








技术领域technical field
本发明涉及数字通信领域,具体是一种OFDM系统中的时频联合同步方法及装置。The invention relates to the field of digital communication, in particular to a time-frequency joint synchronization method and device in an OFDM system.
背景技术Background technique
数字通信系统是利用数字信号传输信息的系统,是构成现代通信网的基础。数字通信系统具有抗干扰能力强,可靠性高,易于加密且保密性强,灵活性好,设备可集成化等模拟通信系统不具有的优点。但存在诸多优点的同时,数字通信系统还存在着占用频带较宽,技术要求复杂,尤其是同步技术要求精度高等问题。A digital communication system is a system that uses digital signals to transmit information, and is the foundation of a modern communication network. The digital communication system has the advantages of strong anti-interference ability, high reliability, easy encryption, strong confidentiality, good flexibility, and equipment integration that the analog communication system does not have. However, while there are many advantages, the digital communication system still has the problems of wide occupied frequency band and complex technical requirements, especially the high precision required for synchronization technology.
数字通信最根本的要求和目标是信号在信道中能够可靠、高速的传输,为了满足这一需求,各种新型通信技术不断涌现出来,正交频分复用(OFDM)技术的出现能够有效减少数字通信过程中经常遇到的衰落、干扰及噪声对信号产生的影响,从而大幅度提高数字通信系统的信道容量与传输速率。因此,OFDM技术在数字通信领域得到越来越广泛的应用。The most fundamental requirement and goal of digital communication is the reliable and high-speed transmission of signals in the channel. In order to meet this requirement, various new communication technologies are emerging, and the emergence of Orthogonal Frequency Division Multiplexing (OFDM) technology can effectively reduce The fading, interference and noise often encountered in the process of digital communication affect the signal, thereby greatly improving the channel capacity and transmission rate of the digital communication system. Therefore, OFDM technology is more and more widely used in the field of digital communication.
OFDM技术因具有高频谱的利用率、抗多径干扰和频率选择性衰落、对均衡要求低等优点成为了第四代移动通信的核心技术。其与光纤通信技术相结合的光正交频分复用(OOFDM,Optical Orthogonal Frequency Division Multiplexing)也成为了光纤通信领域的一项核心技术。然而,OFDM数字通信系统(简称OFDM系统)同样有其固有的缺点,如高峰均比(PAPR)、对相位噪声、频偏和同步误差敏感等。本发明的目的是解决OFDM系统中的时频同步问题。OFDM technology has become the core technology of the fourth-generation mobile communication due to its advantages of high spectrum utilization, anti-multipath interference and frequency selective fading, and low requirements for equalization. Optical Orthogonal Frequency Division Multiplexing (OOFDM), which is combined with the optical fiber communication technology, has also become a core technology in the field of optical fiber communication. However, OFDM digital communication system (abbreviated as OFDM system) also has its inherent shortcomings, such as peak-to-average ratio (PAPR), sensitivity to phase noise, frequency offset and synchronization error. The purpose of the present invention is to solve the time-frequency synchronization problem in the OFDM system.
在OFDM系统中,一方面,为了接收端得到准确的快速傅里叶变换起始位置,需要进行准确的符号定时同步,否则将会导致严重的符号间干扰(ISI),甚至导致载波间干扰(ICI);另一方面,如果系统中的载波频率偏差得不到有效的补偿,OFDM系统子载波之间的正交性将被破坏,则该系统的诸多优势将不复存在。所以采用更加有效的同步技术来保证系统的通信质量至关重要,深入研究OFDM系统的符号定时同步与载波频率同步具有重要意义。In the OFDM system, on the one hand, in order to obtain an accurate fast Fourier transform starting position at the receiving end, it is necessary to perform accurate symbol timing synchronization, otherwise it will cause severe inter-symbol interference (ISI), and even lead to inter-carrier interference ( On the other hand, if the carrier frequency deviation in the system cannot be effectively compensated, the orthogonality between the sub-carriers of the OFDM system will be destroyed, and many advantages of the system will cease to exist. Therefore, it is very important to adopt more effective synchronization technology to ensure the communication quality of the system. It is of great significance to study the symbol timing synchronization and carrier frequency synchronization of OFDM system in depth.
按照是否需要在OFDM符号中额外插入数据,同步算法可以分为两大类:数据辅助型同步算法和非数据辅助型同步算法。数据辅助型同步算法由于插入了额外的数据,不可避免地增加了系统的冗余度,降低了系统的有效性,但是这类算法的优点是估计精度高且计算复杂度相对较低,在OFDM系统具有更好的应用前景。此类算法主要包括基于保护间隔的同步算法、基于导频的同步算法以及基于训练序列的同步算法三种。基于训练序列的同步方法,因为其同步速度快、精度高等优点,常被应用于突发通信中,在加性高斯白噪声(AWGN)信道和多径衰落信道下该方法都可以获得很好的同步性能,也是OFDM系统中实现时频联合同步的首选方法。传统的基于训练序列的同步算法主要依靠训练序列的相关性来完成同步,因此,在设计训练序列时应使其内部某些部分之间具有较强的相关性,并且能够容易实现。According to whether additional data needs to be inserted into the OFDM symbol, synchronization algorithms can be divided into two categories: data-assisted synchronization algorithms and non-data-assisted synchronization algorithms. The data-assisted synchronization algorithm inevitably increases the redundancy of the system and reduces the effectiveness of the system due to the insertion of additional data, but the advantages of this type of algorithm are high estimation accuracy and relatively low computational complexity. The system has better application prospects. This kind of algorithm mainly includes three kinds of synchronization algorithm based on guard interval, synchronization algorithm based on pilot frequency and synchronization algorithm based on training sequence. The synchronization method based on training sequence is often used in burst communication because of its advantages of fast synchronization speed and high precision. This method can achieve good performance in both additive white Gaussian noise (AWGN) channels and multipath fading channels. Synchronization performance is also the preferred method for realizing time-frequency joint synchronization in OFDM systems. The traditional synchronization algorithm based on training sequence mainly relies on the correlation of the training sequence to complete the synchronization. Therefore, when designing the training sequence, some parts of the training sequence should have strong correlation and can be easily realized.
基于训练序列的同步算法中最经典的是文献《Robust frequency and timingsynchronization for OFDM》(T.M.Schmidl,D.C.Cox.Robust frequency and timingsynchronization for OFDM[J].Transactions on Communications,1997,45(12),pp:1613-1621)提出的Schmidl算法,利用训练序列的相关性进行同步的时频估计。由于循环前缀的存在,Schmidl算法的定时测量函数会出现“峰值平台”,造成定时模糊。经典时频同步算法都要经过两步运算才能分别计算出时间偏移和载波频率偏移,不仅具有较高的同步处理复杂度,又影响了处理的速度,因此出现了同时估计时间偏移和载波频率偏移的时频联合同步方法。The most classic of the synchronization algorithms based on training sequences is the literature "Robust frequency and timingsynchronization for OFDM" (T.M.Schmidl, D.C.Cox.Robust frequency and timingsynchronization for OFDM [J]. Transactions on Communications, 1997, 45(12), pp: 1613-1621) proposed the Schmidl algorithm, which uses the correlation of the training sequence to perform time-frequency estimation of synchronization. Due to the existence of the cyclic prefix, the timing measurement function of the Schmidl algorithm will have a "peak plateau", resulting in timing ambiguity. The classical time-frequency synchronization algorithm needs to go through two steps to calculate the time offset and carrier frequency offset respectively, which not only has high synchronization processing complexity, but also affects the processing speed. Therefore, simultaneous estimation of time offset and A time-frequency joint synchronization method for carrier frequency offset.
对时频联合同步方法进行研究的文献《Joint Timing Synchronization andFrequency Offset Acquisition Algorithm for MIMO OFDM Systems》(Q.Liu,B.Hu.Joint Timing Synchronization and Frequency Offset Acquisition Algorithmfor MIMO OFDM Systems[J].Systems Engineering and Electronics.2009,20(3),pp:470~478)针对传统同步算法存在的效率和精度上的问题,提出使用两个调频率不同的线性调频信号(LFM)作为训练序列,在接收端进行两次分数阶傅立叶变换(FrFT)可以同时计算出系统中的时偏和频偏,从而实现时频联合同步。The literature "Joint Timing Synchronization and Frequency Offset Acquisition Algorithm for MIMO OFDM Systems" (Q. Liu, B. Hu. Joint Timing Synchronization and Frequency Offset Acquisition Algorithm for MIMO OFDM Systems [J]. Systems Engineering and Electronics.2009, 20(3), pp: 470~478) Aiming at the problems of efficiency and accuracy of traditional synchronization algorithms, it is proposed to use two linear frequency modulation signals (LFM) with different modulation frequencies as training sequences, and perform Two fractional Fourier transforms (FrFT) can simultaneously calculate the time offset and frequency offset in the system, so as to realize the joint synchronization of time and frequency.
