Movatterモバイル変換


[0]ホーム

URL:


CN107241736B - Channel allocation method for sharing frequency spectrum between D2D user and cellular user - Google Patents

Channel allocation method for sharing frequency spectrum between D2D user and cellular user
Download PDF

Info

Publication number
CN107241736B
CN107241736BCN201710346646.9ACN201710346646ACN107241736BCN 107241736 BCN107241736 BCN 107241736BCN 201710346646 ACN201710346646 ACN 201710346646ACN 107241736 BCN107241736 BCN 107241736B
Authority
CN
China
Prior art keywords
user
channel
resource pool
cellular
users
Prior art date
Legal status (The legal status is an assumption and is not a legal conclusion. Google has not performed a legal analysis and makes no representation as to the accuracy of the status listed.)
Expired - Fee Related
Application number
CN201710346646.9A
Other languages
Chinese (zh)
Other versions
CN107241736A (en
Inventor
陈明
潘怡瑾
Current Assignee (The listed assignees may be inaccurate. Google has not performed a legal analysis and makes no representation or warranty as to the accuracy of the list.)
Southeast University
Original Assignee
Southeast University
Priority date (The priority date is an assumption and is not a legal conclusion. Google has not performed a legal analysis and makes no representation as to the accuracy of the date listed.)
Filing date
Publication date
Application filed by Southeast UniversityfiledCriticalSoutheast University
Priority to CN201710346646.9ApriorityCriticalpatent/CN107241736B/en
Publication of CN107241736ApublicationCriticalpatent/CN107241736A/en
Application grantedgrantedCritical
Publication of CN107241736BpublicationCriticalpatent/CN107241736B/en
Expired - Fee Relatedlegal-statusCriticalCurrent
Anticipated expirationlegal-statusCritical

Links

Images

Classifications

Landscapes

Abstract

Translated fromChinese

本发明公开了一种D2D用户与蜂窝用户共享频谱的信道分配方法,该方法包括步骤:初始化信道资源池和用户资源池;根据增加容量和引入干扰的比值大小进行初步信道分配;对不满足蜂窝用户速率约束的分配方案再次信道分配;判断分配方案是否满足要求,若是直接输出当前的信道分配方案,若否,则输出无解。本发明兼顾了信道容量和干扰,复杂度低易于实现。

Figure 201710346646

The invention discloses a channel allocation method for D2D users and cellular users to share frequency spectrum. The method comprises the steps of: initializing a channel resource pool and a user resource pool; performing preliminary channel allocation according to the ratio of increasing capacity and introducing interference; The allocation scheme of the user rate constraint is channel allocated again; it is judged whether the allocation scheme meets the requirements, if it is, the current channel allocation scheme is directly output, if not, no solution is output. The invention takes into account the channel capacity and the interference, and has low complexity and is easy to implement.

