Movatterモバイル変換


[0]ホーム

URL:


CN107256231B - Team member identification device, method and system - Google Patents

Team member identification device, method and system
Download PDF

Info

Publication number
CN107256231B
CN107256231BCN201710309342.5ACN201710309342ACN107256231BCN 107256231 BCN107256231 BCN 107256231BCN 201710309342 ACN201710309342 ACN 201710309342ACN 107256231 BCN107256231 BCN 107256231B
Authority
CN
China
Prior art keywords
user
identified
team
attention
designated
Prior art date
Legal status (The legal status is an assumption and is not a legal conclusion. Google has not performed a legal analysis and makes no representation as to the accuracy of the status listed.)
Active
Application number
CN201710309342.5A
Other languages
Chinese (zh)
Other versions
CN107256231A (en
Inventor
傅桔选
刘健
刘嘉
钱波
Current Assignee (The listed assignees may be inaccurate. Google has not performed a legal analysis and makes no representation or warranty as to the accuracy of the list.)
Tencent Technology Shenzhen Co Ltd
Original Assignee
Tencent Technology Shenzhen Co Ltd
Priority date (The priority date is an assumption and is not a legal conclusion. Google has not performed a legal analysis and makes no representation as to the accuracy of the date listed.)
Filing date
Publication date
Application filed by Tencent Technology Shenzhen Co LtdfiledCriticalTencent Technology Shenzhen Co Ltd
Priority to CN201710309342.5ApriorityCriticalpatent/CN107256231B/en
Publication of CN107256231ApublicationCriticalpatent/CN107256231A/en
Application grantedgrantedCritical
Publication of CN107256231BpublicationCriticalpatent/CN107256231B/en
Activelegal-statusCriticalCurrent
Anticipated expirationlegal-statusCritical

Links

Images

Classifications

Landscapes

Abstract

The invention provides a team member identification device, method and system, wherein the method comprises the following steps: according to the acquired attention data for representing the attention of the user to be identified to an appointed team, determining the attention degree of the user to be identified to the appointed team; determining the association degree of the user to be identified and a preset geographic area according to the acquired preset geographic area and the geographic position data of the user to be identified, wherein the preset geographic area comprises the geographic position of the designated team, and the association degree is used for representing the condition that the user to be identified is present in the preset geographic area; and identifying whether the user to be identified is a member of the designated team or not by utilizing a pre-trained binary classification model of the designated team according to the attention and the association. The method and the device can improve the accuracy of the recognition result of the team to which the user belongs.

