Movatterモバイル変換


[0]ホーム

URL:


CN107176933B - Indoleamine-2,3-dioxygenase inhibitor containing nitrogen alkylated and arylated sulfoximine - Google Patents

Indoleamine-2,3-dioxygenase inhibitor containing nitrogen alkylated and arylated sulfoximine
Download PDF

Info

Publication number
CN107176933B
CN107176933BCN201610134565.8ACN201610134565ACN107176933BCN 107176933 BCN107176933 BCN 107176933BCN 201610134565 ACN201610134565 ACN 201610134565ACN 107176933 BCN107176933 BCN 107176933B
Authority
CN
China
Prior art keywords
aza
amino
hydroxy
ethyl
oxadiazole
Prior art date
Legal status (The legal status is an assumption and is not a legal conclusion. Google has not performed a legal analysis and makes no representation as to the accuracy of the status listed.)
Active
Application number
CN201610134565.8A
Other languages
Chinese (zh)
Other versions
CN107176933A (en
Inventor
王召印
郭巍
朱继东
胡新波
Current Assignee (The listed assignees may be inaccurate. Google has not performed a legal analysis and makes no representation or warranty as to the accuracy of the list.)
Shanghai Institute of Organic Chemistry of CAS
Original Assignee
Shanghai Institute of Organic Chemistry of CAS
Priority date (The priority date is an assumption and is not a legal conclusion. Google has not performed a legal analysis and makes no representation as to the accuracy of the date listed.)
Filing date
Publication date
Application filed by Shanghai Institute of Organic Chemistry of CASfiledCriticalShanghai Institute of Organic Chemistry of CAS
Priority to CN201610134565.8ApriorityCriticalpatent/CN107176933B/en
Priority to PCT/CN2017/076160prioritypatent/WO2017152857A1/en
Priority to CN201780015261.2Aprioritypatent/CN108699014A/en
Publication of CN107176933ApublicationCriticalpatent/CN107176933A/en
Application grantedgrantedCritical
Publication of CN107176933BpublicationCriticalpatent/CN107176933B/en
Activelegal-statusCriticalCurrent
Anticipated expirationlegal-statusCritical

Links

Classifications

Landscapes

Abstract

Translated fromChinese

本发明公开了一种吲哚胺‑2,3‑双加氧酶抑制剂及其制备方法。本发明的抑制剂,结构如通式(I)所示,其中,X、R1、R2、R3、R4、R7、R8、R9、n及m的定义如说明书和权利要求书中所示。本发明还公开了抑制剂的制备方法。本发明的通式(I)化合物,可以作为吲哚胺‑2,3‑双加氧酶抑制剂,用于制备预防和/或治疗吲哚胺‑2,3‑双加氧酶介导的疾病的药物。

Figure DDA0000937932740000011
The invention discloses an indoleamine-2,3-dioxygenase inhibitor and a preparation method thereof. The structure of the inhibitor of the present invention is shown in the general formula (I), wherein X, R1 , R2 , R3 , R4 , R7 , R8 , R9 , n and m are as defined in the description and claims shown in the request. The invention also discloses a preparation method of the inhibitor. The compound of general formula (I) of the present invention can be used as an inhibitor of indoleamine-2,3-dioxygenase for the preparation of prevention and/or treatment of indoleamine-2,3-dioxygenase-mediated Medicines for diseases.
Figure DDA0000937932740000011

Description

Translated fromChinese
一种含氮烷基化和芳基化亚砜亚胺的吲哚胺-2,3-双加氧酶抑制剂A nitrogen-containing indoleamine-2,3-dioxygenase for alkylating and arylating sulfoximinesinhibitor

技术领域technical field

本发明属于药物化学技术领域,具体涉及一种含有氮烷基化、芳基化和酰基化亚砜亚胺和1,2,5-噁二唑结构的IDO抑制剂及其制备方法。The invention belongs to the technical field of medicinal chemistry, in particular to an IDO inhibitor containing nitrogen alkylation, arylation and acylation sulfoximine and 1,2,5-oxadiazole structure and a preparation method thereof.

背景技术Background technique

吲哚胺-2,3-双加氧酶(Indoleamine-2,3-dioxygenase,IDO)是1967年Hayaishi小组首次在细胞内发现的一种含有亚铁血红素的单体酶,cDNA编码蛋白由403氨基酸组成,分子量为45kDa,它是延着色氨酸-犬尿氨酸途径分解代谢的限速酶,并且在多种哺乳动物的组织中具有广泛的表达(Hayaishi O.et al Science,1969,164,389-396)。在肿瘤患者的细胞中,IDO常作为诱导肿瘤微环境免疫耐受产生重要的生理作用,其介导的色氨酸(Tryptophan,Trp)-犬尿氨酸(Kynurenine,Kyn)代谢途径参与了肿瘤免疫逃逸,而IDO作为诱导肿瘤微环境免疫耐受也产生重要的作用。Indoleamine-2,3-dioxygenase (IDO) is a monomeric enzyme containing heme that was first discovered in cells by Hayaishi's group in 1967. The cDNA encodes a protein composed of It is composed of 403 amino acids and has a molecular weight of 45kDa. It is the rate-limiting enzyme of catabolism in the tyrosine-kynurenine pathway and is widely expressed in a variety of mammalian tissues (Hayaishi O. et al Science, 1969, 164, 389-396). In the cells of tumor patients, IDO often plays an important physiological role in inducing immune tolerance in the tumor microenvironment, and its mediated tryptophan (Trp)-kynurenine (Kyn) metabolic pathway is involved in tumors Immune escape, and IDO also plays an important role in inducing immune tolerance in the tumor microenvironment.

色氨酸为哺乳动物体内重要的必须氨基酸之一,需要从食物中大量摄取,维持细胞活化和增殖,以及蛋白质以及一些神经递质的合成。因此,它的缺乏会导致一些重要的细胞的功能失常。IDO在体内能够催化色氨酸转化为N-甲酰犬尿氨酸,降解色氨酸的含量而造成色氨酸体内的不足,导致肿瘤的发生。而免疫组织学研究显示,犬尿氨酸途径能够导致兴奋毒素喹啉酸的增多,还会导致阿兹海默等神经系统疾病等多种严重的人类疾病(Guillemin G.J.et al Neuropathol.and Appl.Neurobiol.2005,31,395–404)。Tryptophan is one of the important essential amino acids in mammals and needs to be ingested in large quantities from food to maintain cell activation and proliferation, as well as the synthesis of proteins and some neurotransmitters. Therefore, its deficiency can lead to the malfunction of some important cells. IDO can catalyze the conversion of tryptophan to N-formylkynurenine in the body, degrade the content of tryptophan and cause the deficiency of tryptophan in the body, which leads to the occurrence of tumors. Immunohistological studies have shown that the kynurenine pathway can lead to the increase of the excitotoxin quinolinic acid, and it can also lead to a variety of serious human diseases such as Alzheimer's and other neurological diseases (Guillemin G.J. et al Neuropathol. and Appl. Neurobiol. 2005, 31, 395–404).

哺乳动物体内色氨酸限速酶主要有两种:色氨酸双加氧酶(TDO)和IDO。1937年,Kotake等从兔子肠中纯化出蛋白,并首次发现TDO主要在哺乳动物肝脏中表达,目前尚未发现他与免疫系统有密切联系。TDO能够催化犬尿氨酸途径,使色氨酸转变为N-甲酰犬尿氨酸[Higuchi K.et al J.Biochem.1937,25,71-77;Shimizu T.etal J.Biol.Chem.1978,253,4700-4706]。1978年,从兔子肠道中纯化的酶,被鉴定是含有亚铁血红素的双加氧酶(IDO),IDO是肝脏以外唯一可以催化色氨酸分子中的吲哚氧化裂解,并延犬尿氨酸途径分解代谢的酶,IDO通常在粘膜较多的器官中表达,如肺,小肠和大肠,直肠,脾,肾,胃和脑等,分布比较广泛(Hayaishi O.et al,Proceedings of the tenth FEBS meeting,1975,131–144)。在某些特殊或病理条件下,如妊娠,慢性感染,器官移植和肿瘤等,IDO表达会明显增加,参与介导局部的免疫抑制。There are two main tryptophan rate-limiting enzymes in mammals: tryptophan dioxygenase (TDO) and IDO. In 1937, Kotake et al. purified the protein from the intestine of rabbits and found for the first time that TDO is mainly expressed in mammalian liver, and it has not yet been found that he is closely related to the immune system. TDO can catalyze the kynurenine pathway to convert tryptophan to N-formylkynurenine [Higuchi K. et al J. Biochem. 1937, 25, 71-77; Shimizu T. et al J. Biol. Chem .1978, 253, 4700-4706]. In 1978, the enzyme purified from the intestines of rabbits was identified as heme-containing dioxygenase (IDO). IDO is the only one outside the liver that can catalyze the oxidative cleavage of indole in tryptophan molecules and prolong the urinary tract. As an enzyme of amino acid pathway catabolism, IDO is usually expressed in organs with more mucosa, such as lung, small and large intestine, rectum, spleen, kidney, stomach and brain, etc., and is widely distributed (Hayaishi O. et al, Proceedings of the tenth FEBS meeting, 1975, 131–144). Under some special or pathological conditions, such as pregnancy, chronic infection, organ transplantation and tumor, the expression of IDO will be significantly increased, and it is involved in mediating local immunosuppression.

研究表明,IDO在肿瘤微环境中可以通过以下几种方式来抑制局部T细胞免疫反应:色氨酸耗竭、毒性代谢和诱导调节性T细胞增殖。很多情况是在肿瘤中过渡表达,从而消耗局部的色氨酸,产生大量的犬尿氨酸等代谢产物。事实上,在无色氨酸或犬尿氨酸的培养条件下,T细胞会发生增殖抑制、活性降低甚至凋亡。而T细胞中存在一个对色氨酸水平非常敏感的调节点,IDO的作用下,能够使色氨酸消耗,从而导致T细胞停滞于G1期中期,从而抑制了T细胞的增殖,也抑制了T细胞的免疫应答。而T细胞一旦停止增殖,可能就不会再被刺激作用,这是IDO在体内免疫作用机制(Mellor A.et alBiochem.Biophys.Res.Commun.2005,338(1):20-24)(LeRond S.et al J.Exp.Med.2002,196(4):447-457)。Studies have shown that IDO in the tumor microenvironment can suppress local T cell immune responses in several ways: tryptophan depletion, toxic metabolism, and induction of regulatory T cell proliferation. In many cases, it is overexpressed in tumors, thereby consuming local tryptophan and producing a large amount of metabolites such as kynurenine. In fact, in the absence of tryptophan or kynurenine, T cells undergo proliferation inhibition, decreased activity and even apoptosis. There is a regulatory point in T cells that is very sensitive to the level of tryptophan. Under the action of IDO, tryptophan can be consumed, resulting in the arrest of T cells in the mid-G1 phase, thereby inhibiting the proliferation of T cells and inhibiting the T cell immune response. Once T cells stop proliferating, they may not be stimulated again, which is the immune mechanism of IDO in vivo (Mellor A. et alBiochem. Biophys. Res. Commun. 2005, 338(1): 20-24) (LeRond S. et al J. Exp. Med. 2002, 196(4):447-457).

本领域尚需研发高活性的新型IDO抑制剂,本发明发现一类新型含有氮烷基化和芳基化亚砜亚胺和1,2,5-噁二唑结构的化合物具有出乎意料的高IDO抑制活性。There is still a need to develop novel IDO inhibitors with high activity in the art. The present inventors found that a new class of compounds containing nitrogen alkylated and arylated sulfoximines and 1,2,5-oxadiazole structures has unexpected properties. High IDO inhibitory activity.

发明内容SUMMARY OF THE INVENTION

本发明的目的在于提供一种新型的含有氮烷基化和芳基化亚砜亚胺和1,2,5-噁二唑结构的化合物作为高效的IDO酶抑制剂。The purpose of the present invention is to provide a novel compound containing nitrogen alkylated and arylated sulfoximine and 1,2,5-oxadiazole structure as an efficient IDO enzyme inhibitor.

本发明的另一目的在于提供该化合物的制备方法。Another object of the present invention is to provide a preparation method of the compound.

本发明的第一方面,提供一种通式(i)化合物或其药学上可以接受的盐、其立体异构体或其互变异构体、或前药:The first aspect of the present invention provides a compound of general formula (i) or a pharmaceutically acceptable salt thereof, a stereoisomer or tautomer thereof, or a prodrug:

Figure BDA0000937932730000021
Figure BDA0000937932730000021

式中,In the formula,

R7和R8各自独立为氢、取代或未取代的C1-C10烷基、取代或未取代的C3-C10环烷基、取代或未取代的C2-C10烯基、取代或未取代的C3-C10炔基、取代或未取代的C6-C20芳基、或取代或未取代的C3-C14杂芳基;R7和R8可以一起可以形成三至八元环或三至八元杂环,其中杂原子可以是硫、氧、NH或NRfR7 and R8 are each independently hydrogen, substituted or unsubstituted C1 -C10 alkyl, substituted or unsubstituted C3 -C10 cycloalkyl, substituted or unsubstituted C2 -C10 alkenyl, Substituted or unsubstituted C3 -C10 alkynyl, substituted or unsubstituted C6 -C20 aryl, or substituted or unsubstituted C3 -C14 heteroaryl; R7 and R8 together may form A three- to eight-membered ring or a three- to eight-membered heterocyclic ring, wherein the heteroatom can be sulfur, oxygen, NH or NRf ;

R9为C6-C20芳基、C5-C20杂芳基;R9可以被一个或多个选自下组的基团取代:卤素、C1-C6烷基、C1-C6烷氧基、羟基、氨基、硝基、醛基、-CF3、-CN、-SF5、NRaRb、羧基、-CORa、-CO2C1-C6烷基、-CONRaRb、-SO2Re、-SO2NRaRb、-P(O)Me2、-P(O)(OMe)2;其中各Ra和各Rb各自独立为氢、取代或未取代的C1-C10烷基、取代或未取代的C3-C10环烷基、取代或未取代的C2-C10烯基、取代或未取代的C6-C20芳基、或取代或未取代的C3-C14杂芳基;Ra和Rb可以一起可以形成三至八元环或四至八元杂环,其中杂原子可以是硫、氧、NH或NRgR9 is C6 -C20 aryl, C5 -C20 heteroaryl; R9 may be substituted by one or more groups selected from the group consisting of halogen, C1 -C6 alkyl, C1 - C6 alkoxy, hydroxyl, amino, nitro, aldehyde, -CF3 , -CN, -SF5 , NRa Rb , carboxyl, -CORa , -CO2 C1 -C6 alkyl, - CONRa Rb , -SO2Re , -SO2 NRa Rb , -P(O)Me2 , -P(O)(OMe)2 ; wherein each Ra and each Rb are independently hydrogen, Substituted or unsubstituted C1 -C10 alkyl, substituted or unsubstituted C3 -C10 cycloalkyl, substituted or unsubstituted C2 -C10 alkenyl, substituted or unsubstituted C6 -C20 Aryl, or substituted or unsubstituted C3 -C14 heteroaryl; Ra and Rb can be taken together to form a three- to eight-membered ring or a four- to eight-membered heterocycle, wherein the heteroatom can be sulfur, oxygen, NH orNRg ;

R2为C1-C12烷基、C6-C20芳基、C5-C20杂芳基、C1-C4烷基-苯基、C1-C4烷基-C5杂环、-C(O)ORe;-SO2Re、-SO2NRaRb或-C(O)NRaRbR2 is C1 -C12 alkyl, C6 -C20 aryl, C5 -C20 heteroaryl, C1 -C4 alkyl-phenyl, C1 -C4 alkyl-C5 heterocycle , -C(O)ORe ; -SO2Re , -SO2 NRa Rb or -C(O)NRa Rb ;

X为一个单键、O,S、NH或NRdX is a single bond, O, S, NH or NRd ;

环A为5元或6元含杂环;Ring A is a 5- or 6-membered heterocyclic ring;

R3和R4各自独立为氢、取代或未取代的C1-C10烷基;R3和R4可以一起可以形成三至八元环或三至八元杂环,其中杂原子可以是硫、氧、NH或NRhR3 and R4 are each independently hydrogen, substituted or unsubstituted C1 -C10 alkyl; R3 and R4 together can form a three- to eight-membered ring or a three- to eight-membered heterocycle, wherein the heteroatom can be Sulfur, oxygen, NH or NRh ;

R1、Rd、Re、Rf、Rg、Rh独立地为C1-C10烷基、C3-C10环烷基、C6-C20芳基、或C3-C14杂芳基;R1可以被一个或多个选自下组的基团取代:卤素、羟基、氨基、硝基、氰基、醛基、羧基、烷氧基、-CF3、-SF5R1 , Rd ,Re , Rf , Rg , andRh are independently C1 -C10 alkyl, C3 -C10 cycloalkyl, C6 -C20 aryl, or C3 -C14 Heteroaryl; R1 may be substituted by one or more groups selected from the group consisting of halogen, hydroxyl, amino, nitro, cyano, aldehyde, carboxyl, alkoxy, -CF3 , -SF5 ;

R12可以被一个或多个卤素、烷氧基和氰基取代;R1 and2 may be substituted with one or more halogen, alkoxy and cyano groups;

R1和Rd可以连接形成六至八元环;R1 and Rd can be linked to form a six- to eight-membered ring;

R1和R3可以连接形成五至八元环;R1 and R3 can be linked to form a five- to eight-membered ring;

n为2至8的整数;n is an integer from 2 to 8;

m为0、1或2。m is 0, 1 or 2.

在另一优选例中,所述的“取代”指具有一个或多个选自下组的取代基:卤素、羟基、-NH2、硝基、-CN、C1-C4烷基、C1-C4卤代烷基、C1-C4烷氧基、C3-C6环烷基、C2-C4链烯基、C2-C4炔基、苯基、苄基。In another preferred example, the "substituted" refers to having one or more substituents selected from the group consisting of halogen, hydroxyl, -NH2 , nitro, -CN, C1 -C4 alkyl, C1 -C4 haloalkyl, C1 -C4 alkoxy, C3 -C6 cycloalkyl, C2 -C4 alkenyl, C2 -C4 alkynyl, phenyl, benzyl.

在另一优选例中,R2为C1-C12烷基、C6-C20芳基、C5-C20杂芳基、-SO2Re、或-C(O)NRaRbIn another preferred example, R2 is a C1 -C12 alkyl group, a C6 -C20 aryl group, a C5 -C20 heteroaryl group, -SO2 Re , or -C(O)NRa Rb ;

在另一优选例中,R3和R4各自独立为氢、In another preferred embodiment, R3 and R4 are each independently hydrogen,

在另一优选例中,n为2至6。In another preferred embodiment, n is 2 to 6.

在另一优选例中,X为NH。In another preferred example, X is NH.

在另一优选例中,m为0。In another preferred embodiment, m is 0.

在另一优选例中,所述化合物如通式(ii)所示,In another preferred embodiment, the compound is represented by the general formula (ii),

Figure BDA0000937932730000031
Figure BDA0000937932730000031

式中,In the formula,

R9为C6-C20芳基、C5-C20杂芳基;R9可以被一个或多个选自下组的基团取代:卤素、C1-C6烷基、C1-C6烷氧基、羟基、氨基、硝基、醛基、-CF3、-CN、-SF5、NRaRb、羧基、-CORa、-CO2C1-C6烷基、-CONRaRb、-SO2Re、-SO2NRaRbR9 is C6 -C20 aryl, C5 -C20 heteroaryl; R9 may be substituted by one or more groups selected from the group consisting of halogen, C1 -C6 alkyl, C1 - C6 alkoxy, hydroxyl, amino, nitro, aldehyde, -CF3 , -CN, -SF5 , NRa Rb , carboxyl, -CORa , -CO2 C1 -C6 alkyl, - CONRa Rb , -SO2Re , -SO2 NRa Rb ;

其中,Ra、Rb、R3、R4、R1的定义如上所述;Wherein, Ra , Rb , R3 , R4 , R1 are defined as above;

R2为C1-C12烷基、C6-C20芳基、C5-C20杂芳基、-C(O)ORe;-SO2Re、-SO2NRaRb或-C(O)NRaRbR2 is C1 -C12 alkyl, C6 -C20 aryl, C5 -C20 heteroaryl, -C(O)ORe ; -SO2 Re , -SO2 NRa Rb or -C(O)NRa Rb ;

n为2-6。n is 2-6.

在另一优先选例中,所述化合物如通式(iii)所示,In another preferred example, the compound is represented by the general formula (iii),

Figure BDA0000937932730000041
Figure BDA0000937932730000041

式中,In the formula,

其中,R3、R4、R1的定义如上所述;Wherein, the definitions of R3 , R4 and R1 are as described above;

R2为C1-C12烷基、C6-C20芳基、C5-C20杂芳基、-C(O)ORe;-SO2Re、-SO2NRaRb或-C(O)NRaRbR2 is C1 -C12 alkyl, C6 -C20 aryl, C5 -C20 heteroaryl, -C(O)ORe ; -SO2 Re , -SO2 NRa Rb or -C(O)NRa Rb ;

R12可以被一个或多个卤素、烷氧基和氰基取代R1 and2 may be substituted with one or more halogen, alkoxy and cyano groups

Ar为C6-C10芳基、五元或六元杂芳基;Ar可以被一个或多个选自下组的基团取代:卤素、C1-C6烷基、C1-C6烷氧基、羟基、-CF3、-CN、-SF5Ar is C6 -C10 aryl, five- or six-membered heteroaryl; Ar may be substituted with one or more groups selected from the group consisting of halogen, C1 -C6 alkyl, C1 -C6 Alkoxy, hydroxyl,-CF3 , -CN,-SF5 .

n为2-6。n is 2-6.

在另一优选例中,R1为C1-C10烷基;In another preferred embodiment, R1 is C1 -C10 alkyl;

R2为C1-C12烷基、C6-C20芳基、C5-C20杂芳基、-SO2Re、-SO2NRaRb或-C(O)NRaRbR2 is C1 -C12 alkyl, C6 -C20 aryl, C5 -C20 heteroaryl, -SO2 Re , -SO2 NRa Rb or -C(O)NRa Rb ;

R3和R4各自独立为氢;R3 and R4 are each independently hydrogen;

Ar为C6-C10芳基、五元或六元杂芳基;Ar可以被一个或多个选自下组的基团取代:卤素、C1-C6烷基、C1-C6烷氧基、羟基、氨基、硝基、醛基、-CF3、-CN、-SF5Ar is C6 -C10 aryl, five- or six-membered heteroaryl; Ar may be substituted with one or more groups selected from the group consisting of halogen, C1 -C6 alkyl, C1 -C6 Alkoxy, hydroxyl, amino, nitro, aldehyde, -CF3 , -CN, -SF5 .

在另一优选例中,R1为C1-C4烷基;In another preferred embodiment, R1 is C1 -C4 alkyl;

Ar为C6-C10芳基、五元或六元杂芳基;Ar可以被一个或多个选自下组的基团取代:卤素、C1-C6烷基、C1-C6烷氧基、羟基、-CF3、-CN、-SF5Ar is C6 -C10 aryl, five- or six-membered heteroaryl; Ar may be substituted with one or more groups selected from the group consisting of halogen, C1 -C6 alkyl, C1 -C6 Alkoxy, hydroxyl,-CF3 , -CN,-SF5 .

在另一优选例中,所述的通式i化合物的前药,如通式(iv)所示,In another preferred embodiment, the prodrug of the compound of general formula i, as shown in general formula (iv),

Figure BDA0000937932730000042
Figure BDA0000937932730000042

式中,In the formula,

R1、R2、R3、R4和R9的定义如上所述;R1 , R2 , R3 , R4 and R9 are as defined above;

R10a为取代或未取代的C6-C20芳基、取代或未取代的五元或六元杂芳基、取代或未取代的C1-C12烷基、取代或未取代的C1-C12烷氧基,取代或未取代的C3-C12环烷基,C3-C12环烷氧基、NRaRb;其中,Ra、Rb的定义如上所述;R10a is substituted or unsubstituted C6 -C20 aryl, substituted or unsubstituted five- or six-membered heteroaryl, substituted or unsubstituted C1 -C12 alkyl, substituted or unsubstituted C1 -C12 alkoxy, substituted or unsubstituted C3 -C12 cycloalkyl, C3 -C12 cycloalkoxy, NRa Rb ; wherein, the definitions of Ra and Rb are as described above;

其中,所述的“取代”指具有一个或多个选自下组的取代基:卤素、羟基、-NH2、硝基、-CN、C1-C4烷基、C1-C4卤代烷基、C1-C4烷氧基、C3-C6环烷基、C2-C4链烯基、C2-C4炔基、苯基、苄基。Wherein, the "substituted" refers to having one or more substituents selected from the group consisting of halogen, hydroxyl, -NH2 , nitro, -CN, C1 -C4 alkyl, C1 -C4 haloalkane base, C1 -C4 alkoxy, C3 -C6 cycloalkyl, C2 -C4 alkenyl, C2 -C4 alkynyl, phenyl, benzyl.

