Movatterモバイル変換


[0]ホーム

URL:


CN107270943B - Two-dimensional correlation inertial navigation drop point precision evaluation method - Google Patents

Two-dimensional correlation inertial navigation drop point precision evaluation method
Download PDF

Info

Publication number
CN107270943B
CN107270943BCN201710631099.9ACN201710631099ACN107270943BCN 107270943 BCN107270943 BCN 107270943BCN 201710631099 ACN201710631099 ACN 201710631099ACN 107270943 BCN107270943 BCN 107270943B
Authority
CN
China
Prior art keywords
error
drop point
longitudinal
precision
standard deviation
Prior art date
Legal status (The legal status is an assumption and is not a legal conclusion. Google has not performed a legal analysis and makes no representation as to the accuracy of the status listed.)
Active
Application number
CN201710631099.9A
Other languages
Chinese (zh)
Other versions
CN107270943A (en
Inventor
魏宗康
江麒
Current Assignee (The listed assignees may be inaccurate. Google has not performed a legal analysis and makes no representation or warranty as to the accuracy of the list.)
Beijing Aerospace Wanda Hi Tech Ltd
Original Assignee
Beijing Aerospace Wanda Hi Tech Ltd
Priority date (The priority date is an assumption and is not a legal conclusion. Google has not performed a legal analysis and makes no representation as to the accuracy of the date listed.)
Filing date
Publication date
Application filed by Beijing Aerospace Wanda Hi Tech LtdfiledCriticalBeijing Aerospace Wanda Hi Tech Ltd
Priority to CN201710631099.9ApriorityCriticalpatent/CN107270943B/en
Publication of CN107270943ApublicationCriticalpatent/CN107270943A/en
Application grantedgrantedCritical
Publication of CN107270943BpublicationCriticalpatent/CN107270943B/en
Activelegal-statusCriticalCurrent
Anticipated expirationlegal-statusCritical

Links

Images

Classifications

Landscapes

Abstract

The invention discloses a two-dimensional inertial navigation drop point accuracy assessment method which comprises the steps of determining transverse position errors and longitudinal position errors of an actual drop point position relative to a target drop point position to obtain a preset number of transverse position errors and a preset number of longitudinal position errors, calculating standard deviations α of the preset number of transverse position errors and standard deviations β of the preset number of longitudinal position errors, calculating standard deviations α and correlation coefficients rho of the standard deviations β, and calculating a transverse error accuracy assessment factor e according to the standard deviations α and the correlation coefficients rho1Calculating a longitudinal error precision evaluation factor e according to the standard deviation β and the correlation coefficient rho2(ii) a According to e1And e2And evaluating the inertial navigation drop point precision. The invention realizes the purpose of evaluating the inertial navigation drop point precision under the condition of two-dimensional correlation of the transverse direction and the longitudinal direction.

