































技术领域technical field
本发明属于柴油机技术领域。The invention belongs to the technical field of diesel engines.
背景技术Background technique
随着汽车工业的迅速发展,世界范围内汽车数量也在急剧增加,2015年全球汽车保有量将超过11亿辆,而2050年将预计增长到35亿辆。如此庞大数量的汽车每年将消耗10亿多吨燃油,已超过世界石油年产量的1/3。以目前的开采速度计算,全球石油资源将会在50年后枯竭,并且美国能源部研究预测,2020年以后全球石油需求与常规石油供给之间将出现净缺口。可见能源危机迫在眉睫。伴随燃油的使用,汽车排放的尾气造成了严重的环境污染,并且危害着人类的健康。我国大部分地区出现的雾霾问题已引起了人们的高度重视[2]。能源短缺、环境污染和气候变暖是当前汽车和能源产业共同面临的巨大挑战。针对汽车的生产和销售,我国出台了最新的国Ⅴ排放标准,将对汽车的排放进行了更为严格的限制。对柴油机进行优化燃烧控制,能有效的减低柴油机的排放,同时能够有效提高柴油机的经济性能与动力性能,这对于缓解我国的环境污染问题及资源枯竭问题具有重要的意义。With the rapid development of the automotive industry, the number of cars worldwide is also increasing dramatically. The global car ownership will exceed 1.1 billion in 2015, and is expected to grow to 3.5 billion in 2050. Such a huge number of cars will consume more than 1 billion tons of fuel every year, which has exceeded 1/3 of the world's annual oil production. At current extraction rates, global oil resources will be exhausted in 50 years, and US Department of Energy research predicts that there will be a net gap between global oil demand and conventional oil supply after 2020. It can be seen that the energy crisis is imminent. With the use of fuel, the exhaust gas emitted by automobiles causes serious environmental pollution and endangers human health. The haze problem in most areas of our country has aroused great attention[2] . Energy shortage, environmental pollution and climate warming are the great challenges faced by the current automobile and energy industries. For the production and sales of automobiles, my country has issued the latest National V emission standards, which will impose stricter restrictions on automobile emissions. Optimizing combustion control of diesel engines can effectively reduce diesel engine emissions, and at the same time can effectively improve diesel engine economic performance and power performance, which is of great significance for alleviating environmental pollution problems and resource depletion problems in my country.
发明内容SUMMARY OF THE INVENTION
本发明的目的通过对柴油机的喷油量、喷油时刻、EGR阀的开度及VGT截面积进行控制,从而使得柴油机的NOx排放满足国IV排放标准,同时使其具有良好的动力性及燃油经济性能的柴油机优化燃烧控制器。The purpose of the present invention is to control the fuel injection amount, fuel injection timing, EGR valve opening and VGT cross-sectional area of the diesel engine, so that the NOx emission of the diesel engine meets the national IV emission standard, and at the same time, it has good power and fuel. Economical performance diesel engine optimized combustion controller.
本发明步骤是:The steps of the present invention are:
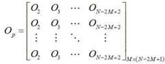
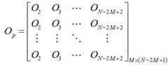
①激励数据的选取:在柴油机燃烧模型中,将设计的喷油量、喷油时刻、EGR阀的开度、VGT的齿条位置给柴油机,开环运行模型,得到实际的NOx的排放量,发动机曲轴输出的扭矩,燃油消耗率;根据这些数据得到系统的输入Hankel矩阵、,输出Hankel矩阵、、:① Selection of excitation data: In the diesel engine combustion model, the designed fuel injection amount, fuel injection timing, EGR valve opening, and VGT rack position are given to the diesel engine, and the model is run in open loop to obtain the actual NOx emission. The torque output by the engine crankshaft, the fuel consumption rate; according to these data, the input Hankel matrix of the system is obtained , , the output Hankel matrix , , :
(1) (1)
(2) (2)
(3) (3)
(4) (4)
(5) (5)
公式(1)中的表示系统在2…N-2M+2时刻系统的输出;公式(3)中的表示系统在2+M…N-M+2时刻系统的输出;其中第i时刻的系统输出为,其中、、分别表示第i时刻燃油消耗率、NOx排放量以及柴油机输出的曲轴扭矩 ;in formula (1) represents the output of the system at
公式(2)中表示系统在2……N-M+2时刻系统输出的增量,其中第i时刻系统输出的增量为,即第i时刻系统的输出减去第i时刻的输出,其中、、分别表示第i时刻燃油消耗率、NOx排放量以及柴油机输出的曲轴扭矩;In formula (2) Represents the increment of the system output at
公式(4)中的表示系统在2……N-M+2时刻系统输入的增量;(5)中的表示系统在2+M…N+2 时刻系统输入的增量,其中第i时刻系统输入的增量为,即第i时刻系统的输出减去第i时刻的输出,其中、、、分别表示第i时刻的喷油量、EGR阀的开度、VGT截面积及喷油时刻;in formula (4) Represents the increment of the system input at the time of 2...N-M+2; in (5) Represents the increment of system input at
②通过输入输出Hankel矩阵构造系统增量形式的预测输出方程为:②Constructing the prediction output equation in the incremental form of the system through the input and output Hankel matrix is:
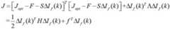
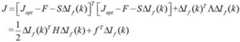
(6) (6)
其中,为系统的输入Hankel矩阵;即为通过增量型子空间辨识方法得到的系统未来的输出值,通过求解最小二乘问题,获得预测方程中的两个预测矩阵和:in , is the input Hankel matrix of the system; It is the future output value of the system obtained by the incremental subspace identification method. By solving the least squares problem, the two prediction matrices in the prediction equation are obtained. and :
(7) (7)
其中,两个预测矩阵系数和的解由下式求得:in , the two prediction matrix coefficients and The solution of is obtained by:
(8) (8)
式中和分别为和的转置;in the formula and respectively and transpose of ;
③在得到增量型的预测矩阵和后,利用增量型子空间预测方程(6),即得到系统未来输出值;③ After getting the incremental prediction matrix and Then, using the incremental subspace prediction equation (6), the future output value of the system is obtained;
④数据驱动预测控制器设计:对目标函数对应的二次规划问题求解得到优化后的喷油量、喷油时刻、VGT的齿条位置、EGR阀的开度,目标函数的数学表达式如式(9)所示:④Design of data-driven predictive controller: Solve the quadratic programming problem corresponding to the objective function to obtain the optimized fuel injection quantity, fuel injection timing, VGT rack position, and EGR valve opening. The mathematical expression of the objective function is as follows (9) shows:
(9) (9)
其中k1、k2、k3、k4为目标函数的加权系数,k、p分别为当前时刻、预测时域,RT为期望的柴油机输出曲轴扭矩,RNOx由式(10)计算得到where k1 , k2 , k3 , and k4 are the weighting coefficients of the objective function, k and p are the current time and prediction time domain, respectively, RT is the expected output crankshaft torque of the diesel engine, and RNOx is calculated by formula (10).
