Movatterモバイル変換


[0]ホーム

URL:


CN107242877B - Evaluation system and evaluation method for emotion stability sensing system training - Google Patents

Evaluation system and evaluation method for emotion stability sensing system training
Download PDF

Info

Publication number
CN107242877B
CN107242877BCN201710522324.5ACN201710522324ACN107242877BCN 107242877 BCN107242877 BCN 107242877BCN 201710522324 ACN201710522324 ACN 201710522324ACN 107242877 BCN107242877 BCN 107242877B
Authority
CN
China
Prior art keywords
control unit
guide rail
annular handle
handle
test
Prior art date
Legal status (The legal status is an assumption and is not a legal conclusion. Google has not performed a legal analysis and makes no representation as to the accuracy of the status listed.)
Active
Application number
CN201710522324.5A
Other languages
Chinese (zh)
Other versions
CN107242877A (en
Inventor
施杰煌
洪泉益
洪炜
洪启函
Current Assignee (The listed assignees may be inaccurate. Google has not performed a legal analysis and makes no representation or warranty as to the accuracy of the list.)
Tahoco Electronic Technology Fujian Co ltd
Original Assignee
Tahoco Electronic Technology Fujian Co ltd
Priority date (The priority date is an assumption and is not a legal conclusion. Google has not performed a legal analysis and makes no representation as to the accuracy of the date listed.)
Filing date
Publication date
Application filed by Tahoco Electronic Technology Fujian Co ltdfiledCriticalTahoco Electronic Technology Fujian Co ltd
Priority to CN201710522324.5ApriorityCriticalpatent/CN107242877B/en
Publication of CN107242877ApublicationCriticalpatent/CN107242877A/en
Application grantedgrantedCritical
Publication of CN107242877BpublicationCriticalpatent/CN107242877B/en
Activelegal-statusCriticalCurrent
Anticipated expirationlegal-statusCritical

Links

Images

Classifications

Landscapes

Abstract

The invention provides an evaluation system and an evaluation method for emotion stability sensing system training, wherein the evaluation system comprises a main control unit, an annular handle and a metal guide rail, and the annular handle moves along the metal guide rail between the left end and the right end of the metal guide rail; the evaluation method is that the MCU detects the position state of the annular handle to prepare the test, the end of the annular handle, which is away from the metal guide rail, starts the timing test, the MCU detects the movement state of the annular handle in the movement process of the annular handle, the test is finally completed, and the final score of the user is calculated according to the test time and the error times. The invention determines the starting time and the ending time of training by judging the leaving end point and the contact end point of the annular handle, and in the process, judges the contact times and the contact time of the annular handle and the metal guide rail to evaluate errors, thereby accurately reflecting the motion control mechanism of the human brain on the arm action and the motion stability and the sensitivity of the upper limb body.