Description

Two-dimensional correlation inertial navigation drop point precision evaluation method
Technical Field
The invention relates to an inertial navigation system precision evaluation technology, in particular to a two-dimensional inertial navigation drop point precision evaluation method.
Background
At present, methods for measuring the inertial navigation drop point precision include a circular probability Error drop point precision evaluation method cep (circular Error probability) and an irrelevant two-dimensional drop point precision evaluation method. The circle probability error drop point precision evaluation method is a simple drop point precision evaluation method, and the drop point precision is evaluated by establishing a precision evaluation circle by taking a theoretical position as a circle center and taking the distance of 50% of missile warhead impact points surrounding the circle center as a circle radius. The irrelevant two-dimensional drop point precision evaluation method is improved on the basis of the circle probability error drop point precision evaluation method, and mainly solves the problem of irrelevant two-dimensional drop point precision evaluation under the condition of unequal standard errors.
However, the round probability error drop point precision evaluation method has a good effect when the standard errors are equal, and when the standard errors are unequal, the round probability error drop point precision evaluation method has large deviation and is not reasonable enough; the irrelevant two-dimensional drop point precision evaluation method does not fully consider the influence of the correlation coefficient, and can not well solve the drop point precision evaluation problem when the horizontal direction and the longitudinal direction have mutual influence. Therefore, neither the circular probability error drop point precision evaluation method nor the irrelevant two-dimensional drop point precision evaluation method can solve the problem of evaluating the inertial navigation drop point precision under the condition of relevant two dimensions.
Disclosure of Invention
The technical problem solved by the invention is as follows: compared with the prior art, the method for evaluating the inertial navigation drop point precision in two relevant dimensions is provided, and the purpose of evaluating the inertial navigation drop point precision in two relevant dimensions in the transverse direction and the longitudinal direction is achieved.
The above object of the present invention is achieved by the following technical solutions:
the invention provides a method for evaluating the accuracy of a relevant two-dimensional inertial navigation landing point, which comprises the following steps:
establishing a rectangular coordinate system by taking the target placement position as an origin according to a preset target placement position and a preset number of actual placement positions, and determining a transverse position error and a longitudinal position error of each actual placement position relative to the target placement position so as to obtain a preset number of transverse position errors and a preset number of longitudinal position errors;
calculating a standard deviation α of the preset number of lateral position errors and a standard deviation β of the preset number of longitudinal position errors, and calculating a correlation coefficient p of the standard deviation α and the standard deviation β;
calculating a lateral error precision evaluation factor e according to the standard deviation α and the correlation coefficient rho1Calculating a longitudinal error precision evaluation factor e according to the standard deviation β and the correlation coefficient rho2
Evaluating a factor e according to the lateral error precision1And the longitudinal error accuracy evaluation factor e2And evaluating the inertial navigation drop point precision.
Further, determining a lateral position error and a longitudinal position error of each of the actual drop point positions relative to the target drop point position comprises:
in a rectangular coordinate system established by taking a target placement position as an origin, if the coordinate of an actual placement position is (x, y), determining that the transverse position error of the actual placement position (x, y) relative to the target placement position is | x |, and determining that the longitudinal position error of the actual placement position (x, y) relative to the target placement position is | y |.
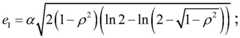
Further, the lateral error accuracy evaluation factor e1The calculation formula of (2) is as follows:
in the formula (1), e1Representing the lateral error accuracy evaluation factor, α representing the standard deviation of the preset number of lateral position errors, and ρ representing the correlation coefficient of the standard deviation α and the standard deviation β.
Further, the longitudinal error precision evaluation factor e2The calculation formula of (2) is as follows:
Figure BDA0001363882210000031
in the formula (2), e2Representing the longitudinal error accuracy evaluation factor, β representing the standard deviation of the preset number of longitudinal position errors, and p representing the correlation coefficient of the standard deviation α and the standard deviation β.
Further, a factor e is evaluated according to the lateral error precision1And the longitudinal error accuracy evaluation factor e2And evaluating the inertial navigation drop point precision, comprising:
establishing a drop point precision evaluation ellipse by taking the target drop point position as a central point, wherein the major semi-axis of the drop point precision evaluation ellipse is the transverse error precision evaluation factor e1The minor semi-axis of the drop point precision evaluation ellipse is the longitudinal error precision evaluation factor e2And when the actual drop point position is inside the drop point precision evaluation ellipse, evaluating the precision of the actual drop point position as qualified.
Compared with the prior art, the invention has the following beneficial effects:
the invention is in the condition of two-dimensional correlation between transverse direction and longitudinal directionThe influence of the correlation coefficient on the inertial navigation landing point precision evaluation is fully considered, and the inertial navigation system landing point precision is evaluated by utilizing the standard deviation of the transverse position error, the standard deviation of the longitudinal position error and the correlation coefficient rho; estimating factor e according to lateral error precision1And a longitudinal error accuracy evaluation factor e2The inertial navigation drop point precision is evaluated, and the position precision of the actual drop point can be more accurately and reasonably evaluated in space; the purpose of evaluating the inertial navigation landing point precision under the condition of two-dimensional correlation of the transverse direction and the longitudinal direction is achieved.
Drawings
FIG. 1 is a flow chart of a method for estimating the accuracy of a two-dimensional inertial navigation landing point in an embodiment of the present invention;
fig. 2 is a schematic diagram of a drop point accuracy evaluation ellipse in the embodiment of the present invention.
Detailed Description
The present invention will be described in further detail with reference to the accompanying drawings and examples. It is to be understood that the specific embodiments described herein are merely illustrative of the invention and are not limiting of the invention. It should be further noted that, for the convenience of description, only some of the structures related to the present invention are shown in the drawings, not all of the structures.
Fig. 1 is a flowchart of a method for estimating the accuracy of a two-dimensional inertial navigation landing point according to an embodiment of the present invention. Referring to fig. 1, the method for estimating the two-dimensional inertial navigation landing accuracy provided in this embodiment may specifically include the following steps:
s110, establishing a rectangular coordinate system by taking the target placement position as an origin according to a preset target placement position and a preset number of actual placement positions, and determining a transverse position error and a longitudinal position error of each actual placement position relative to the target placement position so as to obtain a preset number of transverse position errors and a preset number of longitudinal position errors.
Specifically, in this embodiment, the preset number may be S, and S is a positive integer greater than zero. According to the preset target placement position and S actual placement positions, a rectangular coordinate system is established by taking the target placement position as an origin (0,0), and the transverse position error and the longitudinal position error of each actual placement position relative to the target placement position are determined so as to obtain S transverse position errors and S longitudinal position errors.
Optionally, determining a lateral position error and a longitudinal position error of each actual landing point position relative to the target landing point position includes:
in a rectangular coordinate system established by taking a target placement position as an origin, if the coordinate of an actual placement position is (x, y), determining that the transverse position error of the actual placement position (x, y) relative to the target placement position is | x |, and determining that the longitudinal position error of the actual placement position (x, y) relative to the target placement position is | y |. Where | x | represents the absolute value of the abscissa x, and | y | represents the absolute value of the ordinate y.
For example, in a rectangular coordinate system established with the target placement position as the origin (0,0), if the coordinates of the actual placement position are (380,90), the lateral position error of the actual placement position (380,90) with respect to the target placement position is defined as |380|, 380, and the vertical position error of the actual placement position (380,90) with respect to the target placement position is defined as |90|, 90. For example, in a rectangular coordinate system established with the target location as the origin (0,0), if the coordinate of the actual location is (-240,30), the lateral position error of the actual location (-240,30) with respect to the target location is defined as | -240|, and the vertical position error of the actual location (-240,30) with respect to the target location is defined as |30| -30 |.
S120, calculating the standard deviation α of the preset number of transverse position errors and the standard deviation β of the preset number of longitudinal position errors, and calculating the correlation coefficient rho of the standard deviation α and the standard deviation β.
Specifically, in the present embodiment, the standard deviation α of the S lateral position errors determined in step S110 is calculated, and the standard deviation β of the S longitudinal position errors determined in step S110 is calculated after the standard deviation α and the standard deviation β are determined, and the correlation coefficient ρ between the standard deviation α and the standard deviation β is calculated.