在另一优选例中,X、R1、R2、R3、R4、R7、R8、R9、R10a等各基团分别独立地为实施例中制备的式(i)、(ii)、(ii)和(iv)的各具体化合物中的相应基团。In another preferred example, each group such as X, R1 , R2 , R3 , R4 , R7 , R8 , R9 , R10a and the like is independently the formula (i), The corresponding groups in each of the specific compounds of (ii), (ii) and (iv).

在另一优选例中,所述化合物为:In another preferred embodiment, the compound is:

(±)(Z)-氮-(3-溴-4-氟苯基)-氮'-羟基-4-((2-(氮,硫-二甲基亚砜亚胺)乙基)氨基)-1,2,5-噁二唑-3-甲脒(±)(Z)-Nitrogen-(3-bromo-4-fluorophenyl)-nitrogen'-hydroxy-4-((2-(nitrogen, sulfur-dimethylsulfoxide)ethyl)amino) -1,2,5-oxadiazole-3-carboxamidine

(±)(Z)-氮-(3-溴-4-氟苯基)-氮'-羟基-4-((3-(硫-甲基-氮乙基亚砜亚胺)乙基)氨基)-1,2,5-噁二唑-3-甲脒(±)(Z)-Nitrogen-(3-bromo-4-fluorophenyl)-nitrogen'-hydroxy-4-((3-(thio-methyl-azoethylsulfoxide)ethyl)amino )-1,2,5-oxadiazole-3-carboxamidine

(±)(Z)-氮-(3-溴-4-氟苯基)-氮'-羟基-4-((3-(硫-甲基-氮异丙基亚砜亚胺)乙基)氨基)-1,2,5-噁二唑-3-甲脒(±)(Z)-Nitrogen-(3-bromo-4-fluorophenyl)-nitrogen'-hydroxy-4-((3-(thio-methyl-azaisopropyl sulfoximine)ethyl) amino)-1,2,5-oxadiazole-3-carboxamidine

(±)(Z)-氮-(3-溴-4-氟苯基)-氮'-羟基-4-((3-(硫-甲基-氮环丙基亚砜亚胺)乙基)氨基)-1,2,5-噁二唑-3-甲脒(±)(Z)-Nitrogen-(3-bromo-4-fluorophenyl)-nitrogen'-hydroxy-4-((3-(thio-methyl-nitrocyclopropylsulfimide)ethyl) amino)-1,2,5-oxadiazole-3-carboxamidine

(±)(Z)-氮-(3-溴-4-氟苯基)-氮'-羟基-4-((3-(硫-甲基-氮(2,2,2-三氟乙基)亚砜亚胺)乙基)氨基)-1,2,5-噁二唑-3-甲脒(±)(Z)-Nitrogen-(3-bromo-4-fluorophenyl)-nitrogen'-hydroxy-4-((3-(thio-methyl-nitrogen(2,2,2-trifluoroethyl) ) sulfoximine) ethyl) amino)-1,2,5-oxadiazole-3-carboxamidine

(±)(Z)-氮-(3-溴-4-氟苯基)-氮'-羟基-4-((3-(硫-甲基-氮(2-氟乙基)亚砜亚胺)乙基)氨基)-1,2,5-噁二唑-3-甲脒(±)(Z)-Nitrogen-(3-bromo-4-fluorophenyl)-nitrogen'-hydroxy-4-((3-(thio-methyl-nitrogen(2-fluoroethyl)sulfoxide) )ethyl)amino)-1,2,5-oxadiazole-3-carboxamidine

(±)(Z)-氮-(3-溴-4-氟苯基)-氮'-羟基-4-((2-(1-氧-3,4,5,6-四氢-1λ6,2-噻嗪-1-基)乙基)氨基)-1,2,5-噁二唑-3-甲脒(±)(Z)-Nitrogen-(3-bromo-4-fluorophenyl)-nitrogen'-hydroxy-4-((2-(1-oxo-3,4,5,6-tetrahydro-1λ6, 2-thiazin-1-yl)ethyl)amino)-1,2,5-oxadiazole-3-carboxamidine

(±)(Z)-氮-(3-溴-4-氟苯基)-氮'-羟基-4-((3-(硫-甲基-氮环丙基亚砜亚胺)乙基)氨基)-1,2,5-噁二唑-3-甲脒(±)(Z)-Nitrogen-(3-bromo-4-fluorophenyl)-nitrogen'-hydroxy-4-((3-(thio-methyl-nitrocyclopropylsulfimide)ethyl) amino)-1,2,5-oxadiazole-3-carboxamidine

(±)(Z)-氮-(3-溴-4-氟苯基)-氮'-羟基-4-((3-(硫-甲基-氮环丁基基亚砜亚胺)乙基)氨基)-1,2,5-噁二唑-3-甲脒(±)(Z)-Nitrogen-(3-bromo-4-fluorophenyl)-nitrogen'-hydroxy-4-((3-(thio-methyl-nitrocyclobutylsulfimide)ethyl )amino)-1,2,5-oxadiazole-3-carboxamidine

(±)(Z)-氮-(3-溴-4-氟苯基)-氮'-羟基-4-((2-(硫-甲基-氮-苯基亚砜亚胺)乙基)氨基)-1,2,5-噁二唑-3-甲脒(±)(Z)-Nitrogen-(3-bromo-4-fluorophenyl)-nitrogen'-hydroxy-4-((2-(thio-methyl-nitrogen-phenylsulfimide)ethyl) amino)-1,2,5-oxadiazole-3-carboxamidine

(±)(Z)-氮-(3-溴-4-氟苯基)-氮'-羟基-4-((2-(硫-甲基-氮-(4-氟苯基亚砜亚胺)乙基)氨基)-1,2,5-噁二唑-3-甲脒(±)(Z)-Nitrogen-(3-bromo-4-fluorophenyl)-nitrogen'-hydroxy-4-((2-(thio-methyl-nitrogen-(4-fluorophenylsulfoxide) )ethyl)amino)-1,2,5-oxadiazole-3-carboxamidine

(±)(Z)-氮-(3-溴-4-氟苯基)-氮'-羟基-4-((2-(硫-甲基-氮-(4-氯苯基亚砜亚胺)乙基)氨基)-1,2,5-噁二唑-3-甲脒(±)(Z)-Nitrogen-(3-bromo-4-fluorophenyl)-nitrogen'-hydroxy-4-((2-(thio-methyl-nitrogen-(4-chlorophenylsulfoxide) )ethyl)amino)-1,2,5-oxadiazole-3-carboxamidine

(±)(Z)-氮-(3-溴-4-氟苯基)-氮'-羟基-4-((2-(硫-甲基-氮-(苯胺基甲酰)亚砜亚胺)乙基)氨基)-1,2,5-噁二唑-3-甲脒(±)(Z)-Nitrogen-(3-bromo-4-fluorophenyl)-nitrogen'-hydroxy-4-((2-(thio-methyl-nitrogen-(anilinoyl)sulfoxide) )ethyl)amino)-1,2,5-oxadiazole-3-carboxamidine

(±)(Z)-氮-(3-溴-4-氟苯基)-氮'-羟基-4-((2-(硫-甲基-氮-(甲基胺基甲酰)亚砜亚胺)乙基)氨基)-1,2,5-噁二唑-3-甲脒(±)(Z)-Nitrogen-(3-bromo-4-fluorophenyl)-nitrogen'-hydroxy-4-((2-(thio-methyl-nitrogen-(methylcarbamoyl)sulfoxide imino)ethyl)amino)-1,2,5-oxadiazole-3-carboxamidine

(±)(Z)-氮-(3-溴-4-氟苯基)-氮'-羟基-4-((2-(硫-甲基-氮-(异丙基胺基甲酰)亚砜亚胺)乙基)氨基)-1,2,5-噁二唑-3-甲脒(±)(Z)-Nitrogen-(3-bromo-4-fluorophenyl)-nitrogen'-hydroxy-4-((2-(thio-methyl-nitrogen-(isopropylcarbamoyl)idene) sulfoximine)ethyl)amino)-1,2,5-oxadiazole-3-carboxamidine

(±)(Z)-氮-(3-溴-4-氟苯基)-氮'-羟基-4-((2-(硫-甲基-氮-苯基亚砜亚胺)乙基)氨基)-1,2,5-噁二唑-3-甲脒(±)(Z)-Nitrogen-(3-bromo-4-fluorophenyl)-nitrogen'-hydroxy-4-((2-(thio-methyl-nitrogen-phenylsulfimide)ethyl) amino)-1,2,5-oxadiazole-3-carboxamidine

(±)(Z)-氮-(3-溴-4-氟苯基)-氮'-羟基-4-((2-(硫-甲基-氮-(甲酰甲酯)亚砜亚胺)乙基)氨基)-1,2,5-噁二唑-3-甲脒(±)(Z)-Nitrogen-(3-bromo-4-fluorophenyl)-nitrogen'-hydroxy-4-((2-(thio-methyl-nitrogen-(formylmethyl)sulfoxide) )ethyl)amino)-1,2,5-oxadiazole-3-carboxamidine

(±)(Z)-氮-(3-溴-4-氟苯基)-氮'-羟基-4-((2-(硫-甲基-氮-(甲酰乙酯)亚砜亚胺)乙基)氨基)-1,2,5-噁二唑-3-甲脒(±)(Z)-Nitrogen-(3-bromo-4-fluorophenyl)-nitrogen'-hydroxy-4-((2-(thio-methyl-nitrogen-(formylethyl ester)sulfoxide) )ethyl)amino)-1,2,5-oxadiazole-3-carboxamidine

(±)(Z)-氮-(3-溴-4-氟苯基)-氮'-羟基-4-((2-(硫-甲基-氮-(甲酰异丙酯)亚砜亚胺)乙基)氨基)-1,2,5-噁二唑-3-甲脒(±)(Z)-Nitrogen-(3-bromo-4-fluorophenyl)-nitrogen'-hydroxy-4-((2-(thio-methyl-nitrogen-(formylisopropyl)sulfoxide) Amine)ethyl)amino)-1,2,5-oxadiazole-3-carboxamidine

(±)(Z)-氮-(3-溴-4-氟苯基)-氮'-羟基-4-((2-(硫-甲基-氮-(甲磺酰基)亚砜亚胺)乙基)氨基)-1,2,5-噁二唑-3-甲脒(±)(Z)-Nitrogen-(3-bromo-4-fluorophenyl)-nitrogen'-hydroxy-4-((2-(thio-methyl-nitrogen-(methylsulfonyl)sulfoxide) Ethyl)amino)-1,2,5-oxadiazole-3-carboxamidine

(±)(Z)-氮-(3-溴-4-氟苯基)-氮'-羟基-4-((2-(硫-甲基-氮-(苯磺酰基)亚砜亚胺)乙基)氨基)-1,2,5-噁二唑-3-甲脒(±)(Z)-Nitrogen-(3-bromo-4-fluorophenyl)-nitrogen'-hydroxy-4-((2-(thio-methyl-nitrogen-(benzenesulfonyl)sulfimide) Ethyl)amino)-1,2,5-oxadiazole-3-carboxamidine

(±)(Z)-氮-(3-溴-4-氟苯基)-氮'-羟基-4-((2-(硫-甲基-氮-(氮-苯氨基磺酰基)亚砜亚胺)乙基)氨基)-1,2,5-噁二唑-3-甲脒(±)(Z)-nitrogen-(3-bromo-4-fluorophenyl)-nitrogen'-hydroxy-4-((2-(thio-methyl-nitrogen-(nitrogen-phenylaminosulfonyl)sulfoxide) imino)ethyl)amino)-1,2,5-oxadiazole-3-carboxamidine

(±)(Z)-氮-(3-溴-4-氟苯基)-氮'-羟基-4-((2-(硫-甲基-氮-(氨甲酰基)亚砜亚胺)乙基)氨基)-1,2,5-噁二唑-3-甲脒(±)(Z)-Nitrogen-(3-bromo-4-fluorophenyl)-nitrogen'-hydroxy-4-((2-(thio-methyl-nitrogen-(carbamoyl)sulfimide) Ethyl)amino)-1,2,5-oxadiazole-3-carboxamidine

(±)(Z)-氮-(3-氯-4-氟苯基)-氮'-羟基-4-((2-(氮,硫-二甲基亚砜亚胺)乙基)氨基)-1,2,5-噁二唑-3-甲脒(±)(Z)-Nitrogen-(3-chloro-4-fluorophenyl)-nitrogen'-hydroxy-4-((2-(nitrogen, sulfur-dimethylsulfoxide)ethyl)amino) -1,2,5-oxadiazole-3-carboxamidine

(±)(Z)-氮-(3-氯-4-氟苯基)-氮'-羟基-4-((3-(硫-甲基-氮乙基亚砜亚胺)乙基)氨基)-1,2,5-噁二唑-3-甲脒(±)(Z)-Nitrogen-(3-chloro-4-fluorophenyl)-nitrogen'-hydroxy-4-((3-(thio-methyl-azoethylsulfimide)ethyl)amino )-1,2,5-oxadiazole-3-carboxamidine

(±)(Z)-氮-(3-三氟甲基苯基)-氮'-羟基-4-((3-(硫-甲基-氮异丙基亚砜亚胺)乙基)氨基)-1,2,5-噁二唑-3-甲脒(±)(Z)-Nitrogen-(3-trifluoromethylphenyl)-nitrogen'-hydroxy-4-((3-(thio-methyl-azaisopropylsulfoximine)ethyl)amino )-1,2,5-oxadiazole-3-carboxamidine

(±)(Z)-氮-(3-三氟甲基苯基)-氮'-羟基-4-((3-(硫-甲基-氮环丙基亚砜亚胺)乙基)氨基)-1,2,5-噁二唑-3-甲脒(±)(Z)-Nitrogen-(3-trifluoromethylphenyl)-nitrogen'-hydroxy-4-((3-(thio-methyl-nitrocyclopropylsulfoxide)ethyl)amino )-1,2,5-oxadiazole-3-carboxamidine

(±)(Z)-氮-(3-氯-4-氟苯基)-氮'-羟基-4-((3-(硫-甲基-氮环丁基基亚砜亚胺)乙基)氨基)-1,2,5-噁二唑-3-甲脒(±)(Z)-Nitrogen-(3-chloro-4-fluorophenyl)-nitrogen'-hydroxy-4-((3-(thio-methyl-nitrocyclobutylsulfimide)ethyl )amino)-1,2,5-oxadiazole-3-carboxamidine

(±)(Z)-氮-(3-氯-4-氟苯基)-氮'-羟基-4-((2-(硫-甲基-氮-苯基亚砜亚胺)乙基)氨基)-1,2,5-噁二唑-3-甲脒(±)(Z)-Nitrogen-(3-chloro-4-fluorophenyl)-nitrogen'-hydroxy-4-((2-(thio-methyl-nitrogen-phenylsulfimide)ethyl) amino)-1,2,5-oxadiazole-3-carboxamidine

(±)(Z)-氮-(3-三氟甲基苯基)-氮'-羟基-4-((2-(硫-甲基-氮-(4-氟苯基亚砜亚胺)乙基)氨基)-1,2,5-噁二唑-3-甲脒(±)(Z)-Nitrogen-(3-trifluoromethylphenyl)-nitrogen'-hydroxy-4-((2-(thio-methyl-nitrogen-(4-fluorophenylsulfimide)) Ethyl)amino)-1,2,5-oxadiazole-3-carboxamidine

(±)(Z)-氮-(3-氯-4-氟苯基)-氮'-羟基-4-((2-(硫-甲基-氮-(4-氯苯基亚砜亚胺)乙基)氨基)-1,2,5-噁二唑-3-甲脒(±)(Z)-Nitrogen-(3-chloro-4-fluorophenyl)-nitrogen'-hydroxy-4-((2-(thio-methyl-nitrogen-(4-chlorophenylsulfoxide) )ethyl)amino)-1,2,5-oxadiazole-3-carboxamidine

(±)(Z)-氮-(3-氯-4-氟苯基)-氮'-羟基-4-((2-(硫-甲基-氮-(苯胺基甲酰)亚砜亚胺)乙基)氨基)-1,2,5-噁二唑-3-甲脒(±)(Z)-nitrogen-(3-chloro-4-fluorophenyl)-nitrogen'-hydroxy-4-((2-(thio-methyl-nitrogen-(anilinoyl)sulfoxide) )ethyl)amino)-1,2,5-oxadiazole-3-carboxamidine

(±)(Z)-氮-(3-氯-4-氟苯基)-氮'-羟基-4-((2-(硫-甲基-氮-(甲基胺基甲酰)亚砜亚胺)乙基)氨基)-1,2,5-噁二唑-3-甲脒(±)(Z)-Nitrogen-(3-chloro-4-fluorophenyl)-nitrogen'-hydroxy-4-((2-(thio-methyl-nitrogen-(methylcarbamoyl)sulfoxide imino)ethyl)amino)-1,2,5-oxadiazole-3-carboxamidine

(±)(Z)-氮-(3-三氟甲基苯基)-氮'-羟基-4-((2-(硫-甲基-氮-(异丙基胺基甲酰)亚砜亚胺)乙基)氨基)-1,2,5-噁二唑-3-甲脒(±)(Z)-Nitrogen-(3-trifluoromethylphenyl)-nitrogen'-hydroxy-4-((2-(thio-methyl-nitrogen-(isopropylcarbamoyl)sulfoxide imino)ethyl)amino)-1,2,5-oxadiazole-3-carboxamidine

(±)(Z)-氮-(3-氯-4-氟苯基)-氮'-羟基-4-((2-(硫-甲基-氮-苯基亚砜亚胺)乙基)氨基)-1,2,5-噁二唑-3-甲脒(±)(Z)-Nitrogen-(3-chloro-4-fluorophenyl)-nitrogen'-hydroxy-4-((2-(thio-methyl-nitrogen-phenylsulfimide)ethyl) amino)-1,2,5-oxadiazole-3-carboxamidine

(±)(Z)-氮-(3-氯-4-氟苯基)-氮'-羟基-4-((2-(硫-甲基-氮-(甲酰甲酯)亚砜亚胺)乙基)氨基)-1,2,5-噁二唑-3-甲脒(±)(Z)-Nitrogen-(3-chloro-4-fluorophenyl)-nitrogen'-hydroxy-4-((2-(thio-methyl-nitrogen-(formylmethyl)sulfoxide) )ethyl)amino)-1,2,5-oxadiazole-3-carboxamidine

(±)(Z)-氮-(3-三氟甲基苯基)-氮'-羟基-4-((2-(硫-甲基-氮-(甲酰乙酯)亚砜亚胺)乙基)氨基)-1,2,5-噁二唑-3-甲脒(±)(Z)-Nitrogen-(3-trifluoromethylphenyl)-nitrogen'-hydroxy-4-((2-(thio-methyl-nitrogen-(formylethyl ester)sulfimide) Ethyl)amino)-1,2,5-oxadiazole-3-carboxamidine

(±)(Z)-氮-(3-氯-4-氟苯基)-氮'-羟基-4-((2-(硫-甲基-氮-(甲酰异丙酯)亚砜亚胺)乙基)氨基)-1,2,5-噁二唑-3-甲脒(±)(Z)-Nitrogen-(3-chloro-4-fluorophenyl)-nitrogen'-hydroxy-4-((2-(thio-methyl-nitrogen-(formylisopropyl)sulfoxide) Amine)ethyl)amino)-1,2,5-oxadiazole-3-carboxamidine

(±)(Z)-氮-(3-氯-4-氟苯基)-氮'-羟基-4-((2-(硫-甲基-氮-(甲磺酰基)亚砜亚胺)乙基)氨基)-1,2,5-噁二唑-3-甲脒(±)(Z)-Nitrogen-(3-chloro-4-fluorophenyl)-nitrogen'-hydroxy-4-((2-(thio-methyl-nitrogen-(methylsulfonyl)sulfimide) Ethyl)amino)-1,2,5-oxadiazole-3-carboxamidine

(±)(Z)-氮-(3-三氟甲基苯基)-氮'-羟基-4-((2-(硫-甲基-氮-(苯磺酰基)亚砜亚胺)乙基)氨基)-1,2,5-噁二唑-3-甲脒(±)(Z)-Nitrogen-(3-trifluoromethylphenyl)-nitrogen'-hydroxy-4-((2-(thio-methyl-nitrogen-(benzenesulfonyl)sulfoximine)ethyl base)amino)-1,2,5-oxadiazole-3-carboxamidine

(±)(Z)-氮-(3-氯-4-氟苯基)-氮'-羟基-4-((2-(硫-甲基-氮-(氮-苯氨基磺酰基)亚砜亚胺)乙基)氨基)-1,2,5-噁二唑-3-甲脒(±)(Z)-nitrogen-(3-chloro-4-fluorophenyl)-nitrogen'-hydroxy-4-((2-(thio-methyl-nitrogen-(nitrogen-phenylaminosulfonyl)sulfoxide) imino)ethyl)amino)-1,2,5-oxadiazole-3-carboxamidine

(±)(Z)-氮-(3-氯-4-氟苯基)-氮'-羟基-4-((2-(硫-甲基-氮-(氨甲酰基)亚砜亚胺)乙基)氨基)-1,2,5-噁二唑-3-甲脒(±)(Z)-Nitrogen-(3-chloro-4-fluorophenyl)-nitrogen'-hydroxy-4-((2-(thio-methyl-nitrogen-(carbamoyl)sulfimide) Ethyl)amino)-1,2,5-oxadiazole-3-carboxamidine

在另一优选例中,所述的化合物是实施例中所制备的化合物1-9。In another preferred embodiment, the compounds are compounds 1-9 prepared in the examples.

在另一优选例中,所述的化合物是外消旋体。In another preferred embodiment, the compound is a racemate.

在另一优选例中,所述的化合物是对映异构体。In another preferred embodiment, the compound is an enantiomer.

在另一优选例中,所述药学上可接受的盐选自下组:盐酸盐、氢溴酸盐、硫酸盐、磷酸盐、甲磺酸盐、三氟甲磺酸盐、苯磺酸盐、对甲苯磺酸盐(甲苯磺酸盐)、1-萘磺酸盐、2-萘磺酸盐、乙酸盐、三氟乙酸盐、苹果酸盐、酒石酸盐、柠檬酸盐、乳酸盐、草酸盐、琥珀酸盐、富马酸盐、马来酸盐、苯甲酸盐、水杨酸盐、苯乙酸盐、扁桃酸盐。In another preferred embodiment, the pharmaceutically acceptable salt is selected from the group consisting of hydrochloride, hydrobromide, sulfate, phosphate, methanesulfonate, trifluoromethanesulfonate, benzenesulfonic acid Salt, p-toluenesulfonate (toluenesulfonate), 1-naphthalenesulfonate, 2-naphthalenesulfonate, acetate, trifluoroacetate, malate, tartrate, citrate, milk acid salt, oxalate, succinate, fumarate, maleate, benzoate, salicylate, phenylacetate, mandelate.

本发明的第二方面,提供第一方面所述的通式(i)化合物的制备方法,包括以下步骤:The second aspect of the present invention provides the preparation method of the compound of general formula (i) described in the first aspect, comprising the following steps:

Figure BDA0000937932730000081
Figure BDA0000937932730000081

(a)化合物P1与R3OBF4反应,得到化合物P2;(a) compound P1 reacts with R3 OBF4 to obtain compound P2;

(b)化合物P1与ArB(OH)2和Cu(OAc)2反应,得到化合物P3;(b) Compound P1 reacts with ArB(OH)2 and Cu(OAc)2 to obtain compound P3;

(c)化合物P2或P3在氢氧化钠存在下(如氢氧化钠水溶液)开环,得到终产物P4或P5,即通式(I)化合物。(c) Compound P2 or P3 is ring-opened in the presence of sodium hydroxide (such as an aqueous sodium hydroxide solution) to obtain the final product P4 or P5, that is, the compound of general formula (I).

