Movatterモバイル変換


[0]ホーム

URL:


CN107193824B - Abnormal data detection method and device - Google Patents

Abnormal data detection method and device
Download PDF

Info

Publication number
CN107193824B
CN107193824BCN201610144138.8ACN201610144138ACN107193824BCN 107193824 BCN107193824 BCN 107193824BCN 201610144138 ACN201610144138 ACN 201610144138ACN 107193824 BCN107193824 BCN 107193824B
Authority
CN
China
Prior art keywords
position data
user position
user
data
region
Prior art date
Legal status (The legal status is an assumption and is not a legal conclusion. Google has not performed a legal analysis and makes no representation as to the accuracy of the status listed.)
Active
Application number
CN201610144138.8A
Other languages
Chinese (zh)
Other versions
CN107193824A (en
Inventor
张辉
Current Assignee (The listed assignees may be inaccurate. Google has not performed a legal analysis and makes no representation or warranty as to the accuracy of the list.)
Advanced New Technologies Co Ltd
Advantageous New Technologies Co Ltd
Original Assignee
Alibaba Group Holding Ltd
Priority date (The priority date is an assumption and is not a legal conclusion. Google has not performed a legal analysis and makes no representation as to the accuracy of the date listed.)
Filing date
Publication date
Application filed by Alibaba Group Holding LtdfiledCriticalAlibaba Group Holding Ltd
Priority to CN201610144138.8ApriorityCriticalpatent/CN107193824B/en
Publication of CN107193824ApublicationCriticalpatent/CN107193824A/en
Application grantedgrantedCritical
Publication of CN107193824BpublicationCriticalpatent/CN107193824B/en
Activelegal-statusCriticalCurrent
Anticipated expirationlegal-statusCritical

Links

Images

Classifications

Landscapes

Abstract

The embodiment of the application discloses an abnormal data detection method and device. The abnormal data detection method comprises the following steps: receiving user position data to be detected; sorting the user position data according to the time of the user position data; calculating the change degree of the regions between each user position data and the front and back user position data according to the regions in the sorted user position data to obtain the region consistency characteristic of each user position data; judging whether the region consistency characteristics larger than a preset threshold exist or not; and if so, determining the user position data corresponding to the area consistency characteristics larger than the preset threshold value as abnormal data. By utilizing the embodiment of the application, whether the user position data is abnormal or not can be effectively detected.