在此基础上,文献《Joint timing/frequency offset estimation andcorrection based on FrFT encoded training symbols for PDM CO-OFDM systems》(Huibin Zhou,Xiang Li,Ming Tang.Joint timing/frequency offset estimation andcorrection based on FrFT encoded training symbols for PDM CO-OFDM systems[J].Optics express(OE),2016,19(3),pp:2831-2845.)提出了偏振复用相干光正交频分复用系统中基于FrFT的时频联合同步算法。接收端通过一次FrFT实现对时间偏移和频率偏移同时进行估计,提高了已有同步算法的估计精度和估计范围。On this basis, the literature "Joint timing/frequency offset estimation and correction based on FrFT encoded training symbols for PDM CO-OFDM systems" (Huibin Zhou, Xiang Li, Ming Tang. Joint timing/frequency offset estimation and correction based on FrFT encoded training symbols for PDM CO-OFDM systems[J].Optics express(OE), 2016, 19(3), pp: 2831-2845.) proposed a time-frequency based FrFT in polarization multiplexing coherent optical orthogonal frequency division multiplexing system Joint synchronization algorithm. At the receiving end, the time offset and frequency offset are estimated simultaneously through one FrFT, which improves the estimation accuracy and estimation range of the existing synchronization algorithm.
但基于FrFT的时频联合同步方法同样存在一定的不足,在低信噪比时,FrFT对噪声的抑制作用有限,检测性能降低,并且多个LFM信号的FrFT谱存在相互遮蔽的问题,对估计精度造成一定的影响。However, the time-frequency joint synchronization method based on FrFT also has certain shortcomings. When the signal-to-noise ratio is low, FrFT has a limited effect on noise suppression, and the detection performance is reduced. In addition, the FrFT spectrum of multiple LFM signals has the problem of mutual shielding. Accuracy has a certain impact.
发明内容SUMMARY OF THE INVENTION
本发明提供一种OFDM系统中的时频联合同步方法及装置,用以同时估计系统中存在的时间偏移和频率偏移,提升时频同步精度,实现对OFDM符号的准确接收。本发明提出的时频联合同步方法基于Radon-Wigner(拉东-维格纳)变换实现,首先采用两个调频率互为相反数的线性调频(LFM)信号作为训练序列,并插入到所发送的OFDM数据符号前;然后,在接收端对接收到的训练序列进行Radon-Wigner变换,利用LFM信号经过Radon-Wigner变换后会产生冲激的特性,通过在Radon-Wigner变换域中检测峰值位置可以精确的检测出LFM信号。当OFDM系统中存在时间偏移和频率偏移时,LFM信号经Radon-Wigner变换后的峰值位置会发生相应的移动。最后利用检测得到的峰值位置变化量同时计算得出OFDM系统中存在的时偏和整数倍频偏,小数倍频偏可以利用传统Schmidl(施米德尔)算法进一步进行估计,由于定时位置已经确定,可以很容易计算出小数倍频偏。该同步算法相较于传统利用训练序列相关性进行同步的方法,可以同时计算出时偏和整数倍频偏,提高了同步效率,并且克服了低信噪比时FrFT对LFM信号检测性能降低的问题,因此在低信噪比时相较于基于FrFT的时频联合同步方法具有更好的同步效果,提高了时频同步精度。The present invention provides a time-frequency joint synchronization method and device in an OFDM system, which are used for simultaneously estimating the time offset and frequency offset existing in the system, improving the time-frequency synchronization accuracy, and realizing accurate reception of OFDM symbols. The time-frequency joint synchronization method proposed by the present invention is realized based on the Radon-Wigner transformation. First, two linear frequency modulation (LFM) signals with mutually opposite modulation frequencies are used as training sequences, and are inserted into the transmitted Then, at the receiving end, the received training sequence is subjected to Radon-Wigner transform, using the characteristic that the LFM signal will generate impulse after Radon-Wigner transform, by detecting the peak position in the Radon-Wigner transform domain The LFM signal can be accurately detected. When there are time offset and frequency offset in the OFDM system, the peak position of the LFM signal after Radon-Wigner transformation will move accordingly. Finally, the time offset and integer frequency offset existing in the OFDM system are calculated at the same time using the detected peak position variation. The fractional frequency offset can be further estimated by the traditional Schmidl algorithm. Since the timing position has been determined , the fractional frequency offset can be easily calculated. Compared with the traditional synchronization method using the correlation of the training sequence, the synchronization algorithm can calculate the time offset and the integer frequency offset at the same time, which improves the synchronization efficiency and overcomes the degradation of the LFM signal detection performance by FrFT when the signal-to-noise ratio is low. Therefore, when the signal-to-noise ratio is low, compared with the time-frequency joint synchronization method based on FrFT, it has a better synchronization effect and improves the time-frequency synchronization accuracy.
本发明解决该技术问题所采用的技术方案是:一种OFDM系统中的时频联合同步方法及装置。The technical solution adopted by the present invention to solve the technical problem is: a time-frequency joint synchronization method and device in an OFDM system.
本发明提供的OFDM系统中的时频联合同步方法,包括以下步骤:The time-frequency joint synchronization method in the OFDM system provided by the present invention includes the following steps:
在发送端选取两个调频率相反的线性调频LFM信号相加作为训练序列,并将训练序列插入到OFDM符号前;At the transmitting end, two linear frequency modulation LFM signals with opposite modulation frequencies are selected and added as a training sequence, and the training sequence is inserted before the OFDM symbol;
在接收端对接收到的训练序列进行Radon-Wigner变换,检测两个LFM信号在Radon-Wigner变换域的实际峰值位置信息;Radon-Wigner transform is performed on the received training sequence at the receiving end, and the actual peak position information of the two LFM signals in the Radon-Wigner transform domain is detected;
根据两个LFM信号在Radon-Wigner变换域的理论峰值位置信息、以及检测到的两个LFM信号在Radon-Wigner变换域的实际峰值位置信息,确定两个LFM信号对应的中心频率变化量;According to the theoretical peak position information of the two LFM signals in the Radon-Wigner transform domain and the detected actual peak position information of the two LFM signals in the Radon-Wigner transform domain, determine the center frequency variation corresponding to the two LFM signals;
根据得到的两个LFM信号的中心频率变化量和两个LFM信号的调频率,确定OFDM系统中存在的时间偏移和频率偏移;According to the obtained center frequency variation of the two LFM signals and the modulation frequency of the two LFM signals, determine the time offset and frequency offset existing in the OFDM system;
根据确定出的时间偏移和频率偏移对接收到的OFDM符号进行补偿。The received OFDM symbols are compensated according to the determined time offset and frequency offset.
进一步地,所述峰值位置信息包括调频率和中心频率;以及Further, the peak position information includes modulation frequency and center frequency; and
所述根据两个LFM信号在Radon-Wigner变换域的理论峰值位置信息、以及检测到的两个LFM信号在Radon-Wigner变换域的实际峰值位置信息,确定两个LFM信号对应的中心频率变化量,具体包括:According to the theoretical peak position information of the two LFM signals in the Radon-Wigner transform domain and the actual peak position information of the detected two LFM signals in the Radon-Wigner transform domain, determine the center frequency variation corresponding to the two LFM signals , including:
从两个LFM信号在Radon-Wigner变换域的理论峰值位置信息中提取两个LFM信号的中心频率理论值;Extract the theoretical value of the center frequency of the two LFM signals from the theoretical peak position information of the two LFM signals in the Radon-Wigner transform domain;
从检测到的两个LFM信号在Radon-Wigner变换域的实际峰值位置信息中提取两个LFM信号的中心频率实际值;Extract the actual value of the center frequency of the two LFM signals from the actual peak position information of the detected two LFM signals in the Radon-Wigner transform domain;
根据两个LFM信号的中心频率理论值和中心频率实际值,确定两个LFM信号对应的中心频率变化量。According to the theoretical value of the center frequency and the actual value of the center frequency of the two LFM signals, the corresponding center frequency variation of the two LFM signals is determined.
进一步地,所述两个LFM信号在Radon-Wigner变换域的理论峰值位置信息预先配置在接收端。Further, the theoretical peak position information of the two LFM signals in the Radon-Wigner transform domain is pre-configured at the receiving end.