(10) (10)
其中,为前时刻总的NOx的排放量;in, before Total NOx emissions at the moment;
⑤将式(6)进行等量代换得式(11)⑤ Equation (6) is equivalently replaced to obtain formula (11)
(11) (11)
其中F项为系统自由相应部分,项被称为系统的控制相应;The F item is the corresponding free part of the system, The term is called the control response of the system;
⑥通过式(11),得到如下所示的目标函数:⑥ By formula (11), the following objective function is obtained:
(12) (12)
其中in
, ,
、 ,
为加权系数,系统的输入约束由式(13)、(14)进行描述: is the weighting coefficient, The input constraints of the system are described by equations (13) and (14):
(13) (13)
(14) (14)
式(13)描述的是对控制量的变化率的约束,其中、分别为控制量变化率的最大值与最小值,式(14)描述的是对控制量的约束,、分别为控制量的最大值与最小值,通过求解带约束(13)、(14)的优化问题(12),就可以得到最优的控制率。Equation (13) describes the constraint on the rate of change of the control variable, where , are the maximum and minimum values of the rate of change of the control variable, respectively. Equation (14) describes the constraints on the control variable, , are the maximum and minimum values of the control variables, respectively. By solving the optimization problem (12) with constraints (13) and (14), the optimal control rate can be obtained.
本发明能很好地解决现有技术的三点问题,基于数据驱动预测控制算法能有效表面复杂的系统机理建模,The invention can well solve the three problems of the prior art, and can effectively model the complex system mechanism based on the data-driven predictive control algorithm.
1、使用系统的输入输出数据离线辨识得到系统面向控制的模型,这大大地减少了传统的机理建模的时间;同时由于辨识得到的面向控制的模型具有线性的结构,这有利于MPC控制器的设计及其优化问题的在线求解。1. The control-oriented model of the system is obtained by offline identification of the input and output data of the system, which greatly reduces the time of traditional mechanism modeling; at the same time, because the identified control-oriented model has a linear structure, which is beneficial to the MPC controller Design and online solution of optimization problems.
2、数据驱动MPC控制器能够对系统未来的动态进行预测,然后根据其预测的系统的动态做出相应的控制,所以使用MPC控制器能够很好克服惯性对柴油机输出的影响,从而对柴油机的燃烧过程实现优化。2. The data-driven MPC controller can predict the future dynamics of the system, and then make corresponding control according to the predicted system dynamics. Therefore, the use of the MPC controller can well overcome the influence of inertia on the output of the diesel engine, thereby affecting the output of the diesel engine. The combustion process is optimized.
3、柴油机的优化燃烧过程是一个多输入、多输出,带耦合的多目标优化问题。数据驱动MPC控制器具有处理带耦合的多目标优化问题的能力。所以使用数据驱动MPC能够同时对柴油机的燃油经济性、动力性及排放性能进行优化。3. The optimal combustion process of diesel engine is a multi-input, multi-output, multi-objective optimization problem with coupling. The data-driven MPC controller has the ability to deal with coupled multi-objective optimization problems. Therefore, the use of data-driven MPC can simultaneously optimize the fuel economy, power and emission performance of diesel engines.
附图说明Description of drawings
图1 是本发明所述的基于数据驱动MPC的柴油机优化燃烧控制框图;其中控制量是喷油量、喷油时刻、EGR阀的开度、VGT截面积; Fig. 1 is the diesel engine optimized combustion control block diagram based on the data-driven MPC of the present invention; wherein the control quantities are the fuel injection quantity, the fuel injection timing, the opening degree of the EGR valve, and the VGT cross-sectional area;
图2 是本发明所述的集中式带EGR+VGT的柴油机GT模型的示意图,该模型由环境设置模块、圆管模块、VGT模块、中冷器模块、三通管模块、EGR模块、四缸2升排量的柴油机模块及尾气后处理模块构成;Fig. 2 is a schematic diagram of the centralized diesel engine GT model with EGR+VGT according to the present invention. The model consists of an environment setting module, a round pipe module, a VGT module, an intercooler module, a three-way pipe module, an EGR module, and a four-cylinder module. It is composed of a diesel engine module with a displacement of 2 liters and an exhaust gas aftertreatment module;
图3 是本发明在Simulink中搭建的柴油机优化燃烧数据驱动MPC控制器(1),主要是通过MATLAB中的M文件编译程序来实现数据驱动MPC控制算法;Fig. 3 is the diesel engine optimized combustion data-driven MPC controller (1) built in Simulink of the present invention, mainly realizes the data-driven MPC control algorithm through the M file compilation program in MATLAB;
图4是本发明在Simulink中搭建的柴油机优化燃烧数据驱动MPC控制器(2),主要是通过MATLAB中的M文件编译程序来实现数据驱动MPC控制算法;Fig. 4 is the diesel engine optimized combustion data-driven MPC controller (2) set up in Simulink of the present invention, mainly realizes the data-driven MPC control algorithm through the M file compilation program in MATLAB;
图5 是本发明对柴油机进行激励时喷油量的输入,单位为mg指的是每循环的喷油量,横坐标为时间,单位为s;Fig. 5 is the input of the fuel injection amount when the present invention excites the diesel engine, the unit is mg, which refers to the fuel injection amount per cycle, the abscissa is the time, and the unit is s;
图6 是本发明对柴油机进行激励时EGR阀的开度的输入,横坐标是时间,单位为s;Fig. 6 is the input of the opening degree of the EGR valve when the present invention excites the diesel engine, the abscissa is the time, and the unit is s;
图7 是本发明对柴油机进行激励时喷油滞后角的输入,单位为度(°),横坐标为时间,单位为s;Fig. 7 is the input of the fuel injection lag angle when the present invention excites the diesel engine, the unit is degree (°), the abscissa is the time, and the unit is s;
图8 是本发明对柴油机进行激励时VGT齿条位置的输入,横坐标为时间,单位为s;Fig. 8 is the input of the VGT rack position when the present invention excites the diesel engine, the abscissa is time, and the unit is s;
图9 是本发明对柴油机进行激励时燃油消耗率的输出,其单位为g/kwh,横坐标为时间,单位为s;Fig. 9 is the output of the fuel consumption rate when the diesel engine is excited according to the present invention, the unit is g/kwh, the abscissa is time, and the unit is s;
图10 是本发明对柴油机进行激励时NOx排放的输出,其单位为g/kwh,横坐标为时间,单位为s;Fig. 10 is the output of NOx emission when the diesel engine is excited according to the present invention, the unit is g/kwh, the abscissa is time, and the unit is s;
图11 是本发明对柴油机进行激励时曲轴扭矩的输出,其单位为N.m,横坐标为时间,单位为s;Figure 11 is the output of crankshaft torque when the present invention excites the diesel engine, the unit is N.m, the abscissa is time, and the unit is s;