Description

Team member identification device, method and system
Technical Field
The invention relates to the technical field of data processing, in particular to a team member identification device, method and system.
Background
Many users currently fill in personal data in a website or application, including team, name, and hobbies that the user has joined. Based on the data of the team joined by the user, the common identification method of the team members is as follows:
crawling network data generated by a user in a certain time period from a network side by utilizing a crawler technology; extracting team data which are filled in a website and an application by a user and are added by the user from the network data; if the data of the team joined by the user comprises the designated team, determining that the user is a member of the designated team; and if the data of the team joined by the user does not comprise the specified team, determining that the user is not a member of the specified team.
The inventor finds that data based on the team member identification method is artificially filled in by the user, so that the possibility of creating a fake for the team member joined by the user exists, in addition, the user may join or leave a designated team before the time period, but the user does not update the website and the team joined by the user in the application in time, and the acquired data of the team joined by the user in the time period has hysteresis, so that the data based on the team member identification method is unreliable, and the identification result is poor in accuracy.
Disclosure of Invention
The invention provides a method, equipment and a system for identifying team members, which are used for improving the accuracy of an identification result of a team to which a user belongs.
In a first aspect, an embodiment of the present invention provides a team member identification device, including:
the processor is used for determining the attention degree of the user to be identified to a specified team according to the attention data which are acquired from the database server and used for representing the user to be identified to pay attention to the specified team; determining the association degree of the user to be identified and a preset geographic area according to the preset geographic area and the geographic position data of the user to be identified, wherein the preset geographic area comprises the geographic position of the designated team, and the association degree is used for representing the condition that the user to be identified is present in the preset geographic area; according to the attention degree and the relevance degree, identifying whether the user to be identified is a member of the designated team or not by utilizing a pre-trained binary classification model of the designated team;
and the transmitter is used for transmitting the identification result to the database server so that the database server stores the identification result.
In a second aspect, an embodiment of the present invention provides a team member identification method, including:
according to the acquired attention data for representing the attention of the user to be identified to an appointed team, determining the attention degree of the user to be identified to the appointed team;
determining the association degree of the user to be identified and a preset geographic area according to the acquired preset geographic area and the geographic position data of the user to be identified, wherein the preset geographic area comprises the geographic position of the designated team, and the association degree is used for representing the condition that the user to be identified is present in the preset geographic area;
and identifying whether the user to be identified is a member of the designated team or not by utilizing a pre-trained binary classification model of the designated team according to the attention and the association.
Optionally, in the method, the data of interest includes at least one of:
paying attention to the number of the designated team WeChat public numbers, paying attention to the number of the designated team WeChats, downloading the number of application programs developed by the designated team, reading amount of news related to the designated team, and logging in times of websites related to the designated team.
Optionally, in the method, determining the attention of the user to be identified to the designated team specifically includes:
and if the attention data comprise at least two items, determining that the attention degree of the user to be identified for the specified team is the sum of the numerical values corresponding to the at least two items.
Optionally, in the method, determining the association degree between the user to be identified and a preset geographic area specifically includes:
for each piece of acquired position data of the user to be identified in a first time period, if the geographic position corresponding to the piece of position data belongs to the preset geographic area, storing the piece of position data into a position data set;
and taking the ratio of the total number of the position data contained in the position data set to the time length corresponding to the first time period as the association degree of the user to be identified and a preset geographic area.
Optionally, in the method, the pre-training is performed to obtain a binary model of the designated team, which specifically includes:
training by using a preset classification algorithm according to the feature vector set of the sample user and the category set of the sample user to obtain a two-classification model of the designated team; the feature vector set is used for storing feature vectors of each sample user, the feature vectors comprise the attention degree of the corresponding sample user for a designated team and the association degree of the corresponding sample user and a preset geographic area, and the category set comprises two categories that the sample user is not a member of the designated team and the sample user is a member of the designated team.
Optionally, in the method, the preset classification algorithm is a naive bayes classification algorithm or a logistic regression classification algorithm.
In a third aspect, an embodiment of the present invention provides a team member identification apparatus, including:
the first determination module is used for determining the attention degree of a user to be identified aiming at a specified team according to the acquired attention data for representing the user to be identified to pay attention to the specified team;
the second determining module is used for determining the association degree between the user to be identified and a preset geographic area according to the acquired preset geographic area and the geographic position data of the user to be identified, wherein the preset geographic area comprises the geographic position of the designated team, and the association degree is used for representing the condition that the user to be identified is present in the preset geographic area;
and the third determining module is used for identifying whether the user to be identified is a member of the designated team or not by utilizing a pre-trained binary classification model of the designated team according to the attention and the relevance.
In a fourth aspect, an embodiment of the present invention provides a team member identification system, including:
the system comprises a database server, a computer server and a database server, wherein the database server is used for storing concern data for representing a user to be identified to concern a designated team, a preset geographical area, geographical position data of the user to be identified and an identification result sent by the computer server, the preset geographical area comprises a geographical position where the designated team is located, and the association degree is used for representing the condition that the user to be identified is present in the preset geographical area;
the calculation server is used for acquiring the attention data, a preset geographical area and the geographical position data of the user to be identified from the database server; according to the attention data, determining the attention degree of the user to be identified to the designated team; determining the association degree of the user to be identified and the preset geographic area according to the preset geographic area and the geographic position data of the user to be identified; and identifying whether the user to be identified is a member of the designated team or not by utilizing a pre-trained binary classification model of the designated team according to the attention and the association, and sending an identification result to the database server.
In a fifth aspect, embodiments of the present invention provide a non-volatile computer storage medium storing computer-executable instructions that may perform the above-described team member identification method.
The team member identification device, method and system provided by the embodiment of the invention have the following beneficial effects:
compared with the mode of identifying the team to which the user belongs only according to the data filled by the user in the prior art, the method and the device have the advantages that the reliability and the real-time performance of the two user data, namely the attention data of the attention designated team used for determining the attention and the geographic position of the user to be identified used for determining the association are better, so that the team to which the user to be identified belongs is identified by using the two user data, and the accuracy of an identification result can be improved.
Drawings
Fig. 1 is a schematic flow chart of a team member identification method according to an embodiment of the present invention;
fig. 2 is a schematic flowchart of a method for determining a degree of association between a user to be identified and a preset geographic area according to an embodiment of the present invention;
fig. 3 is a schematic diagram of a hardware structure of a team member identification device according to an embodiment of the present invention;
fig. 4 is a schematic structural diagram of a team member identification apparatus according to an embodiment of the present invention;
fig. 5 is a schematic structural diagram of a team member identification system according to an embodiment of the present invention.
Detailed Description