Figure 201710346646

Description

Channel allocation method for sharing frequency spectrum between D2D user and cellular user
Technical Field
The invention relates to a channel allocation method for sharing a spectrum between a D2D user and a cellular user.
Background
As one of the key technologies in the future 5G communication system, the D2D communication technology is considered to be capable of effectively offloading cellular data, thereby reducing the transmission load on the core network. Due to the short distance between the transceiver in the D2D communication, the D2D transceiver pair can share the same frequency spectrum with the cellular users at a longer distance. Since multiplexing a channel causes interference to cellular users sharing the channel, pairing of the cellular users and the D2D users needs to be performed reasonably according to channel conditions. When multiplexing cellular resources, how to properly select the multiplexed channels becomes a key influencing the capacity performance of the system, so that the system performance can be effectively improved through reasonable channel allocation under the condition of meeting the specified rate and power constraint requirements.
Disclosure of Invention
The purpose of the invention is as follows: aiming at the problems in the prior art, the invention provides a channel allocation method for sharing a frequency spectrum between a D2D user and a cellular user, and the method is lower in complexity and higher.
The technical scheme is as follows: the power allocation method for sharing the frequency spectrum between the D2D user and the cellular user comprises the following steps:
s1, initializing channel resource pool
Figure GDA0001330003730000011
D2D user resource pool
Figure GDA0001330003730000012
Wherein, N is the number of cell channels, and K is the number of D2D users;
s2, for D2D user
Figure GDA0001330003730000013
To allocate energy to it
Figure GDA0001330003730000014
Maximum channel
Figure GDA0001330003730000015
Indicating variable ofchannel
Figure GDA0001330003730000016
Setting
1, and distributing channel n and D2D user k from resource pool
Figure GDA0001330003730000017
And
Figure GDA0001330003730000018
deleting; wherein, Δ Rk,nAnd Δ Ik,nThe increased system capacity and introduced system interference for the multiplexed channel n of D2D user k respectively,
Figure GDA0001330003730000019
a value of 1 indicates that channel n is assigned to D2D user k;
s3, return to S2 and go back to
Figure GDA00013300037300000110
S4, judging whether the current distribution scheme meets the preset constraint condition C1, if so, directly outputting the current channel distribution scheme, otherwise, executing S5; wherein the preset constraint condition C1 is: rn≥Rmin,
Figure GDA00013300037300000111
RnReachable data rate, R, for cellular user nminA minimum transmission rate requirement for cellular users;
s5, initializing channel resource pool
Figure GDA00013300037300000112
For initialising D2DHousehold resource pool
Figure GDA00013300037300000113
S6, resource pool for D2D users
Figure GDA0001330003730000021
If present, each of D2D users k
Figure GDA0001330003730000022
So that the constraint C1 is satisfied and the system performance Δ Ik′,n-ΔIk′,n′If the value is larger than zero and reaches the maximum, releasing the originally distributed channel n to the resource pool
Figure GDA0001330003730000023
Allocates a new channel n 'to it and removes D2D user k' from the resource pool
Figure GDA0001330003730000024
Deleting;
s7, if the redistribution is finished
Figure GDA0001330003730000025
The current channel allocation scheme is output, otherwise, the no channel allocation scheme is output.
Wherein the selection rule in step S2 is that
Figure GDA0001330003730000026
The largest channel n is allocated to user k.
Has the advantages that: compared with the prior art, the invention has the following remarkable advantages: while targeting maximum system capacity and minimum interference and taking into account the rate constraints of the cellular users. The channel allocation scheme is simple and also in implementation.
Drawings
Fig. 1 is a schematic diagram of a network of the present invention.
Detailed Description
The network diagram of the present embodiment is shown in fig. 1, considering N cellular users and K cellular usersThe D2D user pair multiplexes uplink cell channel resources. By using
Figure GDA0001330003730000027
Represents a set of cell channel resources and also represents a set of cellular users, and the set of all D2D user numbers is
Figure GDA0001330003730000028