Description

Abnormal data detection method and device
Technical Field
The present application relates to the field of internet technologies, and in particular, to a method and an apparatus for detecting abnormal data.
Background
With the continuous development of internet technology, various internet services bringing convenience To users are emerging, such as internet services of maps, O2O (Online To Offline), and the like.
Generally, when a server of an internet company provides the internet service to the outside, user location data generated in a user using process is collected, and the user location data includes time, longitude and latitude, and a region. Generally, the user location data may be denoted as p { t, l, r }, where t represents time (the time at which the user location is acquired); l represents longitude and latitude (longitude and latitude of the acquired user position); r represents a region (a first administrative district, a second administrative district and a third administrative district where the user position is collected, wherein the first administrative district, the second administrative district and the third administrative district can be administrative district partitions applicable to different countries, for example, China, the first administrative district can be a province, the second administrative district can be a city, the third administrative district can be a district, for example, in the United states, the first administrative district can be a continent, the second administrative district can be a county, and the third administrative district can be a city). The region may be determined by the latitude and longitude calculation. For example, a certain user location data p {20160222135520, (120.11404, 30.281157), West lake region of Hangzhou, Zhejiang province }. Wherein the time t in the user position data p is 20160222135520(2016, 02, 22, 13, 55, min, 20 sec); longitude and latitude l is 120.11404, and latitude is 30.281157; the region is the West lake region of Hangzhou city in Zhejiang province (the longitude 120.11404, the region corresponding to the dimensionality 30.281157 is the West lake region of Hangzhou city in Zhejiang province). As more and more users use the Internet service, more and more user position data are collected by the server, and the collected user position data can be stored in a database. However, errors may occur when the user location data is collected, for example, the longitude and latitude in the collected user location data are deviated, which may cause the user location data to be abnormal. Or, in the case that the user account is stolen, an abnormality occurs in a region in the collected user location data, for example, the user location data is still in Hangzhou city in Zhejiang province half an hour before, and is in Beijing city half an hour after.
In the prior art, abnormal user location data is detected, and a clustering method is generally used, that is, similar user location data (such as the same region in the user location data) is clustered, and then the user location data which cannot be clustered is determined as abnormal data. However, the abnormal data is not dependent on whether clustering is performed, i.e., there may be an abnormality in the clustered data, and there may not be an abnormality in the non-clustered data.
In summary, the prior art cannot effectively detect whether the user location data is abnormal.
Disclosure of Invention
An embodiment of the present application provides a method and an apparatus for detecting abnormal data, so as to solve a problem that it is impossible to effectively detect whether user location data is abnormal in the prior art.
In order to solve the above technical problem, the abnormal data detection method and apparatus provided in the embodiments of the present application are implemented as follows:
an abnormal data detection method, comprising:
receiving user position data to be detected;
sorting the user position data according to the time of the user position data;
calculating the average value of the distance between each piece of user position data and the front and back user position data according to the longitude and latitude in the sorted user position data to obtain the distance characteristic of each piece of user position data;
calculating the average value of the time between each user position data and the previous user position data and the time between the user position data and the next user position data according to the time in the sorted user position data to obtain the time characteristic of each user position data;
calculating to obtain the speed characteristics of each user position data according to the distance characteristics and the time characteristics of each user position data;
judging whether the speed characteristic greater than a preset speed exists or not;
and if so, determining the user position data corresponding to the speed feature with the speed greater than the preset speed as abnormal data.
An abnormal data detection method, comprising:
receiving user position data to be detected;
sorting the user position data according to the time of the user position data;
calculating the change degree of the regions between each user position data and the front and back user position data according to the regions in the sorted user position data to obtain the region consistency characteristic of each user position data;
judging whether the region consistency characteristics larger than a preset threshold exist or not;
and if so, determining the user position data corresponding to the area consistency characteristics larger than the preset threshold value as abnormal data.
An abnormal data detection method, comprising:
receiving user position data to be detected;
sorting the user position data according to the time of the user position data;
calculating the average value of the distance between each piece of user position data and the front and back user position data according to the longitude and latitude in the sorted user position data to obtain the distance characteristic of each piece of user position data;
calculating the average value of the time between each user position data and the previous user position data and the time between the user position data and the next user position data according to the time in the sorted user position data to obtain the time characteristic of each user position data;
calculating the change degree of the regions between each user position data and the front and back user position data according to the regions in the sorted user position data to obtain the region change characteristics and the region consistency characteristics of each user position data;
calculating abnormal parameters of each user position data according to the distance characteristic, the time characteristic, the region change characteristic and the region consistency characteristic of each user position data;
judging whether the abnormal parameters larger than a preset threshold exist or not;
and if so, determining the user position data corresponding to the abnormal parameters larger than the preset threshold value as abnormal data.
An abnormal data detecting apparatus comprising:
the receiving unit is used for receiving user position data to be detected;
the sequencing unit is used for sequencing the user position data according to the time of the user position data;
the distance calculation unit is used for calculating the average value of the distance between each piece of user position data and the front user position data and the rear user position data according to the longitude and the latitude in the sorted user position data to obtain the distance characteristic of each piece of user position data; (ii) a
The time calculation unit is used for calculating the average value of time between each piece of user position data and the previous and next user position data according to the time in the sorted user position data to obtain the time characteristic of each piece of user position data;
the speed calculation unit is used for calculating the speed characteristics of each user position data according to the distance characteristics and the time characteristics of each user position data;
the judging unit is used for judging whether the speed characteristics larger than the preset speed exist or not;
and the determining unit is used for determining the user position data corresponding to the speed feature larger than the preset speed as abnormal data when the speed feature larger than the preset speed exists.
An abnormal data detecting apparatus comprising:
the receiving unit is used for receiving user position data to be detected;
the sequencing unit is used for sequencing the user position data according to the time of the user position data;
the region calculating unit is used for calculating the change degree of the regions between each piece of user position data and the front and back user position data according to the regions in the sorted user position data to obtain the region consistency characteristics of each piece of user position data;
the judging unit is used for judging whether the region consistency characteristics larger than a preset threshold exist or not;
and the determining unit is used for determining the user position data corresponding to the area consistency feature larger than the preset threshold value as abnormal data when the area consistency feature larger than the preset threshold value exists.
An abnormal data detecting apparatus comprising:
the receiving unit is used for receiving user position data to be detected;
the sequencing unit is used for sequencing the user position data according to the time of the user position data;
the distance calculation unit is used for calculating the average value of the distance between each piece of user position data and the front user position data and the rear user position data according to the longitude and the latitude in the sorted user position data to obtain the distance characteristic of each piece of user position data;
the time calculation unit is used for calculating the average value of time between each piece of user position data and the previous and next user position data according to the time in the sorted user position data to obtain the time characteristic of each piece of user position data;
the region calculation unit is used for calculating the change degree of the regions between each piece of user position data and the front and back user position data according to the regions in the sorted user position data to obtain the region change characteristics and the region consistency characteristics of each piece of user position data;