In order to make the objects, technical solutions and advantages of the present invention more apparent, the following will further describe possible embodiments of the present invention with reference to the accompanying drawings.
Example one
An embodiment of the present invention provides a method for identifying team members, as shown in fig. 1, including:
step 101, according to the acquired attention data for representing the user to be identified to pay attention to the designated team, determining the attention degree of the user to be identified to the designated team.
In specific implementation, the network data corresponding to the user to be identified can be acquired by using a web crawler technology according to the identifier of the user to be identified. And counting and extracting the attention data of the user to be identified to the designated team from the acquired network data corresponding to the user to be identified so as to reflect the attention degree of the user to be identified to the designated team. The user identifier may be a registered account of the user in a designated team, for example, the user identifier may be a QQ account, a microblog account, or the like, and the user to be identified may be any user, which is not limited herein. Preferably, the data of interest for characterizing the user to be identified regarding the designated team is stored to the database server.
The team is a community formed by base level personnel and management level personnel, and the team may include an organization, a business entity, an enterprise, a community, a public welfare organization, and the like, for example, the enterprise may be Tencent corporation or Siemens corporation.
As a possible implementation, the data of interest of the user to be identified to the designated team comprises at least one of the following:
paying attention to the number of the designated team WeChat public numbers, paying attention to the number of the designated team WeChats, downloading the number of application programs developed by the designated team, reading amount of news related to the designated team, and logging in times of websites related to the designated team.
Specifically, a team usually opens a plurality of public numbers, microblogs and the like with different functions, taking Tencent as an example, the WeChat public number of the corporation can comprise an administrative management type WeChat public number used in Tencent, an official WeChat public number for issuing official information of Tencent, a related WeChat public number of Tencent products and the like.
Wherein the number of WeChat public numbers concerning the specified team can be determined in the following manner:
and counting the number of the micro-letter public numbers of the designated team in the attention state of the user to be identified in the second time period by utilizing the network data generated by the operation of the user to be identified in the micro-letter client as the number of the micro-letter public numbers of the designated team.
The number of the concerned specified team microblogs can be determined according to the following modes:
and counting the number of microblogs of a specified team in a state of being concerned by the user to be identified within a certain time period by utilizing network data generated by the user to be identified operating in the WeChat blog client, wherein the number is used as the number of microblogs of the specified team concerned.
The number of the application programs developed by the designated team can be determined according to the following modes:
and counting the number of the application programs developed by the appointed team downloaded in a certain time period by utilizing the network data corresponding to the user to be identified, wherein the number is used as the number of the application programs developed by the appointed team.
Wherein the reading amount of the news related to the designated team is determined according to the following mode:
extracting reading data of news related to a designated team read by a user to be identified within a certain time period from network data corresponding to the user to be identified; counting the number of the reading data as the reading amount of the information related to the designated team.
The number of times of logging in the related website of the designated team is determined according to the following mode:
extracting login data of a user to be identified for logging in a related website of a designated team within a certain time period from network data corresponding to the user to be identified; and counting the number of login data as the number of times of logging in the related websites of the designated team.
It should be noted that the ending time point of the second time period may be a current time point, and the time length corresponding to the second time period may be set according to an actual application scenario, which is not limited herein, for example, the second time period may be from 8:00 in 28/4/2017 to 8:00 in 29/4/2017, where 8:00 in 28/4/2017 is a starting time point, 8:00 in 29/4/2017 is a current time point, and the time length corresponding to the second time period is 1 day.
In specific implementation, if the attention data of the specified user for the specified team comprises at least two items, the attention degree of the user to be identified for the specified team is determined to be the sum of the numerical values corresponding to the at least two items. For example, the attention data comprises the number M of attention public accounts of the specified team and the number N of attention microblogs of the specified team, and the sum of the M and the N is used as the attention degree of the user to be identified for the specified team. Or, setting a weight for each item of attention data, and determining a weighted summation result of multiple items of attention data as the attention of the user to be identified to a specified team, such as: and the concern data comprises the number M of concern designated team WeChat public numbers and the number N of concern designated team microblogs, wherein the weight corresponding to the number of concern designated team WeChat public numbers is a, the weight corresponding to the number of concern designated team microblogs is b, and then aM + bN is used as the concern degree of the user to be identified for the designated team.
If the data of the specified user concerning the specified team only comprises one item, determining that the attention degree of the user to be identified concerning the specified team is a corresponding numerical value, for example, the attention degree is the number M of the WeChat public numbers concerning the specified team.
Step 102, determining the association degree of the user to be identified and a preset geographic area according to the acquired preset geographic area and the geographic position data of the user to be identified, wherein the preset geographic area comprises the geographic position of the designated team, and the association degree is used for representing the condition that the user to be identified is present in the preset geographic area.
In specific implementation, extracting geographic position data reported to a network side by a user to be identified in a first time period from the acquired network data corresponding to the user to be identified; one piece of location data corresponds to one geographical location, and one geographical location may correspond to a plurality of pieces of location data. The Location data is Location information reported by a Location Based Service (LBS) or other Location services of the user to be identified, or the Location data is a public network IP (Internet Protocol) address reported to a network side when the user to be identified accesses the network, wherein a region to which the public network IP belongs can be determined as a geographic Location of the user to be identified. Further, the geographic position data reported to the network side by the user to be identified in the working time period is extracted, wherein the working time period is a sub-time period of the first time period, and the working time period belongs to a time period specified by a specified team and in which the member needs to work or perform other activities at the place where the specified team is located. For example, if the first time period is 15 days, the work time period is a work time period in a work day included in the 15 days, for example, each work day is a work time period from 9 am to 5 pm.
Specifically, the association degree is used for representing a situation that the user to be identified appears in the preset geographic area, that is, the association degree between the geographic position where the user to be identified is located and the preset geographic area. The more frequently the user to be identified appears in the preset geographic area in the first time period, the higher the association degree between the user to be identified and the preset geographic area is. And determining the association degree of the user to be identified and the preset geographical area by analyzing the membership between the geographical position corresponding to the acquired geographical position data and the preset geographical area.
The starting time point and the ending time point of the first time period may be set according to an actual application scenario, and the duration corresponding to the first time period may also be set according to the actual application scenario, which is not limited herein, for example, the ending time point of the first time period may be a current time point, and the duration corresponding to the first time period may be 30 days or 15 days.
The geographic location of the designated team may include a plurality of geographic locations, and in this case, the preset geographic area includes a plurality of geographic locations, where one preset area includes one geographic location of the designated team, for example, in the world of Tencent, a first office location is set, and in Beijing, a second office location is set, and then the preset geographic area includes two geographic areas, that is, the geographic area including the geographic location of the first office location and the geographic area including the geographic location of the second office location. Therefore, the preset geographic area in the embodiment of the present invention includes at least one preset geographic area, and when the preset geographic area includes a plurality of preset geographic areas, the association degree between the user to be identified and all the preset geographic areas needs to be determined according to at least one preset geographic area and the geographic position data of the user to be identified.