Description

Evaluation system and evaluation method for emotion stability sensing system training
Technical Field
The invention relates to an evaluation system, in particular to an evaluation system for emotion stability sensing training and an evaluation method thereof.
Background
Stability refers to the ability of a person to focus attention on a specific object and activity more stably within a certain period of time, namely working quality, and stability training can improve life quality, optimize life quality and improve stability and sensitivity of the brain to arm movements so as to develop the equipment.
The arm has special significance for people: (1) The motor functions of the hands and arms are closely related to the brain, cerebellum, nerves, muscles, blood circulation system and the like, and the stability of the arms is closely related to the physiological state of a person. (2) When some parts of the human body generate lesions and are obstructed, the stability degree of the arm action is often affected, and the stability degree of the arm is closely related to the pathological state of the human body. (3) The stability of the arm motion is closely related to the attention, emotion, rest, high and low nerve activity states of the person, and the stability of the arm is closely related to the psychological state of the person.
Therefore, the arm stability is an important parameter of human body conditions (physiological quality and psychological quality), is an important mark for reflecting the central nervous system function conditions and the body soundness and sensitivity of the upper limbs, is a new important index for health examination and rehabilitation assessment, and is also an important index for psychological test.
Disclosure of Invention
In order to solve the defects of the prior art, the invention aims to provide an emotion stability sensing system training evaluation system and an emotion stability sensing system training evaluation method, so as to overcome the defects in the prior art.
In order to achieve the above purpose, the invention provides an emotion stability sensing system training evaluation system and an evaluation method thereof, wherein the evaluation system comprises a main control unit, a power supply unit, an annular handle, a metal guide rail, a keyboard key, a liquid crystal display and an application interface; the main control unit is used for establishing normal distribution mathematical models with different difficulty levels and is used as an evaluation basis of the arm stability level; according to the recognition processing of signals of the movement of the hand-held ring handle along the metal guide rail during the training process of the user, and the operation time and the error times of the training of the user, the stability of the emotion is automatically calculated and evaluated, and the test result is displayed on the liquid crystal display and simultaneously stored in the SD card; the power supply module is connected with the main control unit and supplies power to the main control unit; the circular end of the annular handle is sleeved on the metal guide rail, and the handle end of the annular handle is connected with the main control unit so as to detect the position state of the annular handle, and the annular handle moves along the metal guide rail between the left end and the right end of the metal guide rail; the metal guide rail is a three-dimensional bent pipe rail and is connected with the main control unit; the left end of the guide rail is provided with a left contact endpoint, the right end of the guide rail is provided with a right contact endpoint, and the annular handle leaves the endpoints and the contact endpoints to determine the starting time and the ending time of training; the keyboard keys are connected with the main control unit and serve as external input equipment and are used for registering, logging in, adjusting volume and operating in the training process; the liquid crystal display is connected with the main control unit, and is used as external output equipment for displaying an operation interface and an evaluation result; the application interface is connected with the main control unit and used for expanding the external equipment.
As a further explanation of the evaluation system according to the present invention, preferably, the main control unit includes a micro program controller MCU, a handle interface unit, a metal guide rail control unit, a key control unit, an LCD control unit, a system clock unit for timing, a storage unit, and an application interface control unit; the handle interface unit is used for externally connecting an annular handle, detecting the position state of the annular handle and feeding back the result to the Microprogrammed Control Unit (MCU); the metal guide rail control unit is used for externally connecting a metal guide rail, determining the starting time and the ending time of training according to the leaving end point and the contact end point of the annular handle, detecting the contact times and the contact time of the annular handle and the metal guide rail, and feeding back the result to the MCU; the key control unit is used for sending an input signal of a key of the keyboard to the MCU; the LCD control unit is used for sending the output signal of the microprogrammed control unit MCU to the liquid crystal display; the system clock unit is used for generating a clock signal and driving the microprogrammed control unit MCU; the storage unit is used for storing system parameters and user registration information; and the application interface control unit is used for converting an input signal of the external equipment connected with the application interface into a signal which can be identified by the microprogrammed control unit MCU.
As a further explanation of the evaluation system according to the present invention, preferably, the metal rail control unit includes a metal rail detection unit, a metal rail left end control unit, a metal rail right end control unit; the microprogrammed control unit MCU detects the placement state of the annular handle through the metal guide rail detection unit, and the contact times and the contact time of the annular handle and the metal guide rail; the left end control unit of the metal guide rail is connected with the left end point of the guide rail, the right end control unit of the metal guide rail is connected with the right end point of the guide rail, and the left end control unit of the metal guide rail and the right end control unit of the metal guide rail detect the leaving end point and the contact end point of the annular handle so as to determine the starting time and the ending time of training.