本发明的通式(i)化合物也可由以下的制备方法获得,包括以下步骤:The compound of general formula (i) of the present invention can also be obtained by the following preparation method, including the following steps:

Figure BDA0000937932730000091
Figure BDA0000937932730000091

(a)化合物P1与R-N=C=O或ClSO2R2反应,得到化合物P6或P7;(a) Compound P1 reacts with RN=C=O or ClSO2 R2 to obtain compound P6 or P7;

(b)化合物P6或P7在氢氧化钠存在下(如氢氧化钠水溶液)开环,得到终产物P8或P9,即通式(I)化合物。(b) The compound P6 or P7 is ring-opened in the presence of sodium hydroxide (such as an aqueous sodium hydroxide solution) to obtain the final product P8 or P9, that is, the compound of the general formula (I).

本发明也提供了第三种通式(i)化合物的制备方法,包括以下步骤:The present invention also provides the preparation method of the compound of the third general formula (i), comprising the following steps:

Figure BDA0000937932730000092
Figure BDA0000937932730000092

(a)化合物D在酸的催化下与化合物E和一个还原剂反应,得到化合物F;(a) compound D reacts with compound E and a reducing agent under the catalysis of acid to obtain compound F;

(b)化合物F在碱水解条件下(如氢氧化钠水溶液)开环,得到终产物通式(I)化合物。(b) Compound F is ring-opened under alkaline hydrolysis conditions (eg, aqueous sodium hydroxide solution) to obtain the final product compound of general formula (I).

本发明也提供了第四种通式(i)化合物的制备方法,包括以下步骤:The present invention also provides the preparation method of the fourth general formula (i) compound, comprising the following steps:

Figure BDA0000937932730000101
Figure BDA0000937932730000101

各式中,R1、R3、R4、R7、R8、R9、n、m、X及环A的定义如上所示。In each formula, R1 , R3 , R4 , R7 , R8 , R9 , n, m, X and ring A are as defined above.

本发明中以丙二氰为起始原料,经过一系列的氧化,加成,环合、重氮化、取代等反应得到化合物P1。In the present invention, propanedicyanide is used as the starting material, and compound P1 is obtained through a series of reactions such as oxidation, addition, cyclization, diazotization, and substitution.

本发明的第三方面,提供第一方面所述的通式(i)化合物的用途,用于:The third aspect of the present invention provides the use of the compound of general formula (i) described in the first aspect for:

(i)制备吲哚胺-2,3-双加氧酶抑制剂;(i) preparation of an indoleamine-2,3-dioxygenase inhibitor;

(ii)制备预防和/或治疗吲哚胺-2,3-双加氧酶介导的疾病的药物;或(ii) the manufacture of a medicament for the prevention and/or treatment of indoleamine-2,3-dioxygenase mediated diseases; or

(iii)制备抗炎药物。(iii) Preparation of anti-inflammatory drugs.

在另一优选例中,所述吲哚胺-2,3-双加氧酶介导的疾病为IDO介导的色氨酸代谢途径的病理学特征的疾病。In another preferred embodiment, the disease mediated by indoleamine-2,3-dioxygenase is a disease with pathological characteristics of IDO-mediated tryptophan metabolic pathway.

在另一优选例中,所述吲哚胺-2,3-双加氧酶介导的疾病为癌症、眼疾、心里障碍、抑郁症、焦虑症、老年痴呆症和/或自身免疫性疾病。In another preferred embodiment, the disease mediated by indoleamine-2,3-dioxygenase is cancer, eye disease, heart disorder, depression, anxiety, Alzheimer's disease and/or autoimmune disease.

在另一优选例中,所述癌症包括但不限于:结肠癌、乳腺癌、胃癌、肺癌、大肠癌、胰腺癌、卵巢癌、前列腺癌、肾癌、肝癌、脑癌、黑色素瘤、多发性骨髓瘤、慢性粒细胞性白血病、血液肿瘤、淋巴肿瘤,包括在其他远离肿瘤原发部位的组织或器官的转移病变。In another preferred embodiment, the cancer includes but is not limited to: colon cancer, breast cancer, stomach cancer, lung cancer, colorectal cancer, pancreatic cancer, ovarian cancer, prostate cancer, kidney cancer, liver cancer, brain cancer, melanoma, multiple Myeloma, chronic myeloid leukemia, hematological neoplasms, lymphoid neoplasms, including metastases in other tissues or organs distant from the primary site of the tumor.

本发明的第四方面,提供一种药物组合物,所述药物组合物包含:A fourth aspect of the present invention provides a pharmaceutical composition comprising:

第一方面的通式(I)化合物或其药学上可以接受的盐、其立体异构体或其互变异构体、或其前药;以及A compound of general formula (I) of the first aspect, or a pharmaceutically acceptable salt thereof, a stereoisomer or tautomer thereof, or a prodrug thereof; and

药学上可接受的载体。A pharmaceutically acceptable carrier.

本发明的第五方面,提供一种药物组合物,所述药物组合物包含:A fifth aspect of the present invention provides a pharmaceutical composition comprising:

第一方面所述的通式(i)化合物或其药学上可以接受的盐、其立体异构体或其互变异构体、或其前药;以及The compound of general formula (i) described in the first aspect or a pharmaceutically acceptable salt thereof, a stereoisomer or tautomer thereof, or a prodrug thereof; and

抗肿瘤药物。Antineoplastic drugs.

在另一优选例中,所述抗肿瘤药物包括但不限于癌症的免疫治疗药物:PD-1抗体,CTLA-4抗体,PD-L1抗体,PD-L2抗体,任何一种其它化疗药物或靶向治疗药物,例如HDAC抑制剂和EP4拮抗剂。In another preferred embodiment, the anti-tumor drugs include but are not limited to cancer immunotherapy drugs: PD-1 antibody, CTLA-4 antibody, PD-L1 antibody, PD-L2 antibody, any other chemotherapeutic drugs or targets To therapeutic drugs, such as HDAC inhibitors and EP4 antagonists.

本发明的第六方面,提供一种预防和/或治疗吲哚胺-2,3-双加氧酶介导的疾病的方法,包括对患者给予第一方面所述的通式(i)化合物或第四或第五方面所述的药物组合物的步骤。The sixth aspect of the present invention provides a method for preventing and/or treating indoleamine-2,3-dioxygenase-mediated diseases, comprising administering the compound of general formula (i) described in the first aspect to a patient or the step of the pharmaceutical composition of the fourth or fifth aspect.

在另一优选例中,所述吲哚胺-2,3-双加氧酶介导的疾病为癌症,所述方法进一步包含对患者施用额外的抗癌剂(也称为抗肿瘤药物,所述抗肿瘤药物如上所述)的步骤。In another preferred embodiment, the disease mediated by indoleamine-2,3-dioxygenase is cancer, and the method further comprises administering to the patient an additional anticancer agent (also known as an antitumor drug, the The steps of the antineoplastic drug described above).

本发明的通式(i)化合物,具有抗肿瘤、治疗神经退行疾病(阿尔茨海默病)、抗炎等多种药理活性。The compound of general formula (i) of the present invention has various pharmacological activities such as anti-tumor, treatment of neurodegenerative diseases (Alzheimer's disease), and anti-inflammatory.

应理解,在本发明范围内中,本发明的上述各技术特征和在下文(如实施例)中具体描述的各技术特征之间都可以互相组合,从而构成新的或优选的技术方案。限于篇幅,在此不再一一赘述。It should be understood that within the scope of the present invention, the above-mentioned technical features of the present invention and the technical features specifically described in the following (eg, the embodiments) can be combined with each other to form new or preferred technical solutions. Due to space limitations, they will not be repeated here.

具体实施方案specific implementation

本发明人经过广泛而深入地研究,首次意外研发出一种新型的包含亚砜亚胺和1,2,5-噁二唑结构的化合物,该化合物可作为高效的IDO酶抑制剂,用于预防和/或治疗吲哚胺-2,3-双加氧酶介导的疾病,也可作为抗炎药物使用。在此基础上,完成了本发明。After extensive and in-depth research, the inventors unexpectedly developed a novel compound containing sulfoximine and 1,2,5-oxadiazole structures for the first time, which can be used as a highly effective IDO enzyme inhibitor for Prevention and/or treatment of indoleamine-2,3-dioxygenase-mediated diseases, and also as an anti-inflammatory drug. On this basis, the present invention has been completed.

定义definition

术语“烷基”是指一价饱和脂族烃基,具有1至10个碳原子,包括直链和支链烃基,如甲基(即CH3-)、乙基(即CH3CH2-)、正丙基(即CH3CH2CH2-)、异丙基(即(CH3)2CH-)、正丁基(即CH3CH2CH2CH2-)、异丁基(即(CH3)2CHCH2-)、仲丁基(即(CH3)(CH3CH2)CH-)、叔丁基(即(CH3)3C-)、正戊基(即CH3CH2CH2CH2CH2-)、新戊基(即(CH3)3CCH2-)。在本发明中,该术语包括取代或未取代的烷基。The term "alkyl" refers to a monovalent saturated aliphatic hydrocarbon group, having from 1 to 10 carbon atoms, including straight and branched chain hydrocarbon groups, such as methyl (ie,CH3- ), ethyl (ie,CH3CH2-) , n-propyl (ie CH3 CH2 CH2 -), isopropyl (ie (CH3 )2 CH-), n-butyl (ie CH3 CH2 CH2 CH2 -), isobutyl (ie (CH3 )2 CHCH2 -), sec-butyl (ie (CH3 )(CH3 CH2 )CH-), tert-butyl (ie (CH3 )3 C-), n-pentyl (ie CH3CH2CH2CH2CH2-) , neopentyl( ie (CH3)3CCH2-) . In the present invention, the term includes substituted or unsubstituted alkyl groups.

如本文所用,术语“取代或未取代的”指所述基团可以是未取代的,或者所述基团中的H被一个或多个(较佳地1-6个,更佳地1-3个)取代基所取代。As used herein, the term "substituted or unsubstituted" means that the group may be unsubstituted, or that the H in the group is replaced by one or more (preferably 1-6, more preferably 1- 3) substituents.

如本文所用,所述的“取代”或“取代的”指所述基团具有一个或多个(较佳地1-6个,更佳地1-3个)选自下组的取代基:卤素、羟基、-NH2、硝基、-CN、C1-C4烷基、C1-C4卤代烷基、C1-C4烷氧基、C3-C6环烷基、C2-C4链烯基、C2-C4炔基、苯基、苄基。As used herein, "substituted" or "substituted" means that the group has one or more (preferably 1-6, more preferably 1-3) substituents selected from the group consisting of: Halogen, hydroxyl, -NH2 , nitro, -CN, C1-C4 alkyl, C1 -C4 haloalkyl, C1 -C4 alkoxy, C3 -C6 cycloalkyl, C2 -C4 alkenyl, C2 -C4 alkynyl, phenyl, benzyl.

如本文所用,术语“环烷基”指取代或未取代的C3-C12环烷基。As used herein, the term "cycloalkyl" refers to substituted or unsubstituted C3-C12 cycloalkyl.

如本文所用,术语“烷氧基”指-O-烷基,其中所述烷基可以是饱和或不饱和的、可以是支链、直链的、或环状的。优选地,烷氧基具有1-10个碳原子,较佳地1-6个碳原子。代表性的例子包括(但并不限于):甲氧基、乙氧基、丙氧基。As used herein, the term "alkoxy" refers to an -O-alkyl group, wherein the alkyl group may be saturated or unsaturated, branched, linear, or cyclic. Preferably, the alkoxy group has 1-10 carbon atoms, preferably 1-6 carbon atoms. Representative examples include, but are not limited to: methoxy, ethoxy, propoxy.

如本文所用,术语“芳基”是指6至20个(较佳6-14个)碳原子的单价芳香族碳环基团,它具有单环(如苯基)或稠环(如萘基或蒽基),如果连接点在芳香碳原上,稠环可能是非芳香性的(如2-苯并噁唑酮,2H-1,4-苯并噁嗪-3(4H)-酮-7-基等)。优选的芳基包括苯基和萘基。该术语包括取代或未取代的形式,其中取代基的定义如上。As used herein, the term "aryl" refers to a monovalent aromatic carbocyclic group of 6 to 20 (preferably 6 to 14) carbon atoms having a single ring (eg, phenyl) or a fused ring (eg, naphthyl). or anthracenyl), if the point of attachment is on an aromatic carbon, the fused ring may be non-aromatic (e.g. 2-benzoxazolone, 2H-1,4-benzoxazin-3(4H)-one-7 - base, etc.). Preferred aryl groups include phenyl and naphthyl. The term includes substituted or unsubstituted forms, wherein the substituents are as defined above.

如本文所用,术语“烯基”是指具有2至10(如2至6或2至4)个碳原子的烯基,且具有至少1(如1至2)个不饱和烯键(>C=C<)。这类基团的例如有乙烯基、烯丙基、丁-3-烯基。如本文所用,术语“环烷基”是指具有3至10个碳原子的、具有单环或多环(包括稠合体系,桥环体系和螺环体系)的环状烷基。在稠环体系中,一个或多个环可以是环烷基、杂环的、芳基或杂芳基,只要连接位点是通过环烷基的环。合适的环烷基的例子包括:例如,金刚烷基、环丙基、环丁基、环戊基和环辛基。As used herein, the term "alkenyl" refers to an alkenyl group having 2 to 10 (eg 2 to 6 or 2 to 4) carbon atoms and having at least 1 (eg 1 to 2) ethylenically unsaturated bonds (>C =C<). Examples of such groups are vinyl, allyl, but-3-enyl. As used herein, the term "cycloalkyl" refers to a cyclic alkyl group having 3 to 10 carbon atoms, having a monocyclic or polycyclic ring (including fused systems, bridged ring systems and spiro ring systems). In a fused ring system, one or more of the rings may be cycloalkyl, heterocyclic, aryl, or heteroaryl, so long as the point of attachment is through the cycloalkyl ring. Examples of suitable cycloalkyl groups include, for example, adamantyl, cyclopropyl, cyclobutyl, cyclopentyl, and cyclooctyl.

如本文所用,术语“卤代”或“卤素”是指氟、氯、溴和碘。As used herein, the term "halo" or "halogen" refers to fluorine, chlorine, bromine and iodine.

如本文所用,术语“杂芳基”是指环内具有1至10个碳原子和1至4个选自氧、氮和硫的杂原子的芳香基团,这样的杂芳基可以是单环的(如吡啶基或呋喃基)或稠环(如吲嗪基(indolizinyl)或苯并噻吩基),其中,所述稠环可以是非芳香性的和/或含有一个杂原子,只要连接点是通过芳香性杂芳基的原子。在一实施例中,杂芳基的环原子氮和/或硫任选地被氧化为N-氧化物(N-O),亚磺酰基或磺酰基。优选地杂芳基包括吡啶基、吡咯基、吲哚基、噻吩基和呋喃基。该术语包括取代或未取代的杂芳基。As used herein, the term "heteroaryl" refers to an aromatic group having 1 to 10 carbon atoms and 1 to 4 heteroatoms selected from oxygen, nitrogen and sulfur in the ring, such heteroaryl groups may be monocyclic (eg pyridyl or furyl) or fused rings (eg indolizinyl or benzothienyl), wherein the fused ring may be non-aromatic and/or contain a heteroatom, as long as the point of attachment is through Atom of an aromatic heteroaryl group. In one embodiment, the ring atom nitrogen and/or sulfur of the heteroaryl group is optionally oxidized to an N-oxide (N-O), a sulfinyl group or a sulfonyl group. Preferred heteroaryl groups include pyridyl, pyrrolyl, indolyl, thienyl and furyl. The term includes substituted or unsubstituted heteroaryl groups.

如本文所用,术语“取代的杂芳基”是指被1至5个、优选1至3个、更优选1至2个的取代基所取代的杂芳基,所述取代基选自与取代的芳基所定义的相同取代基。As used herein, the term "substituted heteroaryl" refers to a heteroaryl group substituted with 1 to 5, preferably 1 to 3, more preferably 1 to 2, substituents selected from and substituted The same substituents as defined for the aryl group.

如本文所用,术语“杂环”或“杂环的”或“杂环烷基”或“杂环基”是指饱和的、部分饱和的或不饱和的基团(但不是芳香性的),具有单环或稠环(包括桥环体系和螺环体系,环内具有1至10个碳原子和1至4个选自氮、硫或氧的杂原子,在稠环体系中,一个或多个环可以是环烷基、芳基或杂芳基,只要连接点通过非芳香性环。在一实施例中,杂环基团的氮原子和/或硫原子任选地被氧化,以提供N-氧化物、亚磺酰基和磺酰基部分。As used herein, the term "heterocycle" or "heterocyclic" or "heterocycloalkyl" or "heterocyclyl" refers to a saturated, partially saturated or unsaturated group (but not aromatic), Has a single ring or a fused ring (including bridged ring systems and spiro ring systems, with 1 to 10 carbon atoms and 1 to 4 heteroatoms selected from nitrogen, sulfur or oxygen in the ring, and in the fused ring system, one or more A ring can be a cycloalkyl, aryl or heteroaryl, so long as the point of attachment is through a non-aromatic ring. In one embodiment, the nitrogen and/or sulfur atoms of the heterocyclic group are optionally oxidized to provide N-oxide, sulfinyl and sulfonyl moieties.

如本文所用,术语“取代的杂环的”或“取代的杂环烷基”或“取代的杂环基”是指被1到5(如1至3)个取代基所取代的杂环基团,所述取代基与取代的环烷基所定义的取代基相同。As used herein, the term "substituted heterocyclic" or "substituted heterocycloalkyl" or "substituted heterocyclyl" refers to a heterocyclyl group substituted with 1 to 5 (eg 1 to 3) substituents group, the substituents are the same as those defined for substituted cycloalkyl.

如本文所用,术语“立体异构体”是指一个或多个立体中心的手性不同的化合物。立体异构体包括对映异构体和非对映异构体。As used herein, the term "stereoisomer" refers to compounds that differ in the chirality of one or more stereocenters. Stereoisomers include enantiomers and diastereomers.

如本文所用,术语“互变异构体”是指质子位置不同的化合物的替代形式,如烯醇-酮和亚胺-烯胺互变异构体,或杂芳基的互变异构形式,所述杂芳基包含与环的-NH-部分和环的=N-部分连接的环原子,如吡唑、咪唑、苯并咪唑、三唑和四唑。As used herein, the term "tautomer" refers to alternative forms of compounds that differ in the position of the proton, such as enol-keto and imine-enamine tautomers, or tautomeric forms of heteroaryl groups , the heteroaryl group contains ring atoms attached to the -NH- part of the ring and the =N- part of the ring, such as pyrazole, imidazole, benzimidazole, triazole and tetrazole.

“前药”是指实施例化合物的任何衍生物,当被施用于受试者时,其能够直接或间接地提供实施例的化合物或其活性代谢物或残余物。特别优选的衍生物和前药是那些,当被施用于受试者时,提高实施例化合物的生物利用度(如口服给药的化合物更容易被吸收进入血液)或相对于母体种类提高母体化合物到生物区室(如脑或淋巴系统)的运送的衍生物和前药。前药包括本发明化合物的酯类形式。"Prodrug" refers to any derivative of an example compound that, when administered to a subject, is capable of providing, directly or indirectly, an example compound or its active metabolite or residue. Particularly preferred derivatives and prodrugs are those that, when administered to a subject, increase the bioavailability of an example compound (eg, an orally administered compound is more readily absorbed into the bloodstream) or increase the parent compound relative to the parent species Derivatives and prodrugs for delivery to biological compartments such as the brain or lymphatic system. Prodrugs include ester forms of the compounds of the present invention.

本发明化合物Compounds of the present invention

如本文所用,术语“本发明化合物”指具有本发明通式结构的化合物,包括通式(i)或通式(ii)化合物、其外消旋体、其立体异构体或其互变异构体、或前药、或其药学上可以接受的盐。应理解,该术语还包括式(iii)及本发明说明书和权利要求中其它通式所示的化合物、其外消旋体、其立体异构体或其互变异构体、或其药学,上可以接受的盐。As used herein, the term "compounds of the present invention" refers to compounds having the general structure of the present invention, including compounds of general formula (i) or general formula (ii), their racemates, their stereoisomers, or their tautomers Conforms, or prodrugs, or pharmaceutically acceptable salts thereof. It should be understood that this term also includes compounds of formula (iii) and other general formulas in the specification and claims of the present invention, their racemates, their stereoisomers or their tautomers, or their pharmaceuticals, acceptable salt.

本发明涉及:这些化合物的外消旋混合物,富集任一种对映体的混合物,以及任一种分离的对映体。对于本发明的范围,应当理解为,所述外消旋混合物指两种R和S对映体50%:50%的混合物。所述分离的对映体应理解为纯的对映体(即100%)或者高度富集某种对映体(纯度≥98%、≥95%、≥93%、≥90%、≥88%、≥85%、≥80%)的混合物。The present invention relates to racemic mixtures of these compounds, mixtures enriched in either enantiomer, and any isolated enantiomer. For the scope of the present invention, it should be understood that the racemic mixture refers to a 50%:50% mixture of the two R and S enantiomers. Said isolated enantiomer should be understood as pure enantiomer (ie 100%) or highly enriched for an enantiomer (purity ≥98%, ≥95%, ≥93%, ≥90%, ≥88% , ≥85%, ≥80%) mixture.

典型地,本发明提供通式(i)化合物或其药学上可以接受的盐、其立体异构体或其互变异构体、或前药,Typically, the present invention provides a compound of general formula (i) or a pharmaceutically acceptable salt thereof, a stereoisomer or tautomer thereof, or a prodrug thereof,

Figure BDA0000937932730000131
Figure BDA0000937932730000131

式中,In the formula,

R7和R8各自独立为氢、取代或未取代的C1-C10烷基、取代或未取代的C3-C10环烷基、取代或未取代的C2-C10烯基、取代或未取代的C3-C10炔基、取代或未取代的C6-C20芳基、或取代或未取代的C3-C14杂芳基;R7和R8可以一起可以形成三至八元环或三至八元杂环,其中杂原子可以是硫、氧、NH或NRfR7 and R8 are each independently hydrogen, substituted or unsubstituted C1 -C10 alkyl, substituted or unsubstituted C3 -C10 cycloalkyl, substituted or unsubstituted C2 -C10 alkenyl, Substituted or unsubstituted C3 -C10 alkynyl, substituted or unsubstituted C6 -C20 aryl, or substituted or unsubstituted C3 -C14 heteroaryl; R7 and R8 together may form A three- to eight-membered ring or a three- to eight-membered heterocyclic ring, wherein the heteroatom can be sulfur, oxygen, NH or NRf ;

R9为C6-C20芳基、五元或六元杂芳基;R9可以被一个或多个选自下组的基团取代:卤素、C1-C6烷基、C1-C6烷氧基、羟基、氨基、硝基、醛基、-CF3、-CN、-SF5、NRaRb、羧基、-CORa、-CO2C1-C6烷基、-CONRaRb、-SO2Ra、-SO2NRaRb、-P(O)Me2、-P(O)(OMe)2;其中各Ra和各Rb各自独立为氢、取代或未取代的C1-C10烷基、取代或未取代的C3-C10环烷基、取代或未取代的C2-C10烯基、取代或未取代的C6-C20芳基、或取代或未取代的C3-C14杂芳基;Ra和Rb可以一起可以形成三至八元环或四至八元杂环,其中杂原子可以是硫、氧、NH或NRgR9 is C6 -C20 aryl, five- or six-membered heteroaryl; R9 may be substituted by one or more groups selected from the group consisting of halogen, C1 -C6 alkyl, C1 - C6 alkoxy, hydroxyl, amino, nitro, aldehyde, -CF3 , -CN, -SF5 , NRa Rb , carboxyl, -CORa , -CO2 C1 -C6 alkyl, - CONRa Rb , -SO2 Ra , -SO2 NRa Rb , -P(O)Me2 , -P(O)(OMe)2 ; wherein each Ra and each Rb are independently hydrogen, substituted or unsubstituted C1 -C10 alkyl, substituted or unsubstituted C3 -C10 cycloalkyl, substituted or unsubstituted C2 -C10 alkenyl, substituted or unsubstituted C6 -C20 aryl radicals, or substituted or unsubstituted C3 -C14 heteroaryl groups; Ra and Rb can together form a three- to eight-membered ring or a four- to eight-membered heterocyclic ring, wherein the heteroatom can be sulfur, oxygen, NH or NRg ;

R2为C1-C12烷基、C6-C20芳基、C5-C20杂芳基、-SO2Re、-SO2NRaRb或-C(O)NRaRbR2 is C1 -C12 alkyl, C6 -C20 aryl, C5 -C20 heteroaryl, -SO2 Re , -SO2 NRa Rb or -C(O)NRa Rb ;

X为一个单键、O,S、NH或NRdX is a single bond, O, S, NH or NRd ;

R3和R4各自独立为氢、取代或未取代的C1-C10烷基;R3和R4可以一起可以形成三至八元环或三至八元杂环,其中杂原子可以是硫、氧、NH或NRhR3 and R4 are each independently hydrogen, substituted or unsubstituted C1 -C10 alkyl; R3 and R4 together can form a three- to eight-membered ring or a three- to eight-membered heterocycle, wherein the heteroatom can be Sulfur, oxygen, NH or NRh ;

R1、Rd、Re、Rf、Rg、Rh独立地为C1-C10烷基、C3-C10环烷基、C6-C20芳基、或C3-C14杂芳基;R1可以被一个或多个选自下组的基团取代:卤素、羟基、氨基、硝基、氰基、醛基、羧基、烷氧基、-CF3、-SF5R1 , Rd ,Re , Rf , Rg , andRh are independently C1 -C10 alkyl, C3 -C10 cycloalkyl, C6 -C20 aryl, or C3 -C14 Heteroaryl; R1 may be substituted by one or more groups selected from the group consisting of halogen, hydroxyl, amino, nitro, cyano, aldehyde, carboxyl, alkoxy, -CF3 , -SF5 ;

R1和Rd可以连接形成六至八元环;R1 and Rd can be linked to form a six- to eight-membered ring;

R1和R3可以连接形成五至八元环;R1 and R3 can be linked to form a five- to eight-membered ring;

n为2至8;n is 2 to 8;

环A为1,2,5-噁二唑环;Ring A is a 1,2,5-oxadiazole ring;

m为0至2。m is 0 to 2.

