





技术领域technical field
本发明涉及图像处理技术领域,尤其涉及一种逆光场景的人脸区域处理方法和装置。The present invention relates to the technical field of image processing, and in particular, to a method and device for processing a face region of a backlight scene.
背景技术Background technique
通常,在拍照时,如果用户人脸位于光源和摄像头之间,会导致被摄用户人脸曝光不充分,出现逆光的效果。而在该逆光场景下拍摄的用户的人脸图像中,亮度非常低,用户人脸较黑暗,面试细节较为模糊。Usually, when taking a photo, if the user's face is located between the light source and the camera, the exposure of the user's face to be photographed will be insufficient, resulting in a backlight effect. However, in the user's face image captured in this backlight scene, the brightness is very low, the user's face is dark, and the interview details are blurred.
相关技术中,为了提高逆光场景下的人脸亮度,把感光度ISO拉得很高,以通过增强对光灵敏度来提高人脸区域亮度,然而,ISO拉高后,噪声也会很大,降噪程度也会增强,从而会导致整张画面过亮,且降噪过强,往往会导致人像肤色变淡,没有血色,图像显示的视觉效果较差。In the related art, in order to improve the brightness of the face in the backlight scene, the ISO is raised very high to improve the brightness of the face area by enhancing the sensitivity to light. The noise level will also increase, which will cause the whole picture to be too bright, and the noise reduction will be too strong, which often leads to lighter skin tones, no blood, and poor visual effect of the image display.
发明内容SUMMARY OF THE INVENTION
本发明提供一种逆光场景的人脸区域处理方法和装置,以解决现有技术中,在逆光场景下,仅仅提高人脸区域的亮度,导致降噪强度增加而造成的人脸区域肤色惨白的技术问题。The present invention provides a method and device for processing a face area in a backlight scene, so as to solve the problem of pale skin color in the face area caused by the increase in noise reduction intensity caused by only increasing the brightness of the face area in the backlight scene in the prior art. technical problem.
本发明实施例提供一种逆光场景的人脸区域处理方法,包括:当检测到逆光场景,对当前拍摄画面分离出前景和逆光背景;对所述前景进行亮度提升处理,并确定所述前景中的人脸区域;调整预设的与所述逆光场景对应的CCM模型参数提高所述人脸区域的饱和度。An embodiment of the present invention provides a method for processing a face area of a backlit scene, including: when a backlit scene is detected, separating a foreground and a backlit background from a current shooting picture; performing brightness enhancement processing on the foreground, and determining whether the foreground is in the foreground. face area; adjust the preset CCM model parameters corresponding to the backlight scene to improve the saturation of the face area.
本发明另一实施例提供一种逆光场景的人脸区域处理装置,包括:分离模块,用于当检测到逆光场景,对当前拍摄画面分离出前景和逆光背景;亮度提升模块,用于对所述前景进行亮度提升处理;确定模块,用于确定所述前景中的人脸区域;调整模块,用于调整预设的与所述逆光场景对应的CCM模型参数提高所述人脸区域的饱和度。Another embodiment of the present invention provides a face area processing device for a backlight scene, including: a separation module for separating a foreground and a backlight background from a current shooting picture when a backlight scene is detected; a brightness enhancement module for The foreground is subjected to brightness enhancement processing; a determination module is used to determine the face area in the foreground; an adjustment module is used to adjust the preset CCM model parameters corresponding to the backlight scene to improve the saturation of the face area .
本发明又一实施例提供一种终端设备,包括以下一个或多个组件:壳体和位于所述壳体内的处理器、存储器,其中,所述处理器通过读取所述存储器中存储的可执行程序代码来运行与所述可执行程序代码对应的程序,以用于执行如本发明第一方面实施例所述的逆光场景的人脸区域处理方法。Yet another embodiment of the present invention provides a terminal device, including one or more of the following components: a casing, a processor and a memory located in the casing, wherein the processor reads the available data stored in the memory by reading The program code is executed to run a program corresponding to the executable program code, so as to execute the method for processing a face region of a backlight scene according to the embodiment of the first aspect of the present invention.
本发明还一实施例提供一种非临时性计算机可读存储介质,其上存储有计算机程序,该计算机程序被处理器执行时实现如本发明第一方面实施例所述的逆光场景的人脸区域处理方法。Another embodiment of the present invention provides a non-transitory computer-readable storage medium on which a computer program is stored, and when the computer program is executed by a processor, realizes the face of the backlight scene according to the embodiment of the first aspect of the present invention area processing method.
本发明实施例提供的技术方案可以包括以下有益效果:The technical solutions provided by the embodiments of the present invention may include the following beneficial effects:
当检测到逆光场景,对当前拍摄画面分离出前景和逆光背景,对前景进行亮度提升处理,并确定前景中的人脸区域,调整预设的与逆光场景对应的CCM模型参数提高所述人脸区域的饱和度。由此,在调高处于逆光情况下的人脸区域图像时,避免了人脸肤色变淡而没有血色的问题,在提升图像质量的同时,避免对顺光区域的负面影响,保证了图像显示的视觉效果。When a backlight scene is detected, the foreground and the backlight background are separated from the current shooting picture, the brightness of the foreground is improved, and the face area in the foreground is determined, and the preset CCM model parameters corresponding to the backlight scene are adjusted to improve the face. Saturation of the region. As a result, when the image of the face area in the backlight situation is raised, the problem that the skin color of the face becomes pale without blood color is avoided, and the image quality is improved, and the negative impact on the bright area is avoided, and the image display is guaranteed. visual effects.
本发明附加的方面和优点将在下面的描述中部分给出,部分将从下面的描述中变得明显,或通过本发明的实践了解到。Additional aspects and advantages of the present invention will be set forth, in part, from the following description, and in part will be apparent from the following description, or may be learned by practice of the invention.
附图说明Description of drawings
本发明上述的和/或附加的方面和优点从下面结合附图对实施例的描述中将变得明显和容易理解,其中,The above and/or additional aspects and advantages of the present invention will become apparent and readily understood from the following description of embodiments taken in conjunction with the accompanying drawings, wherein:
图1是根据本发明一个实施例的逆光场景的人脸区域处理方法的流程图;1 is a flowchart of a method for processing a face region of a backlight scene according to an embodiment of the present invention;
图2是根据本发明一个实施例的逆光拍摄场景示意图;2 is a schematic diagram of a backlight shooting scene according to an embodiment of the present invention;
图3(a)是根据本发明一个实施例的对当前拍摄画面图像处理前效果示意图;FIG. 3(a) is a schematic diagram of the effect before processing the current captured image according to an embodiment of the present invention;
图3(b)是根据本发明一个实施例的对当前拍摄画面人脸区域亮度提升后效果示意图;FIG. 3(b) is a schematic diagram of the effect of enhancing the brightness of the face area of the current shooting screen according to an embodiment of the present invention;
图3(c)是根据本发明一个实施例的对当前拍摄画面饱和度提高后的效果示意图;FIG. 3(c) is a schematic diagram of the effect of increasing the saturation of the current shooting image according to an embodiment of the present invention;
图4是根据本发明另一个实施例的逆光场景的人脸区域处理方法的流程图;4 is a flowchart of a method for processing a face region of a backlight scene according to another embodiment of the present invention;
图5是根据本发明一个实施例的逆光场景的人脸区域处理装置的结构示意图;5 is a schematic structural diagram of an apparatus for processing a face region of a backlight scene according to an embodiment of the present invention;
图6是根据本发明另一个实施例的逆光场景的人脸区域处理装置的结构示意图;6 is a schematic structural diagram of an apparatus for processing a face region of a backlight scene according to another embodiment of the present invention;
图7是根据本发明又一个实施例的逆光场景的人脸区域处理装置的结构示意图;以及7 is a schematic structural diagram of an apparatus for processing a face region of a backlight scene according to yet another embodiment of the present invention; and
图8是根据本发明一个实施例的终端设备的结构示意图。FIG. 8 is a schematic structural diagram of a terminal device according to an embodiment of the present invention.