图12 是本发明对辨识模型进行验证时喷油量的输入,单位为mg指的是每循环的喷油量,横坐标为时间,单位为s;Figure 12 is the input of the fuel injection amount when the present invention verifies the identification model, the unit is mg, which refers to the fuel injection amount per cycle, the abscissa is the time, and the unit is s;
图13 是本发明对辨识模型进行验证时EGR阀的开度的输入,横坐标是时间,单位为s;13 is the input of the opening degree of the EGR valve when the present invention verifies the identification model, the abscissa is the time, and the unit is s;
图14 是本发明对辨识模型进行验证时喷油滞后角的输入,单位为度(°),横坐标为时间,单位为s;Figure 14 is the input of the fuel injection lag angle when the present invention verifies the identification model, the unit is degree (°), the abscissa is time, and the unit is s;
图15 是本发明对辨识模型进行验证时VGT齿条位置的输入,横坐标为时间,单位为s;Figure 15 is the input of the VGT rack position when the present invention verifies the identification model, the abscissa is the time, and the unit is s;
图16 是本发明对辨识模型进行验证时燃油消耗率的输出,其单位为g/kwh,横坐标为时间,单位为s,其中实线代表GT模型的输出,虚线代表辨识模型的输出;16 is the output of the fuel consumption rate when the identification model is verified by the present invention, the unit is g/kwh, the abscissa is the time, and the unit is s, wherein the solid line represents the output of the GT model, and the dotted line represents the output of the identification model;
图17 是本发明对辨识模型进行验证时NOx排放的输出,其单位为g/kwh,横坐标为时间,单位为s,其中实线代表GT模型的输出,虚线代表辨识模型的输出;17 is the output of NOx emission when the identification model is verified by the present invention, the unit is g/kwh, the abscissa is time, and the unit is s, wherein the solid line represents the output of the GT model, and the dotted line represents the output of the identification model;
图18 是本发明对辨识模型进行验证时曲轴扭矩的输出,其单位为N.m,横坐标为时间,单位为s,其中实线代表GT模型的输出,虚线代表辨识模型的输出;18 is the output of crankshaft torque when the present invention verifies the identification model, the unit is N.m, the abscissa is time, and the unit is s, wherein the solid line represents the output of the GT model, and the dotted line represents the output of the identification model;
图19 是本发明在driving模式下对柴油机进行控制时喷油量的输入,单位为mg指的是每循环的喷油量,横坐标为时间,单位为s;Figure 19 is the input of the fuel injection amount when the present invention controls the diesel engine in the driving mode, the unit is mg, which refers to the fuel injection amount per cycle, the abscissa is the time, and the unit is s;
图20 是本发明在driving模式下对柴油机进行控制时EGR阀的开度的输入,横坐标是时间,单位为s;Figure 20 is the input of the opening degree of the EGR valve when the present invention controls the diesel engine in the driving mode, the abscissa is the time, and the unit is s;
图21 是本发明在driving模式下对柴油机进行控制时喷油滞后角的输入,单位为度(°),横坐标为时间,单位为s;Figure 21 is the input of the fuel injection lag angle when the present invention controls the diesel engine in the driving mode, the unit is degree (°), the abscissa is the time, and the unit is s;
图22 是本发明在driving模式下对柴油机进行控制时VGT齿条位置的输入,横坐标为时间,单位为s;Figure 22 is the input of the VGT rack position when the present invention controls the diesel engine in the driving mode, the abscissa is the time, and the unit is s;
图23 是本发明在driving模式下对柴油机进行控制时燃油消耗率的输出,其单位为g/kwh,横坐标为时间,单位为s;Figure 23 is the output of the fuel consumption rate when the present invention controls the diesel engine in the driving mode, the unit is g/kwh, the abscissa is the time, and the unit is s;
图24 是本发明在driving模式下对柴油机进行控制时NOx排放的输出,其单位为g/kwh,横坐标为时间,单位为s;Figure 24 is the output of NOx emission when the present invention controls the diesel engine in the driving mode, the unit is g/kwh, the abscissa is time, and the unit is s;
图25 是本发明在driving模式下对柴油机进行控制时曲轴扭矩的输出,其单位为N.m,横坐标为时间,单位为s,其中实线代表GT模型的输出,虚线代表辨识模型的输出;25 is the output of crankshaft torque when the present invention controls the diesel engine in the driving mode, the unit is N.m, the abscissa is time, and the unit is s, wherein the solid line represents the output of the GT model, and the dotted line represents the output of the identification model;
图26 是本发明在load模式下对柴油机进行控制时喷油量的输入,单位为mg指的是每循环的喷油量,横坐标为时间,单位为s;Figure 26 is the input of the fuel injection amount when the present invention controls the diesel engine in the load mode, the unit is mg, which refers to the fuel injection amount per cycle, the abscissa is the time, and the unit is s;
图27 是本发明在load模式下对柴油机进行控制时EGR阀的开度的输入,横坐标是时间,单位为s;Fig. 27 is the input of the opening degree of the EGR valve when the present invention controls the diesel engine in the load mode, the abscissa is the time, and the unit is s;
图28 是本发明在load模式下对柴油机进行控制时喷油滞后角的输入,单位为度(°),横坐标为时间,单位为s;Figure 28 is the input of the fuel injection lag angle when the present invention controls the diesel engine in the load mode, the unit is degree (°), the abscissa is the time, and the unit is s;
图29 是本发明在load模式下对柴油机进行控制时VGT齿条位置的输入,横坐标为时间,单位为s;Figure 29 is the input of the VGT rack position when the present invention controls the diesel engine in the load mode, the abscissa is the time, and the unit is s;
图30 是本发明在load模式下对柴油机进行控制时燃油消耗率的输出,其单位为g/kwh,横坐标为时间,单位为s;Figure 30 is the output of the fuel consumption rate when the present invention controls the diesel engine in the load mode, the unit is g/kwh, the abscissa is the time, and the unit is s;
图31 是本发明在load模式下对柴油机进行控制时NOx排放的输出,其单位为g/kwh,横坐标为时间,单位为s;Figure 31 is the output of NOx emission when the present invention controls the diesel engine in the load mode, the unit is g/kwh, the abscissa is time, and the unit is s;
图32 是本发明在load模式下对柴油机进行控制时柴油机转速的输出,其单位为rpm,横坐标为时间,单位为s,其中实线代表GT模型的输出,虚线代表辨识模型的输出。32 is the output of the diesel engine speed when the present invention controls the diesel engine in the load mode, the unit is rpm, the abscissa is the time, and the unit is s, wherein the solid line represents the output of the GT model, and the dotted line represents the output of the identification model.