S130, calculating a transverse error precision evaluation factor e according to the standard deviation α and the correlation coefficient rho1Calculating a longitudinal error precision evaluation factor e according to the standard deviation β and the correlation coefficient rho2
In particular, the lateral error accuracy evaluation factor e1The calculation formula of (c) may be:
Figure BDA0001363882210000051
in the formula (1), e1Representing the lateral error accuracy evaluation factor, α representing the standard deviation of the preset number of lateral position errors, and ρ representing the correlation coefficient of the standard deviation α and the standard deviation β.
Specifically, the longitudinal error precision evaluation factor e2The calculation formula of (c) may be:
Figure BDA0001363882210000052
in the formula (2), e2Representing the longitudinal error accuracy evaluation factor, β representing the standard deviation of the preset number of longitudinal position errors, and p representing the correlation coefficient of the standard deviation α and the standard deviation β.
S140, evaluating a factor e according to the transverse error precision1And the longitudinal error accuracy evaluation factor e2And evaluating the inertial navigation drop point precision.
In particular, the factor e is evaluated according to the accuracy of the lateral error1And the longitudinal error accuracy evaluation factor e2Evaluating the inertial navigation landing point accuracy may include:
establishing a drop point precision evaluation ellipse by taking the target drop point position as a central point, wherein the major semi-axis of the drop point precision evaluation ellipse is the transverse error precision evaluation factor e1The minor semi-axis of the drop point precision evaluation ellipse is the longitudinal error precision evaluation factor e2Evaluating the accuracy of the actual drop point location when the actual drop point location is within the drop point accuracy evaluation ellipseThe product is qualified.
Examples
In the precision evaluation of a certain point of a missile, 1000 actual point positions are collected, a rectangular coordinate system is established by taking a preset target point position as an origin (0,0), and the transverse position error and the longitudinal position error of each actual point position relative to the target point position are determined to obtain 1000 transverse position errors and 1000 longitudinal position errors.
The standard deviation α of the 1000 lateral position errors and the standard deviation β of the 1000 longitudinal position errors are calculated, and the correlation coefficient p of the standard deviation α and the standard deviation β is calculated.
Calculating a lateral error precision evaluation factor e according to the standard deviation α and the correlation coefficient rho1Specifically, the lateral error accuracy evaluation factor e1The calculation formula of (2) is as follows:
Figure BDA0001363882210000061
calculating a longitudinal error precision evaluation factor e according to the standard deviation β and the correlation coefficient rho2Specifically, the longitudinal error accuracy evaluation factor e2The calculation formula of (2) is as follows:
Figure BDA0001363882210000062
calculated, transverse error precision evaluation factor e1454.742, longitudinal error accuracy assessment factor e2=113.685。
Establishing a drop point precision evaluation ellipse by taking the target drop point position as a central point, wherein the major semi-axis of the drop point precision evaluation ellipse is a transverse error precision evaluation factor e1The short semi-axis of the drop point precision evaluation ellipse is a longitudinal error precision evaluation factor e2In this example, e1=454.742,e2113.685, as shown in fig. 2; and when the actual drop point position is inside the drop point precision evaluation ellipse, evaluating the precision of the actual drop point position as qualified.
According to the technical scheme of the embodiment, under the condition of two-dimensional correlation between the transverse direction and the longitudinal direction, the influence of the correlation coefficient on the inertial navigation landing point precision evaluation is fully considered, and the inertial navigation system landing point precision is evaluated by utilizing the standard deviation of the transverse position error, the standard deviation of the longitudinal position error and the correlation coefficient rho; estimating factor e according to lateral error precision1And a longitudinal error accuracy evaluation factor e2The inertial navigation drop point precision is evaluated, and the position precision of the actual drop point can be more accurately and reasonably evaluated in space; the purpose of evaluating the inertial navigation landing point precision under the condition of two-dimensional correlation of the transverse direction and the longitudinal direction is achieved.
It is to be noted that the foregoing is only illustrative of the preferred embodiments of the present invention and the technical principles employed. It will be understood by those skilled in the art that the present invention is not limited to the particular embodiments described herein, but is capable of various obvious changes, rearrangements and substitutions as will now become apparent to those skilled in the art without departing from the scope of the invention. Therefore, although the present invention has been described in greater detail by the above embodiments, the present invention is not limited to the above embodiments, and may include other equivalent embodiments without departing from the spirit of the present invention, and the scope of the present invention is determined by the scope of the appended claims.