具体实施方式Detailed ways
下面详细描述本发明的实施例,所述实施例的示例在附图中示出,其中自始至终相同或类似的标号表示相同或类似的元件或具有相同或类似功能的元件。下面通过参考附图描述的实施例是示例性的,旨在用于解释本发明,而不能理解为对本发明的限制。The following describes in detail the embodiments of the present invention, examples of which are illustrated in the accompanying drawings, wherein the same or similar reference numerals refer to the same or similar elements or elements having the same or similar functions throughout. The embodiments described below with reference to the accompanying drawings are exemplary, and are intended to explain the present invention and should not be construed as limiting the present invention.
基于以上分析,可以理解的是,相关技术中,如果提高ISO感光度,则图像传感器对光线的敏感度得到提高,在对光线的敏感度一旦提高,那么受到环境干扰而产生的噪声也会增大,为了减小图像中由于噪声而产生的一些无关像素点,针对图像的降噪力度会增加,但是随着降噪力度的增加,会导致图像的一些细节丢失,使得人脸区域面部颜色变淡、没有血色,视觉效果较差。Based on the above analysis, it can be understood that in the related art, if the ISO sensitivity is increased, the sensitivity of the image sensor to light will be improved. Once the sensitivity to light is increased, the noise generated by environmental interference will also increase. Large, in order to reduce some irrelevant pixels in the image due to noise, the noise reduction intensity for the image will increase, but with the increase of the noise reduction intensity, some details of the image will be lost, making the face color in the face area change. Light, no blood, poor visual effect.
为了解决提高人脸亮度与失去面部细节之间的矛盾的技术问题,本发明提出了一种逆光场景的人脸区域处理方法,可以在提高逆光场景下,提升人脸区域的亮度的同时,避免牺牲脸部的细节,使得图像的视觉显示效果较强。In order to solve the technical problem of the contradiction between improving the brightness of the face and losing the details of the face, the present invention proposes a method for processing the face area of the backlight scene, which can improve the brightness of the face area in the backlight scene and avoid the The details of the face are sacrificed to make the visual display of the image stronger.
下面参考附图描述本发明实施例的逆光场景的人脸区域处理方法和装置。The following describes a method and apparatus for processing a face region of a backlight scene according to embodiments of the present invention with reference to the accompanying drawings.
图1是根据本发明一个实施例的逆光场景的人脸区域处理方法的流程图,如图1所示,该方法包括:FIG. 1 is a flowchart of a method for processing a face region of a backlight scene according to an embodiment of the present invention. As shown in FIG. 1 , the method includes:
步骤101,当检测到逆光场景,对当前拍摄画面分离出前景和逆光背景。
可以理解的是,如图2所示,当被摄人物处于光源和摄像头之间时,由于光是沿直线传播的,因此,被摄人物的背面有较强的光线照射而正面光线不足,用户人脸区域较为模糊,用户对画面呈现效果并不满意。It can be understood that, as shown in Figure 2, when the subject is between the light source and the camera, since the light travels in a straight line, there is strong light on the back of the subject and insufficient light on the front. The face area is relatively blurred, and the user is not satisfied with the rendering effect of the screen.
因而,在本实施例中,如果用户不希望改变拍摄方向,则为了针对性的提高人脸区域亮度,可以分离出人脸区域所在位置。Therefore, in this embodiment, if the user does not want to change the shooting direction, in order to improve the brightness of the face region in a targeted manner, the location of the face region can be separated.
具体而言,由于在对拍摄的目标物体聚焦后,在目标物体所在的焦点区域之前和之后一段人眼容许的清晰成像的空间深度范围为景深,其中,在焦点区域之前清晰成像的范围为前景景深,人脸区域所在位置处于前景景深中,在焦点区域之后清晰成像的范围为背景景深,逆光背景处于背景景深中,因而在本实例中,根据景深信息对当前拍摄画面分离出前景和逆光背景。Specifically, after focusing on the photographed target object, the range of spatial depths allowed by the human eye for clear imaging before and after the focal area where the target object is located is the depth of field, wherein the range of clear imaging before the focal area is the foreground Depth of field, the position of the face area is in the foreground depth of field, the clear imaging range after the focus area is the background depth of field, and the backlight background is in the background depth of field. Therefore, in this example, the foreground and the backlight background are separated from the current shot according to the depth of field information. .
需要说明的是,根据具体应用场景的不同,对当前拍摄画面分离出前景和逆光背景的方式不同,举例说明如下:It should be noted that, according to different specific application scenarios, the methods of separating the foreground and the backlight background for the current shooting picture are different. Examples are as follows:
第一种示例:First example:
可获取拍摄的相关参数,以根据拍摄摄像头的公式计算预览画面中焦点区域之外的图像区域的景深信息。The relevant parameters of shooting can be obtained to calculate the depth of field information of the image area outside the focus area in the preview screen according to the formula of the shooting camera.
在本示例中,可获取拍摄摄像头的容许弥散圆直径、光圈值、焦距、对焦距离等参数,从而根据公式:前景景深=(光圈值*容许弥散圆直径*对焦距离的平方)/(焦距的平方+光圈值*容许弥散圆直径*对焦距离)计算出前景景深,已根据前景景深分离出前景,并根据公式背景景深=(光圈值*容许弥散圆直径*对焦距离的平方)/(焦距的平方-光圈值*容许弥散圆直径*对焦距离)计算出逆光背景的景深,进而根据逆光背景的景深分离出逆光背景。In this example, parameters such as the allowable circle of confusion diameter, aperture value, focal length, and focus distance of the camera can be obtained, so that according to the formula: foreground depth of field = (aperture value * allowable circle of confusion diameter * square of focus distance) / (focal length of Square + aperture value * allowable circle of confusion diameter * focus distance) to calculate the foreground depth of field, the foreground has been separated according to the foreground depth of field, and according to the formula background depth of field = (aperture value * allowable circle of confusion diameter * focus distance square) / (focal length of Square - aperture value * allowable circle of confusion diameter * focus distance) to calculate the depth of field of the backlight background, and then separate the backlight background according to the depth of field of the backlight background.
第二种示例:Second example:
根据双摄像头分别获取的当前拍摄画面数据确定焦点区域之外的图像区域的景深地图,根据景深地图确定焦点区域之前的前景景深和焦点区域之后的背景景深,并根据前景景深和背景景深分离出前景和逆光背景。Determine the depth of field map of the image area outside the focus area according to the current captured image data obtained by the dual cameras, determine the foreground depth of field before the focus area and the background depth of field after the focus area according to the depth of field map, and separate the foreground according to the foreground depth of field and the background depth of field. and backlit background.
具体而言,在本示例中,由于两个摄像头的位置并不相同,因而,两个后置摄像头相对与拍摄的目标物体具有一定的角度差和距离差,因此二者获取的预览图像数据也存在一定的相位差。Specifically, in this example, since the positions of the two cameras are not the same, the two rear cameras have a certain angle difference and distance difference with respect to the target object to be photographed, so the preview image data obtained by the two cameras is also different. There is a certain phase difference.