As a further explanation of the evaluation system according to the present invention, preferably, the application interface includes an audio interface, a USB interface, an ethernet interface, and an SD card interface; the audio interface is connected with the Microprogrammed Control Unit (MCU) through the audio control unit, is externally connected with a buzzer and is used for testing voice prompts in the operation process; the USB interface is connected with the microprogrammed control unit MCU through the USB control unit and is externally connected with the expansion equipment; the Ethernet interface is connected with the MCU through the Ethernet control unit and connected with the Internet through a network cable; the SD card interface is connected with the microprogrammed control unit MCU through the SD card control unit, and the SD card interface is externally connected with the SD card and used for transferring the test record to a computer for storage, so that statistics is facilitated.
As a further explanation of the evaluation system according to the present invention, preferably, the normal distribution mathematical model includes the following model: the model of the times is:
Figure BDA0001337816610000041
Figure BDA0001337816610000042
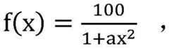
wherein x represents the number of errors, f (x) represents the score, the highest score is 100, n is the number of normal errors, and m is the score; model of time: />
Figure BDA0001337816610000043
Wherein y is test time, time is seconds S, f (y) represents score, the highest score is 100, q is normal test time, and p is score; model of number and time fit: />
Figure BDA0001337816610000044
Figure BDA0001337816610000045
Wherein T is1 And T is2 Respectively represent weights, and T1 +T2 =1。
In order to achieve another object of the present invention, the present invention provides an evaluation method using the evaluation system, the evaluation method comprising the steps of: 1) Healthy people in different age stages are used as sample analysis, and a normal distribution mathematical model is established as an evaluation standard; 1-1) sample data acquisition: each sample is tested on the test system respectively, moves on the metal guide rail through the handheld ring handle, and sends test data to the micro-program controller MCU; 1-2) sample data storage: the MCU classifies and counts all the sample test data according to age groups to obtain the normal distribution mathematical model, and stores the normal distribution mathematical model into a storage unit or an SD card; 2) Performing stability training on a training user by using the training evaluation system to obtain a test result; 2-1) the microprogrammed control unit MCU detects the position state of the annular handle to determine the start of training; 2-2) the handle end of the annular handle leaves the left contact end point or the right contact end point to start training, the microprogrammed control unit MCU starts timing, the user holds the annular handle to walk around the irregular metal guide rail, and the microprogrammed control unit MCU detects the motion state of the annular handle so as to determine the number of errors and the contact time of the annular handle and the metal guide rail; 2-3) the training of the handle end of the annular handle contacting the right contact end point or the left contact end point is finished, and the micro-program controller MCU finishes timing; 3) The MCU adopts a full-automatic test integration system mode, extracts test data of the training user from the storage unit, compares the test data with sample data, and calculates the final score of the training user through a normal distribution mathematical model according to the recorded test time and error times.
As a further explanation of the evaluation method according to the present invention, preferably, the ring-shaped handle position state includes the following cases: 1) If the circular end of the annular handle is positioned at the left end of the guide rail of the metal guide rail, the handle end of the annular handle contacts with the left contact end point, and a user needs to pick up the annular handle and walk to the right end of the guide rail of the metal guide rail to calculate that the test is completed; 2) If the circular end of the annular handle is positioned at the right end of the guide rail of the metal guide rail, the handle end of the annular handle contacts with the right contact end point, and a user needs to pick up the annular handle and walk to the left end of the guide rail of the metal guide rail to calculate that the test is completed; 3) If the annular handle is not arranged at the left end of the guide rail and the right end of the guide rail, a user needs to reset the annular handle to the left end of the guide rail or the right end of the guide rail, and the handle end of the annular handle contacts with the left contact endpoint or the right contact endpoint, so that the reset is successful.
As a further explanation of the evaluation method according to the present invention, preferably, in step 2), the user holds the ring-shaped handle, starts and ends at the same end of the metal rail, and there is no test result.
As a further explanation of the evaluation method according to the present invention, preferably, in step 2), the ring-shaped handle is contacted with the metal rail for more than 3 seconds, and the test is ended; or, the operation is not completed within 10 minutes, the system judges that the test is overtime, and the test is ended; or after the test is started, the number of errors is excessive and is more than 99 times, and the test is ended.
The invention determines the starting time and the ending time of training by judging the leaving end point and the contact end point of the handle ring, and in the process, judges the contact times and the contact time of the handle ring and the metal guide rail to evaluate errors, thereby accurately reflecting the motion control mechanism of the whole central nervous system on the arm action and the motion stability and the sensitivity of the upper limb organism.
The invention relates to stability training equipment developed by an STM32 singlechip based on ARM as a core, which adopts a digital technology and an advanced algorithm technology thereof to improve the rationality of evaluation data. And according to the time and the error times of the operation tested by the user, obtaining the current arm stability level of the user by using an operation behavior fitting algorithm. The microcomputer is used for controlling hardware, the modern microelectronic technology is used for normalizing the testing process, and a user can use and operate for a long time to achieve the effect of improving the stability of both hands, so that the device has the characteristics of simplicity and convenience in operation, automatic timing, counting, calculation and low cost.
Drawings
FIG. 1 is a block diagram of the hardware principles of the evaluation system of the present invention;
fig. 2 is a functional block diagram of the evaluation system of the present invention.
Detailed Description