On the premise that the preset geographic area contains the geographic position of the designated team, the size and the coverage range of the preset geographic area can be set according to the actual application scene, for example, the preset geographic area of the region can be a circular geographic area, the circle center of the circular geographic area is the longitude and latitude of the geographic position of the designated team, the radius of the circular geographic area can be set according to the actual application scene, and the setting is not limited here.
It should be noted that, the execution order ofstep 101 and step 102 is not limited here, and step 102 may be executed first, then step 101 may be executed, or both may be executed at the same time.
Preferably, a preset geographic area and the geographic position data of the user to be identified are stored in a database server.
And 103, identifying whether the user to be identified is a member of the designated team or not by utilizing a pre-trained binary classification model of the designated team according to the attention and the relevance.
In specific implementation, two classification models of a designated team are obtained by training in advance according to a sample set of sample users of the designated team, and a mode of obtaining the two classification models of the designated team by training will be described below.
According to the method and the device for identifying the Tencent communication company, the attention degree of a user to be identified for an appointed team and the association degree of the user to be identified and a preset geographical area form a characteristic vector corresponding to the user to be identified, the characteristic vector is used as the input of a binary model of the appointed team, whether the user to be identified is a member of the appointed team is determined according to the output of the binary model, for example, if the appointed team is Tencent communication company, the characteristic vector corresponding to the user to be identified is used as the input of the binary model of the Tencent communication company, and whether the user to be identified is a staff of the Tencent communication company is determined according to the output of the binary model of the Tencent communication company.
It should be noted that the same user to be identified may correspond to a plurality of feature vectors, for example, the user to be identified respectively corresponds to a feature vector for a first team and a feature vector for a second team, at this time, it is determined whether the user to be identified is a member of the first team according to the feature vector for the first team and the classification model for the first team of the user to be identified, and correspondingly, it is determined whether the user to be identified is a member of the second team according to the feature vector for the second team of the user to be identified and the classification model for the second team.
According to the method and the device, the attention degree and the relevance degree of the user to be identified for the designated team are respectively determined by utilizing the acquired attention data of the user to be identified concerning the designated team and the stored user data of the user to be identified at the geographic position, and then whether the user to be identified is a member of the designated team is identified in a self-adaptive manner by utilizing a two-classification model of the designated team according to the attention degree and the relevance degree of the user to be identified for the designated team, namely, the user is classified by analyzing the attention degree and the relevance degree of the user to be identified for the designated team, and whether the user to be identified is a member of the designated team is determined. Compared with the mode of identifying the team to which the user belongs only according to the data filled by the user in the prior art, the method and the device have the advantages that the reliability and the real-time performance of the two user data, namely the attention data of the attention designated team used for determining the attention and the geographic position of the user to be identified used for determining the association degree are good, the team to which the user to be identified belongs is identified by using the two user data, and the accuracy of the identification result can be improved.
In the scenario that the team in the embodiment of the present invention is an enterprise, in the prior art, whether the currently-owned enterprise of the user is a designated enterprise (i.e., whether the user is an employee of the designated enterprise) is identified by crawling the data of the added enterprise in the resume data filled in the recruitment website by the user who has no worry in the future, leads to english (LinkedIn), and the like, but the resume data used in the summary data is manually filled by the user, so that the data of the added enterprise may be artificially counterfeited, and therefore, the reliability of the resume data is poor, and the enterprise added in the resume data may not be updated any more after the user leaves the designated enterprise, and therefore, the resume data has a relatively serious hysteresis. In the embodiment of the invention, the user has high difficulty in artificially counterfeiting the attention data of the attention designated enterprise used for determining the attention degree and the geographical position of the user to be identified used for determining the relevance degree, and the user does not need to manually update.
As a possible implementation manner, the association degree of the user to be identified and the preset geographic area may be determined according to the content provided in fig. 2:
step 201, for each piece of acquired location data of the user to be identified in the first time period, if the geographic location corresponding to the piece of location data belongs to the preset geographic area, storing the piece of location data into a location data set.
In specific implementation, for each piece of acquired location data reported to the network side by the user to be identified within the first time period, the following operation is performed to determine a location data set, where the operation is: and judging whether the geographic position corresponding to the position data belongs to a preset geographic area, if so, storing the position data into a position data set, and if not, discarding the position data.
Step 202, taking the ratio of the total number of the position data contained in the position data set to the time length corresponding to the first time period as the association degree of the user to be identified and a preset geographic area.
During specific implementation, the total number of the position data contained in the position data set is counted, and the ratio of the total number to the duration corresponding to the first time period is used as the association degree of the user to be identified and the preset geographic area.
The embodiment provided in fig. 2 is only one possible implementation manner, and the association degree between the user to be identified and the preset geographic area may also be determined according to other manners, which are not limited herein, such as: and counting the total number L of the position data reported to the network side by the user to be identified in the first time period and the total number Q of the position data in the position data set, and taking the ratio of the Q to the L as the association degree of the user to be identified and the preset geographical area, or taking the total number of the position data in the position data set as the association degree of the user to be identified and the preset geographical area.
Based on the consideration that the user to be identified is a member of the designated team and the user appears in the geographic area where the designated team is located within a certain time period, the embodiment of the invention determines the association degree of the user to be identified and the preset geographic area containing the geographic position of the designated team by using the number of times that the user to be identified appears in the preset geographic area within the first time period, so that when the user to be identified is identified, the association degree is used as one of the reference factors, and the accuracy of the identification result can be improved.
In specific implementation, the following method can be adopted to train in advance to obtain the two classification models of the designated team:
training by using a preset classification algorithm according to the feature vector set of the sample user and the category set of the sample user to obtain a two-classification model of the designated team; the feature vector set is used for storing feature vectors of each sample user, the feature vectors comprise the attention degree of the corresponding sample user for a designated team and the association degree of the corresponding sample user and a preset geographic area, and the category set comprises two categories that the sample user is not a member of the designated team and the sample user is a member of the designated team.
In specific implementation, the feature vector set of the sample user of the designated team and the category set of the sample user are utilized to train unknown parameters in the preset classification algorithm so as to determine specific values of the unknown parameters, and a mathematical model corresponding to the preset classification algorithm after the unknown parameters are determined is determined as a binary classification model of the designated team.
As a possible implementation manner, the preset classification algorithm is a naive bayes classification algorithm or a logistic regression classification algorithm, or may be other classification algorithms, which is not limited herein, and may also be a classification algorithm such as a support vector machine, a decision tree, K-nearest neighbor, a neural network, and the like.
Under the condition that the preset classification algorithm is a logistic regression algorithm, training to obtain a two-classification model of the designated team according to the following modes:
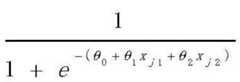
and training by using a gradient descent method to obtain unknown parameters in the logistic regression prediction function according to the feature vector set of the sample user and the category set of the sample user, and determining a binary classification model of the designated team according to the logistic regression prediction function determined by the unknown parameters and a preset probability threshold. Wherein the logistic regression prediction function is:
Figure BDA0001286682120000121
wherein x isiRepresenting any one of a set of feature vectors, hθ(xi) Representing a feature vector xiProbability, x, of corresponding sample user being a designated team memberi1Representing a feature vector xiDegree of interest in (1), xi2Representing a feature vector xiDegree of association of (1), θ0、θ1、θ2All the parameters are unknown parameters, and after a gradient descent method, the unknown parameters in the logistic regression prediction parameters can be determined, and the specific implementation process is the prior art and is not described herein any more.
It should be noted that the feature vector of the sample user is input to the logistic regression prediction function hθ(xi) Before, preferably, the attention and the relevance in the sample user feature vector are normalized to improve the precision of the trained binary model and the speed of the binary model for obtaining unknown parameters by using a gradient descent method in the training process, so that the risk that the trained binary model cannot be converged is reduced.
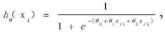
Specifically, the determined two classification models of the designated team are as follows:
if hθ(xj) The category of the user to be identified is 1; if hθ(xj) If the number of the user to be identified is less than H, the category of the user to be identified is 0; wherein, when the category is 1, the user to be identified is a member of the designated team, when the category is 0, the user to be identified is not a member of the executive team, hθ(xj) A logistic regression prediction function determined for the unknown parameters for representing the probability, x, that the user to be identified is a member of a given teamjThe feature vector corresponding to the user to be identified is represented, H represents a preset probability threshold, and the size of H may be set according to an actual application scenario, which is not limited herein, for example, H is 0.5.
It should be noted that, before the team member identification is performed by using the two classification models trained based on the sample user feature vectors subjected to the normalization processing, it is preferable to perform the normalization processing on the attention and the relevance in the feature vectors of the user to be identified.
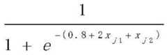
In specific implementation, the attention x of the user to be identified to a specified teamj1And the association degree x of the user to be identified and the preset geographic areaj2Substitution into
Figure BDA0001286682120000122
To obtain hθ(xj) Then h obtained isθ(xj) Compared with H, if Hθ(xj) And if H is more than or equal to H, determining that the user to be identified is a member of the designated team, and if H is more than or equal to Hθ(xj) < H, it is determined that the user to be identified is not a member of the specified team.
For example, assume a trained θ0=0.8、θ1=2、θ2The normalized feature vector of the user to be identified is [0.5,0.2 ═ 1]Wherein x isj1=0.5,xj20.2, 0.5 and xj1And xj2Substitution formula
Figure BDA0001286682120000131
Then, obtain hθ(xj) And if the number is 0.845 and the number is more than 0.5, determining that the user to be identified is the staff of the specified team.
Under the condition that the preset classification algorithm is a naive Bayes algorithm, training to obtain two classification models of the designated team according to the following modes:
training to obtain two classification models of the designated team by using a naive Bayes algorithm according to the feature vector set of the sample user and the class set of the sample user; wherein the feature vector set is used for storing a feature vector x of each sample userjThe feature vector xjIncluding the attention x of the corresponding sample user to a given teamj1And the association degree x of the corresponding sample user and the preset geographic areaj2The category set y comprises two categories, a sample user is not a designated team member and a sample user is a member of a designated team;
wherein, assuming that each feature (attention or relevance) in the feature vector set is a continuous value and assuming that each feature obeys gaussian distribution, the corresponding formula of the naive bayes algorithm is as follows:
Figure BDA0001286682120000132
wherein,
Figure BDA0001286682120000133
wherein,
Figure BDA0001286682120000134
in naive Bayes' formula, yiRepresenting any category, x, in said set of categories yjRepresenting any one of the feature vectors, P (y), in the feature vector set xi|xj) Representing a feature vector as xjThe category to which the corresponding sample user belongs is yiProbability of (a), P (x)j) Is a feature vector xjProbability of occurrence in the feature vector set x, P (y)i) Is a category yiProbability, σ ', of occurrence in the set of classes y'yiTo the category yiIn the feature vector corresponding to the sample user, feature xj1The standard deviation of (a) is determined,η'yito the category yiIn the feature vector corresponding to the sample user, feature xj1Mean value of (1), σyiTo the category yiIn the feature vector corresponding to the sample user, feature xj2Standard deviation of (1), η ″)yiTo the category yiIn the feature vector corresponding to the sample user, feature xj2Is the feature x in the feature vectors corresponding to all sample usersj1Eta' is the feature x in the feature vectors corresponding to all sample usersj1Is the feature x in the feature vectors corresponding to all sample usersj2Eta' is the feature x in the feature vectors corresponding to all sample usersj2Mean value of (1), xj1Is a feature vector xjDegree of interest in (1), xj2Is a feature vector xjThe degree of association in (1). The standard deviation and the mean are calculated in the conventional manner, which is not described herein.
In an implementation, the category set y ═ { y1 ═ 0, y2 ═ 1}, where 0 indicates that the user is not a member of the specified team, and 1 indicates that the user is a member of the specified team.
Under the condition that the preset classification algorithm is a naive Bayes algorithm, two classification models of the designated team obtained by training are as follows: if P (1| x)t)>P(0|xt) The category of the user to be identified is 1; if P (1| x)t)≤P(0|xt) The category to which the user to be identified belongs is 0. Wherein x istAnd the feature vector corresponding to the user to be identified.
Example two
Based on the same inventive concept as the above embodiment, an embodiment of the present invention provides a team member identification device, which is used for executing the above team member identification method, and as shown in fig. 3, is a schematic diagram of a hardware structure of the team member identification device in the second embodiment of the present invention. The team member identification device may be specifically a desktop computer, a portable computer, a smart phone, a tablet computer, or the like. Specifically, the apparatus according to the second embodiment of the present invention may include aprocessor 301 and atransmitter 302, where theprocessor 301 is configured to determine, according to attention data, which is obtained from a database server and used for characterizing that a user to be identified pays attention to a specified team, a degree of attention of the user to be identified with respect to the specified team; determining the association degree of the user to be identified and a preset geographic area according to the preset geographic area and the geographic position data of the user to be identified, wherein the preset geographic area comprises the geographic position of the designated team, and the association degree is used for representing the condition that the user to be identified is present in the preset geographic area; and identifying whether the user to be identified is a member of the designated team or not by utilizing a pre-trained binary classification model of the designated team according to the attention and the association. Atransmitter 302, configured to transmit the identification result to the database server, so that the database server stores the identification result. Further, the apparatus according to the second embodiment of the present invention may further include amemory 303, aninput device 304, anoutput device 305, and the like. Wherein, thememory 303 may include a Read Only Memory (ROM) and a Random Access Memory (RAM), and provides theprocessor 301 with program instructions and data stored in thememory 303, and in an embodiment of the present invention, thememory 303 may be configured to store a program corresponding to the team member identification method; theinput device 304 may include a keyboard, mouse, touch screen, etc.; theoutput device 305 may include a Display device such as a Liquid Crystal Display (LCD), a Cathode Ray Tube (CRT), or the like. Theprocessor 301, thetransmitter 302, thememory 303, theinput device 304 and theoutput device 305 may be connected by a bus or other means, for example in fig. 3.
Theprocessor 301 calls the program instructions stored in thememory 303 and executes the team member identification method provided in the first embodiment according to the obtained program instructions.
Optionally, the data of interest comprises at least one of:
paying attention to the number of the designated team WeChat public numbers, paying attention to the number of the designated team WeChats, downloading the number of application programs developed by the designated team, reading amount of news related to the designated team, and logging in times of websites related to the designated team.
Optionally, when determining the attention of the user to be identified to the designated team, theprocessor 301 is specifically configured to: and if the attention data comprise at least two items, determining that the attention degree of the user to be identified for the specified team is the sum of the numerical values corresponding to the at least two items.