举例而言,对于拍摄目标物体上的A点,在摄像头1的预览图像数据中,A点对应的像素点坐标为(30,50),而在摄像头2的预览图像数据中,A点对应的像素点坐标为(30,48),A点在两个预览图像数据中对应的像素点的相位差为50-48=2。For example, for point A on the shooting target object, in the preview image data of camera 1, the coordinates of the pixel corresponding to point A are (30, 50), while in the preview image data of camera 2, the corresponding pixel coordinates of point A are The coordinates of the pixel point are (30, 48), and the phase difference of the corresponding pixel point of point A in the two preview image data is 50-48=2.
在本示例中,可预先根据实验数据或者摄像头参数建立景深信息与相位差的关系,进而,可根据预览图像中各图像点在两个摄像头获取的预览图像数据中的相位差查找对应的景深信息。In this example, the relationship between the depth of field information and the phase difference can be established in advance according to the experimental data or camera parameters, and further, the corresponding depth of field information can be searched according to the phase difference of each image point in the preview image in the preview image data obtained by the two cameras .
举例来说,对于上述A点对应的相位差2,如果根据预设的对应关系查询到对应的景深为5米,则预览画面中A点对应的景深信息为5米。由此,可得到当前预览画面中每个像素点的景深信息,即获取焦点区域之外的图像区域的景深地图。For example, for the above-mentioned phase difference 2 corresponding to point A, if the corresponding depth of field is 5 meters according to the preset correspondence query, the depth of field information corresponding to point A in the preview screen is 5 meters. In this way, the depth of field information of each pixel in the current preview image can be obtained, that is, the depth of field map of the image area other than the focus area can be obtained.
进而,在得到焦点区域之外的图像区域的景深地图后,可进一步确定焦点区域之前的图像区域的前景景深信息,以及焦点区域之后的背景景深信息,从而,根据景深地图确定焦点区域之前的前景景深和焦点区域之后的背景景深,并根据前景景深和背景景深分离出前景和逆光背景。Furthermore, after obtaining the depth-of-field map of the image area outside the focus area, the foreground depth-of-field information of the image area before the focus area and the background depth-of-field information after the focus area can be further determined, so that the foreground before the focus area is determined according to the depth-of-field map The depth of field and the background depth of field behind the focus area, and the foreground and backlit background are separated according to the foreground depth of field and the background depth of field.
步骤102,对前景进行亮度提升处理,并确定前景中的人脸区域。
可以理解的是,逆光场景下的人脸区域和前景中的其他区域亮度均较低,人脸区域相比于其他区域的界限较为模糊,因而,此时对前景进行亮度提升处理,此时不但提高了人脸区域的亮度,使得人脸清晰可见,而且使得人脸区域相比于其他区域的界限较为清晰,便于提取出人脸区域,以针对人脸区域进行进一步处理。It can be understood that the brightness of the face area in the backlight scene and other areas in the foreground are low, and the boundaries of the face area are blurred compared to other areas. Therefore, at this time, the brightness enhancement process is performed on the foreground. The brightness of the face region is improved, so that the face is clearly visible, and the boundary of the face region is clearer than other regions, which facilitates the extraction of the face region for further processing of the face region.
其中,在不同的应用场景下,可采用不同的实现方式实现对前景中的人脸区域的确定,举例说明如下:Among them, in different application scenarios, different implementation methods can be used to realize the determination of the face area in the foreground, and examples are as follows:
第一种示例:First example:
前景中人脸区域和其他区域的颜色是不一样的,人脸区域为肤色等人体颜色,而其他区域为其他与人脸区域的颜色不同的其他景物的颜色,因此,可以通过颜色通道检测算法,识别出肤色所在区域以根据肤色所涵盖的区域确定前景中人脸区域的轮廓边缘。The color of the face area in the foreground is different from other areas. The face area is the color of the human body such as skin color, while the other area is the color of other scenes that are different from the color of the face area. Therefore, the color channel detection algorithm can be used. , identify the area where the skin color is located to determine the contour edge of the face area in the foreground according to the area covered by the skin color.
第二种示例:Second example:
由于图像边缘具有不连续性,比如灰度级的突变,颜色的突变以及纹理结构的突变等,这种边缘存在于物体与背景之间,因此,在本示例中,利用图像边缘的这种特性,通过CANNY算法、小波变换算法等图像边缘检测算法确定前景中人脸区域的轮廓边缘。Due to the discontinuity of the image edge, such as the sudden change of gray level, the sudden change of color and the sudden change of texture structure, this edge exists between the object and the background. Therefore, in this example, this characteristic of the image edge is used. , through the CANNY algorithm, wavelet transform algorithm and other image edge detection algorithms to determine the contour edge of the face area in the foreground.
步骤103,调整预设的与逆光场景对应的CCM模型参数提高人脸区域的饱和度。Step 103: Adjust preset CCM model parameters corresponding to the backlight scene to improve the saturation of the face region.
正如以上分析的,当提高人脸区域的亮度时,人脸区域的面部细会丢失从而使得面部苍白失去血色,而面部苍白丢失血色实际上体现在人脸区域饱和度不高上,其中,饱和度是指色彩的鲜艳程度,也称色彩的纯度,人脸区域饱和度取决于人脸区域中含色成分和消色成分(灰色)的比例,含色成分越大,饱和度越大,消色成分越大,饱和度越小。As analyzed above, when the brightness of the face area is increased, the facial fineness in the face area will be lost, so that the pale face loses its blood color, and the loss of blood color in the pale face is actually reflected in the low saturation of the face area. Degree refers to the vividness of the color, also known as the purity of the color. The saturation of the face area depends on the proportion of the color component and the achromatic component (gray) in the face area. The larger the color component, the smaller the saturation.
由此,如果提高面部的饱和度则会提高人脸区域的含色成分,从而使得人脸区域红润有光泽。Therefore, if the saturation of the face is increased, the color components in the face area will be increased, so that the face area will be rosy and shiny.
具体而言,在本发明的实施例中,基于CCM模型参数的调整实现饱和度的调整。Specifically, in the embodiment of the present invention, the adjustment of saturation is realized based on the adjustment of the parameters of the CCM model.
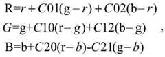
其中,CCM模型(Color Color Matrix,色彩校正矩阵)的计算公式为以下公式(1)所示:Among them, the calculation formula of the CCM model (Color Color Matrix, color correction matrix) is shown in the following formula (1):
其中,CCM之前的像素为CCM之后的像素为Among them, the pixel before CCM is The pixels after CCM are
也就是说,CCM的实现基于一个简单的线性矩阵,在G路中调节R-G、B-G的系数,在R路中调节G-R、B-R的系数,在B路中调节G-B、R-B的系数就可以进行彩色校正以改变画面的色调。其中,CCM模型在进行颜色校正时不应该影响白平衡,由于摄像设备各路增益是按白色平衡条件来调整的,即当摄取白色景物时,三路输出R、G、B的幅度应相等,也就是说校正后的三基色应该保持R=G=B,根据该关系,上述公式(1)中的各个系数的关系如下:因此,CCM之后的像素为可以表示为:基于以上对应关系可知,可以通过改变CCM模型矩阵中对角线上的参数C00、C11、C22的值实现对RGB颜色分配的调整,从而实现对饱和度的调整。That is to say, the implementation of CCM is based on a simple linear matrix. The coefficients of RG and BG are adjusted in the G path, the coefficients of GR and BR are adjusted in the R path, and the coefficients of GB and RB can be adjusted in the B path. Correction to change the color tone of the picture. Among them, the CCM model should not affect the white balance when performing color correction, because the gain of each camera device is adjusted according to the white balance condition, that is, when capturing a white scene, the amplitudes of the three outputs R, G, and B should be equal. That is to say, the corrected three primary colors should keep R=G=B. According to this relationship, the relationship of each coefficient in the above formula (1) is as follows: So the pixel after CCM is It can be expressed as: Based on the above correspondence, it can be known that the adjustment of the RGB color distribution can be realized by changing the values of the parameters C00, C11, and C22 on the diagonal line in the CCM model matrix, thereby realizing the adjustment of the saturation.
