scale networks, resulting in various faults such as link failure, server failure, and switch failure. more common phenomenon. Therefore, the failure recovery strategy and fault tolerance mechanism to ensure the reliable service capability of the network has become an urgent problem to be solved in current research. Fault management in SDN differs from traditional networks in many ways. In traditional networks, when a link fails, distributed network devices (eg, routers) rebuild routing paths and update routing tables according to the changed topology information. However, in an SDN network, routing decisions are made by a centralized controller. The controller detects topology changes, calculates paths based on network-wide information, and installs flow tables of switches along the routing paths. The link failure recovery mechanism in SDN mainly includes protection mechanism and recovery mechanism.
文献[Adrichem N LM V,Asten B J V,Kuipers F A.Fast Recovery inSoftware-Defined Networks[C]//Third European Workshop on Software DefinedNetworks.Budapest:IEEE Press,2014:61-66.]利用OpenFlow的组表提供的快速故障转移机制实现了SDN网络的故障恢复,该方法在计算工作路径时也会为每条流所经过的每个交换机计算到终端节点的恢复路径。若故障发生后没有可用的路径,则数据包会通过回溯路由的方法向上一级节点转发。在链路故障恢复后,组表会把数据流重新分配到原始的工作路径上;文献[Adami D,Giordano S,Pagano M,et al.Class-based traffic recoverywith load balancing in software-defined networks[C]//GLOBECOMWorkshops.Austin:IEEE Press,2014:161-165.]利用了OpenFlow的特点,以及时检测链路故障,并估计链路利用率,实现基于流量类别的故障恢复和负载均衡的SDN控制应用的设计。The literature [Adrichem N LM V, Asten B J V, Kuipers F A. Fast Recovery in Software-Defined Networks [C]//Third European Workshop on Software Defined Networks. Budapest: IEEE Press, 2014: 61-66.] is provided by the group table of OpenFlow The fast failover mechanism of the SDN network realizes the failure recovery of the SDN network, and the method also calculates the recovery path to the terminal node for each switch that each flow passes through when calculating the working path. If there is no available path after the fault occurs, the data packet will be forwarded to the upper-level node through the method of backtracking. After link failure recovery, the group table will redistribute the data flow to the original working path; literature [Adami D, Giordano S, Pagano M, et al. Class-based traffic recovery with load balancing in software-defined networks [C ]//GLOBECOMWorkshops.Austin:IEEE Press,2014:161-165.]Using the characteristics of OpenFlow, it can detect link faults in time, estimate link utilization, and implement traffic class-based fault recovery and load balancing SDN control application design.
通过对现有SDN中故障恢复的研究可以得出,目前针对SDN中链路故障问题的解决方案大多侧重采用本地恢复方式备份路径,但这种恢复方式没有充分利用SDN架构集中控制的特点,且没有考虑到故障恢复后全网流量的分布情况。Through the research on fault recovery in the existing SDN, it can be concluded that the current solutions to the link failure problem in SDN mostly focus on using the local recovery method to backup the path, but this recovery method does not make full use of the centralized control characteristics of the SDN architecture, and The distribution of network traffic after fault recovery is not considered.
发明内容SUMMARY OF THE INVENTION
本发明旨在解决以上现有技术的问题。提出了一种均衡了带宽利用率较高链路上的流量的基于带内控制的软件定义网络链路故障恢复方法。本发明的技术方案如下:The present invention aims to solve the above problems of the prior art. An in-band control-based software-defined network link failure recovery method is proposed, which balances the traffic on links with high bandwidth utilization. The technical scheme of the present invention is as follows:
一种基于带内控制的软件定义网络链路故障恢复方法,其包括以下步骤:A software-defined network link failure recovery method based on in-band control, comprising the following steps:
101、SDN控制器初始化网络拓扑,生成控制网络及其链路的备份路径;101. The SDN controller initializes the network topology, and generates a backup path for the control network and its links;
102、当数据层链路发生故障,且该故障链路属于控制网络时,交换机使用快速故障切换组表切换转发路径,恢复控制流的传输,否则直接转到步骤103;102. When the data layer link fails, and the failed link belongs to the control network, the switch uses the fast failover group table to switch the forwarding path, and restores the transmission of the control flow, otherwise, go to step 103 directly;
103、交换机将故障信息发送至控制器,并触发交换机向控制器反馈网络的实时状态信息,根据当前的网络拓扑和时延权重计算出源目的节点间的前K条最短路径;103. The switch sends the fault information to the controller, and triggers the switch to feed back the real-time state information of the network to the controller, and calculates the top K shortest paths between the source and destination nodes according to the current network topology and delay weight;
104、根据实时流量信息,计算出步骤103的前K条最短路径的链路费用值之和以及路径的资源消耗率;104. Calculate the sum of the link cost values of the top K shortest paths and the resource consumption rate of the paths in step 103 according to the real-time traffic information;
105、根据计算出的链路费用之和以及路径的资源消耗率设置目标函数,最终选取最佳的恢复路径并下发流表项。105. Set the objective function according to the calculated sum of link costs and the resource consumption rate of the path, and finally select the best recovery path and deliver the flow entry.