the abnormal parameter calculation unit is used for calculating and obtaining the abnormal parameters of the user position data according to the distance characteristic, the time characteristic, the region change characteristic and the region consistency characteristic of the user position data;
the judging unit is used for judging whether the abnormal parameters larger than a preset threshold exist or not;
and the determining unit is used for determining the user position data corresponding to the abnormal parameter larger than the preset threshold value as abnormal data when the abnormal parameter larger than the preset threshold value exists.
According to the technical scheme provided by the embodiment of the application, the distance and time characteristics of each user position data are obtained by calculating the average value of the distance and time between each user position data and the previous and next user position data, and then the speed characteristics of each user position data are further calculated; or obtaining the region consistency characteristics of each user position data through the change degree of the region between each user position data and the previous and next user position data; or calculating the distance, the time average value and the change degree of the region between each user position data and the previous and next user position data, thereby obtaining the distance characteristic, the time characteristic, the region consistency characteristic and the region change characteristic of each user position data and further calculating the abnormal parameter characteristic of each user position data. When the speed feature, the area consistency feature or the abnormal parameter feature exceeds a normal range (preset distance, preset speed, preset threshold), the user location data corresponding to the speed feature, the area consistency feature or the abnormal parameter feature may be determined as abnormal data. This makes it possible to effectively detect the presence of abnormal data in the user position data.
Drawings
In order to more clearly illustrate the embodiments of the present application or the technical solutions in the prior art, the drawings needed to be used in the description of the embodiments or the prior art will be briefly introduced below, it is obvious that the drawings in the following description are only some embodiments described in the present application, and for those skilled in the art, other drawings can be obtained according to the drawings without any creative effort.
FIG. 1 is a flow chart of an abnormal data detection method provided in an embodiment of the present application;
FIG. 2 is a schematic diagram of user location data before and after ranking provided in an embodiment of the present application;
FIG. 3 is a flow chart of a method for detecting abnormal data according to an embodiment of the present application;
FIG. 4 is a flow chart of a method for detecting abnormal data according to an embodiment of the present application;
fig. 5 is a block diagram of an abnormal data detecting apparatus according to an embodiment of the present application;
fig. 6 is a block diagram of an abnormal data detecting apparatus according to an embodiment of the present application;
fig. 7 is a block diagram of an abnormal data detecting apparatus according to an embodiment of the present application.
Detailed Description
In order to make those skilled in the art better understand the technical solutions in the present application, the technical solutions in the embodiments of the present application will be clearly and completely described below with reference to the drawings in the embodiments of the present application, and it is obvious that the described embodiments are only a part of the embodiments of the present application, and not all of the embodiments. All other embodiments, which can be derived by a person skilled in the art from the embodiments given herein without inventive step, shall fall within the scope of protection of the present application.
Fig. 1 is a flowchart of an abnormal data detection method provided in an embodiment of the present application. In this embodiment, the abnormal data detection method includes the following steps:
s110: and receiving user position data to be detected.
As described above, the user location data may include time, latitude, longitude, and region. In this embodiment, the position data of a plurality of users may be referred to as pi,i∈[1,n]And n represents the number of user location data.
S111: and sequencing the user position data according to the time in the user position data.
In practical applications, the user location data may be obtained from a database, and thus, the received user location data may be scattered in time sequence. For example, the time of the first user location data is 14 o ' clock a day, the time of the second user location data is 13 o ' clock 50 minutes on the same day, and the time of the third user location data is 13 o ' clock 55 minutes on the same day. If the scattered user position data is not sorted in time order, the subsequent steps cannot be performed. In this embodiment, the sorting may be a positive order or a negative order.
Fig. 2 is a schematic diagram of user position data before and after sorting. As shown in fig. 2, the user position data before sorting is in the order of 3, 1, 2, 5, 8, 7, 9, 4, 6. The numbers corresponding to the above sequence can be regarded as the sequence of time in the user position data. According to the step S111, sequencing the user position data in a positive sequence according to the time sequence; the sequence of the user position data after sequencing can be obtained as follows: 1. 2, 3, 4, 5, 6, 7, 8, 9.
Through the step, the user position data are sequenced according to the time sequence, so that the user position data are continuous in the time sequence, and the subsequent steps are convenient to carry out.
S120: and calculating the average value of the distance between each piece of user position data and the front and back user position data according to the longitude and latitude in the sorted user position data to obtain the distance characteristic of each piece of user position data.
In this step, the distance feature may represent an average of distances to and from the user position, which reflects the moving distance of the user position. For example, if the current user position is a, the previous user position of the user is B, and the next user position of the user is C, the distance feature represents an average value of the distance from B to a and the distance from a to C. The larger the distance characteristic value is, the larger the user position moving distance is; conversely, the smaller the distance characteristic value is, the smaller the user position movement distance is.
In general, the distance characteristic is denoted by D, and the calculation formula (1) is as follows:
Figure BDA0000940812370000071
wherein D isiIndicating the ith user positionDistance characteristics of the data, i ∈ [1, n]N represents the number of user location data; the distance () function is used to calculate the spatial distance, l, between the latitude and longitude of two user location dataiRepresenting the latitude and longitude of the ith user location data.
It is worth mentioning that equation (1) does not apply to the first user location data and the last user location data. For the first user position data, the distance characteristic D1=distance(l1,l2) (ii) a Distance feature D for last user location datan=distance(ln-1,ln)。
S130: and calculating the average value of the time between each user position data and the previous and next user position data according to the time in the sorted user position data to obtain the time characteristic of each user position data.
In this step, the time characteristic may represent an average of the time of arrival and departure from the user position, which reflects the length of time required for the user position to move. For example, if the current user position is a, the previous user position of the user is B, and the next user position of the user is C, the time characteristic represents an average value of the time required for B to reach a and the time required for a to reach C. The larger the time characteristic value is, the longer the time required by the user position movement is; conversely, the smaller the time characteristic value is, the shorter the time required for the user to move the position is.
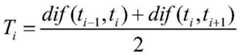
Generally, the time characteristic is represented by T, and the calculation formula (2) is as follows:
Figure BDA0000940812370000081
wherein, TiTime characteristics, i ∈ [1, n ] representing the ith user location data]N represents the number of user location data; the dif () function is used to calculate the difference between the times in the two user position data, tiIndicating the time of the ith user location data.
It is worth mentioning that equation (2) applies to the first user location data and the last user location dataAnd is not applicable. For the first user position data, the time characteristic T1=dif(t1,t2) (ii) a Distance feature T for last user location datan=dif(tn-1,tn)。
S140: and calculating the speed characteristics of each user position data according to the distance characteristics and the time characteristics of each user position data.
In this step, the speed characteristics may represent an average of speeds of arriving and leaving the user position, which reflects how fast the user position moves. Generally, the degree of abnormality of the user position data is proportional to the speed characteristic, i.e., the greater the moving speed of the user position, the more likely the user position data is abnormal.
Generally, the speed characteristic is represented by V, and the calculation formula (3) is as follows:
Figure BDA0000940812370000082
wherein, ViRepresenting the speed characteristic of the ith user position data, DiDistance feature, T, representing the ith user position dataiTime characteristics, i ∈ [1, n ] representing the ith user location data]And n represents the number of user location data.
S150: and judging whether the speed characteristic greater than a preset speed exists or not.
The preset speed may be an empirical value set by a human.