For a further understanding of the structure, features, and other objects of the invention, reference should now be made in detail to the accompanying drawings of the preferred embodiments of the invention, which are illustrated in the accompanying drawings and are for purposes of illustrating the concepts of the invention and not for limiting the invention.
As shown in fig. 1, fig. 1 is a hardware schematic block diagram of an evaluation system of the present invention; the evaluation system comprises amain control unit 1, apower supply module 2, an annular handle 3, ametal guide rail 4, a keyboard key 5, aliquid crystal display 6 and anapplication interface 7; themain control unit 1 is used for establishing normal distribution mathematical models with different difficulty levels and is used as an evaluation basis of the arm stability level; according to the recognition processing of the signals of the user holding the annular handle 3 along themetal guide rail 4 in the training process and the operation time and the error times of the user training, the stability of the emotion is automatically calculated and evaluated, and the test result is displayed on theliquid crystal display 6 and simultaneously stored in the SD card; thepower module 2 is connected with themain control unit 1 and supplies power to themain control unit 1; the circular end of the annular handle 3 is sleeved on themetal guide rail 4, the handle end of the annular handle 3 is connected with themain control unit 1 to detect the position state of the annular handle 3, and the annular handle 3 moves along themetal guide rail 4 between the left end and the right end of themetal guide rail 4; themetal guide rail 4 is a three-dimensional bent pipe rail and is connected with themain control unit 1; the left end of the guide rail is provided with a left contact endpoint, the right end of the guide rail is provided with a right contact endpoint, and the annular handle 3 leaves the endpoints and the contact endpoints to determine the starting time and the ending time of training; the keyboard keys 5 adopt 4*3 keyboards and are connected with themain control unit 1, and the keyboard keys 5 are used as external input equipment for registering, logging in, adjusting volume and operating in the training process; theliquid crystal display 6 adopts a 7-inch TFT liquid crystal screen for display and is connected with themain control unit 1, and theliquid crystal display 6 is used as external output equipment for displaying an operation interface and an evaluation result; theapplication interface 7 is connected with themain control unit 1 and is used for expanding external equipment.
Referring to fig. 2, fig. 2 is a functional block diagram of an evaluation system according to the present invention; themain control unit 1 comprises a microprogrammed control unit MCU11, ahandle interface unit 12, a metal guiderail control unit 13, akey control unit 14, anLCD control unit 15, asystem clock unit 16 for timing, astorage unit 17 and an applicationinterface control unit 18; the main control unit MCU11 selects STM32F103VCT6, a core-m 3 kernel, 256K Flash,48K SRAM and a parallel LCD interface, and is compatible with 8080/6800 modes; thehandle interface unit 12 is used for externally connecting the annular handle 3, detecting the position state of the annular handle 3 and feeding back the result to the microprogrammed control unit MCU11; the metal guiderail control unit 13 is used for externally connecting themetal guide rail 4, determining the starting time and the ending time of training according to the leaving end point and the contact end point of the annular handle 3, detecting the contact times and the contact time of the annular handle 3 and themetal guide rail 4, and feeding back the result to the micro-program controller MCU11; akey control unit 14 for transmitting an input signal of the keyboard key 5 to the micro program controller MCU11; anLCD control unit 15 that transmits an output signal of the micro program controller MCU11 to theliquid crystal display 6; asystem clock unit 16 for generating a clock signal and driving the micro program controller MCU11; thestorage unit 17 is serial Flash, and is used for storing system parameters and user registration information, while the user test information is stored in the SD card and can be transferred to a computer for data statistics and analysis; the applicationinterface control unit 18 is configured to convert an input signal of an external device connected to theapplication interface 7 into a signal recognizable by the micro program controller MCU11.
The metal guiderail control unit 13 comprises a metal guiderail detection unit 131, a metal guide rail leftend control unit 132 and a metal guide rail rightend control unit 133; wherein, the annular handle 3 contacts themetal guide rail 4, and triggers the metal guiderail detection unit 131 to start detection, which is used for detecting the contact times and contact time of the annular handle 3 and themetal guide rail 4 and evaluating errors; the left contact end point is connected with the leftend control unit 132 of the metal guide rail, the right contact end point is connected with the rightend control unit 133 of the metal guide rail, and the leftend control unit 132 of the metal guide rail and the rightend control unit 133 of the metal guide rail are contacted or not contacted with the left contact end point or the right contact end point through the handle end of the annular handle 3 so as to determine the starting time and the ending time of training.
Theapplication interface 7 comprises anaudio interface 71, aUSB interface 72, anEthernet interface 73 and anSD card interface 74, wherein theaudio interface 71 is connected with the microprogrammed control unit MCU11 through an audio control unit, and theaudio interface 71 is externally connected with a buzzer and is used for testing voice prompts in the operation process; theUSB interface 72 is connected with the microprogrammed control unit MCU11 through a USB control unit, and theUSB interface 72 is externally connected with expansion equipment; the Ethernetinterface 73 is connected with the microprogrammed control unit MCU11 through an Ethernet control unit, and the Ethernetinterface 73 is connected with the Internet through a network cable; theSD card interface 74 is connected with the microprogrammed control unit MCU11 through an SD card control unit, and theSD card interface 74 is externally connected with an SD card and is used for transferring test records to a computer for storage, so that statistics is facilitated.
The invention provides an evaluation method adopting the evaluation system, which comprises the following steps:
step 1): healthy people in different age stages are used as sample analysis, and a normal distribution mathematical model is established as an evaluation standard.
1-1) sample data acquisition: each sample is tested separately on the test system, each sample is moved on ametal rail 4 by a hand-held loop handle 3 and test data is sent to a micro-program controller MCU11.