在另一优选例中,所述通式(a)化合物为:In another preferred embodiment, the compound of general formula (a) is:

Figure BDA0000937932730000141
Figure BDA0000937932730000141

其中R1为C1-C10烷基、C3-C10环烷基、C1-C10烯基、芳基、或杂芳基,R1可以被一个或多个卤素取代;wherein R1 is C1 -C10 alkyl, C3 -C10 cycloalkyl, C1 -C10 alkenyl, aryl, or heteroaryl, and R1 may be substituted by one or more halogens;

R2为C1-C12烷基、C6-C20芳基、C5-C20杂芳基、-SO2Re、-SO2NRaRb或-C(O)NRaRbR2 is C1 -C12 alkyl, C6 -C20 aryl, C5 -C20 heteroaryl, -SO2 Re , -SO2 NRa Rb or -C(O)NRa Rb ;

R10和R11分别独立为氢、卤素、C1-C6烷基、C1-C6烷氧基、C2-C6炔基、羟基、氨基、硝基、氰基、醛基、-CF3、-CN、-SF5、NRaRb、羧基、-CO2C1-C6烷基、-CONRaRb、-SO2Ra、SO2NRaRb取代;Ra和Rb的定义如前所述;R10 and R11 are independently hydrogen, halogen, C1 -C6 alkyl, C1 -C6 alkoxy, C2 -C6 alkynyl, hydroxyl, amino, nitro, cyano, aldehyde, -CF3 , -CN, -SF5 , NRa Rb , carboxyl, -CO2 C1 -C6 alkyl, -CONRa Rb , -SO2 Ra , SO2 NRa Rb substituted; Ra and Rb are defined as before;

n为1至8。n is 1 to 8.

在另一优选例中,本发明还提供了式(a)的前药:In another preferred embodiment, the present invention also provides the prodrug of formula (a):

Figure BDA0000937932730000151
Figure BDA0000937932730000151

式中,各基团的定义如上所述。In the formula, the definition of each group is as described above.

在本发明的一个优选地实施方式中,本发明提供了一种通式(I)化合物或其药学上可以接受的盐、其立体异构体或其互变异构体、或前药:In a preferred embodiment of the present invention, the present invention provides a compound of general formula (I) or a pharmaceutically acceptable salt thereof, a stereoisomer or a tautomer thereof, or a prodrug:

Figure BDA0000937932730000152
Figure BDA0000937932730000152

式中,In the formula,

R7和R8各自独立为氢、取代或未取代的C1-C10烷基、取代或未取代的C3-C10环烷基、取代或未取代的C2-C10烯基、取代或未取代的C3-C10炔基、取代或未取代的C6-C20芳基、或取代或未取代的C3-C14杂芳基;R7和R8可以一起可以形成三至八元环或三至八元杂环,其中杂原子可以是硫、氧、NH或NRfR7 and R8 are each independently hydrogen, substituted or unsubstituted C1 -C10 alkyl, substituted or unsubstituted C3 -C10 cycloalkyl, substituted or unsubstituted C2 -C10 alkenyl, Substituted or unsubstituted C3 -C10 alkynyl, substituted or unsubstituted C6 -C20 aryl, or substituted or unsubstituted C3 -C14 heteroaryl; R7 and R8 together may form A three- to eight-membered ring or a three- to eight-membered heterocyclic ring, wherein the heteroatom can be sulfur, oxygen, NH or NRf ;

R9为C6-C20芳基、C5-C20杂芳基;R9可以被一个或多个选自下组的基团取代:卤素、C1-C6烷基、C1-C6烷氧基、羟基、氨基、硝基、醛基、-CF3、-CN、-SF5、NRaRb、羧基、-CORa、-CO2C1-C6烷基、-CONRaRb、-SO2Re、-SO2NRaRb、-P(O)Me2、-P(O)(OMe)2;其中各Ra和各Rb各自独立为氢、取代或未取代的C1-C10烷基、取代或未取代的C3-C10环烷基、取代或未取代的C2-C10烯基、取代或未取代的C6-C20芳基、或取代或未取代的C3-C14杂芳基;Ra和Rb可以一起可以形成三至八元环或四至八元杂环,其中杂原子可以是硫、氧、NH或NRgR9 is C6 -C20 aryl, C5 -C20 heteroaryl; R9 may be substituted by one or more groups selected from the group consisting of halogen, C1 -C6 alkyl, C1 - C6 alkoxy, hydroxyl, amino, nitro, aldehyde, -CF3 , -CN, -SF5 , NRa Rb , carboxyl, -CORa , -CO2 C1 -C6 alkyl, - CONRa Rb , -SO2Re , -SO2 NRa Rb , -P(O)Me2 , -P(O)(OMe)2 ; wherein each Ra and each Rb are independently hydrogen, Substituted or unsubstituted C1 -C10 alkyl, substituted or unsubstituted C3 -C10 cycloalkyl, substituted or unsubstituted C2 -C10 alkenyl, substituted or unsubstituted C6 -C20 Aryl, or substituted or unsubstituted C3 -C14 heteroaryl; Ra and Rb can be taken together to form a three- to eight-membered ring or a four- to eight-membered heterocycle, wherein the heteroatom can be sulfur, oxygen, NH orNRg ;

R2为C1-C12烷基、C6-C20芳基、C5-C20杂芳基、C1-C4烷基-苯基、C1-C4烷基-C5杂环、-C(O)ORe;-SO2Re、-SO2NRaRb或-C(O)NRaRbR2 is C1 -C12 alkyl, C6 -C20 aryl, C5 -C20 heteroaryl, C1 -C4 alkyl-phenyl, C1 -C4 alkyl-C5 hetero Ring, -C(O)ORe ; -SO2 Re , -SO2 NRa Rb or -C(O)NRa Rb ;

X为一个单键、O,S、NH或NRdX is a single bond, O, S, NH or NRd ;

R3和R4各自独立为氢、取代或未取代的C1-C10烷基;R3和R4可以一起可以形成三至八元环或三至八元杂环,其中杂原子可以是硫、氧、NH或NRhR3 and R4 are each independently hydrogen, substituted or unsubstituted C1 -C10 alkyl; R3 and R4 together can form a three- to eight-membered ring or a three- to eight-membered heterocycle, wherein the heteroatom can be Sulfur, oxygen, NH or NRh ;

R1、Rd、Re、Rf、Rg、Rh独立地为C1-C10烷基、C3-C10环烷基、C6-C20芳基、或C3-C14杂芳基;R1和R2可以被一个或多个选自下组的基团取代:卤素、羟基、氨基、硝基、氰基、醛基、羧基、烷氧基、-CF3、-SF5R1 , Rd ,Re , Rf , Rg , andRh are independently C1 -C10 alkyl, C3 -C10 cycloalkyl, C6 -C20 aryl, or C3 -C14 Heteroaryl; R1 and R2 may be substituted by one or more groups selected from the group consisting of halogen, hydroxyl, amino, nitro, cyano, aldehyde, carboxyl, alkoxy, -CF3 ,-SF5 ;

R1和R2可以被一个或多个卤素、烷氧基和氰基取代;R1 and R2 may be substituted with one or more halogen, alkoxy and cyano groups;

R1和R2可以连接形成四至八元环;R1 and R2 can be linked to form a four- to eight-membered ring;

R1和Rd可以连接形成六至八元环;R1 and Rd can be linked to form a six- to eight-membered ring;

R1和R3可以连接形成五至八元环;R1 and R3 can be linked to form a five- to eight-membered ring;

n为2至8的整数;n is an integer from 2 to 8;

m为0、1或2。m is 0, 1 or 2.

在另一个优选地实施方式中,本发明提供的所述化合物如通式(II)所示,In another preferred embodiment, the compound provided by the present invention is represented by general formula (II),

Figure BDA0000937932730000161
Figure BDA0000937932730000161

式中,In the formula,

R9为C6-C20芳基、C5-C20杂芳基;R9可以被一个或多个选自下组的基团取代:卤素、C1-C6烷基、C1-C6烷氧基、羟基、氨基、硝基、醛基、-CF3、-CN、-SF5、NRaRb、羧基、-CORa、-CO2C1-C6烷基、-CONRaRb、-SO2Re、-SO2NRaRbR9 is C6 -C20 aryl, C5 -C20 heteroaryl; R9 may be substituted by one or more groups selected from the group consisting of halogen, C1 -C6 alkyl, C1 - C6 alkoxy, hydroxyl, amino, nitro, aldehyde, -CF3 , -CN, -SF5 , NRa Rb , carboxyl, -CORa , -CO2 C1 -C6 alkyl, - CONRa Rb , -SO2Re , -SO2 NRa Rb ;

其中,Ra、Rb、R3、R4、R1的定义如权利要求1所述;Wherein, the definitions of Ra , Rb , R3 , R4 , and R1 are as described in claim 1;

R2为C1-C12烷基、C6-C20芳基、C5-C20杂芳基、C1-C4烷基-苯基、C1-C4烷基-C5杂环、-C(O)ORe;-SO2Re、-SO2NRaRb或-C(O)NRaRbR2 is C1 -C12 alkyl, C6 -C20 aryl, C5 -C20 heteroaryl, C1 -C4 alkyl-phenyl, C1 -C4 alkyl-C5 heterocycle , -C(O)ORe ; -SO2Re , -SO2 NRa Rb or -C(O)NRa Rb ;

R1和R2可以被一个或多个卤素、烷氧基和氰基取代;R1 and R2 may be substituted with one or more halogen, alkoxy and cyano groups;

R1和R2可以连接形成四至八元环;R1 and R2 can be linked to form a four- to eight-membered ring;

n为2-6的整数。n is an integer of 2-6.

在本发明另一个优选地实施方式中,本发明提供的所述化合物如通式(III)所示,In another preferred embodiment of the present invention, the compound provided by the present invention is represented by the general formula (III),

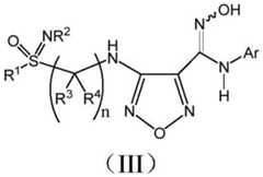
Figure BDA0000937932730000162
Figure BDA0000937932730000162

式中,In the formula,

Ar为苯环,五元或六元杂芳基,Ar可以被一个或多个选自下组的基团取代:卤素、C1-C6烷基、C1-C6烷氧基、羟基、氨基、硝基、醛基、-CF3、-CN、-SF5、NRaRb、羧基、-CORa、-CO2C1-C6烷基、-CONRaRb、-SO2Re、-SO2NRaRbAr is a benzene ring, a five- or six-membered heteroaryl group, and Ar may be substituted by one or more groups selected from the group consisting of halogen, C1 -C6 alkyl, C1 -C6 alkoxy, hydroxyl , amino, nitro, aldehyde, -CF3 , -CN, -SF5 , NRa Rb , carboxyl, -CORa , -CO2 C1 -C6 alkyl, -CONRa Rb , -SO2Re , -SO2 NRa Rb ;

R2为C1-C12烷基、C6-C20芳基、C5-C20杂芳基、C1-C4烷基-苯基、C1-C4烷基-C5杂环、-C(O)ORe;-SO2Re、-SO2NRaRb或-C(O)NRaRbR2 is C1 -C12 alkyl, C6 -C20 aryl, C5 -C20 heteroaryl, C1 -C4 alkyl-phenyl, C1 -C4 alkyl-C5 heterocycle , -C(O)ORe ; -SO2Re , -SO2 NRa Rb or -C(O)NRa Rb ;

Ra、Rb、R3、R4、R1的定义如权利要求1所述;The definitions of Ra , Rb , R3 , R4 , and R1 are as described in claim 1;

R1和R2可以被一个或多个卤素、烷氧基和氰基取代;R1 and R2 may be substituted with one or more halogen, alkoxy and cyano groups;

R1和R2可以连接形成四至八元环;R1 and R2 can be linked to form a four- to eight-membered ring;

n为2-6的整数。n is an integer of 2-6.

在本发明另一个优选地实施方式中,R1为C1-C4烷基;In another preferred embodiment of the present invention, R1 is C1 -C4 alkyl;

R2为C1-C6烷基、苯基、C5-C20杂芳基、-C(O)ORe;-SO2Re、-SO2NRaRb或-C(O)NRaRbR2 is C1 -C6 alkyl, phenyl, C5 -C20 heteroaryl, -C(O)ORe ; -SO2 Re , -SO2 NRa Rb or -C(O) NRa Rb ;

Ra、Rb的定义如权利要求1所述;The definitions of Ra and Rb are as described in claim 1;

R1和R2可以连接形成四至八元环;R1 and R2 can be linked to form a four- to eight-membered ring;

R3和R4各自独立为氢;R3 and R4 are each independently hydrogen;

n为2-6的整数。n is an integer of 2-6.

在本发明另一个优选地实施方式中,本发明提供了所述的通式(I)化合物的前药,如通式(IV)所示,In another preferred embodiment of the present invention, the present invention provides the prodrug of the compound of general formula (I), as shown in general formula (IV),

Figure BDA0000937932730000171
Figure BDA0000937932730000171

式中,In the formula,

R1、R2、R3、R4和R9的定义如权利要求1所述;R1 , R2 , R3 , R4 and R9 are as defined in claim 1;

R10a为取代或未取代的C6-C20芳基、取代或未取代的五元或六元杂芳基、取代或未取代的C1-C12烷基、取代或未取代的C1-C12烷氧基,取代或未取代的C3-C12环烷基,C3-C12环烷氧基、NRaRb;其中,Ra、Rb的定义如权利要求1所述,R10a is substituted or unsubstituted C6 -C20 aryl, substituted or unsubstituted five- or six-membered heteroaryl, substituted or unsubstituted C1 -C12 alkyl, substituted or unsubstituted C1 -C12 alkoxy, substituted or unsubstituted C3 -C12 cycloalkyl, C3 -C12 cycloalkoxy, NRa Rb ; wherein, Ra and Rb are as defined in claim 1 stated,

其中,所述的“取代”指具有一个或多个选自下组的取代基:卤素、羟基、-NH2、硝基、-CN、C1-C4烷基、C1-C4卤代烷基、C1-C4烷氧基、C3-C6环烷基、C2-C4链烯基、C2-C4炔基、苯基、苄基。Wherein, the "substituted" refers to having one or more substituents selected from the group consisting of halogen, hydroxyl, -NH2 , nitro, -CN, C1-C4 alkyl, C1-C4 haloalkyl, C1- C4 alkoxy, C3-C6 cycloalkyl, C2-C4 alkenyl, C2-C4 alkynyl, phenyl, benzyl.

在本发明所述的化合物有立体异构体存在的情况下,本发明包括化合物的所有立体异构体。Where the compounds of the present invention exist as stereoisomers, the present invention includes all stereoisomers of the compounds.

在本发明所述的化合物有互变异构体存在的情况下,本发明包括化合物的所有互变异构体。Where the compounds of the present invention exist as tautomers, the present invention includes all tautomers of the compounds.

本发明还包括所述化合物中的任何一个或多个氢原子被其稳定同位素氘取代而产生的氘代化合物。The present invention also includes deuterated compounds resulting from the substitution of any one or more of the hydrogen atoms in the compound with its stable isotope deuterium.

药物组合物pharmaceutical composition

本发明还提供了一种药物组合物,它包含安全有效量范围内的活性成分,以及药学上可接受的载体。The present invention also provides a pharmaceutical composition comprising the active ingredient in a safe and effective amount, and a pharmaceutically acceptable carrier.

本发明所述的“活性成分”是指本发明所述的通式(I)化合物或其药学上可以接受的盐、其立体异构体或其互变异构体、或其前药。The "active ingredient" in the present invention refers to the compound of general formula (I) or its pharmaceutically acceptable salt, its stereoisomer or its tautomer, or its prodrug.

本发明所述的“活性成分”和药物组合物可用作IDO抑制剂。在另一优选例中,用于制备预防和/或治疗肿瘤的药物。在另一优选例中,用于制备预防和/或治疗IDO介导的疾病的药物。The "active ingredients" and pharmaceutical compositions of the present invention are useful as IDO inhibitors. In another preferred example, it is used to prepare a medicament for preventing and/or treating tumors. In another preferred embodiment, it is used to prepare a medicament for preventing and/or treating IDO-mediated diseases.

“安全有效量”指的是:活性成分的量足以明显改善病情,而不至于产生严重的副作用。通常,药物组合物含有1-2000mg活性成分/剂,更佳地,含有10-200mg活性成分/剂。较佳地,所述的“一剂”为一个药片。A "safe and effective amount" refers to an amount of the active ingredient sufficient to significantly improve the condition without causing serious side effects. Typically, the pharmaceutical composition contains 1-2000 mg of active ingredient/dose, more preferably 10-200 mg of active ingredient/dose. Preferably, the "one dose" is one tablet.

“药学上可接受的载体”指的是:一种或多种相容性固体或液体填料或凝胶物质,它们适合于人使用,而且必须有足够的纯度和足够低的毒性。“相容性”在此指的是组合物中各组份能和本发明的活性成分以及它们之间相互掺和,而不明显降低活性成分的药效。"Pharmaceutically acceptable carrier" refers to one or more compatible solid or liquid filler or gel substances which are suitable for human use and which must be of sufficient purity and sufficiently low toxicity. "Compatibility" as used herein means that the components of the composition can be blended with the active ingredients of the present invention and with each other without significantly reducing the efficacy of the active ingredients.

本发明优选实施例的化合物可以作为单独活性药剂给药,也可以与一个或多个其它用于治疗癌症的试剂组合使用。本发明优选实施例的化合物与已知的治疗剂和抗癌剂组合使用也是有效的,目前已知的化合物和其它抗癌剂或化疗剂的组合在优选实施例范围之内。这类药剂的例子可参见《癌症原理和实践肿瘤学》(Cancer Principles and Practiceof Oncology),V.T.Devita和S.Hellman(编者),第6版(2001年2月15日),LippincottWilliams &Wilkins出版社。基于药物的特殊性质和所涉及的癌症,本领域普通技术人员能够辨别有效的药剂组合。这种抗癌剂包括(但不限于)如下:雌激素受体调节剂、雄激素受体调节剂、视黄醇类受体调节剂、细胞毒性/细胞生长抑制剂、抗增殖剂、异戊烯基蛋白转移酶抑制剂、取乙酰酶(HDAC)抑制剂、HMG-CoA还原酶抑制剂和其他血管生成抑制剂、细胞增殖和生存信号抑制剂、凋亡诱导剂和干扰细胞周期检查点(cell cycle checkpoint)的试剂、CTLA4抗体、PD-1抗体、PD-L1抗体等。优选实施例的化合物与放射治疗同时施用时也有效。The compounds of the preferred embodiments of this invention may be administered as the sole active agent or in combination with one or more other agents useful in the treatment of cancer. The compounds of the preferred embodiments of the present invention are also effective in combination with known therapeutic and anticancer agents, and combinations of presently known compounds with other anticancer or chemotherapeutic agents are within the scope of the preferred embodiments. Examples of such agents can be found in Cancer Principles and Practice of Oncology, V.T. Devita and S. Hellman (eds.), 6th edition (February 15, 2001), Lippincott Williams & Wilkins Publishers. Based on the specific properties of the drug and the cancer involved, one of ordinary skill in the art would be able to discern effective combinations of agents. Such anticancer agents include, but are not limited to, the following: estrogen receptor modulators, androgen receptor modulators, retinol receptor modulators, cytotoxic/cytostatic agents, antiproliferative agents, isoprene Alkenyl protein transferase inhibitors, acetyltransferase (HDAC) inhibitors, HMG-CoA reductase inhibitors and other angiogenesis inhibitors, cell proliferation and survival signaling inhibitors, apoptosis inducers and interfering with cell cycle checkpoints ( cell cycle checkpoint) reagents, CTLA4 antibody, PD-1 antibody, PD-L1 antibody, etc. The compounds of the preferred embodiments are also effective when administered concurrently with radiation therapy.

通常,优选实施例的化合物将以治疗有效量、通过具有类似作用的药剂的任意一种可接受的模式施用。优选实施例的化合物(即活性成分)的实际用量根据多个因素确定,如待治疗疾病的严重程度、患者的年龄和相对健康程度、被使用化合物的效力、施用的路径和形式,以及其他因素。该药物可一天施用多次,优选地,每天一次或两次。所有这些因素都在主治医生的考虑范围内。Generally, the compounds of the preferred embodiments will be administered in a therapeutically effective amount by any one of the acceptable modes of administration of agents having similar effects. The actual amount of the compound of the preferred embodiment (ie, the active ingredient) is determined according to a number of factors, such as the severity of the disease to be treated, the age and relative health of the patient, the potency of the compound being used, the route and form of administration, and other factors . The drug may be administered several times a day, preferably, once or twice a day. All of these factors are within the consideration of the attending physician.

优选实施例的目的,治疗有效剂量通常可以是对患者一次性施用或分次施用的每日总剂量,例如,每日约0.001至约1000毫克/公斤体重,优选地,每日约1.0至约30毫克/千克体重。单位剂量组合物(Dosage unit composition)可包含其剂量因数以形成每日剂量。剂型的选择取决于各种因素,例如给药模式和药物物质的生物利用度。通常,优选实施例的化合物可作为药物组合物通过以下任意一种路线给药:口服、全身给药(如透皮、鼻内或通过栓剂)、或肠外给药(如肌内、静脉内或皮下)。优选的给药方式为口服,可根据苦的程度调节方便的日剂量。组合物可采取的形式为片剂、丸剂、胶囊、半固体、粉剂、缓释制剂、溶液、悬浮液、酏剂、气雾剂或任何其他适当的组合物。另一种优选的施用优选实施例化合物的方式为吸入。这是一种将治疗剂直接运送给呼吸道的有效方法(参见,如美国专利号5,607,915)。For purposes of preferred embodiments, a therapeutically effective dose may generally be a total daily dose administered to a patient in one or divided doses, eg, about 0.001 to about 1000 mg/kg body weight per day, preferably about 1.0 to about 30 mg/kg body weight. Dosage unit compositions can contain dosage factors thereof to form the daily dose. The choice of dosage form depends on various factors, such as the mode of administration and the bioavailability of the drug substance. Generally, the compounds of the preferred embodiments can be administered as pharmaceutical compositions by any of the following routes: oral, systemic (eg, transdermal, intranasal, or via suppository), or parenteral (eg, intramuscular, intravenous or subcutaneous). The preferred mode of administration is oral, and a convenient daily dose can be adjusted according to the degree of bitterness. The compositions may take the form of tablets, pills, capsules, semisolids, powders, sustained release formulations, solutions, suspensions, elixirs, aerosols, or any other suitable composition. Another preferred mode of administration of the compounds of the preferred embodiments is by inhalation. This is an efficient method of delivering therapeutic agents directly to the respiratory tract (see, eg, US Pat. No. 5,607,915).