进一步的,所述步骤101中SDN控制器利用LLDP协议掌握全局拓扑信息,采用Dijkstra算法计算出以SDN控制器为根结点的最短路径树,并下发流表项到相应交换机,同时为控制网络上的链路计算备份路径,并下发组表项到对应交换机。Further, in the step 101, the SDN controller uses the LLDP protocol to grasp the global topology information, uses the Dijkstra algorithm to calculate the shortest path tree with the SDN controller as the root node, and issues the flow entry to the corresponding switch. Links on the network calculate backup paths and deliver group entries to the corresponding switches.
进一步的,所述步骤102链路故障的检测是在交换机中加入BFD协议,通Further, the detection of the link failure in the step 102 is to add the BFD protocol to the switch,
过在节点之间周期性的发送检测报文来检测链路状态。The link status is detected by periodically sending detection packets between nodes.
进一步的,所述步骤103根据当前的网络拓扑和时延权重计算出源目的节点间的前K条最短路径具体包括:首先计算出故障链路上游节点s到目的节点t的最短路径,并求出该路径的时延权值;然后,依次去掉最短路径上的链路后求得次短路径和时延权值;最后,对上述路径的时延权值进行排序,得到前K条最短路径作为备选路径。Further, the step 103 to calculate the top K shortest paths between the source and destination nodes according to the current network topology and the delay weight specifically includes: first calculating the shortest path from the upstream node s of the faulty link to the destination node t, and finding the shortest path between the source and destination nodes. Calculate the delay weight of the path; then, remove the links on the shortest path in turn to obtain the next-shortest path and the delay weight; finally, sort the delay weights of the above paths to obtain the top K shortest paths as an alternative path.
进一步的,所述步骤104的定义链路费用函数和路径消耗率,链路费用函数由链路利用率进行度量,即Further, the link cost function and the path consumption rate are defined in the step 104, and the link cost function is measured by the link utilization rate, that is,
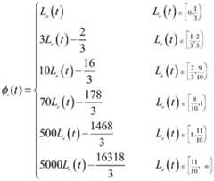
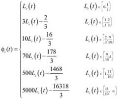
其中,链路利用率链路负载loadi,j(t)通过控制器实时监测交换机各端口和链路流量信息获得,φe(t)表示网络中链路利用率越高,则链路费用越高;Among them, the link utilization The link load loadi,j (t) is obtained by the controller monitoring each port and link traffic information of the switch in real time, φe (t) means that the higher the link utilization rate in the network, the higher the link cost;
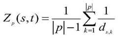
路径(s,t)的资源消耗率为即:The resource consumption rate of path (s,t) is which is:
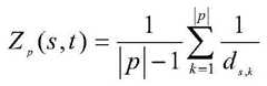
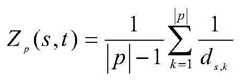
其中,Zp(s,t)表示路径(s,t)的效率,为节点s到路径(s,t)上其他节点的距离倒数之和的平均值,|p|表示路径上节点的数量,ds,k表示节点s到节点k的距离,用跳数来表示。Among them, Zp (s, t) represents the efficiency of the path (s, t), which is the average of the reciprocal sums of distances from node s to other nodes on the path (s, t), and |p| represents the number of nodes on the path , ds, k represents the distance from node s to node k, which is represented by the number of hops.