Let the transmission power of channel multiplexing between user k and cellular user n be
Figure GDA0001330003730000029
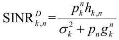
At this time, the SINR obtained by the D2D user on the channel n is
Figure GDA00013300037300000210
Wherein h isk,nIs the channel response of the D2D user on channel n,
Figure GDA00013300037300000211
is cellular user interference from a base station (where
Figure GDA00013300037300000212
Is the interference channel, p, between the base station and D2D user knIs the transmit power of cellular user n),
Figure GDA00013300037300000213
is the variance of Gaussian white noise, thereby obtaining the achievable data rate of user k
Figure GDA00013300037300000214
Similarly, the SINR of cellular user n is
Figure GDA00013300037300000215
Figure GDA00013300037300000216
For interference on channel n from D2D user k,
Figure GDA00013300037300000217
is the variance of Gaussian white noise, hnFor the base station to the channel response of the cellular user n on the channel n, and thereby obtain the achievable data rate of the cellular user n as
Figure GDA00013300037300000218
When there are no D2D users, the achievable rate for cellular users on channel n is
Figure GDA0001330003730000031
The transmission rate of the system from the D2D user k multiplexed channel n is thus increased by an amount of
Figure GDA0001330003730000032
However, when D2D multiplexing is introduced, the amount of interference in the system is increased by
Figure GDA0001330003730000033
The channel allocation problem can therefore be viewed as a multi-objective function as follows
Figure GDA0001330003730000034
Figure GDA0001330003730000035
Figure GDA0001330003730000036
It can be seen that the channel allocation scheme can be variably indicated
Figure GDA0001330003730000037
It is indicated that when a subchannel n is assigned to user k, its value is 1; otherwise the value is 0. Wherein R isminReferring to the minimum transmission rate requirement of cellular users, it is clear that the maximization problem is a non-convex combinatorial optimization problem.
Therefore, in order to solve this problem, the channel allocation method of this embodiment is used for allocation, and specifically includes the following steps:
s1, initializing channel resource pool
Figure GDA0001330003730000038
D2D user resource pool
Figure GDA0001330003730000039
Wherein, N is the number of cell channels, and K is the number of D2D users;
s2, for D2D user
Figure GDA00013300037300000310
To allocate energy to it
Figure GDA00013300037300000311
Maximum channel
Figure GDA00013300037300000312
Indicating variable ofchannel
Figure GDA00013300037300000313
Setting
1, and distributing channel n and D2D user k from resource pool
Figure GDA00013300037300000314
And
Figure GDA00013300037300000315
deleting; wherein, Δ Rk,nAnd Δ Ik,nThe increased system capacity and introduced system interference for the multiplexed channel n of D2D user k respectively,
Figure GDA00013300037300000316
a value of 1 indicates that channel n is assigned to D2D user k;
s3, return to S2 and go back to
Figure GDA00013300037300000317
S4, judging whether the current distribution scheme meets the preset constraint condition C1, if so, directly outputting the current channel distribution scheme, otherwise, executing S5; wherein the preset constraint condition C1 is: rn≥Rmin,
Figure GDA00013300037300000318
RnReachable data rate, R, for cellular user nminA minimum transmission rate requirement for cellular users;
s5, initializing channel resource pool
Figure GDA0001330003730000041
Initializing D2D user resource pools
Figure GDA0001330003730000042
S6, resource pool for D2D users
Figure GDA0001330003730000043
If present, each of D2D users k
Figure GDA0001330003730000044
So that the constraint C1 is satisfied and the system performance Δ Ik′,n-ΔIk′,n′If the value is larger than zero and reaches the maximum, releasing the originally distributed channel n to the resource pool
Figure GDA0001330003730000045
Allocates a new channel n 'to it and removes D2D user k' from the resource pool
Figure GDA0001330003730000046
Deleting;
s7, if the redistribution is finished
Figure GDA0001330003730000047
The current channel allocation scheme is output, otherwise, the no channel allocation scheme is output.
While the invention has been described in connection with what is presently considered to be the most practical and preferred embodiment, it is to be understood that the invention is not to be limited to the disclosed embodiment, but on the contrary, is intended to cover various modifications and equivalent arrangements included within the spirit and scope of the appended claims.