合适的药学上可接受的载体或赋形剂包括:如处理剂和药物运送改性剂和促进剂,诸如磷酸钙、硬脂酸镁、滑石、单糖、二糖、淀粉、明胶、纤维素、甲基纤维素钠、羧甲基纤维素、葡萄糖、羟丙基-B-环糊精、聚乙烯吡咯烷酮、低熔点蜡、离子交换树脂等,及其任意两种或多种的组合。液体和半固体的赋形剂可以选自甘油、丙二醇、水、乙醇和各种油,包括石油、动物油、植物油或合成来源,如花生油、豆油、矿物油、芝麻油等。优选的液体载体,特别是用于可注射溶液的载体,包括水、盐水、葡萄糖水性溶液和乙二醇。其它适宜的药学上可接受的赋形剂在《雷明顿药物科学》(Remington’s Pharmaceutical Sciences),MackPub.Co.,新泽西(1991)有描述,通过引用纳入本文。Suitable pharmaceutically acceptable carriers or excipients include, for example, processing agents and drug delivery modifiers and enhancers, such as calcium phosphate, magnesium stearate, talc, monosaccharides, disaccharides, starch, gelatin, cellulose , sodium methylcellulose, carboxymethylcellulose, glucose, hydroxypropyl-B-cyclodextrin, polyvinylpyrrolidone, low-melting wax, ion exchange resin, etc., and any combination of two or more thereof. Liquid and semi-solid excipients can be selected from glycerol, propylene glycol, water, ethanol and various oils including petroleum, animal, vegetable or synthetic sources such as peanut oil, soybean oil, mineral oil, sesame oil and the like. Preferred liquid carriers, especially for injectable solutions, include water, saline, aqueous dextrose and glycols. Other suitable pharmaceutically acceptable excipients are described in Remington's Pharmaceutical Sciences, MackPub. Co., New Jersey (1991), incorporated herein by reference.

如本文所用,术语“药学上可接受的盐”是指通式I化合物的非毒性酸或碱土金属盐。这些盐可在最终分离和纯化通式I化合物时原位制得、或分别将合适的有机或无机酸或碱与碱性或酸性官能团反应制得。代表性的盐包括,但不限于:乙酸盐、己二酸盐、藻酸盐、柠檬酸盐、天冬氨酸盐、苯甲酸盐、苯磺酸盐、硫酸氢盐、丁酸盐、樟脑酸盐、樟脑磺酸盐、二葡糖酸盐、环戊烷丙酸盐、十二烷基硫酸盐、乙磺酸盐、葡萄糖庚酸盐、甘油磷酸盐、半硫酸盐、庚酸盐、己酸盐、富马酸盐、盐酸盐、氢溴酸盐、氢碘酸盐、2-羟基乙磺酸盐、乳酸盐、马来酸盐、甲磺酸盐、烟酸盐、2-萘基磺酸盐、草酸盐、双羟萘酸盐、果胶酸盐、硫氰酸盐、3-苯基丙酸盐、苦味酸盐、新戊酸盐、丙酸盐、琥珀酸盐、硫酸盐、酒石酸盐、硫氰酸盐、对甲苯磺酸盐和十一烷酸盐。此外,含氮的碱性基团可被如下试剂季铵盐化:烷基卤化物,如甲基、乙基、丙基、丁基的氯化物、溴化物和碘化物;二烷基硫酸盐,如二甲基、二乙基、二丁基和二戊基硫酸酯;长链卤化物如癸基、月桂基、肉豆蔻基和硬脂基的氯化物、溴化物和碘化物;芳烷基卤化物如苄基和苯乙基溴化物等。由此得到水溶性或油溶性或可分散产品。可被用于形成药学上可接受的酸加成盐的酸的例子包括如盐酸、硫酸、磷酸的无机酸,和如草酸、马来酸、甲磺酸、琥珀酸、柠檬酸的有机酸。碱加成盐可在最终分离和纯化通式I的化合物时原位制得、或使羧酸部分分别与合适的碱(如药学上可接受的金属阳离子的氢氧化物,碳酸盐或碳酸氢盐)或氨、或有机伯、仲或叔胺反应制得。药学上可接受的盐包括,但不限于,基于碱金属和碱土金属的阳离子,如钠、锂、钾、钙、镁、铝的盐等,以及无毒的铵、季铵和胺阳离子,包括,但不限于:铵、四甲基铵、四乙基铵、甲胺、二甲胺、三甲胺、三乙胺、乙胺等。其它代表性的用于形成碱加成盐的有机胺包括二乙胺、乙二胺、乙醇胺、二乙醇胺、哌嗪等。As used herein, the term "pharmaceutically acceptable salts" refers to non-toxic acid or alkaline earth metal salts of compounds of general formula I. These salts can be prepared in situ during the final isolation and purification of the compound of general formula I, or by reacting a suitable organic or inorganic acid or base with a basic or acidic functional group, respectively. Representative salts include, but are not limited to: acetate, adipate, alginate, citrate, aspartate, benzoate, besylate, bisulfate, butyrate , camphorate, camphorsulfonate, digluconate, cyclopentane propionate, lauryl sulfate, ethanesulfonate, glucose heptanoate, glycerophosphate, hemisulfate, heptanoic acid Salt, Caproate, Fumarate, Hydrochloride, Hydrobromide, Hydroiodide, 2-Hydroxyethanesulfonate, Lactate, Maleate, Mesylate, Niacinate , 2-naphthyl sulfonate, oxalate, pamoate, pectate, thiocyanate, 3-phenylpropionate, picrate, pivalate, propionate, Succinate, sulfate, tartrate, thiocyanate, p-toluenesulfonate and undecanoate. In addition, nitrogen-containing basic groups can be quaternized with the following reagents: alkyl halides, such as methyl, ethyl, propyl, butyl chlorides, bromides and iodides; dialkyl sulfates , such as dimethyl, diethyl, dibutyl and dipentyl sulfates; long-chain halides such as decyl, lauryl, myristyl and stearyl chlorides, bromides and iodides; aralkanes base halides such as benzyl and phenethyl bromide, etc. Water- or oil-soluble or dispersible products are thus obtained. Examples of acids that can be used to form pharmaceutically acceptable acid addition salts include inorganic acids such as hydrochloric acid, sulfuric acid, phosphoric acid, and organic acids such as oxalic acid, maleic acid, methanesulfonic acid, succinic acid, citric acid. Base addition salts can be prepared in situ during the final isolation and purification of the compound of general formula I, or by separating the carboxylic acid moiety with a suitable base such as a pharmaceutically acceptable metal cation hydroxide, carbonate or carbonic acid. Hydrogen salts) or ammonia, or organic primary, secondary or tertiary amines. Pharmaceutically acceptable salts include, but are not limited to, alkali and alkaline earth metal-based cations, such as sodium, lithium, potassium, calcium, magnesium, aluminum, and the like, as well as non-toxic ammonium, quaternary ammonium, and amine cations, including , but not limited to: ammonium, tetramethylammonium, tetraethylammonium, methylamine, dimethylamine, trimethylamine, triethylamine, ethylamine, etc. Other representative organic amines for forming base addition salts include diethylamine, ethylenediamine, ethanolamine, diethanolamine, piperazine, and the like.

如本文所用,术语“药学上可接受的前药”是指那些优选实施例的化合物的前药,在体内迅速转化为上述通式所示的母体化合物的化合物,例如在血液中水解。在“T.Higuchi和V.Stella,作为新型运送系统的前药(Pro-drugs as Novel DeliverySystems),A.C.S.15Symposium Series的14卷”和“Edward B.Roche编,药物设计中的生物可逆载体(Bioreversible Carriers in Drug Design),美国药学协会和Pergamon出版社,1987年”中提供了完整的讨论,这两者都引入本文作为参考。As used herein, the term "pharmaceutically acceptable prodrug" refers to those prodrugs of the compounds of the preferred embodiments, which are rapidly converted in vivo to compounds of the parent compound of the general formula above, eg, hydrolyzed in blood. In "T. Higuchi and V. Stella, Pro-drugs as Novel Delivery Systems, Volume 14 of A.C.S. 15 Symposium Series" and "Edward B. Roche, ed., Bioreversible Carriers in Drug Design A full discussion is provided in Carriers in Drug Design), American Pharmaceutical Association and Pergamon Press, 1987, both of which are incorporated herein by reference.

下面结合具体实施例,进一步阐述本发明。应理解,这些实施例仅用于说明本发明而不用于限制本发明的范围。下列实施例中未注明具体条件的实验方法,通常按照常规条件如Sambrook等人,分子克隆:实验室手册(New York:Cold Spring Harbor LaboratoryPress,1989)中所述的条件,或按照制造厂商所建议的条件。除非另外说明,否则百分比和份数按重量计算。The present invention will be further described below in conjunction with specific embodiments. It should be understood that these examples are only used to illustrate the present invention and not to limit the scope of the present invention. The experimental method of unreceipted specific conditions in the following examples, usually according to normal conditions such as people such as Sambrook, molecular cloning: conditions described in laboratory manual (New York:Cold Spring Harbor LaboratoryPress, 1989), or according to manufacturer's recommended conditions. Percentages and parts are by weight unless otherwise indicated.

本发明的有益之处在于:The benefits of the present invention are:

(1)提供一种结构新颖的通式(I)化合物;(1) providing a compound of general formula (I) with a novel structure;

(2)本发明的化合物可以作为高效的IDO酶抑制剂;(2) The compounds of the present invention can be used as efficient IDO enzyme inhibitors;

(3)合成方法温和,操作简单易行,收率较高,易于衍生化,适合工业放大量生产;(3) the synthesis method is mild, the operation is simple and easy, the yield is high, and the derivatization is easy, and it is suitable for industrial scale-up production;

(4)具有抗肿瘤、神经退行性疾病(阿尔茨海默病)、抗炎等多种药理活性。(4) It has various pharmacological activities such as anti-tumor, neurodegenerative diseases (Alzheimer's disease), and anti-inflammatory.

除非另行定义,文中所使用的所有专业与科学用语与本领域熟练人员所熟悉的意义相同。此外,任何与所记载内容相似或均等的方法及材料皆可应用于本发明方法中。文中所述的较佳实施方法与材料仅作示范之用。Unless otherwise defined, all professional and scientific terms used herein have the same meanings as those familiar to those skilled in the art. In addition, any methods and materials similar or equivalent to those described can be used in the methods of the present invention. Methods and materials for preferred embodiments described herein are provided for illustrative purposes only.

实施例1Example 1

(±)(Z)-氮-(3-溴-4-氟苯基)-氮’-羟基-4-((2-(氮,硫-二甲基亚砜亚胺)乙基)氨基)-1,2,5-噁二唑-3-甲脒(±)(Z)-Nitrogen-(3-bromo-4-fluorophenyl)-nitrogen'-hydroxy-4-((2-(nitrogen, sulfur-dimethylsulfoxide)ethyl)amino) -1,2,5-oxadiazole-3-carboxamidine

Figure BDA0000937932730000201
Figure BDA0000937932730000201

第一步:4-氨基-氮’-羟基-1,2,5-噁二唑-3-甲脒The first step: 4-amino-nitrogen'-hydroxy-1,2,5-oxadiazole-3-carboxamidine

Figure BDA0000937932730000202
Figure BDA0000937932730000202

将丙二氰(3.2g,48.5mmol)溶于70mL水中,加热至完全溶解。冰水浴冷却下,加入亚硝酸钠(3.8g,55mmol)和6N盐酸(0.6mL)。在冰浴下反应0.5小时后,升温至室温反应2小时。将反应液继续冰浴冷却,将50%的盐酸羟胺水溶液(9.9g,150mmol)滴加入反应液,搅拌半小时后,升至室温反应1小时。加热回流反应2小时,反应完全后,冰浴下,用8mL 6N盐酸调节pH至7.0。过滤沉淀,用水和乙酸乙酯各洗一次,干燥,得到白色化合物6.0g,收率93%。Malondicyanide (3.2 g, 48.5 mmol) was dissolved in 70 mL of water and heated to complete dissolution. Under ice-water bath cooling, sodium nitrite (3.8 g, 55 mmol) and 6N hydrochloric acid (0.6 mL) were added. After reacting in an ice bath for 0.5 hours, the temperature was raised to room temperature to react for 2 hours. The reaction solution was continued to be cooled in an ice bath, and a 50% aqueous hydroxylamine hydrochloride solution (9.9 g, 150 mmol) was added dropwise to the reaction solution, stirred for half an hour, and then warmed to room temperature for 1 hour. The reaction was heated and refluxed for 2 hours. After the reaction was completed, the pH was adjusted to 7.0 with 8 mL of 6N hydrochloric acid under an ice bath. The precipitate was filtered, washed once with water and ethyl acetate, and dried to obtain 6.0 g of a white compound with a yield of 93%.

13C NMR(75MHz,DMSO-d6):δ 154.4,144.0,140.0。13 C NMR (75 MHz, DMSO-d6 ): δ 154.4, 144.0, 140.0.

MS ESI:m/z=144.0,[M+H]+.MS ESI: m/z=144.0, [M+H]+ .

第二步:4-氨基-氮-羟基-1,2,5-噁二唑-3-甲脒氯Step 2: 4-Amino-nitrogen-hydroxy-1,2,5-oxadiazole-3-carboxamidine chloride

Figure BDA0000937932730000211
Figure BDA0000937932730000211

将第一步产物(4.2g,29.4mmol)溶于30mL乙酸,分别加入水60mL,盐酸15mL和氯化钠(5.2g,88.2mmol)。冰浴下,滴加入溶于7mL水的亚硝酸钠(2.0g,29.4mmol),保持零度反应1小时,后升温至室温反应5小时。反应结束后,过滤沉淀,水洗一次,干燥,得白色固体化合物2.6g,收率55%。The product of the first step (4.2 g, 29.4 mmol) was dissolved in 30 mL of acetic acid, and 60 mL of water, 15 mL of hydrochloric acid and sodium chloride (5.2 g, 88.2 mmol) were added respectively. Under an ice bath, sodium nitrite (2.0 g, 29.4 mmol) dissolved in 7 mL of water was added dropwise, kept at zero temperature for 1 hour, and then warmed to room temperature for 5 hours. After the reaction, the precipitate was filtered, washed with water once, and dried to obtain 2.6 g of a white solid compound with a yield of 55%.

13C NMR(75MHz,DMSO-d6):δ 154.4,142.3,126.9。13 C NMR (75 MHz, DMSO-d6 ): δ 154.4, 142.3, 126.9.

MS ESI:m/z=160.9,[M+H]-.MS ESI: m/z=160.9, [M+H]- .

第三步:4-氨基-氮’-(3-溴-4-氟苯基)-1,2,5-噁二唑-3-甲脒The third step: 4-amino-nitrogen'-(3-bromo-4-fluorophenyl)-1,2,5-oxadiazole-3-carboxamidine

Figure BDA0000937932730000212
Figure BDA0000937932730000212

在60℃下,向第二步产物(41.99g,259.2mmol)的纯水(800ml)溶液中批量加入3-溴-4-氟苯胺(54.179g,285.12mmol)。反应混合液在60℃下搅拌10min,往该混合液中加入Na2CO3(41.2g,388.8mmol)的水(500ml)溶液。搅拌反应20min后LCMS显示反应完全。反应混合液冷却后过滤,用水洗,烘干得到灰色固体(70g,85%)。To a solution of the product of the second step (41.99 g, 259.2 mmol) in pure water (800 ml) at 60° C., 3-bromo-4-fluoroaniline (54.179 g, 285.12 mmol) was added in batches. The reaction mixture was stirred at 60° C. for 10 min, and to the mixture was added a solution of Na2 CO3 (41.2 g, 388.8 mmol) in water (500 ml). After stirring the reaction for 20 min, LCMS showed that the reaction was complete. The reaction mixture was cooled, filtered, washed with water, and dried to obtain a gray solid (70 g, 85%).

1H NMR(400MHz,Acetone-d6):δ 8.10(dd,1H),7.78(m,1H),7.56(t,1H),6.15(s,1H)。1 H NMR (400 MHz, Acetone-d6 ): δ 8.10 (dd, 1H), 7.78 (m, 1H), 7.56 (t, 1H), 6.15 (s, 1H).

第四步:4-氨基-氮’-(3-溴-4-氟苯基)-1,2,5-噁二唑--3-基)-1,2-4-噁二唑酮The fourth step: 4-amino-nitrogen'-(3-bromo-4-fluorophenyl)-1,2,5-oxadiazol-3-yl)-1,2-4-oxadiazolone

Figure BDA0000937932730000213
Figure BDA0000937932730000213

在室温下,将第三部产物(70g,221.5mmol)和CDI(39.8g,332.173mmol)溶解于乙酸乙酯(600ml)中并升温至60℃,搅拌反应20分钟;TLC监测反应完全,将反应混合液冷却至室温,浓反应液,将残余物用PE:EA=4:1打浆,得到灰白色固体(55g,收率为72%)。At room temperature, the third product (70 g, 221.5 mmol) and CDI (39.8 g, 332.173 mmol) were dissolved in ethyl acetate (600 ml) and the temperature was raised to 60° C. The reaction was stirred for 20 minutes; TLC monitored the completion of the reaction, and the The reaction mixture was cooled to room temperature, the reaction solution was concentrated, and the residue was slurried with PE:EA=4:1 to obtain an off-white solid (55 g, 72% yield).

1H NMR(400MHz,acetone-d6):δ 8.09(dd,1H),7.83(m,1H),6.79(t,1H)。1 H NMR (400 MHz, acetone-d6 ): δ 8.09 (dd, 1H), 7.83 (m, 1H), 6.79 (t, 1H).

第五步:4-(3-溴-4-氟苯基)-3-4-(((2-甲基硫)乙基)氨基)-1,2,5-恶二唑-3-基)-1,2-4-恶二唑酮的制备The fifth step: 4-(3-Bromo-4-fluorophenyl)-3-4-(((2-methylthio)ethyl)amino)-1,2,5-oxadiazol-3-yl )-1,2-4-oxadiazolone preparation

Figure BDA0000937932730000221
Figure BDA0000937932730000221

室温下,将4-氨基-氮’-(3-溴-4-氟苯基)-1,2,5-噁二唑--3-基)-1,2-4-噁二唑酮(3.0g,8.8mmol)溶解在DCM(20ml)中加入三乙基硅烷(3.1g,26.3mmol)和甲磺酸(2.4g,26.3mmol),冰浴降温至0℃,滴加2,2-二甲氧基甲硫基乙烷(2.4g,17.5mmol)。滴毕,在室温下反应2小时反应完毕,用饱和碳酸氢钠水溶液调到PH=7,有机相用水洗(20mL×3),饱和食盐水洗(20mL×3),分离有机项,干燥浓缩,得棕色固体(3.5g,96%)。4-Amino-nitrogen'-(3-bromo-4-fluorophenyl)-1,2,5-oxadiazol-3-yl)-1,2-4-oxadiazolone ( 3.0 g, 8.8 mmol) was dissolved in DCM (20 ml), triethylsilane (3.1 g, 26.3 mmol) and methanesulfonic acid (2.4 g, 26.3 mmol) were added, the ice bath was cooled to 0 °C, and 2,2- Dimethoxymethylthioethane (2.4 g, 17.5 mmol). After dropping, the reaction was completed at room temperature for 2 hours, adjusted to pH=7 with saturated aqueous sodium bicarbonate solution, the organic phase was washed with water (20 mL×3), washed with saturated brine (20 mL×3), the organic item was separated, dried and concentrated, Obtained as a brown solid (3.5 g, 96%).

1H NMR(300MHz,acetone-d6):δ 8.08(d,1H),7.80(dd,1H),7.57(t,1H),6.14(s,1H),3.66(m,2H),2.80(m,2H),2.13(s,3H)。1 H NMR (300MHz, acetone-d6 ): δ 8.08(d,1H), 7.80(dd,1H), 7.57(t,1H), 6.14(s,1H), 3.66(m,2H), 2.80( m, 2H), 2.13(s, 3H).

第六步:4-(3-溴-4-氟苯基)-3-4-(((2-甲基硫)乙基)叔丁氧羰基氨基)-1,2,5-恶二唑-3-基)-1,2-4-恶二唑酮The sixth step: 4-(3-Bromo-4-fluorophenyl)-3-4-(((2-methylthio)ethyl)tert-butoxycarbonylamino)-1,2,5-oxadiazole -3-yl)-1,2-4-oxadiazolone

Figure BDA0000937932730000222
Figure BDA0000937932730000222

将第五步产物(50mg,0.120mmol)溶于THF(2ml)中,加入二碳酸二叔丁酯(131mg,0.601mmol),加入催化量4-二甲氨基吡啶(2mg),冰浴下搅拌,直到反应完全,加入水(10ml)用乙酸乙酯萃取(10ml x3)萃取,用水洗(5ml)饱和食盐水洗(5ml)硫酸钠干燥,柱层析分离纯化得到白色固体(60mg,100%收率)。The product of the fifth step (50mg, 0.120mmol) was dissolved in THF (2ml), di-tert-butyl dicarbonate (131mg, 0.601mmol) was added, a catalytic amount of 4-dimethylaminopyridine (2mg) was added, and the mixture was stirred under an ice bath. , until the reaction is complete, add water (10ml), extract with ethyl acetate (10ml×3), wash with water (5ml) with saturated brine (5ml), dry over sodium sulfate, and separate and purify by column chromatography to obtain a white solid (60mg, 100% yield). Rate).

1H NMR:(400MHz,CDCl3):δ 7.71-7.69(m,1H),7.39-7.35(m,1H),7.22-7.14(m,1H),3.97-3.94(m,2H),2.83-2.80(m,2H),2.12(s,3H),1.53(s,9H)1 H NMR: (400 MHz, CDCl3 ): δ 7.71-7.69 (m, 1H), 7.39-7.35 (m, 1H), 7.22-7.14 (m, 1H), 3.97-3.94 (m, 2H), 2.83- 2.80(m, 2H), 2.12(s, 3H), 1.53(s, 9H)

第七步:(±)4-(3-溴-4-氟苯基)-3-4-(((2-(甲基亚砜)乙基)叔丁氧羰基氨基)-1,2,5-恶二唑-3-基)-1,2,4-恶二唑酮The seventh step: (±)4-(3-bromo-4-fluorophenyl)-3-4-(((2-(methylsulfoxide)ethyl)tert-butoxycarbonylamino)-1,2, 5-oxadiazol-3-yl)-1,2,4-oxadiazolone

Figure BDA0000937932730000223
Figure BDA0000937932730000223

将第六步产物(2.0g,3.9mmol)溶于20mL二氯甲烷和2mL甲醇,冰浴下加入MMPP(1.06g,2.15mmol),室温反应1小时。反应结束后,加入20mL水,用乙酸乙酯萃取3次,合并有机层,水(10mL)洗三次,饱和氯化钠(10mL)洗一次,旋干溶剂,干燥,得黄色固体1.6g,收率77%。The product of the sixth step (2.0 g, 3.9 mmol) was dissolved in 20 mL of dichloromethane and 2 mL of methanol, MMPP (1.06 g, 2.15 mmol) was added under an ice bath, and the reaction was carried out at room temperature for 1 hour. After the reaction, 20 mL of water was added, extracted three times with ethyl acetate, the organic layers were combined, washed three times with water (10 mL) and once with saturated sodium chloride (10 mL), spin-dried the solvent, and dried to obtain 1.6 g of a yellow solid. rate 77%.