进一步的,所述步骤105定义目标函数为P,表示如下:Further, the step 105 defines the objective function as P, which is expressed as follows:
其中,在计算恢复路径时可通过调节系数α来决定恢复路径的费用和资源消耗率的权重,α的取值区间为[0,1]。Among them, when calculating the restoration path, the weight of the cost of the restoration path and the resource consumption rate can be determined by adjusting the coefficient α, and the value interval of α is [0, 1].
本发明的优点及有益效果如下:The advantages and beneficial effects of the present invention are as follows:
本发明提供的链路故障恢复方法,首先,初始化网络拓扑,生成控制网络及其链路的备份路径;然后,一旦链路发生故障,交换机将故障信息发送至控制器,并触发交换机向控制器反馈网络的实时流量信息,控制器对网络拓扑和流量信息进行更新;最后,根据当前的网络拓扑和流量信息,计算出链路的费用之和以及路径的资源消耗,以此选取最佳的恢复路径,控制器下发相关的流表项到对应交换机中,实现链路故障的恢复。In the link failure recovery method provided by the present invention, firstly, the network topology is initialized, and a backup path for the control network and its links is generated; then, once the link fails, the switch sends the fault information to the controller, and triggers the switch to report to the controller. Feedback the real-time traffic information of the network, and the controller updates the network topology and traffic information; finally, according to the current network topology and traffic information, the sum of the cost of the link and the resource consumption of the path are calculated to select the best recovery The controller delivers the relevant flow entry to the corresponding switch to implement link failure recovery.
本发明在带内控制网络中,针对控制流采用备份路径进行恢复,对数据流采用自适应恢复,实现在故障恢复时链路资源的合理分配,提高网络整体性能。具体创新体现在步骤103、104和105对数据流的恢复路径计算上。In the in-band control network, the invention adopts a backup path to restore the control flow, and adopts self-adaptive restoration to the data flow, so as to realize the reasonable allocation of link resources during fault recovery, and improve the overall performance of the network. The specific innovation is embodied in the calculation of the recovery path of the data stream in steps 103, 104 and 105.
附图说明Description of drawings
图1是本发明提供优选实施例流程示意图;Fig. 1 is the schematic flow chart of the preferred embodiment provided by the present invention;
图2为根据本发明实施例提供的自定义网络拓扑图;2 is a custom network topology diagram provided according to an embodiment of the present invention;
图3为本发明的整体架构;Fig. 3 is the overall structure of the present invention;
图4为三种组合的平均带宽利用率情况;Figure 4 shows the average bandwidth utilization of the three combinations;
图5为对比三种算法对自定义网络拓扑中链路负载变化情况。Figure 5 compares the three algorithms to the change of link load in the custom network topology.
具体实施方式Detailed ways
下面将结合本发明实施例中的附图,对本发明实施例中的技术方案进行清楚、详细地描述。所描述的实施例仅仅是本发明的一部分实施例。The technical solutions in the embodiments of the present invention will be described clearly and in detail below with reference to the accompanying drawings in the embodiments of the present invention. The described embodiments are only some of the embodiments of the invention.
本发明解决上述技术问题的技术方案是:The technical scheme that the present invention solves the above-mentioned technical problems is:
本实施例选择Mininet仿真平台来进行系统的功能测试,采用基于Python编程语言的Ryu控制器来实现本发明设计的各功能模块,扩展了OpenvSwitch的功能用于链路故障的检测。In this embodiment, the Mininet simulation platform is selected to perform the function test of the system, and the Ryu controller based on the Python programming language is used to realize the functional modules designed by the present invention, and the function of OpenvSwitch is extended for the detection of link faults.
本发明的技术方案如图1所示:The technical scheme of the present invention is shown in Figure 1:
第一步,控制器利用LLDP协议掌握全局拓扑信息,采用Dijkstra算法计算出以控制器为根结点的最短路径树,并下发流表项到对应交换机。同时为控制网络上的链路计算备份路径,并下发组表项到对应交换机。In the first step, the controller uses the LLDP protocol to grasp the global topology information, uses the Dijkstra algorithm to calculate the shortest path tree with the controller as the root node, and delivers flow entries to the corresponding switches. At the same time, it calculates the backup path for the link on the control network, and sends the group entry to the corresponding switch.