1-2) sample data storage: the micro program controller MCU11 classifies and counts all sample test data according to age groups to obtain the normal distribution mathematical model, and stores the normal distribution mathematical model in thestorage unit 17 or the SD card.
The mathematical model includes the following models:
the model of the times is:
Figure BDA0001337816610000101
where x represents the number of errors, f (x) represents the score, up to 100 points, n is the number of normal errors, and m is the score.
Model of time:
Figure BDA0001337816610000102
wherein y is the test time, the time is seconds S, f (y) represents the score, the highest score is 100, q is the normal test time, and p is the score.
Model of number and time fit:
Figure BDA0001337816610000103
wherein T is1 And T is2 Respectively represent weights, and T1 +T2 =1, wherein T1 And T is2 Respectively represent weights, and T1 +T2 =1; when the number of errors is small, the number weight T1 Smaller; as the number of errors increases, the number of times weight increases; when the number of errors exceeds 20 times, the number weight T1 Time weight t=12 =0, at which point the score is completely determined by the number of errors.
Step 2): and performing stability training on the training user by using the training evaluation system to obtain a test result.
Firstly, a user can log in with a tourist identity or a login account, log in the test system through the operation of a keyboard key 5, display a test interface on aliquid crystal display 6, and simultaneously detect the position state of an annular handle 3 by a Microprogrammed Control Unit (MCU) 11, and the system enters a state of waiting for test; wherein, the annular handle 3 position state includes the following cases: 1) If the circular end of the annular handle 3 is positioned at the left end of the guide rail of themetal guide rail 4, the handle end of the annular handle 3 contacts with the left contact end point, the system enters a state of waiting for testing, and a user needs to pick up the annular handle 3 and walk to the right end of the guide rail of themetal guide rail 4 to calculate that the testing is completed; 2) If the circular end of the annular handle 3 is positioned at the right end of the guide rail of themetal guide rail 4, the handle end of the annular handle 3 contacts with the right contact end point, the system enters a state of waiting for testing, and a user needs to pick up the annular handle 3 and walk to the left end of the guide rail of themetal guide rail 4 to calculate that the testing is completed; 3) If the ring handle 3 is not at the left end and right end of the guide rail, theliquid crystal display 6 displays "please return the handle-! The buzzer carries out voice prompt, the user needs to reset the annular handle 3 to the left end of the guide rail or the right end of the guide rail, the handle end of the annular handle 3 contacts with the left contact end point or the right contact end point, the reset is successful, the handle reset is displayed on theliquid crystal display 6, the buzzer carries out voice prompt, and then the system enters a state of waiting for testing.
Then, the user picks up the ring handle 3 in the "waiting test" state, the handle end of the ring handle 3 leaves the left contact end point or the right contact end point, thesystem clock unit 16 starts timing, the buzzer performs voice prompt, and the "… under test" is displayed on theliquid crystal display 6.
Finally, thesystem clock unit 16 starts timing, the user holds the annular handle 3 to walk around the irregularmetal guide rail 4, the microprogrammed control unit MCU11 detects the motion state of the annular handle 3, when the annular handle 3 is detected to contact themetal guide rail 4, the buzzer sends out a 'drip' sound to prompt the user, and the system judges that the system is in misoperation and counts the times of the misoperation until the test is finished; wherein the end of the test comprises the following: 1) The user holds the annular handle 3 to walk from one end of themetal guide rail 4 to the other end of themetal guide rail 4, puts down the handle, judges the section of the system as 'test completion' and displays the section on theliquid crystal display 6; 2) The user holds the annular handle 3, starts and ends at the same end of themetal guide rail 4, and the system judges that the user actively ends the test and displays the test on theliquid crystal display 6; 3) After the test is started, the annular handle 3 contacts themetal guide rail 4, the contact time exceeds 3 seconds, the system judges illegal operation of a user, and the test is finished; or, the operation is not completed within 10 minutes, the system judges that the test is overtime, and the test is ended; or after the test is started, the number of errors is excessive and is more than 99 times, the system judges that the errors are excessive, and the test is ended.
Step 3): after the test is finished and under the effective condition, the microprogrammed control unit MCU11 adopts a full-automatic test integration system mode, extracts test data of the training user from thestorage unit 17, compares the test data with sample data, and calculates the final score of the training user through a normal distribution mathematical model according to the recorded test time and error times.
The test result of each time of training users can be recorded and stored in the SD card, if the score of the time enters the front 10 high-score ranking charts, the test information is stored in the high-score ranking charts of the internal serial Flash, and if the score is the same, the test information is recorded in the front with the early test time.
The invention adopts a full-automatic test integration system mode, and automatically judges the start and the end of the test and judges the times of misoperation by researching the characteristics of the walking signals of the three-dimensional bent pipe track.
The invention is also a rehabilitation medical and functional training instrument taking the concept of arm stability as a guide. The basic principle is that by means of the device, through repeated training of conscious control actions, accompanied by information transformation, biofeedback, biological control and functional training processes, instructions for continuously regulating and enhancing the brain are transmitted to the dominance and control capacity of the whole central nervous system and skeletal muscle system, thereby clearing control dysfunction and improving until the functional state is restored.
It should be noted that the foregoing summary and the detailed description are intended to demonstrate practical applications of the technical solution provided by the present invention, and should not be construed as limiting the scope of the present invention. Various modifications, equivalent alterations, or improvements will occur to those skilled in the art, and are within the spirit and principles of the invention. The scope of the invention is defined by the appended claims.