1H NMR(400MHz,CDCl3):δ 7.71(dd,1H),7.38(m,1H),7.22(t,1H),3.95(t,2H),2.82(t,2H),2.12(s,3H),1.50(s,9H).1 H NMR (400MHz, CDCl3 ): δ 7.71(dd,1H), 7.38(m,1H), 7.22(t,1H), 3.95(t,2H), 2.82(t,2H), 2.12(s, 3H), 1.50(s, 9H).

第八步:(±)4-(3-溴-4-氟苯基)3-4-(((2-(甲基三氟乙酰基亚砜亚胺)乙基)叔丁氧羰基氨基)-1,2,5-恶二唑-3-基)-1,2,4-恶二唑酮The eighth step: (±)4-(3-bromo-4-fluorophenyl)3-4-(((2-(methyltrifluoroacetylsulfoxide)ethyl)tert-butoxycarbonylamino) -1,2,5-oxadiazol-3-yl)-1,2,4-oxadiazolone

Figure BDA0000937932730000231
Figure BDA0000937932730000231

将第七步产物(330mg,0.620mmol)加入反应瓶中,加入CF3C(O)NH2(140mg,1.240mmol),MgO(99mg,2.479mmol)和Rh(OAc)2(10mg),在室温下搅拌一分钟,加入PhI(OAc)2(309mg,0.930mol),室温搅拌直到TLC监测反应完全。反应中加入水(10ml),用乙酸乙酯萃取(10ml x3),用水洗(10ml)和饱和食盐水洗(10ml),无水硫酸钠干燥。柱层析分离纯化,得到目标化合物(300mg,75%收率)。The seventh step product (330 mg, 0.620 mmol) was added to the reaction flask, CF3 C(O)NH2 (140 mg, 1.240 mmol), MgO (99 mg, 2.479 mmol) and Rh(OAc)2 (10 mg) were added. Stir at room temperature for one minute, add PhI(OAc)2 (309 mg, 0.930 mol) and stir at room temperature until the reaction is complete as monitored by TLC. Water (10 ml) was added to the reaction, extracted with ethyl acetate (10 ml x 3), washed with water (10 ml) and saturated brine (10 ml), and dried over anhydrous sodium sulfate. Separation and purification by column chromatography gave the target compound (300 mg, 75% yield).

第九步:(±)4-(3-溴-4-氟苯基)3-4-(((2-(甲基亚砜亚胺)乙基)叔丁氧羰基氨基)-1,2,5-恶二唑-3-基)-1,2,4-恶二唑酮The ninth step: (±)4-(3-bromo-4-fluorophenyl)3-4-(((2-(methylsulfoxide)ethyl)tert-butoxycarbonylamino)-1,2 ,5-oxadiazol-3-yl)-1,2,4-oxadiazolone

Figure BDA0000937932730000232
Figure BDA0000937932730000232

将第八步产物(330mg,0.513mmol)溶于甲醇中(5ml),冰浴下,加入碳酸钾(142mg,1.026mmol),搅拌15分钟。TLC显示反应完全,正己烷:乙酸乙酯=1:1。反应液过滤,滤饼用二氯甲烷洗涤(10ml*2),滤液浓缩后得到白色(280mg,99%收率)。The product of the eighth step (330 mg, 0.513 mmol) was dissolved in methanol (5 ml), potassium carbonate (142 mg, 1.026 mmol) was added under an ice bath, and the mixture was stirred for 15 minutes. TLC showed that the reaction was complete, n-hexane:ethyl acetate=1:1. The reaction solution was filtered, the filter cake was washed with dichloromethane (10 ml*2), and the filtrate was concentrated to obtain white (280 mg, 99% yield).

1H NMR:(400MHz,DMSO-d6):δ 8.00(s,1H),7.64-7.60(m,2H),4.03-3.99(m,2H),3.88(s,1H),3.42-3.40(m,2H),2.96(s,3H),1.48(s,9H)1 H NMR: (400MHz, DMSO-d6 ): δ 8.00 (s, 1H), 7.64-7.60 (m, 2H), 4.03-3.99 (m, 2H), 3.88 (s, 1H), 3.42-3.40 ( m, 2H), 2.96(s, 3H), 1.48(s, 9H)

第十步:(±)4-(3-溴-4-氟苯基)3-4-(((2-(甲基亚砜甲基亚胺)乙基)叔丁氧羰基氨基)-1,2,5-恶二唑-3-基)-1,2,4-恶二唑酮The tenth step: (±)4-(3-bromo-4-fluorophenyl)3-4-(((2-(methylsulfoxidemethylimine)ethyl)tert-butoxycarbonylamino)-1 ,2,5-oxadiazol-3-yl)-1,2,4-oxadiazolone

Figure BDA0000937932730000233
Figure BDA0000937932730000233

将第九步产物(20mg,0.037mmol)溶于二氯甲烷中(2ml),加入三甲基氧鎓四氟硼酸盐(8mg,0.055mmol),室温下搅拌2小时,TLC显示反应完全,反应液中加入水(10ml),乙酸乙酯(10ml),然后用乙酸乙酯萃取(10ml x 2)合并有机相,然后用水洗(10ml),饱和食盐水洗(10ml),硫酸钠干燥。浓缩后柱层析分离纯化,得到目标化合物(10mg,48%收率)。The ninth step product (20mg, 0.037mmol) was dissolved in dichloromethane (2ml), trimethyloxonium tetrafluoroborate (8mg, 0.055mmol) was added, stirred at room temperature for 2 hours, TLC showed that the reaction was complete, Water (10ml) and ethyl acetate (10ml) were added to the reaction solution, followed by extraction with ethyl acetate (10ml x 2). The organic phases were combined, washed with water (10ml), washed with saturated brine (10ml), and dried over sodium sulfate. After concentration, it was separated and purified by column chromatography to obtain the target compound (10 mg, 48% yield).

1H NMR:(400MHz,acetone-d6):δ 7.96-7.94(m,1H),7.66-7.62(m,1H),7.53-7.49(m,1H),4.17(s,2H),3.64-3.57(m,1H),3.50-3.42(s,1H),2.97(s,3H),2.64(s,3H),1.54(s,9H)1 H NMR: (400MHz, acetone-d6): δ 7.96-7.94 (m, 1H), 7.66-7.62 (m, 1H), 7.53-7.49 (m, 1H), 4.17 (s, 2H), 3.64-3.57 (m,1H),3.50-3.42(s,1H),2.97(s,3H),2.64(s,3H),1.54(s,9H)

第十一步:((±)(Z)-氮-(3-溴-4-氟苯基)-氮’-羟基-4-((2-(氮,硫-二甲基亚砜亚胺)乙基)氨基)-1,2,5-噁二唑-3-甲脒Step Eleven: ((±)(Z)-nitrogen-(3-bromo-4-fluorophenyl)-nitrogen'-hydroxy-4-((2-(nitrogen, sulfur-dimethylsulfimide) )ethyl)amino)-1,2,5-oxadiazole-3-carboxamidine

Figure BDA0000937932730000241
Figure BDA0000937932730000241

将第十步产物(20mg,0.037mmol)溶于二氯甲烷中(1ml),加入10N的氯化氢/乙醇溶液(2ml),室温下搅拌2小时,反应完全后,直接浓缩干,所得残留物溶于四氢呋喃中(2ml),加入2M氢氧化钠水溶液(0.2ml),室温搅拌30分钟。TLC显示反应完全(二氯甲烷:甲醇=20:1),加入2M盐酸调节pH=5,反应液中加入水(10ml),乙酸乙酯(10ml),然后用乙酸乙酯萃取(10ml x2)合并有机相,然后用水洗(10ml),饱和食盐水洗(10ml),硫酸钠干燥。浓缩后柱层析分离纯化,得到目标化合物(10mg,52%收率)。The tenth step product (20mg, 0.037mmol) was dissolved in dichloromethane (1ml), 10N hydrogen chloride/ethanol solution (2ml) was added, stirred at room temperature for 2 hours, after the reaction was complete, it was directly concentrated to dryness, and the obtained residue was dissolved. In tetrahydrofuran (2 ml), 2M aqueous sodium hydroxide solution (0.2 ml) was added, and the mixture was stirred at room temperature for 30 minutes. TLC showed that the reaction was complete (dichloromethane:methanol=20:1), 2M hydrochloric acid was added to adjust pH=5, water (10ml), ethyl acetate (10ml) were added to the reaction solution, followed by extraction with ethyl acetate (10ml x 2) The organic phases were combined, washed with water (10 ml), washed with saturated brine (10 ml), and dried over sodium sulfate. After concentration, it was separated and purified by column chromatography to obtain the target compound (10 mg, 52% yield).

1H NMR:(400MHz,acetone-d6):δ 10.78(s,1H),8.10(s,1H),7.31-7.29(m,1H),7.17-7.13(m,1H),7.02-6.98(m,1H),4.28-4.27(m,2H),4.02-4.04(m,2H),3.84(s,3H),2.92(s,3H)1 H NMR: (400MHz, acetone-d6 ): δ 10.78(s, 1H), 8.10(s, 1H), 7.31-7.29(m, 1H), 7.17-7.13(m, 1H), 7.02-6.98( m,1H),4.28-4.27(m,2H),4.02-4.04(m,2H),3.84(s,3H),2.92(s,3H)

MS(ESI):[M+H]+m/z=435.0MS(ESI): [M+H]+ m/z=435.0

实施例2Example 2

(±)(Z)-氮-(3-溴-4-氟苯基)-氮’-羟基-4-((3-(硫-甲基-氮乙基亚砜亚胺)乙基)氨基)-1,2,5-噁二唑-3-甲脒(±)(Z)-Nitrogen-(3-bromo-4-fluorophenyl)-nitrogen'-hydroxy-4-((3-(thio-methyl-azoethylsulfoxide)ethyl)amino )-1,2,5-oxadiazole-3-carboxamidine

Figure BDA0000937932730000242
Figure BDA0000937932730000242

根据实施例1制备方法,将第十步的试剂用三乙基氧鎓四氟硼酸盐取代,再运用第十一步的条件得到目标化合物。According to the preparation method of Example 1, the reagent in the tenth step is replaced with triethyloxonium tetrafluoroborate, and then the conditions of the eleventh step are used to obtain the target compound.

1H NMR:(400MHz,acetone-d6):δ10.85(s,1H),8.12(s,1H),7.28-7.26(m,1H),7.17-7.13(m,1H),7.02-6.98(m,1H),6.64(s,1H),3.81(s,2H),3.57(s,1H),3.43-3.40(m,1H),3.31-3.06(m,5H),1.11-1.05(m,3H).1 H NMR: (400MHz, acetone-d6 ): δ 10.85 (s, 1H), 8.12 (s, 1H), 7.28-7.26 (m, 1H), 7.17-7.13 (m, 1H), 7.02-6.98 (m,1H),6.64(s,1H),3.81(s,2H),3.57(s,1H),3.43-3.40(m,1H),3.31-3.06(m,5H),1.11-1.05(m , 3H).

MS(ESI):[M+H]+m/z=449.0MS(ESI): [M+H]+ m/z=449.0

实施例3Example 3

(±)(Z)-氮-(3-溴-4-氟苯基)-氮'-羟基-4-(2-(硫-甲基-氮-苯基亚砜亚胺)乙基)氨基)-1,2,5-噁二唑-3-甲脒(±)(Z)-Nitrogen-(3-bromo-4-fluorophenyl)-nitrogen'-hydroxy-4-(2-(thio-methyl-nitrogen-phenylsulfimide)ethyl)amino )-1,2,5-oxadiazole-3-carboxamidine

Figure BDA0000937932730000251
Figure BDA0000937932730000251

第一步:(±)4-(3-溴-4-氟苯基)3-4-(((2-(甲基亚砜苯基亚胺)乙基)叔丁氧羰基氨基)-1,2,5-恶二唑-3-基)-1,2,4-恶二唑酮The first step: (±)4-(3-bromo-4-fluorophenyl)3-4-(((2-(methylsulfoxide phenylimino)ethyl)tert-butoxycarbonylamino)-1 ,2,5-oxadiazol-3-yl)-1,2,4-oxadiazolone

Figure BDA0000937932730000252
Figure BDA0000937932730000252

将实施例1第九步的产物(20mg,0.037mmol)溶于二氯甲烷中(2ml),加入苯硼酸(8mg,0.055mmol),醋酸铜(5mg)室温下搅拌2小时,TLC显示反应完全,反应液中加入水(10ml),乙酸乙酯(10mL),然后用乙酸乙酯萃取(2x 10mL)合并有机相,然后用水洗(10mL),饱和食盐水洗(10mL),硫酸钠干燥。浓缩后柱层析分离纯化,得到目标化合物(15mg,66%收率)The product of the ninth step of Example 1 (20mg, 0.037mmol) was dissolved in dichloromethane (2ml), phenylboronic acid (8mg, 0.055mmol) was added, copper acetate (5mg) was stirred at room temperature for 2 hours, TLC showed that the reaction was complete , water (10 mL) and ethyl acetate (10 mL) were added to the reaction solution, then extracted with ethyl acetate (2×10 mL), and the organic phase was combined, washed with water (10 mL), washed with saturated brine (10 mL), and dried over sodium sulfate. After concentration, it was separated and purified by column chromatography to obtain the target compound (15 mg, 66% yield)

1HNMR(400MHz,acetone-d6):δ 7.93-7.91(m,1H),7.62-7.58(m,1H),7.51-7.47(m,1H),7.23-7.12(m,2H),6.96(d,2H),6.92-6.89(m,1H),4.29(s,2H),3.87-3.80(m,1H),3.76-3.68(m,1H),3.21(s,3H),1.51(s,9H)1 HNMR (400MHz, acetone-d6 ): δ 7.93-7.91 (m, 1H), 7.62-7.58 (m, 1H), 7.51-7.47 (m, 1H), 7.23-7.12 (m, 2H), 6.96 ( d, 2H), 6.92-6.89(m, 1H), 4.29(s, 2H), 3.87-3.80(m, 1H), 3.76-3.68(m, 1H), 3.21(s, 3H), 1.51(s, 9H)

第二步:(±)(Z)-氮-(3-溴-4-氟苯基)-氮'-羟基-4-((2-(硫-氮-苯基亚砜亚胺)乙基)氨基)-1,2,5-噁二唑-3-甲脒Step 2: (±)(Z)-nitrogen-(3-bromo-4-fluorophenyl)-nitrogen'-hydroxy-4-((2-(sulfur-nitrogen-phenylsulfimide)ethyl )amino)-1,2,5-oxadiazole-3-carboxamidine

Figure BDA0000937932730000253
Figure BDA0000937932730000253

将第一步产物(10mg,0.016mmol)溶于二氯甲烷中(1mL),加入10M的氯化氢/乙醇溶液(2mL),室温下搅拌2小时,反应完全后,直接浓缩干,所得残留物溶于四氢呋喃中(2mL),加入2M氢氧化钠水溶液(0.2ml),室温搅拌30分钟。TLC显示反应完全,加入2M盐酸调节PH=5,反应液中加入水(10mL),乙酸乙酯(10mL),然后用乙酸乙酯萃取(2x10mL)合并有机相,然后用水洗(10mL),饱和食盐水洗(10mL),硫酸钠干燥。浓缩后柱层析分离纯化,得到目标化合物(5mg,63%收率)The product of the first step (10 mg, 0.016 mmol) was dissolved in dichloromethane (1 mL), 10 M hydrogen chloride/ethanol solution (2 mL) was added, and the mixture was stirred at room temperature for 2 hours. In tetrahydrofuran (2 mL), 2M aqueous sodium hydroxide solution (0.2 mL) was added, and the mixture was stirred at room temperature for 30 minutes. TLC showed that the reaction was complete, 2M hydrochloric acid was added to adjust PH=5, water (10 mL) and ethyl acetate (10 mL) were added to the reaction solution, then extracted with ethyl acetate (2×10 mL), the organic phases were combined, washed with water (10 mL), saturated Washed with brine (10 mL) and dried over sodium sulfate. After concentration, it was separated and purified by column chromatography to obtain the target compound (5 mg, 63% yield)

1HNMR(400MHz,acetone-d6):δ 10.80(s,1H),8.13(s,1H),7.29-7.27(m,1H),7.19-7.13(m,3H),7.04-7.01(m,3H),6.89-6.85(m,1H),6.55(s,1H),3.91-3.87(m,2H),3.72-3.61(m,2H),3.20(s,3H)1 HNMR (400MHz, acetone-d6 ): δ 10.80(s, 1H), 8.13(s, 1H), 7.29-7.27(m, 1H), 7.19-7.13(m, 3H), 7.04-7.01(m, 3H), 6.89-6.85(m, 1H), 6.55(s, 1H), 3.91-3.87(m, 2H), 3.72-3.61(m, 2H), 3.20(s, 3H)

MS(ESI):[M+H]+m/z=497.0MS(ESI): [M+H]+ m/z=497.0

实施例4Example 4

(±)(Z)-氮-(3-溴-4-氟苯基)-氮'-羟基-4-((2-(硫-甲基-氮-(苯胺基甲酰)亚砜亚胺)乙基)氨基)-1,2,5-噁二唑-3-甲脒(±)(Z)-Nitrogen-(3-bromo-4-fluorophenyl)-nitrogen'-hydroxy-4-((2-(thio-methyl-nitrogen-(anilinoyl)sulfoxide) )ethyl)amino)-1,2,5-oxadiazole-3-carboxamidine

Figure BDA0000937932730000261
Figure BDA0000937932730000261

第一步:(±)4-(3-溴-4-氟苯基)3-4-(((2-硫-甲基-氮-(苯胺基甲酰)亚砜亚胺)乙基)叔丁氧羰基氨基)-1,2,5-恶二唑-3-基)-1,2,4-恶二唑酮The first step: (±) 4-(3-bromo-4-fluorophenyl) 3-4-((((2-thio-methyl-nitrogen-(anilinoyl) sulfoximine) ethyl) tert-Butoxycarbonylamino)-1,2,5-oxadiazol-3-yl)-1,2,4-oxadiazolone

Figure BDA0000937932730000262
Figure BDA0000937932730000262

将实施例1第九步的产物(20mg,0.037mmol)溶于四氢呋喃中(2mL),加入苯基异氰酸酯(9mg,0.073mmol)室温搅拌过夜,加入碳酸氢钠水溶液(10mL)乙酸乙酯(10mL),用乙酸乙酯萃取(10mL x2),合并有机相,用水洗(10mL),饱和食盐水洗(10mL),浓缩有机相。柱层析分离纯化得到目标化合物(20mg,82%收率)The product of the ninth step of Example 1 (20 mg, 0.037 mmol) was dissolved in tetrahydrofuran (2 mL), phenyl isocyanate (9 mg, 0.073 mmol) was added, and the mixture was stirred at room temperature overnight, and aqueous sodium bicarbonate (10 mL) ethyl acetate (10 mL) was added. ), extracted with ethyl acetate (10 mL x 2), the organic phases were combined, washed with water (10 mL) and saturated brine (10 mL), and the organic phases were concentrated. Column chromatography separation and purification to obtain the target compound (20mg, 82% yield)

1H NMR(400MHz,acetone-d6):δ 8.24(s,1H),7.96-7.95(m,1H),7.66-7.58(m,3H),7.50-7.46(m,1H),7.26-7.22(m,2H),6.97-6.93(m,1H),4.36(s,2H),4.09-4.02(m,1H),3.96-3.86(m,1H),3.41(s,3H),1.51(s,9H)1 H NMR (400MHz, acetone-d6 ): δ 8.24(s, 1H), 7.96-7.95(m, 1H), 7.66-7.58(m, 3H), 7.50-7.46(m, 1H), 7.26-7.22 (m,2H),6.97-6.93(m,1H),4.36(s,2H),4.09-4.02(m,1H),3.96-3.86(m,1H),3.41(s,3H),1.51(s ,9H)

第二步:(±)4-(3-溴-4-氟苯基)3-4-(((2-硫-甲基-氮-(苯胺基甲酰)亚砜亚胺)乙基)叔丁氧羰基氨基)-1,2,5-恶二唑-3-基)-1,2,4-恶二唑酮Step 2: (±)4-(3-Bromo-4-fluorophenyl)3-4-((((2-thio-methyl-nitrogen-(anilinoyl)sulfimide)ethyl) tert-Butoxycarbonylamino)-1,2,5-oxadiazol-3-yl)-1,2,4-oxadiazolone

Figure BDA0000937932730000263
Figure BDA0000937932730000263

将第一步产物(20mg,0.030mmol)加入10N HCL/EtOH(3ml),室温搅拌3小时。反应完全后,直接浓缩干,得到目标化合物(20mg,100%收率)The first step product (20 mg, 0.030 mmol) was added to 10N HCL/EtOH (3 ml) and stirred at room temperature for 3 hours. After the reaction was completed, it was directly concentrated to dryness to obtain the target compound (20 mg, 100% yield)

1HNMR(400MHz,acetone-d6):δ 8.10(s,1H),7.98-7.97(m,1H),7.72-7.68(m,1H),7.60(d,2H),7.54-7.50(m,1H),6.61(s,1H),4.03-4.00(m,2H),3.94-3.88(m,2H),3.64-3.60(m,1H),3.46(s,3H)1 HNMR (400MHz, acetone-d6 ): δ 8.10(s, 1H), 7.98-7.97(m, 1H), 7.72-7.68(m, 1H), 7.60(d, 2H), 7.54-7.50(m, 1H), 6.61(s, 1H), 4.03-4.00(m, 2H), 3.94-3.88(m, 2H), 3.64-3.60(m, 1H), 3.46(s, 3H)

第三步:(±)(Z)-氮-(3-溴-4-氟苯基)-氮'-羟基-4-((2-(硫-甲基-氮-(苯胺基甲酰)亚砜亚胺)乙基)氨基)-1,2,5-噁二唑-3-甲脒Step 3: (±)(Z)-nitrogen-(3-bromo-4-fluorophenyl)-nitrogen'-hydroxy-4-((2-(thio-methyl-nitrogen-(anilinoyl)) sulfoximine)ethyl)amino)-1,2,5-oxadiazole-3-carboxamidine

将第二步产物(20mg,0.035mmol)溶于四氢呋喃(2mL),加入2M氢氧化钠水溶液(0.2mL),室温搅拌30分钟。TLC显示反应完全,加入2mol/L盐酸调节pH=5,反应液中加入水(10mL),乙酸乙酯(10mL),然后用乙酸乙酯萃取(2x10mL)合并有机相,然后用水洗(10mL),饱和食盐水洗(10mL),硫酸钠干燥。浓缩后柱层析分离纯化,得到目标化合物(10mg,52%收率)The product of the second step (20 mg, 0.035 mmol) was dissolved in tetrahydrofuran (2 mL), 2M aqueous sodium hydroxide solution (0.2 mL) was added, and the mixture was stirred at room temperature for 30 minutes. TLC showed that the reaction was complete, 2mol/L hydrochloric acid was added to adjust pH=5, water (10 mL) and ethyl acetate (10 mL) were added to the reaction solution, then extracted with ethyl acetate (2×10 mL), the organic phases were combined, and then washed with water (10 mL) , washed with saturated brine (10 mL), and dried over sodium sulfate. After concentration, it was separated and purified by column chromatography to obtain the target compound (10 mg, 52% yield)

1H NMR(400MHz,acetone-d6):δ 10.70(s,1H),8.19(s,1H),8.14(s,1H),7.61(d,2H),7.30-7.28(m,4H),7.26-7.22(m,2H),7.16-7.12(m,1H),7.02-6.98(m,1H),6.96-6.93(m,1H),6.57(s,1H),3.95-3.85(m,3H),3.81-3.74(m,1H),3.44(s,3H)1 H NMR (400MHz, acetone-d6 ): δ 10.70(s, 1H), 8.19(s, 1H), 8.14(s, 1H), 7.61(d, 2H), 7.30-7.28(m, 4H), 7.26-7.22(m, 2H), 7.16-7.12(m, 1H), 7.02-6.98(m, 1H), 6.96-6.93(m, 1H), 6.57(s, 1H), 3.95-3.85(m, 3H) ),3.81-3.74(m,1H),3.44(s,3H)

MS(ESI):[M+H]+m/z=540.1MS(ESI): [M+H]+ m/z=540.1

实施例5Example 5

(±)(Z)-氮-(3-溴-4-氟苯基)-氮'-羟基-4-((2-(硫-甲基-氮-(甲酰甲酯)亚砜亚胺)乙基)氨基)-1,2,5-噁二唑-3-甲脒(±)(Z)-Nitrogen-(3-bromo-4-fluorophenyl)-nitrogen'-hydroxy-4-((2-(thio-methyl-nitrogen-(formylmethyl)sulfoxide) )ethyl)amino)-1,2,5-oxadiazole-3-carboxamidine

Figure BDA0000937932730000271
Figure BDA0000937932730000271

第一步:(±)(Z)-氮-(3-溴-4-氟苯基)-氮'-羟基-4-((2-(硫-甲基-氮-(羰基咪唑)亚砜亚胺)乙基)氨基)-1,2,5-噁二唑-3-甲脒(化合物R)的制备:The first step: (±)(Z)-nitrogen-(3-bromo-4-fluorophenyl)-nitrogen'-hydroxy-4-((2-(thio-methyl-nitrogen-(carbonylimidazole)sulfoxide) Preparation of imino)ethyl)amino)-1,2,5-oxadiazole-3-carboxamidine (compound R):

Figure BDA0000937932730000272
Figure BDA0000937932730000272

室温下,将(±)(Z)-氮-(3-溴-4-氟苯基)-氮'-羟基-4-((2-(硫-甲基亚砜亚胺)乙基)氨基)-1,2,5-恶二唑-3-甲脒(500mg,1.19mol)溶于20mL乙酸乙酯,加入羰基二咪唑(579mg,3.57mmol),然后60°搅拌5小时,将溶剂蒸干,加入20mL水,用乙酸乙酯萃取(3x30mL),合并有机层,饱和食盐水系,无水硫酸钠干燥,过滤,浓缩,过柱(二氯甲烷:甲醇=100:5),浓缩,干燥,得白色固体。At room temperature, (±)(Z)-nitrogen-(3-bromo-4-fluorophenyl)-nitrogen'-hydroxy-4-((2-(thio-methylsulfimide)ethyl)amino )-1,2,5-oxadiazole-3-carboxamidine (500mg, 1.19mol) was dissolved in 20mL of ethyl acetate, carbonyldiimidazole (579mg, 3.57mmol) was added, then stirred at 60° for 5 hours, the solvent was evaporated Dry, add 20 mL of water, extract with ethyl acetate (3×30 mL), combine the organic layers, saturated brine, dry over anhydrous sodium sulfate, filter, concentrate, pass through column (dichloromethane:methanol=100:5), concentrate, and dry , a white solid was obtained.