If n user position data are received, n speed characteristics can be obtained after the calculation of the steps. In step S250, the n speed characteristics are determined, and whether the speed characteristics greater than the preset speed exist is determined. If so, the step S260 is performed, and if not, the execution of the subsequent steps is terminated.
S160: and if so, determining the user position data corresponding to the speed feature with the speed greater than the preset speed as abnormal data.
And when the speed feature larger than the preset speed exists, determining the user position data corresponding to the speed feature larger than the preset speed as abnormal data.
According to the embodiment, the received user position data is calculated to obtain the speed characteristic capable of reflecting the speed of the user position moving, when the speed characteristic is larger than the preset speed, the user position moving speed is higher than the normal speed, and the user position data corresponding to the speed characteristic can be determined to be abnormal data.
Fig. 3 is a flowchart of an abnormal data detection method provided in an embodiment of the present application. In this embodiment, the abnormal data detection method includes the following steps:
s310: and receiving user position data to be detected.
The step S310 is the same as S110 in the above embodiment, and is not repeated here.
S311: and sequencing the user position data according to the time of the user position data.
Step S311 is the same as step S111 in the above embodiment, and is not repeated here.
S320: and calculating the change degree of the regions between each user position data and the front and back user position data according to the regions in the sorted user position data to obtain the region consistency characteristic of each user position data.
In this step, the region consistency feature may represent a hop degree of the user location. The larger the region consistency characteristic value is, the larger the jumping degree of the user position is, and the more abnormal the user position data is; on the contrary, the smaller the region consistency characteristic value is, the smaller the jumping degree of the user position is, and the more abnormal the user position data is.
For example, the user location is the Beijing Haizu lake area, and the user locations are both in the West lake area of Hangzhou city, Zhejiang province; the regional jump of the user position is large, and the situation that no other user position data exists in the jump process is quite suspicious.
Specifically, formula (4) for calculating the region consistency feature S is as follows:
Figure BDA0000940812370000101
wherein S isiA regional consistency feature, i ∈ [1, n ], representing the ith user location data]N represents the number of user location data; r isiA region representing the location data of the ith user; the first type of administrative districts are larger than the second type of administrative districts, and the second type of administrative districts are larger than the third type of administrative districts. If r is as shown in equation (4)i-1And ri+1The same administrative district of the first kind, but with riDifferent administrative areas of the first type (e.g. r)i-1And ri+1Same province, but sum riDifferent provinces), then SiA value of 2; if r isi-1And ri+1As administrative districts of the second kind, but riDifferent administrative areas of the first type (e.g. r)i-1And ri+1On the same market, but with riDifferent provinces), then SiA value of 3; if r isi-1And ri+1As administrative districts of the third kind, but riDifferent administrative areas of the first type (e.g. r)i-1And ri+1In the same region, but with riDifferent provinces), then SiA value of 4; otherwise, then SiThe value is 1.
It is worth mentioning that equation (4) does not apply to the first user location data and the last user location data. For the first user location data, a region consistency characteristic S11 is ═ 1; for the last user location data, the regional consistency feature Sn=1。
Or taking the user location as the beijing city hai lake area and the user locations before and after the user as an example, since the areas of the user locations before and after the user location are in the same district or county (both in the west lake area of the hang state city in the zhejiang province) and the area of the current user location (the beijing city hailake area) is different from the areas, the area consistency characteristic S of the user location calculated by the formula (4) is obtainedi4. It is obvious that the region consistency characteristic value is the largest in this example, which indicates that the hopping degree of the user position is larger, and the user position data is more likely to be abnormal, and this result also accords with the fact.
S330: and judging whether the region consistency characteristics larger than a preset threshold exist or not.
The preset threshold may be an empirical value set manually.
If n user position data are received, n region consistency characteristics can be obtained after the calculation of the steps. In step S330, the n region consistency characteristics are determined, and whether the region consistency characteristics greater than the preset threshold exist is determined. If so, the step S340 is performed, and if not, the execution of the subsequent steps is terminated.
S340: and if so, determining the user position data corresponding to the area consistency characteristics larger than the preset threshold value as abnormal data.
And when the area consistency characteristics larger than the preset threshold exist, determining the user position data corresponding to the area consistency characteristics larger than the preset threshold as abnormal data.
According to the embodiment, the received user position data is calculated to obtain the region consistency characteristic capable of reflecting the jumping degree of the user position, when the region consistency characteristic is larger than the preset threshold value, the jumping degree of the user position is over the normal distance, and then the user position data corresponding to the region consistency characteristic can be determined as abnormal data.
Fig. 4 is a flowchart of an abnormal data detection method provided in an embodiment of the present application. In this embodiment, the abnormal data detection method includes the following steps:
s410: and receiving user position data to be detected.
Step S410 is the same as step S110 in the above embodiment, and is not described again here.
S411: and sequencing the user position data according to the time of the user position data.
This step S411 is the same as S111 in the above embodiment, and is not described again here.
S420: and calculating the average value of the distance between each piece of user position data and the front and back user position data according to the longitude and latitude in the sorted user position data to obtain the distance characteristic of each piece of user position data.
Step S420 is the same as step S120 in the above embodiment, and is not described again here.
S430: and calculating the average value of the time between each user position data and the previous and next user position data according to the time in the sorted user position data to obtain the time characteristic of each user position data.
The step S430 is the same as S230 in the above embodiment, and is not repeated here.
S440: and calculating the change degree of the regions between each user position data and the front and back user position data according to the regions in the sorted user position data to obtain the region change characteristics and the region consistency characteristics of each user position data.
The region consistency characteristic calculated in this step is the same as S320 in the above embodiment, and is not described here again.
In this step, the region change feature may indicate a degree of region change between the user position and the previous and subsequent user positions. Generally, the user position has continuity on the region, and the region change degree can reflect the reasonability of the user position on the region continuity. The larger the area change characteristic value is, the larger the area change degree between the user position and the front and rear user positions is, namely, the more unreasonable the user position is in area continuity; on the contrary, the smaller the region change characteristic value is, the smaller the region change degree between the user position and the user positions before and after is, that is, the more reasonable the user position is in the region continuity.
For example, the user location is in the region of the shore of hang state city in Zhejiang province, the previous user location of the user is in the region of the Kingxing city in Zhejiang province, and the next user location of the user is in the region of the shore of hang state city in Zhejiang province. The three regions are geographically continuous, and the user location may be considered reasonable in regional continuity.
For another example, the user location is in the region of the shaoshan region of Hangzhou city, Zhejiang province, the user location is in the region of the Zhongyuan region of Zhenzhou city, Henan province, and the user location is in the region of the Mitsui phoenix town, Mitsui city, Hainan province. The three regions are discontinuous in the ground, and the user position can be considered unreasonable in the region continuity.
Specifically, formula (5) for calculating the area variation characteristic C is as follows:
Figure BDA0000940812370000121
wherein, CiFeatures of regional variation, i ∈ [1, n ], indicating location data of the ith subscriber]N represents the number of user location data; r isiRepresenting the area of the ith user location data, the difArea () function is defined as shown in equation (6) below:
Figure BDA0000940812370000131
wherein r is1And r2A region representing two user location data; the first type of administrative districts are larger than the second type of administrative districts, and the second type of administrative districts are larger than the third type of administrative districts. If r is as shown in equation (6)1And r2difArea (r) belonging to the same administrative district of the third category (e.g., the same province, the same city, the same county)1,r2) A value of 1; if it is notr1 and r2Belong to different third-class administrative districts (e.g., same province and same city but different district), then difArea (r)1,r2) A value of 2; if r is1And r2Belong to a different second category of administrative districts (e.g., same province but different cities), then difArea (r)1,r2) A value of 3; if r is1And r2Belong to different first administrative districts (e.g., different provinces), then difArea (r)1,r2) The value was 4.