Claims (3)

1. A method for evaluating the accuracy of inertial navigation landing points in two relative dimensions is characterized by comprising the following steps:
establishing a rectangular coordinate system by taking the target placement position as an origin according to a preset target placement position and a preset number of actual placement positions, and determining a transverse position error and a longitudinal position error of each actual placement position relative to the target placement position so as to obtain a preset number of transverse position errors and a preset number of longitudinal position errors;
calculating a standard deviation α of the preset number of lateral position errors and a standard deviation β of the preset number of longitudinal position errors, and calculating a correlation coefficient p of the standard deviation α and the standard deviation β;
according toThe standard deviation α and the correlation coefficient rho are used for calculating a transverse error precision evaluation factor e1Wherein the lateral error accuracy evaluation factor e1The calculation formula of (2) is as follows:
Figure FDA0002192837480000011
calculating a longitudinal error precision evaluation factor e according to the standard deviation β and the correlation coefficient rho2Wherein the directional error precision evaluates a factor e2The calculation formula of (2) is as follows:
Figure FDA0002192837480000012
evaluating a factor e according to the lateral error precision1And the longitudinal error accuracy evaluation factor e2And evaluating the inertial navigation drop point precision.
2. The method of claim 1, wherein determining a lateral position error and a longitudinal position error for each of the actual drop point locations relative to the target drop point location comprises:
in a rectangular coordinate system established by taking a target placement position as an origin, if the coordinate of an actual placement position is (x, y), determining that the transverse position error of the actual placement position relative to the target placement position is | x |, and determining that the longitudinal position error of the actual placement position relative to the target placement position is | y |.
3. The method of claim 1, wherein a factor e is estimated based on the lateral error accuracy1And the longitudinal error accuracy evaluation factor e2And evaluating the inertial navigation drop point precision, comprising:
establishing a drop point precision evaluation ellipse by taking the target drop point position as a central point, wherein the major semi-axis of the drop point precision evaluation ellipse is the transverse error precision evaluation factor e1The accuracy of the drop point is evaluatedEstimating the short semi-axis of the ellipse as the accuracy evaluation factor e of the longitudinal error2And when the actual drop point position is inside the drop point precision evaluation ellipse, evaluating the precision of the actual drop point position as qualified.
CN201710631099.9A2017-07-282017-07-28Two-dimensional correlation inertial navigation drop point precision evaluation methodActiveCN107270943B (en)

Priority Applications (1)

Application NumberPriority DateFiling DateTitle
CN201710631099.9ACN107270943B (en)2017-07-282017-07-28Two-dimensional correlation inertial navigation drop point precision evaluation method

Applications Claiming Priority (1)

Application NumberPriority DateFiling DateTitle
CN201710631099.9ACN107270943B (en)2017-07-282017-07-28Two-dimensional correlation inertial navigation drop point precision evaluation method

Publications (2)

Publication NumberPublication Date
CN107270943A CN107270943A (en)2017-10-20
CN107270943Btrue CN107270943B (en)2020-02-14

Family

ID=60075863

Family Applications (1)

Application NumberTitlePriority DateFiling Date
CN201710631099.9AActiveCN107270943B (en)2017-07-282017-07-28Two-dimensional correlation inertial navigation drop point precision evaluation method

Country Status (1)

CountryLink
CN (1)CN107270943B (en)

Families Citing this family (4)

* Cited by examiner, † Cited by third party
Publication numberPriority datePublication dateAssigneeTitle
CN108519104B (en)*2018-02-112020-12-18北京航天控制仪器研究所Estimation method and system for describing navigation drop point precision by three-parameter ellipse probability error
CN108458727B (en)*2018-02-112020-09-18北京航天控制仪器研究所Precision index self-adaptive distribution method and system for ballistic missile inertia measurement system
CN110186483B (en)*2019-06-252020-09-18北京航天控制仪器研究所Method for improving drop point precision of inertia guidance spacecraft
CN110186482B (en)*2019-06-252021-06-11北京航天控制仪器研究所Method for improving drop point precision of inertial guidance spacecraft

Citations (4)

* Cited by examiner, † Cited by third party
Publication numberPriority datePublication dateAssigneeTitle
SU1764033A1 (en)*1989-07-031992-09-23Киевский Институт Инженеров Гражданской Авиации Им.60-Летия СссрAircraft navigational aids state testing method
CN104197954A (en)*2014-08-132014-12-10北京航天控制仪器研究所Method for estimating precision of drop points of inertial navigation system in three-dimensional space
CN104197953A (en)*2014-08-132014-12-10北京航天控制仪器研究所Method for estimating precision of two-dimensional drop points of inertial navigation system
CN104316079A (en)*2014-09-302015-01-28北京航天控制仪器研究所Drop point precision estimation method for inertia measurement system based on rocket sled test