具体实施方式Detailed ways
本发明首先针对柴油机的经济性能、动力性能及燃油经济性,提出了相应的控制指标,并选择了相应的控制输入;其次,根据系统的特性设计了适当的激励数据,以保证对系统稳态、动态特性的充分激励;接着,根据系统的阶跃响应特性,选择合适大小的输入输出矩阵对系统进行辨识;然后,考虑执行器的约束,利用模型预测控制算法构造相应的代价函数;最后,通过求解目标函数对应的最优问题,获得控制输入并将其作用于系统,从而实现对系统的控制。According to the economic performance, power performance and fuel economy of the diesel engine, the present invention firstly proposes corresponding control indexes and selects corresponding control input; , sufficient excitation of dynamic characteristics; then, according to the step response characteristics of the system, select a suitable size of input and output matrix to identify the system; then, considering the constraints of the actuator, use the model predictive control algorithm to construct the corresponding cost function; finally, By solving the optimal problem corresponding to the objective function, the control input is obtained and applied to the system, so as to realize the control of the system.
本发明所述的基于数据驱动MPC控制器的柴油机优化燃烧是通过GT-power与Simulink的联合仿真实现。其中GT-power是一个商用的复杂系统建模仿真平台,本发明利用其搭建一个高保真的柴油机燃烧模型,在仿真实验中用以代替一款真实的柴油机;MATLAB/ Simulink 则是用于控制器的仿真模型搭建,即通过 Simulink 编程来完成基于数据驱动MPC的柴油机优化燃烧控制器的搭建。The optimized combustion of the diesel engine based on the data-driven MPC controller of the present invention is realized through the joint simulation of GT-power and Simulink. GT-power is a commercial complex system modeling and simulation platform, and the present invention uses it to build a high-fidelity diesel engine combustion model, which is used to replace a real diesel engine in the simulation experiment; MATLAB/Simulink is used for the controller The simulation model is built, that is, the construction of the diesel engine optimized combustion controller based on data-driven MPC is completed through Simulink programming.
从功能上说本发明可以包括以下几部分:控制器仿真模块和带EGR-VGT的柴油机燃烧模型。下面详细说明各部分的作用:Functionally speaking, the present invention can include the following parts: a controller simulation module and a diesel engine combustion model with EGR-VGT. The function of each part is explained in detail below:
带EGR-VGT的柴油机燃烧模型主要用于离线仿真得到能够体现系统特性的输入输出激励数据,从而通过子空间辨识的方法得到面向控制的模型。The diesel engine combustion model with EGR-VGT is mainly used for offline simulation to obtain the input and output excitation data that can reflect the system characteristics, so as to obtain the control-oriented model through the method of subspace identification.
控制模块的主要作用是对柴油机燃烧模型的输入、输出量进行采集,然后通过求解相应的二次规划问题得到系统最优的控制信号(喷油量、喷油时刻、EGR阀的开度、VGT的齿条位置);The main function of the control module is to collect the input and output of the diesel engine combustion model, and then obtain the optimal control signal (fuel injection amount, fuel injection timing, EGR valve opening, VGT) by solving the corresponding quadratic programming problem. the rack position);
本发明中基于数据驱动MPC控制器的柴油机优化燃烧控制的控制框图,如图1所示。图中的控制器是在Simulink中搭建的,控制器的输入是喷油量、喷油时刻、EGR阀的开度及VGT齿条的位置,而实际的燃油消耗率、NOx的排放及发动机曲轴输出的扭矩是实时反馈回控制器的。考虑到实际存在的约束,喷油量的取值范围为0mg~40mg,喷油时刻-10~10,EGR阀开度对应的值范围0~0.3,VGT截面积对应的齿条位置范围0~1。The control block diagram of the diesel engine optimized combustion control based on the data-driven MPC controller in the present invention is shown in FIG. 1 . The controller in the figure is built in Simulink. The input of the controller is the fuel injection amount, the fuel injection timing, the opening of the EGR valve and the position of the VGT rack, while the actual fuel consumption rate, NOx emission and engine crankshaft The output torque is fed back to the controller in real time. Considering the actual constraints, the value range of the fuel injection amount is 0mg~40mg, the fuel injection time is -10~10, the value range corresponding to the opening of the EGR valve is 0~0.3, and the range of the rack position corresponding to the VGT cross-sectional area is 0~ 1.
本发明的控制目标是,柴油机输出的曲轴扭矩跟踪上期望值,同时优化燃油消耗率以及使得柴油机排放的NOx满足国五排放标准。The control objective of the present invention is that the crankshaft torque output by the diesel engine tracks the expected value, while optimizing the fuel consumption rate and making the NOx emitted by the diesel engine meet the National V emission standard.
根据上述步骤可以得到基于PC机的离线柴油机优化燃烧设计试验平台。该平台的搭建及运行过程如下所示:According to the above steps, a PC-based offline diesel engine optimized combustion design test platform can be obtained. The construction and operation process of the platform is as follows:
一、仿真平台搭建1. Construction of the simulation platform
柴油机优化燃烧控制系统的被控对象和控制器分别通过MATLAB/Simulink 和GT-power进行搭建,求解器选择分别为ode 3和Explicit-Runge-Kutta。仿真步长为定步长,本发明中选为0.04s。The controlled object and controller of the diesel engine optimized combustion control system are built through MATLAB/Simulink and GT-power, respectively, and the solvers are selected as
二、联合仿真设置2. Co-simulation settings
MATLAB/simulink与GT-power的联合仿真有两种方式,一种是在GT-power中调用MATLAB/Simulink中的模型;另一种是在MATLAB/Simulink中调用GT-power的模型。本发明中,为了便于控制器的调试使用的是第二联合仿真的方式。要实现MATLAB/Simulink与GT-power的联合仿真,首先要将GT-power的安装路径添到MATLAB中。然后分别在GT-power界面及MATLAB/simulink界面添加相应的通信接口模块,将MATLAB/Simulink和GT-power间需要通信的变量连接到这个模块。最后就是在MATLAB/simulink中设置仿真步长,在进行联合仿真的过程仿真步长一定要设置为定步长。There are two ways of co-simulation between MATLAB/simulink and GT-power, one is to call the model in MATLAB/Simulink in GT-power; the other is to call the model of GT-power in MATLAB/Simulink. In the present invention, in order to facilitate the debugging of the controller, the second co-simulation method is used. To realize the co-simulation of MATLAB/Simulink and GT-power, first add the installation path of GT-power to MATLAB. Then add the corresponding communication interface module on the GT-power interface and the MATLAB/simulink interface respectively, and connect the variables that need to be communicated between MATLAB/Simulink and GT-power to this module. The last step is to set the simulation step size in MATLAB/simulink. The simulation step size must be set to a fixed step size in the process of co-simulation.