进一步地,所述发送端选取的两个调频率相反的LFM信号分别使用如下公式表示:Further, the two LFM signals with opposite modulation frequencies selected by the transmitting end are respectively represented by the following formulas:
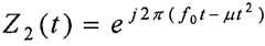
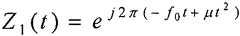
其中,-f0表示LFM信号Z1(t)的中心频率理论值,μ表示Z1(t)的调频率;f0表示LFM信号Z2(t)的中心频率理论值,-μ表示Z2(t)的调频率;Among them, -f0 represents the theoretical value of the center frequency of the LFM signal Z1 (t), μ represents the modulation frequency of Z1 (t); f0 represents the theoretical value of the center frequency of the LFM signal Z2 (t), and -μ represents Z2 (t) modulation frequency;
Z1(t)、Z2(t)在Radon-Wigner变换域中的理论峰值位置信息分别为(μ,-f0)、(-μ,f0);The theoretical peak position information of Z1 (t) and Z2 (t) in the Radon-Wigner transform domain are (μ, -f0 ), (-μ, f0 ), respectively;
Z1(t)、Z2(t)在Radon-Wigner变换域中的实际峰值位置信息分别为(μ,f01)、(-μ,f02),f01表示Z1(t)的中心频率实际值,f02表示Z2(t)的中心频率实际值;The actual peak position information of Z1 (t) and Z2 (t) in the Radon-Wigner transform domain are (μ, f01 ), (-μ, f02 ), respectively, and f01 represents the center of Z1 (t) The actual value of the frequency, f02 represents the actual value of the center frequency of Z2 (t);
所述根据两个LFM信号的中心频率理论值和中心频率实际值,确定两个LFM信号对应的中心频率变化量,具体通过如下公式表示:The center frequency variation corresponding to the two LFM signals is determined according to the theoretical value of the center frequency and the actual value of the center frequency of the two LFM signals, which is specifically expressed by the following formula:
δρ1=f01-(-f0)δρ1 =f01 -(-f0 )
δρ2=f02-f0δρ2 =f02 -f0
其中,δρ1表示LFM信号Z1(t)的中心频率变化量,δρ2表示LFM信号Z2(t)的中心频率变化量。Here, δρ1 represents the amount of change in the center frequency of the LFM signal Z1 (t), and δρ2 represents the amount of change in the center frequency of the LFM signal Z2 (t).
进一步地,所述根据得到的中心频率变化量和两个LFM信号的调频率,确定OFDM系统中存在的时间偏移和频率偏移,具体通过如下公式表示:Further, according to the obtained center frequency variation and the modulation frequencies of the two LFM signals, determine the time offset and frequency offset existing in the OFDM system, which is specifically expressed by the following formula:
δf=-(δρ1+δρ2)/2δf=-(δρ1 +δρ2 )/2
δt=(δρ1-δρ2)/2μδt=(δρ1 -δρ2 )/2μ
其中,δf表示OFDM系统中存在的频率偏移,δt表示OFDM系统中存在的时间偏移,δρ1表示LFM信号Z1(t)的中心频率变化量,δρ2表示LFM信号Z2(t)的中心频率变化量,μ表示Z1(t)的调频率。Among them, δf represents the frequency offset existing in the OFDM system, δt represents the time offset existing in the OFDM system, δρ1 represents the center frequency variation of the LFM signal Z1 (t), and δρ2 represents the LFM signal Z2 (t) The center frequency variation of , μ represents the modulation frequency of Z1 (t).
本发明提供的OFDM系统中的时频联合同步装置,包括:The time-frequency joint synchronization device in the OFDM system provided by the present invention includes:
训练序列插入模块,用于在发送端选取两个调频率相反的线性调频LFM信号相加作为训练序列,并将训练序列插入到OFDM符号前;A training sequence insertion module is used to select two linear frequency modulation LFM signals with opposite modulation frequencies at the transmitting end and add them as a training sequence, and insert the training sequence before the OFDM symbol;
变换检测模块,用于在接收端对接收到的训练序列进行Radon-Wigner变换,检测两个LFM信号在Radon-Wigner变换域的实际峰值位置信息;The transformation detection module is used to perform Radon-Wigner transformation on the received training sequence at the receiving end, and detect the actual peak position information of the two LFM signals in the Radon-Wigner transformation domain;
中心频率变化量确定模块,用于根据两个LFM信号在Radon-Wigner变换域的理论峰值位置信息、以及检测到的两个LFM信号在Radon-Wigner变换域的实际峰值位置信息,确定两个LFM信号对应的中心频率变化量;The center frequency variation determination module is used to determine the two LFMs according to the theoretical peak position information of the two LFM signals in the Radon-Wigner transform domain and the actual peak position information of the detected two LFM signals in the Radon-Wigner transform domain The center frequency change corresponding to the signal;
偏移确定模块,用于根据得到的两个LFM信号的中心频率变化量和两个LFM信号的调频率,确定OFDM系统中存在的时间偏移和频率偏移;The offset determination module is used to determine the time offset and frequency offset existing in the OFDM system according to the obtained center frequency variation of the two LFM signals and the modulation frequency of the two LFM signals;
同步模块,用于根据确定出的时间偏移和频率偏移对接收到的OFDM符号进行补偿。The synchronization module is used for compensating the received OFDM symbols according to the determined time offset and frequency offset.
进一步地,所述峰值位置信息包括调频率和中心频率;以及Further, the peak position information includes modulation frequency and center frequency; and
中心频率变化量确定模块,具体包括:The center frequency variation determination module, including:
第一提取子模块,用于从两个LFM信号在Radon-Wigner变换域的理论峰值位置信息中提取两个LFM信号的中心频率理论值;The first extraction submodule is used to extract the theoretical value of the center frequency of the two LFM signals from the theoretical peak position information of the two LFM signals in the Radon-Wigner transform domain;
第二提取子模块,用于从检测到的两个LFM信号在Radon-Wigner变换域的实际峰值位置信息中提取两个LFM信号的中心频率实际值;The second extraction submodule is used to extract the actual value of the center frequency of the two LFM signals in the actual peak position information of the Radon-Wigner transform domain from the detected two LFM signals;
中心频率变化量确定子模块,用于根据两个LFM信号的中心频率理论值和中心频率实际值,确定两个LFM信号对应的中心频率变化量。The center frequency variation determination sub-module is used for determining the center frequency variation corresponding to the two LFM signals according to the theoretical value of the center frequency and the actual value of the center frequency of the two LFM signals.
进一步地,还包括:Further, it also includes:
配置模块,用于在接收端预先配置所述两个LFM信号在Radon-Wigner变换域的理论峰值位置信息。The configuration module is configured to pre-configure the theoretical peak position information of the two LFM signals in the Radon-Wigner transform domain at the receiving end.
进一步地,所述发送端选取的两个调频率相反的LFM信号分别使用如下公式表示:Further, the two LFM signals with opposite modulation frequencies selected by the transmitting end are respectively represented by the following formulas:
其中,-f0表示LFM信号Z1(t)的中心频率理论值,μ表示Z1(t)的调频率;f0表示LFM信号Z2(t)的中心频率理论值,-μ表示Z2(t)的调频率;Among them, -f0 represents the theoretical value of the center frequency of the LFM signal Z1 (t), μ represents the modulation frequency of Z1 (t); f0 represents the theoretical value of the center frequency of the LFM signal Z2 (t), and -μ represents Z2 (t) modulation frequency;
Z1(t)、Z2(t)在Radon-Wigner变换域中的理论峰值位置信息分别为(μ,-f0)、(-μ,f0);The theoretical peak position information of Z1 (t) and Z2 (t) in the Radon-Wigner transform domain are (μ, -f0 ), (-μ, f0 ), respectively;
Z1(t)、Z2(t)在Radon-Wigner变换域中的实际峰值位置信息分别为(μ,f01)、(-μ,f02),f01表示Z1(t)的中心频率实际值,f02表示Z2(t)的中心频率实际值;The actual peak position information of Z1 (t) and Z2 (t) in the Radon-Wigner transform domain are (μ, f01 ), (-μ, f02 ), respectively, and f01 represents the center of Z1 (t) The actual value of the frequency, f02 represents the actual value of the center frequency of Z2 (t);
所述中心频率变化量确定子模块,具体通过如下公式表示:The central frequency variation determination sub-module is specifically expressed by the following formula:
δρ1=f01-(-f0)δρ1 =f01 -(-f0 )
δρ2=f02-f0δρ2 =f02 -f0
其中,δρ1表示LFM信号Z1(t)的中心频率变化量,δρ2表示LFM信号Z2(t)的中心频率变化量。Here, δρ1 represents the amount of change in the center frequency of the LFM signal Z1 (t), and δρ2 represents the amount of change in the center frequency of the LFM signal Z2 (t).
进一步地,所述偏移确定模块,具体通过如下公式表示:Further, the offset determination module is specifically expressed by the following formula:
δf=-(δρ1+δρ2)/2δf=-(δρ1 +δρ2 )/2
δt=(δρ1-δρ2)/2μδt=(δρ1 -δρ2 )/2μ
其中,δf表示OFDM系统中存在的频率偏移,δt表示OFDM系统中存在的时间偏移,δρ1表示LFM信号Z1(t)的中心频率变化量,δρ2表示LFM信号Z2(t)的中心频率变化量,μ表示Z1(t)的调频率。Among them, δf represents the frequency offset existing in the OFDM system, δt represents the time offset existing in the OFDM system, δρ1 represents the center frequency variation of the LFM signal Z1 (t), and δρ2 represents the LFM signal Z2 (t) The center frequency variation of , μ represents the modulation frequency of Z1 (t).