Claims (7)

1. The evaluation system for emotion stability sensing system training is characterized by comprising a main control unit (1), a power supply module (2), an annular handle (3), a metal guide rail (4), a keyboard key (5), a liquid crystal display (6) and an application interface (7); wherein,,
the main control unit (1) is used for establishing normal distribution mathematical models with different difficulty levels and is used as an evaluation basis of the arm stability level; according to the recognition processing of signals of the hand-held ring-shaped handle (3) moving along the metal guide rail (4) during the training process of a user, the operation time and the error times of the training of the user, the stability of the emotion is automatically calculated and evaluated, and the test result is displayed on the liquid crystal display (6) and simultaneously stored in the SD card;
the normal distribution mathematical model comprises the following models:
the model of the times is:
Figure QLYQS_1
wherein x represents the number of errors, f (x) represents the score, the highest score is 100, n is the number of normal errors, and m is the score;
model of time:
Figure QLYQS_2
wherein y is test time, time is seconds S, f (y) represents score, the highest score is 100, q is normal test time, and p is score;
model of time and time fit:
Figure QLYQS_3
wherein T is1 And T is2 Respectively represent weights, and T1 +T2 =1;
The power supply module (2) is connected with the main control unit (1) and supplies power to the main control unit (1);
the circular end of the annular handle (3) is sleeved on the metal guide rail (4), the handle end of the annular handle (3) is connected with the main control unit (1) to detect the position state of the annular handle (3), and the annular handle (3) moves along the metal guide rail (4) between the left end and the right end of the metal guide rail (4);
the metal guide rail (4) is a three-dimensional bent pipe rail and is connected with the main control unit (1); the left end of the guide rail is provided with a left contact endpoint, the right end of the guide rail is provided with a right contact endpoint, and the annular handle (3) leaves the endpoints and the contact endpoints to determine the starting time and the ending time of training;
the keyboard keys (5) are connected with the main control unit (1), and the keyboard keys (5) are used as external input equipment for registering, logging in, adjusting volume and operating in the training process;
the liquid crystal display (6) is connected with the main control unit (1), and the liquid crystal display (6) is used as external output equipment for displaying an operation interface and an evaluation result;
the application interface (7) is connected with the main control unit (1) and is used for expanding external equipment;
the main control unit (1) comprises a Microprogrammed Control Unit (MCU) (11), a handle interface unit (12), a metal guide rail control unit (13), a key control unit (14), an LCD control unit (15), a system clock unit (16) for timing, a storage unit (17) and an application interface control unit (18);
the handle interface unit (12) is used for externally connecting the annular handle (3), detecting the position state of the annular handle (3) and feeding back the result to the microprogrammed control unit (11);
the metal guide rail control unit (13) is used for externally connecting the metal guide rail (4), determining the starting time and the ending time of training according to the leaving end point and the contact end point of the annular handle (3), detecting the contact times and the contact time of the annular handle (3) and the metal guide rail (4), and feeding back the result to the Microprogrammed Control Unit (MCU) (11);
a key control unit (14) for transmitting an input signal of the keyboard key (5) to the microprogrammed control unit (11);
an LCD control unit (15) for transmitting the output signal of the micro-program controller MCU (11) to the liquid crystal display (6);
a system clock unit (16) for generating a clock signal and driving the micro program controller MCU (11);
a storage unit (17) for storing system parameters and user registration information;
and the application interface control unit (18) is used for converting an input signal of an external device connected with the application interface (7) into a signal which can be identified by the microprogrammed control unit (11).
2. The evaluation system according to claim 1, wherein the metal rail control unit (13) includes a metal rail detection unit (131), a metal rail left end control unit (132), a metal rail right end control unit (133); wherein,,
the microprogrammed control unit (11) detects the placement state of the annular handle (3) through the metal guide rail detection unit (131), and the contact times and the contact time of the annular handle (3) and the metal guide rail (4);
the left end control unit (132) of the metal guide rail is connected with the left end point of the guide rail, the right end control unit (133) of the metal guide rail is connected with the right end point of the guide rail, and the left end control unit (132) of the metal guide rail and the right end control unit (133) of the metal guide rail detect the leaving end point and the contact end point of the annular handle (3) so as to determine the starting time and the ending time of training.
3. The evaluation system according to claim 1, wherein the application interface (7) comprises an audio interface (71), a USB interface (72), an ethernet interface (73), an SD card interface (74); wherein,,