然而,在实际应用中,通过CCM模型参数提高整张画面的饱和度的时候,画面中顺光区域的饱和度也得到了提升,从而可能会导致顺光区域的颜色失真等,影响顺光区域的显示效果。However, in practical applications, when the CCM model parameters are used to improve the saturation of the entire picture, the saturation of the smooth light area in the picture is also improved, which may cause color distortion in the smooth light area, etc., affecting the smooth light area. display effect.
因此,在本发明的实施例中,分别检测逆光场景和顺光场景下拍摄物体的饱和度,根据检测结果设置与逆光场景对应的CCM模型参数,调整预设的与逆光场景对应的CCM模型参数提高处于逆光中的人脸区域的饱和度。Therefore, in the embodiment of the present invention, the saturation of the photographed object in the backlit scene and the frontlit scene are detected respectively, the CCM model parameters corresponding to the backlit scene are set according to the detection results, and the preset CCM model parameters corresponding to the backlit scene are adjusted to improve the Saturation of face areas in backlight.
其中,应当理解的是,上述CCM模型参数针对逆光场景进行设置,因而在实际调整过程中,顺光区域的饱和度是不发生改变的,该CCM模型参数的实施,只能对逆光区域中的人脸区域作用,由于CCM模型参数的设置与色温和亮度对画面颜色强相关,因此,为了避免CCM模型参数在实施过程中,对顺光区域发生调整,上述设置与逆光场景对应的CCM模型参数,是基于相同的色温和亮度的逆光场景和顺光场景进行设置的。Among them, it should be understood that the above-mentioned CCM model parameters are set for the backlight scene, so in the actual adjustment process, the saturation of the front light area does not change, and the implementation of the CCM model parameters can only be used in the backlight area. The function of the face area. Since the setting of the CCM model parameters is strongly related to the color temperature and brightness of the picture color, in order to avoid the adjustment of the CCM model parameters to the front light area during the implementation process, the above settings correspond to the CCM model parameters of the backlight scene. , is set based on the same color temperature and brightness of the backlight scene and the front light scene.
需要强调的是,在本发明的实例中,在逆光场景下,采用基于深度信息的方式进行人脸区域的提取,相对于直接人脸识别以获取人脸区域的提取精确度更高,这是由于在逆光场景下,人脸区域的亮度较低,特征不明显,很有可能直接进行面部识别导致识别失败。It should be emphasized that, in the example of the present invention, in the backlight scene, the method based on depth information is used to extract the face area, which is more accurate than the direct face recognition to obtain the face area. In the backlight scene, the brightness of the face area is low and the features are not obvious. It is very likely that the face recognition will fail directly.
由此,本发明实施例的逆光场景的人脸区域处理方法,在提高人脸面部亮度后,基于CCM模型参数的调节实现对人脸区域饱和度的调整,提高人脸区域的含色成分,使得人脸红润有光泽。且基于CCM模型参数进行饱和度调节时,由于CCM模型参数是基于逆光场景设置的,因而,在调整过程中,仅仅针对逆光场景中的人脸区域进行饱和度的调整。即单独为逆光场景,设置一组CCM模型参数,使逆光场景的CCM模型参数与正常场景分开,避免在调试过程中,因增加逆光场景饱和度,对画面中顺光区域的负面影响。Therefore, in the method for processing a face region of a backlight scene according to the embodiment of the present invention, after improving the brightness of the face, the saturation of the face region is adjusted based on the adjustment of the parameters of the CCM model, and the color content of the face region is improved, Makes the face rosy and shiny. And when the saturation is adjusted based on the CCM model parameters, since the CCM model parameters are set based on the backlight scene, in the adjustment process, the saturation adjustment is only performed on the face area in the backlight scene. That is, for the backlight scene alone, set a set of CCM model parameters, so that the CCM model parameters of the backlight scene are separated from the normal scene, so as to avoid the negative impact on the smooth area of the picture due to the increase of the saturation of the backlight scene during the debugging process.
为了更加清楚的体现逆光场景的人脸区域处理流程,下面举例说明,当检测到如图3(a)所示的逆光场景时,对当前拍摄画面分离出前景和逆光背景,进而,对前景进行亮度提升处理,如图3(b)所示,处理后的人脸面部亮度提高,但是面部细节丢失,进而,调整预设的与逆光场景对应的CCM模型参数提高人脸区域的饱和度,则如图3(c)所示,人脸的面部红润后光泽,且亮度得到了提升,同时顺光区域的饱和度没有收到负面影响。In order to more clearly reflect the face area processing flow of the backlight scene, the following example illustrates that when the backlight scene as shown in Figure 3(a) is detected, the foreground and the backlight background are separated from the current shooting picture, and then the foreground is processed. Brightness enhancement processing, as shown in Figure 3(b), the brightness of the processed face is improved, but the facial details are lost. Furthermore, the preset CCM model parameters corresponding to the backlight scene are adjusted to improve the saturation of the face area, then As shown in Figure 3(c), the face of the human face is rosy and shiny, and the brightness is improved, while the saturation of the smooth area is not negatively affected.
综上所述,本发明实施例的逆光场景的人脸区域处理方法,当检测到逆光场景,对当前拍摄画面分离出前景和逆光背景,对前景进行亮度提升处理,并确定前景中的人脸区域,调整预设的与逆光场景对应的CCM模型参数提高所述人脸区域的饱和度。由此,在调高处于逆光情况下的人脸区域图像时,避免了人脸肤色变淡而没有血色的问题,在提升图像质量的同时,避免对顺光区域的负面影响,保证了图像显示的视觉效果。To sum up, according to the method for processing a face region of a backlight scene according to the embodiment of the present invention, when a backlight scene is detected, the foreground and the backlight background are separated from the current shooting picture, the brightness of the foreground is enhanced, and the face in the foreground is determined. area, and adjust the preset CCM model parameters corresponding to the backlight scene to improve the saturation of the face area. As a result, when the image of the face area in the backlight situation is raised, the problem that the skin color of the face becomes pale without blood color is avoided, and the image quality is improved, and the negative impact on the bright area is avoided, and the image display is guaranteed. visual effects.
基于以上实施例,应当理解的是,在不同的应用场景下,由于逆光的环境光线的强度的不同,人脸区域的暗化程度不同,环境光线越强烈,人脸区域越暗,环境光线越不强烈,人脸区域越明亮,人脸区域越暗,失去的面部细节越多,需要提升饱和度程度更高,因此,为了提升提高对人脸区域的饱和度时的处理效果,根据当前环境的逆光强度进行饱和度的调整。Based on the above embodiments, it should be understood that in different application scenarios, the darkening degree of the face area is different due to the difference in the intensity of the ambient light of the backlight. The stronger the ambient light, the darker the face area and the darker the ambient light. Not strong, the brighter the face area, the darker the face area, the more facial details are lost, and the degree of saturation needs to be improved. Therefore, in order to improve the processing effect of increasing the saturation of the face area, according to the current environment Adjust the saturation of the backlight intensity.
如图4所示,上述步骤103包括:As shown in Figure 4, the
步骤201,检测当前场景的逆光强度。
应当理解的是,在拍照时用户背部的光线强度越高,当前场景的逆光强度越高,用户的面部区域所在前景越暗。It should be understood that the higher the light intensity on the user's back when taking pictures, the higher the backlight intensity of the current scene, and the darker the foreground where the user's face area is.