It is worth mentioning that equation (5) does not apply to the first user location data and the last user location data. For the first user location data, the region change characteristic C1=difArea(r1,r2) (ii) a For the last user location data, the region change feature Cn=difArea(rn-1,rn)。
Or the region r of the user's location2Is a region r of the former user position of the user in the Xiaoshan region of Hangzhou city in Zhejiang province1The region r of a user who is the subsequent user of Shaoxing city in Shaoxing city of Zhejiang province1For example, in Binjiang area of Hangzhou city, Zhejiang province, since Chonjiang area of Shaoxing city, Zhejiang province and Xiaoshan area of Hangzhou city, Zhejiang province belong to different grade cities, difArea (r) is obtained by calculation according to formula (6)1,r2) 3; since the Xiaoshan district in Hangzhou city of Zhejiang province and the Bingjiang district in Hangzhou city of Zhejiang province belong to different counties, the difArea (r) is obtained by calculation according to the formula (6)2,r3) 2; then the regional change characteristics of the user position are obtained after the calculation of the formula (5)
Figure BDA0000940812370000132
In the case that the region of the user location is a shaoshan region in Hangzhou City in Zhejiang province, the region of the user location before the user location is a Zhongyuan region in Zhenzhou City in Henan province, and the region of the user location after the user location is a Phoenix town in third City in Hainan province, since the three regions all belong to different provinces, the regional change characteristics of the user location are obtained by calculation according to the formula (5)
Figure BDA0000940812370000141
It is clear that the area change characteristics of the latter example are greater than those of the former example, which illustrates the fact that the user location in the latter example is not reasonable in area continuity than in the former example, and this result is also true.
S450: and calculating to obtain abnormal parameters of the user position data according to the distance characteristic, the time characteristic, the region change characteristic and the region consistency characteristic of the user position data.
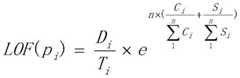
The abnormal parameter can be calculated according to the distance characteristic, the time characteristic, the region change characteristic and the region consistency characteristic by the following formula (6):
Figure BDA0000940812370000142
OF these, L OF (p)i) Indicating the ith user position data piAbnormal parameter of DiIndicating the ith user position data piDistance characteristic of (1), TiIndicating the ith user position data piTemporal characteristics of (C)iIndicating the ith user position data piCharacteristic of regional variation of SiIndicating the ith user position data piI ∈ [1, n ] of]And n represents the number of user location data.
The anomaly parameter reflects the degree of anomaly of the user location data. The larger the abnormal parameter value is, the more abnormal the user position data is; conversely, the smaller the abnormal parameter value is, the less abnormal the user position data is.
It is worth mentioning that, as shown in equation (6),
Figure BDA0000940812370000143
reflecting that the anomaly parameter and arrival are proportional to the average velocity away from the user's location, i.e., the greater the velocity of movement of the user's location, the more likely the user's location data is anomalous. At the same time, the user can select the desired position,
Figure BDA0000940812370000144
the abnormal parameter is reflected to be in direct proportion to the change degree of the user position data, namely, the user position data is more likely to be abnormal when the change degree of the user position data is less consistent with the rule.
S460: and judging whether the abnormal parameters larger than a preset threshold exist or not.
The preset threshold may be an empirical value set manually.
If n user position data are received, n abnormal parameters can be obtained after the calculation of the steps. In step S460, the n abnormal parameters are determined, and whether there is an abnormal parameter greater than a preset threshold is determined. If so, the step S470 is performed, and if not, the execution of the subsequent steps is terminated.
S470: and if so, determining the user position data corresponding to the abnormal parameters larger than the preset threshold value as abnormal data.
If the abnormal parameter larger than the preset threshold exists, it can be determined that the user position data corresponding to the abnormal parameter larger than the preset threshold exists abnormal.
According to the embodiment, the received user position data is calculated to obtain the abnormal parameters capable of reflecting the user position moving speed and the user position area change, when the abnormal parameters are larger than the preset threshold value, the user position moving speed exceeds the normal range or the user position area change does not accord with the law, and then the user position data corresponding to the abnormal parameters can be determined to be abnormal.
The embodiments of the present application also provide an apparatus, which can implement the above method steps, and the apparatus can be implemented by software, or by hardware, or by a combination of hardware and software. Taking a software implementation as an example, the logical device is formed by reading a corresponding computer program instruction into a memory by a Central Processing Unit (CPU) of a server to run.
Fig. 5 is a block diagram of an abnormal data detecting apparatus according to an embodiment of the present application. In this embodiment, the abnormal data detecting apparatus includes:
a receivingunit 510, configured to receive user position data to be detected;
asorting unit 511, configured to sort the user location data according to time of the user location data;
adistance calculating unit 520, configured to calculate an average value of distances between each piece of user location data and the previous and subsequent pieces of user location data according to the longitude and latitude in the sorted user location data, so as to obtain a distance feature of each piece of user location data;
atime calculating unit 530, configured to calculate an average value of time between each piece of user location data and previous and subsequent pieces of user location data according to time in the sorted user location data, so as to obtain a time characteristic of each piece of user location data;
aspeed calculating unit 540, configured to calculate a speed feature of each user location data according to the distance feature and the time feature of each user location data;
a determiningunit 550, configured to determine whether the speed feature greater than a preset speed exists;
the determining unit 560 is configured to determine, when the speed feature greater than a preset speed exists, user location data corresponding to the speed feature greater than the preset speed as abnormal data.
According to the embodiment, the received user position data is calculated to obtain the speed characteristic capable of reflecting the speed of the user position moving, when the speed characteristic is larger than the preset speed, the user position moving speed is higher than the normal speed, and the user position data corresponding to the speed characteristic can be determined to be abnormal data.
Fig. 6 is a block diagram of an abnormal data detecting apparatus according to an embodiment of the present application. In this embodiment, the abnormal data detecting apparatus includes:
a receivingunit 710, configured to receive user location data to be detected;
asorting unit 711 configured to sort the user location data according to a time of the user location data;
aregion calculating unit 720, configured to calculate a degree of change of a region between each piece of user location data and previous and subsequent pieces of user location data according to regions in the sorted user location data, so as to obtain a region consistency characteristic of each piece of user location data;
a determiningunit 730, configured to determine whether the region consistency feature greater than a preset threshold exists;
the determiningunit 740 is configured to determine, when the area consistency feature larger than a preset threshold exists, user location data corresponding to the area consistency feature larger than the preset threshold is abnormal data.
According to the embodiment, the received user position data is calculated to obtain the region consistency characteristic capable of reflecting the jumping degree of the user position, when the region consistency characteristic is larger than the preset threshold value, the jumping degree of the user position is over the normal distance, and then the user position data corresponding to the region consistency characteristic can be determined as abnormal data.
Fig. 7 is a block diagram of an abnormal data detecting apparatus according to an embodiment of the present application. In this embodiment, the abnormal data detecting apparatus includes:
a receivingunit 810, configured to receive user location data to be detected;
asorting unit 811 for sorting user location data according to time of the user location data;
adistance calculating unit 820, configured to calculate an average value of distances between each piece of user location data and the previous and subsequent pieces of user location data according to the longitude and latitude in the sorted user location data, so as to obtain a distance feature of each piece of user location data;
atime calculating unit 830, configured to calculate an average value of time between each piece of user location data and previous and subsequent pieces of user location data according to the time in the sorted user location data, so as to obtain a time characteristic of each piece of user location data;