三、集中式柴油机燃烧过程仿真模型搭建:采用模块化方法,在GT-power中搭建了带EGR-VGT的柴油机模型,其示意图如图2所示。该模型由环境设置模块、圆管模块、VGT模块、中冷器模块、三通管模块、EGR模块、四缸2升排量的柴油机模块及尾气后处理模块构成。首先在GT中新建一个文件,然后将环境设置模块1(EndEnvironment)拉入该文件中,通过该模块对环境温度及压力进行设置,具体的参数如表1 所示,其中Composition属性及Humidity Species属性分别使用GT自带的air对象及h2o-vap对象;然后通过圆管模块1将环境设置模块与环境设置模块与压缩机模块相连接,其中圆管模块1的参数如表1 所示;接着将压缩与中冷器连接在一起,其中中冷器的参数直接使用demo中的参数;接着通过三通管1将中冷器、四缸2L排放的柴油机模块的入口及EGR模块的出口连接在一起,其中四缸2L排放的柴油机模块的参数如表1 所示,其他的参数直接使用demo自带的参数,三通管1的参数如表1 所示;接着通过三通管模块2将四缸2L排放的柴油机模块的出口、涡轮机及EGR模块的入口连接在一起,三通管模块2的参数如表1 所示;然后将涡轮机通过圆管模块2与尾气后处理系统相连接,尾气后处理系统的参数直接使用demo的参数,圆管模块2的参数如表1所示,最后通过圆管模3块将尾气后处理模块与环境设置模块2连接在一起,其中圆管模块3的参数如表1 所示,环境设施模块2的参数与环境设置模块1的参数是一致的。3. Construction of a centralized diesel engine combustion process simulation model: Using a modular approach, a diesel engine model with EGR-VGT is built in GT-power, and its schematic diagram is shown in Figure 2. The model consists of an environment setting module, a round pipe module, a VGT module, an intercooler module, a three-way pipe module, an EGR module, a four-cylinder 2-liter diesel engine module, and an exhaust after-treatment module. First create a new file in GT, then pull the environment setting module 1 (EndEnvironment) into the file, and set the ambient temperature and pressure through this module. The specific parameters are shown in Table 1, among which the Composition attribute and Humidity Species attribute Use the air object and h2o-vap object that comes with GT respectively; then connect the environment setting module with the environment setting module and the compressor module through the
表1 带EGR+VGT的柴油机参数列表Table 1 Parameter list of diesel engine with EGR+VGT
四、柴油机优化燃烧控制方案4. Diesel engine optimization combustion control scheme
首先是控制目标的确定:使NOx的排放的均值小于2g/kwh,以满足国五排放标准对NOx排放的要求;同时使得柴油机输出的曲轴扭矩跟踪上期望值,以满足对柴油机动力性的要求;最后,在满足排放性能及动力性能的前提下,尽量降低燃油消耗。The first is to determine the control target: make the mean value of NOx emission less than 2g/kwh to meet the NOx emission requirements of the National V emission standard; at the same time, make the crankshaft torque output by the diesel engine track the expected value to meet the power requirements of the diesel engine; Finally, on the premise of satisfying the emission performance and power performance, the fuel consumption should be reduced as much as possible.
控制量的确定:对于柴油机而言,其输出的扭矩主要由喷油量决定;为了提高柴油机的燃油经济性及动力性,需要优化柴油机的喷油时刻及VGT的截面;另一方面,为了减低柴油机NOx的排放,需要对EGR阀的开度进行控制,所以为了满足上述控制目标,本发明选择喷油量、喷油时刻、EGR率及VGT的截面积作为控制量。Determination of control amount: For a diesel engine, the output torque is mainly determined by the fuel injection amount; in order to improve the fuel economy and power performance of the diesel engine, it is necessary to optimize the fuel injection timing of the diesel engine and the cross-section of the VGT; on the other hand, in order to reduce the Diesel NOx emission requires control of the opening of the EGR valve, so in order to meet the above control objectives, the present invention selects the fuel injection amount, fuel injection timing, EGR rate and VGT cross-sectional area as control variables.
控制器的选择:因为柴油机的燃烧过程复杂且存在较强的非线性,本发明使用增量型子空辨识的方法建模建立面向控制的模型;另一方面,考虑到MPC控制器能够很好的解决带约束、多目标优化问题,所以本发明使用基于增量型数据驱动MPC控制器。Selection of the controller: Because the combustion process of the diesel engine is complex and has strong nonlinearity, the present invention uses the incremental subspace identification method to build a control-oriented model; on the other hand, considering that the MPC controller can be very good To solve the constrained, multi-objective optimization problem, the present invention uses an incremental data-driven MPC controller.
确定控制目标、控制量及控制器之后就能得到本发明的柴油机优化燃烧控制方案,具体的控制框图如图1所示。After determining the control target, the control quantity and the controller, the diesel engine optimized combustion control scheme of the present invention can be obtained, and the specific control block diagram is shown in FIG. 1 .