1H NMR(400MHz,acetone-d6):δ8.09(m,2H),7.78(m,1H),7.55(t,1H),7.46(s,1H),6.93(s,1H),6.46(t,1H),4.20(m,2H),4.10(m,2H),3.65(s,3H)。1 H NMR (400MHz, acetone-d6 ): δ8.09(m, 2H), 7.78(m, 1H), 7.55(t, 1H), 7.46(s, 1H), 6.93(s, 1H), 6.46 (t, 1H), 4.20 (m, 2H), 4.10 (m, 2H), 3.65 (s, 3H).

第二步:(±)-氮-(3-溴-4-氟苯基)-氮'-羟基-4-((2-(硫-甲基-氮-(甲酰甲酯)亚砜亚胺)乙基)氨基)-1,2,5-噁二唑-3-甲脒The second step: (±)-nitrogen-(3-bromo-4-fluorophenyl)-nitrogen'-hydroxy-4-((2-(thio-methyl-nitrogen-(formylmethyl)sulfoxide) Amine)ethyl)amino)-1,2,5-oxadiazole-3-carboxamidine

Figure BDA0000937932730000281
Figure BDA0000937932730000281

将第一步产物(30mg,0.055mmol)溶于3mL甲醇,冰浴下,加入2N氢氧化钠溶液1mL。室温搅拌1h,用6N盐酸溶液调节pH=7.加入20mL水,用乙酸乙酯萃取(3x 20mL),有机层合并,水,饱和食盐水各洗一次,浓缩溶剂,制备柱色谱分离(DCM:MeOH=20:1),得目标化合物(10mg,38%).The first step product (30 mg, 0.055 mmol) was dissolved in 3 mL of methanol, and 1 mL of 2N sodium hydroxide solution was added under ice bath. Stir at room temperature for 1 h, adjust pH=7 with 6N hydrochloric acid solution. Add 20 mL of water, extract with ethyl acetate (3×20 mL), combine the organic layers, wash once with water and saturated brine, concentrate the solvent, and separate by preparative column chromatography (DCM: MeOH=20:1) to obtain the target compound (10 mg, 38%).

1H NMR(400MHz,acetone-d6):δ 10.76(s,1H),8.10(s,1H),7.30(m,1H),7.16(t,1H),7.02(m,1H),3.93(m,2H),3.89(s,1H),3.79(s,1H),3.64(s,3H),3.47(s,3H),3.65(s,3H)。1 H NMR (400MHz, acetone-d6 ): δ 10.76(s, 1H), 8.10(s, 1H), 7.30(m, 1H), 7.16(t, 1H), 7.02(m, 1H), 3.93( m, 2H), 3.89(s, 1H), 3.79(s, 1H), 3.64(s, 3H), 3.47(s, 3H), 3.65(s, 3H).

MS(ESI):[M+H]+m/z=480.7MS(ESI): [M+H]+ m/z=480.7

实施例6Example 6

(±)(Z)-氮-(3-溴-4-氟苯基)-氮'-羟基-4-((2-(硫-甲基-氮-(甲酰乙酯)亚砜亚胺)乙基)氨基)-1,2,5-噁二唑-3-甲脒(±)(Z)-Nitrogen-(3-bromo-4-fluorophenyl)-nitrogen'-hydroxy-4-((2-(thio-methyl-nitrogen-(formylethyl ester)sulfoxide) )ethyl)amino)-1,2,5-oxadiazole-3-carboxamidine

Figure BDA0000937932730000282
Figure BDA0000937932730000282

根据实施例5制备方法,将实施例5第一步产物(30mg,0.055mmol)溶于3mL乙醇,冰浴下,加入2N氢氧化钠溶液1mL。室温搅拌1h,用6N盐酸溶液调节pH=7.加入20mL水,用乙酸乙酯萃取(3x20mL),有机层合并,水,饱和食盐水各洗一次,浓缩溶剂,制备柱色谱分离(DCM:MeOH=20:1),得目标化合物(14mg,51%).According to the preparation method of Example 5, the product of the first step of Example 5 (30 mg, 0.055 mmol) was dissolved in 3 mL of ethanol, and 1 mL of 2N sodium hydroxide solution was added under an ice bath. Stir at room temperature for 1 h, adjust pH=7 with 6N hydrochloric acid solution. Add 20 mL of water, extract with ethyl acetate (3×20 mL), combine the organic layers, wash each with water and saturated brine, concentrate the solvent, and separate by preparative column chromatography (DCM:MeOH). = 20:1) to obtain the target compound (14 mg, 51%).

1H NMR(400MHz,CDCl3):δ 9.96(s,1H),7.82(t,1H),7.26(dd,1H),7.05(t,1H),6.94(m,1H),6.84(s,1H),4.29(m,2H),4.00(m,1H),3.90(m,1H),3.64(m,1H),3.52(m,1H),3.41(s,3H)。1 H NMR (400MHz, CDCl3 ): δ 9.96(s,1H), 7.82(t,1H), 7.26(dd,1H), 7.05(t,1H), 6.94(m,1H), 6.84(s, 1H), 4.29(m, 2H), 4.00(m, 1H), 3.90(m, 1H), 3.64(m, 1H), 3.52(m, 1H), 3.41(s, 3H).

MS(ESI):[M+H]+m/z=494.7MS(ESI): [M+H]+ m/z=494.7

实施例7Example 7

(±)(Z)-氮-(3-溴-4-氟苯基)-氮'-羟基-4-((2-(硫-甲基-氮-(甲酰异丙酯)亚砜亚胺)乙基)氨基)-1,2,5-噁二唑-3-甲脒(±)(Z)-Nitrogen-(3-bromo-4-fluorophenyl)-nitrogen'-hydroxy-4-((2-(thio-methyl-nitrogen-(formylisopropyl)sulfoxide) Amine)ethyl)amino)-1,2,5-oxadiazole-3-carboxamidine

Figure BDA0000937932730000291
Figure BDA0000937932730000291

根据实施例5制备方法,将实施例5第一步产物(30mg,0.055mmol)溶于3mL异丙醇,冰浴下,加入2N氢氧化钠溶液1mL。室温搅拌1h,用6N盐酸溶液调节pH=7.加入20mL水,用乙酸乙酯萃取(3x20mL),有机层合并,水,饱和食盐水各洗一次,浓缩溶剂,制备柱色谱分离(DCM:MeOH=20:1),得化合物TM(10mg,37%).According to the preparation method of Example 5, the first step product of Example 5 (30 mg, 0.055 mmol) was dissolved in 3 mL of isopropanol, and 1 mL of 2N sodium hydroxide solution was added under an ice bath. Stir at room temperature for 1 h, adjust pH=7 with 6N hydrochloric acid solution. Add 20 mL of water, extract with ethyl acetate (3×20 mL), combine the organic layers, wash each with water and saturated brine, concentrate the solvent, and separate by preparative column chromatography (DCM:MeOH). = 20:1) to obtain compound TM (10 mg, 37%).

1H NMR(400MHz,CDCl3):δ 10.07(s,1H),7.96(s,1H),7.24(m,1H),7.05(t,1H),6.93(m,1H),6.81(s,1H),5.03(m,1H),4.04(m,1H),3.89(m,1H),3.62(m,1H),3.58(m,1H),3.42(s,3H),1.34(d,3H),1.26(m,3H)。1 H NMR (400MHz, CDCl3 ): δ 10.07(s,1H), 7.96(s,1H), 7.24(m,1H), 7.05(t,1H), 6.93(m,1H), 6.81(s, 1H), 5.03(m, 1H), 4.04(m, 1H), 3.89(m, 1H), 3.62(m, 1H), 3.58(m, 1H), 3.42(s, 3H), 1.34(d, 3H) ), 1.26 (m, 3H).

MS(ESI):[M+H]+m/z=506.7MS(ESI): [M+H]+ m/z=506.7

实施例8Example 8

(±)(Z)-氮-(3-溴-4-氟苯基)-氮'-羟基-4-((2-(硫-甲基-氮-(甲磺酰基)亚砜亚胺)乙基)氨基)-1,2,5-噁二唑-3-甲脒(±)(Z)-Nitrogen-(3-bromo-4-fluorophenyl)-nitrogen'-hydroxy-4-((2-(thio-methyl-nitrogen-(methylsulfonyl)sulfoxide) Ethyl)amino)-1,2,5-oxadiazole-3-carboxamidine

Figure BDA0000937932730000292
Figure BDA0000937932730000292

将化合物实施例1第九步的产物(30mg,0.055mmol)和三乙胺(15uL)溶于3mL二氯甲烷中,冰浴下,加入甲基磺酰氯(6.4uL),反应十分钟后,加入20mL水淬灭,用二氯甲烷萃取(3x20mL),合并有机层,盐水洗一次,干燥,过滤,旋干溶剂,过柱(DCM:MeOH=100:5),得到粗产物35mg。将粗产物(35mg,0.056mmol溶于1mL二氯甲烷和1mL三氟乙酸中,室温反应三小时。旋干溶剂,加入水20mL,用二氯甲烷萃取(3x20mL),合并有机层,盐水洗,无水硫酸钠干燥,过滤,旋干,的粗产物(25mg)。将上一步粗产物溶于2mL四氢呋喃溶液中,加入0.5mL2N氢氧化钠水溶液,室温搅拌0.5小时,用2NHCl调节至pH=7,加水20mL,乙酸乙酯萃取(3x20mL),和并有机层,盐水洗,无水硫酸钠干燥,过滤,旋干,过柱(DCM:MeOH=100:5),得到白色固体(20mg,84%)The product of the ninth step of compound example 1 (30 mg, 0.055 mmol) and triethylamine (15 uL) were dissolved in 3 mL of dichloromethane, and under ice bath, methanesulfonyl chloride (6.4 uL) was added, and after ten minutes of reaction, Add 20 mL of water to quench, extract with dichloromethane (3×20 mL), combine the organic layers, wash with brine once, dry, filter, spin to dry the solvent, and pass through column (DCM:MeOH=100:5) to obtain 35 mg of crude product. The crude product (35 mg, 0.056 mmol was dissolved in 1 mL of dichloromethane and 1 mL of trifluoroacetic acid, and reacted at room temperature for three hours. The solvent was spin-dried, 20 mL of water was added, extracted with dichloromethane (3×20 mL), the organic layers were combined, washed with brine, Dry over anhydrous sodium sulfate, filter, and spin to dry the crude product (25 mg). Dissolve the crude product in the previous step in 2 mL of tetrahydrofuran solution, add 0.5 mL of 2N aqueous sodium hydroxide solution, stir at room temperature for 0.5 hours, and adjust to pH=7 with 2N HCl , added 20 mL of water, extracted with ethyl acetate (3×20 mL), and combined the organic layer, washed with brine, dried over anhydrous sodium sulfate, filtered, spin-dried, and passed through column (DCM:MeOH=100:5) to obtain a white solid (20 mg, 84 %)

1H NMR(400MHz,CDCl3):δ 9.28(s,1H),8.34(s,1H),7.52(,1H),7.01(t,1H),6.95(m,1H),6.87(s,1H),3.98(m,2H),3.95(m,1H),3.92(m,1H),3.54(m,1H),3.23(s,3H)。1 H NMR (400MHz, CDCl3 ): δ 9.28(s,1H), 8.34(s,1H), 7.52(,1H), 7.01(t,1H), 6.95(m,1H), 6.87(s,1H) ), 3.98(m, 2H), 3.95(m, 1H), 3.92(m, 1H), 3.54(m, 1H), 3.23(s, 3H).

MS(ESI):[M+H]+m/z=499.0MS(ESI): [M+H]+ m/z=499.0

实施例9Example 9

(±)(Z)-氮-(3-溴-4-氟苯基)-氮'-羟基-4-((2-(硫-甲基-氮-(氨甲酰基)亚砜亚胺)乙基)氨基)-1,2,5-噁二唑-3-甲脒(±)(Z)-Nitrogen-(3-bromo-4-fluorophenyl)-nitrogen'-hydroxy-4-((2-(thio-methyl-nitrogen-(carbamoyl)sulfimide) Ethyl)amino)-1,2,5-oxadiazole-3-carboxamidine

Figure BDA0000937932730000301
Figure BDA0000937932730000301

冰浴下,将(±)-氮-(3-溴-4-氟苯基)-氮'-羟基-4-((2-(硫-甲基-氮-氰基亚砜亚胺)乙基)氨基)-1,2,5-噁二唑-3-甲脒(20mg,0.045mmol)溶于2mL DMSO溶液中,然后加入无水碳酸钾(63mg,0.45mmol),缓慢滴加入0.5mL双氧水,室温反应0.5小时。加入硫代硫酸钠水溶液20mL,淬灭后,用二氯甲烷萃取(3x20mL),合并有机层,饱和食盐水洗,无水硫酸钠干燥,过滤,旋干,过柱(DCM:MeOH=100:5),旋干,得到白色固体(14mg,67%)Under ice bath, (±)-nitrogen-(3-bromo-4-fluorophenyl)-nitrogen'-hydroxy-4-((2-(thio-methyl-nitrogen-cyanosulfimide)ethyl base)amino)-1,2,5-oxadiazole-3-carboxamidine (20mg, 0.045mmol) was dissolved in 2mL DMSO solution, then anhydrous potassium carbonate (63mg, 0.45mmol) was added, and 0.5mL was slowly added dropwise Hydrogen peroxide, react at room temperature for 0.5 hours. Add 20 mL of aqueous sodium thiosulfate solution, after quenching, extract with dichloromethane (3×20 mL), combine the organic layers, wash with saturated brine, dry over anhydrous sodium sulfate, filter, spin dry, and pass through column (DCM:MeOH=100:5 ), spin-dried to give a white solid (14mg, 67%)

1H NMR(400MHz,CDCl3):δ 9.45(s,1H),7.52(,1H),7.01(t,1H),6.92(m,1H),5.00(s,2H),3.96(m,2H),3.75(m,1H),3.66(m,1H),3.32(s,3H)。1 H NMR (400MHz, CDCl3 ): δ 9.45(s, 1H), 7.52(, 1H), 7.01(t, 1H), 6.92(m, 1H), 5.00(s, 2H), 3.96(m, 2H) ), 3.75(m, 1H), 3.66(m, 1H), 3.32(s, 3H).

MS(ESI):[M+H]+m/z=466.0MS(ESI): [M+H]+ m/z=466.0

实施例10手性异构体的拆分Example 10 Resolution of Chiral Isomers

使用安捷伦1260半制备液相色谱仪进行手性拆分:Chiral resolution using an Agilent 1260 semi-preparative LC:

实施例1的拆分:Splitting of Example 1:

手性柱:大赛璐CHIRALCEL IC 4.6*250mm,填料粒径5μm;流速1ml/min;检测波长254nm;收集单一对映体;Chiral column: Daicel CHIRALCEL IC 4.6*250mm, particle size of filler 5μm; flow rate 1ml/min; detection wavelength 254nm; single enantiomer collected;

条件1:将实施例1样品1mg溶于1ml正己烷和异丙醇混合溶液中(hexane:iPrOH=8:2),进样量10μl,洗脱液Hexane:EtOH=88:12(体积比);两个光学异构体出峰时间分别为14.251分钟和16.905分钟;Condition 1: Dissolve 1 mg of the sample of Example 1 in 1 ml of a mixed solution of n-hexane and isopropanol (hexane:iPrOH=8:2), the injection volume is 10 μl, and the eluent Hexane:EtOH=88:12 (volume ratio) ; The peak times of the two optical isomers are 14.251 minutes and 16.905 minutes, respectively;

条件2:将将实施例1样品1mg溶于1ml正己烷和异丙醇混合溶液中(hexane:iPrOH=8:2),进样量10μl,洗脱液Hexane:iPrOH=75:25(体积比);两个光学异构体出峰时间分别为11.180分钟和13.978分钟。Condition 2: Dissolve 1 mg of the sample from Example 1 in 1 ml of a mixed solution of n-hexane and isopropanol (hexane:iPrOH=8:2), the injection volume is 10 μl, and the eluent Hexane:iPrOH=75:25 (volume ratio ); the peak times of the two optical isomers were 11.180 minutes and 13.978 minutes, respectively.

实施例2的拆分:The split of embodiment 2:

手性柱:大赛璐CHIRALCEL IC 4.6*250mm,填料粒径5μm;流速1ml/min;检测波长254nm;收集单一对映体;Chiral column: Daicel CHIRALCEL IC 4.6*250mm, particle size of filler 5μm; flow rate 1ml/min; detection wavelength 254nm; single enantiomer collected;

条件1:将200微升实施例2的DMSO溶液(10mmol/L)用异丙醇稀释至1mL,进样量10μl,洗脱液Hexane:EtOH=88:12(体积比);两个光学异构体出峰时间分别为11.188分钟和13.786分钟;Condition 1: Dilute 200 μl of the DMSO solution (10 mmol/L) of Example 2 to 1 mL with isopropanol, the injection volume is 10 μl, and the eluent Hexane:EtOH=88:12 (volume ratio); The peak times of the conformers were 11.188 minutes and 13.786 minutes, respectively;

条件2:将200微升实施例2的DMSO溶液(10mmol/L)用异丙醇稀释至1mL,进样量10μl,洗脱液Hexane:iPrOH=80:20(体积比);两个光学异构体出峰时间分别为11.655分钟和15.261分钟。Condition 2: Dilute 200 μl of the DMSO solution (10 mmol/L) of Example 2 to 1 mL with isopropanol, the injection volume is 10 μl, and the eluent Hexane:iPrOH=80:20 (volume ratio); The peak times of the conformers were 11.655 minutes and 15.261 minutes, respectively.

实施例3的拆分:The split of embodiment 3:

手性柱:大赛璐CHIRALCEL OD-H 4.6*250mm,填料粒径5μm;流速1ml/min;检测波长254nm;收集单一对映体;Chiral column: Daicel CHIRALCEL OD-H 4.6*250mm, particle size of filler 5μm; flow rate 1ml/min; detection wavelength 254nm; single enantiomer collected;

条件:将实施例3样品1mg溶于1ml正己烷和异丙醇混合溶液中(hexane:iPrOH=8:2),进样量5μl,洗脱液Hexane:EtOH=60:40(体积比);两个光学异构体出峰时间分别为9.842分钟和16.879分钟。Conditions: Dissolve 1 mg of the sample of Example 3 in 1 ml of a mixed solution of n-hexane and isopropanol (hexane:iPrOH=8:2), the injection volume is 5 μl, and the eluent Hexane:EtOH=60:40 (volume ratio); The peak times of the two optical isomers were 9.842 minutes and 16.879 minutes, respectively.

实施例11Example 11

活性测试activity test

(1)IDO蛋白的诱导表达及纯化方法(1) Inducible expression and purification method of IDO protein

首先PCR扩增IDO基因,扩增的PCR产物回收,然后将pET28a质粒(购自上海宝曼生物科技有限公司)和IDO胶回收产物用EcoR I和Xho I两种限制性内切酶进行酶切(37℃,酶切2h),跑胶,回收,T4连接酶链接过夜连接产物加入到DH5α感受态,冰上放置30min,42℃热击90s,摇菌涂板,挑取单克隆,PCR鉴定,测序鉴定,全部正确,即pET28a-IDO质粒构建成功。First, the IDO gene was amplified by PCR, and the amplified PCR product was recovered, and then the pET28a plasmid (purchased from Shanghai Baoman Biotechnology Co., Ltd.) and the recovered product of IDO gel were digested with two restriction enzymes, EcoR I and Xho I. (37°C, digestion for 2h), running gel, recovery, T4 ligase ligase overnight ligation product was added to DH5α competent, placed on ice for 30min, heat-shocked at 42°C for 90s, shaken and plated, single clone was picked, PCR identification , Sequencing identification, all correct, that is, the pET28a-IDO plasmid was successfully constructed.

将构建好的含有pET28a-IDO质粒的BL21,37℃大摇至OD600为0.6-0.8,加入至终浓度为7μM的氯高铁血红素和1mM的IPTG(异丙基-β-D-硫代半乳糖苷),28℃诱导4h;诱导后,4℃,6000rpm离心收集菌体,收集的菌体用20mM PBS(pH6.5)清洗一次,再离心收集菌体。The constructed BL21 containing the pET28a-IDO plasmid was shaken at 37°C to an OD600 of 0.6-0.8, and added to a final concentration of 7 μM heme and 1 mM IPTG (isopropyl-β-D-thiocyanate). Galactoside), induced for 4 h at 28°C; after induction, the cells were collected by centrifugation at 4°C at 6000 rpm, washed once with 20 mM PBS (pH 6.5), and then centrifuged to collect the cells.

将收集的菌体用裂解液(20mM PBS pH6.5)重新悬起,超声裂解(功率40%裂解20min,冰上放置),将裂解后的细菌,13000rpm离心15min,弃去沉淀,保留上清;将镍柱用裂解液(20mM PBS pH6.5)平衡3个柱体积,然后将裂解上清上样到镍柱上,上样之后,用漂洗液(20mM PBS pH6.5,20mM咪唑)清洗4个柱体积,最后用洗脱液(20mM PBS pH6.5,250mM咪唑)洗脱蛋白;将洗脱的蛋白溶液进行透析4h,透析溶液为20mM PBS pH6.5,透析之后蛋白样品浓缩,分装,液氮速冻,放入-80℃保存备用。The collected cells were resuspended in lysis buffer (20mM PBS pH6.5), lysed by ultrasonic (40% power for 20min, placed on ice), the lysed bacteria were centrifuged at 13000rpm for 15min, the pellet was discarded, and the supernatant was retained. ; Equilibrate the nickel column with lysis buffer (20mM PBS pH6.5) for 3 column volumes, then load the lysis supernatant onto the nickel column, after loading, wash with rinse buffer (20mM PBS pH6.5, 20mM imidazole) After 4 column volumes, the protein was finally eluted with an eluent (20mM PBS pH6.5, 250mM imidazole); the eluted protein solution was dialyzed for 4h, and the dialysis solution was 20mM PBS pH6.5. After dialysis, the protein samples were concentrated and separated. Pack, freeze in liquid nitrogen, and store at -80°C for later use.