Optionally, when determining the association degree between the user to be identified and the preset geographic area, theprocessor 301 is specifically configured to:
for each piece of acquired position data of the user to be identified in a first time period, if the geographic position corresponding to the piece of position data belongs to the preset geographic area, storing the piece of position data into a position data set; and taking the ratio of the total number of the position data contained in the position data set to the time length corresponding to the first time period as the association degree of the user to be identified and a preset geographic area.
Optionally, theprocessor 301 is further configured to: pre-training to obtain a binary classification model of the designated team according to the following modes:
training by using a preset classification algorithm according to the feature vector set of the sample user and the category set of the sample user to obtain a two-classification model of the designated team; the feature vector set is used for storing feature vectors of each sample user, the feature vectors comprise the attention degree of the corresponding sample user for a designated team and the association degree of the corresponding sample user and a preset geographic area, and the category set comprises two categories that the sample user is not a member of the designated team and the sample user is a member of the designated team.
Optionally, the preset classification algorithm is a naive bayes classification algorithm or a logistic regression classification algorithm.
EXAMPLE III
Based on the same inventive concept as the above embodiments, an embodiment of the present invention provides a team member identification apparatus, as shown in fig. 4, including:
a first determiningmodule 401, configured to determine, according to acquired attention data for characterizing that a user to be identified pays attention to a specified team, a degree of attention of the user to be identified to the specified team;
a second determiningmodule 402, configured to determine, according to an obtained preset geographic area and geographic position data of the user to be identified, a degree of association between the user to be identified and the preset geographic area, where the preset geographic area includes a geographic position where the designated team is located, and the degree of association is used to represent a situation where the user to be identified is present in the preset geographic area;
a third determiningmodule 403, configured to identify, according to the attention degree and the association degree, whether the user to be identified is a member of the designated team by using a pre-trained binary model of the designated team.
Optionally, in the apparatus, the data of interest includes at least one of:
paying attention to the number of the designated team WeChat public numbers, paying attention to the number of the designated team WeChats, downloading the number of application programs developed by the designated team, reading amount of news related to the designated team, and logging in times of websites related to the designated team.
Optionally, in the apparatus, the first determining module is specifically configured to:
and if the attention data comprise at least two items, determining that the attention degree of the user to be identified for the specified team is the sum of the numerical values corresponding to the at least two items.
Optionally, in the apparatus, the second determining module specifically includes:
the storage unit is used for storing each piece of position data of the acquired user to be identified in a first time period into a position data set if the geographic position corresponding to the piece of position data belongs to the preset geographic area;
and the determining unit is used for taking the ratio of the total number of the position data contained in the position data set to the time length corresponding to the first time period as the association degree of the user to be identified and a preset geographic area.
Optionally, the apparatus further comprises:
atraining module 404 for pre-training the two-classification model of the designated team according to the following manner
Training by using a preset classification algorithm according to the feature vector set of the sample user and the category set of the sample user to obtain a two-classification model of the designated team; the feature vector set is used for storing feature vectors of each sample user, the feature vectors comprise the attention degree of the corresponding sample user for a designated team and the association degree of the corresponding sample user and a preset geographic area, and the category set comprises two categories that the sample user is not a member of the designated team and the sample user is a member of the designated team.
Optionally, in the apparatus, the preset classification algorithm is a naive bayes classification algorithm or a logistic regression classification algorithm.
Example four
An embodiment of the present invention further provides a team member identification system, as shown in fig. 5, including:
thedatabase server 501 is used for storing concern data for representing a user to be identified to concern a designated team, a preset geographical area, geographical location data of the user to be identified and an identification result sent by a computer server, wherein the preset geographical area comprises a geographical location where the designated team is located, and the association degree is used for representing the situation that the user to be identified is present in the preset geographical area;
acalculation server 502, configured to obtain the data of interest, a preset geographic area, and geographic location data of the user to be identified from the database server; according to the attention data, determining the attention degree of the user to be identified to the designated team; determining the association degree of the user to be identified and the preset geographic area according to the preset geographic area and the geographic position data of the user to be identified; and identifying whether the user to be identified is a member of the designated team or not by utilizing a pre-trained binary classification model of the designated team according to the attention and the association, and sending an identification result to the database server.
Wherein thecomputing server 502 identifies devices for team members in embodiment two.
EXAMPLE five
The embodiment of the application provides a nonvolatile computer storage medium, wherein the computer storage medium stores computer executable instructions, and the computer executable instructions can execute any team member identification method in the first embodiment.
The team member identification device, method and system provided by the embodiment of the invention have the following beneficial effects:
compared with the mode of identifying the team to which the user belongs only according to the data filled by the user in the prior art, the method and the device have the advantages that the reliability and the real-time performance of the two user data, namely the attention data of the attention designated team used for determining the attention and the geographic position of the user to be identified used for determining the association are good, so that the team to which the user to be identified belongs is identified by using the two user data, and the accuracy of an identification result can be improved.
It should be noted that although several modules of the team member identification apparatus are mentioned in the above detailed description, such division is merely exemplary and not mandatory. Indeed, the features and functionality of two or more of the modules described above may be embodied in one module according to embodiments of the invention. Conversely, the features and functions of one module described above may be further divided into embodiments by a plurality of modules.
The present invention is described with reference to flowchart illustrations and/or block diagrams of methods, apparatus (systems), and computer program products according to embodiments of the invention. It will be understood that each flow and/or block of the flow diagrams and/or block diagrams, and combinations of flows and/or blocks in the flow diagrams and/or block diagrams, can be implemented by computer program instructions. These computer program instructions may be provided to a processor of a general purpose computer, special purpose computer, embedded processor, or other programmable data processing apparatus to produce a machine, such that the instructions, which execute via the processor of the computer or other programmable data processing apparatus, create means for implementing the functions specified in the flowchart flow or flows and/or block diagram block or blocks.
These computer program instructions may also be stored in a computer-readable memory that can direct a computer or other programmable data processing apparatus to function in a particular manner, such that the instructions stored in the computer-readable memory produce an article of manufacture including instruction means which implement the function specified in the flowchart flow or flows and/or block diagram block or blocks.
These computer program instructions may also be loaded onto a computer or other programmable data processing apparatus to cause a series of operational steps to be performed on the computer or other programmable apparatus to produce a computer implemented process such that the instructions which execute on the computer or other programmable apparatus provide steps for implementing the functions specified in the flowchart flow or flows and/or block diagram block or blocks.
While preferred embodiments of the present invention have been described, additional variations and modifications in those embodiments may occur to those skilled in the art once they learn of the basic inventive concepts. Therefore, it is intended that the appended claims be interpreted as including preferred embodiments and all such alterations and modifications as fall within the scope of the invention.
It will be apparent to those skilled in the art that various changes and modifications may be made in the present invention without departing from the spirit and scope of the invention. Thus, if such modifications and variations of the present invention fall within the scope of the claims of the present invention and their equivalents, the present invention is also intended to include such modifications and variations.