五、柴油机优化燃烧数据驱动预测控制器5. Diesel engine optimized combustion data-driven predictive controller
①激励数据的选取:选取柴油机的喷油量、喷油时刻、EGR阀的开度、VGT的齿条位置(在GT模型中,VGT的截面积是由齿条位置决定的,齿条的位置在0~1的范围内变化)作为激励输入信号,在GT-power的柴油机燃烧模型中,将设计的喷油量、喷油时刻、EGR阀的开度、VGT的齿条位置给柴油机,开环运行模型,得到实际的NOx的排放量,发动机曲轴输出的扭矩,燃油消耗率;根据这些数据得到系统的输入Hankel矩阵、,输出Hankel矩阵、、:①Selection of excitation data: Select the fuel injection amount, fuel injection timing, EGR valve opening, VGT rack position of the diesel engine (in the GT model, the cross-sectional area of the VGT is determined by the rack position, and the rack position range from 0 to 1) as the excitation input signal, in the diesel engine combustion model of GT-power, the designed fuel injection amount, fuel injection timing, EGR valve opening, and VGT rack position are given to the diesel engine. Run the model in the loop to obtain the actual NOx emission, the torque output by the engine crankshaft, and the fuel consumption rate; according to these data, the input Hankel matrix of the system is obtained , , the output Hankel matrix , , :
(1) (1)
(2) (2)
(3) (3)
(4) (4)
(5) (5)
公式(1)中的表示系统在2…N-2M+2时刻系统的输出;公式(3)中的表示系统在2+M…N-M+2时刻系统的输出;因为公式(3)中的输出是系统未来M时刻的值,所以公式(3)中的输出超前公式(1)中对应的输出M时刻。其中第i时刻的系统输出为,其中、、分别表示第i时刻燃油消耗率、NOx排放量以及柴油机输出的曲轴扭矩 。in formula (1) represents the output of the system at
公式(2)中表示系统在2……N-M+2时刻系统输出的增量,其中第i时刻系统输出的增量为,即第i时刻系统的输出减去第i时刻的输出,其中、、分别表示第i时刻燃油消耗率、NOx排放量以及柴油机输出的曲轴扭矩;In formula (2) Represents the increment of the system output at
公式(4)中的表示系统在2……N-M+2时刻系统输入的增量;(5)中的表示系统在2+M…N+2 时刻系统输入的增量,其中第i时刻系统输入的增量为,即第i时刻系统的输出减去第i时刻的输出,其中、、、分别表示第i时刻的喷油量、EGR阀的开度、VGT截面积及喷油时刻;in formula (4) Represents the increment of the system input at the time of 2...N-M+2; in (5) Represents the increment of system input at
②通过输入输出Hankel矩阵构造系统增量形式的预测输出方程为:②Constructing the prediction output equation in the incremental form of the system through the input and output Hankel matrix is:
(6) (6)
其中,为系统的输入Hankel矩阵;即为通过增量型子空间辨识方法得到的系统未来的输出值,通过求解最小二乘问题,获得预测方程中的两个预测矩阵和:in , is the input Hankel matrix of the system; It is the future output value of the system obtained by the incremental subspace identification method. By solving the least squares problem, the two prediction matrices in the prediction equation are obtained. and :
(7) (7)
其中,两个预测矩阵系数和的解由下式求得:in , the two prediction matrix coefficients and The solution of is obtained by:
(8) (8)
式中和分别为和的转置。in the formula and respectively and transposition of .
③在得到增量型的预测矩阵和后,利用增量型子空间预测方程(6),即得到系统未来输出值;在得到如(6)所示的预测方程之后,本发明使用图5所示的激励输入对辨识模型的精度进行了验证,验证结果如图7所示。由图7可知,预测得到的系统的输出与实际值吻合得很好。③ After getting the incremental prediction matrix and Then, the incremental subspace prediction equation (6) is used to obtain the future output value of the system; after the prediction equation shown in (6) is obtained, the present invention uses the excitation input shown in FIG. 5 to evaluate the accuracy of the identification model. The verification results are shown in Figure 7. It can be seen from Figure 7 that the predicted output of the system is in good agreement with the actual value.
④数据驱动预测控制器设计:对目标函数对应的二次规划问题求解得到优化后的喷油量、喷油时刻、VGT的齿条位置、EGR阀的开度,目标函数的数学表达式如式(9)所示:④Design of data-driven predictive controller: Solve the quadratic programming problem corresponding to the objective function to obtain the optimized fuel injection quantity, fuel injection timing, VGT rack position, and EGR valve opening. The mathematical expression of the objective function is as follows (9) shows:
(9) (9)
其中k1、k2、k3、k4为目标函数的加权系数,k、p分别为当前时刻、预测时域,RT为期望的柴油机输出曲轴扭矩,RNOx由式(10)计算得到,由式(9)可得,目标函数中包括了:对柴油机输出曲轴扭矩的跟踪、对燃油消耗的优化以及对排放的跟踪优化。where k1 , k2 , k3 , and k4 are the weighting coefficients of the objective function, k and p are the current time and prediction time domain, respectively, RT is the expected output crankshaft torque of the diesel engine, and RNOx is calculated by formula (10). , can be obtained from equation (9), the objective function includes: tracking the output crankshaft torque of the diesel engine, optimizing the fuel consumption and Emission tracking optimization.
(10) (10)
其中,为前时刻总的NOx的排放量;式10的物理意义,在可预见的未来的100个时刻之内,使得NOx的排放量的平均值等于(1.95g/kwh)。in, before Total NOx emission at time; the physical meaning of
⑤为了便于控制器的推导,将式(6)进行等量代换得式(11)⑤ In order to facilitate the derivation of the controller, Equation (6) is equivalently replaced to obtain Equation (11)
(11) (11)
其中F项为系统自由相应部分,项被称为系统的控制相应。The F item is the corresponding free part of the system, The term is called the control response of the system.
⑥通过式(11),得到如下所示的目标函数:⑥ By formula (11), the following objective function is obtained:
(12) (12)
其中in
, ,
、 ,
为加权系数,系统的输入约束由式(13)、(14)进行描述: is the weighting coefficient, The input constraints of the system are described by equations (13) and (14):
(13) (13)
(14) (14)
式(13)描述的是对控制量的变化率的约束,其中、分别为控制量变化率的最大值与最小值,的值分别为40、0.3、10、1、-40、-0.3、-10、-1。式(14)描述的是对控制量的约束,、分别为控制量的最大值与最小值,的值分别为40、0.3、10、1、0、0、-10、0。通过求解带约束(13)、(14)的优化问题(12),就可以得到最优的控制率。如图3所示。Equation (13) describes the constraint on the rate of change of the control variable, where , are the maximum and minimum values of the control variable rate of change, respectively, The values are 40, 0.3, 10, 1, -40, -0.3, -10, -1, respectively. Equation (14) describes the constraints on the control quantity, , are the maximum and minimum values of the control variables, respectively. The values are 40, 0.3, 10, 1, 0, 0, -10, 0, respectively. By solving the optimization problem (12) with constraints (13) and (14), the optimal control rate can be obtained. As shown in Figure 3.
实验验证Experimental verification
模型预测控制的控制性能取决于预测模型的精度。为了验证模型的精度,本发明重新设计了一组激励输入,如图11、12、13、14所示,实验结果如图15、16、17所示。由图15、16、17可知,预测模型的NOx、燃油消耗率、曲轴扭矩输出能够很好地跟踪上实际系统的输出值。The control performance of model predictive control depends on the accuracy of the predictive model. In order to verify the accuracy of the model, the present invention redesigns a set of excitation inputs, as shown in Figures 11, 12, 13, and 14, and the experimental results are shown in Figures 15, 16, and 17. It can be seen from Figures 15, 16 and 17 that the NOx, fuel consumption rate and crankshaft torque output of the predicted model can well track the output value of the actual system.