第二步,在交换机中加入BFD协议,通过在节点之间周期性的发送检测报文来检测链路状态。当链路故障发生,若故障链路属于控制网络,将影响控制流的传输,需要交换机使用fast failover组表切换转发路径,恢复控制流的传输。In the second step, the BFD protocol is added to the switch, and the link status is detected by periodically sending detection packets between nodes. When a link failure occurs, if the faulty link belongs to the control network, the transmission of the control flow will be affected. The switch needs to use the fast failover group table to switch the forwarding path and restore the transmission of the control flow.
第三步,首先计算出故障链路上游节点s到目的节点t的最短路径,并求出该路径的时延权值;然后,依次去掉最短路径上的链路后求得次短路径和时延权值;最后,对上述路径的时延权值进行排序,得到前K条最短路径作为备选路径。在本实施例中,取K=3,图2为本发明的仿真拓扑图The third step is to first calculate the shortest path from the upstream node s of the faulty link to the destination node t, and obtain the delay weight of the path; then, remove the links on the shortest path in turn to obtain the next-shortest path and time Delay weights; finally, sort the delay weights of the above paths to obtain the top K shortest paths as alternative paths. In this embodiment, K=3 is taken, and FIG. 2 is a simulation topology diagram of the present invention
第四步,定义链路费用函数和路径消耗率,链路费用函数由链路利用率进行度量,即The fourth step is to define the link cost function and the path consumption rate. The link cost function is measured by the link utilization rate, namely
其中,链路利用率链路负载loadi,j(t)通过控制器实时监测交换机各端口和链路流量信息获得。φe(t)表示网络中链路利用率越高,则链路费用越高,而对于过载的链路给予惩罚性的高费用,以便实现网络的负载均衡,避免网络拥塞的发生。Among them, the link utilization The link load loadi,j (t) is obtained by the controller monitoring the switch ports and link traffic information in real time. φe (t) indicates that the higher the link utilization rate in the network, the higher the link cost, and the punitive high cost is given to the overloaded link in order to achieve network load balance and avoid the occurrence of network congestion.
路径(s,t)的资源消耗率为即:The resource consumption rate of path (s,t) is which is:
其中,Zp(s,t)表示路径(s,t)的效率,为节点s到路径(s,t)上其他节点的距离倒数之和的平均值。|p|表示路径上节点的数量,ds,k表示节点s到节点k的距离,用跳数来表示。Among them, Zp (s, t) represents the efficiency of the path (s, t), which is the average value of the sum of the reciprocals of the distances from node s to other nodes on the path (s, t). |p| represents the number of nodes on the path, ds, k represents the distance from node s to node k, which is represented by the number of hops.
第五步,综合考虑了恢复路径当前链路的负载情况和可能消耗的网络资源,以保障在故障恢复时网络的整体性能,将可用路径的链路费用和与资源消耗率加权求和之后对路径进行评估,定义目标函数为P,表示如下:The fifth step is to comprehensively consider the load of the current link of the recovery path and the network resources that may be consumed to ensure the overall performance of the network during fault recovery. The path is evaluated, and the objective function is defined as P, which is expressed as follows:
其中,在计算恢复路径时可通过调节系数α来决定恢复路径的费用和资源消耗率的权重,α的取值区间为[0,1]。本实施例取α=0.5。Among them, when calculating the restoration path, the weight of the cost of the restoration path and the resource consumption rate can be determined by adjusting the coefficient α, and the value interval of α is [0, 1]. This embodiment takes α=0.5.
图3表示本发明所提故障恢复系统的整体架构,主要包括拓扑发现模块,用于初始化时获取整个网络拓扑;链路信息集模块用于获取交换机端口的实时状态消息,为计算恢复路径提供数据支持;链路故障检测模块,用于对链路故障进行及时检测,向控制器发送故障消息;路径计算模块,用于控制器在接收到链路故障消息后,根据获取到的实时网络状态对故障链路计算恢复路径。Fig. 3 shows the overall architecture of the fault recovery system proposed by the present invention, which mainly includes a topology discovery module, which is used to obtain the entire network topology during initialization; the link information set module is used to obtain real-time status messages of switch ports and provide data for calculating recovery paths. Support; the link fault detection module is used to detect the link fault in time and send the fault message to the controller; the path calculation module is used for the controller to detect the link fault according to the acquired real-time network status after receiving the link fault message. The failed link calculates the recovery path.