the audio interface (71) is connected with the microprogrammed control unit (MCU 11) through an audio control unit, and the audio interface (71) is externally connected with a buzzer and is used for testing voice prompts in the operation process;
the USB interface (72) is connected with the microprogrammed control unit (MCU 11) through a USB control unit, and the USB interface (72) is externally connected with expansion equipment;
the Ethernet interface (73) is connected with the microprogrammed control unit (MCU 11) through an Ethernet control unit, and the Ethernet interface (73) is connected with the Internet through a network cable;
the SD card interface (74) is connected with the Microprogrammed Control Unit (MCU) (11) through the SD card control unit, and the SD card interface (74) is externally connected with an SD card and is used for transferring test records to a computer for storage, so that statistics is facilitated.
4. An evaluation method using the evaluation system according to any one of claims 1 to 3, characterized in that the evaluation method comprises the steps of:
1) Healthy people in different age stages are used as sample analysis, and a normal distribution mathematical model is established as an evaluation standard;
1-1) sample data acquisition: each sample is tested on the evaluation system respectively, moves on the metal guide rail (4) through the handheld annular handle (3), and sends test data to the Microprogrammed Control Unit (MCU) (11);
1-2) sample data storage: the micro-program controller MCU (11) classifies and counts all sample test data according to age groups to obtain the normal distribution mathematical model, and stores the normal distribution mathematical model into the storage unit (17) or the SD card;
the normal distribution mathematical model comprises the following models:
the model of the times is:
Figure QLYQS_4
wherein x represents the number of errors, f (x) represents the score, the highest score is 100, n is the number of normal errors, and m is the score;
model of time:
Figure QLYQS_5
wherein y is test time, time is seconds S, f (y) represents score, the highest score is 100, q is normal test time, and p is score;
model of time and time fit:
Figure QLYQS_6
wherein T is1 And T is2 Respectively represent weights, and T1 +T2 =1;
2) Performing stability training on a training user by using the evaluation system to obtain a test result;
2-1) the microprogrammed control unit MCU (11) detects the position state of the annular handle (3) to determine the start of training;
2-2) the training of the handle end of the annular handle (3) leaving the left contact end point or the right contact end point is started, the micro-program controller MCU (11) starts timing, the user holds the annular handle (3) to walk around the irregular metal guide rail (4), and the micro-program controller MCU (11) detects the motion state of the annular handle (3) so as to determine the number of faults and the contact time of the annular handle (3) and the metal guide rail (4);
2-3) the training of the handle end contact right contact end point or the left contact end point of the annular handle (3) is finished, and the micro-program controller MCU (11) finishes timing;
3) The MCU (11) adopts a full-automatic test integration system mode, extracts test data of the training user from the storage unit (17), compares the test data with sample data, and calculates the final score of the training user through a normal distribution mathematical model according to the recorded test time and error times.
5. An evaluation method as claimed in claim 4, characterized in that the position state of the ring handle (3) comprises the following cases:
1) If the circular end of the annular handle (3) is positioned at the left end of the guide rail of the metal guide rail (4), the handle end of the annular handle (3) contacts with the left contact end point, and a user needs to pick up the annular handle (3) and walk to the right end of the guide rail of the metal guide rail (4) to finish the test;
2) If the circular end of the annular handle (3) is positioned at the right end of the guide rail of the metal guide rail (4), the handle end of the annular handle (3) contacts the right contact end point, and a user needs to pick up the annular handle (3) and walk to the left end of the guide rail of the metal guide rail (4) to finish the test;
3) If the annular handle (3) is not arranged at the left end and the right end of the guide rail, a user needs to reset the annular handle (3) to the left end or the right end of the guide rail, and the handle end of the annular handle (3) contacts with the left contact endpoint or the right contact endpoint, so that the reset is successful.
6. An assessment method according to claim 4, characterized in that in step 2) the user holds the ring handle (3), starting and ending at the same end of the metal rail (4), and no test results are obtained.
7. The evaluation method according to claim 4, wherein in step 2), the ring-shaped handle (3) is contacted with the metal guide rail (4) for more than 3 seconds, and the test is ended; or, the operation is not completed within 10 minutes, the system judges that the test is overtime, and the test is ended; or after the test is started, the number of errors is excessive and is more than 99 times, and the test is ended.
CN201710522324.5A2017-06-302017-06-30Evaluation system and evaluation method for emotion stability sensing system trainingActiveCN107242877B (en)