aregion calculating unit 840, configured to calculate a change degree of a region between each piece of user location data and previous and subsequent pieces of user location data according to the regions in the sorted user location data, so as to obtain a region change feature and a region consistency feature of each piece of user location data;
an abnormalparameter calculation unit 850, configured to calculate an abnormal parameter of each user location data according to the distance feature, the time feature, the area change feature, and the area consistency feature of each user location data;
a determiningunit 860, configured to determine whether the abnormal parameter greater than a preset threshold exists;
the determiningunit 870 is configured to determine, when the abnormal parameter greater than the preset threshold exists, the user location data corresponding to the abnormal parameter greater than the preset threshold as abnormal data.
According to the embodiment, the received user position data is calculated to obtain the abnormal parameters capable of reflecting the user position moving speed and the user position area change, when the abnormal parameters are larger than the preset threshold value, the user position moving speed exceeds the normal range or the user position area change does not accord with the law, and then the user position data corresponding to the abnormal parameters can be determined to be abnormal.
In the 90 th generation of 20 th century, it is obvious that improvements in Hardware (for example, improvements in Circuit structures such as diodes, transistors and switches) or software (for improvement in method flow) can be distinguished for a technical improvement, however, as technology develops, many of the improvements in method flow today can be regarded as direct improvements in Hardware Circuit structures, designers almost all obtain corresponding Hardware Circuit structures by Programming the improved method flow into Hardware circuits, and therefore, it cannot be said that an improvement in method flow cannot be realized by Hardware entity modules, for example, Programmable logic devices (Programmable logic devices L organic devices, P L D) (for example, Field Programmable Gate Arrays (FPGAs) are integrated circuits whose logic functions are determined by user Programming of devices), and a digital system is "integrated" on a P L D "by self Programming of designers without requiring many kinds of integrated circuits manufactured and manufactured by special chip manufacturers to design and manufacture, and only a Hardware software is written in Hardware programs such as Hardware programs, software programs, such as Hardware programs, software, Hardware programs, software programs, Hardware programs, software, Hardware programs, software, Hardware programs, software, Hardware, software, Hardware, software, Hardware, software, Hardware, software, Hardware, software, Hardware, software, Hardware, software, Hardware, software, Hardware, software, Hardware, software, Hardware, software, Hardware, software, Hardware, software, Hardware, software, Hardware, software.
A controller may be implemented in any suitable manner, e.g., in the form of, for example, a microprocessor or processor and a computer readable medium storing computer readable program code (e.g., software or firmware) executable by the (micro) processor, logic gates, switches, Application Specific Integrated Circuits (ASICs), programmable logic controllers (PLC's) and embedded microcontrollers, examples of which include, but are not limited to, microcontrollers 625D, Atmel AT91SAM, Microchip PIC18F26K20 and Silicone L abs C8051F320, which may also be implemented as part of the control logic of a memory.
The systems, devices, modules or units illustrated in the above embodiments may be implemented by a computer chip or an entity, or by a product with certain functions.
For convenience of description, the above devices are described as being divided into various units by function, and are described separately. Of course, the functionality of the units may be implemented in one or more software and/or hardware when implementing the present application.
As will be appreciated by one skilled in the art, embodiments of the present invention may be provided as a method, system, or computer program product. Accordingly, the present invention may take the form of an entirely hardware embodiment, an entirely software embodiment or an embodiment combining software and hardware aspects. Furthermore, the present invention may take the form of a computer program product embodied on one or more computer-usable storage media (including, but not limited to, disk storage, CD-ROM, optical storage, and the like) having computer-usable program code embodied therein.
The present invention is described with reference to flowchart illustrations and/or block diagrams of methods, apparatus (systems), and computer program products according to embodiments of the invention. It will be understood that each flow and/or block of the flow diagrams and/or block diagrams, and combinations of flows and/or blocks in the flow diagrams and/or block diagrams, can be implemented by computer program instructions. These computer program instructions may be provided to a processor of a general purpose computer, special purpose computer, embedded processor, or other programmable data processing apparatus to produce a machine, such that the instructions, which execute via the processor of the computer or other programmable data processing apparatus, create means for implementing the functions specified in the flowchart flow or flows and/or block diagram block or blocks.
These computer program instructions may also be stored in a computer-readable memory that can direct a computer or other programmable data processing apparatus to function in a particular manner, such that the instructions stored in the computer-readable memory produce an article of manufacture including instruction means which implement the function specified in the flowchart flow or flows and/or block diagram block or blocks.
These computer program instructions may also be loaded onto a computer or other programmable data processing apparatus to cause a series of operational steps to be performed on the computer or other programmable apparatus to produce a computer implemented process such that the instructions which execute on the computer or other programmable apparatus provide steps for implementing the functions specified in the flowchart flow or flows and/or block diagram block or blocks.
In a typical configuration, a computing device includes one or more processors (CPUs), input/output interfaces, network interfaces, and memory.
The memory may include forms of volatile memory in a computer readable medium, Random Access Memory (RAM) and/or non-volatile memory, such as Read Only Memory (ROM) or flash memory (flash RAM). Memory is an example of a computer-readable medium.
Computer-readable media, including both non-transitory and non-transitory, removable and non-removable media, may implement information storage by any method or technology. The information may be computer readable instructions, data structures, modules of a program, or other data. Examples of computer storage media include, but are not limited to, phase change memory (PRAM), Static Random Access Memory (SRAM), Dynamic Random Access Memory (DRAM), other types of Random Access Memory (RAM), Read Only Memory (ROM), Electrically Erasable Programmable Read Only Memory (EEPROM), flash memory or other memory technology, compact disc read only memory (CD-ROM), Digital Versatile Discs (DVD) or other optical storage, magnetic cassettes, magnetic tape magnetic disk storage or other magnetic storage devices, or any other non-transmission medium that can be used to store information that can be accessed by a computing device. As defined herein, a computer readable medium does not include a transitory computer readable medium such as a modulated data signal and a carrier wave.
It should also be noted that the terms "comprises," "comprising," or any other variation thereof, are intended to cover a non-exclusive inclusion, such that a process, method, article, or apparatus that comprises a list of elements does not include only those elements but may include other elements not expressly listed or inherent to such process, method, article, or apparatus. Without further limitation, an element defined by the phrase "comprising an … …" does not exclude the presence of other like elements in a process, method, article, or apparatus that comprises the element.
As will be appreciated by one skilled in the art, embodiments of the present application may be provided as a method, system, or computer program product. Accordingly, the present application may take the form of an entirely hardware embodiment, an entirely software embodiment or an embodiment combining software and hardware aspects. Furthermore, the present application may take the form of a computer program product embodied on one or more computer-usable storage media (including, but not limited to, disk storage, CD-ROM, optical storage, and the like) having computer-usable program code embodied therein.
The application may be described in the general context of computer-executable instructions, such as program modules, being executed by a computer. Generally, program modules include routines, programs, objects, components, data structures, etc. that perform particular tasks or implement particular abstract data types. The application may also be practiced in distributed computing environments where tasks are performed by remote processing devices that are linked through a communications network. In a distributed computing environment, program modules may be located in both local and remote computer storage media including memory storage devices.
The embodiments in the present specification are described in a progressive manner, and the same and similar parts among the embodiments are referred to each other, and each embodiment focuses on the differences from the other embodiments. In particular, for the system embodiment, since it is substantially similar to the method embodiment, the description is simple, and for the relevant points, reference may be made to the partial description of the method embodiment.
The above description is only an example of the present application and is not intended to limit the present application. Various modifications and changes may occur to those skilled in the art. Any modification, equivalent replacement, improvement, etc. made within the spirit and principle of the present application should be included in the scope of the claims of the present application.