图4将控制流和数据流与Protection和Restoration这两种故障恢复机制进行组合测试。主要测试下面三种组合:控制流和数据流都采用Restoration机制(C-rest,D-rest);控制流采用Protection机制和数据流采用Restoration机制(C-prot,D-rest);控制流和数据流都采用Protection机制(C-prot,D-prot)。在实验中,依次增大h1的流量发送速率,从0.5Mbps到4.5Mbps测试9组数据,计算网络的平均带宽利用率,实验结果如图4所示。流量发送速率为0.5到2Mbps时,虽然(C-prot,D-rest)组合的平均带宽利用率小于(C-prot,D-prot)组合,但是差距较小。随着流量发送速率的增大,(C-prot,D-rest)组合的平均带宽利用率优于(C-prot,D-prot)组合,且差距逐渐增大。这是由于随着发送速率的增大,网络会发生拥塞,再加上链路故障的发生,(C-prot,D-prot)组合会导致丢包数量急剧上升,从而影响网络的平均链路利用率,而(C-prot,D-rest)组合能够根据链路负载情况选择恢复路径,从而降低了网络拥塞的发生。(C-rest,D-rest)组合由于需要较长的恢复时间,其平均链路利用率一直低于(C-prot,D-rest)组合。Figure 4 tests the control flow and data flow in combination with the two failure recovery mechanisms, Protection and Restoration. The following three combinations are mainly tested: Restoration mechanism (C-rest, D-rest) is used for both control flow and data flow; Protection mechanism is used for control flow and Restoration mechanism is used for data flow (C-prot, D-rest); Control flow and The data flow adopts the Protection mechanism (C-prot, D-prot). In the experiment, the traffic transmission rate of h1 is increased in turn, 9 groups of data are tested from 0.5Mbps to 4.5Mbps, and the average bandwidth utilization rate of the network is calculated. The experimental results are shown in Figure 4. When the traffic transmission rate is 0.5 to 2 Mbps, although the average bandwidth utilization of the (C-prot, D-rest) combination is smaller than that of the (C-prot, D-prot) combination, the gap is smaller. As the traffic transmission rate increases, the average bandwidth utilization of the (C-prot, D-rest) combination is better than that of the (C-prot, D-prot) combination, and the gap gradually increases. This is because with the increase of the sending rate, the network will be congested, coupled with the occurrence of link failure, the combination of (C-prot, D-prot) will lead to a sharp increase in the number of lost packets, thus affecting the average link of the network. utilization, and the combination of (C-prot, D-rest) can select a recovery path according to the link load, thereby reducing the occurrence of network congestion. The average link utilization of the (C-rest, D-rest) combination is always lower than that of the (C-prot, D-rest) combination due to the longer recovery time required.
图5是通过与目前常用的故障恢复方案(FRA)和考虑负载的故障恢复方案(CNV)进行对比,验证本发明提出的CA-FC算法性能。图5中BL为故障发生前各链路的带宽利用率。由图5(a)可以看出,在主路径上的链路<S1,S3>(2号链路)故障后,本发明所提算法CA-FC选取与FRA相同的备份路径(S1-S2-S5-S8),CNV通过对流进行分类传输,很好的均衡了带宽利用率较高链路上的流量。图5(b)在备份链路<S2,S5>上注入大量额外数据流,模拟高负载情况。从图5(b)可以看出,2号链路发生故障后,FRA配置的备份路径(S1-S2-S5-S8)上的4号链路利用率达到0.9,而其他链路的带宽利用率却不足0.1。CNV除了4号链路的带宽利用率增加外,其他链路与图5(a)变化不大。本发明提出的算法CA-FC,在4号链路高负载的情况下,根据实时网络状况选取的备份路径为(S1-S4-S7-S8)。FIG. 5 verifies the performance of the CA-FC algorithm proposed by the present invention by comparing with the commonly used fault recovery scheme (FRA) and the load-considered fault recovery scheme (CNV). In Figure 5, BL is the bandwidth utilization rate of each link before the fault occurs. As can be seen from Figure 5(a), after the link <S1, S3> (No. 2 link) on the main path fails, the algorithm CA-FC proposed in the present invention selects the same backup path (S1-S2) as FRA. -S5-S8), CNV classifies and transmits the flow, which well balances the traffic on the link with high bandwidth utilization. Figure 5(b) injects a large amount of extra data flow on the backup link <S2, S5> to simulate a high load situation. As can be seen from Figure 5(b), after
以上这些实施例应理解为仅用于说明本发明而不用于限制本发明的保护范围。在阅读了本发明的记载的内容之后,技术人员可以对本发明作各种改动或修改,这些等效变化和修饰同样落入本发明权利要求所限定的范围。The above embodiments should be understood as only for illustrating the present invention and not for limiting the protection scope of the present invention. After reading the contents of the description of the present invention, the skilled person can make various changes or modifications to the present invention, and these equivalent changes and modifications also fall within the scope defined by the claims of the present invention.