检测当前场景的逆光强度的方式,可根据具体应用场景的不同而不同,比如,获取摄像头模组中感光元件感应到的逆光强度,比如,根据前景的亮度计算逆光强度等。The method of detecting the backlight intensity of the current scene may vary according to the specific application scenario, for example, obtaining the backlight intensity sensed by the photosensitive element in the camera module, for example, calculating the backlight intensity according to the brightness of the foreground, etc.
步骤202,获取与逆光强度对应的增强幅度。
其中,增强幅度对应与饱和度提高幅度,增强幅度越高,饱和度的提高幅度越大,反之,增强幅度越低,饱和度的提高幅度越小。Among them, the enhancement amplitude corresponds to the saturation enhancement amplitude, the higher the enhancement amplitude, the greater the saturation enhancement amplitude, and vice versa, the lower the enhancement amplitude, the smaller the saturation enhancement amplitude.
需要说明的是,根据应用场景的不同,可采用多种不同的实现方式获取与逆光强度对应的增强幅度,作为一种可能的实现方式,预先存储逆光强度与增强幅度的对应关系,从而,在获取逆光强度后,查询上述对应关系,获取对应的增强幅度。作为另一种可能的实现方式,根据逆光强度与增强幅度的关系生成转换函数,从而,在获取逆光强度后,通过该转换函数获取对应的增强幅度。It should be noted that, according to different application scenarios, a variety of different implementation methods can be used to obtain the enhancement amplitude corresponding to the backlight intensity. After the backlight intensity is obtained, the above corresponding relationship is queried to obtain the corresponding enhancement magnitude. As another possible implementation manner, a conversion function is generated according to the relationship between the backlight intensity and the enhancement amplitude, so that after obtaining the backlight intensity, the corresponding enhancement amplitude is obtained through the conversion function.
步骤203,根据增强幅度调整预设的与逆光场景对应的CCM模型参数提高人脸区域的饱和度。Step 203: Adjust preset CCM model parameters corresponding to the backlight scene according to the enhancement magnitude to improve the saturation of the face region.
具体地,根据与当前场景下的逆光强度相一致的增强幅度,调整CCM模型参数以实现对人脸区域对应的饱和度的提高,使得人脸区域的不会出现过饱和或者欠饱和的情况,处理效果较好,该CCM模型参数且仅仅对逆光场景下的人脸区域进行饱和度的提高,避免了对顺光区域的负面影响。Specifically, according to the enhancement range consistent with the backlight intensity in the current scene, the parameters of the CCM model are adjusted to increase the saturation corresponding to the face area, so that the face area will not be over-saturated or under-saturated. The processing effect is good. The CCM model parameters only increase the saturation of the face area in the backlight scene, avoiding the negative impact on the front light area.
当然,在实际应用中,人脸每个部位的肤色也是不同的,比如,通常情况下,人脸脸颊相对于额头较为红润一些等,因而,为了进一步提高处理效果,还可以对人脸区域不同部位确定不同的饱和度系数,以根据不同的饱和系数对人脸区域不同部位实施不同程度的饱和度的调整。Of course, in practical applications, the skin color of each part of the human face is also different. For example, under normal circumstances, the cheeks of the human face are more rosy than the forehead, etc. Therefore, in order to further improve the processing effect, different face regions can also be The parts determine different saturation coefficients, so as to implement different degrees of saturation adjustment for different parts of the face region according to the different saturation coefficients.
具体而言,获取与人脸区域不同部位对应的饱和度调整系数,其中,现实中越红润的部位的饱和度系数越高,进而,根据不同部位对应的饱和度调整系数和增强幅度,计算与不同部位对应的提升幅度,根据与不同部位对应的提升幅度,调整预设的与逆光场景对应的CCM模型参数提高人脸区域对应位置的饱和度。Specifically, the saturation adjustment coefficients corresponding to different parts of the face area are obtained, wherein in reality, the more ruddy parts have higher saturation coefficients. The improvement range corresponding to the part, according to the improvement range corresponding to different parts, adjust the preset CCM model parameters corresponding to the backlight scene to improve the saturation of the corresponding position in the face area.
综上所述,本发明实施例的逆光场景的人脸区域处理方法,根据当前场景的逆光强度确定增强幅度,根据增强幅度调整预设的与逆光场景对应的CCM模型参数提高人脸区域的饱和度。由此,为待处理的人脸区域选择合适的增强幅度进行饱和度的提高,避免人脸区域的过饱和或欠饱和,进一步提升了图像显示的视觉效果。To sum up, in the method for processing a face region of a backlight scene according to the embodiment of the present invention, the enhancement amplitude is determined according to the backlight intensity of the current scene, and the preset CCM model parameters corresponding to the backlight scene are adjusted according to the enhancement amplitude to improve the saturation of the face region. Spend. Therefore, an appropriate enhancement amplitude is selected for the face region to be processed to improve the saturation, so as to avoid over-saturation or under-saturation of the face region, and further improve the visual effect of image display.
为了实现上述实施例,本发明还提出了一种逆光场景的人脸区域处理装置,图5是根据本发明一个实施例的逆光场景的人脸区域处理装置的结构示意图,如图5所示,该逆光场景的人脸区域处理装置包括:分离模块100、亮度提升模块200、确定模块300和调整模块400。In order to realize the above-mentioned embodiment, the present invention also proposes an apparatus for processing a face area of a backlight scene. FIG. 5 is a schematic structural diagram of an apparatus for processing a face area of a backlit scene according to an embodiment of the present invention, as shown in FIG. 5 , The apparatus for processing the face area of the backlight scene includes: a
其中,分离模块100,用于当检测到逆光场景,对当前拍摄画面分离出前景和逆光背景。Wherein, the
在本发明的一个实施例中,如图6所示,分离模块100包括第一获取单元110、确定单元120和分离单元130。In an embodiment of the present invention, as shown in FIG. 6 , the
其中,第一获取单元110,用于根据双摄像头分别获取的当前拍摄画面数据确定焦点区域之外的图像区域的景深地图。The first obtaining unit 110 is configured to determine a depth map of an image area other than the focus area according to the current shooting picture data obtained respectively by the dual cameras.
确定单元120,用于根据所述景深地图确定所述焦点区域之前的前景景深和所述焦点区域之后的背景景深。The determining unit 120 is configured to determine, according to the depth map, a foreground depth of field before the focus area and a background depth of field after the focus area.
分离单元130,用于根据所述前景景深和所述背景景深分离出前景和逆光背景。The separation unit 130 is configured to separate the foreground and the backlight background according to the foreground depth of field and the background depth of field.
亮度提升模块200,用于对前景进行亮度提升处理。The
确定模块300,用于确定前景中的人脸区域。The determining
调整模块400,用于调整预设的与逆光场景对应的CCM模型参数提高人脸区域的饱和度。The
需要说明的是,前述对逆光场景的人脸区域处理方法的解释说明,也适用于本发明实施例的逆光场景的人脸区域处理装置,其实现原理类似,在此不再赘述。It should be noted that the foregoing explanations of the method for processing a face region in a backlight scene are also applicable to the device for processing a face region in a backlight scene according to the embodiment of the present invention, and the implementation principles thereof are similar, which will not be repeated here.