Claims (7)

1. An abnormal data detection method, comprising:
receiving user position data to be detected;
sorting the user position data according to the time of the user position data;
calculating the change degree of the region between each user position data and the front user position data and the rear user position data according to the regions in the sorted user position data to obtain the region consistency characteristics of each user position data, wherein the regions are multi-level administrative regions;
judging whether the region consistency characteristics larger than a preset threshold exist or not;
and if so, determining the user position data corresponding to the area consistency characteristics larger than the preset threshold value as abnormal data.
2. An abnormal data detection method, comprising:
receiving user position data to be detected;
sorting the user position data according to the time of the user position data;
calculating the average value of the distance between each piece of user position data and the front and back user position data according to the longitude and latitude in the sorted user position data to obtain the distance characteristic of each piece of user position data;
calculating the average value of the time between each user position data and the previous user position data and the time between the user position data and the next user position data according to the time in the sorted user position data to obtain the time characteristic of each user position data;
calculating the change degree of the region between each user position data and the front user position data and the rear user position data according to the regions in the sorted user position data to obtain the region change characteristics and the region consistency characteristics of each user position data, wherein the regions are multi-level administrative regions;
calculating abnormal parameters of each user position data according to the distance characteristic, the time characteristic, the region change characteristic and the region consistency characteristic of each user position data;
judging whether the abnormal parameters larger than a preset threshold exist or not;
and if so, determining the user position data corresponding to the abnormal parameters larger than the preset threshold value as abnormal data.
3. The method of claim 2, wherein the calculation formula for the distance characteristic comprises:
Figure FDA0002514013090000021
wherein D isiDistance features, i ∈ [1, n ], representing the ith user position data]N represents the number of user location data; the distance () function is used to calculate the spatial distance, l, between the latitude and longitude of two user location dataiRepresenting the latitude and longitude of the ith user location data;
the calculation formula of the time characteristic comprises:
Figure FDA0002514013090000022
wherein, TiTime characteristics, i ∈ [1, n ] representing the ith user location data]N represents the number of user location data; the dif () function is used to calculate the difference between the times in the two user position data, tiIndicating the time of the ith user location data.
4. The method of claim 2,
the calculation formula of the region consistency characteristic comprises the following steps:
Figure FDA0002514013090000023
wherein S isiA regional consistency feature, i ∈ [1, n ], representing the ith user location data]N represents the number of user location data; r isiA region representing the location data of the ith user; the administrative level of the first type of administrative area is greater than that of the second type of administrative area, and the administrative level of the second type of administrative area is greater than that of the third type of administrative area.
5. The method of claim 2,
the calculation formula of the distance feature comprises:
Figure FDA0002514013090000024
wherein D isiDistance features, i ∈ [1, n ], representing the ith user position data]N represents the number of user location data; the distance () function is used to calculate the spatial distance, l, between the latitude and longitude of two user location dataiRepresenting the latitude and longitude of the ith user location data;
the calculation formula of the time characteristic comprises:
Figure FDA0002514013090000031
wherein, TiTime characteristics, i ∈ [1, n ] representing the ith user location data]N represents the number of user location data; the dif () function is used to calculate the difference between the times in the two user position data, tiTime representing the ith user location data;
the calculation formula of the region variation characteristics comprises the following steps:
Figure FDA0002514013090000032
wherein, CiFeatures of regional variation, i ∈ [1, n ], indicating location data of the ith subscriber]N represents the number of user location data; r isiA region representing the ith user location data, the difArea () function is defined as follows:
Figure FDA0002514013090000033
wherein r is1And r2A region representing two user location data; the administrative level of the first type of administrative region is greater than that of the second type of administrative region, and the administrative level of the second type of administrative region is greater than that of the third type of administrative region;
the calculation formula of the region consistency characteristic comprises the following steps:
Figure FDA0002514013090000034
wherein S isiA regional consistency feature, i ∈ [1, n ], representing the ith user location data]N represents the number of user location data; r isiA region representing the location data of the ith user; the administrative level of the first type of administrative region is greater than that of the second type of administrative region, and the administrative level of the second type of administrative region is greater than that of the third type of administrative region;
the calculation formula of the abnormal parameter comprises:
Figure FDA0002514013090000041
OF these, L OF (p)i) Indicating the ith user position data piAbnormal parameter of DiIndicating the ith user position data piDistance characteristic of (1), TiIndicating the ith user position data piTemporal characteristics of (C)iIndicating the ith user position data piCharacteristic of regional variation of SiIndicating the ith user position data piI ∈ [1, n ] of]And n represents the number of user location data.
6. An abnormal data detecting apparatus, comprising:
the receiving unit is used for receiving user position data to be detected;
the sequencing unit is used for sequencing the user position data according to the time of the user position data;
the region calculation unit is used for calculating the change degree of the regions between each piece of user position data and the front user position data and the back user position data according to the regions in the sorted user position data to obtain the region consistency characteristics of each piece of user position data, wherein the regions are multi-level administrative regions;
the judging unit is used for judging whether the region consistency characteristics larger than a preset threshold exist or not;
and the determining unit is used for determining the user position data corresponding to the area consistency feature larger than the preset threshold value as abnormal data when the area consistency feature larger than the preset threshold value exists.
7. An abnormal data detecting apparatus, comprising:
the receiving unit is used for receiving user position data to be detected;
the sequencing unit is used for sequencing the user position data according to the time of the user position data;
the distance calculation unit is used for calculating the average value of the distance between each piece of user position data and the front user position data and the rear user position data according to the longitude and the latitude in the sorted user position data to obtain the distance characteristic of each piece of user position data;
the time calculation unit is used for calculating the average value of time between each piece of user position data and the previous and next user position data according to the time in the sorted user position data to obtain the time characteristic of each piece of user position data;
the region calculation unit is used for calculating the change degree of the regions between each piece of user position data and the front user position data and the back user position data according to the regions in the sorted user position data to obtain the region change characteristics and the region consistency characteristics of each piece of user position data, wherein the regions are multi-level administrative regions;
the abnormal parameter calculation unit is used for calculating and obtaining the abnormal parameters of the user position data according to the distance characteristic, the time characteristic, the region change characteristic and the region consistency characteristic of the user position data;
the judging unit is used for judging whether the abnormal parameters larger than a preset threshold exist or not;
and the determining unit is used for determining the user position data corresponding to the abnormal parameter larger than the preset threshold value as abnormal data when the abnormal parameter larger than the preset threshold value exists.
CN201610144138.8A2016-03-142016-03-14Abnormal data detection method and deviceActiveCN107193824B (en)