| Application Number | Priority Date | Filing Date | Title |
|---|---|---|---|
| CN201710384178.4ACN107302496B (en) | 2017-05-26 | 2017-05-26 | Software defined network link failure recovery method based on in-band control |
| Application Number | Priority Date | Filing Date | Title |
|---|---|---|---|
| CN201710384178.4ACN107302496B (en) | 2017-05-26 | 2017-05-26 | Software defined network link failure recovery method based on in-band control |
| Publication Number | Publication Date |
|---|---|
| CN107302496A CN107302496A (en) | 2017-10-27 |
| CN107302496Btrue CN107302496B (en) | 2020-03-17 |
| Application Number | Title | Priority Date | Filing Date |
|---|---|---|---|
| CN201710384178.4AActiveCN107302496B (en) | 2017-05-26 | 2017-05-26 | Software defined network link failure recovery method based on in-band control |
| Country | Link |
|---|---|
| CN (1) | CN107302496B (en) |
| Publication number | Priority date | Publication date | Assignee | Title |
|---|---|---|---|---|
| CN107483109B (en)* | 2017-08-09 | 2020-04-24 | 天津大学 | Method for rapidly positioning fault in data center network |
| CN108092895B (en)* | 2017-12-26 | 2020-07-14 | 重庆邮电大学 | A software-defined network joint routing and network function deployment method |
| CN108075825B (en)* | 2018-01-24 | 2020-06-30 | 大连大学 | SDN-based multi-controller failure processing method for space-based information network |
| CN109980647B (en)* | 2018-12-20 | 2020-08-04 | 广东电网有限责任公司 | Power distribution network fault load transfer power supply and recovery method |
| CN109768924B (en)* | 2019-02-14 | 2021-06-08 | 山东省计算中心(国家超级计算济南中心) | A multi-stream coexistence-oriented SDN network multi-link fault recovery method and system |
| CN110034955B (en)* | 2019-03-26 | 2022-03-22 | 重庆邮电大学 | A Target Controller Selection Method Considering Multiple Switch Migration Indicators |
| CN109981493B (en)* | 2019-04-09 | 2020-05-01 | 苏州浪潮智能科技有限公司 | Method and device for configuring virtual machine network |
| CN110113258B (en)* | 2019-04-23 | 2024-03-26 | 北京全路通信信号研究设计院集团有限公司 | Method and system for automatically protecting data surface link by using control surface link |
| CN110753054A (en)* | 2019-10-25 | 2020-02-04 | 电子科技大学 | An anonymous communication method based on SDN |
| CN114531390B (en)* | 2020-11-06 | 2025-03-18 | 南京中兴新软件有限责任公司 | A method, system and electronic device for restoring topological resources |
| CN112564964B (en)* | 2020-12-04 | 2022-06-24 | 中国石油大学(华东) | Fault link detection and recovery method based on software defined network |
| CN113709030B (en)* | 2021-08-27 | 2024-04-23 | 新华三大数据技术有限公司 | Control method and device for network traffic and electronic equipment |
| CN113839886B (en)* | 2021-09-18 | 2023-04-18 | 北京邮电大学 | Fault processing method and device for photoelectric hybrid switching network, electronic equipment and medium |
| CN115865833A (en)* | 2022-11-15 | 2023-03-28 | 国网宁夏电力有限公司信息通信公司 | Power service access system and access method based on terminal resource scheduling |
| CN116633842A (en)* | 2023-04-26 | 2023-08-22 | 阿里巴巴(中国)有限公司 | Method for controlling a plurality of gateway devices, controller and data transmission system |
| Publication number | Priority date | Publication date | Assignee | Title |
|---|---|---|---|---|
| CN103763207A (en)* | 2014-01-29 | 2014-04-30 | 杭州华三通信技术有限公司 | In-band control connection establishment method and device in SDN |
| CN103986651A (en)* | 2014-05-30 | 2014-08-13 | 杭州华三通信技术有限公司 | SDN controller and control method thereof |
| EP2782291A1 (en)* | 2013-03-20 | 2014-09-24 | Wolting Holding B.V. | Compiler for and method of software defined networking |