为了进一步验证柴油机优化燃烧数据驱动MPC控制器的控制性能,本发明使用FTP75工况分别在测功机模式及driving模式下对控制器的控制性能进行了仿真实验。FTP75工况被称为目前最合理的循环工况测试规则,其中美国加州政府起到了至关重要的作用。本着测试最真实数据的原则,美国FTP75工况设计了很多接近现实的试验内容。FTP75共由一个市区循环工况和两个补充循环工况组成。两个补充循环工况分别为SC03高温空调全负荷运转循环和US06高速、高加速度循环。最终试验结果由这三个试验结果通过不同的比例计算而成,因此这样的数据更接近实际使用。In order to further verify the control performance of the diesel engine optimized combustion data-driven MPC controller, the present invention conducts simulation experiments on the control performance of the controller in dynamometer mode and driving mode using FTP75 operating conditions. The FTP75 working condition is known as the most reasonable cyclic working condition test rule, of which the California government has played a crucial role. Based on the principle of testing the most real data, many test contents close to reality have been designed for the FTP75 working condition in the United States. FTP75 is composed of one urban circulation condition and two supplementary circulation conditions. The two supplementary cycle conditions are SC03 high-temperature air conditioning full-load operation cycle and US06 high-speed, high-acceleration cycle. The final test results are calculated from these three test results through different scales, so such data are closer to actual use.
1、测功机模式1. Dynamometer mode
GT中的测功机模式是通过柴油机的转速及柴油机的输入计算相应的扭矩输出。本发明使用FTP75工况下的柴油机转速作为给定输入,以验证基于数据驱动MPC控制器的在复杂工况的性能,实验结果如图22、23、24所示,其最优的控制量如图18、19、20、21所示。由图24可知,柴油机实际输出的曲轴扭矩能够很好地跟踪上期望值;同时,通过计算可知,NOx的平均排放量为1.9152g/kwh ,该值能够满足国五排放标准对于NOx排放的要求;燃油消耗率的平均值为262.4231g/kwh。这时本发明认为,在测功机模式下基于数据驱动MPC的柴油机优化燃烧控制策略能够同时提高柴油机的动力性能、经济性能及排放性能。The dynamometer mode in the GT is to calculate the corresponding torque output through the speed of the diesel engine and the input of the diesel engine. The present invention uses the diesel engine speed under the FTP75 operating condition as a given input to verify the performance of the data-driven MPC controller in complex operating conditions. The experimental results are shown in Figures 22, 23, and 24. 18, 19, 20, 21 are shown. It can be seen from Figure 24 that the actual output crankshaft torque of the diesel engine can well track the expected value; at the same time, it can be seen from the calculation that the average emission of NOx is 1.9152g/kwh, which can meet the requirements of the National V emission standard for NOx emission; The average fuel consumption rate is 262.4231g/kwh. At this time, the present invention considers that the diesel engine optimized combustion control strategy based on data-driven MPC in the dynamometer mode can simultaneously improve the power performance, economic performance and emission performance of the diesel engine.
2、Driving模式2. Driving mode
GT中的driving模式是通过柴油机输入的负载扭矩及柴油机的输入计算柴油机的转速。在GT中柴油机的转速可以由下面的式(15)得到。The driving mode in GT is to calculate the rotational speed of the diesel engine through the input load torque of the diesel engine and the input of the diesel engine. The rotational speed of the diesel engine in the GT can be obtained by the following equation (15).
(15) (15)
其中,为柴油机的角加速度,该值可以由期望的柴油机的转速得到;J为柴油机的转动惯量;为柴油机输出的曲轴扭矩;为柴油机输入的负载扭矩。在实验过程中,柴油机的负载扭矩为认为给定的一个常值;期望的柴油机转速为FTP75工况下的柴油机转速;实验结果如图29、30、31所示,其最优的控制输入如图25、26、27、28所示。in, is the angular acceleration of the diesel engine, which can be obtained from the desired rotational speed of the diesel engine; J is the moment of inertia of the diesel engine; is the crankshaft torque output by the diesel engine; Load torque input for diesel engine. During the experiment, the load torque of the diesel engine is considered to be a given constant value; the expected diesel engine speed is the diesel engine speed under the FTP75 operating condition; the experimental results are shown in Figures 29, 30, and 31, and the optimal control input is as follows 25, 26, 27, 28.
由图31可知柴油机在driving模式下分别能够很好地跟踪上期望的柴油机转速;It can be seen from Figure 31 that the diesel engine can track the desired diesel engine speed well in the driving mode;
同时由图30可以得到NOx排放的均值为1.9225g/kwh,该值能够满足国五排放标准对于NOx排放的要求;由图29可以得到燃油消耗率的平均值为262.1950g/kwh。这时本发明认为,在driving模式下基于数据驱动MPC的柴油机优化燃烧控制策略能够同时提高柴油机的动力性能、经济性能及排放性能。At the same time, it can be obtained from Figure 30 that the average value of NOx emission is 1.9225g/kwh, which can meet the requirements of the National V emission standard for NOx emission; the average value of fuel consumption rate can be obtained from Figure 29 to be 262.1950g/kwh. At this time, the present invention considers that the diesel engine optimized combustion control strategy based on data-driven MPC in the driving mode can simultaneously improve the power performance, economic performance and emission performance of the diesel engine.
本发明使用基于数据驱动MPC的控制器对四缸2L排放的柴油机的燃烧过程进行控制。首先使用了系统的输入输出数据离线辨识得到了面向控制的模型,并通过实验对该模型的精度进行了验证,这一方面减少了传统机理建模的时间,另一方面提高了模型的精度;然后使用上述预测模型设计了MPC控制器,该控制器能够根据系统未来系统的动态超前产生控制率,从而能够很好地克服惯性对柴油机输出的影响;另一方面,该控制器能够处理多输入、多输出、带耦合的多目标优化问题,所以它能将柴油机的燃油经济性、动力性及排放性能统一到一个目标函数中,从而对柴油机的燃油经济性、动力性及排放性能进行优化。The invention uses a data-driven MPC-based controller to control the combustion process of a four-cylinder 2L diesel engine. Firstly, a control-oriented model is obtained by offline identification of the input and output data of the system, and the accuracy of the model is verified by experiments, which reduces the time of traditional mechanism modeling on the one hand, and improves the accuracy of the model on the other hand; Then, using the above prediction model, an MPC controller is designed, which can generate the control rate according to the dynamic advance of the system in the future, so that the influence of inertia on the output of the diesel engine can be well overcome; on the other hand, the controller can handle multiple inputs , multi-output, multi-objective optimization problem with coupling, so it can unify the fuel economy, power and emission performance of diesel engine into one objective function, so as to optimize the fuel economy, power and emission performance of diesel engine.