与现有技术相比,本发明的显著进步是:Compared with the prior art, the significant progress of the present invention is:
(1)本发明是OFDM系统中的时频联合同步方法及装置。相比于传统定时同步和载波频率同步算法,本发明所提出的时频联合同步算法可以通过在接收端进行Radon-Wigner变换同时估计出系统中存在的时偏和频偏,并获得更高的估计精度,克服了传统算法在效率和精度上的不足,实现OFDM信号的准确接收。并且由于Radon-Wigner变换对LFM信号良好的聚集特性,能有效克服在低信噪比时FrFT对LFM信号检测性能下降及多个LFM信号存在时其变换谱相互遮蔽可能造成峰值误判的问题。(1) The present invention is a time-frequency joint synchronization method and device in an OFDM system. Compared with the traditional timing synchronization and carrier frequency synchronization algorithms, the time-frequency joint synchronization algorithm proposed by the present invention can simultaneously estimate the time offset and frequency offset existing in the system by performing Radon-Wigner transformation at the receiving end, and obtain higher The estimation accuracy overcomes the shortcomings of traditional algorithms in terms of efficiency and accuracy, and realizes accurate reception of OFDM signals. Moreover, due to the good aggregation characteristics of the LFM signal by the Radon-Wigner transform, it can effectively overcome the problem that the detection performance of the FrFT on the LFM signal is degraded when the signal-to-noise ratio is low, and the transform spectra of multiple LFM signals may be shielded by each other, which may cause peak misjudgment.
(2)本发明的仿真结果显示,本发明提出的时频联合同步方法可以有效地提高时偏和频偏的估计精度,特别是在低信噪比的情况下,与现有同步方法相比具有优越的同步性能。(2) The simulation results of the present invention show that the time-frequency joint synchronization method proposed by the present invention can effectively improve the estimation accuracy of time offset and frequency offset, especially in the case of low signal-to-noise ratio, compared with the existing synchronization methods Has superior synchronization performance.
附图说明Description of drawings
下面结合附图和实施例对本发明进一步说明。The present invention will be further described below in conjunction with the accompanying drawings and embodiments.
图1为本发明一种OFDM系统中的时频同步方法的流程图;1 is a flowchart of a time-frequency synchronization method in an OFDM system of the present invention;
图2为本发明一种OFDM系统中的时频同步装置的结构图;FIG. 2 is a structural diagram of a time-frequency synchronization device in an OFDM system of the present invention;
图3为本发明用于OFDM系统中的时频联合同步所使用的OFDM信号调制解调框图;FIG. 3 is a block diagram of OFDM signal modulation and demodulation used for time-frequency joint synchronization in an OFDM system according to the present invention;
图4为OFDM系统同步框图;Fig. 4 is the synchronization block diagram of the OFDM system;
图5为本发明应用于OFDM系统中时频联合同步算法的LFM信号的Radon-Wigner变换仿真图;Fig. 5 is the Radon-Wigner transform simulation diagram of the LFM signal applied to the time-frequency joint synchronization algorithm in the OFDM system according to the present invention;
图6为本发明方法和现有同步算法在不同信噪比下的平均定时估计误差比较图;6 is a comparison diagram of the average timing estimation error of the method of the present invention and the existing synchronization algorithm under different signal-to-noise ratios;
图7为本发明方法和现有同步算法在不同信噪比下的平均归一化频偏估计误差比较图;7 is a comparison diagram of the average normalized frequency offset estimation error of the method of the present invention and the existing synchronization algorithm under different signal-to-noise ratios;
图8为本发明方法和现有同步算法在不同归一化频偏下的平均估计误差比较图。FIG. 8 is a comparison diagram of the average estimation error of the method of the present invention and the existing synchronization algorithm under different normalized frequency offsets.
图9为本发明方法和现有同步算法在不同归一化频偏下的对频偏的平均估计误差比较图。FIG. 9 is a comparison diagram of the average estimation error of the frequency offset between the method of the present invention and the existing synchronization algorithm under different normalized frequency offsets.
具体实施方式Detailed ways
本发明实施例提供了一种OFDM系统时频联合同步方法及装置,实现了对OFDM符号的准确接收。The embodiments of the present invention provide a time-frequency joint synchronization method and device for an OFDM system, which realizes accurate reception of OFDM symbols.
如图1所示,本发明实施例提供了一种OFDM系统中的时频联合同步方法,包括以下步骤:As shown in FIG. 1 , an embodiment of the present invention provides a time-frequency joint synchronization method in an OFDM system, including the following steps:
第一步,在发送端选取两个调频率相反的线性调频(LFM)信号相加作为训练序列T(t),并将训练序列插入到OFDM符号前。In the first step, two linear frequency modulation (LFM) signals with opposite modulation frequencies are selected and added as a training sequence T(t) at the transmitting end, and the training sequence is inserted before the OFDM symbol.
即:which is:
T(t)=Z1(t)+Z2(t)T(t)=Z1 (t)+Z2 (t)
其中,Z1(t)和Z2(t)为两个调频率相反的LFM信号,-f0表示不存在偏移时LFM信号Z1(t)的中心频率理论值,μ表示Z1(t)的调频率;f0表示不存在偏移时LFM信号Z2(t)的中心频率理论值,-μ表示Z2(t)的调频率。Among them, Z1 (t) and Z2 (t) are two LFM signals with opposite modulation frequencies, -f0 represents the theoretical value of the center frequency of the LFM signal Z1 (t) when there is no offset, μ represents Z1 ( t); f0 represents the theoretical value of the center frequency of the LFM signal Z2 (t) when there is no offset, and -μ represents the modulation frequency of Z2 (t).
第二步,在接收端对接收到的训练序列进行Radon-Wigner变换,检测两个LFM信号在Radon-Wigner变换域的实际峰值位置信息。In the second step, Radon-Wigner transform is performed on the received training sequence at the receiving end, and the actual peak position information of the two LFM signals in the Radon-Wigner transform domain is detected.
接收端对信号进行Radon-Wigner变换,由于该变换对LFM信号具有汇聚作用,因此变换后的LFM信号会在Radon-Wigner变换域中产生峰值。The receiving end performs Radon-Wigner transform on the signal. Since the transform has a converging effect on the LFM signal, the transformed LFM signal will generate a peak in the Radon-Wigner transform domain.
的Wigner变换: The Wigner transform:
的Radon-Wigner变换: The Radon-Wigner transform:
因此,当不存在偏移时,Z1(t)、Z2(t)在Radon-Wigner变换域中的理论峰值位置信息分别为(μ,-f0)、(-μ,f0)。Therefore, when there is no offset, the theoretical peak position information of Z1 (t) and Z2 (t) in the Radon-Wigner transform domain are (μ, -f0 ), (-μ, f0 ), respectively.
第三步,根据两个LFM信号在Radon-Wigner变换域的理论峰值位置信息、以及检测到的两个LFM信号在Radon-Wigner变换域的实际峰值位置信息,确定两个LFM信号对应的中心频率变化量。The third step is to determine the center frequency corresponding to the two LFM signals according to the theoretical peak position information of the two LFM signals in the Radon-Wigner transform domain and the detected actual peak position information of the two LFM signals in the Radon-Wigner transform domain amount of change.
两个LFM信号f1、f2在其时频平面可以表示为:The two LFM signals f1 and f2 can be expressed as:
f1=-f0+μt1f1 =-f0 +μt1
f2=f0-μt2f2 =f0 -μt2
其中f0和-f0分别为其中心频率,μ和-μ分别为调频率,f1和f2为频率,t1和t2为时间。where f0 and -f0 are the center frequencies, μ and -μ are the modulation frequencies, f1 and f2 are frequencies, and t1 and t2 are times.
当存在时偏和频偏时:When time offset and frequency offset are present:
f1+δf=-f0+μ(t1+δt)f1 +δf=-f0 +μ(t1 +δt)
f2+δf=f0-μ(t2+δt)f2 +δf=f0 -μ(t2 +δt)
即which is
f1=-f0+μ(t1+δt)-δff1 =-f0 +μ(t1 +δt)-δf
f2=f0-μ(t2+δt)-δff2 =f0 -μ(t2 +δt)-δf
其中δt为系统中存在的时间偏移量,δf为系统中存在的载波频率偏移量。Where δt is the time offset existing in the system, and δf is the carrier frequency offset existing in the system.