Patent Citations (4)

* Cited by examiner, † Cited by third party
Publication numberPriority datePublication dateAssigneeTitle
SU1764033A1 (en)*1989-07-031992-09-23Киевский Институт Инженеров Гражданской Авиации Им.60-Летия СссрAircraft navigational aids state testing method
CN104197954A (en)*2014-08-132014-12-10北京航天控制仪器研究所Method for estimating precision of drop points of inertial navigation system in three-dimensional space
CN104197953A (en)*2014-08-132014-12-10北京航天控制仪器研究所Method for estimating precision of two-dimensional drop points of inertial navigation system
CN104316079A (en)*2014-09-302015-01-28北京航天控制仪器研究所Drop point precision estimation method for inertia measurement system based on rocket sled test

Non-Patent Citations (3)

* Cited by examiner, † Cited by third party
Title
导弹落点精度评估的仿真分析;张士峰等;《系统仿真学报》;20021130;第14卷(第11期);第1552-1554页*
炮舰校射落点精度分析与评估;戴耀等;《指挥控制与仿真》;20071030;第29卷(第5期);第70-82页*
空地导弹落点精度评估系统;傅修竹等;《空军工程大学学报(自然科学版)》;20141025;第15卷(第5期);第42-45页*

Also Published As

Publication numberPublication date
CN107270943A (en)2017-10-20

Similar Documents

PublicationPublication DateTitle
CN107270943B (en)Two-dimensional correlation inertial navigation drop point precision evaluation method
CN107084717B (en) Mobile terminal and method for positioning system based on magnetic field map
CN105424030B (en)Fusion navigation device and method based on wireless fingerprint and MEMS sensor
CN110533726B (en) A method for estimating and correcting normal vector of 3D pose point in lidar scene
CN104392435A (en)Fisheye camera calibration method and device
CN107870001A (en) A Calibration Method of Magnetometer Based on Ellipsoid Fitting
CN104517276A (en)Checker corner detection method
CN106792524B (en) A Hybrid Indoor Localization Method Based on Bidirectional Correction in Dynamic Environment
WO2020093645A1 (en)Method, system and apparatus for reducing power consumption for positioning wearable device, and storage medium
CN110595479A (en) A SLAM Trajectory Evaluation Method Based on ICP Algorithm
CN108020813A (en)Localization method, positioner and electronic equipment
KR101576424B1 (en)Automatic calibration method of magnetometer for indoor positioning
CN104180800B (en)Correction method and system based on track points of ADS-B (Automatic Dependent Surveillance Broadcast) system
CN103047982A (en)Adaptive target tracking method based on angle information
CN106771329B (en)Method for detecting running speed of unmanned aerial vehicle in deceleration process
CN104034334B (en)Single star of a kind of small field of view star sensor and double star method for determining posture
CN104053234A (en) A Coordinate Error Compensation Positioning System and Method Based on RSSI
CN104197953A (en)Method for estimating precision of two-dimensional drop points of inertial navigation system
CN103995152A (en)Three-dimensional measurement accelerometer error non-singularity estimation method in external field environment
CN110031000A (en)A kind of evaluation method of Method in Gravity Aided INS region suitability
TW201621273A (en)Mobile positioning apparatus and positioning method thereof
CN111148023B (en)Positioning method and device based on multiple UWB (ultra wide band) tags
CN114638955B (en) Constraint-based 3D straight line fitting method
CN106979783A (en)A kind of indoor orientation method and indoor locating system
CN105116373A (en)Target IP region city-class positioning algorithm based on indirect time delay

Legal Events

DateCodeTitleDescription
PB01Publication
PB01Publication
SE01Entry into force of request for substantive examination
SE01Entry into force of request for substantive examination
GR01Patent grant
GR01Patent grant

[8]ページ先頭

©2009-2025 Movatter.jp