| Publication number | Priority date | Publication date | Assignee | Title |
|---|---|---|---|---|
| EP2782291A1 (en)* | 2013-03-20 | 2014-09-24 | Wolting Holding B.V. | Compiler for and method of software defined networking |
| CN103763207A (en)* | 2014-01-29 | 2014-04-30 | 杭州华三通信技术有限公司 | In-band control connection establishment method and device in SDN |
| CN103986651A (en)* | 2014-05-30 | 2014-08-13 | 杭州华三通信技术有限公司 | SDN controller and control method thereof |
| Publication number | Publication date |
|---|---|
| CN107302496A (en) | 2017-10-27 |
| Publication | Publication Date | Title |
|---|---|---|
| CN107302496B (en) | Software defined network link failure recovery method based on in-band control | |
| CN105379196B (en) | Method, system and computer storage medium for the routing of fault-tolerant and load balance | |
| CN107959633B (en) | A Price Mechanism-Based Multipath Load Balancing Method in Industrial Real-Time Networks | |
| Petale et al. | Link failure recovery mechanism in software defined networks | |
| Kanagevlu et al. | SDN controlled local re-routing to reduce congestion in cloud data center | |
| Lee et al. | Path layout planning and software based fast failure detection in survivable OpenFlow networks | |
| CN109768924B (en) | A multi-stream coexistence-oriented SDN network multi-link fault recovery method and system | |
| CN106411733A (en) | SDN dynamic load balanced scheduling method based on real-time load of link | |
| CN108600102A (en) | A kind of flexible data Transmission system in the contract network based on wisdom | |
| CN106533960A (en) | Data center network routing method based on Fat-Tree structure | |
| CN106411766A (en) | Flow scheduling system and method based on SDN | |
| CN106209621A (en) | The link failure recovery method of qos constraint | |
| Cui et al. | Difs: Distributed flow scheduling for data center networks | |
| CN106209669A (en) | Towards SDN data center network maximum of probability path stream scheduling method and device | |
| CN103841040A (en) | Network system and load balance method | |
| CN106209615B (en) | A kind of Dynamic Route Control method and system calculating forward-path based on SPFA algorithm | |
| CN105634823A (en) | Method for recovering fault of data center network based on multi-routing configuration | |
| CN103051546A (en) | Delay scheduling-based network traffic conflict prevention method and delay scheduling-based network traffic conflict prevention system | |
| KR20180122513A (en) | Method and framework for traffic engineering in network hypervisor of sdn-based network virtualization platform | |
| Vanamoorthy et al. | Congestion-free transient plane (CFTP) using bandwidth sharing during link failures in SDN | |
| Cevher et al. | Multi topology routing based IP fast re-route for software defined networks | |
| Fatmi et al. | Distributed multipath routing for data center networks based on stochastic traffic modeling | |
| Menth et al. | Robust IP link costs for multilayer resilience | |
| Huynh et al. | Cross-over spanning trees enhancing metro ethernet resilience and load balancing | |
| Braun et al. | Load-dependent flow splitting for traffic engineering in resilient OpenFlow networks |
| Date | Code | Title | Description |
|---|---|---|---|
| PB01 | Publication | ||
| PB01 | Publication | ||
| SE01 | Entry into force of request for substantive examination | ||
| SE01 | Entry into force of request for substantive examination | ||
| GR01 | Patent grant | ||
| GR01 | Patent grant |