则此时的中心频率f01和f02为Then the center frequencies f01 and f02 at this time are
f01=-f0+μδt-δff01 =-f0 +μδt-δf
f02=f0-μδt-δff02 =f0 -μδt-δf
发生偏移后,两个信号的调频率保持不变,中心频率发生变化,中心频率变化量δρ为:After the offset occurs, the modulation frequency of the two signals remains unchanged, the center frequency changes, and the center frequency change δρ is:
δρ1=f01-(-f0)δρ1 =f01 -(-f0 )
δρ2=f02-f0δρ2 =f02 -f0
即which is
δρ1=-δf+μδtδρ1 =-δf+μδt
δρ2=-δf-μδtδρ2 =-δf-μδt
第四步,根据得到的两个LFM信号的中心频率变化量和两个LFM信号的调频率,确定OFDM系统中存在的时间偏移和频率偏移。In the fourth step, the time offset and the frequency offset existing in the OFDM system are determined according to the obtained center frequency variation of the two LFM signals and the modulation frequencies of the two LFM signals.
根据所得信号中心频率变化量和信号调频率计算出系统中存在的时间偏移和频率偏移,具体通过如下公式计算:According to the obtained signal center frequency variation and signal modulation frequency, the time offset and frequency offset existing in the system are calculated. Specifically, the following formulas are used to calculate:
δf=-(δρ1+δρ2)/2δf=-(δρ1 +δρ2 )/2
δt=(δρ1-δρ2)/2μδt=(δρ1 -δρ2 )/2μ
第五步,根据确定出的时间偏移和频率偏移对接收到的OFDM符号进行补偿。In the fifth step, the received OFDM symbols are compensated according to the determined time offset and frequency offset.
图2所示实施例表明,本发明方法采用的OFDM系统中时频联合同步装置图:The embodiment shown in FIG. 2 shows the diagram of the time-frequency joint synchronization device in the OFDM system adopted by the method of the present invention:
训练序列插入模块21,用于在发送端选取两个调频率相反的线性调频LFM信号相加作为训练序列,并将训练序列插入到OFDM符号前;The training
变换检测模块22,用于在接收端对接收到的训练序列进行Radon-Wigner变换,检测两个LFM信号在Radon-Wigner变换域的实际峰值位置信息;The transformation detection module 22 is used for performing Radon-Wigner transformation on the training sequence received at the receiving end, and detects the actual peak position information of the two LFM signals in the Radon-Wigner transformation domain;
中心频率变化量模块23,用于根据两个LFM信号在Radon-Wigner变换域的理论峰值位置信息、以及检测到的两个LFM信号在Radon-Wigner变换域的实际峰值位置信息,确定两个LFM信号对应的中心频率变化量;The center frequency variation module 23 is used to determine the two LFMs according to the theoretical peak position information of the two LFM signals in the Radon-Wigner transform domain and the actual peak position information of the detected two LFM signals in the Radon-Wigner transform domain The center frequency change corresponding to the signal;
中心频率变化量模块23具体可以包括:The center frequency variation module 23 may specifically include:
第一提取子模块231,用于从两个LFM信号在Radon-Wigner变换域的理论峰值位置信息中提取两个LFM信号的中心频率理论值;The first extraction submodule 231 is used to extract the theoretical value of the center frequency of the two LFM signals from the theoretical peak position information of the Radon-Wigner transform domain of the two LFM signals;
第二提取子模块232,用于从检测到的两个LFM信号在Radon-Wigner变换域的实际峰值位置信息中提取两个LFM信号的中心频率实际值;The second extraction submodule 232 is used to extract the actual value of the center frequency of the two LFM signals in the actual peak position information of the Radon-Wigner transform domain from the detected two LFM signals;
确定子模块233,用于根据两个LFM信号的中心频率理论值和中心频率实际值,确定两个LFM信号对应的中心频率变化量;其中两个LFM信号的中心频率理论值可由配置模块在接收端预先配置所述两个LFM信号在Radon-Wigner变换域的理论峰值位置信息;The determination sub-module 233 is used to determine the corresponding center frequency variation of the two LFM signals according to the theoretical value of the center frequency and the actual value of the center frequency of the two LFM signals; wherein the theoretical value of the center frequency of the two LFM signals can be received by the configuration module. The terminal preconfigures the theoretical peak position information of the two LFM signals in the Radon-Wigner transform domain;
偏移确定模块24,用于根据得到的两个LFM信号的中心频率变化量和两个LFM信号的调频率,确定OFDM系统中存在的时间偏移和频率偏移;The offset determination module 24 is used to determine the time offset and the frequency offset existing in the OFDM system according to the obtained center frequency variation of the two LFM signals and the modulation frequency of the two LFM signals;
同步模块25,用于根据确定出的时间偏移和频率偏移对接收到的OFDM符号进行补偿。The synchronization module 25 is configured to compensate the received OFDM symbols according to the determined time offset and frequency offset.
其中需要进行同步的OFDM信号的调制解调过程如图3所示。为方便理解,先对涉及到的OFDM调制解调过程、系统同步模型和所涉及到的Radon-Wigner变换的基本原理简要介绍如下:The modulation and demodulation process of the OFDM signal that needs to be synchronized is shown in FIG. 3 . For the convenience of understanding, the basic principles of the involved OFDM modulation and demodulation process, system synchronization model and the involved Radon-Wigner transform are briefly introduced as follows:
(1)本发明方法采用的OFDM信号的调制解调过程,具体描述如图3所示。随着大规模集成电路技术与DSP技术的发展,人们成功利用离散傅里叶逆变换(IDFT)/离散傅里叶变换(DFT)实现对OFDM信号的调制/解调,推动了OFDM技术走向实际应用。(1) The modulation and demodulation process of the OFDM signal adopted by the method of the present invention is described in detail as shown in FIG. 3 . With the development of large-scale integrated circuit technology and DSP technology, people have successfully used inverse discrete Fourier transform (IDFT)/discrete Fourier transform (DFT) to realize modulation/demodulation of OFDM signals, which has promoted OFDM technology to practice. application.
从多载波调制的角度分析OFDM信号的调制/解调原理,由图3可以看出,当我们以一个OFDM符号为例,并且以速率TS/N对s(t)进行抽样,则得到第m个抽样值:From the perspective of multi-carrier modulation, the modulation/demodulation principle of OFDM signal is analyzed. It can be seen from Figure 3 that when we take an OFDM symbol as an example and sample s(t) at the rate TS /N, we can get the first m sampled values:
结合子载波正交条件,可知Combined with the subcarrier orthogonality condition, it can be known that
综合两式,可以得到:Combining the two formulas, we can get:
其中,表示IDFT。在接收端,可以通过DFT进行解调:in, Indicates IDFT. At the receiving end, it can be demodulated by DFT:
可以看出OFDM信号的调制/解调可以利用IDFT/DFT进行,而且通常实际中采用更加快捷高效的IFFT和FFT来代替,将复合乘法运算的次数由N2降为这样不仅降低了计算的复杂度,而且节约了系统成本,奠定了OFDM技术广泛应用坚实的基础。It can be seen that the modulation/demodulation of OFDM signals can be performed by IDFT/DFT, and usually more efficient and efficient IFFT and FFT are used instead in practice, reducing the number of complex multiplication operations from N2 to This not only reduces the computational complexity, but also saves the system cost, laying a solid foundation for the wide application of OFDM technology.
(2)OFDM系统同步模型:本发明是为了解决OFDM数字通信系统中的时频联合同步问题,即同时估计出系统中存在的时间偏移和整数倍载波频率偏移。在OFDM系统中,同步技术按功能可以分为三类:第一类为符号定时同步,第二类为载波频率同步,第三类为采样钟同步,如图4所示。(2) OFDM system synchronization model: The present invention is to solve the time-frequency joint synchronization problem in the OFDM digital communication system, that is, to estimate the time offset and integer multiple carrier frequency offset existing in the system at the same time. In an OFDM system, synchronization techniques can be divided into three categories according to their functions: the first category is symbol timing synchronization, the second category is carrier frequency synchronization, and the third category is sampling clock synchronization, as shown in Figure 4.
OFDM系统接收端进行符号定时同步,才能得到OFDM符号的正确起始位置,以明确FFT窗口的位置,最终实现正确的解调。由于系统采用了相干检测,而发射端与接收端的激光器受各种因素影响,会存在一定的频率偏差,因此需要载波频率同步估计出这个偏差并且进行补偿,才能将信号恢复到基带,否则,子载波间的正交性被破坏也会严重影响系统性能。由于估计误差、噪声、发端晶体振荡器的漂移,导致收发两端采样时钟频率存在一定的偏差,这就是采样种同步要解决的问题。The receiving end of the OFDM system performs symbol timing synchronization to obtain the correct starting position of the OFDM symbol, so as to clarify the position of the FFT window, and finally achieve correct demodulation. Since the system adopts coherent detection, and the lasers at the transmitter and receiver are affected by various factors, there will be a certain frequency deviation. Therefore, the carrier frequency needs to be estimated and compensated synchronously to restore the signal to the baseband. The destruction of the orthogonality between the carriers will also seriously affect the system performance. Due to estimation error, noise, and drift of the crystal oscillator at the sending end, there is a certain deviation in the sampling clock frequency at both ends of the transceiver, which is the problem to be solved by the synchronization of sampling species.