Priority Applications (1)

Application NumberPriority DateFiling DateTitle
CN201610144138.8ACN107193824B (en)2016-03-142016-03-14Abnormal data detection method and device

Applications Claiming Priority (1)

Application NumberPriority DateFiling DateTitle
CN201610144138.8ACN107193824B (en)2016-03-142016-03-14Abnormal data detection method and device

Publications (2)

Publication NumberPublication Date
CN107193824A CN107193824A (en)2017-09-22
CN107193824Btrue CN107193824B (en)2020-07-28

Family

ID=59870764

Family Applications (1)

Application NumberTitlePriority DateFiling Date
CN201610144138.8AActiveCN107193824B (en)2016-03-142016-03-14Abnormal data detection method and device

Country Status (1)

CountryLink
CN (1)CN107193824B (en)

Families Citing this family (4)

* Cited by examiner, † Cited by third party
Publication numberPriority datePublication dateAssigneeTitle
CN108628721B (en)*2018-05-022021-07-27腾讯科技(上海)有限公司 Abnormality detection method, device, storage medium and electronic device of user data value
CN109409902A (en)*2018-09-042019-03-01平安普惠企业管理有限公司Risk subscribers recognition methods, device, computer equipment and storage medium
CN109919357B (en)*2019-01-302021-01-22创新先进技术有限公司Data determination method, device, equipment and medium
CN111694912B (en)*2020-06-052023-11-14百度在线网络技术(北京)有限公司Map interest point detection method, device, equipment and readable storage medium

Citations (3)

* Cited by examiner, † Cited by third party
Publication numberPriority datePublication dateAssigneeTitle
KR20130002086A (en)*2011-06-282013-01-07주식회사 선택인터내셔날Dead-reckoning system of using error correction and method of using the same
CN104683948A (en)*2015-02-042015-06-03四川长虹电器股份有限公司Self-learning abnormal position tracing point filtering method
CN104837114A (en)*2015-04-012015-08-12北京嘀嘀无限科技发展有限公司Method and device used for determining abnormal positioning information of user

Patent Citations (3)

* Cited by examiner, † Cited by third party
Publication numberPriority datePublication dateAssigneeTitle
KR20130002086A (en)*2011-06-282013-01-07주식회사 선택인터내셔날Dead-reckoning system of using error correction and method of using the same
CN104683948A (en)*2015-02-042015-06-03四川长虹电器股份有限公司Self-learning abnormal position tracing point filtering method
CN104837114A (en)*2015-04-012015-08-12北京嘀嘀无限科技发展有限公司Method and device used for determining abnormal positioning information of user

Also Published As

Publication numberPublication date
CN107193824A (en)2017-09-22

Similar Documents

PublicationPublication DateTitle
CN109063886B (en)Anomaly detection method, device and equipment
EP3780541B1 (en)Identity information identification method and device
Hu et al.Your neighbors affect your ratings: on geographical neighborhood influence to rating prediction
CN109029446B (en) Pedestrian position prediction method, device and device
CN107193824B (en)Abnormal data detection method and device
CN105409306B (en)Mobile terminal locations prediction technique and device
US20170286845A1 (en)Automatic extraction of user mobility behaviors and interaction preferences using spatio-temporal data
CN111080304B (en)Credible relationship identification method, device and equipment
TW201933232A (en)Shop information recommendation method, device and client
CN110888866B (en)Data expansion method and device, data processing equipment and storage medium
TW201939378A (en)Resource recommendation method and device
CN110119860B (en)Rubbish account detection method, device and equipment
CN107590690B (en)Data processing method and device and server
CN113837635A (en)Risk detection processing method, device and equipment
CN109003091A (en)A kind of risk prevention system processing method, device and equipment
CN114819183A (en)Model gradient confirmation method, device, equipment and medium based on federal learning
CN110650531B (en)Base station coordinate calibration method, system, storage medium and equipment
CN107395680A (en)Shop group's information push and output intent and device, equipment
CN113129091A (en)Method and device for recommending fee package
CN111597279A (en)Information prediction method based on deep learning and related equipment
CN108932525B (en)Behavior prediction method and device
WO2018095307A1 (en)Method and device for releasing evaluation information
WO2014171925A1 (en)Event summarization
CN110490595B (en)Risk control method and device
CN110263817B (en)Risk grade classification method and device based on user account

Legal Events

DateCodeTitleDescription
PB01Publication
PB01Publication
SE01Entry into force of request for substantive examination
SE01Entry into force of request for substantive examination
GR01Patent grant
GR01Patent grant
TR01Transfer of patent right

Effective date of registration:20200924

Address after:Cayman Enterprise Centre, 27 Hospital Road, George Town, Grand Cayman, British Islands

Patentee after:Innovative advanced technology Co.,Ltd.

Address before:Cayman Enterprise Centre, 27 Hospital Road, George Town, Grand Cayman, British Islands

Patentee before:Advanced innovation technology Co.,Ltd.

Effective date of registration:20200924

Address after:Cayman Enterprise Centre, 27 Hospital Road, George Town, Grand Cayman, British Islands

Patentee after:Advanced innovation technology Co.,Ltd.

Address before:A four-storey 847 mailbox in Grand Cayman Capital Building, British Cayman Islands

Patentee before:Alibaba Group Holding Ltd.

TR01Transfer of patent right

[8]ページ先頭

©2009-2025 Movatter.jp