Claims (2)

Translated fromChinese
1.一种D2D用户与蜂窝用户共享频谱的信道分配方法,其特征在于该方法包括:1. A channel allocation method for D2D users and cellular users to share frequency spectrum, it is characterized in that the method comprises:S1、初始化信道资源池
Figure FDA0002643657260000011
D2D用户资源池
Figure FDA0002643657260000012
其中,N为小区信道数目,K为D2D用户数目;S1. Initialize the channel resource pool
Figure FDA0002643657260000011
D2D User Resource Pool
Figure FDA0002643657260000012
Among them, N is the number of cell channels, and K is the number of D2D users;S2、针对D2D用户
Figure FDA0002643657260000013
为其分配能使得
Figure FDA0002643657260000014
最大的信道
Figure FDA0002643657260000015
将信道指示变量
Figure FDA0002643657260000016
置1,将已分配的信道n和D2D用户k从资源池
Figure FDA0002643657260000017
Figure FDA0002643657260000018
中删去;其中,ΔRk,n和ΔIk,n分别为D2D用户k复用信道n增加的系统容量和引入的系统干扰,
Figure FDA0002643657260000019
值为1时,表示将信道n分配给D2D用户k,否则为0;
S2, for D2D users
Figure FDA0002643657260000013
allocating energy to it
Figure FDA0002643657260000014
largest channel
Figure FDA0002643657260000015
the channel indicator variable
Figure FDA0002643657260000016
Set to 1 to remove the allocated channel n and D2D user k from the resource pool
Figure FDA0002643657260000017
and
Figure FDA0002643657260000018
Deleted from ; where ΔRk,n and ΔIk,n are the increased system capacity and the introduced system interference of D2D user k multiplexing channel n, respectively,
Figure FDA0002643657260000019
When the value is 1, it means that the channel n is allocated to the D2D user k, otherwise it is 0;
S3、返回S2直到
Figure FDA00026436572600000110
φ表示空集;
S3, return to S2 until
Figure FDA00026436572600000110
φ represents the empty set;
S4、判断此时的分配方案是否满足预设约束条件C1,若是则直接输出此时的信道分配方案,否则执行S5;其中,所述预设约束条件C1为:
Figure FDA00026436572600000111
Rn为蜂窝用户n的可达数据速率,Rmin为蜂窝用户的最低传输速率要求;
S4, determine whether the allocation scheme at this time meets the preset constraint condition C1, and if so, directly output the channel allocation scheme at this time, otherwise, execute S5; wherein, the preset constraint condition C1 is:
Figure FDA00026436572600000111
Rn is the achievable data rate of the cellular user n, and Rmin is the minimum transmission rate requirement of the cellular user;
S5、初始化信道资源池
Figure FDA00026436572600000112
初始化D2D用户资源池
Figure FDA00026436572600000113
S5. Initialize the channel resource pool
Figure FDA00026436572600000112
Initialize the D2D user resource pool
Figure FDA00026436572600000113
S6、针对D2D用户资源池
Figure FDA00026436572600000114
中的每一个D2D用户k′,若存在
Figure FDA00026436572600000115
使得满足约束条件C1,且系统性能ΔIk′,n-ΔIk′,n′大于零并达到最大,则释放原始分配的信道n到资源池
Figure FDA00026436572600000116
为其分配新信道n′,并将D2D用户k′从资源池
Figure FDA00026436572600000117
中删去;
S6, for D2D user resource pool
Figure FDA00026436572600000114
Every D2D user k' in k', if exists
Figure FDA00026436572600000115
So that the constraint condition C1 is satisfied, and the system performance ΔIk',n -ΔIk',n' is greater than zero and reaches the maximum, then release the originally allocated channel n to the resource pool
Figure FDA00026436572600000116
Allocate a new channel n' for it and remove the D2D user k' from the resource pool
Figure FDA00026436572600000117
delete from;
S7、若重新分配后
Figure FDA00026436572600000118
则输出当前信道分配方案,否则输出无信道分配方案。
S7. If reassigned
Figure FDA00026436572600000118
Then output the current channel allocation scheme, otherwise output no channel allocation scheme.
2.根据权利要求1所述的D2D用户与蜂窝用户共享频谱的信道分配方法,其特征在于:所述步骤S2中的选取原则为使得
Figure FDA00026436572600000119
最大的信道n分配给用户k。
2. The channel allocation method of D2D user and cellular user sharing frequency spectrum according to claim 1, is characterized in that: the selection principle in described step S2 is to make
Figure FDA00026436572600000119
The largest channel n is assigned to user k.
CN201710346646.9A2017-05-172017-05-17Channel allocation method for sharing frequency spectrum between D2D user and cellular userExpired - Fee RelatedCN107241736B (en)

Priority Applications (1)

Application NumberPriority DateFiling DateTitle
CN201710346646.9ACN107241736B (en)2017-05-172017-05-17Channel allocation method for sharing frequency spectrum between D2D user and cellular user

Applications Claiming Priority (1)

Application NumberPriority DateFiling DateTitle
CN201710346646.9ACN107241736B (en)2017-05-172017-05-17Channel allocation method for sharing frequency spectrum between D2D user and cellular user

Publications (2)

Publication NumberPublication Date
CN107241736A CN107241736A (en)2017-10-10
CN107241736Btrue CN107241736B (en)2021-02-09

Family

ID=59984412

Family Applications (1)