综上所述,本发明实施例的逆光场景的人脸区域处理装置,当检测到逆光场景,对当前拍摄画面分离出前景和逆光背景,对前景进行亮度提升处理,并确定前景中的人脸区域,调整预设的与逆光场景对应的CCM模型参数提高所述人脸区域的饱和度。由此,在调高处于逆光情况下的人脸区域图像时,避免了人脸肤色变淡而没有血色的问题,在提升图像质量的同时,避免对顺光区域的负面影响,保证了图像显示的视觉效果。To sum up, the apparatus for processing a face area of a backlight scene according to the embodiment of the present invention, when a backlight scene is detected, separates the foreground and the backlight background from the current shooting picture, performs brightness enhancement processing on the foreground, and determines the face in the foreground. area, and adjust the preset CCM model parameters corresponding to the backlight scene to improve the saturation of the face area. As a result, when the image of the face area in the backlight situation is raised, the problem that the skin color of the face becomes pale without blood color is avoided, and the image quality is improved, and the negative impact on the bright area is avoided, and the image display is guaranteed. visual effects.
图7是根据本发明又一个实施例的逆光场景的人脸区域处理的结构示意图,如图7所示,在如图5所示的基础上,调整模块400包括检测单元410、第二获取单元420和调整单元430。FIG. 7 is a schematic structural diagram of face region processing in a backlight scene according to another embodiment of the present invention. As shown in FIG. 7 , on the basis of FIG. 5 , the
其中,检测单元410,用于检测当前场景的逆光强度。Among them, the detection unit 410 is used to detect the backlight intensity of the current scene.
第二获取单元420,用于获取与逆光强度对应的增强幅度。The second obtaining unit 420 is configured to obtain the enhancement magnitude corresponding to the backlight intensity.
调整单元430,用于根据增强幅度调整预设的与逆光场景对应的CCM模型参数提高人脸区域的饱和度。The adjustment unit 430 is configured to adjust the preset CCM model parameters corresponding to the backlight scene according to the enhancement magnitude to improve the saturation of the face region.
需要说明的是,前述对逆光场景的人脸区域处理方法的解释说明,也适用于本发明实施例的逆光场景的人脸区域处理装置,其实现原理类似,在此不再赘述。It should be noted that the foregoing explanations of the method for processing a face region in a backlight scene are also applicable to the device for processing a face region in a backlight scene according to the embodiment of the present invention, and the implementation principles thereof are similar, which will not be repeated here.
综上所述,本发明实施例的逆光场景的人脸区域处理装置,根据当前场景的逆光强度确定增强幅度,根据增强幅度调整预设的与逆光场景对应的CCM模型参数提高人脸区域的饱和度。由此,为待处理的人脸区域选择合适的增强幅度进行饱和度的提高,避免人脸区域的过饱和或欠饱和,进一步提升了图像显示的视觉效果。To sum up, the apparatus for processing a face area of a backlight scene according to the embodiment of the present invention determines the enhancement range according to the backlight intensity of the current scene, and adjusts the preset CCM model parameters corresponding to the backlight scene according to the enhancement range to improve the saturation of the face area. Spend. Therefore, an appropriate enhancement amplitude is selected for the face region to be processed to improve the saturation, so as to avoid over-saturation or under-saturation of the face region, and further improve the visual effect of image display.
为了实现上述实施例,本发明还提出了一种终端设备,图8是根据本发明一个实施例的终端设备的结构示意图。如图8所示,该终端设备1000包括:壳体1100和位于壳体1100内的处理器1110、存储器1120,其中,处理器1110通过读取存储器1120中存储的可执行程序代码来运行与可执行程序代码对应的程序,以用于执行上述实施例描述的逆光场景的人脸区域处理方法。In order to implement the above embodiments, the present invention further provides a terminal device, and FIG. 8 is a schematic structural diagram of a terminal device according to an embodiment of the present invention. As shown in FIG. 8 , the terminal device 1000 includes: a casing 1100 , a processor 1110 and a memory 1120 located in the casing 1100 , wherein the processor 1110 runs and executes executable program codes stored in the memory 1120 by reading the executable program codes stored in the memory 1120 . A program corresponding to the program code is executed, so as to execute the method for processing a face region of a backlight scene described in the foregoing embodiments.
为了实现上述实施例,本发明还提出一种非临时性计算机可读存储介质,其上存储有计算机程序,当该计算机程序被处理器执行时能够实现如前述实施例所述的逆光场景的人脸区域处理方法。In order to realize the above-mentioned embodiments, the present invention also provides a non-transitory computer-readable storage medium on which a computer program is stored, and when the computer program is executed by a processor, the person who can realize the backlight scene as described in the foregoing embodiments face area processing method.
在本说明书的描述中,参考术语“一个实施例”、“一些实施例”、“示例”、“具体示例”、或“一些示例”等的描述意指结合该实施例或示例描述的具体特征、结构、材料或者特点包含于本发明的至少一个实施例或示例中。在本说明书中,对上述术语的示意性表述不必须针对的是相同的实施例或示例。而且,描述的具体特征、结构、材料或者特点可以在任一个或多个实施例或示例中以合适的方式结合。此外,在不相互矛盾的情况下,本领域的技术人员可以将本说明书中描述的不同实施例或示例以及不同实施例或示例的特征进行结合和组合。In the description of this specification, description with reference to the terms "one embodiment," "some embodiments," "example," "specific example," or "some examples", etc., mean specific features described in connection with the embodiment or example , structure, material or feature is included in at least one embodiment or example of the present invention. In this specification, schematic representations of the above terms are not necessarily directed to the same embodiment or example. Furthermore, the particular features, structures, materials or characteristics described may be combined in any suitable manner in any one or more embodiments or examples. Furthermore, those skilled in the art may combine and combine the different embodiments or examples described in this specification, as well as the features of the different embodiments or examples, without conflicting each other.
此外,术语“第一”、“第二”仅用于描述目的,而不能理解为指示或暗示相对重要性或者隐含指明所指示的技术特征的数量。由此,限定有“第一”、“第二”的特征可以明示或者隐含地包括至少一个该特征。在本发明的描述中,“多个”的含义是至少两个,例如两个,三个等,除非另有明确具体的限定。In addition, the terms "first" and "second" are only used for descriptive purposes, and should not be construed as indicating or implying relative importance or implying the number of indicated technical features. Thus, a feature delimited with "first", "second" may expressly or implicitly include at least one of that feature. In the description of the present invention, "plurality" means at least two, such as two, three, etc., unless otherwise expressly and specifically defined.
流程图中或在此以其他方式描述的任何过程或方法描述可以被理解为,表示包括一个或更多个用于实现定制逻辑功能或过程的步骤的可执行指令的代码的模块、片段或部分,并且本发明的优选实施方式的范围包括另外的实现,其中可以不按所示出或讨论的顺序,包括根据所涉及的功能按基本同时的方式或按相反的顺序,来执行功能,这应被本发明的实施例所属技术领域的技术人员所理解。Any process or method description in the flowcharts or otherwise described herein may be understood to represent a module, segment or portion of code comprising one or more executable instructions for implementing custom logical functions or steps of the process , and the scope of the preferred embodiments of the invention includes alternative implementations in which the functions may be performed out of the order shown or discussed, including performing the functions substantially concurrently or in the reverse order depending upon the functions involved, which should It is understood by those skilled in the art to which the embodiments of the present invention belong.