在实际系统中,采样频率偏差受信道中各种因素的影响小,而且系统中光载波频率又远大于采样频率,故采样频率的偏差一般比较小,其影响也没有前两者严重,另外,在定时同步与频率同步过程中也可以补偿一部分采样频率偏差带来的定时误差与频率误差,因此,本发明主要针对符号定时与载波频率同步进行分析与研究。In the actual system, the sampling frequency deviation is less affected by various factors in the channel, and the optical carrier frequency in the system is much larger than the sampling frequency, so the sampling frequency deviation is generally relatively small, and its impact is not as serious as the first two. Timing errors and frequency errors caused by a part of sampling frequency deviation can also be compensated in the process of timing synchronization and frequency synchronization. Therefore, the present invention mainly analyzes and studies symbol timing and carrier frequency synchronization.
(3)Radon-Wigner变换的基本原理(3) The basic principle of Radon-Wigner transform
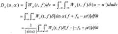
Radon变换是一种直线积分的投影变换,将直角坐标系旋转α角度得到一个新的直角坐标系(u,v),这时以不同的u值平行于v轴积分,所得的结果就是Radon变换。Radon transformation is a projection transformation of straight line integration. A new rectangular coordinate system (u, v) is obtained by rotating the rectangular coordinate system by an angle of α. At this time, the integration is parallel to the v-axis with different u values, and the result obtained is the Radon transformation. .
对于时频平面来说,对任意一个二维函数x(t,f)来说,α角度的Radon变换可以表示为For the time-frequency plane, for any two-dimensional function x(t, f), the Radon transform of the α angle can be expressed as
Radon-Wigner变换是对Wigner-Ville分布的时频平面作Radon变换,其定义为The Radon-Wigner transform is a Radon transform on the time-frequency plane of the Wigner-Ville distribution, which is defined as
一般习惯用y轴的截距f0和斜率μ为参数表示直线,有f0=u/sinα,μ=-cotα,以参数(μ,f0)表示积分路径,可得:It is generally customary to use the intercept f0 of the y-axis and the slope μ as parameters to represent a straight line. There are f0 =u/sinα, μ=-cotα, and the parameter (μ, f0 ) is used to represent the integral path, we can get:
Radon-Wigner变换会在对应的参数(μ,f0)呈现尖峰,当参数偏离μ和f0时,Radon-Wigner变换值迅速减小。对于一个线性调频信号其Wigner-Ville分布为The Radon-Wigner transform will show sharp peaks in the corresponding parameters (μ, f0 ), and when the parameters deviate from μ and f0 , the value of the Radon-Wigner transform decreases rapidly. For a chirp signal Its Wigner-Ville distribution is
对LFM信号进行Radon-Wigner变换用Dz(μ,α)表示:The Radon-Wigner transform of the LFM signal is represented by Dz (μ, α):
若Z(t)是参数为f0和μ的信号,则积分值最大;而当参数偏离f0和μ时,积分值将会迅速减小。即对一定的LFM信号,其Radon-Wigner变换会在对应的参数(μ,f0)处呈现尖峰,如图4为LFM信号进行Radon-Wigner变换的仿真。If Z(t) is a signal with parameters f0 and μ, the integral value is the largest; and when the parameters deviate from f0 and μ, the integral value will decrease rapidly. That is, for a certain LFM signal, its Radon-Wigner transform will present a peak at the corresponding parameter (μ, f0 ).
图3所示实施例表明,本发明方法采用的OFDM信号的调制解调图:The embodiment shown in FIG. 3 shows the modulation and demodulation diagram of the OFDM signal adopted by the method of the present invention:
随着大规模集成电路技术与DSP技术的发展,人们成功利用离散傅里叶逆变换(IDFT)/离散傅里叶变换(DFT)实现对OFDM信号的调制/解调,推动了OFDM技术走向实际应用。With the development of large-scale integrated circuit technology and DSP technology, people have successfully used inverse discrete Fourier transform (IDFT)/discrete Fourier transform (DFT) to realize modulation/demodulation of OFDM signals, which has promoted OFDM technology to practice. application.
从多载波调制的角度分析OFDM信号的调制/解调原理,从图3可以看出,当我们以一个OFDM符号为例,并且以速率TS/N对s(t)进行抽样,则得到第m个抽样值:From the perspective of multi-carrier modulation, the modulation/demodulation principle of OFDM signal is analyzed. It can be seen from Figure 3 that when we take an OFDM symbol as an example and sample s(t) at the rate TS /N, we can get the first m sampled values:
结合子载波正交条件,可知Combined with the subcarrier orthogonality condition, it can be known that
综合两式,可以得到:Combining the two formulas, we can get:
其中,表示IDFT。在接收端,可以通过DFT进行解调:in, Indicates IDFT. At the receiving end, it can be demodulated by DFT:
可以看出OFDM信号的调制/解调可以利用IDFT/DFT进行,而且通常实际中采用更加快捷高效的IFFT和FFT来代替,将复合乘法运算的次数由N2降为这样不仅降低了计算的复杂度,而且节约了系统成本,奠定了OFDM技术广泛应用坚实的基础。It can be seen that the modulation/demodulation of OFDM signals can be performed by IDFT/DFT, and usually more efficient and efficient IFFT and FFT are used instead in practice, reducing the number of complex multiplication operations from N2 to This not only reduces the computational complexity, but also saves the system cost, laying a solid foundation for the wide application of OFDM technology.
图4所示实施例表明OFDM系统三种同步所处的位置:The embodiment shown in Figure 4 shows where the three synchronizations of the OFDM system are located:
本发明是为了解决OFDM系统中的时频联合同步问题,即同时估计出系统中存在的时间偏移和载波频率偏移。在OFDM系统中,同步技术按功能可以分为三类:第一类为符号定时同步,第二类为载波频率同步,第三类为采样钟同步,如图4所示。The invention aims to solve the time-frequency joint synchronization problem in the OFDM system, that is, to estimate the time offset and the carrier frequency offset existing in the system at the same time. In an OFDM system, synchronization techniques can be divided into three categories according to their functions: the first category is symbol timing synchronization, the second category is carrier frequency synchronization, and the third category is sampling clock synchronization, as shown in Figure 4.
OFDM系统接收端进行符号定时同步,才能得到OFDM符号的起始位置并明确FFT窗口的位置,最终实现正确的解调。由于系统采用了相干检测,而发射端与接收端的激光器受各种因素影响,会存在一定的频率偏差,因此需要载波频率同步估计出这个偏差并且进行补偿,才能将信号恢复到基带,否则,子载波间的正交性被破坏也会严重影响系统性能。由于估计误差、噪声、发端晶体振荡器的漂移,导致收发两端采样时钟频率存在一定的偏差,这就是采样种同步要解决的问题。The receiving end of the OFDM system performs symbol timing synchronization to obtain the starting position of the OFDM symbol and clarify the position of the FFT window, and finally achieve correct demodulation. Since the system adopts coherent detection, and the lasers at the transmitter and receiver are affected by various factors, there will be a certain frequency deviation. Therefore, the carrier frequency needs to be estimated and compensated synchronously to restore the signal to the baseband. The destruction of the orthogonality between the carriers will also seriously affect the system performance. Due to estimation error, noise, and drift of the crystal oscillator at the sending end, there is a certain deviation in the sampling clock frequency at both ends of the transceiver, which is the problem to be solved by the synchronization of sampling species.
在实际系统中,采样频率偏差受信道中各种因素的影响小,而且系统中光载波频率又远大于采样频率,故采样频率的偏差一般比较小,其影响也没有前两者严重,另外,在定时同步与频率同步过程中也可以补偿一部分采样频率偏差带来的定时误差与频率误差,因此,本发明主要针对符号定时与载波频率同步进行分析与研究。In the actual system, the sampling frequency deviation is less affected by various factors in the channel, and the optical carrier frequency in the system is much larger than the sampling frequency, so the sampling frequency deviation is generally relatively small, and its impact is not as serious as the first two. Timing errors and frequency errors caused by a part of sampling frequency deviation can also be compensated in the process of timing synchronization and frequency synchronization. Therefore, the present invention mainly analyzes and studies symbol timing and carrier frequency synchronization.
图5所示实施例表明,本发明应用于OFDM系统中时频联合同步算法的LFM信号的Radon-Wigner变换仿真图:Radon-Wigner变换对LFM信号具有良好的聚集特性,即通过Radon-Wigner变换可以时LFM信号汇聚到一点。由图5可以看出,在Radon-Wigner域内,LFM信号具有尖锐的峰值,通过对峰值进行搜索可以精确的判断LFM信号的出现。The embodiment shown in FIG. 5 shows that the present invention is applied to the Radon-Wigner transform simulation diagram of the LFM signal of the time-frequency joint synchronization algorithm in the OFDM system: the Radon-Wigner transform has good aggregation characteristics for the LFM signal, that is, through the Radon-Wigner transform LFM signals converge to one point when possible. It can be seen from Figure 5 that in the Radon-Wigner domain, the LFM signal has sharp peaks, and the appearance of the LFM signal can be accurately determined by searching for the peak.