| Application Number | Priority Date | Filing Date | Title | 
|---|---|---|---|
| CN201710338848.9ACN107269408B (en) | 2017-05-15 | 2017-05-15 | Diesel engine optimized combustion controller and simulation model control method | 
| Application Number | Priority Date | Filing Date | Title | 
|---|---|---|---|
| CN201710338848.9ACN107269408B (en) | 2017-05-15 | 2017-05-15 | Diesel engine optimized combustion controller and simulation model control method | 
| Publication Number | Publication Date | 
|---|---|
| CN107269408A CN107269408A (en) | 2017-10-20 | 
| CN107269408Btrue CN107269408B (en) | 2022-08-05 | 
| Application Number | Title | Priority Date | Filing Date | 
|---|---|---|---|
| CN201710338848.9AActiveCN107269408B (en) | 2017-05-15 | 2017-05-15 | Diesel engine optimized combustion controller and simulation model control method | 
| Country | Link | 
|---|---|
| CN (1) | CN107269408B (en) | 
| Publication number | Priority date | Publication date | Assignee | Title | 
|---|---|---|---|---|
| CN110329258B (en)* | 2019-07-23 | 2021-04-30 | 吉林大学 | Coordinated control method for energy saving and emission reduction of intelligent driving vehicles | 
| CN113448318B (en)* | 2021-07-07 | 2022-08-16 | 江铃汽车股份有限公司 | Vehicle offline fault diagnosis control method | 
| CN115390443B (en)* | 2022-05-18 | 2025-04-01 | 北京理工大学 | A data-driven self-triggering control method for unknown systems | 
| CN114934848B (en)* | 2022-06-16 | 2023-04-07 | 哈尔滨工程大学 | Fuzzy neural network modeling method for optimizing control of combustion performance of diesel engine | 
| Publication number | Priority date | Publication date | Assignee | Title | 
|---|---|---|---|---|
| CN102588129A (en)* | 2012-02-07 | 2012-07-18 | 上海艾铭思汽车控制系统有限公司 | Optimization cooperative control method for discharge of nitrogen oxides and particles of high-pressure common-rail diesel | 
| CN105629736A (en)* | 2016-03-22 | 2016-06-01 | 东南大学 | Data-driven thermal power generation unit SCR denitration disturbance suppression prediction control method | 
| Publication number | Priority date | Publication date | Assignee | Title | 
|---|---|---|---|---|
| JP3383874B2 (en)* | 1993-07-19 | 2003-03-10 | 克享 小西 | Diesel engine combustion simulation method | 
| DE10020448B4 (en)* | 2000-04-26 | 2005-05-04 | Daimlerchrysler Ag | Method and device for optimizing the operation of an internal combustion engine | 
| US7184877B1 (en)* | 2005-09-29 | 2007-02-27 | International Engine Intellectual Property Company, Llc | Model-based controller for auto-ignition optimization in a diesel engine | 
| DE102006061936A1 (en)* | 2006-12-29 | 2008-07-03 | Robert Bosch Gmbh | Internal combustion engine's operation simulating method for motor vehicle, involves using model for simulation of operation of engine by considering control parameters and component parameter characterizing operation of components | 
| CN104401232B (en)* | 2014-12-21 | 2016-06-22 | 吉林大学 | Electric automobile torque optimization method based on data-driven PREDICTIVE CONTROL | 
| CN105221275B (en)* | 2015-08-20 | 2017-10-13 | 吉林大学 | Control System of Turbocharged Gasoline Engine Based on Model Identification | 
| Publication number | Priority date | Publication date | Assignee | Title | 
|---|---|---|---|---|
| CN102588129A (en)* | 2012-02-07 | 2012-07-18 | 上海艾铭思汽车控制系统有限公司 | Optimization cooperative control method for discharge of nitrogen oxides and particles of high-pressure common-rail diesel | 
| CN105629736A (en)* | 2016-03-22 | 2016-06-01 | 东南大学 | Data-driven thermal power generation unit SCR denitration disturbance suppression prediction control method | 
| Title | 
|---|
| 高炉热风炉燃烧输入输出数学模型的应用;丁洪起等;《钢铁》;20160315(第03期);全文* | 
| Publication number | Publication date | 
|---|---|
| CN107269408A (en) | 2017-10-20 | 
| Publication | Publication Date | Title | 
|---|---|---|
| Li et al. | Multi-objective energy management for Atkinson cycle engine and series hybrid electric vehicle based on evolutionary NSGA-II algorithm using digital twins | |
| CN107269408B (en) | Diesel engine optimized combustion controller and simulation model control method | |
| Li et al. | Multi-objective optimization of the Atkinson cycle gasoline engine using NSGA Ⅲ coupled with support vector machine and back-propagation algorithm | |
| CN104408271B (en) | A kind of gasoline engine scaling method based on model | |
| Nikzadfar et al. | An extended mean value model (EMVM) for control-oriented modeling of diesel engines transient performance and emissions | |
| CN106066606A (en) | Hydrogen internal combustion engine ignition timing calibration optimization system based on L M neutral net and optimization method thereof | |
| CN103711596A (en) | Method for controlling inlet air of turbo-charging gasoline engine | |
| CN104487679A (en) | Supercharged engine control apparatus | |
| CN105116730A (en) | Hydrogen fuel engine ignition advance angle optimization system based on particle swarm fuzzy neural network, and optimization method thereof | |
| Li et al. | Energy management of a parallel hybrid electric vehicle based on Lyapunov algorithm | |
| CN105221275B (en) | Control System of Turbocharged Gasoline Engine Based on Model Identification | |
| Tavares et al. | Hydraulic hybrid powertrain-in-the-loop integration for analyzing real-world fuel economy and emissions improvements | |
| Chiara et al. | An exhaust manifold pressure estimator for a two-stage turbocharged diesel engine | |
| CN117872769A (en) | Turbocharged diesel engine gas circuit sliding mode control method based on online data driving | |
| Ogata et al. | Highly efficient development of powertrain systems using 1D Real-Time Engine Model | |
| CN114934848B (en) | Fuzzy neural network modeling method for optimizing control of combustion performance of diesel engine | |
| Fairbrother et al. | Accurate gas exchange and combustion analysis directly at the test bed | |
| Sakai et al. | Torque demand control by nonlinear MPC for speed control of vehicles with variable valve lift engine | |
| Kuzmych et al. | Nonlinear control for a diesel engine: A CLF-based approach | |
| de Nola et al. | Definition of a methodology promoting the use of 1D thermo-fluid dynamic analysis for the reduction of the experimental effort in engine base calibration | |
| Dabo et al. | NCGPC with dynamic extension applied to a Turbocharged Diesel Engine | |
| CN115114785B (en) | Engine performance index parameterization rapid prediction method | |
| Li et al. | Physics-Informed Data-Driven Modeling for Engine Volumetric Efficiency Estimation | |
| Youssef et al. | Model based control of turbochargers: Application to a Diesel HCCI engine | |
| Sakai et al. | Torque demand control by nonlinear MPC with constraints for vehicles with variable valve lift engine | 
| Date | Code | Title | Description | 
|---|---|---|---|
| PB01 | Publication | ||
| PB01 | Publication | ||
| SE01 | Entry into force of request for substantive examination | ||
| SE01 | Entry into force of request for substantive examination | ||
| GR01 | Patent grant | ||
| GR01 | Patent grant |