Claims (13)

1. A team member identification device, comprising:
the processor is used for determining the attention degree of the user to be identified to a specified team according to the attention data which are acquired from the database server and used for representing the attention degree of the user to be identified to the specified team; determining the association degree of the user to be identified and a preset geographic area according to the preset geographic area and the geographic position data of the user to be identified, wherein the preset geographic area comprises the geographic position of the designated team, and the association degree is used for representing the frequency of the user to be identified appearing in the preset geographic area in a first time period; according to the attention degree and the relevance degree, identifying whether the user to be identified is a member of the designated team or not by utilizing a pre-trained binary classification model of the designated team;
and the transmitter is used for transmitting the identification result to the database server so that the database server stores the identification result.
2. The apparatus of claim 1, wherein the data of interest comprises at least one of:
paying attention to the number of the designated team WeChat public numbers, paying attention to the number of the designated team WeChats, downloading the number of application programs developed by the designated team, reading amount of news related to the designated team, and logging in times of websites related to the designated team.
3. The device of claim 2, wherein the processor is specifically configured to:
and if the attention data comprise at least two items, determining that the attention degree of the user to be identified for the specified team is the sum of the numerical values corresponding to the at least two items.
4. The device of claim 1, wherein the processor is specifically configured to:
for each piece of acquired position data of the user to be identified in the first time period, if the geographic position corresponding to the piece of position data belongs to the preset geographic area, storing the piece of position data into a position data set;
and taking the ratio of the total number of the position data contained in the position data set to the time length corresponding to the first time period as the association degree of the user to be identified and a preset geographic area.
5. The device of claim 1, wherein the processor is further configured to:
pre-training to obtain a binary classification model of the designated team according to the following modes:
training by using a preset classification algorithm according to the feature vector set of the sample user and the category set of the sample user to obtain a two-classification model of the designated team; the feature vector set is used for storing feature vectors of each sample user, the feature vectors comprise the attention degree of the corresponding sample user for a designated team and the association degree of the corresponding sample user and a preset geographic area, and the category set comprises two categories that the sample user is not a member of the designated team and the sample user is a member of the designated team.
6. The apparatus of claim 5, wherein the pre-set classification algorithm is a naive Bayes classification algorithm or a logistic regression classification algorithm.
7. A method for identifying team members, comprising:
according to the acquired attention data for representing the attention degree of the user to be identified to a designated team, determining the attention degree of the user to be identified to the designated team;
determining the association degree of the user to be identified and a preset geographic area according to the acquired preset geographic area and the geographic position data of the user to be identified, wherein the preset geographic area comprises the geographic position of the designated team, and the association degree is used for representing the frequency degree of the user to be identified appearing in the preset geographic area in a first time period;
and identifying whether the user to be identified is a member of the designated team or not by utilizing a pre-trained binary classification model of the designated team according to the attention and the association.
8. The method of claim 7, wherein the data of interest comprises at least one of:
paying attention to the number of the designated team WeChat public numbers, paying attention to the number of the designated team WeChats, downloading the number of application programs developed by the designated team, reading amount of news related to the designated team, and logging in times of websites related to the designated team.
9. The method according to claim 8, wherein determining the attention of the user to be identified to the designated team comprises:
and if the attention data comprise at least two items, determining that the attention degree of the user to be identified for the specified team is the sum of the numerical values corresponding to the at least two items.
10. The method according to claim 7, wherein determining the degree of association between the user to be identified and a preset geographic area specifically comprises:
for each piece of acquired position data of the user to be identified in the first time period, if the geographic position corresponding to the piece of position data belongs to the preset geographic area, storing the piece of position data into a position data set;
and taking the ratio of the total number of the position data contained in the position data set to the time length corresponding to the first time period as the association degree of the user to be identified and a preset geographic area.
11. The method of claim 7, wherein pre-training the two-classification model of the designated team comprises:
training by using a preset classification algorithm according to the feature vector set of the sample user and the category set of the sample user to obtain a two-classification model of the designated team; the feature vector set is used for storing feature vectors of each sample user, the feature vectors comprise the attention degree of the corresponding sample user for a designated team and the association degree of the corresponding sample user and a preset geographic area, and the category set comprises two categories that the sample user is not a member of the designated team and the sample user is a member of the designated team.
12. The method of claim 11, wherein the predetermined classification algorithm is a naive bayes classification algorithm or a logistic regression classification algorithm.
13. A team member identification system, comprising:
the system comprises a database server, a computer server and a database server, wherein the database server is used for storing concern data for representing the concern degree of a user to be identified on a designated team, a preset geographical area, geographical position data of the user to be identified and an identification result sent by the computer server, and the preset geographical area comprises the geographical position of the designated team;
the calculation server is used for acquiring the attention data, the preset geographical area and the geographical position data of the user to be identified from the database server; according to the attention data, determining the attention degree of the user to be identified to the designated team; determining the association degree of the user to be identified and the preset geographic area according to the preset geographic area and the geographic position data of the user to be identified; and identifying whether the user to be identified is a member of the designated team or not by utilizing a pre-trained binary classification model of the designated team according to the attention and the association, and sending an identification result to the database server, wherein the association is used for representing the frequency of the user to be identified appearing in the preset geographic area in a first time period.
CN201710309342.5A2017-05-042017-05-04Team member identification device, method and systemActiveCN107256231B (en)