(2)IDO酶抑制活性测试方法(2) Test method for IDO enzyme inhibitory activity

首先将化合物进行3倍梯度稀释,各个浓度取1μL加入到96孔板中;加入50μL配好的IDO酶溶液(终浓度600ng/100μL):加入25μL底物1混合溶液,加入25μL的底物2混合溶液起始反应。最后OD321nm读数60min。First, the compound was diluted 3-fold, and 1 μL of each concentration was added to the 96-well plate; 50 μL of the prepared IDO enzyme solution (final concentration 600ng/100 μL) was added: 25 μL of substrate 1 mixed solution was added, and 25 μL of substrate 2 was added. The mixed solution initiates the reaction. The final OD321nm reading was 60min.

(3)细胞活性测试方法(3) Cell viability test method

Hela细胞(100μL)接种在96孔板上,接种量为每个孔5×103,生长过夜。第二天,化合物稀释后,取1μL加入到96孔板中,然后将含有人的干扰素γ(终浓度50ng/mL)的培养基100μL加入到96孔板中,使最终体积为200μL。48小时孵化后,每个孔取140μL上清液转移到一个新的96孔板上。10μL 6.1N三氯乙酸加入每个孔混合,50℃孵化30分钟,IDO催化N甲酰犬尿素为犬尿素。反应混合物2500转离心10分钟去掉沉淀物。每个孔100μL上清液转移到一个新的96孔板与100μL2%二甲氨基苯甲醛乙酸溶液混合。犬尿素分离后,用SPECTRAmaxi3reader在480nm测定数值。HeLa cells (100 μL) were seeded on a 96-well plate at a seeding amount of 5×103 per well and grown overnight. The next day, after compound dilution, 1 μL was added to the 96-well plate, and then 100 μL of medium containing human interferon gamma (final concentration 50 ng/mL) was added to the 96-well plate to make the final volume 200 μL. After 48 hours of incubation, transfer 140 μL of the supernatant from each well to a new 96-well plate. 10 μL of 6.1N trichloroacetic acid was added to each well, mixed, incubated at 50°C for 30 minutes, and IDO catalyzed N-formyl kynurea to kynurea. The reaction mixture was centrifuged at 2500 rpm for 10 minutes to remove the precipitate. Transfer 100 μL of supernatant per well to a new 96-well plate and mix with 100 μL of 2% dimethylaminobenzaldehyde acetic acid solution. After separation of canine urea, values were measured at 480 nm with a SPECTRAmaxi3reader.

各化合物的IDO酶抑制活性和细胞抑制活性的测试结果如表1所示。The test results of the IDO enzyme inhibitory activity and cytostatic activity of each compound are shown in Table 1.

表1 IDO酶和细胞抑制活性测试结果Table 1 IDO enzyme and cytostatic activity test results

Figure BDA0000937932730000321
Figure BDA0000937932730000321

上述结果表明,本发明化合物(包括外消旋体和对映异构体)均具有优异的针对IDO酶和细胞的抑制活性,特别是化合物2在IDO细胞抑制活性中有出意料的高活性。The above results show that the compounds of the present invention (including racemates and enantiomers) have excellent inhibitory activity against IDO enzymes and cells, especially compound 2 has unexpectedly high activity in IDO cell inhibitory activity.

Claims (11)

1. A compound of formula (I) or a pharmaceutically acceptable salt thereof, a stereoisomer thereof:
Figure FDA0002543315790000011
in the formula (I), the compound is shown in the specification,
R7and R8Each independently hydrogen, substituted or unsubstituted C1-C10Alkyl, substituted or unsubstituted C3-C10Cycloalkyl, substituted or unsubstituted C2-C10Alkenyl, substituted or unsubstituted C3-C10Alkynyl, substituted or unsubstituted C6-C20Aryl, or substituted or unsubstituted C3-C14A heteroaryl group; r7And R8May together form a three to eight membered ring wherein the heteroatom may be sulfur, oxygen, NH or NRf;R9Is C6-C20Aryl radical, C5-C20A heteroaryl group; r9May be substituted with one or more groups selected from: halogen, C1-C6Alkyl radical, C1-C6Alkoxy, hydroxy, amino, nitro, aldehyde, -CF3、-CN、-SF5、NRaRbCarboxy, -CORa、-CO2C1-C6Alkyl, -CONRaRb、-SO2Re、-SO2NRaRb、-P(O)Me2、-P(O)(OMe)2(ii) a Wherein each RaAnd each RbEach independently hydrogen, substituted or unsubstituted C1-C10Alkyl, substituted or unsubstituted C3-C10Cycloalkyl, substituted or unsubstituted C2-C10Alkenyl, substituted or unsubstituted C6-C20Aryl, or substituted or unsubstituted C3-C14A heteroaryl group; raAnd RbMay together form a four to eight membered heterocyclic ring in which the heteroatom may be sulfur, oxygen, NH or NRg
R2is-C (O) ORe、-SO2Re、-SO2NRaRbor-C (O) NRaRb
X is a single bond, OS, NH or NRd
R3And R4Each independently hydrogen, substituted or unsubstituted C1-C10An alkyl group; r3And R4May together form a three to eight membered ring wherein the heteroatom may be sulfur, oxygen, NH or NRh
R1、Rd、Re、Rf、Rg、RhIndependently is C1-C10Alkyl radical, C3-C10Cycloalkyl radical, C6-C20Aryl, or C3-C14A heteroaryl group; r1May be substituted with one or more groups selected from: halogen, hydroxy, amino, nitro, cyano, aldehyde, carboxyl, alkoxy, -CF3、-SF5
n is an integer of 2 to 8;
m is 0, 1 or 2;
wherein said "substituted" or "substituted" means that said group has one or more substituents selected from the group consisting of: halogen, hydroxy, -NH2Nitro, -CN, C1-C4Alkyl radical, C1-C4Haloalkyl, C1-C4Alkoxy radical, C3-C6Cycloalkyl radical, C2-C4Alkenyl radical, C2-C4Alkynyl, phenyl, benzyl.
2. The compound of formula (I) according to claim 1, wherein the compound is of formula (II),
Figure FDA0002543315790000021
in the formula (I), the compound is shown in the specification,
R9is C6-C20Aryl radical, C5-C20A heteroaryl group; r9May be substituted with one or more groups selected from: halogen, C1-C6Alkyl radical, C1-C6Alkoxy, hydroxy, amino, nitro, aldehyde, -CF3、-CN、-SF5、NRaRbCarboxy, -CORa、-CO2C1-C6Alkyl, -CONRaRb、-SO2Re、-SO2NRaRb
Wherein R isa、Rb、Re、R3、R4、R1As defined in claim 1;
R2is-C (O) ORe、-SO2Re、-SO2NRaRbor-C (O) NRaRb
n is an integer of 2 to 6.
3. The compound of formula (I) according to claim 1, wherein the compound is of formula (III),
Figure FDA0002543315790000022
in the formula (I), the compound is shown in the specification,
ar is a benzene ring, a five-or six-membered heteroaryl group, which Ar may be substituted with one or more groups selected from: halogen, C1-C6Alkyl radical, C1-C6Alkoxy, hydroxy, amino, nitro, aldehyde, -CF3、-CN、-SF5、NRaRbCarboxy, -CORa、-CO2C1-C6Alkyl, -CONRaRb、-SO2Re、-SO2NRaRb
R2is-C (O) ORe、-SO2Re、-SO2NRaRbor-C (O) NRaRb
Ra、Rb、Re、R3、R4、R1As defined in claim 1;
n is an integer of 2 to 6.
4. A compound of formula (III) according to claim 3, wherein R is1Is C3-C4An alkyl group;
R2is-C (O) ORe、-SO2Re、-SO2NRaRbor-C (O) NRaRb
Ra、Rb、ReAs defined in claim 1;
R3and R4Each independently is hydrogen;
n is an integer of 2 to 6.
5. A compound or a pharmaceutically acceptable salt thereof, a stereoisomer thereof, wherein the compound is:
(±) (Z) -N- (3-bromo-4-fluorophenyl) -N' -hydroxy-4- ((2- (1-oxo-3, 4,5, 6-tetrahydro-1. lambda.)62-thiazin-1-yl) ethyl) amino) -1,2, 5-oxadiazole-3-carboxamidine
(±) (Z) -N- (3-bromo-4-fluorophenyl) -N' -hydroxy-4- ((2- (thio-methyl-N- (anilino formyl) sulfoximine) ethyl) amino) -1,2, 5-oxadiazole-3-carboxamidine
(±) (Z) -N- (3-bromo-4-fluorophenyl) -N' -hydroxy-4- ((2- (thio-methyl-N- (methylaminoformyl) sulfoximine) ethyl) amino) -1,2, 5-oxadiazole-3-carboxamidine
(±) (Z) -N- (3-bromo-4-fluorophenyl) -N' -hydroxy-4- ((2- (thio-methyl-N- (isopropylaminoformyl) sulfoximine) ethyl) amino) -1,2, 5-oxadiazole-3-carboxamidine
(±) (Z) -aza- (3-bromo-4-fluorophenyl) -aza' -hydroxy-4- ((2- (thio-methyl-aza- (formylmethyl ester) sulfoximine) ethyl) amino) -1,2, 5-oxadiazole-3-carboxamidine
(±) (Z) -N- (3-bromo-4-fluorophenyl) -N' -hydroxy-4- ((2- (thio-methyl-N- (formyl ethyl ester) sulfoximine) ethyl) amino) -1,2, 5-oxadiazole-3-carboxamidine
(±) (Z) -aza- (3-bromo-4-fluorophenyl) -aza' -hydroxy-4- ((2- (thio-methyl-aza- (formyl isopropyl ester) sulfoximine) ethyl) amino) -1,2, 5-oxadiazole-3-carboxamidine
(±) (Z) -aza- (3-bromo-4-fluorophenyl) -aza' -hydroxy-4- ((2- (thio-methyl-aza- (methylsulfonyl) sulfoximine) ethyl) amino) -1,2, 5-oxadiazole-3-carboxamidine
(±) (Z) -aza- (3-bromo-4-fluorophenyl) -aza' -hydroxy-4- ((2- (thio-methyl-aza- (benzenesulfonyl) sulfoximine) ethyl) amino) -1,2, 5-oxadiazole-3-carboxamidine
(±) (Z) -aza- (3-bromo-4-fluorophenyl) -aza' -hydroxy-4- ((2- (thio-methyl-aza- (aza-phenylaminosulfonyl) sulfoximine) ethyl) amino) -1,2, 5-oxadiazole-3-carboxamidine
(±) (Z) -aza- (3-bromo-4-fluorophenyl) -aza' -hydroxy-4- ((2- (thio-methyl-aza- (carbamoyl) sulfoximine) ethyl) amino) -1,2, 5-oxadiazole-3-carboxamidine
(±) (Z) -N- (3-chloro-4-fluorophenyl) -N' -hydroxy-4- ((2- (thio-methyl-N- (anilino formyl) sulfoximine) ethyl) amino) -1,2, 5-oxadiazole-3-carboxamidine
(±) (Z) -N- (3-chloro-4-fluorophenyl) -N' -hydroxy-4- ((2- (thio-methyl-N- (methylaminoformyl) sulfoximine) ethyl) amino) -1,2, 5-oxadiazole-3-carboxamidine
(±) (Z) -N- (3-trifluoromethylphenyl) -N' -hydroxy-4- ((2- (thio-methyl-N- (isopropylamido formyl) sulfoximine) ethyl) amino) -1,2, 5-oxadiazole-3-carboxamidine
(±) (Z) -aza- (3-chloro-4-fluorophenyl) -aza' -hydroxy-4- ((2- (thio-methyl-aza- (formyl methyl ester) sulfoximine) ethyl) amino) -1,2, 5-oxadiazole-3-carboxamidine
(±) (Z) -N- (3-trifluoromethylphenyl) -N' -hydroxy-4- ((2- (thio-methyl-N- (formyl ethyl ester) sulfoxide imine) ethyl) amino) -1,2, 5-oxadiazole-3-carboxamidine
(±) (Z) -aza- (3-chloro-4-fluorophenyl) -aza' -hydroxy-4- ((2- (thio-methyl-aza- (formyl isopropyl ester) sulfoximine) ethyl) amino) -1,2, 5-oxadiazole-3-carboxamidine
(±) (Z) -aza- (3-chloro-4-fluorophenyl) -aza' -hydroxy-4- ((2- (thio-methyl-aza- (methylsulfonyl) sulfoximine) ethyl) amino) -1,2, 5-oxadiazole-3-carboxamidine
(±) (Z) -N- (3-trifluoromethylphenyl) -N' -hydroxy-4- ((2- (thio-methyl-N- (phenylsulfonyl) sulfoximine) ethyl) amino) -1,2, 5-oxadiazole-3-carboxamidine
(±) (Z) -aza- (3-chloro-4-fluorophenyl) -aza' -hydroxy-4- ((2- (thio-methyl-aza- (aza-phenylaminosulfonyl) sulfoximine) ethyl) amino) -1,2, 5-oxadiazole-3-carboxamidine
(±) (Z) -aza- (3-chloro-4-fluorophenyl) -aza' -hydroxy-4- ((2- (thio-methyl-aza- (carbamoyl) sulfoximine) ethyl) amino) -1,2, 5-oxadiazole-3-carboxamidine.
6. The compound of claim 1 or claim 5, or a pharmaceutically acceptable salt thereof, a stereoisomer thereof, wherein the pharmaceutically acceptable salt is selected from the group consisting of: hydrochloride, hydrobromide, sulphate, phosphate, methanesulphonate, trifluoromethanesulphonate, benzenesulphonate, p-toluenesulphonate, 1-naphthalenesulphonate, 2-naphthalenesulphonate, acetate, trifluoroacetate, malate, tartrate, citrate, lactate, oxalate, succinate, fumarate, maleate, benzoate, salicylate, phenylacetate, mandelate.
7. Use of a compound as claimed in claim 1 or claim 5 for:
(i) preparing indoleamine-2,3-dioxygenase inhibitor;
(ii) preparing a medicament for the prevention and/or treatment of indoleamine-2,3-dioxygenase mediated diseases; or
(iii) Preparing the anti-inflammatory medicine.
8. The use according to claim 7, wherein the indoleamine-2,3-dioxygenase mediated disease is cancer, a neurodegenerative disease, an eye disease, a psychogenic disorder and/or an autoimmune disease.
9. The use of claim 8, wherein the neurodegenerative disease is senile dementia.
10. The use according to claim 8, wherein the disorder of the heart is depression, anxiety.
11. A pharmaceutical composition, comprising:
a compound of claim 1 or claim 5, or a pharmaceutically acceptable salt thereof, a stereoisomer thereof; and a pharmaceutically acceptable carrier and/or an anti-tumor drug.
CN201610134565.8A2016-03-092016-03-09Indoleamine-2,3-dioxygenase inhibitor containing nitrogen alkylated and arylated sulfoximineActiveCN107176933B (en)

Priority Applications (3)

Application NumberPriority DateFiling DateTitle
CN201610134565.8ACN107176933B (en)2016-03-092016-03-09Indoleamine-2,3-dioxygenase inhibitor containing nitrogen alkylated and arylated sulfoximine
PCT/CN2017/076160WO2017152857A1 (en)2016-03-092017-03-09Indoleamine-2,3-dioxygenase inhibitor containing nitrogen alkylated and arylated sulphoxide imines
CN201780015261.2ACN108699014A (en)2016-03-092017-03-09A kind of indoles amine -2,3- dioxygenase inhibitors containing N-alkylation and arylation sulphoxide imine

Applications Claiming Priority (1)

Application NumberPriority DateFiling DateTitle
CN201610134565.8ACN107176933B (en)2016-03-092016-03-09Indoleamine-2,3-dioxygenase inhibitor containing nitrogen alkylated and arylated sulfoximine

Publications (2)

Publication NumberPublication Date
CN107176933A CN107176933A (en)2017-09-19
CN107176933Btrue CN107176933B (en)2020-10-09

Family

ID=59788950

Family Applications (2)

Application NumberTitlePriority DateFiling Date
CN201610134565.8AActiveCN107176933B (en)2016-03-092016-03-09Indoleamine-2,3-dioxygenase inhibitor containing nitrogen alkylated and arylated sulfoximine
CN201780015261.2APendingCN108699014A (en)2016-03-092017-03-09A kind of indoles amine -2,3- dioxygenase inhibitors containing N-alkylation and arylation sulphoxide imine

Family Applications After (1)

Application NumberTitlePriority DateFiling Date
CN201780015261.2APendingCN108699014A (en)2016-03-092017-03-09A kind of indoles amine -2,3- dioxygenase inhibitors containing N-alkylation and arylation sulphoxide imine

Country Status (2)

CountryLink
CN (2)CN107176933B (en)
WO (1)WO2017152857A1 (en)

Cited By (1)

* Cited by examiner, † Cited by third party
Publication numberPriority datePublication dateAssigneeTitle
CN108699014A (en)*2016-03-092018-10-23中国科学院上海有机化学研究所A kind of indoles amine -2,3- dioxygenase inhibitors containing N-alkylation and arylation sulphoxide imine

Families Citing this family (9)

* Cited by examiner, † Cited by third party
Publication numberPriority datePublication dateAssigneeTitle
CN107304191B (en)*2016-04-202023-09-29上海翰森生物医药科技有限公司Indolylamine 2,3-dioxygenase inhibitor and preparation method and application thereof
WO2018072697A1 (en)*2016-10-172018-04-26上海医药集团股份有限公司Oxadiazole ring-containing compound, preparation method therefor, and intermediate, composite, and application thereof
CN109678813A (en)*2017-10-182019-04-26中国科学院上海有机化学研究所Indoles amine -2,3- dioxygenase inhibitor salt and preparation method thereof
CN109942565B (en)*2017-12-202021-03-26海创药业股份有限公司Indoleamine-2, 3-dioxygenase inhibitor and preparation method and application thereof
ES2939493T3 (en)2018-02-022023-04-24Hinova Pharmaceuticals Inc Indoleamine-2,3-dioxygenase inhibitor, preparation process thereof and use thereof
CN110407765B (en)*2018-04-282022-12-06上海挚盟医药科技有限公司1,2,5-oxadiazole derivative, preparation method and medical application thereof
CN111138425A (en)*2020-01-062020-05-12中国药科大学 Triazole derivatives and preparation method and use thereof
WO2022184930A2 (en)2021-03-052022-09-09Universität BaselCompositions for the treatment of ebv associated diseases or conditions
EP4052705A1 (en)2021-03-052022-09-07Universität Basel Vizerektorat ForschungCompositions for the treatment of ebv associated diseases or conditions

Citations (7)

* Cited by examiner, † Cited by third party
Publication numberPriority datePublication dateAssigneeTitle
WO2007075598A2 (en)*2005-12-202007-07-05Incyte CorporationN-hydroxyamidinoheterocycles as modulators of indoleamine 2,3-dioxygenase
WO2008058178A1 (en)*2006-11-082008-05-15Incyte CorporationN-hydroxyamidinoheterocycles as modulators of indoleamine 2,3-dioxygenase
CN101212967A (en)*2005-05-102008-07-02因塞特公司Indoleamine 2, 3-dioxygenase modulators and methods of use thereof
CN102164902A (en)*2008-07-082011-08-24因塞特公司 1,2,5-Oxadiazoles as Indoleamine 2,3-Dioxygenase Inhibitors
WO2014066834A1 (en)*2012-10-262014-05-01The University Of ChicagoSynergistic combination of immunologic inhibitors for the treatment of cancer
CN106883193A (en)*2015-12-152017-06-23上海翰森生物医药科技有限公司Indole amine 2,3-dioxygenase inhibitor and preparation method and application
CN108699014A (en)*2016-03-092018-10-23中国科学院上海有机化学研究所A kind of indoles amine -2,3- dioxygenase inhibitors containing N-alkylation and arylation sulphoxide imine

Family Cites Families (2)

* Cited by examiner, † Cited by third party
Publication numberPriority datePublication dateAssigneeTitle
CN105481789B (en)*2014-09-152020-05-19中国科学院上海有机化学研究所Indoleamine-2,3-dioxygenase inhibitor and preparation method thereof
CN107304191B (en)*2016-04-202023-09-29上海翰森生物医药科技有限公司Indolylamine 2,3-dioxygenase inhibitor and preparation method and application thereof

Patent Citations (7)

* Cited by examiner, † Cited by third party
Publication numberPriority datePublication dateAssigneeTitle
CN101212967A (en)*2005-05-102008-07-02因塞特公司Indoleamine 2, 3-dioxygenase modulators and methods of use thereof
WO2007075598A2 (en)*2005-12-202007-07-05Incyte CorporationN-hydroxyamidinoheterocycles as modulators of indoleamine 2,3-dioxygenase
WO2008058178A1 (en)*2006-11-082008-05-15Incyte CorporationN-hydroxyamidinoheterocycles as modulators of indoleamine 2,3-dioxygenase
CN102164902A (en)*2008-07-082011-08-24因塞特公司 1,2,5-Oxadiazoles as Indoleamine 2,3-Dioxygenase Inhibitors
WO2014066834A1 (en)*2012-10-262014-05-01The University Of ChicagoSynergistic combination of immunologic inhibitors for the treatment of cancer
CN106883193A (en)*2015-12-152017-06-23上海翰森生物医药科技有限公司Indole amine 2,3-dioxygenase inhibitor and preparation method and application
CN108699014A (en)*2016-03-092018-10-23中国科学院上海有机化学研究所A kind of indoles amine -2,3- dioxygenase inhibitors containing N-alkylation and arylation sulphoxide imine

Cited By (1)

* Cited by examiner, † Cited by third party
Publication numberPriority datePublication dateAssigneeTitle
CN108699014A (en)*2016-03-092018-10-23中国科学院上海有机化学研究所A kind of indoles amine -2,3- dioxygenase inhibitors containing N-alkylation and arylation sulphoxide imine

Also Published As

Publication numberPublication date
CN107176933A (en)2017-09-19
WO2017152857A1 (en)2017-09-14
CN108699014A (en)2018-10-23

Similar Documents

PublicationPublication DateTitle
CN107176933B (en)Indoleamine-2,3-dioxygenase inhibitor containing nitrogen alkylated and arylated sulfoximine
CN106687450B (en)A kind of indoles amine -2,3- dioxygenase inhibitor and preparation method thereof
CN105646389B (en)A kind of sulfamic acid rouge and its preparation method and application as indoles amine -2,3- dioxygenase inhibitor
CA3030510C (en)Azole dione compounds with anti-cancer activity
CN115141215B (en) KRAS G12D protein inhibitors and their uses
CN113966324B (en)NOTCH signaling pathway inhibitors and their use in cancer treatment
JP2022532718A (en) ACSS2 inhibitor and its usage
CN110156674A (en) A spiro compound as indoleamine-2,3-dioxygenase inhibitor
WO2021041976A1 (en)Perk inhibiting indolinyl compounds
KR20220066290A (en) PERK inhibitory pyrrolopyrimidine compounds
WO2021041970A1 (en)Perk inhibiting imidazolopyrazine compounds
AU2017380492B2 (en)Sulfonyl amidine as indoleamine-2,3-dioxygenase inhibitor, and preparation method therefor and use thereof
KR20220068224A (en) PERK inhibitory compounds
BR122025013774A2 (en) NOTCH SIGNALING PATHWAY INHIBITOR COMPOUNDS, PHARMACEUTICAL COMPOSITION COMPRISING THE SAME AND USE OF SAID COMPOUNDS
EP3747866B1 (en)Benzamide compound and preparation method, use, and pharmaceutical composition thereof
WO2025196192A1 (en)Trimethoxystyryl derivatives for use in the treatment of paclitaxel-resistant cancer
BR112020000564B1 (en) HETEROARYLAMIDE COMPOUND AS A SELECTIVE INHIBITOR OF HISTONE DEACETYLASES 1 AND/OR 2 (HDAC1-2), PHARMACEUTICAL COMPOSITION, USE AND COMBINATION THEREOF

Legal Events

DateCodeTitleDescription
PB01Publication
PB01Publication
SE01Entry into force of request for substantive examination
SE01Entry into force of request for substantive examination
GR01Patent grant
GR01Patent grant

[8]ページ先頭

©2009-2025 Movatter.jp