在流程图中表示或在此以其他方式描述的逻辑和/或步骤,例如,可以被认为是用于实现逻辑功能的可执行指令的定序列表,可以具体实现在任何计算机可读介质中,以供指令执行系统、装置或设备(如基于计算机的系统、包括处理器的系统或其他可以从指令执行系统、装置或设备取指令并执行指令的系统)使用,或结合这些指令执行系统、装置或设备而使用。就本说明书而言,"计算机可读介质"可以是任何可以包含、存储、通信、传播或传输程序以供指令执行系统、装置或设备或结合这些指令执行系统、装置或设备而使用的装置。计算机可读介质的更具体的示例(非穷尽性列表)包括以下:具有一个或多个布线的电连接部(电子装置),便携式计算机盘盒(磁装置),随机存取存储器(RAM),只读存储器(ROM),可擦除可编辑只读存储器(EPROM或闪速存储器),光纤装置,以及便携式光盘只读存储器(CDROM)。另外,计算机可读介质甚至可以是可在其上打印所述程序的纸或其他合适的介质,因为可以例如通过对纸或其他介质进行光学扫描,接着进行编辑、解译或必要时以其他合适方式进行处理来以电子方式获得所述程序,然后将其存储在计算机存储器中。The logic and/or steps represented in flowcharts or otherwise described herein, for example, may be considered an ordered listing of executable instructions for implementing the logical functions, may be embodied in any computer-readable medium, For use with, or in conjunction with, an instruction execution system, apparatus, or device (such as a computer-based system, a system including a processor, or other system that can fetch instructions from and execute instructions from an instruction execution system, apparatus, or apparatus) or equipment. For the purposes of this specification, a "computer-readable medium" can be any device that can contain, store, communicate, propagate, or transport the program for use by or in connection with an instruction execution system, apparatus, or apparatus. More specific examples (non-exhaustive list) of computer readable media include the following: electrical connections with one or more wiring (electronic devices), portable computer disk cartridges (magnetic devices), random access memory (RAM), Read Only Memory (ROM), Erasable Editable Read Only Memory (EPROM or Flash Memory), Fiber Optic Devices, and Portable Compact Disc Read Only Memory (CDROM). In addition, the computer readable medium may even be paper or other suitable medium on which the program may be printed, as the paper or other medium may be optically scanned, for example, followed by editing, interpretation, or other suitable medium as necessary process to obtain the program electronically and then store it in computer memory.
应当理解,本发明的各部分可以用硬件、软件、固件或它们的组合来实现。在上述实施方式中,多个步骤或方法可以用存储在存储器中且由合适的指令执行系统执行的软件或固件来实现。如,如果用硬件来实现和在另一实施方式中一样,可用本领域公知的下列技术中的任一项或他们的组合来实现:具有用于对数据信号实现逻辑功能的逻辑门电路的离散逻辑电路,具有合适的组合逻辑门电路的专用集成电路,可编程门阵列(PGA),现场可编程门阵列(FPGA)等。It should be understood that various parts of the present invention may be implemented in hardware, software, firmware or a combination thereof. In the above-described embodiments, various steps or methods may be implemented in software or firmware stored in memory and executed by a suitable instruction execution system. For example, if implemented in hardware as in another embodiment, it can be implemented by any one of the following techniques known in the art, or a combination thereof: discrete with logic gates for implementing logic functions on data signals Logic circuits, application specific integrated circuits with suitable combinational logic gates, Programmable Gate Arrays (PGA), Field Programmable Gate Arrays (FPGA), etc.
本技术领域的普通技术人员可以理解实现上述实施例方法携带的全部或部分步骤是可以通过程序来指令相关的硬件完成,所述的程序可以存储于一种计算机可读存储介质中,该程序在执行时,包括方法实施例的步骤之一或其组合。Those skilled in the art can understand that all or part of the steps carried by the methods of the above embodiments can be completed by instructing the relevant hardware through a program, and the program can be stored in a computer-readable storage medium, and the program can be stored in a computer-readable storage medium. When executed, one or a combination of the steps of the method embodiment is included.
此外,在本发明各个实施例中的各功能单元可以集成在一个处理模块中,也可以是各个单元单独物理存在,也可以两个或两个以上单元集成在一个模块中。上述集成的模块既可以采用硬件的形式实现,也可以采用软件功能模块的形式实现。所述集成的模块如果以软件功能模块的形式实现并作为独立的产品销售或使用时,也可以存储在一个计算机可读取存储介质中。In addition, each functional unit in each embodiment of the present invention may be integrated into one processing module, or each unit may exist physically alone, or two or more units may be integrated into one module. The above-mentioned integrated modules can be implemented in the form of hardware, and can also be implemented in the form of software function modules. If the integrated modules are implemented in the form of software functional modules and sold or used as independent products, they may also be stored in a computer-readable storage medium.
上述提到的存储介质可以是只读存储器,磁盘或光盘等。尽管上面已经示出和描述了本发明的实施例,可以理解的是,上述实施例是示例性的,不能理解为对本发明的限制,本领域的普通技术人员在本发明的范围内可以对上述实施例进行变化、修改、替换和变型。The above-mentioned storage medium may be a read-only memory, a magnetic disk or an optical disk, and the like. Although the embodiments of the present invention have been shown and described above, it should be understood that the above-mentioned embodiments are exemplary and should not be construed as limiting the present invention. Embodiments are subject to variations, modifications, substitutions and variations.
| Application Number | Priority Date | Filing Date | Title |
|---|---|---|---|
| CN201710558357.5ACN107277356B (en) | 2017-07-10 | 2017-07-10 | Method and device for processing human face area of backlight scene |
| PCT/CN2018/094083WO2019011147A1 (en) | 2017-07-10 | 2018-07-02 | Human face region processing method and apparatus in backlight scene |
| Application Number | Priority Date | Filing Date | Title |
|---|---|---|---|
| CN201710558357.5ACN107277356B (en) | 2017-07-10 | 2017-07-10 | Method and device for processing human face area of backlight scene |
| Publication Number | Publication Date |
|---|---|
| CN107277356A CN107277356A (en) | 2017-10-20 |
| CN107277356Btrue CN107277356B (en) | 2020-02-14 |
| Application Number | Title | Priority Date | Filing Date |
|---|---|---|---|
| CN201710558357.5AActiveCN107277356B (en) | 2017-07-10 | 2017-07-10 | Method and device for processing human face area of backlight scene |
| Country | Link |
|---|---|
| CN (1) | CN107277356B (en) |
| WO (1) | WO2019011147A1 (en) |
| Publication number | Priority date | Publication date | Assignee | Title |
|---|---|---|---|---|
| CN107277356B (en)* | 2017-07-10 | 2020-02-14 | Oppo广东移动通信有限公司 | Method and device for processing human face area of backlight scene |
| CN107454315B (en)* | 2017-07-10 | 2019-08-02 | Oppo广东移动通信有限公司 | Method and device for processing human face area of backlight scene |
| CN107995418B (en)* | 2017-11-21 | 2020-07-21 | 维沃移动通信有限公司 | Shooting method and device and mobile terminal |
| CN107948519B (en) | 2017-11-30 | 2020-03-27 | Oppo广东移动通信有限公司 | Image processing method, device and equipment |
| CN108259754B (en)* | 2018-03-06 | 2021-02-02 | Oppo广东移动通信有限公司 | Image processing method and device, computer readable storage medium and computer device |
| CN111368596B (en)* | 2018-12-26 | 2023-08-04 | 北京眼神智能科技有限公司 | Face recognition backlight compensation method and device, readable storage medium and equipment |
| CN109815905B (en)* | 2019-01-24 | 2022-12-23 | 深圳市梦网视讯有限公司 | Method and system for detecting face image by backlight source |
| CN111526277A (en)* | 2019-02-01 | 2020-08-11 | 神讯电脑(昆山)有限公司 | Processing method and system for adjusting image according to environmental conditions |
| CN110751607A (en)* | 2019-10-21 | 2020-02-04 | 浙江大华技术股份有限公司 | Skin color correction method and device, storage medium and electronic device |
| CN112950525B (en) | 2019-11-22 | 2024-09-17 | 华为技术有限公司 | Image detection method and device and electronic equipment |