Priority Applications (1)

Application NumberPriority DateFiling DateTitle
CN201710309342.5ACN107256231B (en)2017-05-042017-05-04Team member identification device, method and system

Applications Claiming Priority (1)

Application NumberPriority DateFiling DateTitle
CN201710309342.5ACN107256231B (en)2017-05-042017-05-04Team member identification device, method and system

Publications (2)

Publication NumberPublication Date
CN107256231A CN107256231A (en)2017-10-17
CN107256231Btrue CN107256231B (en)2022-04-22

Family

ID=60027911

Family Applications (1)

Application NumberTitlePriority DateFiling Date
CN201710309342.5AActiveCN107256231B (en)2017-05-042017-05-04Team member identification device, method and system

Country Status (1)

CountryLink
CN (1)CN107256231B (en)

Families Citing this family (4)

* Cited by examiner, † Cited by third party
Publication numberPriority datePublication dateAssigneeTitle
CN108989992A (en)*2018-08-032018-12-11四川民工加网络科技有限公司Migrant worker's dynamic realtime method for tracing and device
CN110147923B (en)*2019-04-042023-07-11创新先进技术有限公司Method and device for identifying risk users
CN112307075B (en)*2019-08-012023-09-19中国移动通信集团广东有限公司User relationship identification method and device
CN113034157B (en)*2019-12-242023-12-26中国移动通信集团浙江有限公司Group member identification method and device and computing equipment

Citations (6)

* Cited by examiner, † Cited by third party
Publication numberPriority datePublication dateAssigneeTitle
US8694413B1 (en)*2011-09-292014-04-08Morgan Stanley & Co. LlcComputer-based systems and methods for determining interest levels of consumers in research work product produced by a research department
WO2014150073A2 (en)*2013-03-152014-09-25Ad-Vantage Networks, Inc.Methods and systems for requesting, processing, and displaying content
CN104573109A (en)*2015-01-302015-04-29深圳市中兴移动通信有限公司System, terminal and method for automatic recommendation based on group relation
CN105488211A (en)*2015-12-112016-04-13成都陌云科技有限公司Method for determining user group based on feature analysis
CN105512301A (en)*2015-12-112016-04-20成都陌云科技有限公司User grouping method based on social content
CN106227835A (en)*2016-07-252016-12-14中南大学Team's research direction method for digging based on two subnetwork figure hierarchical clusterings

Family Cites Families (5)

* Cited by examiner, † Cited by third party
Publication numberPriority datePublication dateAssigneeTitle
US7167910B2 (en)*2002-02-202007-01-23Microsoft CorporationSocial mapping of contacts from computer communication information
JP5573117B2 (en)*2009-11-172014-08-20ソニー株式会社 Display control system, display control device, and display control method
CN103377262B (en)*2012-04-282017-09-12国际商业机器公司The method and apparatus being grouped to user
CN104462448B (en)*2014-12-152019-03-12微梦创科网络科技(中国)有限公司 Group name classification method and device
CN106529110A (en)*2015-09-092017-03-22阿里巴巴集团控股有限公司Classification method and equipment of user data

Patent Citations (6)

* Cited by examiner, † Cited by third party
Publication numberPriority datePublication dateAssigneeTitle
US8694413B1 (en)*2011-09-292014-04-08Morgan Stanley & Co. LlcComputer-based systems and methods for determining interest levels of consumers in research work product produced by a research department
WO2014150073A2 (en)*2013-03-152014-09-25Ad-Vantage Networks, Inc.Methods and systems for requesting, processing, and displaying content
CN104573109A (en)*2015-01-302015-04-29深圳市中兴移动通信有限公司System, terminal and method for automatic recommendation based on group relation
CN105488211A (en)*2015-12-112016-04-13成都陌云科技有限公司Method for determining user group based on feature analysis
CN105512301A (en)*2015-12-112016-04-20成都陌云科技有限公司User grouping method based on social content
CN106227835A (en)*2016-07-252016-12-14中南大学Team's research direction method for digging based on two subnetwork figure hierarchical clusterings

Also Published As

Publication numberPublication date
CN107256231A (en)2017-10-17

Similar Documents

PublicationPublication DateTitle
US20210329094A1 (en)Discovering signature of electronic social networks
US12061970B1 (en)Systems and methods of large language model driven orchestration of task-specific machine learning software agents
US11790078B2 (en)Computer-based systems configured for managing authentication challenge questions in a database and methods of use thereof
US12118552B2 (en)User profiling based on transaction data associated with a user
US11539716B2 (en)Online user behavior analysis service backed by deep learning models trained on shared digital information
IL261207A (en)Method and system for searching for entities based on trust score and geography
US20140289171A1 (en)Automatic Event Categorization for Event Ticket Network Systems
US11886567B2 (en)Computer-based systems with programmed automatic real-time updatable browsing data objects and activity data objects and methods of use thereof
CN107256231B (en)Team member identification device, method and system
US20230244939A1 (en)Computer-based systems configured for detecting and splitting data types in a data file and methods of use thereof
CN110197426B (en)Credit scoring model building method, device and readable storage medium
US20230046813A1 (en)Selecting communication schemes based on machine learning model predictions
CN110830515A (en)Flow detection method and device and electronic equipment
CN112446708B (en) A method and device for identifying risk
US20230377004A1 (en)Systems and methods for request validation
EP4584702A1 (en)Entity profile for access control
US20230029312A1 (en)Similarity-based search for fraud prevention
CN115795345A (en)Information processing method, device, equipment and storage medium
CN111291196B (en)Knowledge graph perfecting method and device, and data processing method and device
US12190183B1 (en)Intelligent system to categorize quick response (“QR”) code based transfers using shared recommendations and generative AI
US20220277327A1 (en)Computer-based systems for data distribution allocation utilizing machine learning models and methods of use thereof
US20250069172A1 (en)Targeted anti-scam education and feedback
CN108520334A (en)A kind of occupation reference method and apparatus
CN116975160A (en)Transaction data processing method, device, equipment, medium and product
CN119648416A (en) Client-based financial product recommendation method, device, computer equipment and medium

Legal Events

DateCodeTitleDescription
PB01Publication
PB01Publication
SE01Entry into force of request for substantive examination
SE01Entry into force of request for substantive examination
GR01Patent grant
GR01Patent grant

[8]ページ先頭

©2009-2025 Movatter.jp