图6所示实施例表明,本发明方法所提出的LFM信号构成的训练序列在系统存在不同偏移时的位置变化:The embodiment shown in FIG. 6 shows that the position change of the training sequence formed by the LFM signal proposed by the method of the present invention exists when the system has different offsets:
图6(a)为系统中不存在任何偏移时训练序列的位置;当系统中只存在频率偏移时,如图6(b)所示,两个LFM信号将会同时沿频率轴f移动;当系统中只存在时间偏移时,如图6(c)所示,两个LFM信号将会同时沿时间轴t移动;当系统中既存在时间偏移又存在频率偏移时,如图6(d)所示,两个LFM信号将会在时间轴t和频率轴f方向同时发生移动,此时对其进行Radon-Wigner变换,并对峰值进行检测,则可以得到此时两个LFM信号的斜率和截距,由图5可知,发生偏移后两信号的截距均发生变化而斜率保持不变。通过斜率和截距的变化量可依据本发明所提出的方法计算得出系统中的时间偏移和频率偏移。Figure 6(a) shows the position of the training sequence when there is no offset in the system; when there is only a frequency offset in the system, as shown in Figure 6(b), the two LFM signals will move along the frequency axis f simultaneously ; When there is only a time offset in the system, as shown in Figure 6(c), the two LFM signals will move along the time axis t at the same time; when there is both a time offset and a frequency offset in the system, as shown in Figure 6(c) As shown in 6(d), the two LFM signals will move in the direction of the time axis t and the frequency axis f at the same time. At this time, the Radon-Wigner transform is performed on them, and the peak value is detected, then the two LFM signals can be obtained at this time. The slope and intercept of the signal, as shown in Figure 5, after the offset occurs, the intercepts of the two signals both change and the slope remains unchanged. The time offset and the frequency offset in the system can be calculated according to the method proposed by the present invention through the variation of the slope and the intercept.
图7所示实施例表明,本发明方法和现有同步算法在不同信噪比下的平均定时估计误差比较图:The embodiment shown in FIG. 7 shows the comparison diagram of the average timing estimation error of the method of the present invention and the existing synchronization algorithm under different signal-to-noise ratios:
为了验证本发明时频同步方法的在OFDM信号传输时的同步性能,我们搭建了基带数据传输速率为10Gbit/s的CO-OFDM系统,图中示出了信号进行50km光纤传输时,本发明方法和现有的Schmidl算法、基于FrFT时频联合同步算法在不同光信噪比下的平均定时估计误差的比较。图中每个点为1000仿真的平均结果。可以看出,当光信噪比高于12dB的时候,基于FrFT的同步算法有一个采样点的定时估计误差,这意味着此时该算法可以较好的估计出系统中的时间偏移量;但随着光信噪比的降低,该方法的定时估计误差明显增大,定时同步效果显著下降。当光信噪比高于4dB时,本发明方法的平均定时估计误差为0,即本方法可以精确估计出系统的时间偏移;当光信噪比下降到2dB时,本方法的平均估计误差为0.02,依然具有较好的时偏估计性能。而Schmidl算法由于受到循环前缀的影响,其定时矩阵出现平台,具有最差的时偏估计效果。In order to verify the synchronization performance of the time-frequency synchronization method of the present invention during OFDM signal transmission, we built a CO-OFDM system with a baseband data transmission rate of 10 Gbit/s. Comparison of the average timing estimation error with the existing Schmidl algorithm and the FrFT-based time-frequency joint synchronization algorithm under different optical signal-to-noise ratios. Each point in the graph is the average result of 1000 simulations. It can be seen that when the optical signal-to-noise ratio is higher than 12dB, the synchronization algorithm based on FrFT has a timing estimation error of one sampling point, which means that the algorithm can better estimate the time offset in the system at this time; However, as the optical signal-to-noise ratio decreases, the timing estimation error of this method increases significantly, and the timing synchronization effect decreases significantly. When the optical signal-to-noise ratio is higher than 4dB, the average timing estimation error of the method of the present invention is 0, that is, the method can accurately estimate the time offset of the system; when the optical signal-to-noise ratio drops to 2dB, the average estimation error of the method is is 0.02, which still has a good time-bias estimation performance. However, due to the influence of the cyclic prefix, the Schmidl algorithm has a plateau in its timing matrix and has the worst time offset estimation effect.
图8所示实施例表明,本发明方法和现有同步算法在不同信噪比下的平均归一化频偏估计误差比较图:The embodiment shown in FIG. 8 shows the comparison diagram of the average normalized frequency offset estimation error of the method of the present invention and the existing synchronization algorithm under different signal-to-noise ratios:
为了评估本发明方法在不同信噪比下的频偏估计性能,我们分别在不同光信噪比下对算法进行了1000次仿真验证,得出了本发明算法在不同光信噪比时的平均归一化频偏估计误差。由图7可以看出,当光信噪比高于14dB时,基于FrFT的时频同步算法和本发明算法均能正确估计出系统中存在的整数倍频偏。但随着光信噪比下降,基于FrFT算法的平均估计误差逐渐变大,而本发明所提出的基于Radon-Wigner变换的时频同步方法依然具有良好的估计性能。当信噪比低至2dB时,本发明方法的估计误差依然明显低于基于FrFT的算法。可以看出,本发明所提出的时频联合同步方法在不同信噪比下的频偏估计性能均明显优于现有的基于FrFT的算法。In order to evaluate the frequency offset estimation performance of the method of the present invention under different signal-to-noise ratios, we carried out 1000 simulation verifications on the algorithm under different optical signal-to-noise ratios, and obtained the average value of the algorithm of the present invention under different optical signal-to-noise ratios. Normalized frequency offset estimation error. It can be seen from Fig. 7 that when the optical signal-to-noise ratio is higher than 14dB, both the time-frequency synchronization algorithm based on FrFT and the algorithm of the present invention can correctly estimate the integer frequency offset existing in the system. However, as the optical signal-to-noise ratio decreases, the average estimation error based on the FrFT algorithm gradually increases, and the time-frequency synchronization method based on the Radon-Wigner transform proposed in the present invention still has good estimation performance. When the signal-to-noise ratio is as low as 2dB, the estimation error of the method of the present invention is still significantly lower than that of the algorithm based on FrFT. It can be seen that the frequency offset estimation performance of the time-frequency joint synchronization method proposed in the present invention under different signal-to-noise ratios is obviously better than the existing algorithm based on FrFT.
图9所示实施例表明,本发明方法和现有同步算法在不同归一化频偏下的对频偏的平均估计误差比较图。The embodiment shown in FIG. 9 shows a comparison diagram of the average estimation error of the frequency offset between the method of the present invention and the existing synchronization algorithm under different normalized frequency offsets.
为了验证本发明所提出的同步方法在低信噪比时对不同归一化频偏值的估计性能,我们将光信噪比设置为5dB,并在系统中分别设置-20到20的归一化频偏,对本发明方法和基于FrFT的同步方法的频偏估计性能进行了1000次仿真验证。仿真结果表明,当光信噪比为5dB、归一化频偏为[-20,20]时,基于FrFT的同步方法的平均频偏估计误差在O.1到0.4的范围内,而本发明的基于Radon-Wigner变换的同步方法的平均估计误差保持在0.1以下,并且基本保持稳定。因此,在5dB的光信噪比时,本发明方法在[-20,20]的归一化频偏下,可以显著提高现有算法的频偏估计性能,提高系统频率同步精度。In order to verify the estimation performance of the synchronization method proposed in the present invention for different normalized frequency offset values when the signal-to-noise ratio is low, we set the optical signal-to-noise ratio to 5dB, and set the normalization of -20 to 20 in the system respectively. The frequency offset estimation performance of the method of the present invention and the synchronization method based on FrFT is verified by 1000 simulations. The simulation results show that when the optical signal-to-noise ratio is 5dB and the normalized frequency offset is [-20, 20], the average frequency offset estimation error of the synchronization method based on FrFT is in the range of 0.1 to 0.4, while the present invention The average estimation error of the Radon-Wigner transform-based synchronization method remains below 0.1 and remains basically stable. Therefore, when the optical signal-to-noise ratio is 5dB, under the normalized frequency offset of [-20, 20], the method of the present invention can significantly improve the frequency offset estimation performance of the existing algorithm and improve the system frequency synchronization accuracy.