Application NumberTitlePriority DateFiling Date
CN201710346646.9AExpired - Fee RelatedCN107241736B (en)2017-05-172017-05-17Channel allocation method for sharing frequency spectrum between D2D user and cellular user

Country Status (1)

CountryLink
CN (1)CN107241736B (en)

Families Citing this family (1)

* Cited by examiner, † Cited by third party
Publication numberPriority datePublication dateAssigneeTitle
CN111356139A (en)2018-12-212020-06-30索尼公司 Electronic device and method for wireless communication, computer readable storage medium

Citations (2)

* Cited by examiner, † Cited by third party
Publication numberPriority datePublication dateAssigneeTitle
WO2012068731A1 (en)*2010-11-252012-05-31Nokia CorporationNetwork assisted sensing on a shared band for local communications
CN106028348A (en)*2016-07-112016-10-12东南大学 A resource allocation method for cellular users in a D2D communication system

Patent Citations (2)

* Cited by examiner, † Cited by third party
Publication numberPriority datePublication dateAssigneeTitle
WO2012068731A1 (en)*2010-11-252012-05-31Nokia CorporationNetwork assisted sensing on a shared band for local communications
CN106028348A (en)*2016-07-112016-10-12东南大学 A resource allocation method for cellular users in a D2D communication system

Non-Patent Citations (1)

* Cited by examiner, † Cited by third party
Title
5G移动通信网络关键技术综述;赵国锋等;《重庆邮电大学学报》;20150831;第27卷(第4期);全文*

Also Published As

Publication numberPublication date
CN107241736A (en)2017-10-10

Similar Documents

PublicationPublication DateTitle
CN103260244B (en)D2D uplink resource multiplexing mode switching method in a kind of cellular system
CN102083138B (en)A kind of D2D user to can the multiple phone user's resources of concurrent multiplexing method
CN102088736B (en)User position list-based method for selectively multiplexing multiple honeycomb user resources for device to device (D2D) user pairs
CN104717755B (en)The down frequency spectrum resources distribution method of D2D technology is introduced in a kind of cellular network
CN110249691A (en)Priority of logical channels for MAC-CES in NR reconfigures
CN102970758B (en)Straight-through self-adaptive resource distribution method for cellular communication system terminal
CN103079262A (en)Mode selection and resource allocation method of device-to-device (D2D) users in cellular system
CN108271163A (en)The sharing method and device of a kind of frequency spectrum resource
TWI426803B (en)Method and apparatus for allocating uplink resource
CN107409313A (en) Discovery signal transmission method, device and communication system
JP2012526428A (en) Computer-readable medium embodying method, apparatus and program for resource allocation
CN106792480B (en) A D2D communication resource allocation method based on cellular network
JP2015518359A (en) Resource allocation method and apparatus for inter-device communication
CN104254130A (en)Method, device and system for allocating D2D (Device-to-Device) user link and cellular user shared resources
CN104322099B (en)Service shunting method, apparatus and system
CN107241736B (en)Channel allocation method for sharing frequency spectrum between D2D user and cellular user
CN107071785A (en)The frequency spectrum distributing method of cognition wireless network is relayed a kind of cooperation more
CN104780610A (en)A resource allocating method based on terminal direct communication
CN106878931A (en) Full-duplex D2D communication resource allocation method and device
CN107172574B (en) A power allocation method for D2D users to share spectrum with cellular users
CN108810855A (en)Sub-clustering D2D resource allocation methods based on energy constraint and interference restricted area
Chen et al.SARA: A service-aware resource allocation scheme for device-to-device communication underlaying cellular networks
CN110225568B (en)MTC gateway selection method and equipment based on lowest energy consumption under non-orthogonal multiple access
CN107343257B (en) Method and device for resource allocation
WO2018148947A1 (en)Resource allocation method and device

Legal Events

DateCodeTitleDescription
PB01Publication
PB01Publication
SE01Entry into force of request for substantive examination
SE01Entry into force of request for substantive examination
GR01Patent grant
GR01Patent grant
CF01Termination of patent right due to non-payment of annual fee

Granted publication date:20210209

CF01Termination of patent right due to non-payment of annual fee

[8]ページ先頭

©2009-2025 Movatter.jp