Priority Applications (1)

Application NumberPriority DateFiling DateTitle
CN201710522324.5ACN107242877B (en)2017-06-302017-06-30Evaluation system and evaluation method for emotion stability sensing system training

Applications Claiming Priority (1)

Application NumberPriority DateFiling DateTitle
CN201710522324.5ACN107242877B (en)2017-06-302017-06-30Evaluation system and evaluation method for emotion stability sensing system training

Publications (2)

Publication NumberPublication Date
CN107242877A CN107242877A (en)2017-10-13
CN107242877Btrue CN107242877B (en)2023-07-14

Family

ID=60014188

Family Applications (1)

Application NumberTitlePriority DateFiling Date
CN201710522324.5AActiveCN107242877B (en)2017-06-302017-06-30Evaluation system and evaluation method for emotion stability sensing system training

Country Status (1)

CountryLink
CN (1)CN107242877B (en)

Families Citing this family (2)

* Cited by examiner, † Cited by third party
Publication numberPriority datePublication dateAssigneeTitle
CN110215218A (en)*2019-06-112019-09-10北京大学深圳医院A kind of wisdom wearable device and its mood identification method based on big data mood identification model
CN115813391A (en)*2023-02-202023-03-21清华大学苏州汽车研究院(相城)Double-hand reaction capability testing device

Citations (3)

* Cited by examiner, † Cited by third party
Publication numberPriority datePublication dateAssigneeTitle
CN103301608A (en)*2013-05-202013-09-18健雄职业技术学院Training device of coordination and rehabilitation for upper limb
CN203776908U (en)*2014-03-062014-08-20徐震Arm stability detection device
CN208339523U (en)*2017-06-302019-01-08泰好康电子科技(福建)有限公司A kind of evaluation system for sexy system training of being emotionally stable

Patent Citations (3)

* Cited by examiner, † Cited by third party
Publication numberPriority datePublication dateAssigneeTitle
CN103301608A (en)*2013-05-202013-09-18健雄职业技术学院Training device of coordination and rehabilitation for upper limb
CN203776908U (en)*2014-03-062014-08-20徐震Arm stability detection device
CN208339523U (en)*2017-06-302019-01-08泰好康电子科技(福建)有限公司A kind of evaluation system for sexy system training of being emotionally stable

Non-Patent Citations (1)

* Cited by examiner, † Cited by third party
Title
施丽影.体育统计.《体育统计》.武汉体育学院教务处,1983,第93-94页.*

Also Published As

Publication numberPublication date
CN107242877A (en)2017-10-13

Similar Documents

PublicationPublication DateTitle
US10993651B2 (en)Exercise guidance method and exercise guidance device
US11207562B2 (en)Pelvic floor muscle exercise system and detection device
KR101386649B1 (en)Game Apparatus Applying User state And Method Providing Thereof
CN101524267A (en)Comprehensive evaluating system and proposal for checking personal physical and psychological health
CN107822648A (en)A kind of non-intrusion type intelligence basin bottom rehabilitation system
US10660566B2 (en)Cardio-respiratory fitness assessment
KR101446653B1 (en)Health and rehabilitation game apparatus, system and game method
CN110353692B (en)System and method for evaluating physical ability, fatigue and recovery ability based on biological signals
CN107242877B (en)Evaluation system and evaluation method for emotion stability sensing system training
CN111820869A (en) A cognitive assessment method and device
CN119274748A (en) Intelligent generation method and system for home pelvic floor muscle rehabilitation training program
CN107997755A (en)Cardiopulmonary test method and system
CN115497621A (en)Old person cognitive status evaluation system
Hidayat et al.LOVETT scalling with MYO armband for monitoring finger muscles therapy of post-stroke people
JP2021040753A (en)Heat syncope sign detection system, heat syncope sign detection device, heat syncope sign detection method and computer program
CN208339523U (en)A kind of evaluation system for sexy system training of being emotionally stable
CN112786185B (en)Blood pressure health state acquisition method, device and system
CN109069787A (en)Householder method, auxiliary system and program
CN107224697B (en)Evaluation system and evaluation method for coordinative sensory system training
CN217287141U (en)Coordination training evaluation system based on posture vision acquisition and machine sensing decision
CN216021064U (en)Balance sense and muscle strength measuring device
CN209826737U (en)Hemiplegia acquisition property is useless to be evaluated and treatment device
CN106388830A (en)A Wii Balance board-based balance detection method
CN107609329B (en) Method and system for rapid assessment of tennis amateur level
TWM518095U (en)Fitness training assistant system

Legal Events

DateCodeTitleDescription
PB01Publication
PB01Publication
SE01Entry into force of request for substantive examination
SE01Entry into force of request for substantive examination
GR01Patent grant
GR01Patent grant

[8]ページ先頭

©2009-2025 Movatter.jp