本发明实施例提供的OFDM系统中的时频联合同步方法及装置,在低信噪比情况下,本发明方法及装置可以同时计算出OFDM系统中存在的时间偏移和频率偏移,可以有效提高OFDM系统的时频同步效率及精度。The time-frequency joint synchronization method and device in the OFDM system provided by the embodiment of the present invention can calculate the time offset and the frequency offset existing in the OFDM system at the same time under the condition of low signal-to-noise ratio, which can effectively Improve the time-frequency synchronization efficiency and accuracy of the OFDM system.
| Application Number | Priority Date | Filing Date | Title | 
|---|---|---|---|
| CN201710402915.9ACN107257324B (en) | 2017-05-27 | 2017-05-27 | Time-frequency joint synchronization method and device in OFDM system | 
| Application Number | Priority Date | Filing Date | Title | 
|---|---|---|---|
| CN201710402915.9ACN107257324B (en) | 2017-05-27 | 2017-05-27 | Time-frequency joint synchronization method and device in OFDM system | 
| Publication Number | Publication Date | 
|---|---|
| CN107257324A CN107257324A (en) | 2017-10-17 | 
| CN107257324Btrue CN107257324B (en) | 2020-07-24 | 
| Application Number | Title | Priority Date | Filing Date | 
|---|---|---|---|
| CN201710402915.9AExpired - Fee RelatedCN107257324B (en) | 2017-05-27 | 2017-05-27 | Time-frequency joint synchronization method and device in OFDM system | 
| Country | Link | 
|---|---|
| CN (1) | CN107257324B (en) | 
| Publication number | Priority date | Publication date | Assignee | Title | 
|---|---|---|---|---|
| CN108965186B (en)* | 2018-06-12 | 2021-02-26 | 东南大学 | Downlink time-frequency synchronization method for low-earth-orbit satellite mobile communication system | 
| CN111181877A (en)* | 2018-11-13 | 2020-05-19 | 联发科技股份有限公司 | Communication receiving device and signal processing method thereof | 
| CN110266380B (en)* | 2019-04-29 | 2021-01-26 | 华中科技大学 | Light field reconstruction and time-frequency synchronization system and method adopting single detector | 
| CN110290084B (en)* | 2019-07-04 | 2021-03-30 | 电子科技大学 | Short wave channel blind symbol synchronization method based on data frequency energy peak value | 
| CN110995630B (en)* | 2019-10-22 | 2022-08-09 | 北京全路通信信号研究设计院集团有限公司 | Frequency offset correction method of narrow-band communication system suitable for mixed running of multi-level trains | 
| CN112003806B (en)* | 2020-10-28 | 2021-02-09 | 易兆微电子(杭州)股份有限公司 | Synchronous demodulation method of baseband signal and signal receiver | 
| CN113098810B (en)* | 2021-03-31 | 2022-02-18 | 华中科技大学 | A time-frequency joint synchronization method and device for an LFM-MPSK radar communication integrated system | 
| CN114337982B (en)* | 2022-03-16 | 2022-07-15 | 深圳市华普微电子有限公司 | Chirp pilot signal generation and time-frequency estimation method | 
| CN116015372B (en)* | 2022-12-29 | 2023-09-12 | 国家工业信息安全发展研究中心 | Large-scale MIMO digital information transmission method, system, equipment and medium | 
| Publication number | Priority date | Publication date | Assignee | Title | 
|---|---|---|---|---|
| CN1758639A (en)* | 2004-10-09 | 2006-04-12 | 北京中电华大电子设计有限责任公司 | Sample clock frequency deviation compensation method and device for OFDM receiver | 
| CN1791084A (en)* | 2004-12-17 | 2006-06-21 | 清华大学 | Time-domain synchronous OFDM space-frequency coding time-frequency combination channel estimating method | 
| CN102185822A (en)* | 2011-05-31 | 2011-09-14 | 电子科技大学 | OFDM/OQAM (Orthogonal Frequency Division Multiplexing/Offset Quadrature Amplitude Modulation) system and time frequency synchronization method thereof | 
| CN102868662A (en)* | 2012-09-21 | 2013-01-09 | 河北工业大学 | Channel estimation method for PDM-CO-OFDM (Pulse Duration Modulation-Coherent Optical-Orthogonal Frequency Division Multiplexing) system | 
| CN104618294A (en)* | 2015-02-02 | 2015-05-13 | 四川九洲电器集团有限责任公司 | Training sequence based OFDM integer-multiple frequency offset quick estimation method and system | 
| Publication number | Priority date | Publication date | Assignee | Title | 
|---|---|---|---|---|
| US20040228270A1 (en)* | 2003-05-13 | 2004-11-18 | Hou-Shin Chen | Method of processing an OFDM signal and OFDM receiver using the same | 
| Publication number | Priority date | Publication date | Assignee | Title | 
|---|---|---|---|---|
| CN1758639A (en)* | 2004-10-09 | 2006-04-12 | 北京中电华大电子设计有限责任公司 | Sample clock frequency deviation compensation method and device for OFDM receiver | 
| CN1791084A (en)* | 2004-12-17 | 2006-06-21 | 清华大学 | Time-domain synchronous OFDM space-frequency coding time-frequency combination channel estimating method | 
| CN102185822A (en)* | 2011-05-31 | 2011-09-14 | 电子科技大学 | OFDM/OQAM (Orthogonal Frequency Division Multiplexing/Offset Quadrature Amplitude Modulation) system and time frequency synchronization method thereof | 
| CN102868662A (en)* | 2012-09-21 | 2013-01-09 | 河北工业大学 | Channel estimation method for PDM-CO-OFDM (Pulse Duration Modulation-Coherent Optical-Orthogonal Frequency Division Multiplexing) system | 
| CN104618294A (en)* | 2015-02-02 | 2015-05-13 | 四川九洲电器集团有限责任公司 | Training sequence based OFDM integer-multiple frequency offset quick estimation method and system | 
| Publication number | Publication date | 
|---|---|
| CN107257324A (en) | 2017-10-17 | 
| Publication | Publication Date | Title | 
|---|---|---|
| CN107257324B (en) | Time-frequency joint synchronization method and device in OFDM system | |
| US11108612B2 (en) | Anti-interference signal detection and synchronization method for wireless broadband communication system | |
| CN109660478B (en) | Timing frequency synchronization method based on improved Park frequency domain training sequence | |
| KR100981400B1 (en) | Wireless communication system, receiving apparatus and receiving method for multicarrier transmission | |
| CN102291351B (en) | Timing synchronization method of receiver in OFDM wireless communication system | |
| CN105516045B (en) | A kind of OFDM training sequence structures and synchronous method | |
| US10334605B2 (en) | Time domain pilot of single-carrier MIMO system and synchronization method thereof | |
| CN101547062A (en) | Method and device for correcting frequency deviation | |
| CN101557378A (en) | Method for pilot transmitting, channel estimation and noise power estimation in OFDM system | |
| CN102932307A (en) | Method for synchronizing orthogonal frequency division multiplexing (OFDM) system time domain through utilizing constant amplitude zero auto correlation (CAZAC) sequence | |
| CN112003810A (en) | Underwater acoustic communication synchronization method based on OFDM, intelligent terminal and storage medium | |
| CN104836770B (en) | It is a kind of based on related average and adding window timing estimation method | |
| CN1826785B (en) | Method and apparatus for estimating multi-carrier signal propagation channel | |
| KR101145002B1 (en) | Blind estimation method and apparatus for ofdm frequency offset | |
| CN1921466A (en) | Channel estimation method for solving OFDM interception position hopping using rotating technology | |
| CN100553247C (en) | Precise Frequency Offset Estimation Method with Constant Pilot Insertion in OFDM Systems | |
| KR20060067034A (en) | Frequency and Time Offset Estimation Method in Orthogonal Frequency Division Multiplexed Communication Systems | |
| CN113141324B (en) | Channel estimation method and device | |
| CN103078819B (en) | Fine symbol timing synchronization method and device thereof | |
| CN116389213B (en) | OFDM system time-frequency synchronization method, terminal equipment and storage medium | |
| CN106911607B (en) | A method and module for estimating in-phase/quadrature imbalance in OFDM system | |
| CN100521554C (en) | Frequency domain channel estimation method based on two-value full-pass sequence protection interval filling | |
| CN102801683B (en) | Frame synchronism and frequency synchronism combined method for OFDM (Orthogonal Frequency Division Multiplexing) system | |
| KR101294283B1 (en) | Method for estimating channel based on cross correlation of ofdm system and device thereof | |
| CN101039300A (en) | Synchronous timing method | 
| Date | Code | Title | Description | 
|---|---|---|---|
| PB01 | Publication | ||
| PB01 | Publication | ||
| SE01 | Entry into force of request for substantive examination | ||
| SE01 | Entry into force of request for substantive examination | ||
| GR01 | Patent grant | ||
| GR01 | Patent grant | ||
| CF01 | Termination of patent right due to non-payment of annual fee | Granted publication date:20200724 Termination date:20210527 | |
| CF01 | Termination of patent right due to non-payment of annual fee |