| CN110891145B (en)* | 2019-12-02 | 2021-08-17 | 联想(北京)有限公司 | Method for obtaining image by photographing and electronic equipment |
| CN112085686B (en)* | 2020-08-21 | 2025-03-07 | 原力图新(重庆)科技有限公司 | Image processing method, device, electronic device and computer readable storage medium |
| CN114092383B (en)* | 2020-08-24 | 2025-09-05 | 珠海全志科技股份有限公司 | ISP adaptive adjustment control method and device based on face image |
| CN112261307B (en)* | 2020-09-27 | 2022-08-19 | 厦门亿联网络技术股份有限公司 | Image exposure method, device and storage medium |
| CN112606402A (en)* | 2020-11-03 | 2021-04-06 | 泰州芯源半导体科技有限公司 | Product manufacturing platform applying multi-parameter analysis |
| CN114764927B (en)* | 2020-12-31 | 2024-05-28 | 合肥君正科技有限公司 | Manufacturing method of regional enhanced face backlight picture |
| CN112819714A (en)* | 2021-01-29 | 2021-05-18 | 深圳市商汤科技有限公司 | Target object exposure method, device, storage medium and equipment |
| CN115442512B (en)* | 2021-06-04 | 2024-09-06 | 北京小米移动软件有限公司 | Focusing control method, device, terminal and storage medium |
| CN113674230B (en)* | 2021-08-10 | 2023-12-19 | 深圳市捷顺科技实业股份有限公司 | Method and device for detecting key points of indoor backlight face |
| CN113705501B (en)* | 2021-09-02 | 2024-04-26 | 浙江索思科技有限公司 | Marine target detection method and system based on image recognition technology |
| CN114119851B (en)* | 2021-12-07 | 2025-09-05 | 上海完美时空软件有限公司 | Light and shadow rendering method, device, equipment and storage medium |
| CN115760648A (en)* | 2022-12-19 | 2023-03-07 | 西安闻泰信息技术有限公司 | Image processing method and device, electronic device and storage medium |
| CN116012256A (en)* | 2023-02-08 | 2023-04-25 | 西安闻泰信息技术有限公司 | Image brightness optimization method and device, electronic equipment and storage medium |
| CN117152819B (en)* | 2023-09-04 | 2024-04-19 | 广州市鹏驰信息科技有限公司 | Face recognition method and device |
| CN118474550B (en)* | 2024-05-29 | 2025-06-20 | 识光科技(广州)有限责任公司 | A method and system for adjusting camera sensitivity based on live broadcast |
| Publication number | Priority date | Publication date | Assignee | Title |
|---|---|---|---|---|
| CN102447815A (en)* | 2010-10-09 | 2012-05-09 | 中兴通讯股份有限公司 | Video image processing method and device |
| CN105025283A (en)* | 2015-08-07 | 2015-11-04 | 广东欧珀移动通信有限公司 | A new color saturation adjustment method, system and mobile terminal |
| CN106791471A (en)* | 2016-12-29 | 2017-05-31 | 宇龙计算机通信科技(深圳)有限公司 | Image optimization method, image optimization device and terminal |
| CN106937049A (en)* | 2017-03-09 | 2017-07-07 | 广东欧珀移动通信有限公司 | The processing method of the portrait color based on the depth of field, processing unit and electronic installation |
| Publication number | Priority date | Publication date | Assignee | Title |
|---|---|---|---|---|
| JP2011090569A (en)* | 2009-10-23 | 2011-05-06 | Sony Corp | Image processing apparatus and image processing method |
| JP6003133B2 (en)* | 2012-03-21 | 2016-10-05 | カシオ計算機株式会社 | Imaging apparatus, imaging control method, and program |
| CN105303543A (en)* | 2015-10-23 | 2016-02-03 | 努比亚技术有限公司 | Image enhancement method and mobile terminal |
| CN106454014B (en)* | 2016-11-04 | 2019-03-08 | 安徽超远信息技术有限公司 | A kind of method and device improving backlight scene vehicle snapshot picture quality |
| CN107277356B (en)* | 2017-07-10 | 2020-02-14 | Oppo广东移动通信有限公司 | Method and device for processing human face area of backlight scene |
| Publication number | Priority date | Publication date | Assignee | Title |
|---|---|---|---|---|
| CN102447815A (en)* | 2010-10-09 | 2012-05-09 | 中兴通讯股份有限公司 | Video image processing method and device |
| CN105025283A (en)* | 2015-08-07 | 2015-11-04 | 广东欧珀移动通信有限公司 | A new color saturation adjustment method, system and mobile terminal |
| CN106791471A (en)* | 2016-12-29 | 2017-05-31 | 宇龙计算机通信科技(深圳)有限公司 | Image optimization method, image optimization device and terminal |
| CN106937049A (en)* | 2017-03-09 | 2017-07-07 | 广东欧珀移动通信有限公司 | The processing method of the portrait color based on the depth of field, processing unit and electronic installation |
| Publication number | Publication date |
|---|---|
| WO2019011147A1 (en) | 2019-01-17 |
| CN107277356A (en) | 2017-10-20 |
| Publication | Publication Date | Title |
|---|---|---|
| CN107277356B (en) | Method and device for processing human face area of backlight scene | |
| CN107977940B (en) | Background blurring processing method, device and equipment | |
| US11503219B2 (en) | Image processing apparatus, image capture apparatus, and control method for adding an effect of a virtual light source to a subject | |
| CN107454315B (en) | Method and device for processing human face area of backlight scene | |
| CN108024057B (en) | Background blurring processing method, device and equipment | |
| CN108337450B (en) | Image processing apparatus, image processing method, and recording medium | |
| CN107249105A (en) | Exposure compensation, device and terminal device | |
| CN108156369B (en) | Image processing method and device | |
| JP6833415B2 (en) | Image processing equipment, image processing methods, and programs | |
| JP7292905B2 (en) | Image processing device, image processing method, and imaging device | |
| JP6412386B2 (en) | Image processing apparatus, control method therefor, program, and recording medium | |
| JP7114335B2 (en) | IMAGE PROCESSING DEVICE, CONTROL METHOD FOR IMAGE PROCESSING DEVICE, AND PROGRAM | |
| US9674427B2 (en) | Image processing method and apparatus | |
| CN107396079A (en) | Method and device for adjusting white balance | |
| JP6718253B2 (en) | Image processing apparatus and image processing method | |
| JP6702752B2 (en) | Image processing device, imaging device, control method, and program | |
| US10863103B2 (en) | Setting apparatus, setting method, and storage medium | |
| CN107635124A (en) | White balance processing method, device and equipment for face shooting | |
| JP2016051982A (en) | Image processing apparatus, camera, and image processing program | |
| JP7375313B2 (en) | Image processing device, image processing method, and image processing program | |
| JP2017151562A (en) | Image processing device, imaging device, control method and program therefor | |
| US11842467B2 (en) | Image processing apparatus, image processing method and storage medium | |
| JP2021087125A (en) | Image processing device, control method thereof, and program | |
| WO2019041493A1 (en) | White balance adjustment method and device | |
| JP2018196069A (en) | Imaging device |
| Date | Code | Title | Description |
|---|---|---|---|
| PB01 | Publication | ||
| PB01 | Publication | ||
| SE01 | Entry into force of request for substantive examination | ||
| SE01 | Entry into force of request for substantive examination | ||
| CB02 | Change of applicant information | Address after:523860 No. 18, Wu Sha Beach Road, Changan Town, Dongguan, Guangdong Applicant after:OPPO Guangdong Mobile Communications Co., Ltd. Address before:523860 No. 18, Wu Sha Beach Road, Changan Town, Dongguan, Guangdong Applicant before:Guangdong OPPO Mobile Communications Co., Ltd. | |
| CB02 | Change of applicant information | ||
| GR01 | Patent grant | ||
| GR01 | Patent grant |